장태수
(Young-Wook Lee)
1
이영욱
( Tae Soo Jang)
2*iD
-
군산대학교 건축공학과 대학원생
(Graduate Student, Department of Architectural Engineering, Kunsan National University,
Gunsan 54150, Rep. of Korea)
-
군산대학교 건축공학과 교수
(Professor, Department of Architectural Engineering, Kunsan National University, Gunsan
54150, Rep. of Korea)
Copyright © Korea Concrete Institute(KCI)
키워드
필로티 건물, 매트기초, 6자유도계 스프링, 내진성능, 보강
Key words
pilotis building, mat foundation, 6-DOF spring, seismic performance, restrengthened
1. 서 론
1.1 배경 및 목적
2017년 포항지진 시 필로티 구조의 위험성(Eom 2019)이 드러났으며, 피해 지역 대부분 필로티 건물이 2009년 이전에 건축되어 강화된 내진 설계 기준의 적용 대상이 아니었다. 서울주택도시공사(SH 2020)의 경우 2020년부터 보유하고 있는 매입 임대주택 중 필로티 건물의 내진보강 사업에 착수하는 등 내진율이 지속해서 향상되고 있으나 아직 전국적으로는
여전히 대비가 미흡한 실정이다.
필로티 건물은 기둥과 코어가 있는 필로티 층과 내력벽이 있는 상층부로 구성되는 철근콘크리트 내력벽 구조의 형식으로 수직 비정형성이 매우 크다(Kim 2018). 그 이유로는 주거용으로 계획되는 상층부와 주차 공간 확보를 위한 필로티 층 간의 강성 차이가 매우 크기 때문이다. 또한 코어 벽체가 평면의 모서리
또는 측면에 치우쳐 비대칭으로 배치되는 경우가 많으며, 그 결과 질량중심과 강성중심이 일치하지 않는 평면 비정형성이 발생한다. 이러한 평면 및 수직
비정형성은 필로티 건물을 지진에 더욱 취약하게 만든다.
또한 지반 기초의 변형 및 파괴는 상부 구조물에 직접적인 영향(ATC 40 1996; Lee and Kim 2022)을 미칠 수 있으므로, 일반적으로 매트기초를 사용하는 필로티 건물도 기초의 거동에 영향을 받게 된다. 따라서 기초의 거동을 포함한 구조해석은 내진성능을
파악하는 데 중요하다.
본 연구에서는 지진에 취약한 필로티 건물의 내진 보강 후의 건물에 대하여, 매트기초를 모델링하는 방법에 따른 필로티 건물의 내진성능 평가에 미치는
영향을 파악하고자 한다.
1.2 내용 및 방법
내진성능평가 세부지침(건축물) 및 해설서(MOLIT 2024)에서는 기초의 해석에 대해 ‘고정단 또는 유한한 강성을 갖는 경계조건으로 모델링할 수 있다.’라고 명시되어 있으나 실무에서는 기초의 모델링이 복잡하므로
고정단으로 적용하여 해석하는 경우가 대부분이다. 그러나 고정단 모델링과 유한한 강성을 갖는 경계조건의 모델링 사이에는 해석 결과의 차이가 발생할 것으로
예상된다. 또한 내진성능평가 세부지침(MOLIT 2024)과 ASCE/SEI 41-17에서는 매트기초의 해석에 대한 지침이 없어 ASCE/SEI 41-23의 기준을 참조해야 하는 실정이다.
본 연구에서는 매트기초 모델링을 내진성능평가 세부지침(MOLIT 2024)에 따른 고정단 모델(FE)과 ASCE/SEI 41 (2023) 기준에 따른 유한한 강성을 가지는 스프링 모델(SPR)로 모델링하고자 한다. 비선형정적 절차 결과 들림이 있는 경우 내진성능평가 세부지침(MOLIT 2024)에 따른 들림 허용 고정단 모델(FE-R)을 추가로 모델링하고 해석을 수행하고 비교하고자 한다.
본 연구에서 필로티 구조의 내진 성능평가 결과를 비교하기 위해 코어 위치에 따라 단방향 편심 모델과 양방향 편심 모델의 두 가지 건물 모델을 대상으로
한다.
2. 필로티 건물의 기초 모델링
2.1 관련 기준 고찰
2.1.1 모델링 방법
내진성능평가 세부지침(MOLIT 2024)에서는 얕은 기초의 강성은 6자유도에 대하여 독립적으로 모델링하거나, 복수의 연직방향 스프링을 이용하는 Winkler 모델을 이용하여 축력과 전도의
커플링을 고려할 수 있다고 말하고 있다. 그러나 Winkler 모델로 기초와 지반의 상호작용을 고려하여 해석하는 방법은 복잡하므로 하나의 스프링으로
치환하여 모델링하는 것이 합리적이다.
ASCE/SEI 41-23 (2023)에서는 매트기초의 경우 일반적으로 개별 수직 토양 스프링 또는 Winkler 스프링을 사용하여 분석할 수 있다고 제시한다. 이는 앞서 언급한 내진성능평가
세부지침(MOLIT 2024)과 같다. 그러나 매트기초의 전체 폭을 사용하면 기초의 단위 면적당 스프링 강성에 대해 비현실적으로 낮은 값을 얻게 되며, 정확한 해석 결과를 얻기
위해서 매트기초의 전체 폭을 사용하여 강성을 산정하는 것은 부적절하다고 기술하고 있다. 따라서 이러한 문제를 해결하기 위해 강성을 산정하는데 유효폭
$B_{f}^{'}$를 사용한다. 매트기초의 수직 구조물을 지지하는 각 위치에서 중력하중의 1.5배를 지지하는데 필요한 최소 기초 면적을 식 (1)과 같이 허용 토양 압력을 고려하여 유효면적을 산정하여야 한다.
여기서, $A'_{f}$는 유효면적을, $B'_{f}$는 유효면적의 폭, $L'_{f}$는 유효면적의 길이를 의미한다.
2.1.2 기초 강성
내진성능평가 세부지침(MOLIT 2024)에 따르면 유한한 강성을 갖는 경계조건으로 모델링하는 경우 기초의 모델을 Fig. 1과 같이 제시하고 있고, 강성과 강도의 불확실성을 고려하여 Fig. 2와 같이 상한치와 하한치에 대한 검토를 모두 수행하여야 한다. 상한치와 하한치 산정을 위해 변동 계수 $C_{v}$를 적용하며, 별도의 입증자료에
의하지 않는 경우 독립기초에는 1.0을 적용한다.
얕은 기초를 6자유도의 스프링으로 모델링하는 경우 각 자유도의 탄성강성 $K$는 식 (2)로 계산할 수 있다. 여기서 $K_{sur}$는 지표면에 놓인 기초의 스프링 강성이며, $\beta$는 매입 깊이를 고려한 보정계수이다.
ASCE/SEI 41-23 (2023)에서는 독립기초를 스프링으로 모델링하는 경우는 내진성능평가 세부지침(MOLIT 2024)와 유사하지만, 매트기초의 수직방향 강성을 산정시에는 모델링 유효길이 $L_{f}^{'}$와 유효폭 $B_{f}^{'}$의 비에 따라 식을 선택하는
차이가 있다. $L'_{f}/B'_{f}> 3.0$의 경우 단위면적당 기초 스프링 계수 $k_{sv}$는 식 (3)을 사용하고, $L'_{f}/B'_{f}< 3.0$의 경우 식 (2)의 수직방향 스프링 강성 $K_{z,\: sur}$으로 부터 산정한 단위 면적당 값을 사용한다.
여기서, $G$는 지반의 전단탄성계수이며, $\nu$는 지반의 포아송 비이다.
Fig. 1 Spring model of shallow footing
Fig. 2 Perfectly plastic force-deformation of soil (MOLIT 2019)
2.1.3 극한 모멘트 내력
내진성능평가 세부지침(MOLIT 2024)과 ASCE/SEI 41-23 (2017)에서는 축력과 휨모멘트가 동시에 작용하는 매트기초의 휨모멘트의 크기에 따라 기초 저면의 접지압 분포가 달라진다고 말하고 있다. 회전작용(rocking)이
지배적인 직사각형 매트기초의 기대 모멘트 저항 능력은 소성 한계상태를 가정한 식 (4a)의 극한 모멘트 내력 $M_{c}$를 적용할 수 있다. 식 (4b)는 도면이 없는 경우 사용하는 기대지내력이다.
여기서, $P$는 연직하중과 지진하중에 의한 수직력, $L_{f}$는 기초판의 길이(회전축에 직교하는 방향), $A_{f}$는 기초판 저면의 면적,
$q_{e}$는 기대지내력, $q_{all}$은 허용지내력이다. 또한, $D$는 고정하중이고 $L$은 활하중이다.
ASCE/SEI 41-23 (2023)에 따르면 직사각형의 얕은 기초 중심에 축 방향 하중이 가해지는 경우 극한 모멘트 내력 $M_{CE}$를 식 (5a)와 같이 사용하도록 제시하고 있으며, 식 (5b)에서 식 (4b)의 $q_{e}$를 대신하여 $q_{c DA}$를 사용하는 것이 다르다.
2.1.4 비선형 정적절차 기준
내진성능평가 세부지침(MOLIT 2024)에서는 독립기초를 유한한 강성을 갖는 것으로 모델링하는 경우 변형지배요소로 분류하고 비탄성 요소로 모델링하여 평가한다. 또한 앞서 언급하였던 Fig. 2와 같이 상한치와 하한치를 각각 적용하여 해석하도록 제시한다.
ASCE/SEI 41-23 (2023)에서는 얕은 기초에서 축력과 전단에 대하여 이선형 탄소성(elastoplastic) 거동과 회전작용(rocking)과 전도(overturning)에
대하여 Trilinear Type으로 모델링하도록 제시하고 있다. 또한 각각의 경우 허용 회전각을 제시하고 있다.
3. 모델링 및 해석 절차
3.1 기초 해석 모델링
고정단 모델(FE)의 경우 6자유도계에 대한 모든 운동을 구속하였다. 스프링 모델(SPR)은 앞 장에서 언급한 6자유도계 집중스프링 모델을 이용하였으며,
기둥 또는 벽체 하부 절점에 연결하였다.
스프링 모델에서 회전 스프링은 앞서 언급하였던 ASCE 기준에 따라 Fig. 4의 Trilinear type을 사용하였으며 최대 회전 내력은 식 (5a)를 사용하였다. 축력 스프링은 Fig. 5의 slip bilinear type을 사용하여 인발 저항성능이 없도록 모델링하였다.
Fig. 5 Slip bilinear type
3.2 비선형 정적 절차
비선형 정적절차에 사용되는 횡하중의 분포는 구조물의 1차모드가 지배적이라는 가정으로부터 구한 밑면전단력의 수직분포를 사용하였다. 내진성능평가 세부지침(MOLIT 2024)에 따르면 들림이 발생하는 기초는 연관된 구속조건을 해제하여 모델에 반영하여 해석하여야 한다고 말하고 있다.
본 연구에서는 비선형 정적해석 시 등가 정적하중에 따른 하중의 분포에 따라 지진하중을 가력하여 고정단 모델(FE)과 스프링 모델(SPR)의 경우 각각의
성능곡선과 기초내력을 검토한다. 고정단 모델에서 들림이 있는 경우 연관된 구속조건을 해제한 FE-R 모델을 추가로 해석한다.
또한, 내진성능평가 세부지침(MOLIT 2024)의 비선형 절차의 모델에 따라 건축물의 철근콘크리트 부재를 모델링하고 보강 철골 가새는 인장력 부재만 트러스 요소로 모델링하였다. 해석이 진행되는
동안 지침에 따라 수직하중 $D+0.25L$이 일정하게 작용하도록 하였다.
4. 해석 대상 모델
4.1 예제 건물
본 연구의 두 예제 모델 모두 2016년에 준공된 지상 4층 필로티 RC 구조이며, 지하층이 없는 매트기초의 형식을 가진다. 건물의 내진 Ⅱ등급,
지역계수 0.176 g, 지반등급 S3이고, 재현 주기 1,000년에 목표 성능은 인명보호 수준이다.
단방향 편심 모델(Fig. 6, Fig. 9(a) 참조)은 평면의 수평방향으로만 편심이 작용하는 건물이며, 양방향 편심 모델(Fig. 7, Fig. 9(b) 참조)은 평면의 수직과 수평방향으로 편심이 작용하는 건물이다. 주요 부재의 치수와 재료정수는 Table 1과 같다.
Table 1의 모드 질량 참여계수를 보면 단방향 편심 모델은 비틀림에 관여하는 비틀림 질량참여계수(RZ)가 작으나, 양방향 편심모델에서는 큼을 볼 수 있다.
내진성능평가 세부지침(MOLIT 2024)에 따라 두 예제 모델의 비정형성 검토 결과, 단방향 편심 모델은 $Δ\max /Δavg$의 최댓값이 1.6, 양방향 편심모델은 3.7로 모두 1.5를
초과하여 비틀림 강성 비정형에 해당하였다. 여기서, $Δ\max$는 층의 최대 변위이고 $Δavg$는 평균 변위이다.
Fig. 6 Unidirectional eccentricity model
Fig. 7 Bidirectional eccentricity model
Fig. 8 Failure elements of 1st floor at performance point before retrofit
Fig. 9 Retrofitted plan and brace location
Table 1 Properties of the models
|
Type
|
UDE model
|
BDE model
|
|
Original
|
Retrofit-
ted
|
Original
|
Retrofit-
ted
|
|
Natural period (s)
|
0.268
|
0.168
|
0.301
|
0.234
|
|
Modal participation masses (%)
|
DX*:86.0*
DY⋆:0.0
RZ※:10.9
|
DX:85.8
DY:4.0
RZ:2.2
|
DX:4.9
DY:61.1
RZ:31.2
|
DX:7.2
DY:63.7
RZ:21.2
|
|
Material
|
$f_{ck}$=24 MPa
$f_{y}$= 400 MPa
|
$f_{ck}$=24 MPa
$f_{y}$=400 MPa
|
|
Height (m)
|
1st fl. : 2.4
other fl.: 2.6
|
1st fl. : 2.55
other fl.: 2.6
|
|
Column
size (mm)
|
C1: 400×600
C2: 400×600
|
C1: 400×600
C2: 400×400
|
|
Wall
thickness (mm)
|
W1: 150
|
W1: 150
|
Notes:
*DX : x direction;
⋆DY: y direction;
※RZ : rotational Z direction
4.2 예제 모델 내진 보강
기초를 고정단 모델을 적용하여 비선형 정적절차를 수행한 결과, 단방향 편심 모델은 Fig. 8(a)와 같이 기둥에서 전단파괴가 발생하였다. 양방향 편심 모델은 Fig. 8(b)와 같이 기둥과 벽체에서 전단파괴가 발생하였다.
기둥과 벽체에 전단파괴가 발생하므로 연성증가형 보강보다는 강성 증가형 보강을 선정하여 Fig. 6과 Fig. 7과 같이 철골 가새를 이용한 보강 안을 작성하였다. ‘X’자형 가새를 이용하여 수평 강성을 증진함으로 수평 변형을 억제하여 기둥과 전단벽의 파괴를
방지하여 내진성능을 만족하도록 설계하였다. 비선형 정적해석시 모델에서는 인장을 받는 부재만 유효하다고 가정하여 모델링에서는 Fig. 6과 Fig. 7과 같이 단일 가새로 모델링하였다. 가새의 위치는 주차장 차량의 진출입을 고려하여 Fig. 9와 같이 선정하였다. 사용된 철골 보강재 재질은 SN275이고 사용 H형강은 Fig. 9에 정리하였다.
5. 보강 후 모델 해석 및 분석
5.1 개요
스프링 모델을 작성하기 위하여 앞의 2장에 따라 Fig. 10과 Fig. 11과 같이 매트기초의 유효폭을 산정하고 이를 근거로 하여 2장과 3장에 따라 6자유도계 스프링의 계수를 산정하였다.
보강된 두 예제 건물에 대해 Table 2와 같이 기초를 세 가지로 모델링하고 비선형 정적절차를 진행하였다. 보강된 필로티 건물의 해석 모델은 국내 기준에 따라 고정단 모델은 FE, 들림이
있는 들림 허용 고정단 모델은 FE-R로 표기하였다. ASCE/SEI 41-23 기준에 따른 스프링 모델은 SPR로 표기하였다. ASCE 방법과 비교를
위하여 국내 기준의 기초스프링 강성은 평균값(Fig. 2 참조)을 사용하였다.
기초 내력의 평가는 앞의 2장에서 언급한 국내 기준과 ASCE 기준에 따라 산정한 기대지내력과 성능점의 수직 반력을 비교하고 평가를 진행하였다.
Fig. 10 Effective area and joint number of unidirectional eccentricity model
Fig. 11 Effective area and joint number of bidirectional eccentricity model
Table 2 Analysis modeling type for mat foundation
|
Type
|
Description
|
|
FE
|
fixed end support
|
|
FE-R
|
fixed end support but not resisting tension
|
|
SPR
|
spring model according per ASCE/SEI 41 (2023)
|
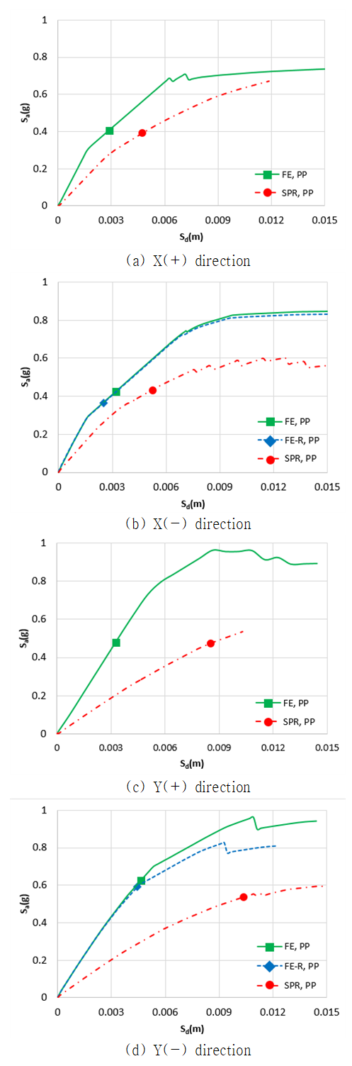
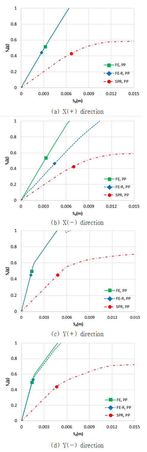
5.2 단방향 편심 모델
단방향 편심모델의 경우 양방향의 성능곡선을 Fig. 12에 나타내었다. 전체적으로 FE 모델의 강성이 가장 높게 나타났으며, SPR 모델은 가장 낮은 강성을 보였다. Y 방향에서 FE 모델과 FE-R 모델의
강성과 성능점은 근사하게 나타났다. 강성의 차이는 X 방향보다는 전단벽의 영향이 있는 Y 방향에서 더 크게 나타났다. 성능점은 모든 방향에서 탄성의
상태에 있음을 볼 수 있다.
Table 3의 성능점에서 산정된 유효강성을 비교하면 X 방향보다는 Y 방향의 유효강성이 크게 나타났다. 또한 Table 4를 보면 X 방향 수평력은 주로 가새가 저항하고 Y 방향은 주로 전단벽이 저항하고 있다.
기초내력의 평가 결과를 X, Y 및 (+), (-) 방향에 대하여 반력이 크게 나타나는 전단벽과 가새의 지지 절점에 대하여 Table 5에 정리하였다. 표에서 기대지내력 초과비는 2장에서 설명한 방법에 따라 산정하였다.
모든 방향 중 Y(+) 방향의 기대지내력 초과비가 가장 높게 나타났으며 Fig. 10에서 FE 모델의 경우는 절점 10(전단벽의 모서리)에서 1.39, SPR 모델은 절점 11(전단벽)에서 1.49로 나타났다. 절점 10번과 11번은
벽체의 하부이므로 벽체의 강성을 고려하면 극한 하중 시 두 절점에 작용하는 수직력은 기초에 같이 작용하므로 두 절점의 반력을 합산하여 기대지내력 초과비를
산정하는게 합리적이다. 이렇게 하면, FE 모델에서는 1.09, SPR 모델에서는 0.9가 된다. 동일하게 절점 8번과 9번의 합력을 계산하여 기대지내력
초과비를 산정하면, FE 모델에서는 1.16, SPR 모델에서는 1.0이 된다. 따라서 FE 또는 FE-R 모델은 기초의 내력을 만족시키지 못하나,
SPR 모델은 기초 내력을 만족시킨다.
이러한 이유는 FE 모델 기준으로 Table 3에서 보듯이 Y 방향의 강성이 X 방향보다 2.2배 크고, Table 4에서 보듯이 Y 방향 전단벽의 수평력 지지비율이 90 % 정도로 크기 때문이다. 따라서 전단벽의 단부 절점에 가장 큰 기대지내력 초과비가 발생하였다.
SPR 모델의 경우는 Y 방향의 전체 수평 강성은 FE 모델의 값의 0.26배이며(Table 3 참조), 전단벽 수평력의 지지비율이 65 %로 FE 모델의 90 %(Table 4 참조)보다 작기 때문에, 상대적으로 SPR 모델에 작용하는 수직 반력이 감소하여 기초 내력을 만족시키는 결과를 나타내었다.
한편, X(-) 방향에서 SPR 경우에 9번 절점에서 기대지내력초과비가 1.31로 나타났으나 절점 8번과 9번은 동일 벽체를 지지하는 기초이므로 수직력을
같이 전달하기 때문에, 두 절점을 합산하여 기대지내력 초과비를 산정하면 0.82로 나타나 내력이 허용치 안에 있다.
Fig. 12 Seismic capacity curve and performance point of unidirectional eccentricity
model
Table 3 Nonlinear static procedure results
|
Model
|
Dir
|
Type
|
Performance point
|
(4) Max. story drift ratio (%)
|
|
(1)
Sa (g)
|
(2) Sd
($\times 10^{-3}$m)
|
(3)
Keff = (1)/(2)
|
|
U
D
E
|
X(-)
|
Orig*
|
0.301
|
9.051
|
33.3
|
0.01
|
|
FE
|
0.455
|
2.799
|
162.6
|
0.08
|
|
FE-R
|
0.415
|
3.995
|
103.9
|
0.10
|
|
SPR
|
0.427
|
6.959
|
61.4
|
0.13
|
|
Y(-)
|
Orig*
|
0.445
|
1.323
|
336.4
|
0.01
|
|
FE
|
0.454
|
1.251
|
362.9
|
0.01
|
|
FE-R
|
0.454
|
1.287
|
352.8
|
0.01
|
|
SPR
|
0.441
|
4.658
|
94.7
|
0.02
|
|
B
D
E
|
X(-)
|
Orig*
|
0.390
|
3.487
|
111.8
|
0.01
|
|
FE
|
0.424
|
3.181
|
133.3
|
0.11
|
|
FE-R
|
0.364
|
2.500
|
145.6
|
0.08
|
|
SPR
|
0.431
|
5.210
|
82.7
|
0.16
|
|
Y(-)
|
Orig*
|
0.546
|
6.865
|
79.5
|
0.03
|
|
FE
|
0.626
|
4.656
|
134.5
|
0.04
|
|
FE-R
|
0.593
|
4.454
|
133.1
|
0.04
|
|
SPR
|
0.537
|
10.36
|
51.8
|
0.04
|
Note: * Original model before retrofitting
Table 4 Lateral reaction force at the performance point
|
Mo-
del
|
Dir
|
Type
|
Performance point
|
Total
Force
(kN)
|
|
Wall
(kN, %)
|
Brace
(kN, %)
|
Column
(kN, %)
|
|
U
D
E
|
X
(-)
|
Orig*
|
957
|
41
|
-
|
-
|
1,365
|
59
|
2,322
|
|
FE
|
199
|
7
|
2,553
|
86
|
231
|
8
|
2,983
|
|
FE-R
|
188
|
7
|
2,423
|
86
|
217
|
8
|
2,828
|
|
SPR
|
1,187
|
36
|
588
|
18
|
1,489
|
46
|
3,264
|
|
Y
(-)
|
Orig*
|
2,763
|
89
|
-
|
-
|
351
|
11
|
3,114
|
|
FE
|
2,720
|
90
|
-
|
-
|
315
|
10
|
3,035
|
|
FE-R
|
2,720
|
90
|
-
|
-
|
315
|
10
|
3,035
|
|
SPR
|
2,208
|
65
|
-
|
-
|
1,180
|
35
|
3,388
|
|
B
D
E
|
X
(-)
|
Orig*
|
4,129
|
70
|
-
|
-
|
1,789
|
30
|
5,918
|
|
FE
|
2,122
|
49
|
752
|
18
|
1,413
|
33
|
4,287
|
|
FE-R
|
2,061
|
55
|
570
|
15
|
1,098
|
29
|
3,729
|
|
SPR
|
1,605
|
34
|
464
|
10
|
2,720
|
57
|
4,789
|
|
Y
(-)
|
Orig*
|
2,848
|
69
|
-
|
-
|
1,265
|
31
|
4,113
|
|
FE
|
3,024
|
65
|
1,146
|
25
|
467
|
10
|
4,637
|
|
FE-R
|
3,302
|
64
|
1,292
|
25
|
545
|
11
|
5,139
|
|
SPR
|
1,852
|
34
|
723
|
13
|
2,804
|
52
|
5,379
|
Note: * Original model before retrofitting
Table 5 Ratio of reaction to bearing capacity at joints of foundations at performance
point
|
Mo-
del
|
Dir
|
Joint
no
|
MOLIT (2021)
|
ASCE/SEI (2023)
|
Reation ($Fz$) Ratio
|
|
(1)⋆
$q_{e}$ (kN)
|
FE
|
FE-R
|
(6)※
$q_{c}$ (kN)
|
SPR
|
(9)
= (2)/(7)
|
(10)
= (4)/(7)
|
|
(2)
(kN)
|
(3)
= (2)/(1)
|
(4)
$Fz$(kN)
|
(5)
= (4)/(1)
|
(7)
$Fz$(kN)
|
(8) =
(7)/(6)
|
|
UDE
|
X(+)
|
8
|
1,957
|
-330
|
-0.17
|
0
|
0.00
|
904
|
111
|
0.12
|
-2.97
|
0.00
|
|
9
|
238
|
142
|
0.60
|
120
|
0.50
|
156
|
111
|
0.71
|
1.28
|
1.08
|
|
10
|
90
|
18
|
0.20
|
22
|
0.24
|
165
|
109
|
0.66
|
0.17
|
0.20
|
|
11
|
2,135
|
1,926
|
0.90
|
1,752
|
0.82
|
898
|
705
|
0.79
|
2.73
|
2.49
|
|
C2
|
2,490
|
-476
|
-0.19
|
85
|
0.03
|
1,334
|
351
|
0.26
|
-1.36
|
0.24
|
|
C3
|
2,377
|
1,916
|
0.81
|
1,438
|
0.60
|
1,311
|
780
|
0.59
|
2.46
|
1.84
|
|
X(-)
|
8
|
1,957
|
1,901
|
0.97
|
2,041
|
1.04
|
904
|
668
|
0.74
|
2.85
|
3.06
|
|
9
|
238
|
-31
|
-0.13
|
0.1
|
0.00
|
156
|
204
|
1.31
|
-0.15
|
0.00
|
|
10
|
90
|
77
|
0.86
|
0.1
|
0.00
|
165
|
61
|
0.37
|
1.26
|
0.00
|
|
11
|
2,135
|
121
|
0.06
|
0.1
|
0.00
|
898
|
140
|
0.16
|
0.86
|
0.00
|
|
C2
|
2,490
|
1,875
|
0.75
|
1,884
|
0.76
|
1,334
|
1,100
|
0.82
|
1.70
|
1.71
|
|
C3
|
2,377
|
-129
|
-0.05
|
0.1
|
0.00
|
1,311
|
314
|
0.24
|
-0.41
|
0.00
|
|
Y(+)
|
1
|
1,854
|
636
|
0.34
|
-*
|
-*
|
1,080
|
472
|
0.44
|
1.35
|
-*
|
|
8
|
1,957
|
2,434
|
1.24
|
-*
|
-*
|
904
|
822
|
0.91
|
2.96
|
-*
|
|
9
|
238
|
124
|
0.52
|
-*
|
-*
|
156
|
233
|
1.49
|
0.53
|
-*
|
|
10
|
90
|
125
|
1.27
|
-*
|
-*
|
165
|
157
|
0.95
|
0.80
|
-*
|
|
11
|
2,135
|
2,295
|
0.98
|
-*
|
-*
|
898
|
805
|
0.90
|
2.85
|
-*
|
|
15
|
2,074
|
367
|
0.18
|
-*
|
-*
|
1,096
|
499
|
0.46
|
0.74
|
-*
|
|
Y(-)
|
1
|
1,854
|
2,249
|
1.21
|
1,830
|
0.99
|
1,080
|
675
|
0.63
|
3.33
|
2.40
|
|
8
|
1,957
|
-520
|
-0.27
|
0.1
|
0.00
|
904
|
81
|
0.09
|
-6.42
|
0.00
|
|
9
|
238
|
-29
|
-0.12
|
0.1
|
0.00
|
156
|
0
|
0.00
|
-
|
-
|
|
10
|
90
|
-30
|
-0.33
|
0.1
|
0.00
|
165
|
20
|
0.12
|
-1.50
|
0.01
|
|
11
|
2,135
|
-519
|
-0.24
|
0.1
|
0.00
|
898
|
110
|
0.12
|
-4.72
|
0.00
|
|
15
|
2,074
|
2,169
|
1.05
|
1,733
|
0.84
|
1,096
|
686
|
0.63
|
3.16
|
2.31
|
|
BDE
|
X(+)
|
4
|
976
|
279
|
0.29
|
-*
|
-*
|
340
|
342
|
1.01
|
0.82
|
-*
|
|
9
|
261
|
1,249
|
4.79
|
-*
|
-*
|
113
|
113
|
1.00
|
11.05
|
-*
|
|
14
|
136
|
1,969
|
14.48
|
-*
|
-*
|
303
|
210
|
0.69
|
9.38
|
-*
|
|
15
|
2,449
|
805
|
0.33
|
-*
|
-*
|
1,472
|
1,200
|
0.82
|
0.67
|
-*
|
|
16
|
774
|
133
|
0.17
|
-*
|
-*
|
814
|
294
|
0.36
|
0.45
|
-*
|
|
C1
|
2,176
|
261
|
0.12
|
-*
|
-*
|
1,069
|
368
|
0.34
|
0.71
|
-*
|
|
C2
|
2,226
|
903
|
0.41
|
-*
|
-*
|
1,458
|
653
|
0.45
|
1.38
|
-*
|
|
X(-)
|
4
|
976
|
883
|
0.90
|
204
|
0.21
|
340
|
23
|
0.07
|
38.39
|
8.87
|
|
9
|
261
|
-1,496
|
-5.73
|
0.1
|
0.00
|
113
|
0
|
0.00
|
-
|
-
|
|
14
|
136
|
69
|
0.51
|
0.1
|
0.00
|
303
|
71
|
0.23
|
0.97
|
0.00
|
|
15
|
2,449
|
463
|
0.19
|
370
|
0.15
|
1,472
|
494
|
0.34
|
0.94
|
0.75
|
|
16
|
774
|
1,543
|
1.99
|
1,187
|
1.53
|
814
|
364
|
0.45
|
4.24
|
3.26
|
|
C1
|
2,176
|
1,328
|
0.61
|
1,224
|
0.56
|
1,069
|
1,087
|
1.02
|
1.22
|
1.13
|
|
C2
|
2,226
|
506
|
0.23
|
564
|
0.25
|
1,458
|
597
|
0.41
|
0.85
|
0.94
|
|
Y(+)
|
4
|
976
|
1,782
|
1.83
|
-*
|
-*
|
340
|
379
|
1.11
|
4.70
|
-*
|
|
9
|
261
|
1,173
|
4.49
|
-*
|
-*
|
113
|
121
|
1.07
|
9.69
|
-*
|
|
14
|
136
|
399
|
2.93
|
-*
|
-*
|
303
|
122
|
0.40
|
3.27
|
-*
|
|
15
|
2,449
|
393
|
0.16
|
-*
|
-*
|
1,472
|
713
|
0.48
|
0.55
|
-*
|
|
16
|
774
|
617
|
0.80
|
-*
|
-*
|
814
|
216
|
0.27
|
2.86
|
-*
|
|
C4
|
2,687
|
1,560
|
0.58
|
-*
|
-*
|
2,429
|
1,147
|
0.47
|
1.36
|
-*
|
|
C7
|
3,954
|
571
|
0.14
|
-*
|
-*
|
3,514
|
290
|
0.08
|
1.97
|
-*
|
|
Y(-)
|
4
|
976
|
-997
|
-1.02
|
0.1
|
0.00
|
340
|
0
|
0.00
|
-
|
-
|
|
9
|
261
|
-1,834
|
-7.03
|
0.1
|
0.00
|
113
|
0
|
0.00
|
-
|
-
|
|
14
|
136
|
1,487
|
10.93
|
0.1
|
0.00
|
303
|
138
|
0.46
|
10.78
|
0.00
|
|
15
|
2,449
|
1,014
|
0.41
|
1,017
|
0.42
|
1,472
|
856
|
0.58
|
1.18
|
1.19
|
|
16
|
774
|
1,238
|
1.60
|
1,149
|
1.48
|
814
|
394
|
0.48
|
3.14
|
2.92
|
|
C4
|
2,687
|
377
|
0.14
|
280
|
0.10
|
2,429
|
676
|
0.28
|
0.56
|
0.41
|
|
C7
|
3,954
|
2,228
|
0.56
|
2,354
|
0.60
|
3,514
|
2,416
|
0.69
|
0.92
|
0.97
|
Notes: * same as the results of the FE model because there is no tension for foundations;
⋆values per to Eq. (4-b), multiplied with footing area, $A_{f}$;
※values per to Eq. (5-c), multiplied with footing area, $A_{f}$
5.3 양방향 편심 모델
양방향 편심 모델의 성능곡선을 Fig. 13에 나타내었다. 단방향 편심 모델과 같이 X 방향과 Y 방향에서 FE 모델의 강성이 SPR 모델보다 크게 나타났으며, 강성의 차이는 Y 방향에서 더
크게 나타났다.
Table 5에서 기대지내력 초과비의 최대값은 X(+) 방향에서 FE 모델의 경우 절점 14에서 14.48로 나타났으나, SPR 모델에서는 0.69로 나타나 차이가
큼을 볼 수 있다.
Table 5의 Y(-) 방향에서도 절점 14에서 FE 모델의 경우 최대값이 10.93으로 나타났으나, SPR 모델에서는 0.46으로 나타났다. 따라서 SPR
모델에서는 지지하는 기초 스프링의 항복에 의하여 하중의 분산이 발생하여 기초에 작용하는 힘이 감소함을 알 수 있다. 절점 14번과 15번, 16번은
벽체의 강성으로 인하여 하중이 기초에 동일하게 전달하게 되므로 세 절점의 합을 기준으로 기대지내력 초과비를 산정하면 FE 모델에서는 1.11, SPR
모델에서는 0.54로 산정된다.
기대지내력 초과비의 최대치는 모두 전단벽체에서 발생하였다. 이러한 이유는 Table 4에서 수평 저항력 요소별로 저항 비율을 보면 X 방향과 Y 방향 모두에서 전단벽의 수평력 저항 비율이 가새보다 크기 때문이다. X 방향의 경우, FE
모델에서는 전단벽이 수평력 저항 비율의 49 %를 차지하나, SPR 모델에서는 전단벽이 34 %이다. 또한 Y 축 방향의 경우는 FE 모델에서는 전단벽이
수평력 저항 비율의 65 %를 차지하나, SPR 모델에서는 전단벽이 34 %로 나타났다. SPR 모델에서 전단벽 수평력 저항 비율이 감소하는 이유는
기초 스프링으로 인한 강성의 감소와 성능점에 도달할 때 전단벽 기초의 수직 스프링이 기대지지력을 초과하면서(Table 5 참조) 항복이 발생하였기 때문이다.
Fig. 13 Seismic capacity curve and performance point of bidirectional eccentricity
model
5.4 기대지내력 분석
벽체 부재의 힘의 전달과정을 고려하여 앞의 절들에서 산정한 방법과 동일하게 기대지내력 초과비를 산정하고 Table 6에 최댓값을 정리하였다. 표에 참고를 위하여 선형동적 절차(LDP)에 따른 결과의 최댓값을 정리하였으며, 비선형정적 절차(NSP)에 따른 값보다 큼을
알 수 있다.
Table 6의 단뱡향 편심 모델에서 최대 기대지내력 초과비는 Y(+) 방향일 때 FE 모델과 FE-R에서 전단벽 하부인 절점 8번과 9번에서 1.06과 1.17로
산정되었으나, SPR 모델에서는 기둥 C7을 지지하는 기초에서 0.88로 산정되었다. 앞에서 보았듯이 Y 방향에서 전단벽의 수평력 지지비율이 가장
크게 나타나 전단벽을 지지하는 기초의 절점에서 최대 기대지내력이 발생하였다.
또한 Table 6에서 양뱡향 편심 모델의 최대값은 Y(+) 방향일 때 FE과 FE-R 모델에서는 전단벽 하부 절점 4에서 9번까지 평균값인 1.93으로 산정되었으며,
SPR 모델에서는 동일한 위치에서 1.58로 감소되었다. 이 경우도 Table 4에서 보듯이 Y 방향의 전단벽 수평력 지지 비율이 가장 높으므로 이를 지지하는 절점에서 최대 기대지내력 초과비가 발생하였다.
따라서 두 예제 건물 모두에서 수평력 지지 비율이 가장 큰 전단벽에 하중이 집중되어, 전단벽을 지지하는 기초의 절점에서 최대 기대지내력 초과비가 발생하였다.
또한 두 예제 모델에서 기대지내력 초과비는 FE 또는 FE-R 모델에 비하여 SPR 모델에서 감소되는 경향을 볼 수 있었다.
Table 5의 (9)번 열의 SPR 모델 대비 FE 모델의 기초 반력의 값은 고정단 모델 기초의 인발력으로 인하여 변동이 크며 그 최대값은 단방향 편심 모델에서는
2.96배, 양방향 편심모델에서는 38.4배로 나타났다. 표의 (10)번 열에서 SPR 모델에 비하여 FE-R 모델의 기초 반력의 값은 단방향 편심
모델에서는 동일하게 2.96배, 양방향 편심모델에서는 11.05배로 나타나 FE 모델의 경우보다는 작게 나타났다.
내진성능평가 세부지침(MOLIT 2024)에서 제시하고 있는 들림 허용 고정단 모델(FE-R)을 사용하는 경우는 Table 5에서 보듯이 FE 모델보다는 일반적으로 작은 기초 반력이 기대되나, Table 6에서 보듯이 단방향 편심의 경우에 최대 기대지내력 초과비가 FE 모델의 경우보다 큰 값이 발생하였다.
Table 6에서 단방향 편심 모델의 경우는 SPR 모델에서만 기초 내력을 만족하였다. 양방향 편심 모델의 경우는 모든 모델에서 기초 내력을 만족시키지 못하였으나
SPR 모델의 기대지내력 초과비는 FE와 FE-R 모델에 비하여 작게 평가되었다.
Table 6 Maximum ratio of reaction to bearing capacity
|
|
MOLIT (2021)
|
ASCE
|
|
FE
|
FE-R
|
SPR
|
|
Ratio
|
Loc.※
|
Ratio
|
Loc.※
|
Ratio
|
Loc.※
|
|
U
D
E
|
LDP
|
1.79
|
8, 9
|
-
|
-
|
1.02
|
8,9
|
|
NSP
|
X(+)
|
0.75
|
C8
|
0.53
|
C8
|
0.88
|
C7
|
|
X(-)
|
0.60
|
C2
|
0.75
|
C2
|
0.85
|
C6
|
|
Y(+)
|
1.06
|
8, 9
|
1.17
|
8, 9
|
0.84
|
8, 9
|
|
Y(-)
|
0.92
|
1
|
0.99
|
1
|
0.71
|
C2
|
|
max
|
1.06
|
8, 9
|
1.17
|
8, 9
|
0.88
|
C7
|
|
B
D
E
|
LDP
|
2.41
|
4~9
|
-
|
-
|
1.04
|
4~9
|
|
NSP
|
X(+)
|
1.49
|
9~14
|
1.49
|
9~14
|
1.28
|
9~14
|
|
X(-)
|
0.64
|
C4
|
0.61
|
C4
|
0.99
|
C1
|
|
Y(+)
|
1.93
|
4~9
|
1.93
|
4~9
|
1.58
|
4~9
|
|
Y(-)
|
1.11
|
14~16
|
0.64
|
14~16
|
1.35
|
C10
|
|
max
|
1.93
|
4~9
|
1.93
|
4~9
|
1.58
|
4~9
|
Note: ※ Refer to
Fig. 10 for UDE and
Fig. 11 for BDE
6. 결 론
본 연구에서는 필로티 구조의 내진 성능평가 결과를 비교하기 위하여 단방향 편심과 양방향 편심을 갖는 두 가지 예제 건물을 대상으로 비선형 정적절차에
따라 내진성능을 평가하였다. 성능평가는 내진성능평가 세부지침(MOLIT 2024)과 ASCE/SEI 41 (2023) 기준의 두 가지 방법에 따라서 수행하였다. 매트기초의 모델링은 내진성능평가 세부지침(MOLIT 2024)의 고정단 (FE) 모델을 사용하였으며, ASCE/SEI 41 (2023) 기준에서는 유한한 강성을 가지는 스프링(SPR) 모델을 사용하였다. 비선형 정적절차 평가시 들림이 있는 경우 내진성능평가 세부지침(MOLIT 2024)에 따른 들림 허용 고정단(FE-R) 모델을 추가로 해석하고 비교하였다.
예제 건물의 매트기초 스프링을 모델링하기 위하여 ASCE/ SEI 41 (2023) 기준을 참고하여 유효면적을 산정하였으며 산정한 면적을 바탕으로 스프링의 강성과 기초의 극한 모멘트 내력을 계산하여 수치 해석 모델링에 사용하였다.
두 예제 건물을 내진성능평가 세부지침(MOLIT 2024)에 따라 내진성능을 평가하고 철골가새를 이용한 강성 보강 후에 앞서 언급한 과정에 따라 내진성능평가를 수행하고 평가하여 도출한 결론은 다음과 같다.
1) 비선형 정적 해석을 통한 성능곡선을 비교하면 고정단 모델(FE)이 들림 허용 고정단 모델(FE-R)과 스프링 모델(SPR)에 비해 강성이 가장
높게 나타났으며 이러한 차이는 전단벽의 수평방향 강성비율이 높을수록 차이가 크게 발생하였다.
2) 두 예제 건물 모두에서 내진 보강된 가새보다는 기존 전단벽체 하부의 기초에 반력이 크게 작용하였으며, 최대 반력이 발생하는 위치는 모든 해석
모델에서 유사하게 나타났다.
3) 두 예제 건물 모두에서 매트기초를 스프링 모델(SPR)을 사용하여 해석한 경우, 고정단 모델(FE)과 들림 허용 고정단 모델(FE-R)에 비해
기초의 기대 지내력 초과 비율이 작게 나타났다. 또한 단방향 편심 건물에 비하여 비틀림의 정도가 심한 양방향 편심 건물에서 기대지내력 초과비가 크게
나타났다.
4) 현행, 비선형 정적절차에서 정의하고 있는 들림 허용 고정단 모델(FE-R)은 FE 모델의 경우보다는 기초의 반력이 감소하였으나 최대 기대지내력
초과비는 단방향 편심모델의 경우는 크게 나타나기도 하였다.
5) 매트기초를 현행기준에 따라 모델링하고 평가하면 ASCE/SEI 41-23 기준에 따른 스프링 모델(SPR)을 사용하는 경우보다 기대지내력에 대하여
보수적으로 평가할 수 있으므로, 내진평가를 통한 보강 설계시 기초의 거동을 포함한 합리적인 해석 모델을 고려할 필요성이 있다.
본 연구는 두 예제 건물에 대하여 비선형 정적절차를 진행하여 얻은 결론이므로, 다양한 유형을 포함한 건물에 대한 내진성능 평가를 통하여 추가의 연구가
필요하다.
감사의 글
이 논문은 행정안전부 방재 안전분야 전문인력 양성사업의 지원을 받아 제작되었습니다.
References
ASCE (2017) Seismic Evaluation and Retrofit of Existing Buildings (ASCE/SEI 41-17).
Reston, VA; American Society of Civil Engineers (ASCE).

ASCE (2023) Seismic Evaluation and Retrofit of Existing Buildings (ASCE/SEI 41-23).
Reston, VA; American Society of Civil Engineers (ASCE).

ATC (1996) Seismic Evaluation and Retrofit of Concrete Buildings (ATC 40). Applied
Technology Council (ATC).

Eom. T. S, Lee. S. J, Park. H. G, (2019) Investigation of Structural Damage in Bearing
Wall Buildings with Pilotis by 2017 Pohang Earthquake. Journal of the Earthquake Engineering
Society of Korea 23(1), 9-18 (In Korean)

Kim. T. W, Chu. Y. R, Kim. S. R, (2018) Seismic Behavior of Domestic Piloti-type Buildings
Damaged by 2017 Pohang Earthquake. Journal of the Earthquake Engineering Society of
Korea 22(3), 161-168 (In Korean)

Lee Y. W., Kim D. H., (2022) Effect of Foundation Modeling on Seismic Performance
of Non-Seismic Designed RC Frames - For Case of Shallow Foundations in Moderate and
Low Seismic Zones. Journal of the Korea Concrete Institute 34(4), 397-406. (In Korean)

MOLIT (2019) Seismic Design of Buildins (KDS 41 17 00). Sejong, Korea: Ministry of
Land, Infrastructure and Transport (MOLIT). 122. (In Korean)

MOLIT (2024) Guidelines of Seismic Assessment of Existing Buildings and Commentary.
Sejong, Korea: Ministry of Land, Infrastructure and Transport (MOLIT). (In Korean)

SH (2020) Press Release. 27 May 2020. Seoul, Korea; Seoul Housing and Urban Development
(SH). https://www.i-sh.co.kr/main/lay2/program/S1T532C1422/www/brd/m_139/view.do.
