윤정수
(Jungsoo Yoon)
1†iD
황석환
(Seok-Hwan Hwang)
2iD
강나래
(Narae Kang)
3iD
김석현
(Seokhyeon Kim)
4iD
-
교신저자 ․ 한국건설기술연구원 수자원하천연구본부 수석연구원
(Corresponding Author ․ Korea Institute of Civil Engineering and Building Technology
․ jungsooyoon@kict.re.kr)
-
정회원 ․ 한국건설기술연구원 수자원하천연구본부 연구위원
(Korea Institute of Civil Engineering and Building Technology ․ sukany@kict.re.kr)
-
종신회원 ․ 한국건설기술연구원 수자원하천연구본부 수석연구원
(Korea Institute of Civil Engineering and Building Technology ․ naraekang@kict.re.kr)
-
한국건설기술연구원 수자원하천연구본부 박사후연구원
(Korea Institute of Civil Engineering and Building Technology ․ seokhyeonkim@kict.re.kr)
Copyright © 2025 by the Korean Society of Civil Engineers
키워드
소형 강우레이더, Solid State Power Amplifier(SSPA), 도심지 돌발홍수, 레이더 강우 정확도
Key words
Small rain-radar, SSPA(Solid State Power Amplifier), Urban flash flood, Accuracy of radar rainfall
1. 서 론
도시 유역은 불투수면적이 커 자연 유역과 비교하여 지체시간이 짧고 첨두유출량 및 유출용적이 크다는 수문 특성을 지니고 있다. 이에 도시 유역에서는
인위적인 우수관망시스템과 펌프장 등을 운영하여 도시 유역 특유의 수문 특성에 대응하고 있다. 하지만 이러한 구조물적인 대응은 비용의 한계로 인해 구조물의
설계 강우 이상의 극한강우에 대응하기에는 한계가 있을 수밖에 없다(Rosenberg et al., 2010; Ali et al., 2014; Zhou et al., 2017). 이에 최근 일부 지자체에서는 침수예측시스템(부산시 도시침수통합정보시스템 등)을 활용하여 도심지 중요 지역에서의 홍수를 미리 예측하고 대응하는 기술을
도입하고 있다.
국내 도심지에서의 홍수예측은 도시 유출모형(SWMM 등)을 통해 도심지에서의 침수심 및 면적을 미리 산정하여 예측 강우 입력 시 도심지에서의 침수를
예측하는 방식을 일반적으로 채택하고 있다(Shin et al., 2007, Yoon et al., 2014; Kim et al., 2022). 이에 도심지에서의 홍수예측은 도시 유출모형을 통한 침수해석 못지않게 모형에 입력되는 예측강우의 정확도가 매우 중요하다. 또한 도시지역은 다양한
구조물들이 복잡하게 얽혀 있기 때문에 보다 정밀한 침수해석이 필요하며 이를 위해서는 예측강우의 시공간해상도 역시 높아야 한다(Henonin et al., 2013; Berkhahn et al., 2019; Chitwatkulsiri and Miyamoto, 2023).
강우레이더는 원거리에서의 강우를 높은 시공간해상도로 관측할 수 있어 높은 시공간해상도의 예측 강우를 생산할 수 있다. 현재 환경부 대형 강우레이더(S밴드
이중편파레이더)로부터 생산되고 있는 예측 강우는 10분의 시간 해상도(최대 1분)와 250 m의 공간 해상도로 제공되고 있다(Hwang et al., 2020). 이러한 대형 강우레이더는 강우 관측만을 목적으로 국내에 총 7기가 도입되어 극한강우 실황관측 및 예측강우 생산 등 홍수 감시에 활용되고 있다.
그리고 한국건설기술연구원에서는 강우 레이더의 레이더 강우 정확도를 90 % 이상의 수준으로 높이고 정확도 높은 레이더 예측 강우를 읍면동 돌발홍수예측
시스템에 활용하고 있다(Hwang et al., 2020; Yoon et al., 2021; Yoon et al., 2023).
대형 강우레이더는 대유역에서의 홍수 감시를 목적으로하고 있기 때문에 유역 전체를 관측할 수 있는 유역 중심부의 높은 산지에 주로 설치되어 있다. 이에
산악 지형이 많은 우리나라에서는 레이더 관측 공백지역이 일부 존재할 수밖에 없었으며, 특히 유역 중심부와 멀리 떨어진 일부 해안 도시지역들은 관측
공백지역이 될 수밖에 없었다. 이에 환경부에서는 소형 강우레이더(X밴드 이중편파레이더)를 도입하여 이러한 관측 공백지역을 해소하고자 하였다(ME, 2021). 또한 소형 강우레이더는 대형 강우레이더에 비해 시공간적인 해상도가 더 높아(시간해상도 1분 이하, 공간해상도 150 m 이하) 도시 지역에서의
홍수예측에 더 적합한 것으로 알려져 있다(Smith et al., 2007; Bruni et al., 2015; Chen and Chandrasekar, 2015; Yoon et al., 2017).
소형 강우레이더(약 3 cm 파장)는 대형 강우레이더(약 10 cm 파장)와는 다른 파장대의 전자기파를 사용하고 있어 편파변수들(반사도, 차등반사도,
비차등위상차 등)의 품질 수준이 서로 다르다. 이에 대형 강우레이더는 레이더 강우 변환 시 주요 편파변수가 반사도(이하 Z) 및 차등반사도(이하 ZDR)이지만, 소형 강우레이더의 주요 편파변수는 비차등위상차(이하 KDP)이다. 물론 소형 강우레이더 역시도 Z 및 ZDR를 제공하고 있지만 대형 강우레이더에 비해 그 편의가 심하게 나타나고 있다. 반면 소형 강우레이더는 KDP의 품질이 좋아 KDP로부터 추정된 레이더 강우의 정량적 정확도는 90 % 이상의 수준으로 나타나고 있다(Yoon et al., 2018; Yoon et al., 2020).
본 연구에서는 도심지에서의 관측 공백 및 홍수 예보를 위해 도입된 부산 소형 강우레이더의 돌발홍수 활용성을 위해 정확도를 검토하였다. 이를 위해 38개의
주요 호우사례를 정확도 검토에 적용하였다. 또한 소형 강우레이더에서 제공되고 있는 레이더 편파변수들(Z, ZDR, KDP)의 품질을 검토하고 편의를 보정하여 보정 전후에 따른 정확도를 검토하였다.
2. 부산 소형 강우레이더 도입 및 제원
국내에는 총 7기의 대형 강우레이더(비슬산, 소백산, 서대산, 모후산, 가리산, 예봉산, 감악산)가 설치되어 있지만 여전히 산악, 해안 및 일부 도시지역에서의
관측취약이 존재하고 있다. 이에 환경부는 2025년까지 1단계로 총 7기의 소형 강우레이더를 도입할 계획이며, 효과 검증 후 운영 기반을 마련하여
2026년부터 2단계를 마련할 계획이다(ME, 2021). 부산 소형 강우레이더는 이러한 관측취약을 보완하는 계획의 일환으로 설치된 소형 강우레이더이다. 부산 소형 강우레이더는 X밴드 이중편파레이더로 전력증폭기의
경우 반도체 소자를 이용한 Solid State Power Amplifier (SSPA)를 이용하고 있다. SSPA는 기존 진공관방식인 마그네트론
및 클라이스트론에 비해 수명이 길고 안정도가 높으며 소형화가 가능하다는 장점이 있다. 부산 소형 강우레이더의 보다 정확한 제원은 Table 1과 같다.
Table 1. Specifications of Busan Small Rain-radar
|
Classification
|
Specifications
|
|
Manufacture
|
Vaisala
|
|
Antenna diameter(m)
|
2.4
|
|
Beam width(°)
|
<1°
|
|
Transmitting tube
|
SSPA(Solid State Power Amplifier)
|
|
Band
|
X
|
|
Transmitting frequency(MHz)
|
9,410 ~ 9,114
|
|
Peak power(W)
|
400(H), 400(V)
|
|
Pulse width(μs)
|
1, 4, 44, 90
|
Fig. 1은 부산 소형 강우레이더의 최적 관측전략을 검토하기 위한 차폐시뮬레이션 결과를 나타낸다. 레이더 관측 반경을 60 km로 설정하고 관측 반경 전체에
대한 차폐시뮬레이션을 수행한 결과(Fig. 1(a)) 출현 빈도(Frequency)가 고도각 1.6°에서 95 %, 고도각 2.3°에서 100 %로 나타났다. 여기서 출현 빈도는 방사된 레이더 빔이
반경 내에서 목표 물체에 부딪혀 산란 후 레이더에 수신된 정도를 나타내며, 100 % 가까울수록 레이더 차폐가 없는 것을 의미한다. 부산시만을 기준으로
한 차폐시뮬레이션 결과(Fig. 1(b))에서는 출현 빈도가 고도각 0.7°에서 95 %, 고도각 1.6°에서 100 %로 나타났다. 이에 부산 소형 강우레이더는 두 개의 고도각(0.7°,
1.6°)으로 부산시 전체에서의 강우 관측이 가능하다.
Fig. 1. Simulated Beam Blockage of Busan Small Rain-radar. (a) Based on Entire Radar
Range, (b) Based on Busan City Within Radar Range
3. 소형 강우레이더의 정확도
3.1 적용사례 및 강우 추정 알고리즘
부산 소형 강우레이더의 정확도 검토를 위해 적용된 강우 사례는 Table 2와 같다. 강우 사례는 부산 소형 강우레이더 관측 반경 내에 위치한 기상청 우량계 지점(부산, 울산, 창원, 밀양, 김해, 양산)에 비가 내린 사례로
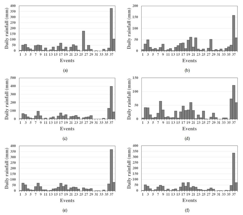
선정하였다. Fig. 2는 6개 기상청 우량계 지점의 강우 사례 별 일강수량을 나타낸다. 강우 크기에 따른 정확도를 검토하기 위해 크고 작은 모든 사례를 선정하였으며, Fig. 2에서 x축은 38개의 강우사례를(2월 20일부터 10월 22일까지) 의미한다.
Table 2. Applied Events
|
Year
|
Site
|
No.
|
Month/Day
|
|
2024
|
Busan
|
38
|
02/20, 03/28, 04/03, 04/15, 04/20, 04/23, 04/29, 05/05, 05/06, 05/07, 05/12, 05/15,
05/26, 06/08, 06/15, 06/22, 06/29, 06/30, 07/02, 07/09, 07/10, 07/14, 07/16, 07/19,
07/20, 07/24, 08/08, 08/20, 08/21, 08/27, 08/28, 09/03, 09/06, 09/11, 09/16, 09/20,
09/21, 10/22
|
Fig. 2. Daily Rainfall at Six Rain Gauge Stations. (a) Busan, (b) Ulsan, (c) Changwon,
(d) Milyang, (e) Kimhae, (f) Yangsan
본 연구에서는 Joint Polarization Experiment(이하 JPOLE) 알고리즘과 비차등위상차(이하 KDP) 알고리즘을 활용하여 레이더 강우를 추정하였다. JPOLE 알고리즘은 3개의 편파변수인 Z, ZDR, KDP의 조합을 이용하여 레이더 강우를 추정하는 알고리즘으로 강우 추정 과정은 Fig. 3과 같다(Ryzhkov et al., 2005).
Fig. 3. Flowchart of Radar Rainfall Estimation Using JPOLE Alogrithm
KDP 알고리즘은 KDP 만을 이용한 레이더 강우 추정 알고리즘으로 아래 식으로 레이더 강우를 산정한다(Wang and Chandraseker, 2010).
Z와 ZDR은 레이더의 전력으로부터 산정되는 변수들로 안정적으로 레이더 강우를 추정할 수 있다는 장점이 있다. 하지만 두 변수들의 경우 감쇄와 부분차폐로 강우를
과소하게 추정할 수 있다는 단점이 있다. 한편 KDP는 레이더 위상정보인 차등위상차(ΦDP)의 거리 미분으로 산정되어 감쇄와 부분차폐로 인한 영향을 받지 않는다는 장점이 있다. 하지만 KDP는 산정 알고리즘이나 알고리즘 파라미터에 따라 변동성이 크게 나타날 수 있다는 단점이 있다.
레이더 강우의 정확도 검증에 사용된 통계 검증값들은 Eq. (2)에서 Eq. (4)와 같다. QA(Quantitative Accuracy)는 레이더 강우의 정량적 정확도 통계 검증값으로 100 %에 가까울수록 레이더 강우의 정량적
정확도가 높음을 의미한다. 정량적 정확도는 오차의 변동성이 크게 나타나는 경우에도 100 %에 가깝게 나타날 수 있다. 이에 정확도 검증은 정량적
정확도와 함께 오차의 변동성이 반영될 수 있도록 정밀도 통계 검증값을 함께 적용해야 한다. 1-NE(Normalized Error)는 정량적인 정확도와
함께 정밀도를 측정하는 통계 검증값으로 QA와 마찬가지로 100 %에 가까울수록 레이더 강우의 정량적 정확도와 정밀도가 높음을 의미한다. CC(Correlation
Coefficient)는 레이더 강우의 정밀도를 측정하는 통계 검증값으로 1에 가까울수록 레이더 강우의 정밀도가 높음을 의미한다. 또한 레이더 강우의
정확도 산정을 위해 낙동강홍수통제소 관할의 우량계를 활용하였으며 60 km 레이더 반경 내에 총 39개의 우량계가 위치해 있다(Fig. 4).
Fig. 4. Location of Busan Small Rain-radar and Rain Gauges
3.2 편파변수의 품질 검토 및 편파변수 보정
레이더 강우의 정확도는 편파변수들의 품질로 결정된다. 편파변수는 다양한 원인으로 오차가 발행하여 그 원인에 해당하는 오차를 각각 제거하기가 쉽지 않다.
이에 본 연구에서는 레이더로부터 최종적으로 산출된 레이더 편파변수들을 우량계 강우를 활용하여 실시간으로 최적화하는 Yoon et al.(2021)의 방법을 적용하였다. Yoon et al.(2021)의 방법은 편파변수들에 보정값을 부여하여 레이 강우를 추정하고 레이더 강우를 우량계 강우와 비교하여 정확도를 계산한 후 정확도가 가장 높은 최적의
편파변수들을 실시간으로 선택한다. 이에 따라 레이더 강우의 정확도가 가장 높은 편파변수들의 조합이 결정된다.
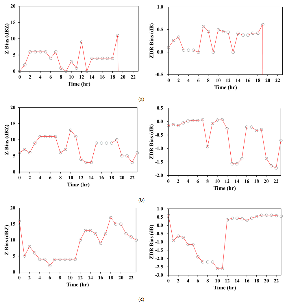
먼저, Fig. 5는 최적화 전 편파변수들간의 이변량분포를 나타낸다. 그림에서 검은색 실선은 편파변수들 간의 관계식(Z-ZDR 관계식, Z-KDP 관계식)을 나타내며, 본 연구에서는 기상레이더센터(Weather Radar Center, 2015)에서 제시한 관계식을 적용하였다. 편파변수들 간의
관계식은 2DVD(2D video disdrometer) 및 PARSIVEL과 같은 정밀한 기기로부터 관측되는 물방울 입자의 특성(크기 및 개수)으로부터
유도되어 레이더 편파변수들의 지상 참값으로 활용된다. 그림에서와 같이 편파변수들의 이변량분포는 편파변수 관계식에서 벗어나 있어 편파변수들에 대한 보정이
필요한 것으로 나타났다. 이에 매시간별로 편파변수들의 오차를 보정하였으며 그 보정량은 Fig. 6과 같다. 반사도 및 차등반사도의 오차는 매 시간변로 변동하는 것으로 나타났으며, 반사도의 오차는 10월 22일 강우사례에서 최대 17 dBZ로,
차등반사도의 오차는 같은 강우사례에서 최대 –2.6 dB로 나타났다. 이와 같이 반사도 및 차등반사도의 오차가 크게 나타나는 것은 감쇄 영향이 큰
X밴드 레이더의 특성 때문이다. 이러한 이유로 X밴드 레이더는 KDP만을 이용한 강우 추정 알고리즘을 주로 활용하고 있다.
Fig. 5. Relation between Z and ZDR(left side) and Relation between Z and KDP(right side). (a) 24 Jul. 2024, (b) 21 Sep. 2024, (c) 22 Oct. 2024
Fig. 6. Bias of Z and ZDR. (a) 24 Jul. 2024, (b) 21 Sep. 2024, (c) 22 Oct. 2024
3.3 정확도 검토
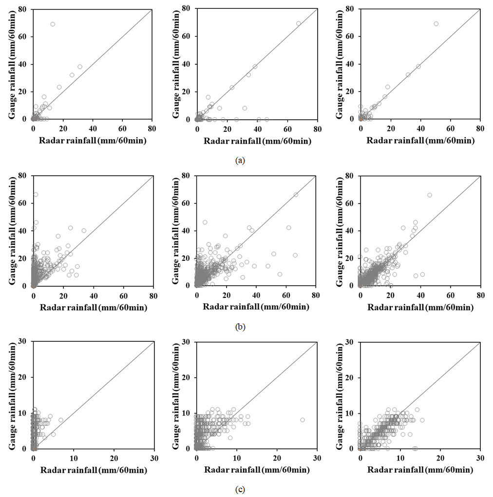
Fig. 7은 우량계 강우량과 레이더 강우량을 비교한 결과이다. 사용된 레이더 강우 추정 알고리즘은 왼쪽부터 편파변수 보정전 JPOLE 알고리즘, 보정후 JPOLE
알고리즘, KDP 알고리즘이다. 또한 시간에 대한 오차 변동성을 줄이기 위해 1시간 누적 강우량이 적용되었다. 그림에서와 같이 KDP 알고리즘으로 추정된 레이더 강우가 45도 선에 가깝게 나타나고 있어 레이더 강우의 정확도가 가장 높게 나타나고 있다. JPOLE 알고리즘은 편파변수
보정전 과소하게 나타나고 있으나 편파변수 보정을 통해 정확도가 향상되고 있음을 확인할 수 있다. 특히 7월 24일 강우사례에서 JPOLE 알고리즘도
편파변수 조절을 통해 시간당 60 mm 이상의 강우를 추정할 수 있는 것으로 나타났다. 이를 통해 X밴드 레이더 특유의 반사도 감쇄를 편파변수 조절을
통해 어느 정도 보정이 가능함을 확인하였다.
Fig. 7. Scatter Plots between Radar Rainfall(Left Panel : JPOLE Algorithm before Correction,
Middle Panel : JPOLE Algorithm after Correction, Right Panel : KDP Algorithm) and Gauge Rainfall. (a) 24 Jul. 2024, (b) 21 Sep. 2024, (c) 22 Oct. 2024
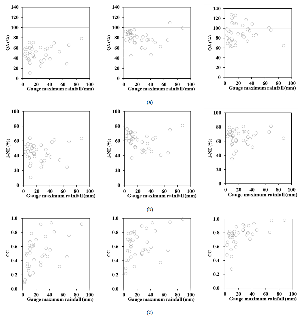
Fig. 8(a)는 강우사례에 따른 QA를 나타낸다. 그림에서 파란색 실선이 편파변수 보정전 JPOLE 알고리즘, 녹색 실선이 편파변수 보정후 JPOLE 알고리즘,
붉은색 실선이 KDP 알고리즘을 각각 나타낸다. 먼저 편파변수 보정전 JPOLE 알고리즘은 전체 강우사례에 대해 평균적으로 48.8 %의 정확도를 나타내고 있다. 편파변수
보정후 JPOLE 알고리즘은 79.2 %의 정확도를 나타나 편파변수 보정을 통해 정확도가 30 % 이상 향상되었다. KDP 알고리즘의 정확도는 91.3 %로 나타나고 있으며 이를 통해 KDP 알고리즘으로부터 추정된 레이더 강우의 정확도가 정량적으로 100 % 수준에 가장 가깝게 나타나고 있음을 확인할 수 있다.
Fig. 8(b)는 강우사례에 따른 1-NE를 나타낸다. 그림에서와 같이 편파변수 보정전 JPOLE 알고리즘의 1-NE는 전체 강우사례에 대해 43.5 %로 나타났다.
편파변수 보정후 JPOLE 알고리즘의 1-NE는 60.1 %로 나타나 편파변수 보정을 통해 정확도 및 정밀도가 16.6 % 향상되었다. KDP 알고리즘의 1-NE는 65.6 %로 나타나고 있으며 이를 통해 KDP 알고리즘으로부터 추정된 레이더 강우의 정확도 및 정밀도가 가장 높게 나타났다.
Fig. 8(c)는 강우사례에 따른 CC(상관계수)를 나타낸다. 그림에서와 같이 편파변수 보정전 JPOLE 알고리즘의 CC는 전체 강우사례에 대해 0.49로 나타났다.
편파변수 보정후 JPOLE 알고리즘의 CC는 0.63으로 나타나 편파변수 보정을 통해 정밀도가 0.14 향상되었다. KDP 알고리즘의 CC는 0.76으로 나타나고 있으며 이를 통해 KDP 알고리즘으로부터 추정된 레이더 강우의 정밀도가 가장 높게 나타났다.
Fig. 8. Statistical Measures according to Events. (a) BS, (b) 1-NE, (c) CC
Fig. 9는 강우의 크기에 따른 레이더 강우의 통계 검증값을 나타낸다(왼쪽부터 편파변수 보정전 JPOLE 알고리즘, 보정후 JPOLE 알고리즘, KDP 알고리즘). 이때 강우의 크기(Fig. 9의 x축)는 레이더 반경 내에 있는 우량계 강우 중 1시간 누적 강우로 가장 큰 강우를 적용하였다. 그림에서와 같이 강우의 크기가 작을수록 검증값들의
변동성은 크게 나타나다 크기가 커질수록 변동성은 감소하고 일정한 값으로 수렴하는 것으로 나타났다. 이러한 경향성은 특히 KDP 알고리즘에서 뚜렷이 나타나고 있음을 확인 할 수 있다. 다만, 80 mm 이상의 최대 강우에서 KDP 알고리즘의 정확도(QA 및 1-NE)가 떨어지는 경향성을 보이고 있는데 이는 8월 27일 강우사례로 일부 강우의 세기가 컸으나 강우의 공간적인 규모가
큰 사례는 아님을 확인하였다.
Fig. 9. Statistical Measures with Respect to Gauge Maximum Rainfall (Left Panel :
JPOLE Algorithm before Correction, Middle Panel : JPOLE Algorithm after Correction,
Right Panel : KDP Algorithm). (a) BS, (b) 1-NE, (c) CC
4. 결 론
본 연구에서는 도심지에서의 관측 공백 및 홍수 예보를 위해 도입된 부산 소형 강우레이더의 돌발홍수 활용성을 위해 정확도를 검토하였다. 이를 위해 38개의
주요 호우사례를 정확도 검토에 적용하였고 그 결과는 다음과 같다.
첫 번째, 최적화 전 편파변수들간의 이변량분포를 확인한 결과 편파변수들의 이변량분포는 편파변수 관계식에서 벗어나 있어 편파변수들에 대한 보정이 필요한
것으로 나타났다. 이에 편파변수들의 오차를 매시간별로 보정하였고 그 결과 반사도 및 차등반사도의 오차는 매 시간변로 변동하는 것으로 나타났으며, 반사도의
오차는 최대 17 dBZ로, 차등반사도의 오차는 최대 –2.6 dB로 나타났다.
두 번째, 레이더 강우량의 정량적 정확도(QA)를 검토하였다 그 결과 KDP 알고리즘으로 추정된 레이더 강우의 정확도가 가장 높게 나타났으며, JPOLE 알고리즘은 편파변수 보정전 과소하게 나타나고 있었으나 편파변수 보정을
통해 정량적 정확도가 향상되었다. 편파변수 보정전 JPOLE 알고리즘은 전체 강우사례에 대해 평균적으로 48.8 %의 정량적 정확도를 나타내고 있었으나
편파변수 보정후 정량적 정확도는 79.2 %로 30 % 이상 향상되었다. KDP 알고리즘의 정량적 정확도는 91.3 % 나타났으며, 이를통해 KDP 알고리즘으로부터 추정된 레이더 강우의 정확도가 정량적으로 100 % 수준에 가장 가깝게 나타나고 있음을 확인할 수 있었다.
세 번째, 레이더 강우의 정밀도를 나타내는 상관계수를 검토하였다. 그 결과 편파변수 보정전 JPOLE 알고리즘의 CC는 전체 강우사례에 대해 0.49로
나타났다. 편파변수 보정후 JPOLE 알고리즘의 CC는 0.63으로 나타나 편파변수 보정을 통해 정밀도가 0.14 향상되었다. KDP 알고리즘의 CC는 0.76으로 나타나고 있으며 이를 통해 KDP 알고리즘으로부터 추정된 레이더 강우의 정밀도가 가장 높음을 확인할 수 있었다.
네 번째, 강우의 크기에 따른 레이더 강우의 통계 검증값을 검토하였다. 그 결과 강우의 크기가 작을수록 검증값들의 변동성은 크게 나타나다 크기가 커질수록
변동성은 감소하고 일정한 값으로 수렴하는 것으로 나타났다. 이러한 경향성은 특히 KDP 알고리즘에서 뚜렷이 나타나고 있음을 확인하였다.
Acknowledgements
The research for this paper was carried out under the KICT Research Program (Project
no. 20250258–001, Development of Elemental Technologies for River Management based
on The New Normal in Response to Water Issues) funded by the Ministry of Science and
ICT.
References
Ali H., Mishra V., Pai D. S. (2014). "Observed and projected urban extreme rainfall
events in India", Journal of Geophysical Research: Atmospheres, Vol. 119, No. 22,
pp. 12621-12641

Berkhahn S., Fuchs L., Neuweiler I. (2019). "An ensemble neural network model for
real-time prediction of urban floods", Journal of Hydrology, Vol. 575, pp. 743-754

Bruni G., Reinoso R., van de Goesem N. C., Clemens F. H. L. R., ten Veldhuis J. A.
E. (2015). "On the sensitivity of urban hydrodynamic modeling to rainfall spatial
and temporal resolution", Hydrology and Earth System Sciences, Vol. 19, No. 2, pp.
691-709

Chen H., Chandrasekar V. (2015). "The quantitative precipitation estimation system
for Dallas-Fort Worth (DFW) urban remote sensing network", Journal of Hydrology, Vol.
531, pp. 259-271

Chitwatkulsiri D., Miyamoto H. (2023). "Real-time urban flood forecasting systems
for southeast asia—a review of present modelling and its future prospects", Water,
Vol. 15, No. 1, pp. 178


Henonin J., Russo B., Mark O., Gourbesville P. (2013). "Real-time urban flood forecasting
and modelling–a state of the art", Journal of Hydroinformatics, Vol. 15, No. 3, pp.
717-736

Hwang S., Yoon J., Kang N., Lee D. (2020). "Development of flood forecasting system
on city·mountains·small river area in Korea and assessment of forecast accuracy",
Journal of Korea Water Resources Association, Vol. 53, No. 3, pp. 225-236

Kim S., Park J., Won C., Lee J. (2022). "Development and application of urban flood
prediction system for smart cities", Journal of the Korean Society of Hazard Mitigation,
Vol. 22, No. 6, pp. 69-77

(2021), 2019 Rainfall Radar Basic Plan Supplemental Research Service

Rosenberg E. A., Keys P. W., Booth D. B., Hartley D., Burkey J., Steinemann A. C.,
Lettenmaier D. P. (2010). "Precipitation extremes and the impacts of climate change
on stormwater infrastructure in Washington State", Climatic Change, Vol. 102, No.
1, pp. 319-349

Ryzhkov A. V., Schuur T. J., Burgess D. W., Heinselman P. L., Giangrande S. E., Zrnic
D. S. (2005). "The Joint Polarization Experiment: Polarimetric rainfall measurements
and hydrometeor classification", Bulletin of the American Meteorological Society,
Vol. 86, No. 6, pp. 809-824


Shin H., Park Y., Hong I. (2007). "The Study on the Development of Flood Prediction
and WarningSystem at Ungaged Coastal Urban Area- On-Cheon Stream in Busan -", Journal
of Korea Water Resources Association, Vol. 40, No. 6, pp. 447-458


Smith J. A., Baeck M. L., Meierdiercks K. L., Miller A. J., Krajewski W. F. (2007).
"Radar rainfall estimation for flash flood forecasting in small urban watersheds",
Advances in Water Resources, Vol. 30, pp. 2087-2097


Wang Y., Chandrasekar V. (2010). "Quantitative precipitation estimation in the CASA
X-band dual-polarization radar network", Journal of Atmospheric and Oceanic Technology,
Vol. 27, No. 10, pp. 1665-1676


Yoon J., Hwang S., Lee D., Kang N. (2020). "Operation techniques and hydrological
applications of x-band dual-polarization radar for monitoring flash flood in metropolitan
area", Journal of the Korean Society of Hazard Mitigation, Vol. 20, No. 2, pp. 25-33

Yoon J., Hwang S., Kang N. (2023). "Proposal for real-time quality control method
to enhance hydrological application of radar rainfall", Journal of the Korean Society
of Hazard Mitigation, Vol. 23, No. 6, pp. 101-109

Yoon J., Hwang S., Kang N., Lee D., Lee K. (2021). "Development of real-time program
correcting error in radar polarimetric variables", Journal of Korea Water Resources
Association, Vol. 54, No. 12, pp. 1329-1338

Yoon J., Hwang S., Lee D., Oh B. (2018). "Quantitative Assessment on the Radar Rainfall
of KICT X-band Daul- polarization Radar", Journal of the Korean Society of Hazard
Mitigation, Vol. 18, No. 2, pp. 329-337

Yoon J., Joo J., Yoo C., Hwang S., Lim S. (2017). "On quality of radar rainfall with
respect to temporal and spatial resolution for application to urban area", Meteorological
Applications, Vol. 24, No. 1, pp. 19-30


Yoon S., Bae D., Choi Y. (2014). "Urban inundation forecasting using predicted radar
rainfall: Case study", Journal of the Korean Society of Hazard Mitigation, Vol. 14,
No. 3, pp. 117-126


Zhou X., Bai Z., Yang Y. (2017). "Linking trends in urban extreme rainfall to urban
flooding in China", International Journal of Climatology, Vol. 37, No. 13, pp. 4586-4593

