The Journal of
the Korean Society on Water Environment

The Journal of
the Korean Society on Water Environment

Bimonthly
  • ISSN : 2289-0971 (Print)
  • ISSN : 2289-098X (Online)
  • KCI Accredited Journal

Editorial Office





Acute toxicity test, Daphnia magna, Interlaboratory comparison, Proficiency testing, TU

1. Introduction

생태독성 평가방법은 화학적인 오염물질의 역할에 대한 의미 있는 정보를 제공한다. 즉, 오염물질에 노출된 생물체의 반응을 통하여 폐수 내 존재하는 유해물질의 영향을 그들의 측정 가능 여부와 상관없이 통합적으로 판단할 수 있다(Farre et al., 2004). 따라서 화학물질 분석결과와 마찬가지로 환경 분야에서 생태독성측정방법을 이용하여 독성정도를 평가하기 위해서는 측정결과에 대한 신뢰성과 검증이 필요하다(Hernando et al., 2006).

물벼룩(Daphnia magna)을 이용한 생태독성실험은 전 세계적으로 가장 빈번하게 사용되고 있는데 그 이유는 독성물질에 민감하고 먹이연쇄 흐름의 중심 위치를 차지하고 있기 때문이다(Hanazato, 1998). 이러한 이유로 이 D. magna를 이용한 독성시험방법은 ISO standard 에 포함되어 이용되고 있다(ISO, 1996). 여기에서 각 실험 절차(예: 시료 준비, 시료 조성 등) 또는 시험 종(배양, 민감도, 시험결과의 통계적 처리) 등과 관련된 인자들은 독성결과치의 변동성을 나타내는 잠재적인 원인이 되므로, 폐수의 독성을 평가하기 위해 D. magna 분석과정의 적정성 여부를 검토하는 것은 분석결과의 신뢰성과 일관성 유지를 위한 선행조건이 된다(Cotman, et al., 2009).

실험실간 비교에 의한 숙련도 시험은 각 실험실의 수행능력을 판단하기 위한 것으로 이는 실험실의 편의(bias), 안정성(stability) 그리고 반복성(repeatability)에 대한 평가를 수행하여 판단한다. 이중, 실험실의 편의는 표준물질에 의한 시험으로 측정하거나 실험실간 비교에 의한 숙련도 시험이 실험실 편의에 대한 정보를 얻는 가장 일반적인 방법으로 알려져 있다(KATS, 2009). 이 숙련도 시험은 각 대상 실험실에서 분석하여 제출한 시험결과를 이용, 변동성 등을 계산하고 z-score를 산출하여 평가한다(Chappell, 2011/2012). 외국의 경우 물벼룩뿐만 아니라 발광박테리아 등을 이용하여 실험실간 숙련도 시험에 관한 연구가 비교적 빈번하게 수행되고 있으나(Cotman, et al., 2009; Farre et al., 2004; Farre et al., 2007). 국내 생태독성 실험실에 대한 숙련도시험 평가와 관련된 연구는 Park and Kim (2013)이 보고한 연구사례를 제외하고는 극히 제한적인데 그 이유는 생물을 이용한 실험결과가 화학물질에 대한 분석과는 달리 시험생물종의 건강상태에 많이 의존되므로 일관성 있는 결과 도출이 쉽지 않다는 점 등 기술적, 제도적인 여건이 완전하게 정립되어있지 않다는 판단 때문이다. 이런 이유로 현재 숙련도시험을 주관하는 국립환경과학원에서는 아직까지 예비항목으로 정하여 실험실의 편의에 대한 평가를 수행하고 있으나 수년간의 예비시험 경험을 토대로 빠른 기일 내 본 항목으로 수행할 계획이다. 본 연구는 숙련도 시험에 참여한 실험실간 생태독성 측정결과의 변동성을 검토하고 숙련도 시험 수행결과를 평가하여 부적합 요인을 도출하기 위하여 수행되었다.

2. Materials and Methods

2.1. 숙련도시험용 시료

숙련도시험용 시료는 국립환경과학원의 숙련도시험용 시료를 이용하였다(Shin et al., 2013). 동 시료는 기존 숙련도시험에 사용된 Sample A와 함께 캐나다 및 미국에서 운용중인 표준물질 2종을 추가하여 선정하였다. 캐나다는 숙련도 시험용 표준물질로 시험생물종에 대한 반응, 독성자료의 풍부도, 수용액의 안정성 등을 검토하여 NaPCP(Sodium pentachlorophenate), KCrO4, K2Cr2O7, NaCl, ZnSO4 등을 추천하고 있으며(Environment of Canada, 1990), 미국은 NaCl, KCl, CdCl2, CuSO4, K2Cr2O7 등을 표준물질로 권고하고 있다(U.S. EPA, 2002). 기존 sample A를 포함, 2종의 시험용 표준물질(Sample B 및 Sample C)은 이들 중에서 선정하였고 sample A에 대해 20회 반복시험을 실시하여 시험농도를 산정하였다(Table 1). 각 물질별 시험농도는 산출된 평균값과 시료 제조의 편의성을 고려하여 Sample A는 3 mg/L~5 mg/L, Sample B는 3,000 mg/L~4,000 mg/L, 그리고 Sample C는 12,000 mg/L~15,000 mg/L 정도의 농도값을 갖도록 하였다(Shin et al., 2013).

Table 1.

Results of repeated tests(n=20) at each proficiency testing samples

../../Resources/kswe/30-6/images/SJBJB8_2014_v30n6_632_t001.jpg

1) SD : standard deviation, 2) CV : coefficient of variation

2.2. 숙련도시험 평가방법

각 실험실간 생태독성 측정은 총 3종의 숙련도 시험용 미지시료에 대하여 58개 실험실이 참여하여 수행되었다. 각 실험실에서 수령한 미지시료(분석항목)는 Table 2와 같이 희석하여 이를 100% 농도로 간주하고, 수질공정시험기준, ES 04704.1 ‘물벼룩을 이용한 급성독성시험법’ (NIER, 2011)에 따라 EC50 (%)를 산출토록 하였다. 최종 생태독성값(TU: Toxic Unit) 값은 다음 식에 의하여 구하였다. 대상 실험실에서 TU 값을 16이상으로 보고한 자료는 16으로 통일하였다.

Table 2.

Preparation procedure of proficiency testing samples

../../Resources/kswe/30-6/images/SJBJB8_2014_v30n6_632_t002.jpg

../../Resources/kswe/30-6/images/SJBJB8_2014_v30n6_632_e001.jpg

각 시험용 시료별로 TU 값에 대한 robust 평균 및 robust 표준편차를 산출하여, ‘환경분야 시험검사 등에 관한 법률’ 시행규칙 별표(11의 2) ‘정도관리판정기준’에 따라 robust z-score를 계산하였다. 숙련도시험 결과를 처리하는데 일반적으로 사용되는 통계적 방법은 ISO 13528:2005에 기술되어 있으며(ISO, 2005), ILAC_G13:07/2007 Appendix A에 보면 ISO 표준(standard) 및 IUPAC 권고사항(recommendations)에 극한치(outlier)들이 포함된 결과의 처리 등을 위한 통계처리방법으로 robust 통계처리(robust 평균 및 robust 표준편차 등)를 허용하고 있다(ILAC, 2007). 이 robust 통계방법은 숙련도 시험 결과 중 극한치가 평균 혹은 표준편차에 미치는 영향을 최소화시키므로 참여 실험실들의 변동성을 측정할 때 이런 극한값들을 미리 제외시킬 필요가 없다(Farre et al., 2007).

실험실별 숙련도 시험결과는 아래 식 및 판정기준에 따라 ‘만족’ 또는 ‘불만족’으로 평가하였다.

../../Resources/kswe/30-6/images/SJBJB8_2014_v30n6_632_e002.jpg

  • Z : robust z-score

  • Xlab : 숙련도 참여기관의 측정값

  • X : 기준값 (robust 평균)

  • σ : 측정값의 분산정도 (robust 표준편차)

  • 판정기준: | Z | ≤ 2 : 만족, | Z | > 2 : 불만족

생태독성분석기관에 대한 종합 평가는 robust z-score 결과로 평가한 항목별(숙련도 시료 3종) 평가결과를 ‘만족’ 5점, ‘불만족’ 0점으로 하여 총점을 100점으로 아래와 같은 식에 의해 환산점수를 산출하였다. ‘적합’으로 판정받으려면 2014년 이전까지는 80점 이상, 2015년 이후부터는 90점 이상이어야 한다(MOE, 2012).

../../Resources/kswe/30-6/images/SJBJB8_2014_v30n6_632_e003.jpg

3. Results and Discussion

3.1. 각 실험실의 TU값 및 robust z-score 산출결과

3종의 미지시료를 대상으로 숙련도 시험에 참여한 58개 실험실의 TU값과 robust z-score 산출결과는 Table 3과 같다.

Interlaboratory test results of TU & robust z-score in acute toxicity test with Daphnia magna using 3 proficiency testing samples

../../Resources/kswe/30-6/images/SJBJB8_2014_v30n6_632_t003.jpg

* SD (standard deviation)

** CV (coefficient of variation)

58개 실험실에서 분석된 TU 값의 범위는 Sample A의 경우 1.9~16, Sample B는 1.4~16, 그리고 Sample C는 2.1~11.3 정도였으며, 평균 Sample A 7.5, Sample B 5.0, Sample C 4.1 수준으로 Sample A가 가장 높은 독성값을 보였다. 히스토그램으로 도시한 각 시료별 TU 값 분포는 Fig. 1과 같다. 여기에서 보면 sample A는 TU 6부근에서, sample B는 TU 4와 6 부근에서 그리고 sample C는 TU 4 부근에서 가장 많은 빈도수를 보였다. 결과적으로 당초 시험용 시료의 농도는 각 시료별로 유사한 TU 값이 산출되도록 적절한 농도로 제조된 것으로 판단된다.

Fig. 1.

Histogram of TU at each proficiency testing sample (total 58 laboratories).

../../Resources/kswe/30-6/images/SJBJB8_2014_v30n6_632_f001.jpg

3.2. 숙련도 시험결과 평가

각 실험실별로 계산된 Robust 평균(X) 및 robust 표준편차(σ)를 이용하여 산출된 robust z-score 산출결과는 Table 4와 같다. 여기에서 보면 “만족”으로 평가된 실험실은 총 58개소 중 50~51개소 (86.2%~87.9%)이었으며, 시험용 시료별로 볼 때 ‘만족’으로 평가된 총 개수는 유사였으나 실험실별로는 차이를 나타냈다.

Table 4.

Number of laboratory by robust z-score classification using 3 proficiency testing samples

../../Resources/kswe/30-6/images/SJBJB8_2014_v30n6_632_t004.jpg

Fig. 2는 시험용 시료 3종에 대하여 각 실험실에서 분석된 TU값으로 산출한 robust z-score 분포를 Sample A와 Sample B, 그리고 Sample A와 Sample C로 대비하여 XY 그래프로 도시한 것이다. Sample B 및 Sample C는 Sample A에 비해 z-score의 ‘만족’범위를 크게 벗어나는 실험실이 많이 관찰되어 숙련도 시험용 시료 종류별로 각 실험실간 분석능력의 편차가 큰 것으로 생각된다. Sample A와 Sample B를 동시에 만족(|X| ≤ 2)하는 실험실은 전체의 약 78%인 45개였고, Sample A와 Sample C를 동시에 만족(|Z| ≤ 2)하는 실험실은 전체의 약 76%인 44개로 시험용 시료별로 상이한 결과를 보였다. 숙련도 시료 3종이 적용된 생태독성 분석기관 종합평가는 관련법 시행규칙(MOE, 2012)에서 정한 ‘환산점수’를 산출하여 평가하였으며, 그 결과 총 58개 실험실중 약 74%인 43개 실험실이 생태독성분야 숙련도 시험 ”적합”으로 평가되었다.

Fig. 2.

Comparison of robust z-score distribution between Sample A vs Sample B and Sample A vs Sample C.

../../Resources/kswe/30-6/images/SJBJB8_2014_v30n6_632_f002.jpg

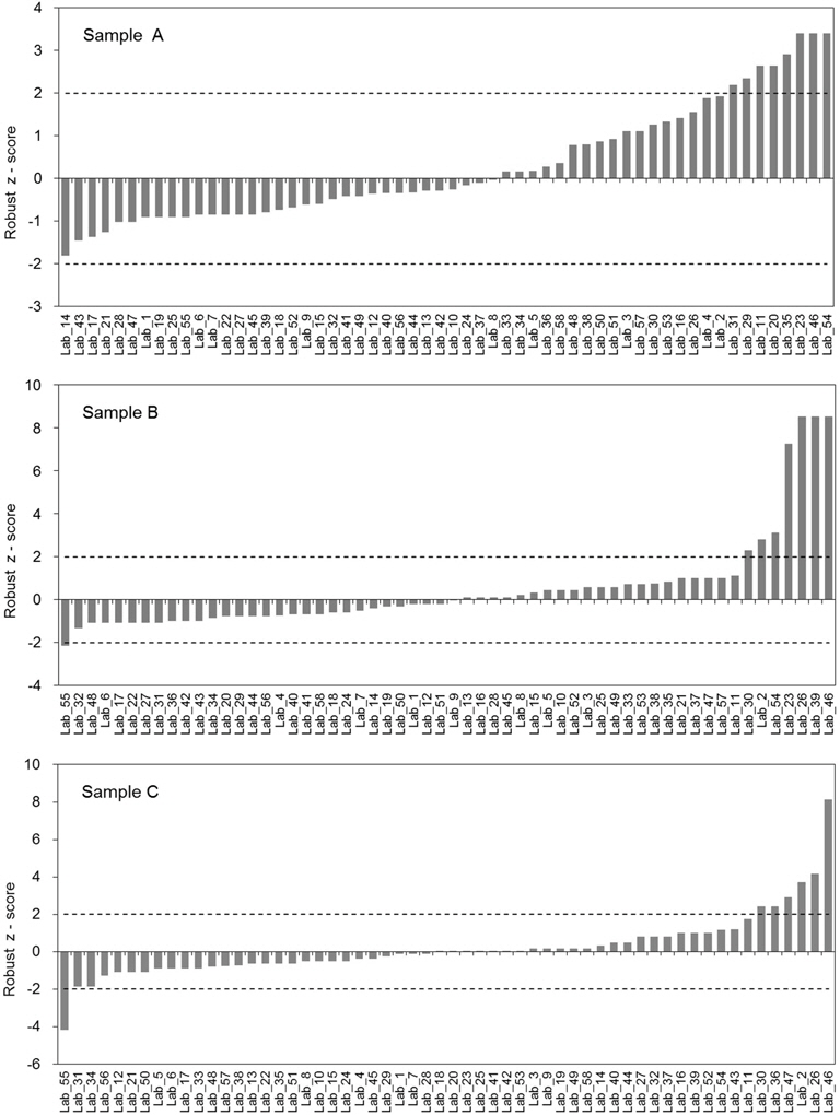
Fig. 3은 숙련도 시험 수행결과 얻어진 z-score 값을 해당 실험실별로 도시한 것이다. 3종의 시험용 시료에 대한 각 실험실의 분석결과를 보면 2종 이상의 시료에서 |Z| > 2를 나타내는 실험실이 다수 관찰되었다(lab-2, lab-23, lab-26, lab-30, lab-46, lab-54, lab-55). 특히 lab-46은 3종의 시료 모두 다 |Z| > 2를 나타내고 있어 특별한 관리가 요망된다.

Fig. 3.

Robust z-score distribution of individual laboratories at each proficiency testing sample.

../../Resources/kswe/30-6/images/SJBJB8_2014_v30n6_632_f003.jpg

시험용 시료별로 보면 독성 값(TU)을 16 이상으로 제시한 실험실이 Sample A 및 Sample B 는 각각 3곳이었고, Sample C의 경우 0으로 제시한 곳도 있었으며, 변동계수(CV: Coefficient of Variation)도 시료별로 24%~40% 정도의 범위를 보여 실험실간 편차는 비교적 큰 것으로 나타났다. 시험용 시료들의 TU 중간 값이 3.9~6.0 수준임을 감안할 때 이렇게 실험실간 편차가 큰 이유는 첫째, 시험생물종(물벼룩)의 건강성 유지에 필요한 동일한 환경에서의 지속적인 배양과정이 부적절한 경우이다. 생물을 이용하여 평가를 하는 경우 시험종의 건강성에 따라 결과에 대한 편차가 크게 나타날 수 있으며, 숙련되지 않은 실험요원의 경우 물벼룩의 상태 확인(수컷과 암컷의 구분, 내구란의 생성 등)이 쉽지 않으므로 시험생물종의 적절한 관리가 신뢰성 있는 독성데이타 생산에 중대한 역할을 수행한다. 또한 주기적인 배양액의 교체가 요구되는데 보통 일주일 단위로 볼 때 월, 수, 금요일에 배양액을 교체하는 것이 일반적이나 주기적인 배양액의 교체가 원활하게 이루어지지 않는 경우 물벼룩의 밀도 증가 또는 먹이부족 등으로 내구란이 생성되거나 사망에 이르는 경우도 발생될 수 있다. 주입되는 먹이의 양도 중요한데 먹이가 너무 많은 경우 조류 등이 물벼룩 몸체에 부착되어 유영 저해를 일으킬 수 있으며 적은 경우 아사하거나 부적절한 생육환경에 따른 내구란의 생성 등이 야기될 수 있다.

이러한 편차를 최소화하기 위해 시험용 물벼룩을 “dormant eggs”상태로 제공되는 상용화된 제품을 이용하는 방법도 고려할 수 있는데 이것은 필요한 때 3일 정도 적용기간을 거쳐 바로 실험에 투입이 가능한 것으로 알려져 있다(Micto-BioTests Inc., Belgium). Cotman et al. (2009)은 실험실에서 배양한 물벼룩과 Kit 형태의 상용화된 제품(dormant egg 형태)으로 부터 부화시켜 얻은 물벼룩에 대한 비교 실험에서 24h-EC50 값에 미치는 영향은 큰 차이가 없었다고 하였으며 실험실간 정밀도 시험결과 Kit 형태의 상용화된 제품을 사용한 그룹이 더 높은 정밀도를 보고하였다. 그러나 이 제품을 이용한 시험방법은 아직 국내 시험방법에 공식 시험법으로 정해지지 않고 있으므로 기존 물벼룩을 이용한 독성시험방법과의 비교실험을 통한 적합성 검토가 선행되어야 한다.

두 번째로, 시험과정에서 시험생물종(물벼룩)의 움직임에 대한 판단의 오류이다. 시험생물종(물벼룩)에 미치는 독성 영향에 대한 판단은 최종적으로 물벼룩의 움직임을 관찰하여 영향 여부를 판정하게 되므로 오랜 경험을 가진 숙련자의 역할이 매우 중요하다. 현재 개정중에 있는 수질오염공정시험기준의 ‘물벼룩을 이용한 급성독성시험법’에는 ‘치사(death)’에 대한 판단을 “일정 희석비율로 준비된 시료에 물벼룩을 투입하고 24시간 경과 후 시험용기를 손으로 살짝 두드려주고, 15초 후 관찰하였을 때 독성물질에 의해 영향을 받아 움직임이 명백하게 없는 상태”로 규정하고 있으며, ‘유영저해(immobilization)’는 “… 독성물질에 의해 영향을 받아 움직임이 없을 경우로 이때, 촉수를 움직인다 하더라도 유영을 하지 못하는 상태”로 규정하고 있는데 실제로 관찰해보면 무엇보다도 어린개체가 너무 작아 육안으로 미세한 움직임까지 관찰하기가 쉽지 않다는 점이며, 움직임에 대한 판단도 실험자에 따라 다르게 평가되기 쉬우므로 신규 실험자는 많은 경험을 가질 실험자와 일정기간 같이 관찰하도록 하는 등 오류의 최소화를 위한 조치가 필요하다.

4. Conclusion

본 연구는 숙련도 시험에 참여한 실험실간 생태독성 측정결과의 변동성을 검토하고 숙련도 시험 수행결과를 평가하기 위하여 수행되었다. 숙련도평가용 시료는 국립환경과학원에서 개발한 시험용 표준시료 3종을 사용하였으며 각 물질별 시험농도는 산출된 평균값과 시료제조의 편의성을 고려하여 Sample A는 3 mg/L~5 mg/L, Sample B는 3,000 mg/L~4,000 mg/L, 그리고 Sample C는 12,000 mg/L~15,000 mg/L 정도의 농도값을 갖도록 하였다. 평가는 제공된 표준시료를 100% 농도로 간주하여 EC50 (%)을 구하고 최종 생태 독성 값(TU)을 산출토록 하였다. 숙련도시험 결과는 각 실험실에서 제시한 독성값(TU)의 robust 평균 및 robust 표준편차를 구하여 z-score 를 산출하고 판정기준에 따라 ‘만족’여부를 판단하였다. 3종의 시험용 표준시료에 대한 종합 평가결과 총 58개 참여기관의 74%인 43개 실험실이 ‘적합’으로 판정되었다. ‘부적합’ 요인은 시험생물종의 건강성 유지를 위한 관리의 부적정과 시험생물종의 영향여부 판단에 대한 경험 부족 등으로 판단되었다. 균일한 시험생물종의 건강성 확보를 위해 시험용 물벼룩의 ‘dormant eggs’ 상태로 제공되는 상용화된 제품(MicroBioTests Inc., Belgium)을 이용하는 방법도 고려할 수 있을 것으로 사료되었다.

References

1 
Chappell A., 2012, Direct Toxicity Assessment Proficiency Scheme (DTAPS) - Round 6 Report -, Chappell, A. (2011/2012). Direct Toxicity Assessment Proficiency Scheme (DTAPS) - Round 6 Report-, Environment Agency.Google Search
2 
Cotman M., Drolc A., Tisler T., 2009, Interlaboratory studies on wastewater toxicity using Daphnia magna, Accreditation and Quality Assurance, Cotman, M., Drolc, A., and Tisler, T. (2009). Interlaboratory studies on wastewater toxicity using Daphnia magna, Accreditation and Quality Assurance, 14, pp. 319-327., Vol. 14, pp. 319-327DOI
3 
1990, Guidance Document on Control of Toxicity Test Precision Using Reference Toxicants, Environment of Canada. (1990). Guidance Document on Control of Toxicity Test Precision Using Reference Toxicants, Environment of Canada.Google Search
4 
Farre M., Arranz F., Ribo J., Barcelo D., 2004, Interlaboratory Study of the Bioluminescence Inhibition Tests for Rapid Wastewater Toxicity Assessment, Talanta, Farre, M., Arranz, F., Ribo, J., and Barcelo D. (2004). Interlaboratory Study of the Bioluminescence Inhibition Tests for Rapid Wastewater Toxicity Assessment, Talanta, 62, pp. 549-558., Vol. 62, pp. 549-558DOI
5 
Farre M., Martinez E., Barcelo D., 2007, Validation of interlaboratory studies on toxicity in water samples, Trends in Analytical Chemistry, Farre, M., Martinez, E., and Barcelo, D. (2007). Validation of interlaboratory studies on toxicity in water samples, Trends in Analytical Chemistry, 26(4), pp. 283-292., Vol. 26, No. 4, pp. 283-292DOI
6 
Hanazato T., 1998, Response of a zooplankton community to insecticide application in experimental ponds: a review and the implications of the effects of chemicals on the structure and functioning of freshwater communities, Environmental pollution, Hanazato, T. (1998). Response of a zooplankton community to insecticide application in experimental ponds: a review and the implications of the effects of chemicals on the structure and functioning of freshwater communities, Environmental pollution, 101-3, pp. 361-73., Vol. 101, No. 3, pp. 361-373DOI
7 
Hernando M. D., Malato O., Farre M., Fernandez-Alba A. R., Barcelo D., 2006, Application of ring study: Water toxicity determinations by bioluminescence assay with Vibrio fischeri, Talanta, Hernando, M. D., Malato O., Farre M., Fernandez-Alba A. R., and Barcelo D. (2006). Application of ring study: Water toxicity determinations by bioluminescence assay with Vibrio fischeri, Talanta, 69, pp. 370-376., Vol. 69, pp. 370-376DOI
8 
2007, ILAC Guidelines for the Requirements for the Competence of Providers of Proficiency Testing Schemes, APPENDIX A - Commonly-used Statistical Methods for Treatment of Proficiency Test Data. ILAC-G13:07/2007, International Laboratory Accreditation Cooperation (ILAC). (2007). ILAC Guidelines for the Requirements for the Competence of Providers of Proficiency Testing Schemes, APPENDIX A - Commonly-used Statistical Methods for Treatment of Proficiency Test Data. ILAC-G13:07/2007, pp. 31-32., pp. 31-32Google Search
9 
1996, Water quality: determination of the inhibition of the mobility of Daphnia magna Straus (Cladocera, Crustacea), ISO 6341, International Organization for Standardization (ISO). (1996). Water quality: determination of the inhibition of the mobility of Daphnia magna Straus (Cladocera, Crustacea), ISO 6341, Geneva, Switzerland.Google Search
10 
2009, Statistical Methods for Use in Proficiency Testing by Interlaboratory comparisons, KS Q ISO 13528:2009, Korean Agency for Technology and Standards (KATS). (2009). Statistical Methods for Use in Proficiency Testing by Interlaboratory comparisons, KS Q ISO 13528:2009, Republic of Korea. [Korean Literature]Google Search
11 
, DAPHTOXKIT FTM MAGNA, MicroBio Test Inc. DAPHTOXKIT FTM MAGNA, Belgium. http://www.microbiotests.beGoogle Search
12 
2012, Environmental Examination and Inspection Act, Ministry of Environment (MOE). (2012). Environmental Examination and Inspection Act, Ministry of Environment. [Korean Literature]Google Search
13 
2011, Standard Method for Water Pollutants ES 04704.1, -Acute Toxicity Test with Daphnia magna-, National Institute of Environmental Research (NIER). (2011). Standard Method for Water Pollutants ES 04704.1, -Acute Toxicity Test with Daphnia magna-, Ministry of Environment. [Korean Literature]Google Search
14 
Park W. S., Kim S. H., 2013, Evaluation of Whole Effluent Toxicity (WET) Proficiency Testing for Water Quality Measurement Agencies in Korea, Journal of Korean Society on Water Environment, Park, W. S. and Kim, S. H. (2013). Evaluation of Whole Effluent Toxicity (WET) Proficiency Testing for Water Quality Measurement Agencies in Korea, Journal of Korean Society on Water Environment, 29(4), pp. 568-573. [Korean Literature], Vol. 29, No. 4, pp. 568-573Google Search
15 
Shin K., Lee Y. J., Huh I., Kim J., Jeong D-H., Park C., Park W., Lee J., Yu S., Rhew D., 2013, A study of QA/QC Method for WET(Whole Effluent Toxicity) - Preparation of QA/QC and Operation Manual for WET -, Shin, K., Lee, Y. J., Huh, I., Kim, J., Jeong, D-H., Park, C., Park, W., Lee, J., and Yu, S., Rhew, D. (2013). A study of QA/QC Method for WET(Whole Effluent Toxicity) - Preparation of QA/QC and Operation Manual for WET -, National Institute of Environmental Research, pp. 11-24. [Korean Literature], pp. 11-24Google Search
16 
2002, Methods for Measuring the Acute Toxicity of Effluents and Receiving Waters to Freshwater and Marine Organisms, United States Environmental Protection Agency (U.S. EPA). (2002). Methods for Measuring the Acute Toxicity of Effluents and Receiving Waters to Freshwater and Marine Organisms, Fifth Edition, United States Environmental Protection Agency, pp. 21., pp. 21Google Search