๋ฐ์งํ
(Ji Hyun Park)
๊ตฌ์ํ
(Young Hun Ku)
๋ฐฑ๊ฒฝ์ค
(Kyong Oh Baek)
*
๊น์๋
(Young Do Kim)
โ
Copyright ยฉ 2015, Korean Society on Water Environment
Key words
Attraction efficiency, Attraction waterway, By-pass fishway, Dalseong weir, River2D
1. Introduction
์ต๊ทผ ๊ฐ๋ญ๊ณผ ํ์๋ก ์ธํ ํผํด๊ฐ ๊ธ์ฆํจ์ ์ด๋ฅผ ํด๊ฒฐํ๊ธฐ ์ํ์ฌ ์ฌ๋ฌ ๊ฐ์ง ๋์ฑ
์ ๋ง๋ จํ๊ณ ์๋ค. ์ด์ ์ ๋ถ๋ ํ์๋์๋ฅ๋ ฅ ๊ฐํ, ๋์ฒด์์ํ๋ณด, ์์ ์
๋ฌผ ๊ณต๊ธ ๋ฑ์ ๋ชฉํ๋ก โ4๋๊ฐ ์ด๋ฆฌ๊ธฐ ์ฌ์
โ์ ์ค์ํ์๋ค(Jo et al., 2011). 4๋๊ฐ ์ด๋ฆฌ๊ธฐ ์ฌ์
์ผ๋ก ์ธํ์ฌ 16๊ฐ์ ๋ณด๊ฐ ์ค์น๋์์ผ๋ฉฐ, ๊ฐ ๋ค๊ธฐ๋ฅ ๋ณด์๋ ์ธ๊ณตํ๋์ ์ด๋๋ ์์ด์คํ๋ฒ์ ์ด๋ ๋ฑ์ด ์ค์น๋์๋ค(MLTM, 2009a). ๊ทธ๋ฌ๋ ๋์ด๋ ์ทจ์๋ณด, ๋์ฐจ๊ณต๊ณผ ๊ฐ์ ํ์ฒ ํก๋จ ์๊ณต๊ตฌ์กฐ๋ฌผ๋ก ์ธํ์ฌ ํ์ฒ์ ์์ํ๋ ์ด๋ฅ๋ ๋ฌผ๋ก ์์ ๋๋ฌผ์ ์ด๋ํต๋ก๊ฐ ์ฐจ๋จ๋์ด, ๊ตฌ์กฐ๋ฌผ ์๋ฅ์
์ด๋ฅ ๊ฐ์ฒด์๊ฐ ๊ธ๊ฒฉํ ๊ฐ์ํ๊ฑฐ๋ ์ฌํ ๊ฒฝ์ฐ ๋ฉธ์ข
ํ์ฌ ํ์ฒ ์ํ๊ณ์ ๋ค์์ฑ ๋ฐ ๊ท ํ์ ์ฌ๊ฐํ ์
์ํฅ์ ์ด๋ํ๊ณ ์๋ค(Baek, 2012). ์ฌ๋ฌ ๊ฐ์ง ๋ฌธ์ ์ ์ค ํน์ ํ ์๊ธฐ์ ์ฐ๋์ ์ํ์ฌ ํ์ฒ์ ๋ฐ๋ผ ์๋ฅ๋ก ์ด๋ํ๊ฑฐ๋ ํ๋ฅ๋ก ์ด๋ํ๋ ํ์ ์ฑ ์ด๋ฅ์๊ฒ ์ฌ๊ฐํ ์ํฅ์ด ๋ฐ์ํ๋ค. ๋ํ
๋ฐ๋ค์์ ์ค๋ ํ์ ์ฑ ์ด๋ฅ ๋ฟ๋ง ์๋๋ผ ํ์ฒ์์ ๊ตญ์ง์ ์ผ๋ก ์ด๋ํ๋ ์ด๋ฅ์๊ฒ ๋ํ ์ฌ๊ฐํ ๋ฌธ์ ๋ฅผ ์ด๋ํ๋ค. ์ด๋ฌํ ์
์ํฅ์ ์ต์ํํ๊ธฐ ์ํ ๋ฐฉํธ์ผ๋ก
์ด๋(Fishway)๋ฅผ ์ค์นํ๋ค(Baek, 2012). ํฐ ํ์ฒ์ ๊ฑด์ค๋๋ ๋๊ท๋ชจ์ ๋์ด๋ ๋ณด์ ๊ฒฝ์ฐ ์์ํ๋ ค๋ ์ด๋ฅ๊ฐ ์ด๋์ ์
๊ตฌ๋ก ์ ์ ์ธ๋๋ ๊ฒ์ด ์ค์ํ๋ค. ๋ฐ๋ผ์ ์ด๋ ์ด์ฉํจ์จ์ ์ฆ๋์ํค๊ธฐ
์ํด์๋ ์์ํ๋ ค๋ ๋ฌผ๊ณ ๊ธฐ๋ฅผ ์ ์ธํ๊ธฐ ์ํ ํจ์จ์ ์ธ ์ด๋ ์
๊ตฌ์ ์ค๊ณ ๋ฐ ์๊ณต์ด ํ์ํ๋ค(Bunt, 2001). ๋ํ ์ด์ ๊ฐ์ ์ด๋์ ํจ์จ์ ํ๊ฐํ๊ธฐ ์ํด์๋ ๋ค์ฐจ์์ ์ธ ์๋ฆฌํ์ ํด์์ ํ์๋ก ํ๋ค(Baek et al., 2013).
Kim (2008a, 2008b)์ ์ด๋ ์๋ฆฌ๋ชจํ์คํ์ ํตํ์ฌ ํ๋ฆ์ ๋ฐ๋ฅธ ์ด๋ฅ์ด๋์ ๋น๊ตํ๋ ๋ฐฉ๋ฒ์ผ๋ก ์ด๋์ ์ ์ ํํ๋ฅผ ๊ฒฐ์ ํ์๋ค. Park (2001a, 2001b)์ ๊ฐ๊ฐ ์ฌ๋ค๋ฆฌ์ ์ด๋์ ๊ณ๋จ์ ์ด๋์ ๋ํ์ฌ ์ด๋ ์ํ์๋ฆฌ์คํ์ ์ค์ํ๊ณ , ์ ๋๊ณผ ์ด๋๊ฒฝ์ฌ์ ๋ณํ๋ฅผ ํตํด ํ์ ์ฑ ์ด๋ฅ๊ฐ ํ์ฒ ํ๋ฅ์์ ์๋ฅ๋ก ๊ฑฐ์ฌ๋ฌ
์ฌ๋ผ๊ฐ๋ ์์๋ฅ๋ ฅ์ ํ๊ฐํ์๋ค. Lee et al. (2012)์ ์์นํด์ ๋ฐ ์๋ฆฌ๋ชจํ์คํ์ ํตํ์ฌ ์์ฐํ ์ด๋์ ์๋ฆฌํน์ฑ์ ๋ถ์ํ์๊ณ , ์ ๋์ ์ฆ ๋ฐฉ๋ฒ๋ก ์ 2์ฐจ์ ๋ฌผ๋ฆฌ์์์ฒ ๋ชจ์ ๋ชจํ์ธ River2D์ ์ ์ฉํ์ฌ
๋ฐฑ์ ๋ณด ์์ฐํ ์ด๋์ ์ด๋ฅ์์์ฒ๋ฅผ ํ๊ฐํ์๋ค. K-water (1995), Woo et al. (1998)์ ๊ฒฝํ์ ์ธ ๋ฐฉ๋ฒ์ผ๋ก ์ ํฉ ๊ณก์ ์ ์ด์ฉํ์ฌ ํน์ ์ถ์ฒ ์ ๋์ ์ค์ ํ์๊ณ , Kim et al. (1996a, 1996b)์ ๋ฌผ๊ณ ๊ธฐ ์์์ฒ ํ๊ฒฝ ์ค ์์ฌ๊ณผ ์ ์ ๋ฑ ์๋ฆฌ์กฐ๊ฑด์ ์ ์งํ๊ธฐ ์ํ ์ต์์ ๋ ์ฐ์ ๋ฐฉ๋ฒ์ ์ ์ํ์๋ค. ๋ํ Kim (2000), Lee et al. (2006)์ ์ด๋ฅ ์์ ํ๊ฒฝ์ ํ๊ฐํ๊ธฐ ์ํด ์ ์ฆ ์ ๋ ๋ฐฉ๋ฒ๋ก ์ 1์ฐจ์ ๋ฌผ๋ฆฌ์ ์์์ฒ ๋ชจ์ ์์คํ
์ธ PHABSIM์ ์ ์ฉํ ์ฐ๊ตฌ๋ฅผ ํ์๋ค. Kang et al. (2004)์ PHABSIM์ ์ ์ฉํ์ฌ ์ต์ ์ ๋์ ์ฐ์ ํ์์ผ๋ฉฐ ์์์ฒ ํ๊ฐ์ ์๊ตฌ๋๋ ์๋ฆฌ์ธ์์ ๋ชจ์๋ฅผ ์ํด 2์ฐจ์ ๋์์ญํ์ ๋ชจํ(RMA-2)์ ์ด์ฉํ์๋ค.
์ด๋์ ๊ตญ์ธ ์ฐ๊ตฌ๋ก๋ ๋ค์ํ๊ฒ ๋ณํ๋ ์์์ฒ์์ ๋ณด๋ค ์ ํํ ์์ฌ๊ณผ ์ ์์ ๋ชจ์ํ๊ธฐ ์ํด 2์ฐจ์ ์๋ฆฌ๋ชจํ์ด ๊ฐ๋ฐ๋์ด ์ด๋ฅผ ์ ์ฉํ ์ฐ๊ตฌ๊ฐ ์งํ๋๊ณ ์๋ค.
Loar and Sale (1981), Gore and Petts (1989)์ ์ ํฉ ๊ณก์ ์ ์ด์ฉํ์ฌ ์์์ฒ์ ์ถ์ฒ ์ ๋์ ์ค์ ํ์๊ณ , Lacey (2004)๋ River2D ๋ชจํ์ ์ด์ฉํด์ ์ก์ด ์์์ฒ ํด์์ ํ์์ ๊ณผ ํ์ํ๋ก ๊ตฌ๋ถํ์ฌ ์ ์๊ณผ ์์ฌ์ ๋น๊ตํ์ฌ ์ถ์ฒ์ ๋์ ์ ์ํ์๋ค. ๋ํ Wu and Mao (2007)๋ 1์ฐจ์(PHABSIM) ๋ฐ 2์ฐจ์(River2D) ๋ชจํ์ ์ด์ฉํ์ฌ ํ์ฒ ๋ด ๋ณด ๊ฑด์ค์ ๋ฐ๋ฅธ ์ ๋๋ณ ๊ฐ์ค๊ฐ์ฉ๋ฉด์ ๋ณํ๋ฅผ ๋น๊ต๏ฝฅ๋ถ์ํ์๋ค.
๋ณธ ์ฐ๊ตฌ์์๋ 2์ฐจ์ ๋ฌผ๋ฆฌ์์์ฒ ๋ชจํ์ ์ด์ฉํ ์์นํด์์ ํตํ์ฌ ๋ฌ์ฑ๋ณด์ ์ข์์ ์ค์น๋ ์ ์ธ์๋ก์ ๊ฐ๏ฝฅํ์ ๋ฐ๋ฅธ ์ธ๊ณตํ๋์ ์ด๋๋ก์ ์ด๋ฅ ์ ์
ํจ์จ์
๋ถ์ํ์๋ค. ์ผ๋ฐ์ ์ผ๋ก ํ์ฒ์ ์งํ์๋ฃ์ ์ ์์ฅ์ ๊ธฐ๋ฐ์ผ๋ก ์ด๋ฅ์ ์์ ์ ํฉ๋๋ฅผ ํ๊ฐํ๋๋ฐ ์ฌ์ฉ๋๋ River2D ๋ชจํ์ ์ด์ฉํ์ฌ ์ด๋ฅ์ ์ ์ง์๋์
๋์ง์๋๋ฅผ ๊ธฐ์ค์ผ๋ก ๋ฌ์ฑ๋ณด ํ๋ฅ๋จ์ ์ ์
์ด ์๋ ์ ์๋ ์ ์์ ํ๋ณด ์ฌ๋ถ๋ฅผ ํ๊ฐํ์์ผ๋ฉฐ, ํนํ ํผ๋ผ๋ฏธ์ ์ด๋์ด ํ๋ฐํ ๋ด์ฒ ์ฐ๋์๊ธฐ์ ์ด๋๋ก์ ํจ์จ์
ํ๊ฐํ์๋ค.
2. Materials and Methods
2.1. River2D ๋ชจํ ๊ฐ์
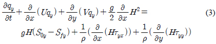
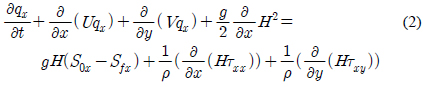
River2D๋ ์์ฌ ํ๊ท ํ ์ ํ์์๋ชจํ์ ์ฌ์ฉํ 2์ฐจ์ ์๋ฆฌ ์์๋ชจํ์ผ๋ก ์ (1)๊ณผ ๊ฐ์ ์ง๋๋ณด์กด์ ๊ฐ๋
๊ณผ ์ (2)์ ์ (3)๊ณผ ๊ฐ์ x,
y์ถ์ ์ด๋๋๋ณด์กด์ ๊ฐ๋
์ ์ฌ์ฉํ์ฌ ๋ฏธ์์ ๊ท๋ชจ์ ์์์ฒ์์ ๊ณต๊ฐ์ ์ผ๋ก ์ฌ์ธํ ์๋ฆฌ์ ๋ถ์์ ํ ์ ์๋ ๋ชจํ์ด๋ค. ๋ํ ์ (4)์ ์ (5)๋
๊ฐ๊ฐ ์ ์๊ณผ ๊ด๊ณ๋ ์ ์ถ๋์ด๋ค.
์ฐ์ ๋ฐฉ์ ์ :
x ๋ฐฉํฅ ์ด๋๋ ๋ฐฉ์ ์ :
y ๋ฐฉํฅ ์ด๋๋ ๋ฐฉ์ ์ :
์ฌ๊ธฐ์, H๋ ํ๋ฆ์ ํ๊ท ์์ฌ, U์ V๋ ๊ฐ๊ฐ x์ y๋ฐฉํฅ์ ์์ฌํ๊ท ์ ์, g๋ ์ค๋ ฅ๊ฐ์๋, ฯ๋ ๋ฌผ์ ๋ฐ๋, S0x์ S0y๋ x์ y๋ฐฉํฅ์ ํ์๊ฒฝ์ฌ, Sfx์ Sfy๋ ๊ฐ๊ฐ x์ y๋ฐฉํฅ์ ๋ง์ฐฐ๊ฒฝ์ฌ์ด๋ค. ๊ทธ๋ฆฌ๊ณ ฯxx,ฯxy,ฯyx์ ฯyy๋ ์ํ์๋ ฅ ์ธ์๋ฅผ ๋ํ๋ธ๋ค(Lee et al., 2012). ๋ฐ๋ฅ๋ฉด ์ ๋จ ์๋ ฅ์ ์ํฅ์ ๋ฐ๋ x ๋ฐฉํฅ์ ๋ง์ฐฐ๊ฒฝ์ฌ๋ ๋ค์ ์๊ณผ ๊ฐ์ด ์์ฌ ํ๊ท ๋ ์ ์์ ํจ์๋ก ๊ฐ์ ํ๋ค.
์ฌ๊ธฐ์, ฯbx๋ x๋ฐฉํฅ์ผ๋ก์ ๋ฐ๋ฅ๋ฉด ์ ๋จ์๋ ฅ์ด๊ณ Cs๋ Chezy ๊ณ์์ด๋ค. Chezy ๊ณ์๋ ์ (7)๊ณผ ๊ฐ์ด ๋ฑ๊ฐ์กฐ๊ณ (Roughness height) ks์ ์์ฌ์ ํจ์๋ก ํํํ ์ ์๋ค.
River2D์ ์๋ฆฌ๋์ญํ์ ๋ชจ์๊ณผ์ ์ ์ฒ์๋ฐฉ์ ์์ ์ง๋ฐฐ ๋ฐฉ์ ์์ผ๋ก ์ฌ์ฉํ๊ณ ์์ผ๋ฉฐ, ์์ฐํ์ฒ์์ ์๋ฅ ๋ฐ ์ฌ๋ฅ ๋ฑ๊ณผ ๊ฐ์ ๋ชจ๋ ํ๋ฆ์ํ์ ๋ชจ์๊ฐ
๊ฐ๋ฅํ๊ณ ๋ถ์ ใ๋ถ๋ฑ๋ฅ ๋ชจ์์๋ ์ ์ฉ๋ ์ ์๋ค. ๊ทธ๋ฆฌ๊ณ River2D์ ๊ตฌ์ฑ์ River2D_Bed, River2D_Mesh, River2D_Habitat์ผ๋ก
์ธ ๊ฐ์ง ๋ชจ๋๋ก ๊ตฌ์ฑ๋์ด ์๋๋ฐ, ๋ชจ์ ์ํ์ ์ฐจ๋ฅผ ๋์ํ ํ๋ฉด Fig. 1๊ณผ ๊ฐ๋ค(Oh et al., 2008).
Fig. 1.
River2D modeling process.
River2D ๋ชจํ์ ํตํด ๊ณ์ฐ๋๋ ์ด๋ฅ์ ์์์ฒ ์ ํฉ๋๋ ๋ฌผ๋ฆฌ์์์ฒ ๋ชจ์ ์์คํ
์์ ์ฌ์ฉ๋๋ ๊ฐ์ค๊ฐ์ฉ๋ฉด์ (Weighted Usable Area :
WUA)์ ๊ทผ๊ฑฐํ์ฌ ์ฐ์ถ๋๋ค. WUA๋ ๋์ ์ด์ข
์ ํน์ ์ฑ์ฅ๋จ๊ณ๋ณ, ์์์ฒํน์ฑ๋ณ๋ก ์ฃผ์ด์ง ๊ตฌ๊ฐ์ ์ด์ฉํ ์ ์๋ ์์์ ํฉ๋(net suitability)์
๋ํ ํ๋์ ์งํ์ด๋ค. ๋ํ WUA๊ฐ ํฌ๋ค๋ ๊ฒ์ ๊ทธ๋งํผ ๋์์ด์ข
์ ์์์ฒ ๋ฐ ํ๋ ์์ญ์ด ํฌ๋ค๋ ๊ฒ์ ์๋ฏธ ํ๋ค. ๊ฐ์ค๊ฐ์ฉ๋ฉด์ ์ ๊ฐ ์ ์ ์์ ํ๊ฐ๋์ด์ง๋
๋ณตํฉ์์์ฒ ์ ํฉ๋ ์ง์( Ci )์ ์ํด ๊ณ์ฐ๋์ด์ง๋ค. ๋ณตํฉ์์์ฒ ์ ํฉ๋ ์ง์(Ci)๋ ์ ์๏ฝฅ์์ฌ๏ฝฅํ์์ง์์ ๋ํ ์ ํฉ๋ ๊ธฐ์ค์ ์กฐํฉํ์ฌ ์ฐ์ ํ๋ค. ์ฐ์ ๋ฐฉ๋ฒ์๋ ๊ณฑ์
๋ฐฉ๋ฒ, ๊ธฐํํ๊ท ๋ฐฉ๋ฒ, ์ต์์น ๋ฐฉ๋ฒ ๋ฑ์ด ์์ผ๋ฉฐ, ๊ทธ ์ค ๊ณฑ์
๋ฐฉ๋ฒ์
์ต์ ์ํ์ธ ์ง์ 1.0์ ๊ฒฝ์ฐ์๋ง ์กด์ฌํ๋ค๋ ๊ฒ์ ์๋ฏธํ๋ค. ๋ณธ ์ฐ๊ตฌ์์๋ ๊ณฑ์
๋ฐฉ๋ฒ์ ์ ์ฉํ์ฌ ๋ณตํฉ ์์์ฒ ์ ํฉ๋ ์ง์๋ฅผ ์ ์ ํ์๊ณ , ๊ณฑ์
๋ฐฉ๋ฒ์
์์์ ๋ค์ ์ (8)๊ณผ ๊ฐ๋ค.
์ฌ๊ธฐ์ vi๋ ์ ์ ์ ํฉ๋ ์ง์, di๋ ์์ฌ ์ ํฉ๋ ์ง์, ci๋ ํ์์ง์ ์ ํฉ๋ ์ง์๋ฅผ ๋ํ๋ธ ๊ฒ์ด๋ค. River2D ๋ชจํ์ ํ๋์ ์์ฌ๊ณผ ๋ ๊ฐ์ ์ ์์ ๊ณ์ฐํจ์ผ๋ก์จ ์
๋ ฅ๋ ๋ณตํฉ์์์ฒ ์ ํฉ๋ ์ง์(Ci)์ ๋ง์ถฐ ๋ณํ๋์ด์ ธ WUA๋ฅผ ๊ฐ ์
์ ๋ํด ๊ณ์ฐํ๋ค. ์ฌ๊ธฐ์ WUA๋ ์
๋ฉด์ Ai)์ ๋ณตํฉ์์์ฒ ์ ํฉ๋ ์ง์(Ci )๋ฅผ ๊ณฑํ์ฌ ๊ณ์ฐ๋๊ณ ์ด์ฉ๋๋ ์์์ ๋ค์ ์ (9)์ ๊ฐ๋ค.
์ฌ๊ธฐ์, Ai๋ i์
์ ๋ฉด์ ์ด๊ณ , Ci๋ i์
์ ๋ณตํฉ ์์์ฒ ์ ํฉ๋ ์ง์์ด๋ค(Lee et al., 2012).
2.2. ์ฐ๊ตฌ๋์์ง์
๋๋๊ฐ์ ์ค์น๋ ๋ฌ์ฑ๋ณด๋ ๋ฐ์์ง๊ต ์๋ฅ๋ก 4 km, ๊ณ ๋ น๊ต ํ๋ฅ๋ก 3.43 km์ ์์นํ๋ค. Fig. 2๋ ๋ฌ์ฑ๋ณด์ ์์น์ ์กฐ๊ฐ๋์ด๋ค. ๋ฌ์ฑ๋ณด์ ๋ณด์ ๊ธธ์ด๋ ์ด 580 m์ด๋ฉฐ ๊ฐ๋๋ณด(๊ฒฝ๊ฐ ๊ธธ์ด 162 m, ๋์ด 9.6 m, 3๋ จ)์ ๊ณ ์ ๋ณด(๊ฒฝ๊ฐ ๊ธธ์ด
418 m, ๋์ด 9.5 m) ๋ฐ ์์ง์ค์ผ๋ฐฉ์ง๋ฅผ ์ํ ์ค์ผ ์ ๊ฐ์์ค์ด ์ค์น๋์๊ณ ์์๋ ฅ๋ฐ์ ์, ์ธ๊ณตํ๋์ ์ด๋(์ข์) ๋ฐ ์ธ๊ณตํ์ด๋์ธ ์์ด์คํ๋ฒ์
์ด๋(์ฐ์)๊ฐ ์ค์น๋์๋ค.
Fig. 2.
View location and aerial view of Dalseong Weir in Nakdong River.
๋ฌ์ฑ๋ณด ์ข์๊ณผ ์ฐ์์ ์ค์น๋ ์ด๋๋ ๋ณด ์ค์น๋ก ์ธํด ๋ฐ์ํ๋ ํ์ฒ๋จ์ ์ ๊ทน๋ณตํ๊ธฐ ์ํ ๋ชฉ์ ์ผ๋ก ์ค์น๋์๋ค. ๋ฌ์ฑ๋ณด์ ์ธ๊ณตํ๋์ ์ด๋๋ 3๊ฐ์ ์ฌ์ธ๊ณผ
ํ๋๋ฅผ ๋ฐ๋ผ ๊ณ๋จ์์ผ๋ก ์ค์น๋์ด ์ ์์ด๋ฅ์ ์ ์๋๋ฌผ ๋ฑ์ ๋ค์ํ ์์ค์๋ฌผ๋ค๊ณผ ์ด๋ฅ๋ค์ ์ด๋ ๋ฐ ์์์ด ๊ฐ๋ฅํ๋ค. ์ข์ ์์นํ ์ด๋์ ํ์์ ํ์ ์ฑ
์ด์ข
์ ๋ณดํธ๋ฅผ ์ํ์ฌ ์ด๋ฅ์ ์ง์ถ์
์ ์ต์ ํ ์ธ๊ณตํ๋์ ์ด๋๋ก ์ ์ ๋์๋ค(MLTM, 2009a). Fig. 3์ ์ธ๊ณตํ๋์ ์ด๋์ ํ๋ฉด๋๋ฅผ ๋ํ๋ธ ๊ฒ์ด๋ฉฐ Fig. 4๋ ์ธ๊ณตํ๋์ ์ด๋์ ์ฐ์ธก์ ์์นํ ์ ์ธ์๋ก์ ํ์ฅ์ฌ์ง์ด๋ค. Table 1์ ์ธ๊ณตํ๋์ ์ด๋์ ์ ์ธ์๋ก์ ์ ์์ ๋ํ๋ธ ๊ฒ์ผ๋ก ์ธ๊ณตํ๋์ ์ด๋๋ ์ด ๊ธธ์ด 365.2 m, ๋์ด 9.0 m, ๊ฒฝ์ฌ 1/600์ด๋ฉฐ ์ ์ธ์๋ก๋ ์ด
๊ธธ์ด 25.54 m, ๋์ด 0.4 m, ๊ฒฝ์ฌ 1/100์ผ๋ก ์ค์น๋์๋ค.
Fig. 4.
Waterway of Dalseong Weir.
Table 1.
Specification of By-pass fishway and waterway
2.3. ์ ํฉ ๋ถ์
๋ฌ์ฑ๋ณด๊ฐ ์์นํ ์ ์ญ์ ์ ํฉํน์ฑ์ ๋ฌ์ฑ๋ณด ์๏ฝฅํ๋ฅ์ ์ธ์ ํ ๊ณ ๋ น๊ต์์ํ์ ํํ์์ํ์ WAMIS (Water Management Information
System)์์ ์ ๊ณตํ๋ ์ค์ธก ์์ ์๋ฃ์ ์์-์ ๋๊ด๊ณ๊ณก์ ์์ ์ด์ฉํ์ฌ ์ ๋์ ์ฐ์ ํ๊ณ ๋ถ์ํ์๋ค(MLTM, 2010). ๊ณ ๋ น๊ต์์ํ๋ ๋ฌ์ฑ๋ณด๋ก๋ถํฐ 3.43 km ์๋ฅ์ ์์นํ๋ฉฐ ํํ์์ํ์ ๊ฒฝ์ฐ ๋ฌ์ฑ๋ณด๋ก๋ถํฐ 4.13 km ํ๋ฅ์ ์์นํ๊ณ ์๋ค. Fig. 5๋ ๋๋๊ฐ ๊ณ ๋ น๊ต์์ํ์ ์ ํฉ๊ณก์ ์ด๋ฉฐ, Table 2๋ ๊ณ ๋ น๊ต์์ํ์ ์ ๋๊ณผ ํํ์์ํ์ ์์๋ฅผ ์์ฝํ์ฌ ๋ํ๋ธ ๊ฒ์ด๋ค. ๋ฌ์ฑ๋ณด ์๋ฅ ๊ณ ๋ น๊ต์์ํ์ ์ ๋์ ํ์๊ธฐ 156.84 m3/s, ํ์๊ธฐ 33.22 m3/s, ์ ์๊ธฐ 33.22 m3/s, ๊ฐ์๊ธฐ 30.36 m3/s์ด๊ณ ํ๋ฅ์ ํํ์์ํ์ ์์๋ ํ์๊ธฐ EL. 10.75 m, ํ์๊ธฐ EL. 9.88 m, ์ ์๊ธฐ EL. 9.22 m, ๊ฐ์๊ธฐ EL. 7.70
.m ์ด๋ค. ํนํ ํ์๊ธฐ์ ์ ์๊ธฐ์ ์ ๋ ์ฐจ์ด๋ ์์ผ๋ ๋ณธ๋ฅ ์์์ ์ฐจ์ด๊ฐ ๋์ง ์๋ ์ด์ ๋ ๋ฌ์ฑ๋ณด๊ฐ ํ๋ฅ ์์๋ฅผ ์กฐ์ ํ ๊ฒ์ผ๋ก ๋ณด์ธ๋ค.
Fig. 5.
Flow Duration Curve Goryeong-bridge Gaging Stations in Nakdong River.
Table 2.
Flow Regime of Goryeong-bridge and Hyunpung Gaging Stations (2012)
3. Results and Discussions
3.1. ๋ชจํ์ ๋ณด์ ๋ฐ ๊ฒ์ฆ
์ ํฉ ๋ถ์์ ํตํ์ฌ ํ์๊ธฐ, ํ์๊ธฐ, ์ ์๊ธฐ์ ์์์ผ ๋, ์ธ๊ณตํ๋์ ์ด๋์ ์
๊ตฌ๋ถ ํ๋ฆ์ ๋ถ์ํ๊ธฐ ์ํ์ฌ 2์ฐจ์ ์๋ฆฌ๋ชจํ์ธ River2D ๋ชจํ์
์ ์ฉํ์์ผ๋ฉฐ, ๋ฌ์ฑ๋ณด ์ง์ ์์ ์ธก์ ๋๊ณ ์๋ ์๏ฝฅํ๋ฅ ์์ ์ธก์ ๊ฐ์ผ๋ก ๋ชจํ์ ๊ฒ๋ณด์ ํ์๋ค. ์์นํด์๋ชจํ์ ์ ์ฉํ๊ธฐ ์ํด ๋์๊ตฌ๊ฐ์ ๋ชจํํํ๊ธฐ ์ํ์ฌ
๋ฌ์ฑ๋ณด์ ์ฃผ๋ณ ์งํ๋์ ์์น์ง๋๋ฅผ ์ด์ฉํ์ฌ ์ ์ ๊ณผ ์์๋ก ๊ตฌ์ฑ๋ ์งํํ์ผ์ ๊ตฌ์ถํ์๊ณ River2D_Bed์์ ๊ตฌ์ถ๋ ์งํํ์ผ์ ๋ฐํ์ผ๋ก ์ ํ์์๋ง์
๊ตฌ์ถํ์๋ค. ์ ์ ์ ์ด 6554๊ฐ, ์์๋ ์ด 12314๊ฐ๋ก ๊ตฌ์ฑ๋์์ผ๋ฉฐ, ๊ตฌ์ถ๋ ์ ํ์์๋ง์ Fig. 6์ ๋ํ๋ด์๋ค. Fig. 7์ ๊ตฌ์ถ๋ ์งํ์๋ฃ๋ฅผ ํตํ์ฌ River2D์์ ํํ๋๋ ํ์์ ๋ํ๋ธ ๊ฒ์ด๋ค. ๋๋๊ฐ ๋ณธ๋ฅ์ ์๋ฅ ํ๊ท ํ์ํ๊ณ ๋ EL. 4.5 m์ด๋ฉฐ, ํ๋ฅ์ ํ๊ท ํ์ํ๊ณ ๋
EL. 4.1 m์ด๋ค. ์ด๋์ ์ถ๊ตฌ์ ํ๊ท ํ์ํ๊ณ ๋ EL. 13.5 m์ด๋ฉฐ, ์ด๋ ์
๊ตฌ๋ EL. 9.0 m๋ก ๊ตฌ์ฑ๋์ด ์๋ค.
Fig. 6.
River-2D Finite Element Mesh.
Fig. 7.
Distribution of Bed Elevation.
River2D ๋ชจํ์ ์ด์ฉํ์ฌ ๋ฌ์ฑ๋ณด์ ์๏ฝฅํ๋ฅ ๊ฒฝ๊ณ์กฐ๊ฑด์ ์
๋ ฅ์กฐ๊ฑด์ผ๋ก ํ์ฌ ์์ฌ๊ณผ ์ ์์ ๋ํด ๋ถ์์ ์ค์ํ์๋ค. Table 2์ ์ ์๊ธฐ ์์ ์๋ฅ ์ ๋๊ณผ ํ๋ฅ ์์๋ก ๋ชจ์๋ฅผ ์ํํ์๋ค. ์ธ๊ณตํ๋์ ์ด๋ ๋ฐ ๋๋๊ฐ์ ์ ์ฉ๋๋ ์กฐ๋๊ณ์๋ ๋๋๊ฐ ํ์ฒ๊ธฐ๋ณธ๊ณํ(MLTM, 2009b)์์ ์ ์๋ ์ฌ์งํ์ ๋ฐ ์ฝํฌ๋ฆฌํธ์ ์กฐ๋๊ณ์๋ก์ ๊ฐ๊ฐ 0.023, 0.013๋ก ์ ์ฉํ์์ผ๋ฉฐ, ์๏ฝฅํ๋ฅ ๊ฒฝ๊ณ์กฐ๊ฑด ๋ฐ ์กฐ๋๊ณ์๋ Table 3์ ์ ์ํ์๋ค.
Table 3.
Roughness Coefficient
๋ณธ ์ฐ๊ตฌ์์๋ ๋ฌ์ฑ๋ณด์ ์๋ฅ๋จ๊ณผ ํ๋ฅ๋จ์์ ์ธก์ ๋๋ ์์๋ฅผ ์ด์ฉํ์ฌ River2D ๋ชจํ์ ๊ฒ๋ณด์ ์ ์ค์ํ์๋ค. ๋ชจํ์ ์ ํ์ฑ์ ํ๊ฐํ๊ธฐ ์ํด ๊ฒฐ์ ๊ณ์(R2), ์ ๋ํ๊ท ์ค์ฐจ(AME), ํ๊ท ์ ๊ณฑ๊ทผ์ค์ฐจ(RMSE) ๋ฑ์ ์ค์ฐจ๋ถ์ ์งํ๋ฅผ ์ฌ์ฉํ์๋ค(Table 4 ์ฐธ์กฐ).
๋ณธ ์ฐ๊ตฌ์์ ๋ชจํ์ ๊ฒ๋ณด์ ์ 2012๋
6์ 17์ผ๋ถํฐ(์ ์๊ธฐ ๊ธฐ์ค) 13์ผ๊ฐ์ ๋ณด์ ๊ธฐ๊ฐ์ผ๋ก ํ๊ณ 2012๋
7์ 1์ผ๋ถํฐ 15์ผ๊ฐ์ ๊ฒ์ ๊ธฐ๊ฐ์ผ๋ก
์ ์ ํ์ฌ ์ค์ํ์๋ค. Fig. 8์ ์์น๋ชจ์์ ๋ณด์ ๊ฒฐ๊ณผ๋ฅผ ๋ํ๋ธ ๊ฒ์ผ๋ก 6์ ์ค 13์ผ๊ฐ์ ์๋ฅ์ ํ๋ฅ๋ก ๊ตฌ๋ถํ์ฌ ๋ํ๋ด์๋ค. Fig. 9๋ 7์ ์ค 15์ผ๊ฐ์ ๊ฒ์ ๊ฒฐ๊ณผ๋ฅผ ๋ํ๋ด์๋ค. ๋ชจํ์ ๋ณด์ ๋ฐ ๊ฒ์ ๊ฒฐ๊ณผ๋ ์ค์ธก์น์ ๋ชจ์์น ์ฐจ์ด๊ฐ ๋ณด์ ์ ์ต์ 0.01 m์์ ์ต๋ 0.225 m์ด๋ฉฐ,
๊ฒ์ฆ์์๋ ์ต์ 0.017 m์์ ์ต๋ 0.495 m๋ก ๋ํ๋ฌ๋ค. ๋ํ ์ค์ธก๊ฐ๊ณผ ๋ชจ์๊ฐ์ ํต๊ณ์งํ ๋น๊ต๊ฒฐ๊ณผ ๋ณด์ ์์ R2๋ 0.905, AME๋ 0.080, RMSE๋ 0.097์ด์์ผ๋ฉฐ, ๊ฒ์ ์์๋ R2๋ 0.946, AME๋ 0.099, RMSE๋ 0.011์ผ๋ก ๋์ ์๊ด๊ด๊ณ๋ฅผ ๋ณด์๋ค(Table 5 ์ฐธ์กฐ).
Fig. 8.
Calibration of River2D Model.
Fig. 9.
Verification of River2D Model.
Table 5.
Results of statistical indices for model accuracy
3.2. 2์ฐจ์ ๋ชจ์ ๊ฒฐ๊ณผ
๊ฒ๋ณด์ ์ ํ 2์ฐจ์ ์์น๋ชจํ์ ์ด์ฉํ์ฌ ๋ฌ์ฑ๋ณด ์ธ๊ณตํ๋์ ์ด๋์ ์ ์
๋ถ๋ฅผ ์ ์ธ์๋ก์ ๊ฐํ ์ฌ๋ถ์ ๋ฐ๋ฅธ ์๋ฆฌํด์์ ์ค์ํ์๋ค. ๋ฌ์ฑ๋ณด ์ธ๊ณตํ๋์ ์ด๋
ํ๋ฅ๋จ์ ๊ฑฐ๋ฆฌ๋ณ ์์น๋ฅผ ๋๋์ด ๋ถ์ํ์์ผ๋ฉฐ, ์ ์ธ์๋ก๋ฅผ ๊ฐ๋ฐฉํ์์ ๋์ ํ์ํ์์ ๋๋ฅผ ๊ตฌ๋ถํ์ฌ ๋ชจ์๋ฅผ ์ํํ์๋ค. ๋ํ ๋ฌ์ฑ๋ณด์ ์ด์๊ณํ์ ๋ณด๋ฉด
ํ์์์๋ ๊ฐ๋๋ณด์ ์๋ฌธ์ด ๋ซํ์๊ณ ๊ณ ์ ๋ณด๋ก๋ง ๋ฌผ์ด ์๋ฅํ๋ฉด์ ๊ด๋ฆฌ์์๋ฅผ ์ ์งํ๊ณ , ์ฐ๊ธฐ์ ๊ฐ๋๋ณด๋ฅผ ์ด์(MLTM, 2009a)ํ๋ฏ๋ก ๋ณธ ์ฐ๊ตฌ์์๋ ์ ์๊ธฐ๋ฅผ ๋ชจ์ํ๋ฏ๋ก ๊ฐ๋๋ณด๋ ๋ซ๊ณ ๋ชจ์๋ฅผ ์ํํ์๋ค.
Fig. 10์ ์ ์ธ์๋ก์ ๊ฐํ์ ๋ฐ๋ฅธ ๋๋๊ฐ ๋ณธ๋ฅ์ ์ ์์ฅ๊ณผ ์์ฌ ๊ทธ๋ฆฌ๊ณ ์ธ๊ณตํ๋์ ์ด๋์ ์
๊ตฌ์ ์ ์์ฅ๊ณผ ์์ฌ์ ํจ๊ป ๋ํ๋ธ ๊ฒ์ด๋ค. ์ด ๊ทธ๋ฆผ๋ค์์ ๋ณด๋ฏ์ด
์์น๋ณ ์ ์์ฅ์ ์ ์ธ์๋ก์ ๊ฐํ์ ๋ฐ๋ผ ๋ณธ๋ฅ์ ์ ์์ฅ์ด ์์ดํ ์์์ ๋ณด์ด๊ณ ์๋ค. ํนํ ์ ์ธ์๋ก๊ฐ ๊ฐ๋ฐฉํ์์ ๋ ์ธ๊ณตํ๋์ ์ด๋์ ์ ์
๋ถ์ ์ ์์ด
์ ์ธ์๋ก๊ฐ ๋ซํ ์์ ๋ ๋ณด๋ค ์ต๋ 0.22 m/s, ์ต์ 0.098 m/s ์ ๋์ ์ฐจ์ด๋ฅผ ๋ณด์ด๋ฉฐ ๋น ๋ฅธ ๊ฒ์ผ๋ก ๋ํ๋ฌ๋ค. ์ ์ธ์๋ก์ ๊ด๊ณ์์ด ๊ณ ์ ๋ณด์
์ ์์ด ๋น ๋ฅธ ๊ฒ์ ๋ณผ ์ ์๋๋ฐ ์ด๊ฒ์ ๋ฐ๋ฅ๊ณ ์ ๋์ฐจ์ ์ํด ๋ฐ์๋ ๊ฒ์ผ๋ก ์ฌ๋ฃ๋๋ค.
Fig. 10.
Simulation Results.
๋ฌ์ฑ๋ณด์ ์ ์ธ์๋ก ๊ฐํ ์ฌ๋ถ์ ๋ฐ๋ฅธ ๋ณธ๋ฅ์ ์ ์์ฅ์ ํ์ธํ๊ธฐ์ํด Fig. 11๊ณผ ๊ฐ์ด ์ด 3๊ฐ์ ์์น๋ฅผ ์ ์ ํ์์ผ๋ฉฐ, ๋ฌ์ฑ๋ณด ๊ธฐ์ ์ผ๋ก ๊ฐ๊ฐ 50 m, 150 m, 300 m ๋จ์ด์ง ์ง์ ์ ์ ์ ํ์๋ค. Fig. 12๋ ์ ์ธ์๋ก๋ฅผ ๊ฐ๋ฐฉํ์์ ๋ ๊ฐ ์ง์ ๋ณ๋ก ๋๋๊ฐ ๋ณธ๋ฅ์ ์ข์์์๋ถํฐ ๋๊ฐ๊ฑฐ๋ฆฌ๋ณ ์ ์ ํก๋ถํฌ๋ฅผ ๋ํ๋ธ ๊ฒ์ด๋ฉฐ, Fig. 13์ ์ ์ธ์๋ก๋ฅผ ํ์ํ์์ ๋๋ฅผ ๋ํ๋ธ ๊ฒ์ด๋ค. ์ ์ธ์๋ก ๊ฐํ ์ฌ๋ถ์ ๋ฐ๋ฅธ ์ ์๊ฒฐ๊ณผ๋ ํฌ๊ฒ ์ฐจ์ด๋ฅผ ๋ณด์ด์ง ์์ง๋ง, ์ ์ธ์๋ก๋ฅผ ๊ฐ๋ฐฉํ์์ ๋, ์ด๋ ์
๊ตฌ
๋ถ๋ถ๊ณผ B-Bโ ์ง์ ์ ์ข์ ๋ถ๋ถ์ด ์ ์ธ์๋ก๋ฅผ ํ์ํ์์ ๋ ๋ณด๋ค ์ ์์ด ๋ค์ ๋์ ๊ฒ์ ํ์ธ ํ ์ ์๋ค.
Fig. 11.
Sites in Main Channel.
Fig. 12.
Simulation Results of Velocity in Main Channel (Open).
Fig. 13.
Simulation Results of Velocity in Main Channel (Close).
Table 6์ ๊ฐ ์์น๋ณ๋ก ์ ์ธ์๋ก์ ๊ฐํ์ ๋ฐ๋ฅธ ๋ณธ๋ฅ์ ์ ์์ ํ๊ท , ์ต์, ์ต๋๋ก ๋ํ๋ด์๋ค. ์ ์ธ์๋ก๋ฅผ ๊ฐ๋ฐฉํ์์ ๋์ ์์น๋ณ ํ๊ท ์ ์์ ๊ฐ๊ฐ 0.04
m/s, 0.03 m/s, 0.03 m/s๋ก ๋ํ๋ฌ๊ณ , ํ์ํ์์ ๋ ์์น๋ณ ํ๊ท ์ ์์ ๊ฐ๊ฐ 0.03 m/s, 0.03 m/s, 0.03 m/s๋ก
๋ํ๋ฌ๋ค. ์ด๋ ๊ทผ์ฒ์์์ ์ ์ ๋ถํฌ๋ Fig. 14์ ๊ฐ์ด ํผ๋ผ๋ฏธ ์ ํฉ๋ ์ ์ ๋ฒ์๋ด์ ํฌํจ๋์ด ์์ผ๋ฉฐ, ๋ฌ์ฑ๋ณด ์ข์์ ์์นํ ์ ์ธ์๋ก ๊ฐํ ์ฌ๋ถ์ ๋ฐ๋ฅธ ์ ์์ฐจ์ด๋ ํฌ๊ฒ ๋ํ๋์ง ์์ง๋ง ์ด๋ ์ ์ธ์๋ก๋ฅผ
๊ฐ๋ฐฉํ์์ ๋ ์ ์ธ์๋ก๋ฅผ ํ์ํ์์ ๋ ๋ณด๋ค ์ด๋ฅ๋ฅผ ์ ์ธํ๊ธฐ์ ์ ๋ฆฌํ ๊ฒ์ผ๋ก ๋ณด์๋ค.
Table 6.
Simulation Results of Velocity
Fig. 14.
Habitat Suitability Criteria (Spawning).
3.3. ์ ์ธ ์ ํฉ๋ ํ๊ฐ
์ผ๋ฐ์ ์ผ๋ก ์ด๋ฅ์ ์ ์์๋๋ ํฌ๊ฒ ์ฅ์๊ฐ ์ ์์ด ๊ฐ๋ฅํ ์ํญ์๋, ๋ช ๋ถ๊ฐ ์ง์์ ์ผ๋ก ๋ผ ์ ์๋ ์ต๋์๋์ธ ์ ์ง์๋, ๊ทธ๋ฆฌ๊ณ ๋ช ์ด์ ๊ฑธ์ณ ๋ผ ์
์๋ ์ต๋์๋์ธ ๋์ง์๋ ๋ฑ์ผ๋ก ๊ตฌ๋ถ๋๋ค. ์ํญ์๋๋ ์ด๋ฅ์ ์ฅ๊ฑฐ๋ฆฌ ์ด๋์, ์ ์ง์๋๋ ์ฅ์ ๋ฌผ์ด๋ ๊ตฌ์กฐ๋ฌผ์ด ์ค์น๋ ๊ฒฝ์ฐ ์ ์ง ๊ฐ๋ฅํ ์๋, ๊ทธ๋ฆฌ๊ณ
๋์ง์๋๋ ์ ์ผ๋ก๋ถํฐ ๊ธํ ํผํ๊ฑฐ๋ ๋จน์ด์ ๋ํ ๋ฐ์ ์ ๋ํ๋๋ ์๋์ด๋ค(Baek et al., 2013). ๋ณธ ์ฐ๊ตฌ์์๋ ๋ฌ์ฑ๋ณด์์ ๊ฐ๊ฐ 50 m, 150 m, 300 m ๋จ์ด์ง ์ง์ (Fig. 11 ์ฐธ์กฐ)๊ณผ ์ด๋ฅ์ 3๊ฐ์ง ์ ์์๋ ์ค ์ฅ์ ๋ฌผ์ด๋ ๊ตฌ์กฐ๋ฌผ์ด ์ค์น๋ ๊ฒฝ์ฐ ์ ์ง ๊ฐ๋ฅํ ์๋์ธ ์ ์ง์๋์ ๊ธํ ํผํ๊ฑฐ๋ ๋น ๋ฅธ ๋ฐ์์ ๋ํ๋ด๋ ๋์ง์๋๋ฅผ
๋น๊ตํ์๋ค.
๋์์ด์ข
์ ์ ์ ์ํด ๋๋๊ฐ์์ ๊ธฐ ์ํ๋ ์ด๋ฅ ๋ชจ๋ํฐ๋ง ๊ฒฐ๊ณผ๋ฅผ ๋ถ์ํ์๋ค. Choi et al. (2007)์ ๋๋๊ฐ ๋ณธ๋ฅ 6๊ฐ ์ง์ ์ค ๊ธํธ๊ฐ ํฉ๋ฅ๋ถ(S3)๋ก 2004๋
7์(ํ์๊ธฐ)์ 1์ฐจ, 2005๋
3์(๊ฐ์๊ธฐ)์ 2์ฐจ ์ด๋ฅ ์กฐ์ฌ ๋ฐ ์ฑ์ง์ ์ํํ์์ผ๋ฉฐ,
1์ฐจ ์กฐ์ฌ์์ 22์ข
, 2์ฐจ ์กฐ์ฌ์์ 20์ข
์ด ์ฑ์ง๋์ด ์ด 28์ข
์ด ์ฑ์ง๋์๋ค. ์ฑ์ง๋ ์ด๋ฅ ์ค ๊ณผ๋ณ ์ข
๋ค์๋๋ ์์ด๊ณผ ์ด๋ฅ๊ฐ 17์ข
์ผ๋ก ๊ฐ์ฅ ๋์๊ณ ,
๊ทธ ์ธ์ ๋ฏธ๊พธ๋ฆฌ๊ณผ 3์ข
, ๊ฒ์ ์ฐ๋ญ๊ณผ 2์ข
๋ฑ์ ์์ผ๋ก ๋ํ๋ฌ๋ค. ๋ํ ์ด๋ฅ์ ์ํํ๋ถ๋(Relative abundance) ๋ถ์์ ๋ฐ๋ฅด๋ฉด, ํผ๋ผ๋ฏธ(Z. platypus) 59%, ๋๋ฆฌ(Opsariichthys uncirostris amurensis) 10%, ๋ชฐ๊ฐ(Squalidus japonicus coreanus) 4% ์์ผ๋ก ํผ๋ผ๋ฏธ๊ฐ ์ฐ์ ํ๋ ๊ฒ์ผ๋ก ๋ํ๋ฌ์ผ๋ฉฐ, ์กฐ์ฌ๊ฒฐ๊ณผ ํผ๋ผ๋ฏธ(Z. platypus)๊ฐ 50.6%, ๋๋ฆฌ(Opsariichthys uncirostris amurensis) 30%๋ก ๋ํ๋ฌ๋ค(Choi et al., 2007). ๋ณธ ์ฐ๊ตฌ ์ง์ ์ธ ๋ฌ์ฑ๋ณด๋ ์กฐ์ฌํ ๊ธํธ๊ฐ ํฉ๋ฅ๋ถ์ ํ๋ฅ์ ์์นํ๊ณ ์์ด ์ ์ธํจ์จ์ ํ๊ฐํ๊ธฐ ์ํ์ฌ ๋์์ด์ข
์ ํผ๋ผ๋ฏธ๋ก ์ ์ ํ์๋ค.
Fig. 14๋ ํผ๋ผ๋ฏธ์ ์ ์, ์์ฌ๊ณผ ํ๋์ง์์ ๋ํ ์ ํฉ๋ ์ง์๋ฅผ ๋ํ๋ธ ๊ฒ์ด๋ค. ๋์์ด์ข
์ ์์์ด ๊ฐ๋ฅํ ์ ์๊ณผ ์์ฌ ๋ฐฉํฅ์ผ๋ก ๊ฑฐ์ฌ๋ฌ ์ฌ๋ผ๊ฐ๊ธฐ ๋๋ฌธ์ ์ ์๊ณผ
์์ฌ์ ๋ถํฌ๊ฐ ์ ์ธํจ์จ์ ์ํฅ์ด ํฌ๋ค. ์ด์ ์คํ๊ณผ ์ ํ์ฐ๊ตฌ๋ฅผ ํตํ์ฌ ์ ํฉ๋ ์ง์๋ฅผ ๋ํ๋ด์๋ค. ์ ์์ Park et al. (2006)์ด ์ค์ํ ์ฆ์ง์ ์๋ฐฉ๋ฒ์ ์ด์ฉํ ํผ๋ผ๋ฏธ์ ํ๊ณ์ ์์ ์ ์ธก์ ์คํ์ ๋ฐํ์ผ๋ก ๋ง๋ค์ด์ก๋ค(Table 7 ์ฐธ์กฐ). ์ด ์ฆ์ง ์ ์๋ฐฉ๋ฒ์ MLTM (2005)์์ ์ ์ํ ์ด๋ ์ ์ ํ์ฉ ๋ฒ์์ธ 0.5 ~ 1.0 m/s๋ฅผ ๊ธฐ์ค์ผ๋ก ์ค์๋์๋ค. ๊ทธ๋ฆฌ๊ณ ํผ๋ผ๋ฏธ์ ์์ฌ ์ ํฉ๋ ์ง์๋ Oh et al. (2008)์ด ํผ๋ผ๋ฏธ์ ๋ฌผ๋ฆฌ ์์์ฒ๋ฅผ ๋ถ์ํ ๋ฐ ์์ผ๋ฉฐ ํ๋์ง์ ์ ํฉ๋ ์ง์๋ ๋๋๊ฐ์ ์ญ์กฐ์ฌ(K-water, 2004)์ ์์ฑ๋ ๊ฒฐ๊ณผ๋ฅผ ์ด์ฉํ์๋ค(Baek et al., 2013).
Table 7.
Swimming Velocity Experiment of Z. platypus
ํผ๋ผ๋ฏธ์ ์ ํฉ๋ ๊ณก์ ์์ ์ ์์ ๋ฒ์๋ 0.10 m/s ~ 0.47 m/s ์ด๊ณ ์์ฌ์ 0.1 m ~ 1 m ์ฌ์ด๋ก ๋ํ๋ฌ๋ค. ํผ๋ผ๋ฏธ์ ์ฐ๋๊ธฐ๋ 6์
~ 8์์ด๊ณ (Cho and Reu, 1998) ์ฐ๋์ ์ํ์ฌ ์ ๏ฝฅํ๋ฅ๋ก ์์ง์์ด ํ๋ฐํด์ง๋ ์๊ธฐ๋ ์์จ์ด ์ฌ๋ผ๊ฐ๋ 4์๋ถํฐ์ด๋ค. ์ด ์๊ธฐ ๋๋๊ฐ์ ์ ํฉ์ ๋ถ์ํด ๋ณด๋ฉด ์ ์๋์ด ๋ค์๋ฅผ ์ฐจ์งํ๋ค.
ํนํ ๊ณ ๋ น๊ต์์ํ์ ์ ํฉ๋ถ์์ ์ค์ํ ๊ฒฐ๊ณผ, 2012๋
์ ๋๋๊ฐ ์ ์ญ์ ๊ฐ๋ญ์ผ๋ก ์ ์๊ธฐ์ ์๊ธฐ๊ฐ 5 ~ 6์๋ก ๋ํ๋ฌ๋ค. Fig. 15๋ ์ ํฉ๋ ์ง์๋ฅผ ๋ฐํ์ผ๋ก(Fig. 14 ์ฐธ์กฐ) River2D ๋ชจํ์ WUA ์ฐ์ ๊ธฐ๋ฅ์ ์ด์ฉํ์ฌ ํผ๋ผ๋ฏธ์ ์์์ฒ๋ฅผ ๋ํ๋ธ ๊ฒ์ผ๋ก, WUA๊ฐ ํด์๋ก ๋์ ์ด์ข
์ ์์์ฒ ๋ฐ ํ๋์์ญ์ด ํฌ๋ค(Baek et al., 2013). ์ฐ์ ํ ๊ฒฐ๊ณผ ์ ์ธ์๋ก๋ฅผ ๊ฐ๋ฐฉํ ๋ ์ธ๊ณตํ๋์ ์ด๋ ์
๊ตฌ ๊ฐ๊น์ด ์ชฝ์ผ๋ก WUA๊ฐ ํ์ฑ๋จ์ ๋ฐ๋ผ ํ์ ์๋ณด๋ค ์ด๋ฅ๊ฐ ์ด๋๋ก ์ ์ธ๋ ๊ฐ๋ฅ์ฑ์ด ๋๋ค๋
๊ฒ์ ์ ์ ์๋ค. ๋ฌผ๋ก WUA๊ฐ ํฌ๋ค๊ณ ๋ชจ๋ ํผ๋ผ๋ฏธ๊ฐ ์ด๋๋ก ๊ฐ์ง ์๋๋ค. ๋ค๋ง ์์ํ๊ฒฝ๊ณผ ํ๋ํ๊ธฐ์ ์ ํฉํ ํ๊ฒฝ์ ๋ํ๋ด๋ ํ๋์ ์งํ๊ฐ WUA์ด๋ฏ๋ก,
์ด๊ฒ์ด ํ๋๋๋ฉด ๋ค์์ ์ด๋ฅ๊ฐ ์ด๋ ์
๊ตฌ์ชฝ์ผ๋ก ๋ชฐ๋ฆด ๊ฐ๋ฅ์ฑ์ด ๋์์ง๊ณ , ์ด๋ค์ด ์ธ๊ณตํ๋์ ์ด๋๋ก ์ ์
๋ ํ๋ฅ ๋ํ ๋์์ง ๊ฒ์ด๋ผ ์ถ๋ก ํ ์ ์๋ค.
Fig. 15.
Distribution of WUA for main channel.
Table 8์ ๋๋๊ฐ์ ์ฐ์ ์ข
์ธ ํผ๋ผ๋ฏธ์ ์ ์ง์๋์ ๋์ง ์๋๋ฅผ ๋์์ผ๋ก ๋ฌ์ฑ๋ณด ํ๋ฅ๋จ์ ์ข์ ์ ์๊ณผ ๋น๊ตํ ๊ฒ์ด๋ค. ํผ๋ผ๋ฏธ์ ๋์ง์๋๋ ์ต์ 0.49 m/s์์
์ต๋ 0.73 m/s์ด๋ฉฐ ์ ์ง์๋๋ ์ต์ 0.24 m/s์์ ์ต๋ 0.43 m/s์ด๋ค(Park et al., 2006). ๋ณธ๋ฅ์ ์ข์์ ํ๊ท ์ ์๊ณผ ํผ๋ผ๋ฏธ์ ์ ์ง์๋์ ๋์ง์๋๋ฅผ ๋น๊ตํ ๊ฒฐ๊ณผ ์ ์ธ์๋ก๋ฅผ ๊ฐ๋ฐฉํ์ ๋์ ํ์ํ์ ๋ ๋ชจ๋ ์ข์์์์ ์ ์์ ์ ์ง์๋์ ๋์ง์๋๋ณด๋ค
๋ฎ์์ ์ ์ ์์์ผ๋ฉฐ, ํผ๋ผ๋ฏธ๊ฐ ์ด๋ํ๊ธฐ์๋ ๋ฌธ์ ๊ฐ ์์ ๊ฒ์ผ๋ก ์ฌ๋ฃ๋๋ค.
Table 8.
Comparison of Swim speed and Velocity of By-pass Fishway
4. Conclusion
๋ณธ ์ฐ๊ตฌ์์๋ โ4๋๊ฐ ์ด๋ฆฌ๊ธฐ ์ฌ์
โ์ผ๋ก ์ค์น๋ ๋ค๊ธฐ๋ฅ๋ณด ์ค์์ ๋ฌ์ฑ๋ณด๋ฅผ ๋์์ผ๋ก 2์ฐจ์ ๋ฌผ๋ฆฌ์์์ฒ ๋ชจ์ ๋ชจํ์ธ River2D๋ฅผ ์ด์ฉํ์ฌ ์ ์ธ์๋ก์
๊ฐํ์ ๋ฐ๋ผ ์ธ๊ณตํ๋์ ์ด๋๋ก์ ์๋ฆฌํ์ ์ํฅ์ ๋ถ์ํ์๋ค. ๊ทธ ๊ฒฐ๊ณผ ๋ค์๊ณผ ๊ฐ์ ๊ฒฐ๋ก ์ ์ป์๋ค.
1) ๋ชจ์ ๊ตฌ๊ฐ์ ์๋ฅ๋จ๊ณผ ํ๋ฅ๋จ์ ๊ฒฝ๊ณ์กฐ๊ฑด ๋ถ์ฌ๋ฅผ ์ํ์ฌ ์ ํฉ๋ถ์์ ์ค์ํ์๋ค. ์ ํฉ๋ถ์์ ์ค์ํ ์์ํ๋ ๊ณ ๋ น๊ต์์ํ์ด๋ฉฐ, ์ค์ธก ์์ ์๋ฃ์ ์์-์ ๋๊ด๊ณ๊ณก์ ์์
์ด์ฉํ์ฌ ์ฐ์ ํ๊ณ ๋ถ์ํ์๋ค. ๋ถ์๊ฒฐ๊ณผ, ํ์๊ธฐ, ํ์๊ธฐ, ์ ์๊ธฐ, ๊ฐ์๊ธฐ๋ ๊ฐ๊ฐ 156.84 m3/s, 79.02 m3/s, 33.22 m3/s, 30.36 m3/s ๋ํ๋ฌ๋ค. ์ ํฉ๋ถ์์ ํตํด ์ ์๊ธฐ ์ ๋์ ์ฐ์ ํ์ฌ ๋ฌ์ฑ๋ณด์์ 3.43 km ๋จ์ด์ง ๊ณ ๋ น๊ต ์์ํ๋ฅผ ์๋ฅ๊ฒฝ๊ณ์กฐ๊ฑด์ผ๋ก 4.13 km ๋จ์ด์ง ํํ์์ํ๋ฅผ
ํ๋ฅ ๊ฒฝ๊ณ์กฐ๊ฑด์ผ๋ก ์ค์ ํ์๋ค
2) 2์ฐจ์ ๋ชจํ์ ๊ฒ๋ณด์ ์ ์ํด ๋ฌ์ฑ๋ณด์ ์๏ฝฅํ๋ฅ ์ค์ธก ์์๋ฅผ ํ์ฉํ์์ผ๋ฉฐ 2012๋
6์ 17์ผ๋ถํฐ 13์ผ๊ฐ์ ๋ณด์ ๊ธฐ๊ฐ์ผ๋ก 2012๋
7์ 1์ผ๋ถํฐ
15์ผ๊ฐ์ ๊ฒ์ฆ๊ธฐ๊ฐ์ผ๋ก ์ ์ ํ์ฌ ์ค์ํ์๋ค. ์ค์ธก๊ฐ๊ณผ ๋ชจ์๊ฐ๊ณผ ๋น๊ตํ ๊ฒฐ๊ณผ, ๋ณด์ ์ R2๋ 0.905, AME๋ 0.080, RMSE๋ 0.097์ด๊ณ , ๊ฒ์ฆ์ R2๋ 0.946, AME๋ 0.099, RMSE๋ 0.011์ผ๋ก ๋์ ์๊ด๊ด๊ณ๋ฅผ ๋ณด์๋ค.
3) ์ข์์ ์์นํ ์ธ๊ณตํ๋์ ์ด๋๋ก์ ์ ์ธ์ ์ํ ์๋ฆฌํ์ ๋ถ์์ ์ํด 2์ฐจ์ ๋ชจํ์ ์ ์ฉํ ๊ฒฐ๊ณผ ๋ฌ์ฑ๋ณด ํ๋ฅ ์ง์ ๋ณ ํ๊ท ์ ์์ ์ ์ธ์๋ก ๊ฐ๋ฐฉ ์
๊ฐ๊ฐ 0.04 m/s, 0.03 m/s, 0.03 m/s๋ก ๋ํ๋ฌ๊ณ , ํ์ํ์์ ๋ ์์น๋ณ ํ๊ท ์ ์์ ๊ฐ๊ฐ 0.03 m/s, 0.03 m/s, 0.03
m/s๋ก ์ ์ธ์๋ก๋ฅผ ๊ฐ๋ฐฉํ์์ ๋์ ์ ์์ด ๋ค์ ๋๊ฒ ๋ํ๋ฌ์ง๋ง, ํฐ ์ฐจ์ด๋ ๋ณด์ด์ง ์์๋ค.
4) ์ธ๊ณตํ๋์ ์ด๋์ ์ ์ธ ์ ํฉ๋ ๋ถ์์์๋ ๋๋๊ฐ์ ๋ถํฌํ๋ ์ด์ข
์ค ์ฐ์ ์ข
์ธ ํผ๋ผ๋ฏธ๋ฅผ ์ ์ ํ์๋ค. ๋์์ด์ข
์ธ ํผ๋ผ๋ฏธ์ ์ฐ๋๊ธฐ์ธ ์ ์๊ธฐ ๋์ ์ ํฉ๋
๊ณก์ ๊ณผ ์ ์์๋์ ์ ์ธ์๋ก์ ๊ฐ๏ฝฅํ์ ๋ฐ๋ผ ์ธ๊ณตํ๋์ ์ด๋๊ฐ ์์นํ ๋ณธ๋ฅ์ ์ข์์ ์ ์์ ๋น๊ตํ ๊ฒฐ๊ณผ, ์ ์ธ์๋ก๋ฅผ ๊ฐ๋ฐฉํ์ ๋์ ํ์ํ์ ๋ ๋ชจ๋
์ข์์์์ ์ ์์ ์ ์ง์๋์ ๋์ง์๋๋ณด๋ค ๋ฎ์์ ์ ์ ์์์ผ๋ฉฐ, ํผ๋ผ๋ฏธ๊ฐ ์ด๋ํ๊ธฐ์๋ ๋ฌธ์ ๊ฐ ์์ ๊ฒ์ผ๋ก ํ๋จ๋๋ค.
ํฅํ โ4๋๊ฐ ์ด๋ฆฌ๊ธฐ ์ฌ์
โ์ผ๋ก ์ค์น๋ ๋ค๊ธฐ๋ฅ๋ณด์ ์ค์น๋ ๋ค์ํ ์ด๋์ ๋ํ์ฌ ์ฌ๋ฌ ๊ฐ์ง ์กฐ๊ฑด์ ์ ์ธํจ์จ์ ๊ดํ ์ฐ๊ตฌ๊ฐ ํ์ํ๋ฉฐ, ํ์ฅ ์ ์ ๋ฐ ์งํ
์ธก์ ๊ณผ ์ด๋ฅ์ ๋ํ ๋ชจ๋ํฐ๋ง ๋ฑ์ ์๋ฃ ๊ตฌ์ถ์ด ํ์ํ๋ค๊ณ ํ๋จ๋๋ค.
Acknowledgements
๋ณธ ์ฐ๊ตฌ๋ ๊ตญํ ๊ตํต๋ถ ๋ฌผ๊ด๋ฆฌ์ฐ๊ตฌ์ฌ์
์ ์ฐ๊ตฌ๋น ์ง์(11-๊ธฐ์ ํ์ -C06)์ ์ํด ์ํ๋์์ผ๋ฉฐ, ์ด์ ๊ฐ์ ์ง์์ ๊ฐ์ฌ๋๋ฆฝ๋๋ค.
References
Baek K. O., 2012, Best Position of Fishway Based on Hydraulic Analysis, Magazine of
Korea Water Resources Association, Baek, K. O. (2012). Best Position of Fishway Based
on Hydraulic Analysis, Magazine of Korea Water Resources Association, 45(2), pp. 42-47.,
Vol. 45, No. 2, pp. 42-47

Baek K. O., Park J. H., Kim Y. D., 2013, Assessment of Influx Efficiency at By-Pass
Fishway Using Two-Dimensional Physical Habitat Simulation Model -Focused on Zacco
Platypus-, Journal of Korea Water Resources Association, Baek, K. O., Park, J. H.,
and Kim, Y. D. (2013). Assessment of Attraction Efficiency at By-pass Fishway Using
Two-dimensional Physical Habitat Simulation Model; Focused on Zacco Platypus, Journal
of Korea Water Resources Association, 46(6), pp. 629-642., Vol. 46, No. 6, pp. 629-642

Bunt C. M., 2001, Fishway Entrance Modifications Enhance Fish Attraction, Fisheries
Management and Ecology, Bunt, C. M. (2001). Fishway Entrance Modifications Enhance
Fish Attraction, Fisheries Management and Ecology, 8, pp. 95-105., Vol. 8, pp. 95-105

Cho J. H., Reu D. S., 1998, Ultrastructural Study on the Spermatogenesis of Pale Chub
(Zacco platypus), Journal of Korean Society of Microscopy, Cho, J. H. and Reu, D.
S. (1998). Ultrastructural Study on The Spermatogenesis of Pale Chub(Zacco platypus),
Journal of Korean Society of Microscopy, 28(2), pp. 181-191., Vol. 28, No. 2, pp.
181-191

Choi J. W., Lee E. H., Lee J. H., An K. G., 2007, Biological Water Quality Assessments
Using Fish Assemblage in Nakdong River Watershed, Journal of Korean Society of Limnology,
Choi, J. W., Lee, E. H., Lee, J. H., and An, K. G. (2007). Biological Water Quality
Assessments Using Fish Assemblage in Nakdong River Watershed, Journal of Korean Society
of Limnology, 40(2), pp. 254-263., Vol. 40, No. 2, pp. 254-263

Gore J. A., Petts G. E., 1989, Alternatives in Regulated River Management, Gore, J.
A. and Petts, G. E. (1989). Alternatives in Regulated River Management, CRC Press,
Inc., Baca Raton, Florida.

Jo E. H., Yeo D. Y., Kim G. H., Kim H. J., 2011, Prediction of Water Quality Variation
According to Weir Construction Using EFDC Model ; Focused on Dalsung Weir, Jo, E.
H., Yeo, D. Y., Kim, G. H., and Kim, H. J. (2011). Prediction of Water Quality Variation
According to Weir Construction Using EFDC Model ; Focused on Dalsung Weir, Proceedings
of Korea Water Resources Association, Korea Water Resources Association, pp. 186-190.,
pp. 186-190

Kang J. H., Lee E. T., Lee J. H., Lee D. H., 2004, Estimation of River Instream Flow
Considering Fish Habitat Conditions, Journal of Korea Water Resources Association,
Kang, J. H., Lee, E. T., Lee, J. H., and Lee, D. H. (2004) Estimation of River Instream
Flow Considering Habitat Conditions, Journal of Korea Water Resources Association,
37(11), pp. 915-927., Vol. 37, No. 11, pp. 915-927

Kim J. H., 2008, Suitability Verification of By-fishway Hydraulic Experiments, Kim,
J. H. (2008a). Suitability Verification of By-fishway Hydraulic Experiments, Proceedings
of Korea Water Resources Association Conference, Korea Water Resources Association,
pp. 439-443., pp. 439-443

Kim J. H., 2008, Fishway Design Considering Fish Passage Efficiency, Kim, J. H. (2008b).
Fishway Design Considering Fish Passage Efficiency, Proceedings of Korea Water Resources
Association Conference, Korea Water Resources Association, pp. 2000-2004., pp. 2000-2004

Kim K. H., 2000, Evaluation of Habitat Conditions and Estimation of Optimum Flow for
The Freshwater Fish, Ph. D. dissertation, Kim, K. H. (2000). Evaluation of Habitat
Conditions and Estimation of Optimum Flow for The Freshwater Fish, Ph. D. dissertation,
University of Yonsei, pp. 4-6, 25-35, 77-83., pp. 4-6, 25-35, 77-83

Kim K. H., Kim S. M., Lee S. H., Woo H., 1996, Development of A Method for Determining
The Instream Flow and Its Application: II. Application and result, Journal of Korea
Water Resources Association, Kim, K. H., Kim, S. M., Lee, S. H., and Woo, H. (1996a).
Development of A Method for Determining The Instream Flow and Its Application: II.
Application and result, Journal of Korea Water Resources Association, 29(5), pp. 1161-176.,
Vol. 29, No. 5, pp. 1161-1176

Kim K. H., Lee J. W., Hong I. P., Woo H., 1996, Development of A Method for Determining
The Instream Flow and Its Application: I. Estimation method, Journal of Korea Water
Resources Association, Kim, K. H., Lee, J. W., Hong, I. P., and Woo, H. (1996b). Development
of A Method for Determining The Instream Flow and Its Application: I. Estimation method,
Journal of Korea Water Resources Association, 29(5), pp. 185-202., Vol. 29, No. 5,
pp. 185-202

1995, Development and Application of Maintenance Flow Discharge Determination Method,
K-water investigation plan place IDP-95-2 Research Report, K-water. (1995). Development
and Application of Maintenance Flow Discharge Determination Method, K-water investigation
plan place IDP-95-2 Research Report, pp. 127-434., pp. 127-434

2004, Nakdong River Basin Investigation, Technical Report, K-water. (2004). Nakdong
River Basin Investigation, Technical Report, Ministry of Land, Transport and Maritime
Affairs (MLTM).

Lacey R. W., 2004, Reach Scale Hydraulic Assessment of Instream Salmonid Habtat Restoration,
Journal of the American Water Resources Association, Lacey, R. W. (2004). Reach Scale
Hydraulic Assessment of Instream Salmonid Habtat Restoration. Journal of the American
Water Resources Association, 40(6), pp. 1631-1644., Vol. 40, No. 6, pp. 1631-1644

Lee J. H., Jeong S. M., Lee M. H., Lee Y. S., 2006, Estimation of Instream Flow for
Fish Habitat using Instream Flow Incremental Methodology(IFIM) for Major Tributaries
in Han River Basin, Journal of The Korean Society of Civil Engineers, Lee, J. H.,
Jeong, S. M., Lee, M. H., and Lee, Y. S. (2006). Estimation of Instream Flow for Fish
Habitat Using Instream Flow Incremental Methodology (IFIM) for major tributaries in
Han River Basin, Journal of Korean Society Civil Engineering, 26(2B), pp. 153-160.,
Vol. 26, No. 2B, pp. 153-160

Lee S. H., Oh K. R., Cheong T. S., Jeong S. M., 2012, An Assessment of Fish Habitat
of Natural Fishway by Hydraulic Model Experiments and Numerical Analysis, Journal
of Korea Water Resources Association, Lee, S. H., Oh, K. R., Cheong, T. S., and Jeong,
S. M. (2012). An Assessment of Fish Habitat of Natural Fishway by Hydraulic Model
Experiments and Numerical Analysis, Journal of Korea Water Resources Association,
45(3), pp. 317-329., Vol. 45, No. 3, pp. 317-329

Loar J. M., Sale M. J., 1981, Alternatives of Environmental Issues Related to Small-Scale
Hydroelectric Development: V. Instream Flow Needs for Fishery Resources, Loar, J.
M. and Sale, M. J. (1981). Alternatives of Environmental Issues Related to Small-Scale
Hydroelectric Development: V. Instream Flow Needs for Fishery Resources, ORNL/TM-7861,
Oak Ridge National Laboratory for the U. S. Department of Energy, Oak Ridge, Tennessee.
pp. 123., pp. 123

2005, Design Criteria and Commentary of River, Ministry of Land, Transport and Maritime
Affairs, Report, Ministry of Land, Transport and Maritime Affairs (MLTM). (2005).
Design Criteria and Commentary of River, Ministry of Land, Transport and Maritime
Affairs, Report, pp. 433-434., pp. 433-434

2009, Four River Restoration Master Plan, Ministry of Land, Transport and Maritime
Affairs (MLTM). (2009a). Four River Restoration Master Plan, Ministry of Land, Transport
and Maritime Affairs, pp. 203, 284, 308, 328, 348., pp. 203, 284, 308, 328, 348

2009, Nakdong River Basin Master Plan (change), Ministry of Land, Transport and Maritime
Affairs, Technical Report, Ministry of Land, Transport and Maritime Affairs (MLTM).
(2009b). Nakdong River Basin Master Plan (change), Ministry of Land, Transport and
Maritime Affairs, Technical Report, pp. 497-498., pp. 497-498

2010, Annual Hydrological Repory on Korea, Ministry of Land, Transport and Maritime
Affairs, Report, Ministry of Land, Transport and Maritime Affairs (MLTM). (2010).
Annual Hydrological Repory on Korea, Ministry of Land, Transport and Maritime Affairs,
Report.

Oh K. R., Jeong S. M., Lee J. H., Choi G. W., Kim D. H., 2008, Estimation of Optimum
Flow Needed for Fish Habitat by Application of One and Two Dimensional Physical Habitat
Simulation Model: Focuse on Zacco Platypus, Journal of Korean Society of Hazard Mitigation,
Oh, K. R., Jeong, S. M., Lee, J. H., Choi, G. W., and Kim, D. H. (2008) Estimation
of Optimum Flow Needed for Fish Habitat by Application of One and Two Dimensional
Physical Habitat Simulation Model: Focuse on Zacco Platypus, Journal of Korean Society
of Hazard Mitigation, 8(1), pp. 117-123., Vol. 8, No. 1, pp. 117-123

Park S. D., 2001, Assessment of Ascending Capacity of Migratory Fish in Fishways by
Eco-hydraulic Experiments (I): Baffled Fishway, Journal of Korea Water Resources Association,
Park, S. D. (2001a). Assessment of Ascending Capacity of Migratory Fish in Fishways
by Eco-hydraulic Experiments (I): Baffled Fishway, Journal of Korea Water Resources
Association, 34(4), pp. 365-379., Vol. 34, No. 4, pp. 365-379

Park S. D., 2001, Assessment of Ascending Capacity of Migratory Fish in Fishways by
Eco-hydraulic Experiments (II): Pool and Weir Type Fishway, Journal of Korea Water
Resources Association, Park, S. D. (2001b). Assessment of Ascending Capacity of Migratory
Fish in Fishways by Eco-hydraulic Experiments (II): Pool and Weir Type Fishway, Journal
of Korea Water Resources Association, 34(4), pp. 381-390., Vol. 34, No. 4, pp. 381-390

Park S. Y., Yoon B. M., Lee S. H., Kim S. J., 2006, A Study on The Characteristics
of Local Migrating Fish (Zacco platypus) in The Experimental Flume, Park, S. Y., Yoon,
B. M., Lee, S. H., and Kim, S. J. (2006). A Study on The Characteristics of Local
Migrating Fish (Zacco platypus) in The Experimental Flume, Proceedings of Korean Society
Civil Engineering Conference, Korean Society Civil Engineering, pp. 536-539., pp.
536-539

Woo H., Lee J. W., Kim K. H., 1998, Development of A Method for Determination of Instream
Flow Needs Required for Fish Habitat Conservation, Journal of Korean Society Civil
Engineering, Woo, H., Lee, J. W., and Kim, K. H. (1998). Development of A Method for
Determination of Instream Flow Needs Required for Fish Habitat Conservation, Journal
of Korean Society Civil Engineering, 18(II-4), pp. 339-350., Vol. 18, No. II-4, pp.
339-339

Wu R. S., Mao C. T., 2007, The Assessment of River Ecology and Habitat Model, Journal
of Marine Science and Technology, Wu, R. S. and Mao, C. T. (2007). The Assessment
of River Ecology and Habitat Model, Journal of Marine Science and Technology, 15(4),
pp. 322-330., Vol. 15, No. 4, pp. 322-330
