The Journal of
the Korean Society on Water Environment

The Journal of
the Korean Society on Water Environment

Bimonthly
  • ISSN : 2289-0971 (Print)
  • ISSN : 2289-098X (Online)
  • KCI Accredited Journal

Editorial Office





first flush, sewer overflow, SWMM, water quality

1. Introduction

우리나라는 인구가 대부분 도시에 집중되어 있으며, 도시지역에 대한 관거 우선 확충에 따라 하수처리구역의 비율이 지속적으로 증대되고 있다. 점오염원의 경우 4대강사업 및 방류수질강화 등 정책적 지원과 하수처리기술의 발달로 하천에 대한 오염기여율이 감소하고 있는 추세이나 비점오염원의 경우 발생 및 배출경로가 다양하고 강우시 대량 발생하므로 적절한 대책마련이 어려운 실정이다.

Field et al. (1993)은 강우시 초기우수월류수의 오염도는 지표면에서의 초기세척현상과 관거내 퇴적물의 재부유 등으로 건기하수의 수배에서 수십배에 이르기 때문에, 방류수역에 미치는 영향이 심각한 것으로 제시하였다. Kachalsky and DeSantis (1996)는 강우량에 따른 월류유량과 BOD, SS 유량가중평균농도 사이의 상관관계 분석결과, 감소하는 로그함수형태로 제시하였으며, 이때 농도의 범위는 BOD가 약 20~160mg/L, SS는 약 20~370mg/L로 발표하였다.

또한, Bertrand-Krajewski et al. (1998)은 월류수를 처리하기 위한 차집유량은 월류수의 수질보다는 강우기간 동안 발생하는 월류수의 오염부하량을 고려하여 결정하는 것이 바람직하다고 판단하였다. David et al. (2002)은 월류수를 차집하기 위한 저장탱크의 크기결정시 수체에 미치는 영향을 최대한 고려하여야 한다고 지적하였다.

국내에서도 강우시 초기우수 월류에 따른 오염부하 유출특성을 파악한 사례가 다수있으며, Jo et al. (2001)은 퇴적물 재부유 실험결과, 퇴적물 자체 오염도와 관거월류 수질 사이에 밀접한 상관이 있음을 제시하였다. Lee and Shin (2004)은 적정차집 유량평가에서 COD를 기준으로 고밀도지역을 3Q와 Q+2mm/hr로 설계한 경우, 현행 하수도시설 기준에서 제시한 월류오염부하 저감목표인 청천시 발생부하량의 5% 미만이 달성 가능하나 일률적인 기준적용에 한계가 있으므로, 인구밀도, 유역의 강우유출특성, 오염부하발생 경향 등 유역의 특성을 고려한 정량적인 평가가 필요할 것으로 판단하였다.

미국, 일본, 독일 등 선진국에는 저감시설의 용량산정에 직결되는 중요한 인자로 합류식 하수관거 월류수(CSOs)를 고려한 여러 기준이 있으며, 다년간의 강우 실측자료를 분석하여 빈도강우 및 면적당 강우처리규모를 설계기준으로 설정하여 처리시설을 설치・운영하고 있다. 우리나라의 경우 CSOs처리에 대한 하수도법 관련규정은 환경부 하수도법 시행규칙(2014) 제25조에 강우시 월류수 수질의 생물화학적 산소요구량이 40mg/L이하로 관리될 수 있도록 규정하고 있다.

본 연구에서는 강우시 합류식 하수관거 월류부하를 하수도법 관리수준으로 제어하기 위한 초기우수 처리대상 강우량을 산정하고 강우분포형 및 토지이용도 현황별로 초기월류유량 및 부하특성을 검토하였다.

2. Materials and Methods

2.1. 시나리오 구성

강우시 강우분포형별 토지이용에 따른 초기우수 유출특성을 파악하기 위해 도시형 유역모델인 SWMM(Strom Water Management Model)모형을 적용하였다. 일단위의 동일한 강우량조건에서 발생할 수 있는 다양한 강우분포를 고려하여 대상유역의 토지용도별 합류식 처리구역에 대하여 모의하였다. 강우 시나리오는 균일강우와 Huff-분포형을 적용하고 강우크기는 10~50 mm 범위의 10 mm 단위로 구성하였다.

Huff-분포형은 남부지방에 주로 나타나는 분포형 특성인 Huff-2,3분위를 기준으로 전방형, 중앙형, 후방형으로 Fig. 1과 같이 24시간 단위로 재분포하여 각각 모의에 활용하였다.

Fig. 1.

Rainfall distribution senarios (Woon, 2002).

../../Resources/kswe/30-6/images/SJBJB8_2014_v30n6_622_f001.jpg

본 연구에서는 월류수 농도가 BOD 40 mg/L 초과시 기준으로 균일강우, Huff-전방형, 중앙형, 후방형 등 다양한 강우분포형에 대해 처리대상 강우량(mm), 초기우수월류부하비(%), 처리대상유량비(%)를 각각 분석하여 초기우수월류량 오염부하 기여도 평가 및 관리대상 강우량 기준을 검토하였다.

2.2. 시범지역선정 및 유역구분

KECO (2007)에서 수행한 비점오염원 최적관리방안 검토를 위한 대상지역중 오염도가 높은 광주천 광주광역시 합류식 처리구역을 CSOs 배출특성을 파악하기 위한 대상유역으로 선정하였다.

광주천 유역은 도시화 된 지역으로 우수관망 등 인위적 배수체계에 따라 강우 유출이 발생하므로 하천과 관망의 흐름을 함께 고려한 배수구역으로 기 구축사업 자료를 활용하였다.

광주천과 유입지천에 대해 Fig. 2와 같이 총 332개의 세부배수구역으로 구분하였으며, 배수하천에 따라 광주천 166개, 증심사천 20개, 동계천 34개, 경양지천 1개, 서방천 48개, 용봉천 63개의 배수구역을 구성하고 대상유역 내에서 토지용도별로 주거, 상업, 공업 및 교통지역의 4개 분류로 시범지역을 각각 선정하였다.

Fig. 2.

Kwangju stream drainage districts and experiment areas.

../../Resources/kswe/30-6/images/SJBJB8_2014_v30n6_622_f002.jpg

(Re: residential, Co: commercial, In: industry, Tr: transport, Pu:public)

2.3. SWMM모형 구성

SWMM모형은 1971년 미국 EPA의 지원 아래 Metcalf & EDDY 사가 Florida 대학 및 W.R.E와의 공동 연구로 도시유역에서의 유출 및 수질을 해석할 수 있도록 개발되었다. 유역내의 강우사상으로 인해 발생하는 유출량과 오염물질에 대한 지표면 그리고 지표하 흐름, 배수관망에서 유출량의 추적과 저류량의 산정 등을 모의할 수 있으며, 단일강우현상 및 연속모의가 가능한 장점을 가지고 있어 일반적으로 널리 사용되고 있다.

광주천 유역의 332개 세부배수구역에 대하여 SWMM 모형을 구축하였는데 Fig. 3은 광주천 유역에 대한 SWMM 모형 배수네트워크 모식도이다.

Fig. 3.

Kwangju stream SWMM drainage networks.

../../Resources/kswe/30-6/images/SJBJB8_2014_v30n6_622_f003.jpg

Raingages : Kwangju weather station 1 ea. SubCatchments : 332 ea. Infiltration : HORTON equ. Junction Nodes : 651 ea. Outfall Nodes : 4 ea. Flow Divider Nodes : 169 ea. Conduit Links : 989 ea. Flow Routing : KINWAVE Pollutants : 1 (BOD) Land Uses : 3 types(urban pervious, urban impervious, non-urban)

광주천, 증심사천의 경우 Flow Divider를 이용하여 차집관로를 반영하였으며, 복개하천인 동계천, 서방천, 용봉천의 경우 광주천 유입시 차집관로와 연결되는 것으로 모형을 구성하였다.

3. Results and Dscussion

3.1. SWMM모형 보・검정

보정 절차는 먼저 유량에 대한 보정을 실시한 후, 수질을 보정하는 순서로 진행하였으며, 보정 방법으로는 시행착오법을 사용하였다. 시행착오법은 Table 1에 제시한 것과 같이 매개변수의 값이 존재할 수 있는 범위를 설정하고 매개변수가 가질 수 있는 하한값을 시작으로 일정 값을 더해가면서 상한값까지 매개변수들의 값을 조합하는 방법으로 진행하였다. 이때 목적함수로는 다음 식 (1)과 같이 관측값과 예측값 차이의 제곱합이 최소가 되도록 설정하였다.

Table 1.

SWMM flow and water quality parameters (WP-Software, 1993)

../../Resources/kswe/30-6/images/SJBJB8_2014_v30n6_622_t001.jpg

../../Resources/kswe/30-6/images/SJBJB8_2014_v30n6_622_e901.jpg

보정과 검정은 본류구간 말단지점에 대해 2007년 7월 4일과 7월 19일 측정된 자료를 사용하였는데, 이는 SWMM 모델 구동에 필요한 최신 연속측정 자료를 획득하기 어려워 KECO (2007)에 수록된 자료를 그대로 활용하였으며, 강우 및 오염원 축척/쓸림 등의 영향과 동적모델의 특성상 수질 측정자료의 연속성 및 상관성이 떨어지고 단기간의 한정된 측정자료의 적용으로 보정/검정자료 상관도가 다소 낮게 산정된 것으로 판단된다.

보정과 검정에 따른 SWMM 예측값과 측정값 사이의 상관관계는 Fig. 4와 같다.

Fig. 4.

SWMM flow and water quality calibration・verification

../../Resources/kswe/30-6/images/SJBJB8_2014_v30n6_622_f004.jpg

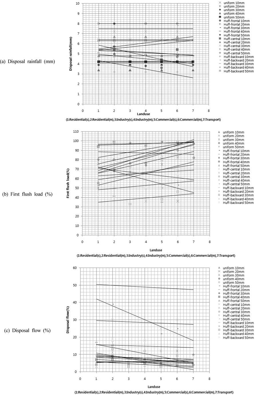
3.2. 토지용도별 비교

도시지역 합류식 처리구역 내 토지용도(주거, 공업, 상업, 도로)별 처리대상강우량, 초기월류부하비율, 처리대상유량 비율에 대한 경향성 분석결과, Fig. 5와 같이 토지용도별로 뚜렷한 경향성은 나타나지 않았다.

Fig. 5.

Comparison of first flush overflow characteristics by landuse.

../../Resources/kswe/30-6/images/SJBJB8_2014_v30n6_622_f005.jpg

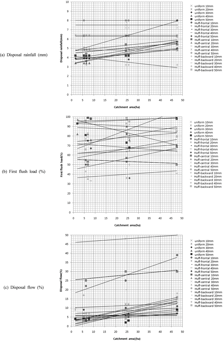
3.3. 배수면적 크기별 비교

배수면적의 크기(1.83~47.64ha)별 초기우수 특성 검토결과, Fig. 6과 같이 처리대상강우량, 초기월류부하비율, 처리대상유량비율은 배수면적에 비례하여 증가하는 것으로 나타나 면적이 클수록 처리해야할 오염부하와 강우량이 대체로 증가함을 알 수 있었다.

Fig. 6.

Comparison of first flush overflow characteristics by catchment area.

../../Resources/kswe/30-6/images/SJBJB8_2014_v30n6_622_f006.jpg

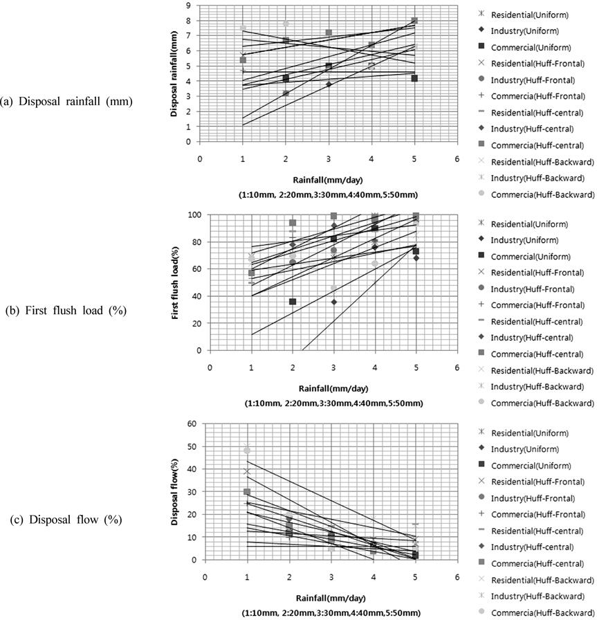
3.4. 강우량 크기별 비교

일강우량크기(10, 20, 30, 40, 50 mm)별로 각각 토지용도에 대해 강우분포형(균일강우, Huff-전방형, Huff-중앙형, Huff-후방형)으로 각각 초기우수 특성을 비교하였다. 그 결과는 Fig. 7과 같이 강우량의 증가에 따라 처리대상강우량 및 초기월류부하 비율은 대체로 증가하고 처리대상유량비율은 감소하는 것으로 나타났다.

Fig. 7.

Comparison of first flush overflow characteristics by rainfall volume.

../../Resources/kswe/30-6/images/SJBJB8_2014_v30n6_622_f007.jpg

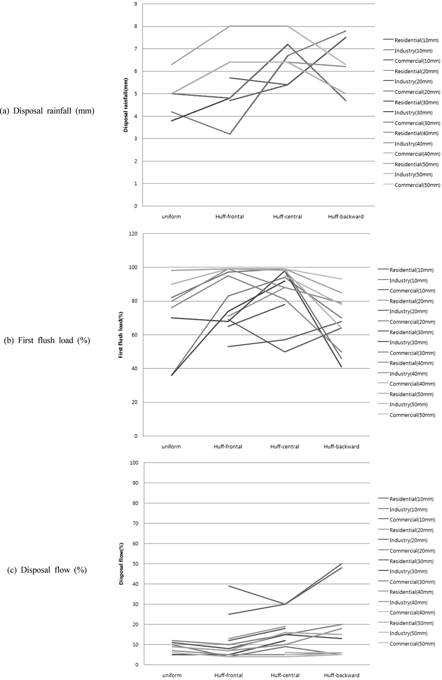
3.5. 강우분포형별 비교

강우시간분포형(균일강우, Huff-전방형, Huff-중앙형, Huff-후방형)별로 토지용도에 따라 각각 초기우수 특성을 비교하였다. 그 결과는 Fig. 8과 같이 Huff-전방형, Huff-중앙형에서 대체로 처리대상강우량 및 초기월류부하비율이 증가하고 처리대상유량비율은 강우분포형과 관계가 없는 것으로 나타났다.

Fig. 8.

Comparison of first flush overflow characteristics by rafall distribution.

../../Resources/kswe/30-6/images/SJBJB8_2014_v30n6_622_f008.jpg

3.6. 고찰

본 연구에서는 시범지역에 SWMM 모형을 이용하여 토지용도, 배수면적 크기, 강우량크기 및 강우분포형별 월류수 농도가 하수도법 시행규칙(2014) 제25조에 따른 강우시 월류수 수질관리기준(BOD 40 mg/L)을 초과할 경우 처리한다는 조건에서 토지용도별 대상유역 T1~T7의 분석결과를 Table 2와 같이 강우분포형별 처리대상 강우량(mm), CSOs부하비(%), 처리대상유량비(%)로 분석하여 CSOs오염부하 기여도 평가 및 관리대상 강우량 기준을 검토하였다.

Table 2.

First-flush overflow pollution loads and disposal target rainfall by landuse at test catchments

../../Resources/kswe/30-6/images/SJBJB8_2014_v30n6_622_t002.jpg

- DR: Disposal Rainfall, FFL: First Flush Load, DF: Disposal Flow

배수면적의 크기에 클수록 대체로 처리대상 강수량 및 유량이 증가하므로 면적크기에 따른 분석오류를 최소화하고자 배수면적의 크기를 소규모 배수면적(1.83~7.98 ha)과 중규모 배수면적(24.50~47.64 ha)으로 구분하여 분석결과를 강우분포형별로 각각 평균하여 검토하였다.

처리대상 강우량은 소규모 배수면적에서는 균일강우 3.8 mm/day, Huff-전방형 4.7 mm/day, Huff-중앙형 5.6 mm/day, Huff-후방형 4.8 mm/day로 “Huff-중앙형”에서 처리대상 강우 평균이 크게 나타났고, 중규모 배수면적에서는 균일강우 4.8 mm/day, Huff-전방형 5.1 mm/day, Huff-중앙형 6.8 mm/day, Huff-후방형 6.1 mm/day로 “Huff-중앙형”에서 처리대상 강우량 평균이 크게 나타났다.

초기우수월류부하비는 소규모 배수면적에서는 균일강우 78%, Huff-전방형 79%, Huff-중앙형 78%, Huff-후방형 56%로 “Huff-전방형”에서 초기우수 월류부하비 평균이 크게 나타났고, 중규모 배수면적에서는 균일강우 71%, Huff-전방형 81%, Huff-중앙형 87%, Huff-후방형 67%로 “Huff-중앙형”에서 초기우수 월류부하비 평균이 크게 나타났다.

처리대상유량비는 소규모 배수면적에서는 균일강우 4.9%, Huff-전방형 9.4%, Huff-중앙형 8.5%, Huff-후방형 4.3%로 “Huff-전방형”에서 처리대상 유량비 평균이 크게 나타났고, 중규모 배수면적에서는 균일강우 7.4%, Huff-전방형 11.6%, Huff-중앙형 13.9%, Huff-후방형 17.4%로 “Huff-후방형”에서 처리대상 유량비 평균이 크게 나타났다. 이와같이 초기유량 4.3~17.4%에서 오염물질의 56~87%가 배출되고 이때의 처리대상 강우량은 강우분포-배수면적 크기에 따라 차이는 있지만 3.8~6.8mm/day로 나타났다.

이러한 결과는 Choi et al. (2004)Lee et al. (2003)이 초기유량 10~30%에 오염물질의 60~80%가 배출되는 것으로 제시한 연구결과와 유사한 특성을 나타내었다.

또한, 토지용도별로 초기우수월류부하의 경향성은 없었으며 강우량 및 배수면적이 증가할수록 처리대상오염부하가 증가하는 경향을 나타내었다. 강우분포형별 검토에서 처리대상강우량, 처리대상유량비는 후방형 강우분포에서 크게 나타났고 초기우수월류부하비는 전방형 강우분포에서 크게 산정되었다.

4. Conclusion

본 연구에서는 오염부하 기여도 평가 및 관리대상 강우량 기준 검토를 위해 유역모델 SWMM모형을 이용하여 토지용도-강우분포형별 초기우수월류량을 각각 분석하여 다음과 같은 결론을 도출하였다.

1) 합류식 처리구역에서 월류수 농도가 BOD 40 mg/L를 초과하는 경우 초기유량 4.3~17.4%에서 오염물질의 56~87%가 배출되고 이때의 처리대상 강우량은 강우분포-배수면적 크기에 따라 차이는 있지만 평균적으로 3.8~6.8 mm/day로 나타났다.

2) 도시지역에서 처리대상 초기우수월류부하는 토지용도별로 경향성은 없었으며 강우량 및 배수면적이 증가할수록, 강우분포형이 Huff-전방형이나 중앙형에 가까울수록 증가하는 경향을 나타내었다.

3) 초기우수월류부하 및 관리대상 강우량 기준은 배수면적, 합류식, 분류식, 토지용도 등의 지역특성에 따라 다양하게 발생할 수 있으므로 다양한 시범지역 확대 적용을 통해 일반적 특성 도출이 필요할 것으로 판단된다.

References

1 
Bertrand-Krajewski J., Chebbo G., Saget A., 1998, Distribution of Pollutant Mass vs Volume in Stormwater Discharges and the First Flush Phenomenon, Water Resource, Bertrand-Krajewski, J., Chebbo, G., and Saget, A. (1998). Distribution of Pollutant Mass vs Volume in Stormwater Discharges and the First Flush Phenomenon, Water Resource, 32(8), pp. 2341-2356., Vol. 32, No. 8, pp. 2341-2356Google Search
2 
Choi S. H., Choi S. C., Kim B. U., Rim J. M., 2004, Analysis of Storm Water Run-off Characteristics to Evaluate the Intercepted Volume of CSOs during Wet Weather, Journal of the Korean Society of Water and Wastewater, Choi, S. H., Choi, S. C., Kim, B. U., and Rim, J. M. (2004) Analysis of Storm Water Run-off Characteristics to Evaluate the Intercepted Volume of CSOs during Wet Weather, Journal of the Korean Society of Water and Wastewater, 18(3), pp. 320-330. [Korean Literature], Vol. 18, No. 3, pp. 320-330Google Search
3 
David B., James L., Manfred S., 2002, Is combined sewer overflow spill frequency/volume a good indicator or receiving water quality impact, Urban Water, David, B., James, L., and Manfred, S. (2002). Is combined sewer overflow spill frequency/volume a good indicator or receiving water quality impact, Urban Water, 157, pp. 9., Vol. 157, pp. 9Google Search
4 
Field R., O'shea M. L., Chin K. K., 1993, Integrated Stormwater Management, Field, R., O'shea, M. L., and Chin, K. K. (1993). Integrated Stormwater Management, LEWIS PUBLISHERS.Google Search
5 
Jo M. J., Shin E. B., Kim Y. K., Bae W. G., 2001, The Characteristics of Pollutant Release by Sediment in Combined Sewer, Journal of Korean Society on Water Environment, Jo, M. J., Shin, E. B., Kim, Y. K., and Bae, W. G. (2001). The Characteristics of Pollutant Release by Sediment in Combined Sewer, Journal of Korean Society on Water Environment, 17(3), pp. 407-415. [Korean Literature], Vol. 17, No. 3, pp. 407-415Google Search
6 
Kachalsky L. A., DeSantis V. J., 1996, Determining Optimal Size of a CSO Retention Facility, Urban Wet Weather Pollution Controlling Sewer Overflows and Stormwater Runoff, Kachalsky, L. A. and DeSantis, V. J. (1996). Determining Optimal Size of a CSO Retention Facility, Urban Wet Weather Pollution Controlling Sewer Overflows and Stormwater Runoff, Water Environmental Federation, June 16-19, Quebec, pp. 8-23-33., pp. 8-23-33Google Search
7 
2007, BMP Method for First Management in Necessary Catchment about Non-Point Source, Korea Environment Corporation (KECO). (2007). BMP Method for First Management in Necessary Catchment about Non-Point Source, Korea Environment Corporation, pp. 102-108. [Korean Literature], pp. 102-108Google Search
8 
Lee D. J., Shin E. B., Yoon H. S., Sun S. W., Kwak S. D., 2003, Preliminary Investigations on the Developing CSOs Abatement Goals; Comparison of CSOs and Storm Sewer Discharge Loads, Journal of Korean Society of Environmental Engineers, Lee, D. J., Shin, E. B., Yoon, H. S., Sun, S. W., and Kwak, S. D. (2003). Preliminary Investigations on the Developing CSOs Abatement Goals; Comparison of CSOs and Storm Sewer Discharge Loads, Journal of Korean Society of Environmental Engineers, 25(11), pp. 1420-1428. [Korean Literature], Vol. 25, No. 11, pp. 1420-1428Google Search
9 
Lee D. J., Shin E. B., 2004, Optimal Sizing of CSOs Storage Tank by Stormwater Simulation Modeling(I) - Characteristics of CSOs in Urban Area, Journal of Korean Society of Environmental Engineers, Lee, D. J. and Shin, E. B. (2004). Optimal Sizing of CSOs Storage Tank by Stormwater Simulation Modeling(I) - Characteristics of CSOs in Urban Area, Journal of Korean Society of Environmental Engineers, 26(3), pp. 362-369. [Korean Literature], Vol. 26, No. 3, pp. 362-369Google Search
10 
1993, XP-SWMM: Stormwater management model with XP graphical interface. User's manual, version 1.0, WP-Software. (1993). XP-SWMM: Stormwater management model with XP graphical interface. User's manual, version 1.0, WP Software, Belconnen.Google Search
11 
Woon Y. N., 2002, Engineering Hydrology, Woon. Y. N. (2002). Engineering Hydrology, Cheongmungak, p. 581. [Korean Literature], pp. 581Google Search