이헌우
(Heon-Woo Lee)
1
김영찬
(Young-Chan Kim)
2
지성원
(Sung-Won Ji)
3
허종완
(Jong-Wan Hu)
4†iD
-
정회원 · 인천대학교 산학협력단 연구원
(Incheon National University · agiko339@inu.ac.kr)
-
정회원 · 인천대학교 산학협력단 연구원
(Incheon National University · channy0409@inu.ac.kr)
-
인천대학교 건설환경공학과 박사과정
(Incheon National University · givememe@naver.com)
-
교신저자 · 인천대학교 도시환경공학부 정교수 인천방재연구센터 센터장
(Corresponding Author · Incheon National University · jongp24@inu.ac.kr)
Copyright 2026 by the Korean Society of Civil Engineers
Keywords
Yield damper, Vibration control structure, Honeycomb structure, Finite element analysis
핵심용어
항복댐퍼, 제진구조, 벌집구조, 유한요소해석
1. 서 론
최근 국내뿐 아니라 세계적으로 발생하고 있는 지진은 발생의 빈도와 규모가 증가하는 추세이다. 특히, 인근 국가인 일본에서는 반복적으로 지진이 발생하여
난카이 대지진의 발생에 대한 불안감을 일으키고 있다. 해당 지진은 8.0이상의 대지진으로 예상되며 이러한 대지진의 경우 대한민국에도 큰 영향을 미칠
것으로 판단되기 때문에 구조물의 내진 성능과 진동 저감 기술의 중요성을 다시 한번 상기해볼 필요가 있다. 지진하중이 구조물에 발생하게 되면 내진설계가
적용된 구조물임에도 불구하고 반복적인 진동을 발생시켜 비구조 요소의 손상 및 기능 상실, 구조 부재의 국부 파괴가 발생할 수 있다. 특히나 반복 하중
특성을 갖는 지진하중이 구조물에 작용할 경우 누적되는 손상과 잔류 변형이 증가하며 구조물의 사용 및 복구성이 크게 저하되는 문제를 야기할 수 있다(Kumar et al., 2014; Kim et al., 2023; Kim et al., 2024). 따라서 구조물 내부에서 효율적으로 에너지를 소산하고 저감할 수 있는 댐퍼와 같은 진동 제어 장치가 요구된다.
댐퍼는 구조물에 전달되는 지진 에너지를 흡수 및 소산하여 구조물의 응답을 저감시키는 장치로써 점성댐퍼, 마찰댐퍼, 강재 댐퍼, 탄성 댐퍼 등 다양한
형태가 제안되어 왔다(De Domenico et al., 2019; Javanmardi et al., 2019; Jaisee et al., 2021). 이러한 기존의 댐퍼들은 일정한 수준 이상의 성능을 확보하고 있으나 형상에 따른 에너지 소산 효율의 한계 등 문제점들이 있다. 이에 따라 최근에는
재료적인 특성 뿐 아니라 구조적 형상, 기하적인 배치를 적극적으로 활용하여 댐퍼의 에너지 소산 능력을 향상시키려는 연구가 주목받고 있다. 이에 따라
벌집구조에서 착안한 육각형 기반의 강재 항복댐퍼와 관련된 연구가 등장하였다(Lee et al., 2017; Javanmardi et al., 2020). 벌집구조는 자연계 및 공약 분야에서 높은 강성에 비해 가벼우며 우수한 하중 분산 능력으로 다양한 시스템에 적용되어 왔다(Zhang et al., 2022). 육각형 구조가 반복적으로 결합된 이 형태는 국부 좌굴 및 응력 집중을 완화하는데에 효과적으로 알려져 있으며 이러한 특성은 지진과 같이 반복적인
동적 하중을 받는 댐퍼에 매우 유리한 것으로 판단된다(Gao and Huang, 2022). 하지만 기존의 연구에서는 벌집 구조를 평면 형태로 사용하여 그 특성을 사용하는데에 범용적인 측면에서 한계를 나타내고 있다.
본 연구에서는 이러한 벌집 구조의 댐퍼를 보다 더 다양한 구조적 요소로 활용할 수 있도록 3차원의 개념으로 사용한다. 기본적으로 벌집 구조를 갖되
전체적으로는 기둥 형태를 띈다. 기둥의 밑바닥 단면은 8각형부터 12각형으로 구분되며 외접 원의 조건이 유지된 상태에서 변의 개수만을 변화시키는 방식으로
설계된다. 이때, 각 다각형의 한변의 길이는 벌집 구조의 한 변의 길이와 동일하게 설계된다. 따라서 본 연구는 ABAQUS 프로그램을 활용하여 유한요소해석을
통해 이러한 하부 단면 형상과 상부 벌집구조의 기하학적 연속성 및 하중 전달 메커니즘이 어떠한 영향을 미치는지를 규명하고자 한다.
2. 삼차원 항복 벌집형 댐퍼의 메커니즘 및 설계
2.1 삼차원 항복 벌집형 댐퍼의 형상 정의 및 거동 원리
본 연구의 삼차원 항복 벌집형 댐퍼는 일반적인 강재 댐퍼와 같이 단일 부재의 항복에 의존하기보다는 적은 강재의 양으로도 벌집 구조 특유의 하중 분산
능력을 활용한다. 이러한 벌집구조와 관련된 댐퍼들이 다양하게 연구되었지만 한가지 방향의 하중에 의한 항복에 초점을 두어 구조물의 다양한 부재에 적용하기에는
다소 한계가 있다. Fig. 1은 본 연구의 삼차원 항복 벌집형 댐퍼의 개념도(Fig. 1(a))와 기존 벌집구조 댐퍼의 형상을 나타낸 그림 Fig. 1(b)이다. 그림과 같이 기존 벌집구조 댐퍼는 하중이 가해질 경우 전단에 의한 항복을 유도하며 빔과 가새의 연결부와 같이 한정된 구조 연결부에만 사용이
가능하다. 하지만 삼차원 항복 벌집형 댐퍼의 경우 밑면이 원에 내접하는 다각형으로 구성되어 인장력에 지배되는 항복을 유도하며 가새의 중앙, 빔과 가새의
연결부 등 다양하게 적용할 수 있다.
Fig. 1. Schematic Diagram of a Honeycomb Damper, (a) Three-dimensional Yielding Honeycomb Damper, (b) Conventional Honeycomb Structure Damper
Fig. 2는 본 연구의 삼차원 항복 벌집형 댐퍼와 기존 벌집구조 댐퍼가 발생한 하중을 전달하고 분산하는 메커니즘을 설명하기 위한 그림이다. 여기서 $\theta_{P}$는
벌집형 댐퍼의 밑바닥을 구성하는 다각형의 한 각의 크기를 의미하며 Eq. (1)과 같이 표현된다. $\theta_{H}$는 벌집구조, 즉 6각형의 한각의 크기로 120°이다. $F_{in}$은 벌집구조로 들어오게 되는 하중을
의미하고 $F_{out}$ 은 육각형태로 분산되는 하중을 의미한다. 이때 기존 벌집구조 댐퍼 $F_{out}$ 은 $F_{in}$과 120°의 절반인
$\cos(60^{\circ})$의 곱으로 Eq. (2)와 같이 표현될 수 있으며 삼차원 항복 벌집형 댐퍼의 $F_{out}$ 은 2차원이 아닌 3차원으로 구성되기 때문에 2가지 방향을 고려하여 Eq.
(3)과 같이 표현할 수 있다. 기존 벌집구조 댐퍼의 경우 전단과 같은 거동을 반복하며 하중 분산하지만 삼차원 항복 벌집형 댐퍼의 경우 축방향으로 배치하여
인장거동을 통해 하중을 분산한다. 이러한 연결된 벌집 구조가 많아질수록 에너지를 소산 및 항복 메커니즘이 변할 수 있을 것으로 기대되며 본 연구의
변수로서 사용할 예정이다.
Fig. 2. Load Distribution and Generation Principles of Honeycomb Dampers. (a) Three-dimensional Yielding Honeycomb Damper, (b) Conventional Honeycomb Structure Damper
2.2 삼차원 항복 벌집형 댐퍼의 설계
본 연구의 삼차원 항복 벌집형 댐퍼는 다각기둥 구조를 갖으며 옆면이 벌집형으로 형성되어 있다. 이에 따라 Fig. 3과 같은 변수를 같는다. 밑면의 다각형은 외접하는 원을 갖으며 원의 지름은 200, 300, 400 mm로 변수를 설정하였다. 내부 다각형은 8,
9, 10, 11, 12각형, $L_{out}$ 은 댐퍼 전체의 길이를 나타내며 300 mm, 400 mm로 설정하여 총 30개 댐퍼에 대한 유한요소해석을
수행하였다. 이때, 삼차원 항복 벌집형 댐퍼는 기둥 구조를 갖기 때문에 좌굴방지를 위해 인장하중만을 받도록 설계해야 한다. 전체적인 댐퍼에서는 반복적인
인장하중만이 발생하여도 내부 벌집형 구조의 기둥들은 이로 인해 Fig. 4와 같은 좌굴거동이 발생할 수도 있다. 이는 댐퍼의 수명에 치명적인 영향을 끼칠 수 있다. 좌굴의 세장비는 $\lambda = l/K$, $K =
\sqrt{I/A}$ 과 같은 식으로 구할 수 있으며 삼차원 항복 벌집형 댐퍼의 경우 기둥 최소회전반경 $K$가 2.89 mm가 된다. $l$의 경우
각 댐퍼별로 상이 하기 때문에 Case ID를 나타내는 Table 1에 정리하여 나타내었다. Case ID의 가장 처음 나오는 숫자는 다각형의 면 개수이며 L과 D의 이후 열거된 숫자는 각각 댐퍼의 길이, 다각형 외접원의
직경을 의미한다.
Fig. 3. Parameters of a Three-dimensional Yielding Honeycomb Damper
Fig. 4. Buckling Behavior of Columns
Table 1. Case ID of Three-dimensional Yielding Honeycomb Damper
|
Case ID
|
Variable
|
$\lambda$
|
|
Diameter (mm)
|
Number of sides
|
Lout (mm)
|
|
8L3D2
|
200
|
8
|
300
|
13.29
|
|
8L3D3
|
300
|
8
|
300
|
20.94
|
|
8L3D4
|
400
|
8
|
300
|
28.58
|
|
8L4D2
|
200
|
8
|
400
|
13.29
|
|
8L4D3
|
300
|
8
|
400
|
20.94
|
|
8L4D4
|
400
|
8
|
400
|
28.58
|
|
9L3D2
|
200
|
9
|
300
|
11.67
|
|
9L3D3
|
300
|
9
|
300
|
18.50
|
|
9L3D4
|
400
|
9
|
300
|
25.33
|
|
9L4D2
|
200
|
9
|
400
|
11.67
|
|
9L4D3
|
300
|
9
|
400
|
18.50
|
|
9L4D4
|
400
|
9
|
400
|
25.33
|
|
10L3D2
|
200
|
10
|
300
|
10.35
|
|
10L3D3
|
300
|
10
|
300
|
16.52
|
|
10L3D4
|
400
|
10
|
300
|
22.70
|
|
10L4D2
|
200
|
10
|
400
|
10.35
|
|
10L4D3
|
300
|
10
|
400
|
16.52
|
|
10L4D4
|
400
|
10
|
400
|
22.70
|
|
11L3D2
|
200
|
11
|
300
|
9.26
|
|
11L3D3
|
300
|
11
|
300
|
14.89
|
|
11L3D4
|
400
|
11
|
300
|
20.52
|
|
11L4D2
|
200
|
11
|
400
|
9.26
|
|
11L4D3
|
300
|
11
|
400
|
14.89
|
|
11L4D4
|
400
|
11
|
400
|
20.52
|
|
12L3D2
|
200
|
12
|
300
|
8.34
|
|
12L3D3
|
300
|
12
|
300
|
13.52
|
|
12L3D4
|
400
|
12
|
300
|
18.69
|
|
12L4D2
|
200
|
12
|
400
|
8.34
|
|
12L4D3
|
300
|
12
|
400
|
13.52
|
|
12L4D4
|
400
|
12
|
400
|
18.69
|
Fig. 5는 본 연구의 삼차원 항복 벌집형 댐퍼의 유한요소해석에 사용된 로딩 프로토콜 그림이다. 해당 로딩 프로토콜은 EN 15129에 의거하여 설계되었으며
$D_{L}$은 설계된 한계 변위이다(Zsarnóczay et al., 2013; Marioni, 2024). 대한민국의 천장고는 2.3 m로 규정하고 있으며 층간 변위의 한계 2 %는 46 mm이다. 벌집형 댐퍼는 인장력만이 적용되기 때문에 이의 절반인
23 mm을 $D_{L}$로 설정하였다. EN 15129에서는 이러한 $D_{L}$에 대해 10회 반복, $D_{L}$의 절반 변위에 대해 5회 반복,
$D_{L}$의 1/4 변위에 대해 5회 반복을 규정하고 있어 해당 프로토콜을 설계하여 삼차원 항복 벌집형 댐퍼에 변위제어 하중 형태로 부여하였다.
Fig. 5. Loading History of Honeycomb Damper
3. 삼차원 항복 벌집형 댐퍼의 거동분석
3.1 삼차원 항복 벌집형 댐퍼의 유한요소해석
본 연구에서는 삼차원 항복 벌집형 댐퍼의 거동 특성 규명을 위해 유한요소해석을 수행하며 ABAQUS 프로그램을 사용하였다. 유한요소해석의 모델링의
경우 정확한 평가를 위해 3D Shape로 수행하였으며 복잡한 형상을 고른 요소망으로 나눌 수 있도록 Hex-dominated 기반의 Element
Shape와 Structured Technique을 사용하였다. 벌집형 댐퍼의 재료는 구조용으로 일반적으로 사용하는 Gr.50 강재를 사용하였다.
Gr.50의 물성은 탄성계수 200 GPa, 경화 변형율 1.5 %, 항복강도 345 MPa, 인장강도 450 MPa로 이뤄져있다. 경계조건의 경우
다각기둥의 밑면을 전체 고정하였으며 반대 측면에 설계된 로딩 프로토콜을 대입하였다. 이러한 반복하중 환경에 대한 소성 및 비선형 거동을 정확하게 확인하기
위해 Cyclic hardening 특성 중 combined를 적용하였다.
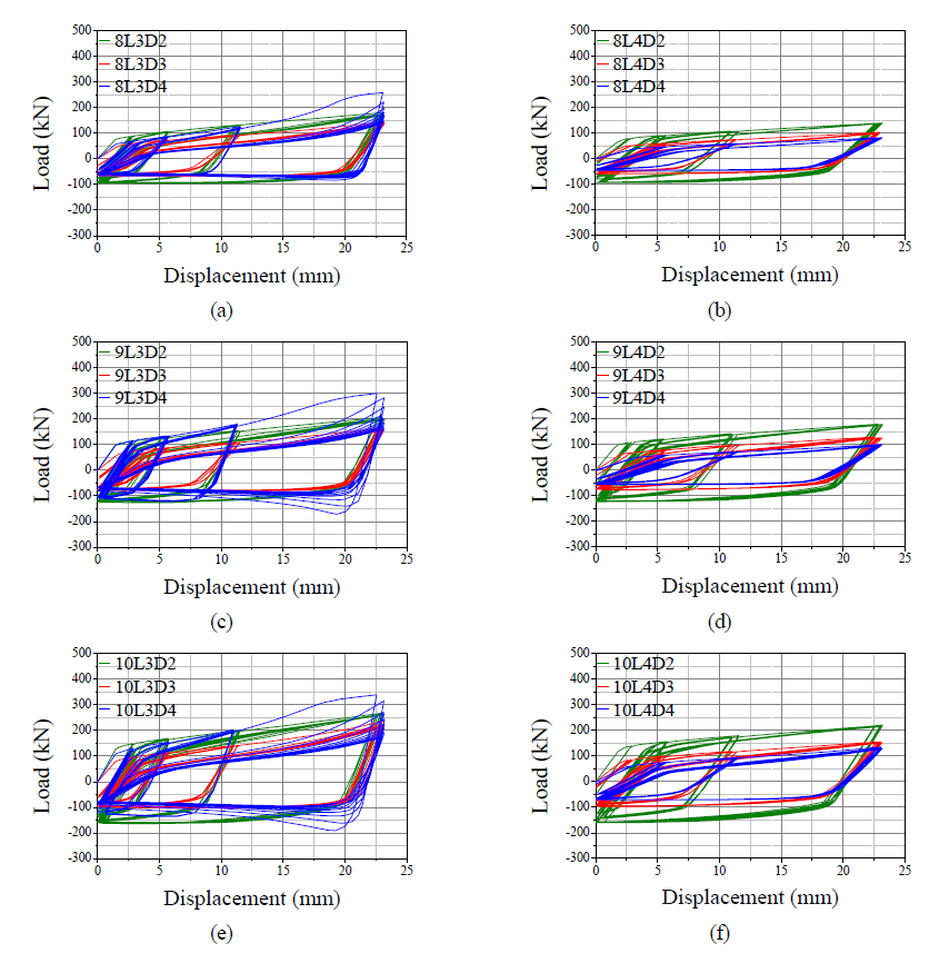
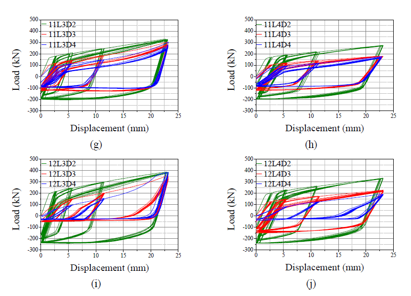
Fig. 7은 본 연구의 삼차원 항복 벌집형 댐퍼의 힘-변위 응답을 나타내는 그래프이다. 변수별로 응답 거동의 차이를 파악하기 쉽도록 변수가 D가 다른 댐퍼들끼리
모아 힘-변위 그래프를 나타내었다. 그래프의 양상을 확인하였을 때 L이 300 mm일 경우 D가 커져감에 따라 좌굴거동을 나타내며 불안성을 나타내었다.
특히 12L3D4의 경우 첫 번째 하중부터 항복하여 하중이 저하된 것을 확인할 수 있다. 따라서 가장 안정적인 거동을 나타낸 댐퍼들은 초록색 선으로
나타낸 D가 200 mm인 댐퍼들이며 이러한 댐퍼들을 비교하였을 때 다각형 면의 수가 많아질수록 그래프가 안정적이고 그래프의 폐합 면적이 넓어지는
것을 확인할 수 있다. 이는 같은 직경에서 $L_{in}$이 작아지게 되고 이로 인해 좌굴에 영향을 미치는 $\lambda$가 작아짐에 따라 나타나는
현상으로 같은 변위가 적용되어도 효율적으로 에너지를 소산할 수 있는 것을 확인하였다.
Fig. 6. Model of Honeycomb Damper. (a) Load of Honeycomb Damper, (b) Mesh of Honeycomb Damper
Fig. 7. FD Curve of a Three-dimensional Yielding Honeycomb Damper. (a) 8L3 Series, (b) 8L4 Series, (c) 9L3 Series, (d) 9L4 Series, (e) 10L3 Series, (f) 10L4 Series, (g) 11L3 Series, (h) 11L4 Series, (i) 8L3 Series, (j) 8L4 Series
Table 2는 삼차원 항복 벌집형 댐퍼의 유한요소해석 이후에 도출한 힘-변위 결과 그래프에서 도출한 최대하중과 에너지소산이다. 에너지 소산은 각 그래프를 적분한
폐합면적을 통해 도출하여 단위는 kN·mm이다. 가장 큰 에너지를 소산한 그래프는 12L3D2로 가장 많은 하중성능까지 나타내었다. 이를 통해 밑면의
다각형, 즉 $L_{in}$과 $\lambda$에 따라 내부 벌집구조를 얼만큼 더욱 안전하게 활용할 수 있는지에 대한 중요성을 알 수 있다. 이때,
12L3D4의 경우 최대하중 성능이 383.48 kN으로 12L3D2의 386.68 kN와 큰 차이가 없지만 에너지소산을 확인해보면 같은 변위 하중에
대해 12L3D2는 134188 kN·mm, 12L3D4는 28390 kN·mm의 에너지를 소산하였다. 이는 4.73배 가량의 차이이며 Fig. 7(i)를 확인해보아도 알 수 있는데 적용된 변위하중에 의해 즉시적인 좌굴이 발생한 바로 보인다. 이러한 경향은 L이 400 mm인 경우에도 비슷한 양상으로
나타났으며 단순히 다각형 면의 수가 커짐에 따라 댐퍼의 성능이 개선되지 않는다는 것을 확인할 수 있다.
Table 2. Results of Finite Element Analysis
|
Case ID
|
Maximum Force (kN)
|
Energy Dissipation (kN·mm)
|
Case ID
|
Maximum Force (kN)
|
Energy Dissipation (kN·mm)
|
|
8L3D2
|
180.41
|
53767
|
8L4D2
|
139.45
|
47946
|
|
8L3D3
|
145.88
|
38499
|
8L4D3
|
103.03
|
31047
|
|
8L3D4
|
257.93
|
40495
|
8L4D4
|
82.32
|
24361
|
|
9L3D2
|
206.16
|
67479
|
9L4D2
|
179.61
|
63875
|
|
9L3D3
|
165.58
|
45836
|
9L4D3
|
129.59
|
40531
|
|
9L3D4
|
299.77
|
57937
|
9L4D4
|
100.66
|
29578
|
|
10L3D2
|
268.36
|
90237
|
10L4D2
|
220.73
|
81532
|
|
10L3D3
|
238.10
|
59789
|
10L4D3
|
155.69
|
50690
|
|
10L3D4
|
338.58
|
64760
|
10L4D4
|
135.45
|
38804
|
|
11L3D2
|
330.66
|
111026
|
11L4D2
|
275.23
|
101420
|
|
11L3D3
|
304.43
|
75173
|
11L4D3
|
180.88
|
61303
|
|
11L3D4
|
304.31
|
59222
|
11L4D4
|
177.71
|
48024
|
|
12L3D2
|
386.68
|
134188
|
12L4D2
|
333.33
|
120439
|
|
12L3D3
|
355.13
|
39007
|
12L4D3
|
227.56
|
74699
|
|
12L3D4
|
383.48
|
28390
|
12L4D4
|
192.15
|
26931
|
Fig. 8은 삼차원 항복 벌집형댐퍼의 결과의 양상이 변수에 의해 어떻게 변동하는지를 확인하기 위한 비율 그래프이다. Fig. 8(a)와 (b)는 밑면의 다각형 면의 수에 따른 댐퍼의 결과를 확인하기 위함이며 Fig. 8(c)와 (d)는 댐퍼의 길이 변화에 따른 결과를 확인하기 위한 비율 그래프이다. Fig. 8(a), (b)에서 모든 댐퍼에 대해 밑면의 다각형의 면은 8각형을 기준인 1로 설정하였다. 모든 댐퍼에 대해 다각형의 면의 수가 커져감에 따라 최대하중은
증가하는 추세를 나타내었다. 하지만 L3D4의 경우 그 상승폭이 상당히 불안한 것을 확인할수 있었다. 에너지소산의 경우 다각형의 면 수가 증가함에
따라 큰 비율 상승폭을 나타냈다. 이는 면의 수가 증가함에 따라 벌집구조가 많아지고 댐퍼가 더욱 안정적으로 지진하중을 소산할 수 있다는 것을 의미한다.
하지만 길이가 짧거나 과도하게 많은 면의 수는 오히려 에너지소산에 안좋은 영향을 미친다는 것을 확인할 수 있다. Fig. 8(c)를 보면 길이가 달라져감에 따라 최대하중 비율의 증감 양상이 다른 것을 확인할 수 있는데 L이 400 mm인 경우 D가 커져감에 따라 최대하중이 거의
일정한 비율로 감소하는 것을 확인할 수 있지만 L이 300 mm인 경우 9L3, 8L3에서 최대하중이 1.45배, 1.43배 상승하였다. 이는 그래프
전체 양상에서도 확인할 수 있듯 L이 짧아지고, D가 커져감에 따라 삼차원 항복 벌집형 댐퍼의 거동이 불안해져 나타나는 현상으로 판단하였다. 에너지
소산의 경우 대부분의 양상이 비슷한 것을 확인할 수 있다. D가 커져감에 따라 $L_{in}$이 길어지고 내부 벌집구조에 국부적인 항복 및 좌굴이
발생하여 소산한 에너지가 적어졌다. 종합적으로 판단하였을 때 10각형 구조에 D가 200 mm인 댐퍼 2가지 경우가 가장 안정적이며 우수하게 내진역할을
수행할 수 있는 댐퍼라고 판단된다.
Fig. 8. Rate of Maximum Force and Energy Dissipation. (a) Maximum Force Rate of Polygon, (b) Energy Dissipation Rate of Polygon, (c) Maximum Force Rate of D, (d) Energy Dissipation Rate of D
5. 결 론
본 연구에서는 지진하중과 같은 반복적인 하중에 의해 발생한 에너지를 강재의 항복을 통해 소산할 수 있는 삼차원 항복 벌집형 댐퍼를 제안하고 유한요소해석을
통해 구조적 특성 규명을 위한 연구를 수행하였다. 최근 활발해진 내진 연구에서는 창의적인 구조를 갖는 댐퍼에 대한 연구가 다량 진행되고 있는데 이에
따라 안정적으로 알려진 벌집형 구조를 댐퍼에 적용하는 연구 또한 진행되고 있다. 하지만 기존의 벌집구조 댐퍼들은 보통 평면적으로 설계되어 비균일적이
항복이 발생을 유발할 수 있는 한계를 가지고 있다. 하지만 본 연구에서 제안한 삼차원 항복 벌집형 댐퍼는 입체적인 벌집구조를 적용함으로써 안정적인
항복 메커니즘을 유도하는 것을 목표로 하였다. 따라서 다각기둥 구조를 갖는 댐퍼를 설계하였고 기둥의 면수, 직경, 길이와 같은 변수를 두어 총 30개
댐퍼를 설계하였다. 유한요소해석은 ABAQUS 프로그램을 활용하여 수행하였고 힘-변위 거동, 최대하중, 에너지소산, 각 변수에 따른 최대하중 및 에너지소산
비율 등을 산출하여 삼차원 항복 벌집형 댐퍼의 거동 특성을 분석하였다. 일반적으로 다각형 구조에서 다각형의 면의 수가 많아지고 밑면의 직경이 작아지며
댐퍼의 길이가 짧아짐에 따라 댐퍼의 성능이 개선되는 것을 확인할 수 있었다. 이에 따라 가장 많은 에너지를 소산한 댐퍼는 12L3D2로 386.68
kN의 하중성능과 134188 kN·mm의 에너지를 소산하였다. 이러한 경향을 통해 세장비가 작아짐에 따라 하중분산 및 최대 하중과 같은 중요 성능이
상승한다는 것을 증명하였다. 하지만 3가지 변수가 변경되어 조합된 12L3D4의 경우 벌집 구조에 국부적인 좌굴이 발생하여 크나큰 항복이 발생하였고
상당히 불안정한 거동을 나타내었고 세 개의 벌집 기둥 합쳐지는 부분의 항복이 상당히 빠르게 발생하였다. 이를 통해 우수한 변수 인자만을 조합하면 우수한
댐퍼를 개발할 수 있지만 취약한 인자가 조합되면 더욱 취약해지는 것을 확인할 수 있었으며 이러한 조합을 종합적으로 고려하였을 때 밑면의 다각형은 10각형으로
고려하여 조합을 고려하는 것이 삼차원 항복 벌집형 댐퍼가 가장 유연하게 조합될 수 있는 것으로 판단하였다.
본 연구에서는 해석적인 연구를 수행하여 실제 구조물 적용시 고려되어야 하는 접합부 강성, 초기 제작 결함, 누적 손상 등과 같은 결과를 도출할 수
없는 한계가 있다. 따라서, 향후 연구에서는 삼차원 항복 벌집형 댐퍼에 대한 실험적 검증을 수행하여 본 연구의 유한요소해석 결과의 타당성을 검증할
필요가 있으며 댐퍼를 실제 구조물에 적용하여 내진성능의 향상 효과를 확인해볼 필요가 있다. 또한, 다양한 형상 변수 및 재료 특성을 고려한 최적 설계
연구를 병행하여 삼차원 항복 벌집형 댐퍼는 향후 내진 보강 및 감쇠 장치로서 활용될 수 있을 것으로 기대된다.
Acknowledgements
This research was supported by Basic Science Research Program through the National
Research Foundation of Korea(NRF) funded by the Ministry of Education(grant number
: RS-2023-00248140)
References
De Domenico D., Ricciardi G., Takewaki I. (2019). "Design strategies of viscous dampers
for seismic protection of building structures: a review", Soil Dynamics and Earthquake
Engineering, Vol. 118, pp. 144-165

Gao Y., Huang H. (2022). "Equivalent damper model for honeycomb structures", International
Journal of Mechanics and Materials in Design, Vol. 18, No. 2, pp. 475-490

Jaisee S., Yue F., Ooi Y. H. (2021). "A state-of-the-art review on passive friction
dampers and their applications", Engineering Structures, Vol. 235, pp. 112022

Javanmardi A., Ghaedi K., Ibrahim Z., Huang F., Xu P. (2020). "Development of a new
hexagonal honeycomb steel damper", Archives of Civil and Mechanical Engineering, Vol.
20, No. 2, pp. 63

Javanmardi A., Ibrahim Z., Ghaedi K., Ghadim H. B., Hanif M. U. (2020). "State-of-the-art
review of metallic dampers: testing, development and implementation", Archives of
Computational Methods in Engineering, Vol. 27, pp. 455-478

Kim Y. C., Lee H. W., Hu J. W. (2023). "A study on performance evaluation of hybrid
dampers", Structures, Vol. 58, pp. 105354

Kim Y. C., Lee H. W., Hu J. W. (2024). "Behavioral characteristics analysis of pretension
damper with superelastic shape memory alloy", Case Studies in Construction Materials,
Vol. 20, pp. e03121

Kumar M., Whittaker A. S., Constantinou M. C. (2014). "An advanced numerical model
of elastomeric seismic isolation bearings", Earthquake Engineering & Structural Dynamics,
Vol. 43, No. 13, pp. 1955-1974

Lee M., Lee J., Kim J. (2017). "Seismic retrofit of structures using steel honeycomb
dampers", International Journal of Steel Structures, Vol. 17, No. 1, pp. 215-229

Marioni A. (2024), Anti-Seismic Devices, pp. 59-72

Zhang Y., Xu X., Fang J., Huang W., Wang J. (2022). "Load characteristics of triangular
honeycomb structures with self-similar hierarchical features", Engineering Structures,
Vol. 257, pp. 114114

Zsarnóczay Á., Budaházy V., Vigh L. G., Dunai L. (2013). "Cyclic hardening criteria
in EN 15129 for steel dissipative braces", Journal of Constructional Steel Research,
Vol. 83, pp. 1-9
