신현주
(Hyun-Joo Shin)
***
이옥민
(Ok-Min Lee)
*†
Copyright © 2014, Korean Society on Water Environment
Key words
Biological assessment, Namhan-river, Phytoplankton community, Water quality, Weirs
1. Introduction
남한강은 팔당호로 유입되는 하천으로 유로 연장 총 375 km, 유역면적 23,859 km2이다(Lee et al., 2012; Park et al., 2008). 또한 팔당호로 유입되는 하천의 유입량 중 50% 이상을 차지하며, 홍수 및 갈수기에 상류에 있는 충주호의 수문조작에 따라 유속과 유량이 크게
영향을 받아 팔당호의 수질에 직접적인 영향을 준다(Kong et al., 1996; Park et al., 2008).
최근 정부에서는 수자원 확보, 수해예방, 수질개선, 생태복원 및 친수 공간 조성을 목표로 4대강 살리기 사업이 추진됨에 따라(Kim, 2013) 국내의 주요 4대강 유역에 총 16개의 인공보를 건설하였으며, 본 연구 대상지인 남한강 유역에는 강천보, 여주보, 이포보 총 3개의 인공보가 2011년에
완공되었다(You, 2013). 자연하천에 보와 같은 인공구조물이 설치된 하천은 유속이 감소되며 유입된 오염물질이 용해성성분으로 전환되는 폐쇄성 수역의 특징을 가지게 된다(Kim, 2013). 이러한 하천은 자정능력이 떨어져 하천 내의 퇴적물의 축적량 증가로 인한 부영양화를 일으켜 수생태계 전반에 걸쳐 영향을 미칠 수 있다(Kim, 2008; Lee et al., 2002; You et al., 2010).
수생태계의 1차 생산자인 식물플랑크톤은 생태계의 군집 구조를 결정하는 중요한 구성원이며, 수질 변화에 따라 현존량과 종조성이 변하기 때문에 수환경의
변화를 모니터링하는데 중요하게 이용된다(Son et al., 2013; Stoermer and Ladewski, 1978). 또한 식물플랑크톤의 지표종과 우점종은 수질의 영양 상태를 판단할 수 있는 자료로 이용되며(Palmer, 1980; Reynolds, 1984; Yang and Dickman, 1993), 특히 현존량은 수화 현상을 예보하기 위한 중요한 수단으로 사용되므로 식물플랑크톤은 수생태계 파악을 위한 필수적인 요소이다(James, 1979; Whitton, 1979).
최근 국내에서는 대형 인공구조물 건설이 하천생태계에 미치는 초기 영향에 대한 연구(You, 2013)와 4대강 사업과 금호강의 수질이 낙동강 본류에 미치는 영향에 대한 연구(Hwang et al., 2013), 낙동강 중류지역의 인공보 설치 전후의 수질 변화에 관한 연구(Kim, 2013) 등 하천의 인공구조물 설치가 환경이나 생태계에 어떠한 영향을 미치는 가에 대한 연구가 진행되고 있으나, 주로 낙동강에 대한 연구가 활발히 진행되고
있는 반면 남한강에 대한 연구는 미흡한 실정이다.
본 연구에서는 남한강에 설치된 3개의 인공보를 중심으로 이화학적 요인을 조사하고, 식물플랑크톤의 군집을 파악하며 아울러 생물학적 수질평가를 통하여
보설치 이후 장기적인 남한강 수계의 생태계를 파악하기 위한 기초 자료를 제공하고자 하였다.
2. Materials and Methods
2.1. 조사지점 및 조사기간
본 연구에서는 강원도 원주시, 충청북도 충주시와 경기도 여주시를 통과하는 남한강 하류수계를 대상으로 식물플랑크톤은 2012년 6월부터 2013년 5월까지
매월 1회씩 총 12회를 조사하였고, 부착성 규조류는 2013년 1월부터 2013년 11월에 걸쳐 계절별 조사를 4회 실시하였다.
남한강은 태백산 일대에서 발원하여 강원도 영월에서 서쪽으로 남류한 뒤 충주호를 거쳐 섬강과 청미천과 합쳐진 뒤 경기도 여주로 흘러들어와 양화천, 복하천
등과 합쳐져 양수리로 흐르는 하천이다. 최근 정부의 4대강 살리기 사업의 일환으로 하류 수계에는 강천보, 여주보, 이포보 총 3개의 인공보가 설치되어있다.
조사정점은 인공보가 설치된 3지점과 그 상류의 1지점으로 총 4 정점(NH01: 강원도 원주시 부론면 법천리 남한강대교, NH02: 경기도 여주시
단현동 강천보, NH03: 능서면 여주보, NH04: 금사면 이포보)을 조사하였다(Fig. 1).
Fig. 1.
The sampling sites in Namhan-river from Jun. 2012 to May 2013.
2.2. 채집 및 분석 방법
수질분석을 위한 시료는 2 L의 플라스틱 병에 담아 냉장 보관하여 실험실로 운반하였다. 수온, 용존산소(DO), pH, 전기전도도, 탁도는 휴대용
측정기(Horiba D-55, Orion 5-star) 를 이용하여 현장에서 측정하였다. 총질소(TN), 총인(TP), Chlorophyll-a 은 Standard method(APHA, 1998)에 준하여 분석하였다. BOD와 조시기간 이전의 데이터는 물환경정보시스템의 자료를 이용하였다(WIS, 2013). 보가 생기기 이전은 2008년 1월부터 2009년 12월까지, 보 건설 기간은 2010년 1월부터 2011년 12월까지, 보 건설 이후는 2012년
1월부터 2013년 12월까지를 평균 내어 비교하였다.
식물플랑크톤의 채집은 표층수 1 L를 플라스틱 병에 담아 채집하였으며, Lugol's 용액으로 총 1%의 농도로 고정하였다. 이는 상등액을 제거하고
남은 시료를 균일하게 섞어준 뒤 Sedgwick-Rafter chamber에 1 mL을 넣고 광학현미경(Olympus BX47, Japan)을 이용하여
200∼1,000배율로 계수하였다. 이때 각 시료 당 10회씩 반복하여 계수한 후 평균값을 산출하였다. 각 수역에서 출현한 식물플랑크톤 중 규조강은
영구표본의 제작을 위해 채집한 시료를 세정한 후 Pleulax(Wako, Japan)를 이용하여 봉입하였고, Simonsen의 분류체계(Ettl, Gartner et al., 1991; Ettl, Gerloff et al., 1986, 1988, 1991)에 따랐다. 그 외의 분류군은 Hirose et al. (1977)을 참고하였으며, Chung (1993) 그리고 Prescott (1962) 등을 참조하였다.
우점종은 계수한 각 분류군 중 상대출현빈도가 가장 높은 분류군으로 산출하였다(Kim, 2012). 생물학적 수질평가는 부영양화도지수(Trophic state Index: TSI) (Carlson, 1977), 식물플랑크톤을 이용한 생물보전지수(Phytoplankton Index of Biotic Integrity: P-IBI) (Wu et al., 2012), 부착성 규조류를 이용한 유기오탁지수(Diatom Assemblage Index of Organic Water Pollution: DAIpo)(Watanabe et al., 1990; Watanabe et al., 2005), 유기오염지수(Trophic Diatom Index: TDI) (Kelly and Whitton, 1995)를 이용하여 정량적으로 평가하였다.
3. Results and Discussion
3.1. 남한강 하류수계의 환경요인
남한강 하류수계의 4지점에서 조사한 이화학적 환경요인은 다음과 같다(Table 1). 남한강의 수온은 3~28℃의 범위로 일반적인 국내 하천과 유사한 경향을 나타냈다(Lee et al., 2002; Park, Moon et al., 2006). DO는 6.5~21.5 mg/L의 범위로 계절과 지점에 따라 농도 차이가 큰 것으로 나타났다. pH는 5.8~8.3의 범위로 하류로 갈수록 낮아지는
경향을 나타내었다. 전기전도도는 87~182 μs/cm의 범위로 나타났으며, 여름에 가장 높은 값을 나타내었다. BOD의 농도는 0.5~3.5 mg/L의
범위로 하천의 생활환경기준에 의거 매우 좋음~약간 좋음의 등급으로 나타났다. 탁도는 0.6~23.7 NTU의 범위로써 하류로 갈수록 점차 높아지는
경향을 나타내었다. 또한 여름철이 대체로 높은 값을 나타냈는데, 이것은 본 연구의 여름철인 2012년 6월~8월까지의 강수량이 84.4~484.6mm
(KMA, 2013)로 여름철 집중 강우에 의한 부유물질이 유입되어 탁도가 높아진 것으로 사료된다.
Table 1.
The environmental factors at 4 sampling sites in the Namhan-river from Jun. 2012 to
May 2013
영양염의 경우 총 질소는 1.678~3.241 mg/L 범위였다. 한탄강의 연구에서 1.1~5.5 mg/L의 범위 (Kim, 2004), 낙동강 물금 지점에서는 1.4~6.9 mg/L (Joung et al., 2013), 영산강의 연구에서 1.8~10.8 mg/L의 범위(Son et al., 2013)로 일반적인 내륙하천의 농도와 유사하였다. 총인의 농도는 0.013~0.073 mg/L의 범위로 나타났다. 두 영양염류 모두 상류에서 하류로 갈수록
농도가 높아졌으며, 주로 NH03지점에서 가장 높게 나타났다. 이러한 총인의 농도는 Forsberg and Ryding(1980)의 기준으로 볼 때, 모든 시기와 지점이 중영양수역(Mesotrophic)~부영양수역(Eutrophic)에 해당하였으며, 하천 생활환경기준(WIS, 2013)에 의하면 매우 좋음~약간 좋음의 등급으로 나타났다.
2008년부터 2013년까지 보 건설 전·후의 환경요인을 비교해보면 수온의 경우 큰 변화가 없었다(Fig. 2). BOD와 Chlorophyll-a 는 보 건설 기간에 감소하였다가 건설 후에 다소 증가하였으나 전반적으로 보 건설 이전에 비해 농도가 감소한 것으로 나타났다. 영양염류의 경우 총인과
총 질소는 NH04에서 총인이 약간 감소한 것을 제외하고는 대부분 보 건설 전후가 유사한 것으로 나타났다.
Fig. 2.
The variations of the Environmental factors in Namhanriver from 2008 to 2013 (WIS, 2013).
3.2. 남한강 하류수계의 식물플랑크톤 군집 특성
3.2.1. 출현종 및 우점종
조사기간 동안 남한강 하류 수계에서 출현한 식물플랑크톤은 6문 6강 1아강 14목 5아목 26과 2아과 64속 222종 32변종 5품종 총 259
분류군이었다. 이와 같은 결과는 동강의 159분류군(Cho and Shin, 2012), 영산강의 174분류군(Son et al., 2013)비해서는 높았고, 한탄강의 354분류군(Kim, 2004)보다는 낮았다. 분류군 별 종 조성은 규조강이 190분류군(73.3%)로 비율이 가장 높았으며, 녹조강 90분류군(20.1%), 남조강 11분류군(4.2%)
및 기타 조류 6분류군(0.4%)의 순으로 조사되었고, 이는 국내 내륙 하천인 소옥천(Kim and Lee, 2011), 경상북도 오십천, 송천천 및 남대천(Kim and Lee, 2013), 동천(Kim et al., 2013)의 결과와 유사하였다.
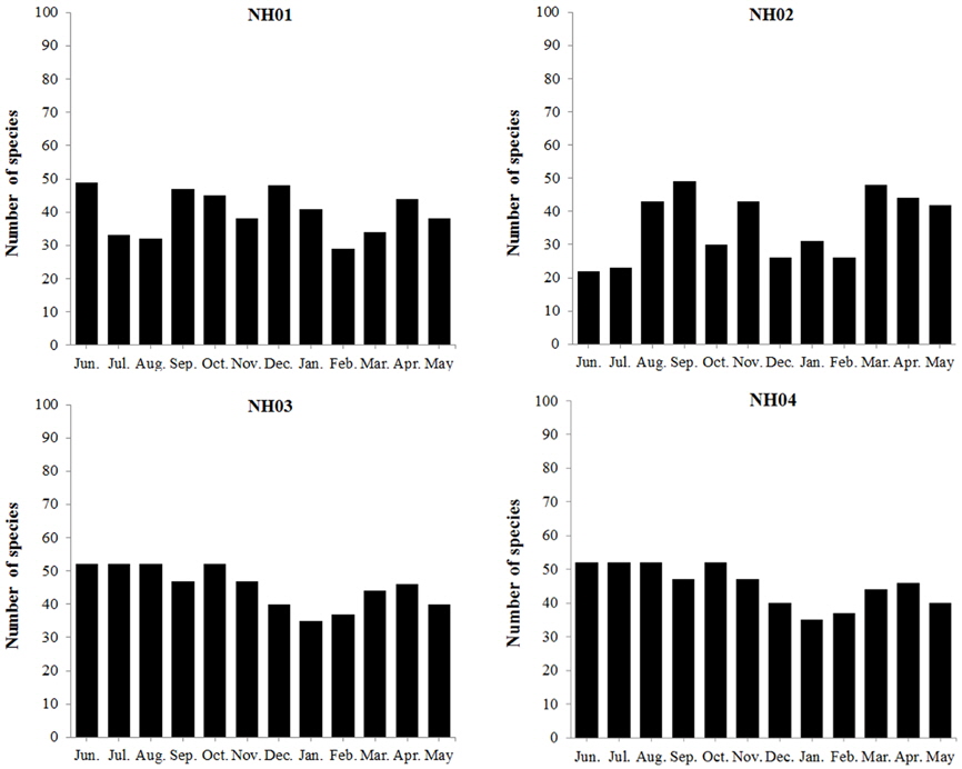
조사 지점별 출현 분류군 수는 NH01 지점에서 29분류군(2013년 2월)~49분류군(2012년 6월), NH02 지점에서 22분류군(2012년
6월)~49분류군(2012년 9월), NH03 지점에서 35분류군(2013년 1월)~52분류군(2012년 8월), NH04 지점에서 34분류군(2012년
6월)~71분류군(2012년 9월)였으며, 전반적으로 여름과 봄철에 점차 증가하였다가 가을과 겨울철에 감소하였다(Fig. 3).
Fig. 3.
The variation of number of species at 4 sampling sites in the Namhan-river from Jun.
2012 to May 2013.
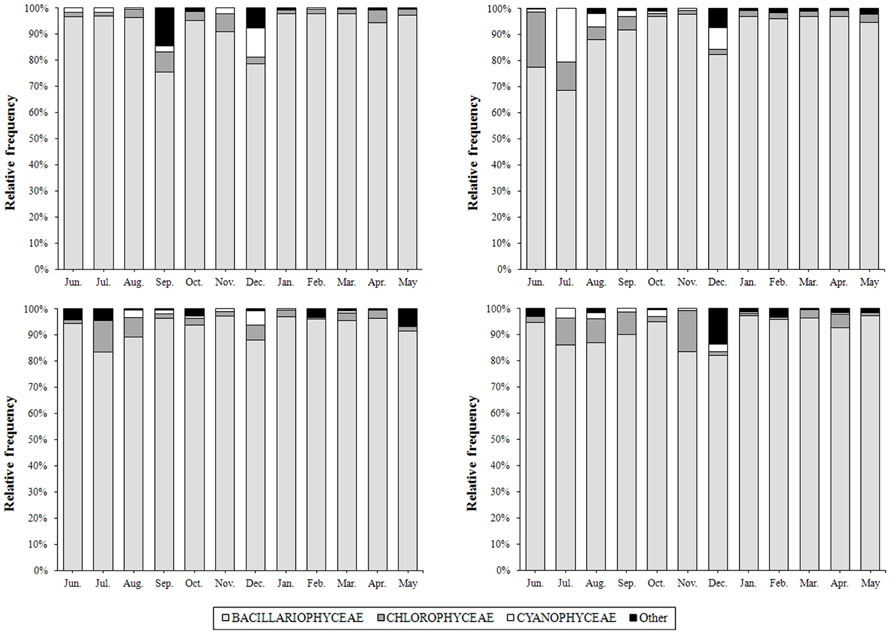
각 조사지점의 월별 분류군 구성비는 정점에 따라 차이는 있지만 규조강은 68.7%~97.9%의 범위로 나타났으며, 2012년 9월과 12월 NH01,
2012년 6월, 7월 NH02를 제외한 나머지 정점에서는 80%이상으로 극우점하였다(Fig. 4).
Fig. 4.
The Class composition of phytoplankton at 4 sampling sites in the Namhan-river from
Jun. 2012 to May 2013.
우점종은 Aulacoseira granulata, Cyclotella meneghiniana, Cyclotella stelligera, Melosira varians,
Cocconeis placentula var. lineata, Nitzschia palea, Nitzschia amphibia, Cymbella minuta,
Achnanthes convergens 등 총 9개의 분류군으로 나타났으며(Table 2), 이는 보가 설치되기 이전에 유사 지역을 조사한 Park, You et al. (2006)의 연구에서 나타난 Cyclotella 속, Aulacoseira 속, Nitzschia 속과 유사한 결과였다.
Table 2.
The dominant species at 4 sampling sites in the Namhan-river from Jun. 2012 to May
2013
Cyclotella meneghiniana 는 2012년 겨울철인 12월부터 2013년 봄철인 5월까지 대부분의 지점에서 우점하였다. 이 종은 하천이나 호소에 보편적으로 출현하는 종으로 부영양화된
수역이나 기수역에서도 출현하는 것으로 알려져 있다(Chung, 1993). 또한 최대 성장률이 5~15℃의 수온 범위이며(Poulickova, 1993; Shafik, Herodek, Présing et al., 1997; Shafik, Herodek, Vôrôs et al., 1997), 겨울철 적정 영양염이 유입되는 조건에서 수온이 3℃ 이하로 감소하여도 충분히 생장할 수 있다는 결과(Shin, 1997)를 고려할 때, 본 연구 수역에서 겨울철부터 봄철까지 지속적으로 우점할 것으로 사료된다.
여름철 대부분의 지점에서는 다양한 담수 서식처에서 부착성이나 부유성으로 서식하는 것으로 알려진 Melosira varians 가 우점하였다(Chung, 1993). NH01에서는 대표적인 부착성 호청수성 규조류인 Cocconeis placentula var. lineata 가 우점하였는데(Watanabe et al., 2005), 이는 유속과 같은 물리적 이유로 인해 부착기질로부터 탈락된 것으로 판단된다. 또한 7-8월과 11월의 NH03에서 Nitzschia amphibia 와 Nitzschia palea 가 우점하였다. 가을철인 10월에는 Aulacoseira granulata가 높은 점유율을 보이며 우점하였으며, 이는 대청호의 식물플랑크톤 군집에 대한 연구(Lee et al., 2007)와 운문호 식물플랑크톤 군집에 대한 연구(Tak, 2012), 낙동강 물금지역의 식물플랑크톤에 대한 연구(Joung et al., 2013) 등과 유사한 결과이다.
인공보가 설치된 낙동강에서는 남조류의 대발생이 빈번하게 나타나지만(Son, 2013) 조사가 이루어진 남한강 하류 수계에서는 Anabaena 속과 Microcystis 속 등을 포함한 남조강이 4.2%로 소수로 출현하였다(Fig. 4). 일반적으로 조류 대발생은 규산질과 같은 세포의 구성 물질로 인해 침강률 높은 규조류보다 부유력이 높은 남조류나 녹조류(Choi, 2004)가 표층에서 존재하며 성층 현상으로 표층에 집적된 영양염을 이용하여 대량으로 증식되는 것이지만(Kim et al., 2003), 남한강 수계는 체류시간이 짧아 성층화가 일어나지 않으므로 영양염의 혼합이 고르게 분포하기 때문에 대발생이 일어나지 않았던 것으로 사료된다(You, 2013).
3.2.2. 현존량
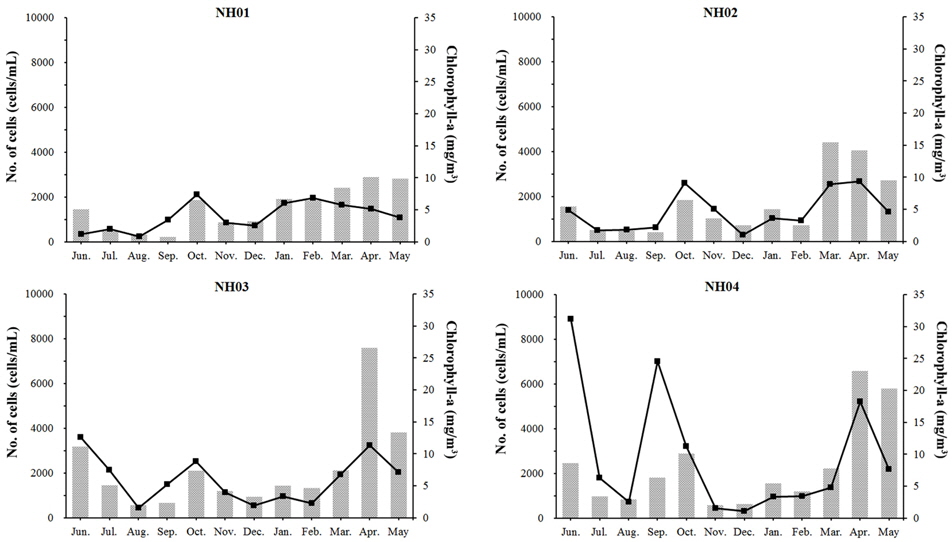
세포수 계수에 의한 식물플랑크톤의 현존량은 220~7,581 cells/mL의 범위로 2012년 9월의 NH01에서 가장 낮았으며, 2013년 4월의
NH03에서 가장 높았다. 계절별로 볼 때 봄철의 평균 세포수가 3,949 cells/mL로 가장 높았으며, 여름철의 평균 세포수가 1,191 cells/mL로
가장 낮아 계절별 현존량의 차이가 크게 나타났다(Fig. 5). Chlorophyll-a 의 농도는 0.8~31.2 mg/m3의 범위로 2013년 8월의 NH01에서 가장 낮았으며, 2012년 6월의 NH04에서 가장 높았다. 계절적으로 봄철에 가장 높고 여름철에는 집중
강우의 영향으로 가장 낮은 현존량을 보이며 가을인 10월~11월까지 감소하다 겨울철부터 증가하였다(Fig. 5).
Fig. 5.
The seasonal variation of the standing crops based on Chlorophyll-a and cell numbers of phytoplankton at 4 sampling sites in the Namhan-river from Jun.
2012 to May 2013.
세포수와 Chlorophyll-a 의 농도가 대체로 유사한 경향을 보이나, 2012년 6월의 NH01, 8월과 10월의 NH04에서 다소 차이가 났다. 이것은 세포의 크기와 세포내
Chlorophyll-a 의 함량의 차이가 다르며(Jiménez et al., 1987; Odete and Yanada, 1993), 세포수 계수 시 포함되지 못하는 미소플랑크톤의 영향 등에 의한 것으로 사료된다(Larsson and Hagatrom, 1982). 또한 세포수와 Chlorophyll-a 모두 상류에서 하류로 갈수록 점차 현존량이 증가하는 것으로 나타났다.
3.3. 생물학적 수질평가
본 연구에서는 봄(3월~5월), 여름(6월~8월), 가을(9월~11월), 겨울(12월~2월)로 분리하여 부착성 규조류를 이용한 유기오탁지수(DAIpo)와
영양염 지수(TDI), 식물플랑크톤을 이용한 온전성 지수 (P-IBI), 부영양화지수(TSI)와 BOD를 비교하였다.
대표적으로 이화학적 수질평가에 이용되는 BOD의 결과는 하천 생활환경 기준(WIS, 2013)에 따르면 Ia~III의 범위로 매우 좋음~보통의 등급으로 나타났다. DAIpo는 A~D등급, TDI의 경우 B~D등급으로 나타났다. 하류로 갈수록
등급이 낮아지는 경향으로 나타났으며, NH03은 대부분의 시기에 가장 낮은 D 등급을 나타내었고 주로 보가 설치된 구간에서의 등급이 낮았다.
P-IBI는 여름철 NH01과 NH03, 가을철 NH01, NH03과 NH04를 제외하고 모든 곳에서 M등급을 나타내며 양호한 상태의 수질을 나타내었다.
TSI는 대부분의 시기와 정점에서 E(Eutrophic) 등급을 나타내었으나, 겨울철에는 NH03을 제외한 다른 지점에서는 M(Mesotrophic)등급을
나타냈었다(Table 3).
Table 3.
DAIpo, TDI, P-IBI, TSI and BOD level at 4 sampling sites in Namhan-river from Jun.
2012 to May 2013
DAIpo와 TDI는 다수의 지점에서 유사한 등급을 나타내었지만 일부 시기에서는 차이를 보였다. 이것은 본 연구에서 출현한 Nitzschia dissipata 나 Diatoma vulgaris 와 같은 종이 DAIpo에서는 호청수성그룹이나 TDI에서는 오염종으로 분류되어 있기 때문이며, 정확한 지수 산출을 위해 지표성이 떨어지는 종들은
재검토 되어야 할 것으로 사료된다.
대표적인 이화학적 수질 평가 요인인 BOD와 생물학적 수질평가 등급을 비교했을 때 가장 유사한 결과를 나타내는 P-IBI의 경우 대부분의 시기와 지점에서
좋은 상태의 수질을 나타내었다. 하지만 전 시기와 지점에서 출현한 남조류의 세포수가 매우 적어 P-IBI 평가 항목 중 하나인 Cyanobateria
index에서 모두 가장 높은 등급이 됨으로써 다른 항목들과 통합되었을 때 평균 등급을 상향시켰다. 이것은 여러 지수 값들이 하나의 값으로 압축되면서
세밀하지 못한 평가가 나타난 것으로 Gerritsen(1995)이 언급한 다항목 지수의 단점으로 판단된다.
4. Conclusion
본 연구는 2012년 6월부터 2013년 11월까지 남한강 하류 수계를 대상으로 이화학적 환경요인 및 식물플랑크톤의 군집 구조와 현존량을 조사·분석하였으며,
우점종 분석과 생물학적 수질 평가 지수를 통해 남한강 하류의 수질상태를 평가하였다.
1) 환경요인은 대체로 일반적인 국내 내륙 하천과 유사하였고, 영양염류의 농도는 총질소는 평균 2.4 mg/L, 총 인은 평균 0.04 mg/L로
좋음 등급의 수질로 나타났으며, BOD농도 또한 평균 1.1 mg/L로 하천의 수질환경기준 좋음 등급에 해당하였다.
2) 식물플랑크톤은 총 259 분류군이 출현하였고, 모든 시기와 지점에서 규조강이 가장 높게 나타났다. 우점종은 Aulacoseira granulata, Cyclotella meneghiniana, C. stelligera, Melosira varians, Cocconeis
placentula var. lineata, Nitzschia palea, N. amphibia, Cymbella minuta, Achnanthes convergens 의 9개의 분류군으로 나타났으며, 이 중 부영양화된 하천이나 호소에 보편적으로 출현하는 Cyclotella meneghiniana 가 동계~춘계의 모든 지점에서 17.4% ~ 67.5%의 높은 비율로 우점하였다.
3) 보 건설 후 영양염류 농도와 수온의 변화는 크기 않았고 보 건설 이전과 거의 유사하였으며, BOD와 Chlorophyll-a의 농도는 다소 감소하는 경향으로 나타났다. 식물플랑크톤의 경우 또한 환경요인과 같이 보 건설 전·후 모두 Cyclotella sp., Aulacoseira sp., Nitzschia sp. 등의 유사 분류군이 출현한 것으로 나타났다.
4) 생물학적 수질평가 시 DAIpo는 A~D등급, TDI의 경우 B~D등급으로 나타났다. P-IBI는 남조류의 저조한 출현으로 M(Moderate)등급
이상의 양호한 상태의 수질로 나타났다. TSI는 대부분의 시기와 정점에서 E(Eutrophic) 등급으로 나타났다. 하류지점인 여주보와 이포보에서
대부분의 지수가 비교적 낮은 등급을 나타냈다.
5) 수질 평가 지수를 비교한 결과 이화학적 수질 평가 지수는 대체로 부영양화 상태를 나타냈다. 반면 부착규조류와 식물플랑크톤을 이용한 수질 평가
지수들은 남조류의 낮은 출현률과 호청수성종의 우점 등으로 대부분 좋음~보통의 등급으로 나타났다. 이와 같은 지수 간 등급 차이는 생물학적 요소 적용
유무에 의한 것으로, 수생태계가 생물학적 요소와 무생물학적 요소가 공존하는 곳이므로 수질 평가 시에 생물학적 요소의 평가가 함께 이루어져야 한다는
것을 나타낸다.
Acknowledgements
본 연구는 환경부의 차세대 에코이노베이션 기술개발사업(Grant no. 416-111-008)에서 지원받았습니다.
References
1998, Standard Method For the Examination of Water and Wastewater, American Public
Health Association (APHA). (1998). Standard Method For the Examination of Water and
Wastewater, 20th, New York, pp. 1220., pp. 1220

Carlson R. E., 1977, A Trophic Status Index for Lakes, Limnology and Oceanography,
Carlson, R. E. (1977). A Trophic Status Index for Lakes, Limnology and Oceanography,
22, pp. 361-369., Vol. 22, pp. 361-369

Cho Y. C., Shin Y. K., 2012, A Study of Structure of Phytoplankton Community in the
Upstream Watershed of East River, Korea, Korean Journal of Limnology, Cho, Y. C. and
Shin, Y. K. (2012). A Study of Structure of Phytoplankton Community in the Upstream
Watershed of East River, Korea, Korean Journal of Limnology, 45(1), pp. 21-33. [Korean
Literature], Vol. 45, No. 1, pp. 21-33

Choi S. K., 2004, Settling Efficiency of Problematic Algae and Their Flocculants in
the Water Treatment Process, Master’s Thesis, Choi, S. K. (2004). Settling Efficiency
of Problematic Algae and Their Flocculants in the Water Treatment Process, Master’s
Thesis, Inje University, Kimhae, Korea. pp. 17-29. [Korean Literature], pp. 17-29

Chung J., 1993, Illustration of the freshwater algae of Korea, Chung, J. (1993). Illustration
of the freshwater algae of Korea. Academy Publishing Company, Seoul, pp. 496. [Korean
Literature], pp. 496

Ettl H., Gartner G., Gerloff. J., Heynig. H., Mollenhauer. D, 1991, SüBwasserflora
von Mitteleuropa, Band 2/4, Bacillariophyceae, Ettl, H., Gartner G., Gerloff. J.,
Heynig. H., and Mollenhauer. D. (1991). SüBwasserflora von Mitteleuropa, Band 2/4,
Bacillariophyceae, Gustav Fischer Verlag, Stuttgart, pp. 437., pp. 437

Ettl H., Gerloff. J., Heynig. H., Mollenhauer. D., 1986, SüBwasserflora von Mitteleuropa,
Band 2/1, Bacillariophyceae, Ettl, H., Gerloff. J., Heynig. H., and Mollenhauer. D.
(1986). SüBwasserflora von Mitteleuropa, Band 2/1, Bacillariophyceae, Gustav Fischer
Verlag, Stuttgart, pp. 876., pp. 876

Ettl, H., Gerloff J., Heynig. H., Mollenhauer. D., 1988, SuBwasserflora von Mitteleuropa,
Band 2/2, Bacillariophyceae, Ettl, H., Gerloff, J., Heynig. H., and Mollenhauer. D.
(1988). SüBwasserflora von Mitteleuropa, Band 2/2, Bacillariophyceae, Spektrum Akademischer
Verlag, Berlin, pp. 596., pp. 596

Ettl H., Gerloff J., Heynig H., Mollenhauer. D., 1991, SuBwasserflora von Mitteleuropa,
Band 2/3, Bacillariophyceae, Ettl, H., Gerloff, J., Heynig, H., and Mollenhauer. D.
(1991). SüBwasserflora von Mitteleuropa, Band 2/3, Bacillariophyceae, Spektrum Akademischer
Verlag, Berlin, pp. 576., pp. 576

Forsberg C., Ryding V. H., 1980, Eutrophication Parameters and Trophic State Indices
in 30 Swedish Waste-Receiving Lakes, Archives of Hydrobiology, Forsberg, C. and Ryding,
V. H. (1980). Eutrophication Parameters and Trophic State Indices in 30 Swedish Waste-Receiving
Lakes, Archives of Hydrobiology, 89, pp. 189-207., Vol. 89, pp. 189-207

Gerritsen J., 1995, Additive Biological Indices for Resource Management, Journal of
the North American Benthological Society, Gerritsen, J. (1995). Additive Biological
Indices for Resource Management, Journal of the North American Benthological Society,
14(3), pp. 451-457., Vol. 14, No. 3, pp. 451-457

Hirose H. M., Akiyama T., Imahori K., Kasaki H., Kumana S., Kobayasi H., Takahashi
E., Tsumura T., Hirano M., Yamagishi T., 1977, Illustration of the Japanese freshwater
algae, Hirose, H. M., Akiyama, T., Imahori, K., Kasaki, H., Kumana, S., Kobayasi,
H., Takahashi, E., Tsumura, T., Hirano, M., and Yamagishi, T. (1977). Illustration
of the Japanese freshwater algae, Uchidarokakuho Publishing Co., Ltd., Tokyo, Japan,
pp. 932., pp. 932

Hwang S. J., Bae H. K., Kim H. Y., 2013, The Effect of for Major River Project and
Kumho River on Nakdong River’s Water Quality - Focused on Kangjung-Koryung Weir, Journal
of Environmental Science International, Hwang, S. J., Bae, H. K., and Kim, H. Y. (2013).
The Effect of for Major River Project and Kumho River on Nakdong River’s Water Quality
- Focused on Kangjung-Koryung Weir, Journal of Environmental Science International,
22(6), pp. 695-703. [Korean Literature], Vol. 22, No. 6, pp. 695-703

James A., 1979, The value of Biological Indicators in Relation to Other Parameters
of Water Quality, Biological Indicators of Water Quality, James, A. (1979). The value
of Biological Indicators in Relation to Other Parameters of Water Quality, Biological
Indicators of Water Quality, A. James and L. Evison (eds.), John Wiley and Sons, New
York, pp. 1-16., pp. 1-16

Jimenez F., Rodriguez J., Bautista B., Rodriguez V., 1987, Relations between Chlorophyll,
Phytoplankton Cell Abundance and Ciovolume during a Winter Bloom in Mediterranean
Coastal Waters, Journal of Experimental Marine Biology and Ecology, Jimenez, F., Rodriguez,
J., Bautista, B., and Rodriguez, V. (1987). Relations between Chlorophyll, Phytoplankton
Cell Abundance and Ciovolume during a Winter Bloom in Mediterranean Coastal Waters,
Journal of Experimental Marine Biology and Ecology, 105, pp. 161-173., Vol. 105, pp.
161-173

Joung S. H., Park H. K., Lee H. J., Lee S. H., 2013, Effect of Climate Change for
Diatom Bloom at Winter and Spring Season in Mulgeum Station of the Nakdong River,
South Korea, Journal of Korean Society on Water Environment, Joung, S. H., Park, H.
K., Lee, H. J., and Lee, S. H. (2013). Effect of Climate Change for Diatom Bloom at
Winter and Spring Season in Mulgeum Station of the Nakdong River, South Korea, Journal
of Korean Society on Water Environment, 29(2), pp. 155-164. [Korean Literature], Vol.
29, No. 2, pp. 155-164

Kelly M. G., Whitton B. A, 1995, The Trophic Diatom Index: a New Index for Monitoring
Eutrophication in Rivers, Journal of Applied Phycology, Kelly, M. G. and Whitton,
B. A. (1995). The Trophic Diatom Index: a New Index for Monitoring Eutrophication
in Rivers, Journal of Applied Phycology, 7, pp. 433-444., Vol. 7, pp. 433-444

Kim B. R., 2013, A Study on Change of Water Quality of the Artificial Weir tn the
Middle of the Nakdong River, Master’s Thesis, Kim, B. R. (2013). A Study on Change
of Water Quality of the Artificial Weir tn the Middle of the Nakdong River, Master’s
Thesis, Yeungnam University, Gyeongsan, Korea, pp. 13-23. [Korean Literature], pp.
13-23

Kim, H S., 2012, The Dynamic of Phytoplankton Community un Unmun Dam, Korean Society
of Limnology, Kim, H, S. (2012). The Dynamic of Phytoplankton Community un Unmun Dam,
Korean Society of Limnology, 45(2), pp. 232-241. [Korean Literature], Vol. 45, No.
2, pp. 232-241

Kim J. M., Heo S. N., No H. R., Yang H. J., Han M. S, 2003, Relationship Between Limnological
Characteristics and Algal Bloom in Lake-type and River-type Reservoirs, Korea, Korean
Journal of Limnology, Kim, J. M., Heo, S. N., No, H. R., Yang, H. J., and Han, M.
S. (2003). Relationship Between Limnological Characteristics and Algal Bloom in Lake-type
and River-type Reservoirs, Korea. Korean Journal of Limnology, 32(2), pp. 124-138.
[Korean Literature], Vol. 32, No. 2, pp. 124-138

Kim O. J., Lee O. M., 2011, Phytoplankton Community and the Evaluation of Water Quality
Status in So-ok Stream, the Inflowing Stream to Daechung Lake, Korean Journal of Limnology,
Kim, O. J. and Lee, O. M. (2011). Phytoplankton Community and the Evaluation of Water
Quality Status in So-ok Stream, the Inflowing Stream to Daechung Lake, Korean Journal
of Limnology, 44(2), pp. 113-128. [Korean Literature], Vol. 44, No. 2, pp. 113-128

Kim Y. J., 2004, Temporal and Spatial Dynamics of an Epilithic Algal Community in
the Hantan River, Algae, Kim, Y. J. (2004). Temporal and Spatial Dynamics of an Epilithic
Algal Community in the Hantan River, Algae, 19(1), pp. 15-22. [Korean Literature],
Vol. 19, No. 1, pp. 15-22

Kim Y. J., 2008, Biological Water Quality Assessment at Dal-stream and Bokha-stream
of Namhan-river Based on DAIpo and TDI Using Epilithic Diatom, Master’s Thesis, Kim,
Y. J. (2008). Biological Water Quality Assessment at Dal-stream and Bokha-stream of
Namhan-river Based on DAIpo and TDI Using Epilithic Diatom, Master’s Thesis, Kyonggi
University, Suwon, Korea, pp. 16-20. [Korean Literature], pp. 16-20

Kim Y. J., Lee O. M., 2013, The Water Quality Assessment based on Phytoplankton Community
and Physico-chemicla Factors of Oship-stream, Songchun-stream and Namdaestream in
Gyeongsangbukdo, Journal of Korean Society on Water Environment, Kim, Y. J. and Lee,
O. M. (2013). The Water Quality Assessment based on Phytoplankton Community and Physico-chemicla
Factors of Oship-stream, Songchun-stream and Namdaestream in Gyeongsangbukdo, Journal
of Korean Society on Water Environment, 29(3), pp. 428-437. [Korean Literature], Vol.
29, No. 3, pp. 428-437

Kim Y. J., Shin H. J., Lee O. M., 2013, Seasonal Variation of the Phytoplankton Community
Physico-Chemical Factors of Dong-stream in Jeollanam-do, Journal of Korean Society
on Water Environment, Kim, Y. J., Shin, H. J., and Lee, O. M. (2013). Seasonal Variation
of the Phytoplankton Community Physico-Chemical Factors of Dong-stream in Jeollanam-do,
Journal of Korean Society on Water Environment, 29(2), pp. 223-231. [Korean Literature],
Vol. 29, No. 2, pp. 223-231

Kong D. S., Yoon I B., Ryu J. K., 1996, Hydrological Characteristics and Water Budget
of Lake Paldang, Korean Journal of Limnology, Kong, D. S., Yoon, I, B., and Ryu, J.
K. (1996). Hydrological Characteristics and Water Budget of Lake Paldang, Korean Journal
of Limnology, 29(1), pp. 51-64. [Korean Literature], Vol. 29, No. 1, pp. 51-64

2012, Korea Meteorological Administration (KMA). (2012). http://web.kma.go.kr/.

Larsson U., Hagatrom A., 1982, Fractionated Phytoplankton Primary Production, Exudate
Release and Bacterial Production in Baltic Eutrophication Gradient, Marine Biology,
Larsson, U. and Hagatrom, A. (1982). Fractionated Phytoplankton Primary Production,
Exudate Release and Bacterial Production in Baltic Eutrophication Gradient, Marine
Biology, 67, pp. 57-70., Vol. 67, pp. 57-70

Lee J. E., Choi J. W., An G. G., 2012, Influence of Landuse Pattern and Seasonal Precipitation
on the Long-term Physico-chemical Water Quality in Namhan River Watershed, Journal
of the Environmental Sciences, Lee, J. E., Choi, J. W., and An, G. G. (2012). Influence
of Landuse Pattern and Seasonal Precipitation on the Long-term Physico-chemical Water
Quality in Namhan River Watershed, Journal of the Environmental Sciences, 21(9), pp.
1115-1129. [Korean Literature], Vol. 21, No. 9, pp. 1115-1129

Lee J. H., Park J. G., Kim E. J., 2002, Trophic States and Phytoplankton Compositions
of Dam Lakes in Korea, Algae, Lee, J. H., Park, J. G., and Kim, E. J. (2002). Trophic
States and Phytoplankton Compositions of Dam Lakes in Korea, Algae, 17(4), pp. 275-281.
[Korean Literature], Vol. 17, No. 4, pp. 275-281

Lee J. J., Lee J. A., Jung J. W., Cheon S. U., 2007, Phytoplankton Succession and
Water Quality in the Daecheong Reservoir, Lee, J. J., Lee, J. A., Jung, J. W., and
Cheon, S. U. (2007). Phytoplankton Succession and Water Quality in the Daecheong Reservoir,
2007 Autumn Co-Conference of the Korean society on Water Environment and Korean society
on Water and Wastewater, Korean Society on Water Environment and Korean society on
Water and Wastewater, pp. 716-720. [Korean Literature], pp. 716-720

Odete T., Yanada M., 1993, Phytoplankton Carbon Biomass Estimated from the Size-Fractionated
Chl-a Concentration and Cell Density in the Northern Costal Wasters from Spring Bloom
to Summer, Bulletin of the Plankton Society of Japan, Odete, T. and Yanada, M. (1993).
Phytoplankton Carbon Biomass Estimated from the Size-Fractionated Chl-a Concentration
and Cell Density in the Northern Costal Wasters from Spring Bloom to Summer, Bulletin
of the Plankton Society of Japan, 39, pp. 127-144., Vol. 39, pp. 127-144

Palmer C. M., 1980, Algae and Water Pollution, Palmer, C. M. (1980). Algae and Water
Pollution, Castle Publication Ltd., UK, pp. 213., pp. 213

Park H. K., Byeon M. S., Choi M. J., Kim Y. J., 2008, The Effect Factors on the Growth
of Phytoplankton and the Sources of Organic Matters in Downstream of Namhan-river,
Journal of Korean Society on Water Environment, Park, H. K., Byeon, M. S., Choi, M.
J., and Kim, Y. J. (2008). The Effect Factors on the Growth of Phytoplankton and the
Sources of Organic Matters in Downstream of Namhan-river, Journal of Korean Society
on Water Environment, 24(5), pp. 556-562. [Korean Literature], Vol. 24, No. 5, pp.
556-562

Park H. K., You K. A., Lee H. J., Byeon M. S., Choi M. J., Kim Y. J., Kang P. G.,
Shin Y. N., 2006, Water Quality and Phyto- and Zooplankton Distribution in Middle
and Downstream of Namhan-river, Park, H. K., You, K. A., Lee, H. J., Byeon, M. S.,
Choi, M. J., Kim, Y. J., Kang, P. G., and Shin, Y. N. (2006). Water Quality and Phyto-
and Zooplankton Distribution in Middle and Downstream of Namhan-river, 2006 Spring
Co-conference of the Korean society on Water Environment and Korean society of Water
and Wastewater, Korean Society on Water Environment and Korean Society of Water and
Wastewater, pp. 696-705. [Korean Literature], pp. 696-705

Park J. H., Moon. B. L., Lee. O. M., 2006, The Phytoplankton Composition and Trophic
States at Several Lakes of Suwon-si, Korea, Algae, Park, J. H., Moon. B. L., and Lee.
O. M. (2006). The Phytoplankton Composition and Trophic States at Several Lakes of
Suwon-si, Korea, Algae, 21(2), pp. 217-228. [Korean Literature], Vol. 21, No. 2, pp.
217-228

Poulickova A., 1993, Ecological study of Seasonal Maxima of Centric Diatoms, Archiv
Fur Hydrobiologie, Poulickova, A. (1993). Ecological study of Seasonal Maxima of Centric
Diatoms, Archiv Fur Hydrobiologie, 68, pp. 85-106., Vol. 68, pp. 85-106

Prescott G. W., 1962, Algae of the Western Great Lakes Area, Prescott, G. W. (1962).
Algae of the Western Great Lakes Area, Otto Koeltz Science Publisher, Germany, pp.
976., pp. 976

Reynolds C. S., 1984, The Ecology of Freshwater Phytoplankton, Reynolds, C. S. (1984).
The Ecology of Freshwater Phytoplankton, Cambridge University Press, London, pp. 384.,
pp. 384

Shafik H. M., Herodek S., Présing M., Vôrôs L., Balogh K. V., 1997, Growth of Cyclotella
meneghiniana Kutz. II. Growth and Cell Compositor under Different Growth Rates with
Different Limiting Nutrient, International Journal of Limnology, Shafik, H. M., Herodek,
S., Présing, M., Vôrôs, L., and Balogh, K. V. (1997). Growth of Cyclotella meneghiniana
Kutz. II. Growth and Cell Compositor under Different Growth Rates with Different Limiting
Nutrient, International Journal of Limnology, 33(4), pp. 223-233., Vol. 33, No. 4,
pp. 223-233

Shafik H. M., Herodek S., Vôrôs L., Présing M., Kiss K. T., 1997, Growth of Cyclotella
meneghiniana Kutz. I. Effects of Temperature, Light and Low Rate of Nutrient Supply,
International Journal of Limnology, Shafik, H. M., Herodek, S., Vôrôs, L., Présing,
M., and Kiss, K. T. (1997). Growth of Cyclotella meneghiniana Kutz. I. Effects of
Temperature, Light and Low Rate of Nutrient Supply, International Journal of Limnology,
33(3), pp. 139-147., Vol. 33, No. 3, pp. 139-147

Shin J. K., 1997, Ecological Study of the Freshwater Algae According to Eutrophication
in the Nakdong River, Doctor’s Thesis, Shin, J. K. (1997). Ecological Study of the
Freshwater Algae According to Eutrophication in the Nakdong River, Doctor’s Thesis,
Inje University, Gimhae, Korea, pp. 202. [Korean Literature], pp. 202

Son H. J., 2013, Changes of Dominant Phytoplankton Community in Downstream of the
Nakdong River: From 2002 to 2012, Journal of Korean Society of Environmental Engineers,
Son, H, J. (2013). Changes of Dominant Phytoplankton Community in Downstream of the
Nakdong River: From 2002 to 2012, Journal of Korean Society of Environmental Engineers,
35(4), pp. 289-293. [Korean Literature], Vol. 35, No. 4, pp. 289-293

Son M. S., Park J. H., Lim C. H., Kim S. G., Lim B. J., 2013, Seasonal Change of Phytoplankton
Community and Water Quality in Yeongsan River Watershed, Korean Journal of Environmental
biology, Son, M. S., Park, J. H., Lim, C. H., Kim, S. G., and Lim, B. J. (2013). Seasonal
Change of Phytoplankton Community and Water Quality in Yeongsan River Watershed, Korean
Journal of Environmental biology, 31(2), pp. 105-112. [Korean Literature], Vol. 31,
No. 2, pp. 105-112

Stoermor E. F., Ladewski T. B., 1978, Phytoplankton Association in Lake Ontario during
IFYGL (International Field Year for the Great Lakes), Stoermor, E. F. and Ladewski,
T. B. (1978). Phytoplankton Association in Lake Ontario during IFYGL (International
Field Year for the Great Lakes), University of Michigan, Great Lakes Research Division
Publishing, Special Report, 62, pp. 106., pp. 106

Tak B. M., 2012, Variation of Phytoplankton Community Structure by the Environmental
Characteristics in Lake Unmoon, Master’s Thesis, Tak, B. M. (2012). Variation of Phytoplankton
Community Structure by the Environmental Characteristics in Lake Unmoon, Master’s
Thesis, Pukyong National University, Busan, Korea, pp. 33-51. [Korean Literature],
pp. 33-51

Watanabe T., Asai K., Houki A., 1990, Numerical simulation of Organic pollution in
Flowing Waters, Hazardous Waste Containment and Treatment, Encyclopaedia of Environmental
Control Technology, Watanabe, T., Asai, K., and Houki, A. (1990). Numerical simulation
of Organic pollution in Flowing Waters, Hazardous Waste Containment and Treatment,
Encyclopaedia of Environmental Control Technology, Gulf Publishig, Company, Houston,
Texas, pp. 251-281., pp. 251-281

Watanabe T., Ohtzsuka T., Tuji A., Houki A., 2005, Picture Book and Ecology of The
Freshwater Diatoms, Watanabe, T., Ohtzsuka, T., Tuji, A., and Houki, A. (2005). Picture
Book and Ecology of The Freshwater Diatoms, Uchida rokako, Tokyo, pp. 666., pp. 666

2013, Water Information System (WIS). (2013). http://water.nier.go.kr.

Whitton B. A., 1979, Algae & Higher Plants as Indicators of River Water Quality, Whitton,
B. A. (1979). Algae & Higher Plants as Indicators of River Water Quality, Chap. 5,
Biological Indicators of Water Quality, A. James and L. Evison (eds.), John Wiley
and Sons, USA, pp. 5:1-34., pp. 1-34

Wu N., Schmalz B., Fohrer N., 2012, Development and Testing of a Phytoplankton Index
of Biotic Integrity (P-IBI) for a German Lowland River, Ecological Indicators, Wu,
N., Schmalz, B., and Fohrer, N. (2012). Development and Testing of a Phytoplankton
Index of Biotic Integrity (P-IBI) for a German Lowland River, Ecological Indicators,
13(1), pp. 158-167., Vol. 13, No. 1, pp. 158-167

Yang J. R., Dickman M., 1993, Diatoms as Indicator of Lake Trophic Status in Central
Ontario, Canada, Diatom Research, Yang, J. R. and Dickman, M. (1993). Diatoms as Indicator
of Lake Trophic Status in Central Ontario, Canada, Diatom Research, 8, pp. 179-193.,
Vol. 8, pp. 179-193

You K. A., 2013, Initial Effects of Large Artificial Structure Construction on River
Ecosystem, Doctor’s Thesis, You, K. A. (2013). Initial Effects of Large Artificial
Structure Construction on River Ecosystem, Doctor’s Thesis, Konkuk University, Seoul,
Korea, pp. 15-20. [Korean Literature], pp. 15-20

You K. A., Park H. K., Gong D. S., Hwang S. J., 2010, Structure and Succession of
Zooplankton Community in Several Artificial Lakes in the Han River System, Journal
of Korean Society on Water Environment, You, K. A., Park, H. K., Gong, D. S., and
Hwang, S. J. (2010). Structure and Succession of Zooplankton Community in Several
Artificial Lakes in the Han River System, Journal of Korean Society on Water Environment,
26(5), pp. 850-859. [Korean Literature], Vol. 26, No. 5, pp. 850-859
