Mobile QR Code QR CODE : Journal of the Korean Society of Civil Engineers

  1. 종신회원 · 교신저자 · 한국건설기술연구원 수자원하천연구본부 연구위원 (Corresponding Author · Korea Institute of Civil Engineering and Building Technology · syhwang@kict.re.kr)



천수 방정식, 수심-평균 흐름 모형, 근사 Riemann 해법, 난류 확산, 수심-평균 $k$-$\varepsilon$ 모형
Shallow water equations, Depth-averaged flow model, Approximate Riemann solver, Turbulent diffusion, Depth-averaged $k$-$\varepsilon$ model

1. 서 론

천수 흐름은 수심 규모(depth scale)로 한정된 층 사이에서 위압 경사(piezometric gradient)에 의해 주로 단일한 방향으로 일어나는 난류 전단 흐름(shear flow)으로 정의된다(Jirka and Uijttewaal, 2004). ‘천수’라는 이름 그대로 연직 길이 규모로서 수심, h가 수평 길이 규모인 수체(water body)의 특성 길이(characteristic length), L에 비해 매우 작으며, 그 비율이 대체로 h/L < 10-4∼ 10-3 정도이다(Weiyan, 1992).

천수 흐름을 지배하는 방정식은 3차원 RANS (Reynolds- Averaged Navier-Stokes) 방정식을 수심에 대해 다시 평균하고 천수 흐름에 걸맞은 모형화를 거친 2차원 천수 방정식이다. 모형화 과정에서 난류 응력에 의한 점성 효과는 거의 전적으로 무시되는데, 일부가 천수 방정식의 표면 또는 바닥 마찰 생성항(source term)에 반영되기 때문이기도 하나, 전단층(shear layer)을 벗어나서 유속 경사나 유선 곡률이 크지 않다고 가정하여 크기 정도(order of magnitude)가 비교적 작은 수평 난류 응력 관련 분산항 대부분이 제외된다(Weiyan, 1992). 따라서 급변류 충격파처럼 유속 경사가 급하거나 점변류라고 하더라도 흐름 장애요인에 의해 유선 곡률이 크면 난류 모형을 도입하여 난류 점성 효과를 반영할 필요가 있다.

천수 방정식에서 난류 점성을 난류 운동 에너지($k$)나 그 소산율(dissipation rate, $\varepsilon$)과 같은 난류량(turbulence quantity)의 수송 방정식을 풀어 결정하려는 시도는 Rastogi and Rodi(1978)에 의해 처음으로 이루어졌다. Jones and Launder(1972)의 3차원 표준 $k$-$\varepsilon$ 모형의 수심-평균 판(이후 RR 모형)으로서 수심-평균 과정에서 바닥 전단 응력과 난류 생성 등 연직 분포의 불균등(non-uniformity)에서 유래하는 모든 항을 생성항으로 포괄하였다(Rodi, 1993). 이후 천수 흐름 해석에 $k$-$\varepsilon$ 모형의 적용이 이어졌으며, Booij(1989)는 수로와 박지(harbor) 사이 혼합층 폭을 측정한 실험실 실험 결과와 비교하여 RR 모형에서 수평 난류 역할을 늘이고 하상 마찰에 의한 영향이 줄어들도록 일부 계수를 조정하였다.

3차원 표준 $k$-$\varepsilon$ 모형에서 유래된 RR 모형과 달리, Yu and Zhang(1989)은 난류 에너지 소산율 대신 와도 변동(vorticity fluctuation)의 척도로서 그 제곱의 시간 평균(W)을 사용하는 Ilegbusi and Spalding (1985)의 $k$-W 모형에 고무되어 수심-평균 판을 제안하였다. 또한, Babarutsi and Chu(1991)는 길이 규모가 하나인 RR 모형에 비해 크고 작은 두 가지 길이 규모로 나누어 수평면에서 대규모 전단 생성 난류와 소규모 하상 생성 난류 에너지의 생산(production)과 소산 모형을 제시하였다.

Rodi et al.(1981)은 영국 Imperial 대학의 A. D. Gosman이 개발한 2차원 컴퓨터 프로그램, TEACH (Teaching Elliptic Axisymmetry Characteristics Heuristically) 코드(code)를 수심-평균 계산에 맞게 수정하여 RR 모형을 구현하였다. Chapman and Kuo(1985)는 QUICK (Quadratic Upstream Interpolation for Convective Kinematics) 유한차분 기법이 적용된 수심-평균 2차원 모형에 RR 모형을 결합하여 급 확대 수로에서 재순환(recirculation) 흐름 실험에 적용하였다. Tingsanchali and Maheswaran(1990)은 돌출 수제(spur dike) 실험에 Rodi et al.(1981)이 수정한 수심-평균 TEACH 모형을 적용하였다. Wenka et al.(1991)은 SIMPLEC (Semi-Implicit Method for Pressure Linked Equations-Consistent) 기법으로 2차원 비압축성 흐름을 해석하는 Rodi et al.(1989)의 유한체적 모형을 수심-평균 천수 흐름 해석 모형으로 고치고 RR 모형을 추가했는데, 독일 Karlsruhe 공과대학교 FAST2D (Flow Analysis and Simulation Tool 2-Dimension) 모형이다. Finnie and Jeppson(1991)은 2차원 비압축성 흐름을 해석하는 Smith(1984)의 유한요소 모형의 수심-평균 판을 제시하였으며, Smith(1984)를 따라 RR 모형에서 $k$와 $\varepsilon$ 대신 q²과 r²으로 대치하였다.

Younus and Chaudhry(1994)는 좌표 변환을 이용한 경계 밀착 좌표계에서 ADI (Alternating Direction Implicit) 유한차분 기법으로 수심-평균 천수 모형과 RR 모형을 구성하여 확대 또는 축소 수로에서 사류나 원형 도수와 같은 천이류(transcritical flow) 실험과 비교하였다. Bravo and Holly(1996)는 ADI 유한차분 조석 모형(CYTHERE-ES1)의 개선을 위해 RR 모형을 채택하고 갑문과 발전 댐이 있는 주운 수로 흐름에 적용하였다. Ding et al. (1997)은 3차원 RANS 방정식을 연직 방향으로 평균하여 연속과 운동량 방정식, 난류 운동 에너지와 그 소산율 방정식, 분산 운동 에너지(dispersion kinetic energy)와 농도 방정식을 유도하고 경계 밀착 좌표계에서 SIMPLEC 알고리듬에 따른 수심-평균 모형을 만곡 수로에서 적용하여 측정한 총 유기 탄소(total organic carbon) 농도 시계열과 비교하였다. Liu and Tominaga(1997)도 수심-평균 천수 방정식과 RR 모형을 SIMPLEC 기법으로 수심-평균 모형을 구성하여 가물막이 댐(cofferdam) 실험에 적용하였다.

Jia and Wang(2001)은 2차원 천수 흐름과 하상 변동을 유한요소 기법으로 해석하는 CCHE2D (Center for Computational Hydroscience and Engineering 2D) 모형을 난류 확산이 고려되도록 개선하고 급 확대 수로 실험에 적용하였다. Minh Duc et al. (2004)은 FAST2D 모형에 소류사와 부유사 이송 모형을 추가하여 실험실 실험과 비교하였다. Wu et al.(2004)은 FAST2D 모형의 난류 응력 계산에 수심-평균 포물선 와(eddy) 동점성, 혼합 길이(mixing length), 비평형 $k$-$\varepsilon$, RNG (Re-Normalized Group) $k$-$\varepsilon$ 모형을 추가하고 돌출 수제 실험, 급 확대 수로 실험과 같은 실험실 실험 결과 그리고 하천 현장에서 관측 자료와 비교하였다. Wu (2004)는 또한 유사 이송을 고려할 수 있도록 FAST2D를 개선한 FASTER2D (Flow And Sediment Transport in Estuaries and Rivers) 모형을 제시하였고 Wu et al.(2005)은 FASTER2D 모형을 이용하여 식생이 하천 지형에 미치는 영향을 검토하였다.

Cea(2005)는 RR 모형과 수심-평균 대수 응력(algebraic stress) 모형을 유한체적 천수 흐름 모형과 결합하였다. 흐름률 계산에 근사 Riemann 해법 중에서 Roe 그리고 van Leer 기법을 적용하고 MUSCL (Monotonic Upstream Scheme for Conservation Laws)에 기반한 자료 재구축(data reconstruction)으로 공간에 대해 2차 정확도를 달성하였다. 개발한 모형을 실험실에서 어도 실험과 연안에서 조석 흐름에 적용하였다(Cea et al., 2007). Fe et al.(2009)Cea(2005) 모형과 유사한 기법으로 모형을 구성하였으며, 다만 Finnie and Jeppson(1991)을 따라서 $k$와 $\varepsilon$의 값이 항상 양의 값을 갖도록 각각 𝑞²과 𝑟²으로 대치하였다. Yu and Duan(2012)은 RR 모형과 천수 방정식을 결합하여 Godunov-형 유한체적 모형을 구성하였다. 근사 Riemann 해법으로 HLLC (Harten-Lax-van Leer-Contact) 기법, 2차 정확도 확보를 위해 공간에 대해 MUSCL, 시간에 대해 TVD (Total Variation Deminishing) Runge-Kutta 기법, 계산 격자에 대해 직교 cut-cell 기법이 사용되었다. Yu and Duan(2012)은 개발한 모형을 주로 댐 붕괴 흐름의 실험실 실험 그리고 현장 관측과 모의 결과를 비교하였다. Sabbagh-Yazdi and Jamshidi(2013)Wu(2004) 모형처럼 유사 이송을 고려할 수 있도록 Cea(2005) 모형을 확장하였다. Pu and Lim(2014)Sabbagh-Yazdi and Jamshidi(2013)의 모형과 유사한 방식으로 천수 흐름과 유사 이송 모형에 RR 모형을 결합하였다.

국내에서 난류 모형에 관한 연구는 발전소 온 배수(thermal discharge) 해석에서 시작되어 주로 3차원 모형을 사용하거나 2차원 연구라도 수심-평균 모형 적용한 사례는 많지 않다. Choi et al.(1993) 그리고 Lee et al.(1994)은 수로에서 온 배수의 측방 유입을 해석하기 위해 천수 방정식에 RR 모형을 채택하여 모의하였다. 그리고 Choi(1997)는 같은 모형으로 급축소 단면을 지나는 흐름을 해석하였다. 한편, Yoo and Kim(1994)은 RR 모형의 난류 에너지 소산율 대신 길이 척도로서 수심-평균 혼합 길이(𝑙)를 사용하여 모형을 구성하였다. 수심-평균 난류 모의 관련하여 Yoo and Kim(1994) 그리고 Choi(1997)를 잇는 국내 연구를 더 이상 찾기 어렵다. 국외에서는 2000년 이후 수심-평균 난류 모의에 최신 수치 모의 기법 도입이 이루어졌는데, 지배 방정식 이산화에 유한체적법(Wenka et al., 1991; Minh Duc et al., 2004), 흐름률 계산에 근사 Riemann 해법(Cea, 2005; Fe et al., 2009; Yu and Duan, 2012; Pu and Lim, 2014), 정확도 개선을 위해 MUSCL과 Runge-Kutta 기법(Cea, 2005; Yu and Duan, 2012) 등이 그것이다. 더욱이 유사 이송이나 하상 변동 모형과 결합도 시도되고 있다(Wu, 2004; Sabbagh-Yazdi and Jamshidi, 2013; Pu and Lim, 2014). 다양한 영역에 난류 모형 적용으로 이어지는 가교로서 국내에서도 천수 흐름의 수심-평균 난류 모의에 최신 수치 해법 도입이 절실한 실정이다.

Hwang(2013)은 2차원 보존형 천수 방정식을 해석하는 수심-평균 천수 흐름 모형을 개발하였다. 이 모형에서 흐름률(flux) 계산에 근사 Riemann 해법의 하나인 HLLL (Harten-Lax-van Leer-Linde) 기법을 적용하고 시간과 공간에 대한 2차 정확도를 확보하기 위해 각각 2차 Runge-Kutta 방법과 다중 경사(multi-slope) MUSCL 기법을 채택하였다. 유한체적법으로 지배 방정식을 이산화하였고 비구조 삼각형으로 계산 격자를 배치할 수 있다. 이 연구에서는 Hwang(2013)의 천수 흐름 모형 개선을 위해 수심-평균 $k$-$\varepsilon$ 난류 모형을 더한 모형을 검증하고 흐름에서 유선 곡률이 두드러지는 실험실 실험 결과에 적용하여 결과를 비교한다.

2. 모형의 이론과 검증

Hwang(2013)이 제시한 천수 흐름 모형의 이론과 해법에 대해 소개하고 그에 추가할 난류 모형의 이론과 해법 그리고 시험을 검토한다.

2.1 흐름 모형

흐름 모형의 지배 방정식은 다음과 같은 보존형 천수 방정식이다(Weiyan, 1992).

(1a)
$\mathbf{U}_{t}+\mathbf{F}(\mathbf{U})_{x}+\mathbf{G}(\mathbf{U})_{y}=\mathbf{S}(\mathbf{U})$

여기에서 아래 첨자 $t$, $x$와 $y$는 각각 시간과 공간(평면 2차원) 편미분이고 보존 변수 벡터, $\mathbf{U}$, 𝑥와 $y$ 방향의 흐름률 벡터, $\mathbf{F}$와 $\mathbf{G}$, 그리고 생성항 벡터, $\mathbf{S}$는 다음과 같다.

(1b)
$\mathbf{U}=[h,\: hu,\: hv]^{T}$
(1c)
$\mathbf{F}=\left[hu,\: hu^{2}+ gh^{2}/2,\: huv\right]^{T}$
(1d)
$\mathbf{G}=\left[hv,\: hvu,\: hv^{2}+ gh^{2}/2\right]^{T}$
(1e)
$\mathbf{S}=\mathbf{S}_{0}+\mathbf{S}_{f}+\mathbf{S}_{\tau}$

여기에서 $h$는 수심, $u$와 $v$는 각각 𝑥와 $y$ 방향 유속, $g$는 중력 가속도, $\mathbf{S}_{0}$와 $\mathbf{S}_{f}$는 각각 바닥 경사와 바닥 마찰 생성항이고 $\mathbf{S}_{\tau}$는 2.3절에서 설명할 난류 확산 생성항이다. 먼저 $\mathbf{S}_{0}$와 $\mathbf{S}_{f}$는 각각 다음과 같다.

(1f)
$\mathbf{S}_{0}= -gh\left[0,\: b_{x,\: }b_{y}\right]^{T}$
(1g)
$\mathbf{S}_{f}= -(1/\rho)\left[0,\: \tau_{b}^{x},\: \tau_{b}^{y}\right]^{T}$

여기에서 $b$는 바닥 표고, $\rho$는 물의 밀도, $\tau_{b}$는 바닥 마찰 응력으로 다음과 같다.

(1h)
$\tau_{b}^{x}=\rho c_{f}u\sqrt{u^{2}+ v^{2}}$
(1i)
$\tau_{b}^{y}=\rho c_{f}v\sqrt{u^{2}+ v^{2}}$

여기에서 $c_{f}$는 바닥 마찰 계수로서 Chézy와 Manning 공식에 대해 다음과 같은 관계가 있다(Yen, 2002).

(1j)
$c_{f}=\begin{cases} g C_{c}^{-2}& \text{for the Chézy formula} \\ g n_{m}^{2}h^{-1/3}& \text{for the Manning formula} \end{cases}$

여기에서 $C_{c}$와 $n_{m}$은 각각 Chézy와 Manning 저항 계수(resistance coefficient)이다.

2.2 흐름 모형의 수치 해법

임의의 검사 체적, $\omega$에 대해 Eq. (1)을 적분하고 Gauss의 발산 정리를 적용하면 다음과 같다.

(2)
$\int_{\omega}\mathbf{U}_{t}d\omega +\oint_{\partial\omega}[\mathbf{F}(\mathbf{U})+ \mathbf{G}(\mathbf{U})]\cdot\mathbf{n}d\omega =\int_{\omega}\mathbf{S}(\mathbf{U})d\omega$

여기에서 $\mathbf{n}$은 경계, 𝜕𝛺에서 외부로 향하는 단위 법선 벡터이다. $K_{i}$개 변으로 이루어진 2차원 계산 격자, $i$에 Eq. (2)를 적용하고 천수 방정식의 회전 불변성(rotational invariance)을 이용하여 다음과 같은 이산 방정식을 얻을 수 있다(Lee and Lee, 1998).

(3)
$\dot{\mathbf{U}_{i}}= -\dfrac{1}{A_{i}}\sum_{j=1}^{K_{i}}\mathbf{T}^{-1}(\theta_{ij})\mathbf{F}_{ij}(\hat{\mathbf{U}})ℒ_{ij}+\mathbf{S}(\mathbf{U}_{i})$

여기에서 $A$는 격자의 면적, $ℒ$은 변의 길이, $\theta$는 변에서 외부로 향하는 법선이 $x$축과 이루는 각도, (˙)는 시간 도함수, (^)은 변에서 외부로 법선 방향 성분이고, $\mathbf{T}(\theta)$는 다음과 같은 회전 행렬로 나타낼 수 있다.

(4)
$\mathbf{T}(\theta)=\begin{bmatrix} 1 & 0 & 0 \\ 0 &\cos\theta &\sin\theta \\ 0 & -\sin\theta &\cos\theta \end{bmatrix}$

삼각형 계산 격자의 한 변에서 국부 좌표계 ($\hat{x},\: \hat{y}$)를 생각할 수 있다. 쌍곡선형 미분방정식의 초기치 문제인 Riemann 문제는 국부 좌표계에서 다음과 같다.

(5)
$\hat{\mathbf{U}}_{t}+[\mathbf{F}(\hat{\mathbf{U}})]_{\hat{x}}=\mathbf{0} ,\: \hat{\mathbf{U}}={\begin{cases} \hat{\mathbf{U}}_{i} & \text{when } \hat{x}<0\\ \hat{\mathbf{U}}_{j} & \text{when } \hat{x}>0 \end{cases}}$

여기에서 $j$는 $i$와 변을 공유하는 이웃 격자이고 $\hat{\mathbf{U}}_{i}$와 $\hat{\mathbf{U}}_{j}$는 초기 조건인 자료(data)이다.

Riemann 해법은, Eq. (5)에 보인 Riemann 문제를 풀 때, 적용되는 방법에 따라 정확 해법과 근사 해법으로 나뉜다. 어떤 Riemann 해법을 $\mathcal{R}$로 두면, $\hat{\mathbf{U}}_{i}$와 $\hat{\mathbf{U}}_{j}$로부터 흐름률, $\mathbf{F}_{ij}$를 다음과 같이 나타낼 수 있다.

(6a)
$\mathbf{F}_{ij}= \mathcal{R}(\hat{\mathbf{U}}_{i},\: \hat{\mathbf{U}}_{j})$

이 연구에는 근사 Riemann 해법 중 하나로서 Linde(2002)가 개발한 HLLL (Harten-Lax-van Leer-Linde) 기법을 적용한다. HLL-형 기법 중에서 가장 효율적인 계승으로 알려져 있으며(van Leer, 2003), 공기 동역학(Suzuki and van Leer, 2005), 천체 물리학 분야(Kupka and Muthsam, 2017) 등에서 사용되었다. 수리학 분야에는 Hwang and Lee(2012)가 천수 방정식에 적용하였다.

Eq. (6a)에서 $\hat{\mathbf{U}}_{i}$와 $\hat{\mathbf{U}}_{j}$처럼 자료가 격자 안에서 일정한 상수이면, Godunov 정리에 따라 해법의 정확도는 1차이다(van Leer, 2003). 이 정리에 의한 차수 장벽(order barrier)을 우회하여 더 높은 정확도를 확보하는 방법 중 하나는 두 격자의 중심으로부터 선형 또는 더 고차 재구축을 통해 공통된 변에 적용하는 것이다(van Leer, 2003). 곧, 변($\hat{x}=0$)의 왼쪽과 오른쪽에 각각 재구축된 자료, $\hat{\mathbf{U}}_{ij}$와 $\hat{\mathbf{U}}_{ji}$로 Eq. (6)의 $\hat{\mathbf{U}}_{i}$와 $\hat{\mathbf{U}}_{j}$를 대치하면 정확도를 개선할 수 있으며, Eq. (6a)를 다시 쓰면 다음과 같다.

(6b)
$\mathbf{F}_{ij}= \mathcal{R}(\hat{\mathbf{U}}_{ij},\: \hat{\mathbf{U}}_{ji})$

이 연구에서는 공간에 대한 2차 정확도 확보를 위해 자료 재구축 기법으로 van Leer(1976)가 제안한 MUSCL을 사용하였다. 삼각형 격자의 자료 재구축에서 최대 원리(maximum principle)가 충족되도록 Batten et al.(1996)이 제시한 제약 조건은 계산 격자 전반에서 다음과 같다.

(7)
$\Delta t\le\min_{i}\left(\dfrac{A_{i}}{3\max_{j}|\hat{\lambda}_{ij}ℒ_{ij}|}\right)$

여기에서 $\Delta t$는 시간 간격이고 $\hat{\lambda}$는 특성파(characteristic wave) 속도이다. 시간에 대해서도 2차 정확도를 유지하기 위해 2차 Runge-Kutta 방법을 적용하였으며, 모의 안정성을 높이기 위해 바닥 마찰 생성항에 대해 반음해법(semi-implicit method)을 적용하였다.

2.3 난류 확산 생성항

Eq. (1e)에서 난류 확산 생성항은 다음과 같다(Weiyan, 1992; Rodi, 1993).

(8)
$\mathbf{S}_{\tau}=(1/\rho)\left[0,\: \left(h\tau^{xx}\right)_{x}+\left(h\tau^{xy}\right)_{y},\: \left(h\tau^{yx}\right)_{x}+\left(h\tau^{yy}\right)_{y}\right]^{T}$

여기에서 $\tau^{xx}$, $\tau^{xy}$, $\tau^{yx}$, $\tau^{yy}$는 수심-평균 유효 전단 응력(effective shear stress) 성분으로 첫 번째 위 첨자는 작용 면적 방향, 두 번째 위 첨자는 힘 방향이다. 이 성분들은 각각 다음과 같이 분자 점성(molecular viscosity) 응력 성분과 Reynolds 응력 성분으로 구분할 수 있으며, 모두 수심-평균된 변수이다.

(9a)
$\tau^{xx}= 2\mu u_{x}-\rho\overline{u'u'}$
(9b)
$\tau^{xy}=\tau^{yx}=\mu\left(v_{x}+ u_{y}\right)-\rho\overline{u'v'}$
(9c)
$\tau^{yy}= 2\mu v_{y}-\rho\overline{v'v'}$

여기에서 $\mu$는 점성(dynamic viscosity) 계수, $u'$와 $v'$는 각각 Reynolds 시간 평균에서 𝑥와 $y$ 방향으로 평균에서 벗어난 변동 속도, $\rho\overline{u'u'}$, $\rho\overline{u'v'}$, $\rho\overline{v'v'}$는 Reynolds 응력(이후, 편의를 위해 밀도가 곱해지지 않더라도 응력으로 간주) 성분이고 ( ̄)은 시간 평균을 의미한다. Boussinesq 가설에 따른 와 동점성(eddy viscosity) 모형의 수심-평균 판은 다음과 같다(Chapman and Kuo, 1985; Rodi, 1993).

(10a)
$-\overline{u'u'}= 2\left(\nu_{\tau}u_{x}- k/3\right)$
(10b)
$-\overline{u'v'}=\nu_{\tau}\left(u_{y}+ v_{x}\right)$
(10c)
$-\overline{v'v'}= 2\left(\nu_{\tau}v_{y}- k/3\right)$

여기에서 $\nu_{\tau}$는 동점성(kinematic viscosity) 계수, $\nu$($\equiv\mu /\rho$)에 대응하는 와 동점성이고 수심-평균 난류 운동 에너지는 다음과 같이 정의된다.

(10d)
$k\equiv (\overline{u'u'}+\overline{v'v'})/ 2$

2.4 Rastogi와 Rodi 모형

Jones and Launder(1972) 3차원 표준 $k$-$\varepsilon$ 모형의 수심-평균 판을 Rastogi and Rodi(1978)는 다음과 같이 제시하였다(Rodi, 1993).

(11a)
$\mathbf{TU}_{t}+\mathbf{TF}(\mathbf{TU})_{x}+\mathbf{TG}(\mathbf{TU})_{y}=\mathbf{TS}(\mathbf{TU})$

여기에서 난류량 벡터, $\mathbf{TU}$, 흐름률 벡터, $\mathbf{TF}$와 $\mathbf{TG}$, 그리고 생성항 벡터, $\mathbf{TS}$는 다음과 같다.

(11b)
$\mathbf{TU}=[hk,\: h\varepsilon]^{T}$
(11c)
$\mathbf{TF}=[huk,\: hu\varepsilon]^{T}$
(11d)
$\mathbf{TG}=[hvk,\: hv\varepsilon]^{T}$
(11e)
$\mathbf{TS}=\mathbf{S}_{d}+\mathbf{S}_{p}$

여기에서 $\mathbf{S}_{d}$와 $\mathbf{S}_{p}$는 각각 난류량 확산 그리고 생산과 소산 생성항으로 다음과 같다.

(11f)
$\mathbf{S}_{d}=\left[\left(\left\{\nu +\nu_{\tau}/\sigma_{{k}}\right\}{hk}_{{x}}\right)_{{x}}+\left(\left\{\nu +\nu_{\tau}/\sigma_{{k}}\right\}{hk}_{{y}}\right)_{{y},\:}\right. \\ \left.\left(\left\{\nu +\nu_{\tau}/\sigma_{\varepsilon}\right\}h\varepsilon_{x}\right)_{x}+\left(\left\{\nu +\nu_{\tau}/\sigma_{\varepsilon}\right\}h\varepsilon_{y}\right)_{y}\right]^{T}$
(11g)
$\mathbf{S}_{p}=\left[h P_{h}+ h P_{kv}- h\varepsilon ,\: hc_{1\varepsilon}(\varepsilon /k)P_{h}+ h P_{\varepsilon v}- h c_{2\varepsilon}\varepsilon^{2}/ k\right]^{T}$

확산 생성항에서 와 동점성 그리고 생산과 소산 생성항에서 유속 경사와 바닥 마찰에 의한 난류 생산과 관련된 항은 다음과 같다(Rodi, 1993).

(11h)
$\nu_{\tau}= c_{\mu}k^{2}/\varepsilon$
(11i)
$P_{h}=\nu_{\tau}\left[2\left(u_{x}\right)^{2}+\left(v_{x}+ u_{y}\right)^{2}+ 2\left(v_{y}\right)^{2}\right]$
(11j)
$P_{kv}= c_{k}u_{*}^{3}/ h$
(11k)
$P_{\varepsilon v}= c_{\varepsilon}u_{*}^{4}/ h^{2}$

관련된 계수들은 다음과 같다.

(11l)
$c_{\mu}= 0.09,\: c_{1\varepsilon}= 1.44,\: c_{2\varepsilon}= 1.92,\: \sigma_{k}= 1.0,\: \sigma_{\varepsilon}= 1.31.$
(11m)
$c_{k}= c_{f}^{-1/2},\: c_{\varepsilon}= 3.6 c_{2\varepsilon}c_{\mu}^{1/2}c_{f}^{-3/4}.$
(11n)
$c_{k}^{{BO}}= c_{k}/10,\: c_{\varepsilon}^{{BO}}= c_{\varepsilon}/44.$

여기에서 $c_{k}^{{BO}}$와 $c_{\varepsilon}^{{BO}}$는 Booij(1989)에 의한 계수 조정이다(이후 BO 모형).

2.5 Babarutsi와 Chu 모형

Babarutsi and Chu(1991)는 하천이나 연안에서 수심에 비해 수평 길이 규모가 매우 큰 사실에 착안하여 이전보다 더 근본적인 개선을 끌어냈다(이후 BC 모형). 길이 규모가 하나인 RR 모형에 비해 크고 작은 두 가지 길이 규모로 나누어 수평면에서 대규모 횡단-전단-생성(transverse-shear-generated) 난류와 소규모 하상-생성(bed-generated) 난류 에너지의 생산과 소산(dissipation) 모형을 제시하였다(Babarutsi, 1991).

먼저 와 동점성을 소규모와 대규모 난류 운동 에너지에 의한 부분으로 각각 다음과 같이 나누었다.

(12a)
$\nu_{\tau}\equiv \nu_{\tau s}+\nu_{\tau l}$

소규모 난류에서 와 동점성, $\nu_{\tau s}$는 다음과 같다.

(12b)
$\nu_{\tau s}= c_{\nu}u_{*}h$

여기에서 마찰 속도, $u_{*}\equiv \sqrt{\left |\tau_{b}\right |/\rho}$이고 $c_{\nu}$는 0.08이다.

대규모 난류 운동 에너지에 의한 와 동점성, $\nu_{\tau l}$은 다음과 같다.

(12c)
$\nu_{\tau l}= c_{\mu}k'^{2}/\varepsilon'$

여기에서 $k'$과 $\varepsilon'$은 대규모 난류에서 운동 에너지와 그 소산율로서 다음과 같은 수송 방정식의 해이다(Babarutsi, 1991).

(12d)
$\mathbf{TU}'_{t}+\mathbf{TF}(\mathbf{TU}')_{x}+\mathbf{TG}(\mathbf{TU}')_{y}=\mathbf{TS}(\mathbf{TU}')$

여기에서 대규모 난류량 벡터, $\mathbf{TU}'$, 난류 흐름률 벡터, $\mathbf{TF}$와 $\mathbf{TG}$, 그리고 난류 생성항 벡터, $\mathbf{TS}$는 다음과 같다.

(12e)
$\mathbf{TU}'=[hk',\: h\varepsilon']^{T}$
(12f)
$\mathbf{TF}=[huk',\: hu\varepsilon']^{T}$
(12g)
$\mathbf{TG}=[hvk',\: hv\varepsilon']^{T}$
(12h)
$\mathbf{TS}=\mathbf{S}_{d}'+\mathbf{S}_{p}'$

여기에서 $\mathbf{S}_{d}'$와 $\mathbf{S}_{p}$는 대규모 난류에서 각각 확산 그리고 생산과 소산 생성항으로 다음과 같다.

(12i)
$\mathbf{S}'_{d}=\left[\left(\left\{\nu +\nu_{\tau}/\sigma_{k}\right\}hk'_{x}\right)_{x}+\left(\left\{\nu +\nu_{\tau}/\sigma_{k}\right\}hk'_{y}\right)_{y,\: }\right. \\ \left.\left(\left\{\nu +\nu_{\tau}/\sigma_{\varepsilon}\right\}h\varepsilon'_{x}\right)_{x}+\left(\left\{\nu +\nu_{\tau}/\sigma_{\varepsilon}\right\}h\varepsilon'_{y}\right)_{y}\right]^{T}$
(12j)
$\mathbf{S}_{p}=\left[{h P}_{{k}}'-{h F}'-{h}\varepsilon',\: {hc}_{1\varepsilon}(\varepsilon'/{k}'){P}_{{k}}' \right. \\ \left. -hc_{1\varepsilon}(\varepsilon'/k')(1-c_{3\varepsilon})F'-hc_{2\varepsilon}(\varepsilon'^{2}/k')\right]^{T}$

여기에서 $c_{3\varepsilon}= 0.8$이고 난류 생산과 소산 생성항에서 수평 전단에 의한 난류 생산과 마찰에 의해 대규모에서 소규모 난류로 에너지 전달(즉, 소산)과 관련된 항은 다음과 같다(Babarutsi, 1991).

(12k)
$P_{k}'=\nu_{\tau}\left[2\left(u_{x}\right)^{2}+\left(v_{x}+ u_{y}\right)^{2}+ 2\left(v_{y}\right)^{2}-\left(u_{x}+ v_{y}\right)^{2}\right]- k'\left(u_{x}+ v_{y}\right)$
(12l)
$F'= c_{f}\left[(\overline{u'u'}(2u^{2}+ v^{2})+ 2\overline{u'v'}uv +\overline{v'v'}(u^{2}+ 2v^{2})\right]/(2h\sqrt{u^{2}+ v^{2}})$

여기에서 Babarutsi(1991)는 Eq. (10)에서 법선 Reynolds 응력을 수심-평균 난류 운동 에너지의 정의(Eq. (10d) 참조)와 정합하도록 다음과 같이 수정하였다.

(13a)
$-\overline{u'u'}=\nu_{\tau l}\left(u_{x}-v_{y}\right)- k'$
(13b)
$-\overline{v'v'}=\nu_{\tau l}\left(v_{y}-u_{x}\right)- k'$

2.6 난류 모형의 수치 해법

흐름 모형의 수치 해법처럼 난류 확산 생성항(Eq. (8) 참조)과 난류 모형(Eq. (11) and (12) 참조)의 이산화에 유한체적법이 적용되었으며, Cea et al.(2007)를 따랐다. 수치 해석 기법에 대한 더 자세한 사항에 대해서는 Cea(2005)를 참조할 수 있다. 경계 조건 중에서 벽 경계 조건에 대해 Rodi(1993)를 따라 벽 함수(wall function)를 적용하였다. 측벽에 인접한 첫 번째 계산 격자가 관성 저층(inertial sublayer) 범위에 있을 때, von Kármán의 벽 로그 법칙(logarithmic law of the wall)에 의해 유속은 벽에서 격자 중심까지 법선 거리($y_{n_{1}}$)의 로그에 비례한다. 이 관계에서 결정된 마찰 속도를 이용하여 첫 번째 격자에서 $k_{1}$과 $\varepsilon_{1}$은 다음과 같다(Rodi, 1993).

(14a)
$k_{1}= u_{*}^{2}/\sqrt{C_{\mu}}$
(14b)
$\varepsilon_{1}= u_{*}^{3}/\kappa y_{n_{1}}$

여기에서 $\kappa$는 von Kármán 상수이다. Eq. (14)를 Eq. (11h)에 대입하여 벽에서 첫 번째 계산 격자에서 와 동점성을 결정할 수 있다.

2.7 모형 시험

Hwang (2013)의 천수 흐름 모형에 더한 난류 확산 생성항과 난류 모형의 적용에 앞서 구현된 코드 검증과 유효성 확인을 통해 이 연구에서 개발된 모형을 시험하였다. 먼저 흐름 모형에 분자 점성에 의한 확산이 잘 작동하는지 시험하기 위해 층류에서 해석해가 있는 Poiseuille 흐름에 적용하였다.

폭이 2B이고 바닥 마찰이 없는 개수로를 흐르는 부등류(non-uniform flow)의 측벽에 무활(no-slip) 조건이 부여되면 유속의 수로 폭 방향 분포는 다음과 같다.

(15)
$u(y)= g b_{x}\left(y^{2}- 2By\right)/ 2\nu$

여기에서 $B = 1$, $b_{x}= -1/g$, $\nu = 0.1$이면 $u(y)= 5\left(2y-y^{2}\right)$이고, 수심을 1.5 m로 두면 총 유량은 10 m³/s가 된다.

수치 모의를 위해 계산 영역을 $x$ 방향으로 20 m, $y$ 방향으로 반 폭(B)인 1 m로 두고 변 길이가 약 0.05 m인 18,872개의 삼각형 격자로 분할하였다. 측벽($y$ = 0)에서 무활 조건, 수로 중앙($y$ = 1 m)에서 대칭(symmetry) 경계 조건, 수로 상류($x$ = 0)에서 유입 경계 조건으로 총 유량의 반, 5 m³/s를 부여하고 하류($x$ = 20 m)에서 유출 경계 조건으로 개방, 수심, 유량으로 두고 시험하였다. 세 가지 유출 경계 조건에 따른 차이는 크지 않았으며, 유량 (5 m³/s)을 부여하였을 때 해석해에 가장 가까웠다. 정상 상태(steady state)로 빠른 수렴을 위해 계산 영역 전체에 초기 조건으로 수심(1.5 m)과 평균 유속(3.333 m/s)을 부여하였다.

Fig. 1에 층류 Poiseuille 흐름의 해석해를 실선으로, 분자 점성에 의한 확산 모의 결과를 원형으로 보였다. 그림의 세로축에 측벽에서 수로 중앙까지 거리($y_{c}$)로 나눈 무차원 거리, 가로축에 수로 중앙 유속($u_{c}$)으로 나눈 무차원 유속으로 두었으며, 모의 결과는 $x$ = 19 m에서 유속 분포로서 해석해와 잘 일치한다.

Fig. 1에 난류 Poiseuille 흐름의 DNS(Direct Numerical Simulation) 자료를 점선으로, 모의 결과를 사각형으로 함께 보였다. 그림에서 DNS 자료는 Hoyas and Jiménez (2006)가 반 폭이 $B$이고 길이가 8$\pi B$인 수로에서 마찰 Reynolds 수(${Re}_{*}\equiv u_{*}B /\nu$)가 2,003인 Poiseuille 흐름에 대해 Navier-Stokes 방정식을 직접 모의한 결과이며, 흐름 전반에서 Reynolds 수는 43,650로서 고 Reynolds 수 흐름에 해당한다(Hoyas et al., 2022). 난류 확산을 검증하기 위한 Poiseuille 흐름의 계산 영역과 격자 분할은 층류의 경우와 동일하고 측벽과 중앙에서 경계 조건도 마찬가지이다. 수로 상류와 하류에서 유입과 유출 경계 조건을 DNS 자료에서 수심이 1 m일 때 산정된 유량으로 부여하였다. 그림에 보인 모의 결과는 $x$ = 19 m에서 RR 모형에 의한 유속 분포로서 측벽에서 반 폭의 2/3부터 중앙으로 갈수록 유속을 다소 작게 추정하나(최대 2.5 %), 나머지 위치에서는 잘 일치하여 수심-평균 난류 확산 모의 결과가 DNS 자료와 대체로 잘 부합한다(Fig. 1 참조). 나머지 난류 모형의 결과도 동일하였다. 결국, 층류와 난류 Poiseuille 흐름에 적용함으로써 새로 개발된 난류 모형 그리고 기존 천수 흐름 모형과 결합이 잘 작동함을 확인하였다.

Fig. 1. Code Validations for Laminar and Turbulent Poiseuille Flows

../../Resources/KSCE/Ksce.2025.45.6.0743/fig1.png

3. 적 용

세 가지 수심-평균 $k$-$\varepsilon$ 난류 모형(RR, BO, BC 모형)을 급 확대 수로와 돌출 수제를 지나는 흐름의 실험실 측정 결과와 비교한다. 두 실험 모두 수로 폭 확대나 폭 방향 장애물 때문에 재순환 흐름이 발달한다.

3.1 급 확대 수로 실험

1994년 B. L. Xie와 동료들이 수행한 급 확대 수로 실험은 CCHE2D (Jia and Wang, 2001), FAST2D (Wu et al., 2004), HEC-RAS (Hydrologic Engineering Center River Analysis System) 2D (Brunner et al., 2020) 등의 모형 검증에 소개되었으며, 최근까지 수치 모형의 검증에 이용되었다(Shin et al., 2025). 폭이 1.2 m, 길이가 18 m, 경사가 1/1000인 사각형 콘크리트 실험 수로에서 상류에서 7.7 m까지 폭의 반을 막고 0.01815 m³/s (Case 1)와 0.03854 m³/s (Case 2)의 물을 흘렸다(Wu et al., 2004; Brunner et al., 2020). 이때 하류 수심은 Case 1과 2에서 각각 0.101 m와 0.105 m이고 급 확대로 생긴 재순환 영역의 길이는 모두 4.6 m로 알려져 있다(Jia and Wang, 2001). Brunner et al.(2020)은 Manning 저항 계수($n_{m}$)를 바닥에 대해 0.015, 측벽에 대해 0.008로 두었다.

수로 전체를 계산 영역으로 두고 한 변의 길이가 0.01~0.3 m인 10,570개의 삼각형 격자로 분할하였다. 재순환이 예상되는 영역에 더 많은 격자를 두었으며, 특히 오른쪽 측벽에서 첫 번째 격자가 관성 저층에 들도록 배치하였다. 상류 끝에서 유입 경계 조건으로 공급 유량, 하류 끝에서 유출 경계 조건으로 실험에서 설정된 수위를 두고 측벽에 대해 활동(slip) 조건을 부여하였다. 또한, Manning 저항 계수에 대해서는 Brunner et al.(2020)에 따랐다.

Fig. 2 and 3은 각각 실험 경우 Case 1과 2에 대해 분자 점성(그림에서 ‘Mol.’)과 난류 모형(그림에서 ‘RR’, ‘BO’, ‘BC’)에 의한 유속 벡터를 확대 단면 하류를 중심으로 각각 나타낸 그림이다. 폭이 좁은 상류에서 흐름이 비교적 폭이 넓은 하류를 만나면서 왼쪽에 유지되는 수로 길이 방향의 강한 유속에 의해 확대 단면 하류 오른쪽에 재순환 흐름이 발달한다. 분자 점성과 난류 모형 모의 유속 벡터 비교에서 알 수 있듯이, 와 점성에 의한 난류 확산 덕분에 폭 확대 이후 전반에서 흐름 강도가 비교적 작고 재순환 영역도 줄어든다. 실험 경우 Case 1에 비해 Case 2에서 공급 유량이 두 배 이상 늘면서 확대 단면으로 유입 유속 또한 커져 하류에 미치는 영향도 비교적 강하게 나타난다(Fig. 3 참조).

Fig. 2. Simulated Velocity Vector Plots for Case 1 of the Abrupt Width Expansion Experiments. (a) Mol., (b) RR, (c) BO, (d) BC

../../Resources/KSCE/Ksce.2025.45.6.0743/fig2.png

재순환 길이 규모로서 재부착 위치를 하류로부터 오른쪽 측벽을 따라 첫 번째 격자에서 수로 길이 방향 유속의 반전 위치로 보았다(그림에서 채운 삼각형으로 표시). 실험 경우 Case 1에서 재부착 위치는 Mol., RR, BO, BC 모형 순서대로 각각 4.5, 3.9, 2.8, 4.1 m로서 오히려 분자 점성만 고려했을 때 실험 결과에 더 부합한다. 공급 유량이 증대된 실험 경우 Case 2에서 앞의 순서대로 각각 5.7, 4.3, 3.1, 4.6 m로서 분자 점성만으로는 재부착 위치가 과대 예측(Case 1에 비해 26 % 증가)되나 난류 확산을 고려하면 증가율이 절반 이하로 줄어든다. 결국, 실험 경우 Case 1과 2를 통틀어 BC 모형에 의한 재부착 위치 예측이 실험 결과에 가장 근접하였다.

Fig. 3. Simulated Velocity Vector Plots for Case 2 of the Abrupt Width Expansion Experiments. (a) Mol., (b) RR, (c) BO, (d) BC

../../Resources/KSCE/Ksce.2025.45.6.0743/fig3.png

두 실험 경우 모두에서 난류 모형 중 BO 모형에 의한 재순환 길이가 비교적 짧은 이유는 RR 모형에 비해 하상 마찰에 의한 난류 생산이 억제되어 결과적으로 수평 전단 난류 생산의 비중이 커졌기 때문이다(Babarutsi and Chu, 1998). Booij(1989)가 제시한 RR 모형의 계수 조정(Eq. (11n) 참조) 근거는 박지 모형으로서 사각형 공동(cavity)을 수로 중앙 왼쪽 측벽에 붙이고 수로에서 주 흐름이 사수역인 박지로 유입과 유출되면서 수로와 박지 경계에서 발달하는 혼합층 측정 실험 결과이다. RR 모형으로 박지 상류 쪽 유입부에서 혼합층 폭을 계산해 보니 실험 결과보다 과대 산정하였고 이를 바로잡기 위해 RR 모형에서 하상 마찰 관련 계수를 고쳤다(Eq. (11n) 참조). 수로 폭의 급 확대 형상이 반 무한대 박지에 해당하므로 급 확대 수로에서 BO 모형에 의한 재순환 규모 축소는 해당 모형의 특성에 기인한 것이다.

Fig. 4. Longitudinal Velocity Profiles for the Abrupt Width Expansion Experiments. (a) Case 1, (b) Case 2

../../Resources/KSCE/Ksce.2025.45.6.0743/fig4.png

모의 결과를 자세히 살펴보기 위해 Fig. 4에 실험 경우 Case 1 (a)과 2 (b)에서 수로 길이 방향 유속의 폭 방향 분포를 보였다. 결과를 한눈에 비교하기 위해 확대 단면($x = 0$) 하류로 $x$ = 0, 1, 2, 3, 4, 5 m 위치에서 측정과 모의 결과를 함께 보였다. 그림에서 원은 측정 결과이고 Mol.은 분자 점성, RR, BO, BC는 해당 난류 모형에 의한 모의 결과이다. 그림에서 보이듯이, 전반에 걸쳐 난류 모형 채택 여부에 따른 차이가 크나, 난류 모형 사이에서 차이는 분명하지 않다(Fig. 4 참조).

Table 1. RMS Errors for Longitudinal Velocity in the Abrupt Width Expansion Experiments
Case Model $x$ = 0 m(m/s) $x$ = 1 m(m/s) $x$ = 2 m(m/s) $x$ = 3 m(m/s) $x$ = 4 m(m/s) $x$ = 5 m(m/s) Remark
1 Mol. 0.012 0.033 0.058 0.029 0.048 0.029 16.2 %
RR 0.012 0.019 0.023 0.044 0.040 0.028 14.0 %
BO 0.012 0.020 0.029 0.062 0.060 0.035
BC 0.012 0.019 0.022 0.042 0.039 0.027
Exp. 0.296 0.252 0.201 0.192 0.192 0.166 0.216
2 Mol. 0.009 0.105 0.069 0.090 0.050 0.072 14.9 %
RR 0.015 0.045 0.038 0.070 0.088 0.056 13.3 %
BO 0.017 0.048 0.052 0.102 0.133 0.090
BC 0.014 0.048 0.036 0.066 0.084 0.054
Exp. 0.634 0.430 0.436 0.380 0.409 0.366 0.442

Table 1에 실험 경우마다 각 측정점에서 측정 자료에 대한 절대 오차의 RMS(Root Mean Square), 즉 RMS 오차와 그 아래에 비교를 위해 측정치의 RMS(표에서 ‘Exp.’ 행)를 보였다. 표에서 밑줄로 표시한 값은 모형 사이 최소치이다. 또한, 마지막 열(표에서 ‘Remark’)에 난류 모형 채택 여부에 따른 비교를 위해 아래에 측정치 RMS의 평균(표에서 ‘Exp.’ 행)과 그 값에 대한 Mol.과 난류 모형 전체 RMS 오차 평균의 비율(%)을 그 위에 각각 보였다. 폭 확대 효과가 거의 미치지 않아 측정 유속의 수로 폭 방향 분포 편차가 매우 작은 $x$ = 0 m를 제외한 나머지 위치에서 RMS 오차를 살펴보면, 난류 확산 고려 여부에 따라 차이를 보이나(Case 1과 2에서 각각 14.0 %:16.2 % 그리고 13.3 %:14.9 %) 난류 모형끼리 차이는 크지 않다. 다만, 셋 중에서 BC 모형의 오차가 대체로 작다(표에서 밑줄 친 최소치 횟수).

3.2 돌출 수제 실험

Fig. 5. Simulated Velocity Vector Plots for Case 1 of the Spur Dike Experiments. (a) Mol., (b) RR, (c) BO, (d) BC

../../Resources/KSCE/Ksce.2025.45.6.0743/fig5.png

Jeon et al.(2018)은 폭과 길이가 각각 0.9 m와 18 m이고 바닥과 측벽이 각각 PVC (Polyvinyl Chloride)와 유리로 된 사각형 실험 수로에서 폭과 길이($L$)가 각각 0.04 m와 0.3 m인 사각형 돌출 수제를 오른쪽 측벽 중앙($x = 0$, $y = 0$)에 설치하고 하류 수심($H$), 0.215 m에 맞추어 0.0278 m³/s (Case 1)와 0.0528 m³/s (Case 2)의 물을 흘렸다. 이때 실험 경우 Case 1과 2에서 평균 유속($u_{0}$)은 각각 0.144 m/s와 0.273 m/s이다. 돌출 수제를 둘러싼 영역($-3.33\le x/L\le 20$, $0.06\le y/L\le 0.94$)에서 연직 방향($z$)으로 7개 위치, 약 2,500개 내외의 측정점을 구성하여 초음파 유속계(Acoustic Doppler Velocimeter)로 유속을 측정하였는데, 시간-평균 통계량의 수렴(convergence of the time-averaged statistics)을 확보하기 위해 측정점마다 재순환 영역에서 10분, 그 외 영역에서 5~7분 동안 측정 빈도, 100 Hz를 유지하였다(Jeon et al., 2018).

Fig. 6. Simulated Velocity Vector Plots for Case 2 of the Spur Dike Experiments. (a) Mol., (b) RR, (c) BO, (d) BC

../../Resources/KSCE/Ksce.2025.45.6.0743/fig6.png

돌출 수제가 포함된 계산 영역($-6.67\le x/L\le 20$, $0\le y/L\le 3$)을 한 변의 길이가 0.01~0.1 m인 12,013개의 삼각형 계산 격자로 분할하였다. 상류 끝에서 유입 경계 조건을 공급 유량, 하류 끝에서 유출 경계 조건을 실험에서 설정한 수위로 두고 측벽에 대해 활동 조건을 부여하였다. 또한, 수로의 PVC 바닥에 대한 등가 조도 높이(equivalent roughness height)를 0.0015 mm로 설정하였다. 급 확대 수로 실험 모의와 마찬가지로 재순환이 예상되는 영역에 더 많은 격자를 두었으며, 특히 돌출 수제가 있는 오른쪽 측벽에서 첫 번째 격자가 관성 저층에 들도록 배치하였다.

Fig. 5 and 6은 각각 실험 경우 Case 1과 2에 대해 분자 점성(그림에서 ‘Mol.’)과 난류 모형(그림에서 ‘RR’, ‘BO’, ‘BC’)에 의한 유속 벡터를 돌출 수제 하류를 중심으로 나타낸 그림이다. 돌출 수제에 의해 흐름 단면이 갑자기 축소되었다가 회복되면서 수제 하류 오른쪽에 재순환이 생기고 하류로 갈수록 유속이 줄어든다. 실험 경우 Case 1에 비해 Case 2에서 공급 유량이 두 배 가까이 늘면서 수제 하류에 미치는 유속도 비교적 강하게 나타난다. 급 확대 수로 흐름 모의에서 보았듯이, 난류 확산을 적용했을 때 수제 하류에서 흐름 강도가 비교적 작고 재순환 영역도 줄어든다. 급 확대 수로 실험에서 재순환은 길이 방향 강한 흐름 유입으로 오른쪽 측벽에 거의 직선으로 떨어지는 유선 포락선 안에 갇히는 양상이다. 그러나 돌출 수제 실험에서는 수제 상류 쪽 측면을 따라 발달된 흐름이 길이 방향 주 흐름과 만나 수제 끝에서 수로 왼쪽으로 치우치면서 보다 자유롭게 재순환 흐름이 발달한다.

Fig. 7. Profiles of $u/u_{0}$ for Case 1 of the Spur Dike Experiments. (a) $x/L$ = 1.67, (b) $x/L$ = 3.33, (c) $x/L$ = 6.67, (d) $x/L$ = 10, (e) $x/L$ = 13.33, (f) $x/L$ = 16.67

../../Resources/KSCE/Ksce.2025.45.6.0743/fig7.png

실험 경우 Case 1과 2에서 재순환 와(vortex)의 중심 위치($x/L$, $y/L$)를 각각 (2.34, 0.73)과 (2.08, 0.65) 그리고 재부착 위치를 수로 길이 방향 유속 등고선도에서 오른쪽 측벽 가까이 값이 0인 위치로 보고 대략 $x/L$ = 11과 12 사이로 보고하였다(Jeon et al., 2018). 급 확대 수로 흐름 모의에서 시도한 재부착 위치 확인 방법을 적용하면, 실험 경우 Case 1에 대해 Mol., RR, BO, BC 모형 순서대로 각각 $x/L$ = 16.3, 7.2, 7.2, 7.3이고 Case 2에 대해 난류 확산 고려 여부에 따라 각각 $x/L$ = 8.1과 17.5이다(그림에서 채운 삼각형으로 표시). 모의 결과에서 중심 위치는 유사하나, 난류 확산 고려 여부에 따라 실험 결과보다 훨씬 작거나 크고 급 확대 수로 흐름 모의 결과와 달리 난류 모형 사이에서 차이는 거의 없다. 돌출 수제를 지나는 흐름에서 Eq. (11i)의 $P_{h}$가 Eq. (11j) and (11k)의 $P_{kv}$와 $P_{\varepsilon v}$에서 계수 조정(Eq. 11n 참조) 효과를 압도할 정도로 수평 전단이 지배적이기 때문이다(Cea et al., 2007).

Fig. 7 and 8에 각각 실험 경우 Case 1과 2에 대한 분자 점성(그림에서 ‘Mol.’)과 난류 모형(그림에서 ‘RR’, ‘BO’, ‘BC’)에 의한 수로 길이 방향 무차원 유속($u/u_{0}$)의 폭 방향 분포를 보였다. 또한 연직 방향 7개 측정치를 이용하여 수심-평균한 유속(그림에서 ‘Mean’)과 바닥 근처($z/H = 0.05$)와 중앙($z/H = 0.51$)에서 측정한 유속도 함께 보였다. 실험 경우 Case 1에서 난류 확산 고려 여부에 따른 유속 분포의 차이는 주로 재순환 영역에서 나타나며, 분자 점성만으로는 유속이 과대 산정되고 RR, BO, BC 모형에 의한 결과는 측정 결과와 비교적 잘 일치한다(Fig. 7에서 a와 b 참조). 실험 경우 Case 2에서 증대된 공급 유량으로 인해 분자 점성 모형에 의한 유속 분포가 실험 결과와 차이가 더 클 뿐만 아니라 재순환 영역에 그치지 않고 더 하류로 확장되나, 난류 확산을 고려한 모의는 실험 결과와 부합 정도가 유량 규모에 크게 영향받지 않고 적절한 범위에서 유지된다(Fig. 8 참조).

분자 점성 모형에서 공급 유량 규모에 따른 측정치와 괴리는 RMS 오차에서 보다 분명하게 드러난다. 급 확대 수로 실험 비교에서 보인 바와 같이, Table 2에 돌출 수제 실험 경우마다 각 측정점에서 측정 자료에 대한 RMS 오차와 그 아래에 비교를 위해 측정치 RMS(표에서 ‘Exp.’ 행)를 보였다. 모형 사이 최소치에 밑줄을 그었으며, 마지막 열(표에서 ‘Remark’) 아래에 측정치 RMS 평균(표에서 ‘Exp.’ 행)과 그 값에 대한 Mol.과 난류 모형 전체 RMS 오차 평균의 비율(%)을 그 위에 각각 보였다. 난류 확산 고려 여부에 따른 차이가 뚜렷하며, 공급 유량 규모에 따라 측정치 RMS 평균과 RMS 오차 평균의 비율이 분자 점성 모형에서 34.2 % ➞ 54.8 %로 커지나 난류 확산 모형에서 17.9 % ➞ 15.9 %로 오히려 줄어든다. 난류 모형 사이에서 차이는 크지 않으며, 셋 중에서 BO 모형의 오차가 대체로 작다(표에서 밑줄 친 최소치 횟수).

Fig. 8. Profiles of $u/u_{0}$ for Case 2 of Spur Dike Experiments. (a) $x/L$ = 1.67, (b) $x/L$ = 3.33, (c) $x/L$ = 6.67, (d) $x/L$ = 10, (e) $x/L$ = 13.33, (f) $x/L$ = 16.67

../../Resources/KSCE/Ksce.2025.45.6.0743/fig8.png
Table 2. RMS Errors for $u/u_{0}$ in the Spur Dike Experiments
Case Model $x/L$=-0.9 $x/L$=1.67 $x/L$=3.33 $x/L$=6.67 $x/L$=10 $x/L$=13.33 Remark
1 Mol. 0.126 0.791 1.237 0.161 0.179 0.242 34.2 %
RR 0.122 0.218 0.210 0.339 0.284 0.263 17.9 %
BO 0.122 0.218 0.208 0.342 0.293 0.258
BC 0.121 0.225 0.215 0.338 0.279 0.257
Exp. 1.122 1.415 1.448 1.496 1.328 1.197 1.335
2 Mol. 0.124 0.661 0.973 1.240 0.988 0.505 54.8 %
RR 0.122 0.160 0.158 0.302 0.285 0.279 15.9 %
BO 0.121 0.157 0.154 0.299 0.288 0.268
BC 0.122 0.169 0.164 0.301 0.280 0.273
Exp. 1.120 1.459 1.483 1.543 1.363 1.219 1.365

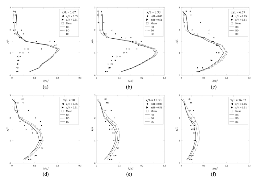
Fig. 9 and 10은 실험 경우 Case 1과 2에 대해 각각 난류 모형(그림에서 ‘RR’, ‘BO’, ‘BC’)에 의한 무차원 난류 운동 에너지($k/u_{0}^{2}$)의 수로 폭 방향 분포를 보인 그림이다. 그림에서 대부분의 영역에서 측정 결과와 대체로 잘 일치하고 난류 모형 사이 차이도 크지 않으나, 오른쪽 측벽 근처에서 과대 산정된다(Fig. 9 and 10에서 a와 b 참조). 유속 분포에서 흐름 방향이 반전하고 강도가 크게 줄어드는 재순환 영역에 해당하며 난류 운동 에너지 첨두가 과대 산정되다 보니 역류 영역($y/L$ < 1)에서 급감 경향을 따라잡기 어렵다. 그럼에도, Fig. 7 and 8의 (a)와 (b)에서 보이듯이, 모의 유속 분포가 실험 결과와 잘 일치하는 이유는 그에 상응하는 난류 에너지 소산율 덕분에 Eq. (11h)에 의해 결정되는 와 점성이 적정하게 유지되기 때문이다.

Fig. 9. Profiles of $k/u_{0}^{2}$ for Case 1 of spur dike experiments. (a) $x/L$ = 1.67, (b) $x/L$ = 3.33, (c) $x/L$ = 6.67, (d) $x/L$ = 10, (e) $x/L$ = 13.33, (f) $x/L$ = 16.67

../../Resources/KSCE/Ksce.2025.45.6.0743/fig9.png

Fig. 10. Profiles of $k/u_{0}^{2}$ for Case 2 of Spur Dike Experiments. (a) $x/L$ = 1.67, (b) $x/L$ = 3.33, (c) $x/L$ = 6.67, (d) $x/L$ = 10, (e) $x/L$ = 13.33, (f) $x/L$ = 16.67

../../Resources/KSCE/Ksce.2025.45.6.0743/fig10.png

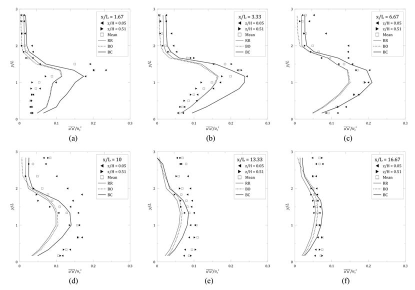
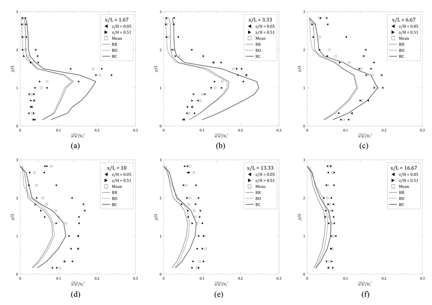
마지막으로 와 동점성 모형에 의한 수로 길이 방향 무차원 법선 Reynolds 응력을 실험 경우 Case 1과 2에 대해 Fig. 11 and 12에 각각 보였다. Reynolds 응력을 RR과 BO 모형에 대해 Eq. (10), BC 모형에 대해 Eq. (13)으로 산정한다. 실험 경우 Case 2에 대해 $\nu_{\tau}$ ~ $O(-3)$, $u_{x}$와 $v_{y}$ ~ $O(-1)$, $k$ ~ $O(-2)$로서 법선 Reynolds 응력은 난류 운동 에너지에 좌우된다. 이는 운동 에너지의 폭 방향 분포(Fig. 9 and 10 참조)와 대조에서 확인된다.

Eq. (10)은 RANS 방정식 중 연속 방정식에 들어맞는 관계를 천수 방정식에 그대로 도입한 것으로 법선 Reynolds 응력(Eq. (10a) and (10c))을 난류 운동 에너지 정의(Eq. (10d))에 대입해 보면 모순을 확인할 수 있다. 단순 정합뿐만 아니라 물리적 근거까지 염두에 둔다면 천수 방정식 중 연속 방정식의 정상 상태로부터 다음과 같은 와 점성 모형을 생각할 수 있다.

(16a)
$-\overline{u'u'}=\nu_{\tau}\left[u_{x}+(u/h)h_{x}\right]- k$
(16b)
$-\overline{v'v'}=\nu_{\tau}\left[v_{y}+(v/h)h_{y}\right]- k$

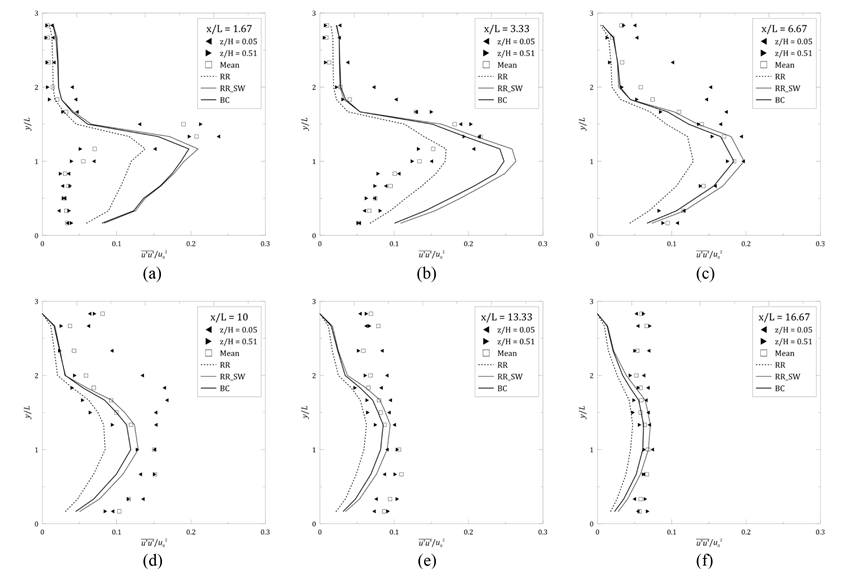
여기에서 실험 경우 Case 2에 대해 $h$와 $u$ ~ $O(-1)$, $v$ ~ $O(-2)$, $h_{x}$와 $h_{y}$ ~ $O(-2)$로서 크기 정도가 Eq. (13)과 별반 다르지 않다. Fig. 13 and 14에 Eq. (16)으로 구한 RR 모형의 수로 길이 방향 법선 Reynolds 응력의 폭 방향 분포(그림에서 ‘RR_SW’)를 실험 경우 Case 1과 2에 대해 각각 보였으며, BC 모형에 의한 법선 응력 분포와 거의 같거나 약간 더 크다.

Fig. 11. Profiles of $\overline{u'u'}/u_{0}^{2}$ for Case 1 of Spur Dike Experiments. (a) $x/L$ = 1.67, (b) $x/L$ = 3.33, (c) $x/L$ = 6.67, (d) $x/L$ = 10, (e) $x/L$ = 13.33, (f) $x/L$ = 16.67

../../Resources/KSCE/Ksce.2025.45.6.0743/fig11.png

Fig. 12. Profiles of $\overline{u'u'}/u_{0}^{2}$ for Case 2 of Spur Dike Experiments. (a) $x/L$ = 1.67, (b) $x/L$ = 3.33, (c) $x/L$ = 6.67, (d) $x/L$ = 10, (e) $x/L$ = 13.33, (f) $x/L$ = 16.67

../../Resources/KSCE/Ksce.2025.45.6.0743/fig12.png

Fig. 13. Profiles of Recalculated $\overline{u'u'}/u_{0}^{2}$ for Case 1 of Spur Dike Experiments. (a) $x/L$ = 1.67, (b) $x/L$ = 3.33, (c) $x/L$ = 6.67, (d) $x/L$ = 10, (e) $x/L$ = 13.33, (f) $x/L$ = 16.67

../../Resources/KSCE/Ksce.2025.45.6.0743/fig13.png

Fig. 14. Profiles of Recalculated $\overline{u'u'}/u_{0}^{2}$ for Case 2 of Spur Dike Experiments. (a) $x/L$ = 1.67, (b) $x/L$ = 3.33, (c) $x/L$ = 6.67, (d) $x/L$ = 10, (e) $x/L$ = 13.33, (f) $x/L$ = 16.67

../../Resources/KSCE/Ksce.2025.45.6.0743/fig14.png

4. 결 론

Hwang(2013)이 개발한 수심-평균 2차원 천수 흐름 모형을 단면 급변으로 유선 곡률이 큰 천수 흐름 해석에서 실제와 부합하는 결과를 얻을 수 있도록 Rastogi and Rodi(1978)의 수심-평균 $k$-$\varepsilon$ 난류 모형(RR 모형)과 Booij(1989)의 계수 조정(BO 모형) 그리고 두 가지 길이 규모의 Babarutsi and Chu(1991) 모형(BC 모형)으로 난류 확산을 고려하였다. 먼저 Poiseuille 흐름의 층류 해석해 그리고 난류 DNS 결과와 비교를 통해 새로 개발한 난류 모형의 작동과 기존 흐름 모형과 결합이 유효함을 확인하였다. 모형 적용은 실험 수로에서 단면 급 확대와 돌출 수제 실험과 비교이며, 평면형 급변으로 흐름이 치우쳐 재순환 흐름이 발생하는 실험실 실험이다.

실험 수로 폭 급변으로 확대 단면 하류에서 재순환이 생기는 급 확대 수로 실험에 대한 모의에서 난류 확산 효과는 재순환 규모 축소로 나타났다. 공급 유량 규모를 달리한 두 실험 경우 모두에서 난류 모형 덕분에 재순환 길이 규모와 수로 길이 방향 모의 유속이 측정치와 대체로 잘 부합하였으며, 그 중에서 BC 모형의 성능이 가장 우수하였다. BO 모형에 의한 재부착 위치는 계수 조정으로 하상 마찰 난류 생산이 줄어드는 바람에 과소 추정되었다.

Jeon et al.(2018)의 돌출 수제 실험에서 단면 확대 실험에 비해 더 좁은 수로에 더 큰 유량이 공급되면서 분자 점성만으로는 제대로 된 흐름 재연이 어려웠다. 난류 생산에서 수평 전단의 역할이 지배적이다 보니, 급 확대 수로 실험과 달리, 난류 모형 사이 차이가 거의 없었다. 수로 길이 방향 측정 유속의 폭 방향 분포와 비교했을 때 난류 확산을 고려한 모의 유속 분포가 공급 유량 증대에도 연직 방향 측정치 범위 내에 잘 유지되었으며, 측정치의 수심-평균 분포에 대한 RMS 오차는 오히려 감소하였다. 재순환 흐름에서 역류 영역을 제외하고 난류 운동 에너지 예측이 실험 결과의 수심-평균 분포와 잘 일치하였다. 법선 방향 Reynolds 응력이 난류 운동 에너지에 좌우됨을 보였고 정상 천수 방정식에 의한 와 점성 모형을 제시하였다.

천수 흐름에서 지형, 특히 평면 형상의 급변으로 생기는 재순환 흐름은 유선 곡률이 작다는 가정 아래 유도된 천수 방정식만의 해석 모형으로 제대로 재연하기 어려웠다. 기존 천수 흐름 모형에 RR 모형과 같은 수심-평균 $k$-$\varepsilon$ 난류 모형 도입으로 재순환 흐름을 보다 정확하게 모의할 수 있음을 실험 결과와 비교를 통해 확인하였다. 향후 다양한 형태의 하천 흐름에 대한 검토를 통해 하천 설계에서 단면 조정이나 횡단 구조물 설치를 검토할 때 합리적인 대안 마련에 기여할 것으로 기대된다.

Acknowledgments

Research for this paper was carried out under the KICT Research Program (project no. 20250250-001, Advanced research on future-leading water resources simulation model) funded by the Ministry of Science and ICT.

This paper has been written by modifying and supplementing the KSCE 2025 CONVENTION paper.

References

1 
Babarutsi S. (1991), Modelling quasi-two-dimensional turbulent shear flowGoogle Search
2 
Babarutsi S., Chu V. H. (1991). "A two-length-scale model for quasi-two-dimensional turbulent shear flows"Google Search
3 
Babarutsi S., Chu V. H. (1998). "Modeling transverse mixing layer in shallow open-channel flows", Journal of Hydraulic Engineering, ASCE, Vol. 124, No. 7, pp. 718-727DOI
4 
Batten P., Lambert C., Causon D. M. (1996). "Positively conservative high-resolution convection schemes for unstructured elements", International Journal for Numerical Methods in Engineering, Vol. 39, No. 11, pp. 1821-1838DOI
5 
Booij R. (1989). "Depth averaged K-$\varepsilon$-modelling"Google Search
6 
Bravo H. R., Holly F. M. (1996). "Turbulence model for depth-averaged flows in navigation installations", Journal of Hydraulic Engineering, ASCE, Vol. 122, No. 12, pp. 718-727DOI
7 
Brunner G., Sanchez A., Molls T., Parr D. A. (2020), HEC-RAS verification and validation testsGoogle Search
8 
Cea L. (2005), An unstructured finite volume model for unsteady turbulent shallow water flow with wet-dry fronts: Numerical solver and experimental validationGoogle Search
9 
Cea L., Pena L., Puertas J., Vazquez-Cendon M. E. (2007). "Depth averaged modelling of turbulent shallow water flow with wet-dry fronts", Archives of Computational Methods in Engineering, Vol. 14, No. 3, pp. 303-341DOI
10 
Chapman R. S., Kuo C. Y. (1985). "Application of the two-equation $k$-$\varepsilon$ turbulence model to a two-dimensional, steady, free surface flow problem with separation", International Journal for Numerical Methods in Fluids, Vol. 5, No. 3, pp. 257-268DOI
11 
Choi H.-S. (1997). "A numerical analysis of flow through open-channel constrictions using turbulence model", Journal of Korea Water Resources Association, KWRA, Vol. 30, No. 3, pp. 201-210Google SearchGoogle Search
12 
Choi H.-S., Jung K.-T., So J.-K., Lee K.-S. (1993). "A two-dimensional turbulence model for the thermal discharge into crossflow field", Journal of Korean Society of Coastal and Ocean Engineers, KSCOE, Vol. 5, No. 2, pp. 91-98Google SearchGoogle Search
13 
Ding Y., Zhou X., Li Y., Yu C., Kawahara M. (1997). "Simulation of unsteady river flow with modified depth-averaged turbulence model in orthogonal coordinates", pp. 177-182Google Search
14 
Fe J., Navarrina F., Puertas J., Vellando P., Ruiz D. (2009). "Experimental validation of two depth-averaged turbulence models", International Journal for Numerical Methods in Fluids, Vol. 60, No. 2, pp. 177-202DOI
15 
Finnie J. I., Jeppson R. W. (1991). "Solving turbulent flows using finite elements", Journal of Hydraulic Engineering, ASCE, Vol. 117, No. 11, pp. 1513-1530DOI
16 
Hoyas S., Jimenez J. (2006). "Scaling of the velocity fluctuations in turbulent channels up to ${Re}_{\tau}$=2003", Physics of Fluids, Vol. 18, No. 1, pp. 011702(4)DOI
17 
Hoyas S., Oberlack M., Alcantara-Avila F., Kraheberger S. V., Laux J. (2022). "Wall turbulence at high friction Reynolds numbers", Physical Review Fluids, APS, Vol. 7, No. 1, pp. 014602(4)DOI
18 
Hwang S. Y. (2013). "Finite-volume model for shallow-water flow over uneven bottom", Journal of Korea Water Resources Association, Vol. 46, No. 2, pp. 139-153DOI
19 
Hwang S.-Y., Lee S. H. (2012). "An application of the HLLL approximate Riemann solver to the shallow water equations", Journal of the Korean Society of Civil Engineers, KSCE, Vol. 32, No. 1B, pp. 21-27DOI
20 
Ilegbusi J. O., Spalding D. B. (1985). "An improved version of the 𝑘-W model of turbulence", Journal of Heat Transfer, Vol. 107, No. 1, pp. 63-69DOI
21 
Jeon J., Lee J. Y., Kang S. (2018). "Experimental investigation of three-dimensional flow structure and turbulent flow mechanisms around a nonsubmerged spur dike with a low length-to-depth ratio", Water Resources Research, Vol. 54, No. 5, pp. 3530-3556DOI
22 
Jia Y., Wang S. S. Y. (2001), CCHE2D: two-dimensional hydrodynamic and sediment transport model for unsteady open channel flows over loose bedGoogle Search
23 
Jirka G. H., Uijttewaal W. S. J. (2004), Shallow Flows, pp. 3-11Google Search
24 
Jones W. P., Launder B. E. (1972). "The prediction of laminarization with a two-equation model of turbulence", International Journal of Heat and Mass Transfer, Vol. 15, No. 2, pp. 301-314DOI
25 
Kupka F., Muthsam H. J. (2017). "Modelling of stellar convection", Living Reviews in Computational Astrophysics, Vol. 3, No. 1, pp. 1DOI
26 
Lee K. S., Lee S.-T. (1998). "Two-dimensional finite-volume unsteady-flow model for shocks", Journal of Korea Water Resources Association, KWRA, Vol. 31, No. 3, pp. 279-290Google SearchGoogle Search
27 
Lee N. J., Choi H.-S., Lee K.-S. (1994). "A comparative study of two-dimensional numerical models for surface discharge of heated water into crossflow field", Journal of Korean Society of Coastal and Ocean Engineers, KSCOE, Vol. 6, No. 1, pp. 40-50Google SearchGoogle Search
28 
Linde T. (2002). "A practical, general-purpose, two-state HLL Riemann solver for hyperbolic conservation laws", International Journal for Numerical Methods in Fluids, Vol. 40, No. 3-4, pp. 391-402DOI
29 
Liu J., Tominaga A. (1997). "An extended depth-averaged turbulence model for flow constricted by cofferdams", pp. 269-274Google Search
30 
Minh Duc B., Wenka T., Rodi W. (2004). "Numerical modeling of bed deformation in laboratory channels", Journal of Hydraulic Engineering, ASCE, Vol. 130, No. 9, pp. 894-904DOI
31 
Pu J. H., Lim S. Y. (2014). "Efficient numerical computation and experimental study of temporally long equilibrium scour development around abutment", Environmental Fluid Mechanics, Vol. 14, No. 1, pp. 69-86DOI
32 
Rastogi A. K., Rodi W. (1978). "Predictions of heat and mass transfer in open channels", Journal of the Hydraulics Division, ASCE, Vol. 104, No. 3, pp. 397-420DOI
33 
Rodi W. (1993), Turbulence models and their application in hydraulics: a state-of-the-art reviewGoogle Search
34 
Rodi W., Majumdar S., Schonung B. (1989). "Finite volume methods for two-dimensional incompressible flows with complex boundaries", Computer Methods in Applied Mechanics and Engineering, Vol. 75, No. 1, pp. 369-392DOI
35 
Rodi W., Pavlović R. N., Srivatsa S. K. (1981), Transport models for inland and coastal waters, pp. 63-111Google Search
36 
Sabbagh-Yazdi S.-R., Jamshidi M. (2013). "Depth-averaged hydrodynamic model for gradual breaching of embankment dams attributable to overtopping considering suspended sediment transport", Journal of Hydraulic Engineering, ASCE, Vol. 139, No. 6, pp. 580-592DOI
37 
Shin E. T., An S. H., Park S. W., Lee S. O., Song C. G. (2025). "Development of optimal parameter determination algorithm for two-dimensional flow analysis model", Environmental Modelling & Software, Vol. 185, pp. 106331-1-11DOI
38 
Smith R. M. (1984). "A practical method of two-equation turbulence modelling using finite elements", International Journal for Numerical Methods in Fluids, Vol. 4, No. 4, pp. 321-336DOI
39 
Suzuki Y., van Leer B. (2005). "Application of the 10-moment model to MEMS flows", pp. 1-13DOI
40 
Tingsanchali T., Maheswaran S. (1990). "2-D depth-averaged flow computation near groyne", Journal of Hydraulic Engineering, ASCE, Vol. 116, No. 1, pp. 71-86DOI
41 
van Leer B. (1976). "MUSCL, a new approach to numerical gas dynamics", pp. 1-4Google Search
42 
van Leer B. (2003). "Upwind and high-resolution methods for compressible flow - from donor cell to residual-distribution schemes", pp. 1-8DOI
43 
Weiyan T. (1992), Shallow water hydrodynamicsGoogle Search
44 
Wenka Th., Valenta P., Rodi W. (1991). "Depth-average calculation of flood flow in a river with irregular geometry"Google Search
45 
Wu W. (2004). "Depth-averaged two-dimensional numerical modeling of unsteady flow and nonuniform sediment transport in open channels", Journal of Hydraulic Engineering, ASCE, Vol. 130, No. 10, pp. 1013-1024DOI
46 
Wu W., Shields F. D., Bennett S. J., Wang S. S. Y. (2005). "A depth-averaged two-dimensional model for flow, sediment transport, and bed topography in curved channels with riparian vegetation", Water Resources Research, AGU, Vol. 41, No. 3DOI
47 
Wu W., Wang P., Chiba N. (2004). "Comparison of five depth-averaged 2-D turbulence models for river flows", Archives of Hydro-Engineering and Environmental Mechanics, Vol. 51, No. 2, pp. 183-200Google SearchGoogle Search
48 
Yen B. C. (2002). "Open channel flow resistance", Journal of Hydraulic Engineering, ASCE, Vol. 128, No. 1, pp. 20-39DOI
49 
Yoo D. H., Kim C. S. (1994). "Numerical modelling of longshore currents using 𝜅-𝑙 turbulence closure", The Journal of the Korean Society of Coastal and Ocean Engineers, KSCOE, Vol. 6, No. 3, pp. 234-244Google SearchGoogle Search
50 
Younus M., Chaudhry M. H. (1994). "A depth-averaged turbulence model for the computation of free-surface flow", Journal of Hydraulic Research, IAHR, Vol. 32, No. 3, pp. 415-444DOI
51 
Yu C., Duan J. (2012). "Two-dimensional depth-averaged finite volume model for unsteady turbulent flow", Journal of Hydraulic Research, IAHR, Vol. 50, No. 6, pp. 599-611DOI
52 
Yu L., Zhang S.-N. (1989). "A new depth-averaged two- equation ($\widetilde{k}$-$\widetilde{w}$) turbulent closure model and its application"Google Search