이빛나
(Binna Lee)
1*
이종석
(Jong Suk Lee)
2iD
-
한국건설기술연구원 전임연구원
(Researcher Specialist, Department of Structural Engineering Research, KICT, Kyonggi-do,
10223, Rep. of Korea)
-
한국건설기술연구원 선임연구위원
(Senior Research Fellow, Department of Structural Engineering Research, KICT, Kyonggi-do,
10223, Rep. of Korea)
Copyright © Korea Concrete Institute(KCI)
키워드
삼성분계 콘크리트, 압축강도, 탄산화, 공극률, 장기 재령
Keywords
ternary blended concrete, compressive strength, carbonation, porosity, long-term
1. 서 론
최근 2050 탄소중립 목표가 전 세계적 과제로 자리매김함에 따라, 각국은 CO2 배출 저감을 통해 변화하는 기후 위기에 대응하는 것을 공동 목표로 설정하고 있다. 산업 부문에서의 CO2 배출 비중을 살펴보면 철강, 석유·화학, 시멘트 산업이 전체의 약 70 %를 차지하며 이 중 시멘트 산업은 세 번째로 높은 배출 비중을 보인다(2050 CNGG Commission 2021; (Kang et al. 2023). 또한, 시멘트 산업은 콘크리트 제조 및 시공 등 건설 산업 전반과 밀접하게 연계되어 있어 건설 분야의 CO2 배출 감축과 직결되는 핵심 산업이다.
시멘트 산업에서 발생하는 주요 CO2는 클링커 생산 공정에서 비롯되며 이에 따라 클링커 사용을 줄이고 혼화재 함량을 확대하는 것이 탄소 배출 저감의 핵심적인 방안으로 제시되고 있다.
이에 따라 혼화재 함량을 2030년까지 15 %, 2050년까지 20 %까지 확대하는 전략이 추진되고 있으나 혼합재 사용 확대는 시멘트 제품의 성능에
직접적인 영향을 미치기 때문에 이에 대한 우려와 반대 의견 또한 상당수 존재한다.
국제적으로는 혼화재 사용 확대를 위한 제도적 기반이 지속적으로 강화되고 있다. 유럽의 경우 CEM II~VI 등급(CEM I는 클링커 함량이 95
% 이상의 고품질 시멘트)을 통해 혼화재 비율에 따라 시멘트를 세분화하여 관리하고 있으며, 관련 표준을 지속해서 개정하여 수요에 대응할 수 있는 체계를
구축하였다(CEN 2011, 2021; Kang et al. 2023). 미국 또한 국내 기준과 유사하게 혼화재 함량을 규정하고 있으며 2050년까지 클링커 함량을 25 %까지 낮춘 저탄소 시멘트로의 전환을 목표로 하고
있다(ASTM 2022; Kang et al. 2023). 이처럼 유럽과 미국은 2050 탄소중립 달성을 위해 클링커 함량을 저감한 저탄소 시멘트 개발 및 보급에 주력하고 있다.
이러한 환경 속에서 혼합시멘트 관련 연구는 세계적으로 활발히 진행되고 있다. 유럽의 혼합시멘트는 CEM II~CEM VI로 분류되며, 이성분계, 삼성분계
및 다성분계 시멘트로 세분화된다. 특히 CEM II는 최대 50 %까지 아홉 종류의 재료를 혼합하여 사용할 수 있는 삼성분계 시멘트를 포함하고 있다.
미국 역시 삼성분계 혼합시멘트(Type IT) 규격을 통해 두 가지 이상의 포졸란(예: 슬래그와 포졸란, 포졸란과 석회석, 슬래그와 석회석)을 클링커와
함께 사용할 수 있도록 허용하고 있다(Kang et al. 2023).
반면, 국내의 경우 KS 표준에 따라 혼합시멘트는 KS L 5210 고로슬래그 시멘트(KATS 2022b), KS L 5211 플라이 애시 시멘트(KATS 2024b), KS L 5401(KATS 2022c) 포졸란 시멘트 등 총 3종류가 제정되어 있으나, 다성분계 혼합시멘트에 대한 KS 규격 연구는 부족한 실정이다. 다만 국내에서도 플라이 애시 및 고로슬래그를
치환한 삼성분계 콘크리트에 관한 연구는 지속해서 이루어지고 있으며 최근 저탄소 콘크리트 개발과 내구성 향상에 연구가 집중되고 있다. 플라이 애시를
일반 시멘트와 함께 혼입하여 사용할 경우 일반 포틀랜드시멘트에 비해 수화 반응 속도는 지연되지만, 유동성 증가, 장기 재령에서의 강도 확보, 그리고
화학적 저항성 증진과 같은 긍정적인 효과가 보고되고 있다. 또한, 고로슬래그를 혼입한 콘크리트의 경우에서도 유동성 및 내마모성 향상뿐만 아니라 염화물
침투 저항성 개선 등 다양한 성능 향상 효과가 확인된바 있다(Kim et al. 2012; Jeon and Maruyama 2015; KICT 2015). 최근에는 초기 강도 발현을 개선하기 위해 알칼리 활성화제 등의 알칼리 물질을 사용하거나 산업부산물인 페로니켈 슬래그 를 추가하여 삼성분계 콘크리트를
제작하고 이에 대한 성능을 검토하는 연구가 진행되고 있으며(Cho et al. 2020; Cho et al. 2022), 딥러닝 기술을 활용하여 압축강도를 만족하기 위한 삼성분계 콘크리트의 재료 배합 비율을 예측하는 연구도 수행되고 있다(Cho et al. 2022).
그러나, 최근에는 콘크리트 원가 절감을 목적으로 플라이 애시 및 고로슬래그를 대량 치환한 삼성분계 콘크리트가 무분별하게 적용되는 사례가 증가하고 있다.
이러한 경우 초기 강도 저하, 자기수축 및 건조수축 증가, 중성화 촉진 등의 문제가 발생할 가능성이 제기되고 있으며, 장기적인 검증이 미흡한 상태에서
구조물에 적용될 경우 내구성 저하로 이루어질 수 있다(Brooks and AI-Kaisi 1990; Dehuai and Zhaoyuan 1997; Lim and Wee 2000; Hester et al. 2005; Bentz and Ferraris 2010; Duran-Herrera et al. 2011, Kuder et al. 2012; Jeong et al. 2015). 그럼에도 불구하고 국내에서는 이러한 삼성분계 콘크리트의 품질 관리에 대한 기준이나 규제가 부재한 상황으로 이에 대한 대응책 마련이 시급하다.
이에 본 연구에서는 국내 삼성분계 콘크리트의 기준 제정을 위한 기초 데이터 확보를 목적으로 보통 포틀랜드 시멘트에 플라이 애시와 고로슬래그를 다양한
비율로 혼합한 삼성분계 콘크리트를 제작하였다. 제작된 시험체는 2019년 제작한 것으로 타설 후 옥외 노출 시험장으로 이동하여 5년간 노출 실험을
수행하였으며, 재령별 압축강도를 측정하여 일반 콘크리트와 비교하였다. 또한, 재령 5년차 시험체를 대상으로 탄산화 및 공극률 특성을 분석하였으며 이를
통해 삼성분계 콘크리트의 성능을 실증적으로 평가하고 향후 국내 혼합시멘트 표준 제정 및 품질 관리 지침 마련을 위한 기초 자료를 제시하고자 한다.
2. 실험개요
2.1 실험계획 및 재료
본 연구에서 사용한 결합재는 1종 보통 포틀랜드시멘트, 플라이 애시 및 고로슬래그 미분말을 사용하였으며 각 재료에 대한 특성은 Table 1과 같다. 또한 사용된 잔골재 및 굵은 골재는 국내에서 생산된 부순 골재를 사용하였으며 자세한 사항은 Table 2와 같다.
Table 1. Properties of binders
|
Item
|
Cement
|
Blast furnace slag
|
Fly ash
|
|
Density (g/cm3)
|
3.15
|
2.93
|
2.35
|
|
Fineness (cm2/g)
|
3,256
|
4,645
|
3,426
|
|
Chemical characteristic (%)
|
SiO2 20.6
|
35.9
|
58.4
|
|
Al2O3 5.4
|
16.7
|
18.4
|
|
Fe2O3 3.5
|
0.5
|
7.9
|
|
CaO 60.4
|
39.5
|
5.3
|
|
MgO 4.1
|
3.8
|
1.7
|
|
SO3 2.5
|
4.0
|
-
|
|
K2O 1.07
|
0.51
|
1.4
|
|
Na2O 0.08
|
0.24
|
1.5
|
Table 2. Physical properties of aggregates
|
Type
|
Gmax (mm)
|
Specific gravity (g/cm3)
|
Water absorption (%)
|
Fineness modulus (FM)
|
|
Sand
|
-
|
2.56
|
2.62
|
2.59
|
|
Gravel
|
25
|
2.64
|
0.82
|
6.87
|
본 연구에서 사용된 배합은 결합재의 치환율에 따라 기준 배합을 포함하여 총 4종류의 배합으로 구성되며 이때 물/결합재비는 50 %로 자세한 사항은
Table 3과 같다. 사용된 결합재의 종류는 1종 보통포틀랜드 시멘트, 플라이 애시 및 고로슬래그로 구성되며 결합재의 혼입 비율 및 혼입량에 따라 구분된다.
OPC는 1종 보통포틀랜드 시멘트를 100 % 사용한 배합이며, B2F1는 1종 시멘트 70 %, 고로슬래그 20 % 및 플라이 애시 10 %이다.
B3F1의 경우 1종 시멘트 60 %, 고로슬래그 30 % 및 플라이 애시 10 %이며, B3F2의 경우 1종 시멘트 50 %, 고로슬래그 30 %
및 플라이 애시 20 %로 구성된다.
Table 3. Mixture proportions
|
Type
|
W/B (%)
|
S/a (%)
|
Unit weight (kg/m3)
|
|
W
|
C
|
GGBS
|
F
|
G
|
S
|
|
OPC
|
50
|
42
|
175
|
350
|
-
|
-
|
730
|
1020
|
|
B2F1
|
245
|
70
|
30
|
|
B3F1
|
210
|
105
|
35
|
|
B3F2
|
175
|
105
|
70
|
실험체는 타설 후 2일간 습윤 양생을 실시한 후 26일간 기건 양생을 수행하였으며, 29일차 옥외 노출 시험장으로 이동하여 노출 시험을 수행하였다.
2.2 옥외 노출 시험장
옥외 노출 시험장은 고양시 대화동 인근에 있으며 Fig. 1과 같다. 옥외 노출 시험장의 주변 환경은 겨울 평균 온도 기준 –1.8 °C, 여름 평균 온도 기준으로 24.2 °C이며, 겨울 평균 습도는 60.2
%, 여름 평균 습도는 76.3 %를 나타내며 자세한 사항은 Table 4와 같다.
Table 4. Environment of outdoor exposure test site
|
Environmental factor
|
Value
|
|
Highest temperature (°C)
|
36.3
|
|
Lowest temperature (°C)
|
-20.5
|
|
Number of days with precipitation (day)
|
103.8
|
|
Relative humidity
(days)
|
RH≥90 %
|
19.4
|
|
RH≥95 %
|
6.2
|
|
Number of days with snowfall (day)
|
8.8
|
|
Distance from sea shore
|
> 1 km
|
Fig. 1. Outdoor exposure test site
2.3 실험방법
삼성분계 콘크리트의 재령 5년차 물리적 성능을 평가하기 위하여 압축강도, 탄산화 깊이 및 공극률을 측정하였다.
압축강도 시험은 KS F 2405(KATS 2022a)을 준용하여 ∅100 mm×200 mm 크기의 원주형 시험체를 제작한 후 재령 28일, 1년, 5년에 강도를 측정하였으며 배합당 3개씩 측정하였다.
탄산화 시험은 KS F 2596(KATS 2024a)에 따라 시험체를 할렬한 후, 절단면에 페놀프탈레인 용액을 분사하여 탄산화 깊이를 측정하였다. 이때 측정한 시험체는 Fig. 2와 같으며, 배합당 2개씩 측정하였다.
Fig. 2. Carbonation measurement
공극률 측정은 ASTM C642(2021) 시험 방법을 적용하였다. ∅100 mm×200 mm 원주형 시험체를 두께 5 cm로 절단한 뒤, 마감면과 바닥면을 제외한 두 개의 절편을 사용하여
시험을 수행하였다(Fig. 3 참조).
Fig. 3. Porosity measurement (ASTM C642)
2.4 국내・외 기준에 명시된 압축강도 모델식 검토
본 연구에서는 시간 경과에 따른 콘크리트 압축강도 발현 특성을 분석하기 위하여 국내·외에서 많이 사용되는 기준을 참고하여 압축강도 발현 모델을 Table 5와 같이 정리하였다. 일반적으로 이러한 모델식은 시멘트 종류 및 양생 조건 등에 따라 결정되는 변수를 포함한다.
국내 기준(KDS 14 20 10)(KCI 2022)과 미국 ACI 209R(2008) 모델은 시멘트 종류와 양생 조건을 계수로 반영하여 장기 압축강도를 예측하며, 국내 기준은 5개의 상수를, 미국 기준은 3개의 상수를 제시한다. 반면,
유럽(fib model code)과 일본(JSCE) 모델식은 시멘트 종류만을 고려하는 특징을 갖는다.
본 연구에서는 각 모델에 대해 1종 보통 포틀랜드 시멘트에 해당하는 매개변수를 적용하였다. 이는 배합별 새로운 매개변수를 제안하기보다는 실험 결과와의
직접적인 비교를 하기 위함이며, 적용된 모델식을 바탕으로 재령 5년차 삼성분계 콘크리트의 실험 결과와의 비교·분석을 수행하였다.
Table 5. Models on strength development in the standard codes
|
Code
|
Equation
|
Parameters
|
|
ACI 209R
|
$f_c(t) = \frac{t}{a+b \cdot t} f_{c28}$
|
Type of cement
|
Moist-cured concrete
|
Steam-cured concrete
|
|
a
|
b
|
a
|
b
|
|
Ordinary portland cement
|
4.0
|
0.85
|
1.0
|
0.95
|
|
High early strength portland cement
|
2.3
|
0.92
|
0.7
|
0.98
|
|
fib model code (MC2010)
|
$f_c(t) = \beta_{cc} \cdot f_{c28}$
$\beta_{cc}(t) = \exp[s(1-\sqrt{\frac{28}{t}})]$
|
Strength class of cement
|
32.5N
|
32.5R 42.5N
|
42.5R, 52.5N 52.5R
|
|
s
|
0.38
|
0.25
|
0.20
|
|
Japan society of civil engineers (JSCE)
|
$f_c(t) = \frac{t}{a+b \cdot t} d(28) f_{28}'$
|
Type of cement
|
a
|
b
|
d(28)
|
|
Ordinary porland cement
|
4.5
|
0.95
|
1.11
|
|
Moderate heat portland cement
|
6.2
|
0.93
|
1.15
|
|
High early strength portland cement
|
2.9
|
0.97
|
1.07
|
|
KDS 14 20 10
|
$f_c = \beta_{cc}(t) \cdot f_{c28}$
$\beta_{cc}(t) = \exp[\beta_{sc}(1-\sqrt{\frac{28}{t}})]$
|
Type of cement
|
Wet condition
|
Steam concrete
|
|
Type 1 Ordinary portland cement
|
0.35
|
0.15
|
|
High early strength portland cement
|
0.25
|
0.12
|
|
Moderate heat portland cement
|
0.4
|
3. 실험 결과
3.1 재령별 압축강도
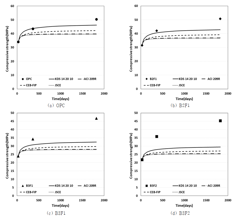
Fig. 4는 삼성분계 혼입 콘크리트의 종류에 따른 재령별 압축강도를 나타낸 것이다. 기준 시험체(OPC)의 경우 재령 28일 압축강도는 약 34 MPa로 나타났으며,
재령 1년차에는 약 30 % 증가한 44 MPa, 재령 5년차에는 재령 28일 강도 대비 약 50 % 증가한 50.3 MPa를 나타내었다.
B2F1 시험체의 경우 재령 28일 압축강도는 31.5 MPa로 기준 시험체보다 약 2 MPa 낮았으며, 재령 1년차에는 42.1 MPa로 OPC보다
약 1 MPa 낮은 값을 보였다. 그러나 재령 5년차 강도는 51.0 MPa로 기준 시험체와 유사한 수준을 나타냈다. B3F1 시험체의 재령 28일
강도는 23.9 MPa로 기준 시험체보다 약 10 MPa 낮았으며, 재령 1년차에는 34.3 MPa, 재령 5년차에는 46.8 MPa를 나타내었다.
B3F2 시험체의 경우 재령 28일 강도는 21.7 MPa로 가장 낮은 값을 보였고, 재령 1년차에는 35.8 MPa, 재령 5년차에는 45.3 MPa를
나타내어 기준 시험체 대비 약 5~7 MPa 낮은 수준을 유지하였다.
혼화재 치환율에 따른 압축강도를 분석한 결과, 혼화재의 함량이 증가할수록 초기 강도는 기준 시험체보다 낮은 강도를 나타내었다. 이러한 원인은 플라이
애시(FA) 및 고로슬래그(BS)의 치환율이 증가할수록 포졸란 반응이 지배적으로 작용하여 초기 수화가 지연되기 때문으로 판단된다(Kuder et al. 2012). 특히 FA와 BS가 Ca(OH)2와 반응함에 따라 천이대(ITZ)의 조직 및 공극 구조가 OPC 단독으로 사용한 콘크리트와 다르며 치밀하지 못한 구조로 인해 시멘트 페이스트와 골재의
부착 강도가 저하되어 초기 압축강도가 감소한 것으로 해석된다. 따라서 혼화재 치환율이 50 % 이상인 경우, 재령 초기 강도 발현에 대한 주의와 보완이
필요할 것으로 판단된다.
한편, 재령별 강도 발현 경향을 비교한 결과, 혼화재 치환율이 30 %인 B2F1 시험체는 재령 28일차에 기준 시험체와 약 2.5 MPa의 차이를
보였으나, 재령 5년차에는 기준 시험체와 거의 유사한 강도를 나타냈다. 반면, 혼화재 치환율이 50 %인 시험체들은 재령 28일차에는 약 12.3
MPa의 강도 차이를 보였으나, 재령 5년차에는 약 5.0 MPa로 그 차이가 감소하였다. 이는 장기 재령에서 포졸란 반응이 지속적으로 진행되면서
Ca(OH)2가 소비되고, 생성된 수화물에 의해 공극이 충전되어 강도가 증가한 결과로 해석된다.
Fig. 4. Compressive strength of concrete exposed to outdoor conditions over five years
3.2 강도 예측식과 비교
Fig. 5는 삼성분계 혼입 콘크리트의 종류별 압축강도를 Table 5에 제시된 모델과 비교한 결과를 나타낸 것이다. 모든 모델의 기준 28일 압축강도는 본 연구에서 측정된 값을 적용하였다. 분석 결과, 실측 압축강도는
국내외 기준 모델에서 예측한 값보다 전반적으로 높게 나타났으며, 모델별로는 KDS 식이 가장 큰 값을, JSCE 식이 가장 작은 값을 나타내었다.
또한 시험체 종류와 관계없이 KDS 식이 실측값과 가장 낮은 오차율을 나타냈다.
기준 시험체(OPC)의 경우, 재령 1년차 강도는 KDS 식과 유사한 수준을 보였으며, 재령 5년차에서는 실측값과 예측값 사이에 약 4~11 MPa의
차이가 발생하였다. B2F1 시험체의 경우, 재령 1년차 강도는 42.1 MPa로 KDS 식의 예측값과 거의 일치하였으며, 재령 5년차에서는 모델과
실측값의 차이가 약 8~14 MPa로 나타났다. B3F1 시험체는 재령 1년차에서 실측값과 예측값 간 차이가 약 4~7 MPa였으나, 재령 5년차에는
약 14~19 MPa까지 확대되었다. 마지막으로 B3F2 시험체의 경우, 재령 1년차에는 약 8~11 MPa의 차이를 보였고, 재령 5년차에는 약
16~20 MPa의 차이를 나타냈다.
한편, 실측값과 예측값을 비교한 결과, 혼화재 치환율이 50 % 미만인 경우에는 모델 종류와 관계없이 재령 1년차의 강도 차이가 허용 편차 범위 이내로
나타났다. 그러나 장기 재령, 즉 재령 5년차의 경우에는 시험체 종류와 관계없이 예측 모델과 실측값 사이에 최소 8 MPa에서 최대 20 MPa까지의
차이가 발생하였다. 따라서 혼화재 치환율이 30 % 이하인 경우, 재령 1년차까지는 국내 기준(KDS 14 20 10)을 활용하여 강도를 비교적 정확하게
예측할 수 있을 것으로 판단된다. 이는 국내 기준이 다른 해외 모델에 비해 국내 재료적 특성과 환경 조건을 보다 잘 반영하고 있기 때문으로 해석된다.
한편, 삼성분계 콘크리트의 재령 5년차 강도를 기존 모델로 예측할 경우 실측값보다 보수적인 결과가 도출될 수 있음을 확인할 수 있었다. 이러한 원인은
기존 모델식이 장기 재령에서의 혼화재 반응 특성을 충분히 반영하지 못하는 한계에 기인한 것으로 판단되며, 향후 장기 강도 발현 특성을 고려한 새로운
예측식이 필요할 것으로 판단된다.
Fig. 5. Comparison of models vs. experimental results for the compressive strength
3.3 삼성분계 콘크리트의 강도 예측 모델
국내 환경에서 실측한 압축강도 데이터를 바탕으로 재령에 따른 강도 예측 모델식을 도출하기 위하여 Fig. 6과 같이 재령별 압축강도를 나타내었다. 재령별 강도 분석 결과, 고로슬래그 및 플라이 애시 혼입 비율에 따라 크게 두 개의 그룹으로 구분되는 것을
확인할 수 있었다. 따라서, 재령별 압축강도 거동 특성을 더욱 명확히 분석하기 위해 혼입 비율에 따라 두 개의 그룹으로 구분하여 강도 예측 모델을
도출하였다.
본 연구에서는 콘크리트 강도 발현과 관련하여 예측식을 도출할 때 일반적으로 사용되는 선형, 2차 곡선식 및 로그 모형 등을 대상으로 회귀분석을 수행하였으며
데이터에 가장 적합한 로그 모형을 최종 모델로 채택하였다. 이때 도출된 상수 $a$, $b$ 및 결정계수 $R^2$은 Table 6에 나타내었다.
Fig. 6. Compressive strength by age
Table 6. Korea Institute of Civil Engineering and Building Technology (KICT) compressive
strength prediction model
|
Ternary binder replacement ratio ($x$)
|
$y = a \cdot \ln(t) + b$
|
|
$a$
|
$b$
|
$R^2$
|
|
$x \le 30$ %
|
4.2298
|
18.435
|
0.9839
|
|
30 % < $x \le 50$ %
|
5.4920
|
3.980
|
0.9814
|
3.4 탄산화
Fig. 7은 삼성분계 콘크리트의 재령 1년 및 재령 5년차의 탄산화 깊이를 나타낸 것이다. 분석 결과, 고로슬래그 및 플라이 애시의 혼입률이 증가함에 따라
탄산화 깊이가 증가하는 경향을 나타내었다.
기준 시험체(OPC)의 경우, 재령 1년차와 5년차에서 각각 약 3.6 mm와 3.9 mm의 탄산화 깊이를 나타냈다. B2F1 시험체는 재령 1년차
약 6.2 mm, 5년차 약 6.6 mm를 나타내었으며, B3F1 시험체는 재령 1년차 6.1 mm, 5년차 7.3 mm의 탄산화 깊이를 나타내었다.
B3F2 시험체의 경우, 재령 1년차 약 8.9 mm, 5년차 약 10.4 mm로 가장 큰 탄산화 깊이를 나타내었다. 혼화재의 치환율이 증가함에 따라
탄산화 깊이가 증가하는 원인은 단위 시멘트량이 감소하여 수화반응 과정에서 생성되는 Ca(OH)2의 양이 줄어들기 때문으로 판단된다(KICT 2015; Jeon et al. 2018). 또한, 기존 문헌에서도 고로슬래그 및 플라이 애시 혼입 시 수화 반응 과정에서 Ca 이온의 감소와 함께 포졸란 반응에 의해 Ca(OH)2가 추가적으로 소비되어 탄산화 저항성이 낮아진다고 보고하고 있다(Richardson 2004; Ryu et al. 2012; Liua et al. 2016). 따라서 고로슬래그와 플라이 애시를 동시에 혼입한 삼성분계 콘크리트는 재령 초기부터 혼화재의 복합적 작용으로 인해 탄산화가 촉진되는 경향을 나타내며,
이러한 현상은 혼화재료의 혼입률이 증가할수록 뚜렷하게 나타내었다(Jeon et al. 2018).
한편, 모든 시험체의 재령 1년차와 5년차의 탄산화 깊이가 큰 차이가 나타나지 않은 것은 OPC의 경우 초기 수화반응에서 칼슘 수산화물(Ca(OH)2과 C-S-H 겔이 형성되고, 이후 시간이 지남에 따라 시멘트 페이스트 내 공극 구조가 점차 치밀해지기 때문으로 판단된다. 또한, 다른 시험체와 달리
상대적으로 낮은 CO2의 투과성 역시 이러한 현상에 영향을 미친 것으로 사료된다(KICT 2015). 반면 삼성분계 콘크리트의 재령 1년차와 5년차 탄산화 깊이가 큰 차이를 보이지 않은 것은 장기적인 포졸란 반응으로 미세공극이 충진되어 미세구조가
치밀화되었기 때문으로 해석된다. 아울러, 초기 탄산화 과정에서 형성된 탄산화층이 이후 CO2 확산을 억제하는 보호막 역할을 수행한 것도 원인으로 판단된다. 즉, 삼성분계 콘크리트는 타설 후 재령 1년차까지는 탄산화가 뚜렷하게 진행되나, 이후에는
진행 속도가 현저히 둔화되는 경향을 보이며, 이에 따라 장기 내구성 평가를 위해서는 재령 초기 탄산화에 대한 관리와 더불어 장기적인 모니터링이 필요할
것으로 판단된다(KICT 2015).
Fig. 7. Carbonation depth
3.5 공극률
Fig. 8은 삼성분계 콘크리트의 재령 5년차 공극률을 나타낸 것으로, ASTM C642(2021) 시험방법을 참고하여 측정하였다. 이때, ASTM C642(2021)에서는 콘크리트 내부에서 물이 채울 수 있는 공간을 공극률로 평가한다(Son et al. 2022).
분석 결과, 재령 5년차 시험체의 공극률은 약 6.8~8.5 % 범위로 나타났으며, 시험체 종류에 관계없이 유사한 공극률을 나타내었다. 기준 시험체(OPC)는
약 7.7 %의 공극률을 보였으며, B2F1은 6.8 %로 가장 낮은 값을 나타냈다. B3F1과 B3F2는 각각 7.9 % 및 8.1 %로, 기준
시험체와 유사한 공극률을 나타내었다. 이러한 결과는 기존 문헌과 다른 결과로 기존 문헌에서는 플라애이시 및 고로슬래그 미분말을 혼입한 콘크리트는 재령
초기에 100 nm 이상의 공극량이 증가하나 전체 공극량은 일반 콘크리트에 비해 감소하는 경향을 보이며 재령이 증가함에 따라 이러한 차이는 더욱 뚜렷하게
나타나는 것으로 보고되고 있다(Lee et al. 2008; Lee et al. 2009). 그러나 본 연구에서 ASTM C642 (2021) 방법으로 측정한 결과, 재령 5년차 시험체의 공극률은 혼화재료 혼입량에 따른 명확한 차이를 나타내지 않았다. 이는 ASTM C642(2021) 시험방법이 물이 침투 및 포화가 가능한 공극만을 측정하며 나노스케일 수준의 미세공극은 평가할 수 없는 한계가 있기 때문으로 판단된다(Son et al. 2022). 따라서 혼화재의 혼입량이 공극 구조에 미치는 영향을 보다 정밀하게 규명하기 위해서는 수은 압입 공극률(mercury intrusion porosimetry,
MIP)과 같은 보완적 분석 방법의 적용이 필요할 것으로 판단된다.
Fig. 8. Air content by cement type
4. 결 론
본 연구에서는 플라이 애시 및 고로슬래그를 혼입한 삼성분계 콘크리트의 재령 5년차 물리적 특성을 검토하였으며 다음과 같은 결론을 도출하였다.
1) 혼화재 혼입량이 증가할수록 초기 및 장기 강도가 기준 시험체보다 최소 1.4 MPa에서 최대 12.3 MPa 낮게 나타내었다.
2) 국내외 강도 예측 모델 4종과 본 연구에서 확보한 실측값을 비교한 결과 국내 모델식(KDS)이 실측값과 가장 근접한 결과를 나타내었다.
3) 혼화재 치환율이 증가할수록 탄산화 깊이가 증가하는 경향을 나타내었으며 재령 1년 이후에는 탄산화 진행 속도가 둔화되는 것으로 확인되었다.
4) ASTM C642 방법으로 측정한 재령 5년차 시험체의 공극률은 6.8~8.5 % 범위를 나타내었으며 시험체 종류 간 큰 차이는 관찰되지 않았다.
감사의 글
본 연구는 한국건설기술연구원 연구운영비지원사업(주요사업)인 ‘국민 안전을 위한 스마트 인프라 구조기술 연구(수행과제 번호: 20250206-001)’
과제에 의해 수행되었습니다.
References
2021, 2050 Carbon-Neutral Scenarios2050 CNGG Commission, , 2050 Carbon Neutrality
and Green Growth Commission (CNGG Commission)

2008, Guide for Modeling and Calculating Shrinkage and Creep in Hardened Concrete
(ACI 209.2R-08)ACI Committee 209, , American Concrete Institute (ACI), Farmington
Hills, MI

2022, Standard Specification for Portland Cement (ASTM C150/C150M)ASTM, , ASTM International,
Pennsylvania, USA

2021, Standard Test Method for Density, Absorption, and Voids in Hardened Concrete
(ASTM C642)ASTM, , ASTM International, West Conshohocken, PA

Bentz D. P., Ferraris C. F., 2010, Rheology and Setting of High Volume Fly Ash Mixtures,
Cement and Concrete Composites, Vol. 32, No. 4, pp. 265-270

Brooks J. J., Al-Kaisi A. F., 1990, Early Strength Development of Portland and Slag
Cement Concretes Cured at Elevated Temperatures, Materials Journal, Vol. 87, No. 5,
pp. 503-507

2011, Cement – Part 1 Composition, Specifications and Conformity Criteria for Common
Cements (EN 197-1)CEN, , European Committee for Standardization (CEN), Belgium, Brussels

2021, Cement – Part 5 Portland-Composite Cement CEM II/C-M and Composite Cement CEM
VI (EN 197-5)CEN, , European Committee for Standardization (CEN), Belgium, Brussels

Cho W. J., Kim H. S., Ann K. Y., 2020, A Study on the Hydration Characteristics and
Fundamental Properties of Ternary Blended Cement Using Ferronickel Slag, Journal of
the Korean Recycled Construction Resources Institute, Vol. 8, No. 1, pp. 39-48, (In
Korean)

Cho W. J., Park K. P., Ann K. Y., 2022, Freeze-Thaw Resistance of Alkali Activated
Ternary Blended Cement Incorporated with Ferronickel Slag, Journal of the Korean Recycled
Construction Resources Institute, Vol. 10, No. 2, pp. 159-167, (In Korean)

Dehuai W., Zhaoyuan C., 1997, On Predicting Compressive Strengths of Mortars with
Ternary Blends of Cement, GGBFS and Fly Ash, Cement and Concrete Research, Vol. 27,
No. 4, pp. 487-493

Duran-Herrera A., Juarez C. A., Valdez P., Bentz D. P., 2011, Evaluation of Sustainable
High-Volume Fly Ash Concretes, Cement and Concrete Composites, Vol. 33, No. 1, pp.
39-45

Hester D., McNally C., Richardson M. A., 2005, A Study of the Influence of Slag Alkali
Level on the Alkali-Silica Reactivity of Slag Concrete, Construction and Building
Materials, Vol. 19, No. 9, pp. 661-665

Jeon B., Maruyama I., 2015, Early Age Hydration Behavior of Cement Paste with Blast
Furnace Slag and Lime-Based Expansive Admixture, Journal of Structural and Construction
Engineering (Transactions of AIJ), Vol. 80, No. 712, pp. 841-850

Jeon B., Kim H., Lee S., 2018, A Study on the Evaluation of the Carbonation Resistance
and Properties Ternary Blended Concrete according to Replacement Ratio of Blast Furnace
Slag and Fly Ash, Journal of the Korea Concrete Institute, Vol. 30, No. 1, pp. 23-30,
(In Korean)

Jeong Y., Park H., Jun Y., Jeong J., Oh J., 2015, Microstructural Verification of
the Strength Performance of Ternary Blended Cement Systems with High Volumes of Fly
Ash and GGBFS, Construction and Building Materials, Vol. 95, No. 1, pp. 96-107

Kang I. G., Shin S. C., Kim G. W., Kim J. M., 2023, Proposal of KS Establishment and
Amendment Roadmap for Carbon Neutrality in the Cement Industry, Ceramist, Vol. 26,
No. 4, pp. 381-398, (In Korean)

2022a, Test Method for Compressive Strength of Concrete (KS F 2405)KATS, , Korea Agency
for Technology and Standards (KATS), Korea Standard Association (KSA), Seoul, Korea,
(In Korean)

2022b, Portland Blast-Furnace Slag Cement (KS L 5210)KATS, , Korea Agency for Technology
and Standards (KATS), Korea Standard Association (KSA), Seoul, Korea, (In Korean)

2022c, Portland Pozzolan Cement (KS L 5401)KATS, , Korea Agency for Technology and
Standards (KATS), Korea Standard Association (KSA), Seoul, Korea, (In Korean)

2024a, Standard Test Method for Measuring Carbonation Depth of Concrete (KS F 2596)KATS,
, Korea Agency for Technology and Standards (KATS), Korean Standards Association (KSA),
Seoul, Korea, (In Korean)

2024b, Portland Fly-Ash Cement (KS L 5211)KATS, , Korea Agency for Technology and
Standards (KATS), Korea Standard Association (KSA), Seoul, Korea, (In Korean)

2022, Standard Concrete Specification (KDS 14 20 10)KCI, , Korea Concrete Institute
(KCI), Seoul, Korea, (In Korean)

2015, Revision of Eco-Friendly Concrete Standards: A Study on the Revision of Low
Carbon Type Concrete StandardsKICT, , Korea Institute of Civil Engineering and Building
Technology (KICT), (In Korean)

Kim J. B., Shin K. S., Park K. B., 2012, Mechanical Properties of Ultra High Strength
Concrete Using Ternary Blended Cement, Journal of the Korea Institute for Structural
Maintenance and Inspection, Vol. 16, No. 6, pp. 56-62, (In Korean)

Kuder K., Lehman D., Berman J., Hannesson G., Shogren R., 2012, Mechanical Properties
of Self Consolidating Concrete Blended with High Volumes of Fly Ash and Slag, Construction
and Building Materials, Vol. 34, pp. 285-295

Lee I. S., Hong S. M., Baek D. H., Kim K. H., Han M. C., Han C. G., 2009, Fundamental
Characteristics the Concrete According to Mixing Methods and Unit Water Content of
Ternary Blended Cement, Proceedings of the Korean Institute of Building Construction
Conference, Vol. 9, No. 2, pp. 133-136, (In Korean)

Lee S. H., Song T. H., Park J. O., Jeon C. S., Kim H. S., Choi S. M., Kim S. H., Jeon
B. H., 2015, Revision of Eco-Friendly Concrete Standards – A Study on the Revision
of Low Carbon Type Concrete Standards, Korea Institute of Civil Engineering and Building
Technology, Gyeonggi-do, Korea

Lim S. N., Wee T. H., 2000, Autogenous Shrinkage of Ground-Granulated Blast-Furnace
Slag Concrete, ACI Materials Journal, Vol. 97, No. 5, pp. 587-593

Lee S. S., Rho H. N., Song H. Y., 2008, An Experimental Study on the Quality Properties
of Mortar Using High Volume Fly-Ash, Journal of the Architectural Institute of Korea
Structure and Construction, Vol. 24, No. 8, pp. 171-178, (In Korean)

Son J. J., Kim J. H., Chung C. W., 2022, Comparison of Void Content Between Cyldrical
Concrete Specimen and Concrete Core Specimen Using ASTM C642 Test Procedure, Journal
of the Korea Institute of Building Construction, Vol. 22, No. 6, pp. 631-640

Richardson M. G., 2004, Fundamentals of durable reinforced concrete, CRC Press

Ryu H. S., Pyo S. H., Kwon S. J., 2012, Analysis of Carbonation Velocity for Concrete
with Fly Ash and Blast Furnace Slag, Journal of the Korea Institute for Structural
Maintenance and Inspection, Vol. 16, No. 6, pp. 131-137, (In Korean)

Liua Z., Meng W., 2016, Effects of Fly Ash, Slag and Silica Fume on Carbonation Resistance
of Concrete, Key Engineering Materials, Vol. 703, pp. 216-223
