이인용
(Inyong Lee)
1iD
최종권
(Jongkwon Choi)
2*iD
-
홍익대학교 건설환경공학과 석사과정
(Graduate Student, Department of Civil and Environmental Engineering, Hongik University,
Seoul 04066, Rep. of Korea)
-
홍익대학교 건설환경공학과 조교수
(Assistant Professor, Department of Civil and Environmental Engineering, Hongik University,
Seoul 04066, Rep. of Korea)
Copyright © Korea Concrete Institute(KCI)
키워드
콘크리트, 저온, 함수율, 압축강도, 탄성계수
Key words
concrete, low temperature, water content, compressive strength, elastic modulus
1. 서 론
최근 기술 발전과 한정된 자원 개발 필요성으로 인해 북극 및 한랭 지역의 인프라 건설이 증가하고 있다(Liu et al. 2010; Xie et al. 2014). 특히 북극에는 전 세계 미발견 석유의 약 13 %와 미발견 천연가스의 약 30 %가 매장되어 있어, 석유 및 가스 산업이 주목을 받고 있다(Gautier et al. 2009; Xie and Yan 2018b; Yan and Xie 2017a). 이에 따라 북극 해상 플랫폼, 북극 해저 기초 등 다양한 구조물의 건설이 활발히 이루어지고 있으며, 이러한 구조물은 최저 -70 °C에 이르는
저온 환경에 장기간 노출된다(Yan and Xie 2017b; (Jin et al. 2023).
일반적으로 콘크리트는 노출 온도에 따라 역학적 특성이 변화하며, 콘크리트를 주 재료로 사용하는 철근콘크리트 구조물의 모니터링 및 성능 평가 과정에서
온도의 영향은 불확실성이 큰 요인 중 하나이다(Miura 1989; DeRosa et al. 2015; Jeong and Lee 2025). 특히 저온 환경은 콘크리트의 역학적 특성에 직접적인 영향을 미쳐 구조적 성능 변화를 초래할 수 있다. 따라서 장기간 저온에 노출되는 콘크리트 구조물의
안정성을 평가하기 위해서는 저온 노출에 따른 콘크리트의 역학적 특성을 반드시 고려해야 한다(Qiao et al. 2016; Huo et al. 2022).
Lee et al. (1988a, 1988b)은 -70 °C에서 20 °C 범위의 온도 조건에 노출된 일반강도 콘크리트와 고강도 콘크리트의 압축 성능을 비교 평가하였다. 실험 결과, 초기 압축강도가
낮은 일반강도 콘크리트는 -70 °C에서 압축강도가 최대 100 % 증가한 반면, 초기 압축강도가 높은 고강도 콘크리트는 최대 50 % 증가하였다.
이는 저온 노출에 따른 압축강도 증가량이 초기 압축강도 수준에 따라 달라질 수 있음을 시사한다.
저온에서 콘크리트의 압축강도 증가는 온도의 직접적인 영향뿐 아니라, 내부 공극수가 동결되면서 미세 공극을 채워 추가적인 강도 향상이 나타나는 현상과도
관련이 있다(Dahmani et al. 2007; Lee et al. 2025a; Lee et al. 2025b). 이러한 점에 주목하여, Xie and Yan (2018a)은 배합 시 물-시멘트 비와 함수율을 변수로 설정하고 -165 °C에서 20 °C 범위의 온도 조건에서 콘크리트의 압축 성능을 평가하였다. 그 결과,
물-시멘트 비와 함수율이 높을수록 저온에서의 압축강도 증가율이 높게 나타나는 경향을 확인하였다. 다만, 함수율을 조절하기 위해 콘크리트를 완전 건조한
후 다시 물에 포화시키는 과정에서 내부 미세균열이 발생할 가능성이 있으며, 콘크리트 표면으로부터 약 30 mm 이상 깊이에서는 외부 환경에 의한 수분
이동이 미미한 것으로 보고되어 있다(Neville 2011). 따라서 콘크리트 표면 함수율의 조절을 통한 실험 결과는 실제 구조물의 거동을 완전히 대표하지 않을 수 있다.
이 연구에서는 실제 구조물의 콘크리트 거동을 보다 정확히 모사하기 위해 양생 조건을 달리하여 콘크리트 내부 함수율을 조절하였다. 이러한 접근은 콘크리트에
손상을 가하지 않으면서 함수율 변화에 의한 콘크리트의 거동을 실험에 반영할 수 있다. 각기 다른 양생 방법을 적용하여 서로 다른 내부 함수율을 확보한
뒤, -60 °C에서 20 °C 범위의 온도 조건에서 압축강도와 탄성계수를 측정하였다. 이를 통해 내부 함수율이 저온에서의 역학적 특성 변화에 미치는
영향을 분석하였으며, 이러한 방법은 표면 수분만을 조절하는 기존 방식의 한계를 보완하고 실제 구조물 거동을 보다 정밀하게 반영할 수 있다는 점에서
의의가 있다.
2. 실 험
2.1 실험 계획
이 연구에서는 배합강도 24 MPa의 콘크리트를 대상으로, 양생 방법과 노출 온도를 주요 변수로 설정하여 저온 환경에서의 압축 성능을 체계적으로 평가하였다.
양생 방법은 기건 양생, 수중 양생, 밀봉 양생의 세 가지로 구분하였으며, 이는 양생 조건에 따른 내부 함수율의 차이를 확보하기 위함이다. 각 조건에서
제작된 시편에 대해 실험 전 대표 시편의 내부 함수율을 측정하여 해당 양생 조건을 반영한 수분 상태를 확인하였다.
압축 시험은 노출 온도를 20 °C, -20 °C, -60 °C의 세 가지로 설정하여 수행하였으며, 이를 통해 온도 변화와 양생 조건에 따른 콘크리트의
역학적 특성 변화를 정량적으로 분석하고자 하였다. 특히, 양생 조건에 따른 내부 함수율은 온도 저하에 따른 압축강도 및 탄성계수 변화와 밀접하게 관련되므로,
이를 핵심 변수로 선정하여 분석하였다. 본 연구의 콘크리트 배합표는 Table 1에 제시하였으며, 사용된 시멘트와 골재의 물성치는 Table 2에 요약하였다.
Table 1. Concrete mix proportion
|
Slump (mm)
|
W/C (%)
|
Unit weight (kg/m3)
|
SP (wt. % of cement)
|
Air content (%)
|
|
W
|
C
|
F.A.
|
C.A.
|
|
150
|
44
|
174
|
393
|
876
|
900
|
1.0
|
4.5±1.5
|
Table 2. Properties of cement and aggregates
|
Component
|
Maximum size (mm)
|
Density (g/m3)
|
Absorption (%)
|
Fineness modulus
|
|
Fine aggregate
|
10
|
2.62
|
1.2
|
3.07
|
|
Coarse aggregate
|
25
|
2.67
|
0.6
|
6.89
|
|
OPC
|
-
|
3.15
|
-
|
-
|
Fig. 1. The compression testing setup under low temperature
2.2 실험 방법
2.2.1 콘크리트 제작 및 양생
본 연구에서는 KS F 2403(KATS 2019)에 따라 직경 100 mm, 높이 200 mm의 실린더형 콘크리트 시편 총 50개를 제작하였다. 제작된 시편 중 16개는 수중 양생 방법, 17개는
기건 양생 방법, 나머지 17개는 밀봉 양생 방법을 사용하여 28일간 양생하였다. 수중 양생은 20 °C의 수온을 유지한 상태에서 표준 양생하였고,
기건 양생은 탈형 후 실내 공기에 직접 노출시켰다. 밀봉 양생은 플라스틱 몰드를 탈형 하지 않은 상태에서 폴리에틸렌 비닐로 추가 밀봉하여 수분 증발을
최소화하였다.
콘크리트 내부 함수율($W_{c}$) 측정은 실험 직전에 수행하였으며, 각 양생 조건을 대표하여 수중 양생 시편 1개, 기건 양생 및 밀봉 양생 시편
각각 2개를 대상으로 하였다. 측정은 90 °C의 건조 오븐에서 60시간 건조한 후, 건조 전 중량($M_{1}$)과 건조 후 중량($M_{0}$)을
이용하여 산정하였으며, 계산식은 식 (1)에 제시하였다. 함수율 측정을 위해 건조한 시편은 오직 함수율 측정에만 사용되었다.
2.2.2 실험 장치 및 계측 시스템
저온에서 콘크리트 압축 실험을 수행하기 위한 시험 장치 구성을 Fig. 1에 제시하였다. 실험에는 용량 200 tonf의 만능시험기(UTM)를 사용하였으며, 하중, 변형률 및 온도 데이터는 DAQ 시스템(EDX-2000B)을
통해 10 Hz의 샘플링 속도로 계측하였다. 실험은 상온(20 °C), 일상 환경에서의 최저 기온(-20 °C), 북극 알래스카의 겨울철 평균 기온(-60
°C) 세 가지 온도 조건에서 수행하였다. -60~100 °C까지 온도 제어가 가능한 UTM 전용 챔버를 사용하여 시편 심부 온도와 챔버 온도가 열적
평형에 도달한 후 챔버 내부에 위치한 시편에 하중을 가하였다(Fig. 1). 이를 위해 압축 시험편과 함께 챔버 내부에 보조(reference) 시편을 배치하고, 보조 시편 심부에 열전대를 설치하여 콘크리트 심부 온도를
간접적으로 계측하였다(Fig. 2). 온도는 실험 전 과정에 걸쳐 실시간으로 모니터링되었으며, 설정 온도 조건이 안정적으로 유지되도록 함으로써 실험의 신뢰성을 높였다.
변형률 계측의 경우, 일반 변형률 게이지와 컴프레소미터는 0 °C 미만의 환경에서는 정상적으로 작동하지 않으며, 정확도 또한 저하된다. 이에 본 연구에서는
저온 환경에서도 안정적으로 계측 가능한 저온용 익스텐소미터(3542RA2)를 사용하였다. 또한, 시험 전 시편의 편심 파괴를 방지하기 위해 시편 양단면에
상온용 변형률 게이지를 부착하고 1 MPa 이하의 예비 하중을 가하였다. 이 과정에서 변형률 측정값을 확인하며 편심 여부를 파악하고, 지압판과 시편
단면이 평행이 되도록 정렬하였다. Fig. 2는 챔버 내부에서 변형률, 온도 및 하중을 계측하기 위해 구성된 상세 시험 장치의 배치를 보여준다.
Fig. 2. Instrumentation of concrete compression test
Fig. 3. Loading method for measuring elastic modulus
2.2.3 압축 실험 방법
콘크리트 압축 시험은 ASTM C39/C39M(2021)과 ASTM C469/C469M(2014)에서 제안하는 0.25 MPa/s ± 0.05 MPa/s의 하중 재하 속도로 탄성계수를 측정하고, 안정적인 파괴를 유도하기 위해 ASTM C469/C469M(2014)의 1 mm/min의 변위 재하 속도로 하중을 가력 하였다. 각 온도 및 양생 조건별로 시험 결과의 신뢰성과 타당성을 확보하기 위해 조건별 5개의
시편을 실험하였다. 이 중 첫 번째 시편은 변위 제어 속도 1 mm/min으로 파괴 시까지 하중을 가하여 압축강도($f_{c}'$)를 측정하였으며,
시간에 따른 하중 이력은 Fig. 3(a)에 나타내었다. 나머지 네 개의 시편은 압축강도의 약 45 %까지 하중 제어 속도 0.3 MPa/s로 하중을 가한 뒤 제거하는 과정을 세 차례 반복한
후, 변위 제어 속도 1 mm/min으로 파괴 시까지 하중을 가하여 압축강도를 측정하였으며, 그 과정은 Fig. 3(b)에 제시하였다.
탄성계수는 반복 하중 과정 중 두 번째, 세 번째 하중 구간에서 얻은 응력-변형률 곡선 중 압축강도의 40 % 이내 범위의 데이터를 이용하여 산정하였으며,
두 값의 평균을 최종 탄성계수로 사용하였다. 따라서 각 조건의 첫 번째 시편은 압축강도 산정에만 사용하였고, 나머지 네 개 시편은 압축강도와 탄성계수
산정에 모두 활용하였다.
3. 실험 결과 및 토의
3.1 실험 결과
본 연구에서 수행한 모든 콘크리트 압축 시험 결과와 양생 방법별 함수율 측정 결과를 Table 3에 요약하였으며, 양생 방법별 강도 증가율을 Figs. 4~6에 제시하였다. 양생 방법별 함수율은 기건 양생과 수중 양생에서 약 2 %의 차이를 나타내었으며, 이는 각 양생 조건 간의 함수율 차이가 명확하게
확보되었음을 의미한다. 따라서 이러한 함수율 차이는 저온에서의 압축 성능 차이를 분석하는 데 유효하게 활용될 수 있을 것으로 판단된다.
Table 3. Results of concrete compression tests
|
Curing method (moisture content)
|
Temp. (°C)
|
$f_{c}'$ (MPa)
|
$f_{c,\: avg}'$ (MPa)
|
$E_{c}$ (MPa)
|
$E_{c,\: avg}$ (MPa)
|
$\varepsilon_{co}$ (mm/m)
|
$\varepsilon_{co,\: avg}$ (mm/m)
|
|
Air curing
(3.51 %)
|
20
|
22.1
|
24.7
|
16,300
|
18,200
|
2.31
|
2.39
|
|
25.7
|
17,900
|
2.45
|
|
25.0
|
18,000
|
2.47
|
|
25.4
|
19,400
|
2.23
|
|
25.2
|
19,200
|
2.49
|
|
-20
|
29.4
|
28.2
|
17,700
|
19,200
|
2.68
|
2.55
|
|
27.0
|
19,700
|
2.52
|
|
27.1
|
19,400
|
2.55
|
|
29.2
|
20,800
|
2.56
|
|
28.5
|
18,600
|
2.47
|
|
-60
|
43.2
|
43.2
|
20,400
|
21,700
|
2.84
|
3.07
|
|
47.2
|
22,300
|
3.45
|
|
40.2
|
21,800
|
2.92
|
|
41.6
|
22,500
|
2.92
|
|
43.7
|
21,600
|
3.21
|
|
Seal curing
(4.50 %)
|
20
|
24.9
|
23.9
|
18,200
|
19,100
|
2.10
|
2.09
|
|
24.2
|
18,400
|
2.10
|
|
24.7
|
21,100
|
2.04
|
|
20.9
|
17,400
|
2.16
|
|
24.6
|
20,300
|
2.08
|
|
-20
|
31.5
|
31.4
|
17,900
|
19,900
|
2.45
|
2.54
|
|
30.8
|
20,800
|
2.62
|
|
30.5
|
20,400
|
2.46
|
|
31.7
|
19,800
|
2.54
|
|
32.4
|
20,600
|
2.63
|
|
-60
|
45.1
|
51.5
|
20,100
|
24,200
|
2.88
|
3.10
|
|
44.6
|
25,500
|
2.48
|
|
57.1
|
25,100
|
3.64
|
|
60.0
|
25,900
|
3.42
|
|
50.9
|
24,500
|
3.10
|
|
Water curing
(5.42 %)
|
20
|
24.8
|
25.0
|
19,400
|
19,500
|
1.97
|
2.07
|
|
24.7
|
20,000
|
2.19
|
|
25.1
|
20,300
|
1.89
|
|
25.6
|
19,000
|
2.14
|
|
24.8
|
19,000
|
2.16
|
|
-20
|
37.5
|
37.6
|
22,700
|
25,200
|
2.51
|
2.62
|
|
40.3
|
26,100
|
3.01
|
|
38.2
|
26,300
|
2.59
|
|
34.9
|
26,100
|
2.34
|
|
37.0
|
24,600
|
2.63
|
|
-60
|
56.4
|
57.0
|
25,600
|
27,700
|
3.16
|
3.12
|
|
59.2
|
29,700
|
3.11
|
|
56.3
|
28,200
|
3.07
|
|
61.2
|
27,900
|
3.43
|
|
52.0
|
27,000
|
2.81
|
3.1.1 콘크리트 압축강도
콘크리트의 압축강도는 모든 양생 방법에서 온도가 낮아질수록 증가하는 경향을 보였으며, 이는 기존 연구 결과와 일치한다(Lee et al. 1988a, 1988b; Xie and Yan 2018a).
상온(20 °C) 대비 -20 °C에서 기건 양생, 밀봉 양생, 수중 양생 시편의 압축강도는 각각 약 14 %, 31 %, 50 % 증가하였다. 온도가
-20 °C에서 -60 °C로 더 낮아지면 강도 증가율은 -20 °C 대비 52 %~64 % 범위로 양생 방법 간 차이가 비교적 작게 나타났다. 최종적으로
-60 °C에서의 강도는 상온 대비 기건, 밀봉, 수중 양생 시편이 각각 75 %, 116 %, 128 % 증가하였다. 즉, 두 온도 구간 모두에서
강도 증가가 뚜렷하게 나타났으며, 첫 구간에서는 증가율 편차가 크고 두 번째 구간에서는 증가율이 비교적 균일하게 유지되는 경향을 보였다.
이러한 결과는 함수율이 저온 환경에서의 콘크리트 압축강도 증진에 미치는 영향을 명확히 보여준다. 상온에서는 양생 방법에 따른 강도 차이가 거의 없었으나,
온도가 낮아질수록 내부 함수율이 높은 시편에서 강도 증가 폭이 뚜렷하게 나타났다. 이는 저온 노출 환경에서 구조물 성능을 예측하고 설계할 때 함수율을
핵심 변수로 고려해야 함을 시사하며, 충분한 강도 향상을 위해서는 적절한 양생 조건과 물-시멘트비 설계를 통한 내부 함수율 확보가 필수적이다.
Fig. 4. Increase in compressive strength of concrete under different temperature conditions
Fig. 5. Increase in elastic modulus of concrete under different temperature conditions
Fig. 6. Increase in strain at maximum stress of concrete under different temperature
conditions
3.1.2 콘크리트 탄성계수 및 변형률
상온에서 콘크리트의 탄성계수는 함수율이 낮아질수록 감소하는 경향을 보였으며, 수중 양생, 밀봉 양생, 기건 양생 순으로 높은 값을 나타냈다. 이러한
양생 조건과 함수율이 탄성계수에 미치는 영향은 Liu et al. (2014)와 Kocab et al. (2017)의 연구에서도 보고된 바 있다.
저온에서의 탄성계수 증가율 역시 함수율이 높을수록 크게 나타났다. -60 °C에서 기건 양생, 밀봉 양생, 수중 양생 시편의 탄성계수는 각각 약 19
%, 27 %, 42 % 증가하였다. 이는 저온 환경에서 콘크리트 구조물의 강도뿐 아니라 강성 역시 함수율의 영향을 크게 받음을 보여준다. 또한,
압축강도에서의 변형률은 -60 °C에서 기건 양생이 약 28 %, 밀봉 양생이 약 48 %, 수중 양생이 약 50 % 증가하였다. 종합하면, 저온에서는
압축강도뿐 아니라 탄성계수와 변형률도 함께 증가하며, 이러한 거동은 함수율이 높을수록 더욱 뚜렷하게 나타나 고강도 콘크리트와 유사한 특성을 보인다.
3.2 분석 및 토의
3.2.1 미시적 분석
물-얼음의 상 변화, 기공 지름과 빙점의 관계, 모세관 효과를 고려한 Wiedemann(1982) 기공 모델에 따르면(Fig. 7), 0 °C에서 -20 °C 구간에서는 비교적 큰 공극 내의 물이 동결되기 시작하며, 기공 벽에 거의 압력을 가하지 않고 주로 온도 변화에 따른
수축이 발생한다. 이 시점에서 비교적 큰 공극이 얼음으로 채워져 유효 하중 전달 면적이 증가하고, 이에 따라 온도 저하에 따른 강도 증가폭이 크게
나타난다.
온도가 -20 °C에서 -60 °C로 더 낮아지면 작은 공극에서도 얼음이 형성되어 미세 공극이 추가로 채워지고, 강도는 점진적으로 증가하게 된다.
이 구간에서는 낮은 함수율에서도 미세 공극이 채워져 양생 방법에 따른 추가적인 강도 증가율이 크지 않은 것으로 판단된다. 그러나 -60 °C에서의
최종 강도는 함수율이 높은 시편일수록 더 크게 나타났으며, 이는 상대적으로 큰 공극까지 더 많은 얼음이 형성되어 채워졌기 때문으로 해석된다.
3.2.2 압축강도
Fig. 8은 온도 변화에 따른 압축강도의 선형 추세를 나타낸다. 선형 회귀 분석 결과, 기울기는 수중 양생이 -0.4003으로 가장 가파르며, 밀봉 양생(-0.3460),
기건 양생(-0.2314) 순으로 나타났다. 이는 동일한 온도 하강 시 수중 양생 시편의 강도 증가 폭이 가장 크고, 기건 양생이 가장 작다는 점을
의미한다. 모든 추세선의 결정계수(R²)는 약 0.85 이상으로, 각 양생 조건별 추세가 온도와 압축강도 간의 관계를 안정적으로 설명함을 확인할 수
있다. 또한, 본 연구에서는 온도-압축강도 관계를 단일 기울기로 설명하는 선형 추세선과 함께 이차 식 추세선을 도출하였다. 이는 온도 구간에 따라
강도 증가 양상이 달라질 가능성을 반영하기 위함이다. 특히 온도 하강 과정 전반에서 나타나는 강도 증가 메커니즘이 일정하지 않을 수 있으므로, 이차
모델을 통해 변화율의 차이를 보다 세밀하게 분석할 수 있다. 이를 통해 온도 조건별 강도 변화 특성을 정량적으로 비교·평가하는 데 활용될 수 있다.
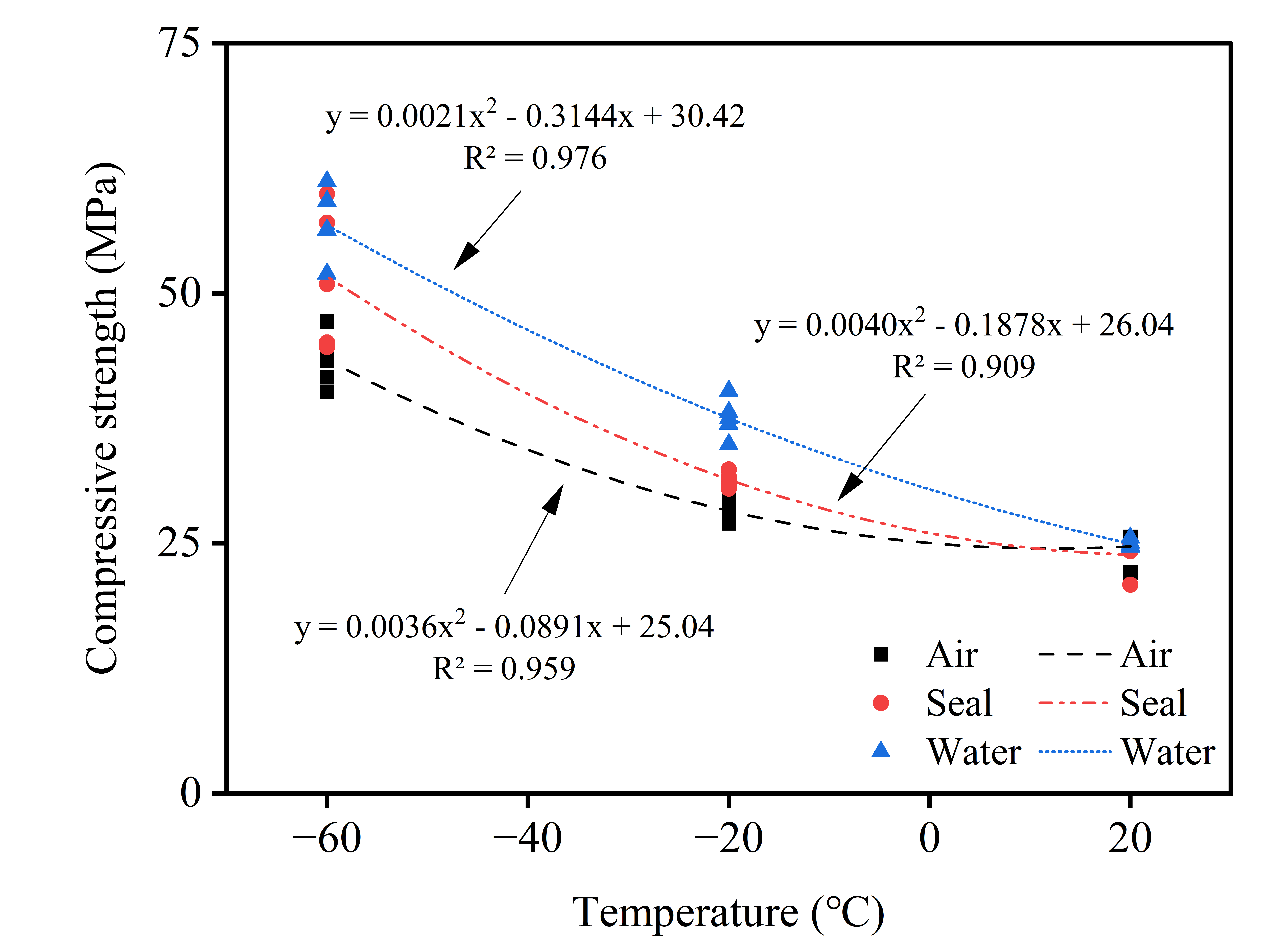
Fig. 9는 압축강도의 온도 의존성을 이차 회귀식으로 근사한 결과를 보여준다. 모든 양생 조건에서 이차 모델의 결정계수는 0.90 이상으로, 선형 회귀 식
대비 온도 변화에 따른 압축강도 거동을 더 높은 정확도로 설명하고 있다. 이러한 곡선 형태는 물-얼음 상변화에 따른 강도 증가 메커니즘과 일치한다.
20 °C에서 -20 °C 구간에서는 주로 상대적으로 큰 공극이 채워지는 단계이므로, 내부 수분 함량이 높은 수중 양생 시편에서 강도 증가율이 가장
높게 나타난다. 반면 -20 °C에서 -60 °C 구간은 미세 공극이 채워지는 단계로, 수중 양생의 경우 이미 충분한 수분이 존재하기 때문에 두 구간
모두 비슷한 증가율을 보이며 거의 선형에 가깝다. 밀봉 양생과 기건 양생은 초기 수분 함량이 낮아 20 °C에서 -20 °C 구간의 강도 증가폭이
크지 않지만, -20 °C 이후 미세 공극이 채워지면서 강도가 상승한다. 특히 밀봉 양생은 기건 양생보다 보유 수분이 많아, 이 구간에서 더 높은
강도 증가를 보인다. 결과적으로, 수분 함량이 충분할수록 저온 전 구간에서 강도 향상 효과가 고르게 나타나며, 함수율이 낮을수록 -20 °C에서 -60
°C 구간의 증가폭이 상대적으로 두드러진다.
Fig. 7. Low-temperature pore model proposed by G. Wiedemann (from Huo et al. 2022)
Fig. 8. Compressive strength with linear trend line
Fig. 9. Compressive strength with quadratic trend line
3.2.3 탄성계수 및 변형률
선형 회귀 분석 결과, Fig. 10에서 탄성계수의 기울기는 수중 양생이 -102.16로 가장 컸으며, 밀봉 양생(-64.33), 기건 양생(-44.13) 순으로 큰 기울기를 보였다.
결정계수(R²)는 수중 양생에서 0.85 이상으로 안정적인 상관성을 보였으나, 밀봉 양생(0.58)과 기건 양생(0.66)은 온도-탄성계수 관계의
일관성이 상대적으로 낮았다. 이러한 탄성계수 측정값의 변동성은 콘크리트의 비균질성과 측정 방법의 민감성에 기인하며, 일반적으로 압축강도에 비해 탄성계수에서
더 큰 실험 편차가 보고되고 있다(Jung et al. 2010). Fig. 11에 제시한 최대 압축강도 시 변형률의 기울기는 수중 양생이 0.0131으로 가장 컸으며, 밀봉 양생(-0.0126), 기건 양생(0.0084) 순이었다.
세 조건 모두 결정계수(R²)가 0.70 이상으로 비교적 안정적인 상관성을 나타냈다. 이는 저온에서 함수율이 높을수록 콘크리트가 강도와 강성을 유지하면서도
변형 능력을 확보할 수 있음을 보여주며, 이러한 거동은 고강도 콘크리트에서 일반적으로 관찰되는 특성과 유사하다.
Fig. 10. Elastic modulus with linear trend line
Fig. 11. Strain at peak stress with linear trend line
4. 결 론
본 연구에서는 양생 조건에 따른 함수율과 온도 변화가 콘크리트의 압축강도, 탄성계수, 변형률에 미치는 영향을 실험적으로 평가하였다. 각 양생 조건별로
-60 °C까지의 저온 환경에서 압축시험을 수행하였으며, 회귀 분석을 통해 온도-역학적 특성 간의 상관성을 평가하였다. 이 연구를 통해 얻은 결론은
다음과 같다.
1) 모든 양생 조건에서 온도 저하에 따라 압축강도가 증가하였으며, 특히 수중 양생에서 증가폭이 가장 컸다. 이는 함수율이 높은 시편일수록 저온에서
발생하는 미세 조직 변화가 더욱 두드러지게 나타남을 보여준다. 또한, 선형 회귀 분석 대비 이차 회귀 분석에서는 물-얼음 상변화가 강도 향상에 미치는
영향을 잘 반영하였다.
2) 탄성계수 역시 양생 조건에 따라 뚜렷한 차이를 보이며 저온에서 증가하였다. 선형 회귀 분석 결과, 수중 양생이 가장 큰 기울기를 보여 다른 조건보다
강성 향상 폭이 컸다. 이는 함수율이 강도뿐 아니라 강성에도 큰 영향을 미치며, 저온에서는 강도와 함께 강성도 향상되어 고강도 콘크리트와 유사한 거동을
나타냄을 시사한다.
3) 최대 압축강도 시 변형률은 모든 조건에서 증가하였으며, 특히 높은 함수율 조건에서는 강도와 강성을 유지하면서도 변형 능력을 잃지 않는 거동을
보였다. 이는 고강도 콘크리트에서 흔히 관찰되는 특성과 유사하며, 저온 환경에서도 변형 성능이 유지될 수 있음을 보여준다.
4) 저온 환경에서의 콘크리트 거동은 내부 함수율에 크게 의존하며, 상변화로 인한 미세조직 치밀화가 강도·강성·변형 능력의 동시 향상에 기여한다.
혹한 지역의 구조물 설계 및 유지관리에서는 시공 후 양생 조건을 통해 충분한 내부 수분을 확보하는 것이 필수적이며, 이는 구조물의 내구성과 안전성
확보에 있어 중요한 설계 변수로 작용할 수 있다. 다만, 본 연구에서는 단일 배합 비의 콘크리트의 역학적 특성만을 다루었으므로, 저온 환경에서의 최적
배합 설계를 위한 다양한 배합의 콘크리트 실험과 장기 내구성 확보를 위해 동결-융해와 같은 내구성에 관한 추가 연구가 필요하다.
감사의 글
본 연구는 국토교통부/국토과학기술진흥원의 지원으로 수행되었습니다(RS-2021-KA163238). 그리고 이 성과는 정부(과학기술정보통신부)의 재원으로
한국연구재단의 지원을 받아 수행된 연구입니다(No. RS-2023-00252278). This work was also supported by 2025
Hongik University Innovation Support Program Fund.
References
2014, Standard Test Method for Static Modulus of Elasticity and Poisson's Ratio of
Concrete in Compression (ASTM C0469/C0469M-14)ASTM, , ASTM International, Pennsylvania,
USA

2021, Standard Test Method for Compressive Strength of Cylindrical Concrete Specimens
(ASTM C39/C39M-21)ASTM, , ASTM International, Pennsylvania, USA

Dahmani L., Khenane A., Kaci S., 2007, Behavior of the Reinforced Concrete at Cryogenic
Temperatures, Cryogenics, Vol. 47, No. 9-10, pp. 517-525

DeRosa D., Hoult N. A., Green M. F., 2015, Effects of Varying Temperature on the Performance
of Reinforced Concrete, Materials and Structures, Vol. 48, pp. 1109-1123

Gautier D. L., Bird K. J., Charpentier R. R., Grantz A., Houseknecht D. W., Klett
T. R., Moore T. E., Pitman J. K., Schenk C. J., Schuenemeyer J. H., Sørensen K., Tennyson
M. E., Valin Z. C., Wandrey C. J., 2009, Assessment of Undiscovered Oil and Gas in
the Arctic, Science, Vol. 324, No. 5931, pp. 1175-1179

Huo Y., Sun H., Lu D., Chen Z., Yang Y., 2022, Mechanical Properties of Concrete at
Low and Ultra-Low Temperatures- A Review, Journal of Infrastructure Preservation and
Resilience, Vol. 3, pp. 20

Jeong H.-K., Lee J.-B., 2025, Fire-Resistive Covering Mortar to Prevent Performance
Degradation of Concrete Exposed to High Temperatures, Journal of the Korea Concrete
Institute, Vol. 37, No. 2, pp. 133-141, (In Korean)

Jin L., Liu K., Zhang R., Yu W., Du X., 2023, Bond Behavior Between Steel Bar and
Concrete Considering Cryogenic Temperatures and Confinement, Case Studies in Construction
Materials, Vol. 18, pp. e01856

Jung B. S., Lee J. H., Kweon G. C., 2010, Application of Impact Resonance Test to
the Determination of Elastic Modulus and Damping Ratio of Concrete, Journal of the
Korea Concrete Institute, Vol. 22, No. 5, pp. 625-632, (In Korean)

2019, Standard Test Method for Making Concrete Specimens (KS F 2403)KATS, , Korea
Agency for Technology and Standards (KATS), Korea Standard Association (KSA), Seoul,
Korea, (In Korean)

Kocab D., Kucharczykova B., Misak P., Zitt P., Kralikova M., 2017, Development of
the Elastic Modulus of Concrete under Different Curing Conditions, Procedia Engineering,
Vol. 195, pp. 96-101

Lee G. C., Shih T. S., Chang K. C., 1988a, Mechanical Properties of Concrete at Low
Temperature, Journal of Cold Regions Engineering, Vol. 2, No. 1, pp. 13-24

Lee G. C., Shih T. S., Chang K. C., 1988b, Mechanical Properties of High-Strength
Concrete at Low Temperature, Journal of Cold Regions Engineering, Vol. 2, No. 4, pp.
169-178

Lee I., Choi J., 2025a, Mechanical Properties of Concrete, Reinforcing Steel, and
CFRP Under Low-Temperature Conditions, International Journal of Concrete Structures
and Materials, Vol. 19, pp. 103

Lee I., Choi J., 2025b, Flexural behavior of RC beams strengthened with CFRP sheets
under low-temperature exposure, Construction and Building Materials, Vol. 503, pp.
144437

Liu B. D., Lv W. J., Li L., Li P. F., 2014, Effect of Moisture Content on Static Compressive
Elasticity Modulus of Concrete, Construction and Building Materials, Vol. 69, pp.
133-142

Liu S., Gu X. L., Huang Q. H., Zhang W. P., 2010, Experimental Study on the Bending
Behavior of Reinforced Concrete Beams Under Super-Low Temperature, Earth and Space
2010, pp. 3537-3544

Miura T., 1989, The Properties of Concrete at very Low Temperatures, Materials and
Structures, Vol. 22, pp. 243-254

Neville A. M., 2011, Properties of Concrete, Pearson, Harlow, UK

Qiao Y., Wang H., Cai L., Zhang W., Yang B., 2016, Influence of Low Temperature on
Dynamic Behavior of Concrete, Construction and Building Materials, Vol. 115, pp. 214-220

Wiedemann G., 1982, Zum Einfluss Tiefer Temperaturen auf Festigkeit und Verformung
von Beton, Institut für Baustoffe, Massivbau und Brandschutz der Technischen Universität
Braunschweig, Ph.D. Thesis

Xie J., Yan J., 2018a, Experimental Studies and Analysis on Compressive Strength of
Normal-Weight Concrete at Low Temperatures, Structural Concrete, Vol. 19, No. 4, pp.
1235-1244

Xie J., Yan J. B., 2018b, Tests and Analysis on Thermal Expansion Behaviour of Steel
Strand Used in Prestressed Concrete Structure under Low Temperatures, International
Journal of Concrete Structures and Materials, Vol. 12, No. 5

Xie J., Li X., Wu H., 2014, Experimental Study on the Axial-Compression Performance
of Concrete at Cryogenic Temperatures, Construction and Building Materials, Vol. 72,
pp. 380-388

Yan J. B., Xie J., 2017a, Behaviours of Reinforced Concrete Beams under Low Temperatures,
Construction and Building Materials, Vol. 141, pp. 410-425

Yan J. B., Xie J., 2017b, Experimental Studies on Mechanical Properties of Steel Reinforcements
under Cryogenic Temperatures, Construction and Building Materials, Vol. 151, pp. 661-672
