The Journal of
the Korean Society on Water Environment

The Journal of
the Korean Society on Water Environment

Bimonthly
  • ISSN : 2289-0971 (Print)
  • ISSN : 2289-098X (Online)
  • KCI Accredited Journal

Editorial Office





Maintenance discharge, Physical habitat model, Sinuosity, Stream restoration

1. Introduction

흔히 말하는 하천의 3대 기능인 치수, 이수, 환경적 기능 중 국민의 삶의 질 향상과 의식의 변화에 따라 하천의 생태적, 경관적, 친수의 역할을 담당하는 환경적 기능의 중요성이 증대되고 있다(Kang et al., 2011). 이에 부응하여 중앙정부와 지자체는 도심 하천을 대상으로 생태하천 복원사업을 활발히 진행하고 있다. 이때 생태하천 복원사업의 목표 지표 중 하나로 깃대종을 선정한다. 대개 깃대종으로 어류를 선정하고 있으며 선정된 어류의 복원을 위해 하천의 물리적 구조를 변경한다. 어류 서식처와 관련된 하천의 물리적 구조는 주로 저수로 구조 변경에 국한될 수 있으며, 특히 평면구조는 저수로의 사행을, 종단구조는 소・여울 구조를 변형함으로써 어류 서식처를 개선할 수 있다. 환경부가 발간한 생태하천 복원 기술지침서(MOE, 2011)를 보면 ‘자연형 여울과 소의 설계는 자연하천의 여울과 소의 구조를 모방하는 것이다’라는 기본전제하에 Fig. 1과 같이 대략적인 저수로의 평면 및 종단구조 설계지침을 제시하고 있다. 즉 여울의 간격은 일반적으로 저수로 폭의 4~6배 정도가 적합하며 여울은 통상 자연하상 경사보다 30~50 cm 위에 위치한다. 또한 저수로 사행파장은 저수로 폭의 8~12배로 한다. 물론 이러한 기준을 일률적으로 적용할 수 없기에 ‘현장여건에 따라 조정될 수 있다’라는 단서를 지침서에서는 빼놓지 않고 있다. 문제는 지침서에서도 지적했듯이 ‘현장여건’을 감안하는 것이 가장 중요한 점이기 때문에 생태하천복원사업 실시 설계시 대강의 범위 대신에 정확한 수치를 제시할 수 있는, 즉 해당하천의 저수로 구조를 보다 구체적으로 설계할 방법론이 필요해 보인다.

Fig. 1.

Design of Pool and Riffle (MOE, 2011).

../../Resources/kswe/31-1/images/SJBJB8_2015_v31n1_35_f001.jpg

본 연구에서는 저수로의 물리구조 변경에 있어서 어류 물리서식처 모형이 하나의 평가, 또는 설계 도구(tool)로서 기능할 수 있을지 여부를 살펴보았다. 이를 위해 2차원 어류 물리서식처 모형인 River2D를 분석도구로 사용하였으며, 생태하천복원사업 실시설계가 2012년에 완료된 안양천 (Gunpo-si, 2012) 지방하천 구간 중 구군포교 상류에서 당정천 합류 직전까지를 대상하천으로 삼아 저수로 변형이나 유량 변동에 따른 어류 서식처의 적합도를 평가해 보았다.

본 연구에서 사용된 2차원 물리서식처 모형인 River2D는 최근 들어 어류 서식처 평가를 위해 빈번히 사용되고 있다. Oh et al. (2008)은 피라미를 대상으로 서식하기에 최적인 유량을 산정하기 위해 1차원 서식처 모형인 PHABSIM과 함께 River2D를 이용한 바 있다. Kang et al. (2010)은 달천의 괴산댐 하류 구간에서 댐 발전방류로 인한 피라미의 서식처 변화를 River2D를 통해 분석한 바 있다. 그들은 댐 하류 하천의 생물서식 환경을 향상시킬 수 있는 방류조건이 필요함을 강조하였다. Oh et al. (2010)은 금강의 지류에서 보(weir)를 설치하거나 하상에 인공 소(pool)를 조성하였을 경우 피라미의 서식환경의 변화를 River2D를 통해 살펴보았다. 그들은 이 경우에 보는 서식처 확대를, 인공 소는 서식처 감소를 가져온다고 결론 내렸다. Roh et al. (2011)은 섬진강 본류에 River2D를 적용하여 생태학적 하천유지유량을 산정한 바 있다. Lee et al. (2014)은 홍수로 인한 하도변형이 생겼을 경우 피라미의 물리서식처의 변화양상을 연구하였는데, 이동상 모의를 위해 River2D 대신에 CCHE2D를이용하여 수리분석을 수행하였다.

이외에 River2D는 자연하도에서의 물리서식처 연구뿐만 아니라 인공구조물의 하나인 어도 효율을 분석하는 데에도 이용되고 있다. Lee et al. (2012)은 금강 백제보에 설치된 자연형 어도(by-pass fishway)내의 서식 환경을 수리모형실험 및 River2D를 통해 평가하였다. 그 결과 River2D로 계산된 수심값이 수리모형 실험치에 근접하게 모의됨을 보였고, 대상어종이 피라미인 경우 어도 폭을 늘이는 것이 산란기에 유리하다고 주장하였다. Baek et al. (2013)은 낙동강 강정고령보에 설치된 자연형 어도의 입・출입구 주변부의 수리 특성을 River2D로 모의하여 피라미가 어도로 잘 유입되는지 여부를 분석하였다. 그 결과 어도의 유인이나 유입효율 분석에 물리서식처 모형이 유용하게 사용될 수 있음을 보였다. 이처럼 River2D는 유량이나 하도 변형에 따른 서식처 변동 분석에 유용하게 사용되었고, 대상 하천도 4대강과 같은 대규모 하천에서 자연형 어도와 같은 소규모 인공수로까지 광범위하게 적용되고 있다.

2. Materials and Methods

2.1. 물리서식처 모형

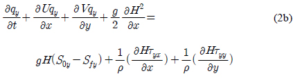
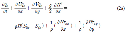
River2D는 유한요소모형을 사용한 2차원 물리서식처 모형으로 수리학적 분석에는 식 (1)의 수심 평균된 연속방정식과 식 (2)와 같이 x, y 방향의 운동량방정식을 지배방정식으로 사용한다(Steffler and Blackburn, 2002).

../../Resources/kswe/31-1/images/SJBJB8_2015_v31n1_35_e901.jpg

../../Resources/kswe/31-1/images/SJBJB8_2015_v31n1_35_e902.jpg

../../Resources/kswe/31-1/images/SJBJB8_2015_v31n1_35_e903.jpg

여기서 H는 수심, UV는 각각 xy 방향의 수심평균 유속, qxqy는 상대유량으로 다음과 같이 표현된다.

../../Resources/kswe/31-1/images/SJBJB8_2015_v31n1_35_e904.jpg

../../Resources/kswe/31-1/images/SJBJB8_2015_v31n1_35_e905.jpg

또한 g는 중력가속도, ρ는 물의 밀도, S0xS0yxy방향의 하상경사, SfxSfy는 각각 xy 방향의 마찰경사이다. 그리고 τxx, τxy, τyx, τyy는 각각 법선(normal) 및 전단(shear)응력을 나타낸다. x 방향의 마찰경사는 다음 식과 같이 수심 평균된 유속의 함수로 가정한다.

../../Resources/kswe/31-1/images/SJBJB8_2015_v31n1_35_e906.jpg

여기서, τbx는 x방향으로의 바닥 전단응력이고 Cs는 Chezy 계수이다. Chezy 계수는 정상등류상태에서 식 (5)과 같이 조고(roughness height) ks Manning계수(n)의 함수로 치환하여 표현할 수 있다(Henderson, 1966).

../../Resources/kswe/31-1/images/SJBJB8_2015_v31n1_35_e907.jpg

이처럼 Manning의 조도계수, 또는 조고가 본 모형의 매개변수 중 하나이다. x축 평면에 작용하는 난류전단응력은 다음과 같이 표현된다.

../../Resources/kswe/31-1/images/SJBJB8_2015_v31n1_35_e908.jpg

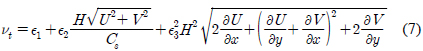
여기서 vt는 와점성계수로서 본 모형의 또 다른 매개변수 중 하나로서 다음과 같은 세 항으로 구성된다.

../../Resources/kswe/31-1/images/SJBJB8_2015_v31n1_35_e909.jpg

여기서 ε1, ε2, ε3는 사용자가 흐름 상황에 적합하게 결정하는 계수이다. 이상과 같은 River2D의 수리동역학적 모형은 자연하천에서 부정류와 부등류 모의에 적용할 수 있으며, 상류 및 사류 등의 흐름도 모의 가능하다.

River2D 모형을 구성하고 있는 모듈을 크게 나누어 보면 River2D_Bed, River2D_Mesh, River2D_Habitat 등이다. 대상하천의 지형자료를 입력하여 bed파일을 만든 후 이를 바탕으로 mesh를 구성하여 유속과 수심과 같은 수리량을 계산한다. 계산된 수리량을 바탕으로 어류 서식 적합도를 평가할 수 있다(Oh et al., 2008). River2D 모형을 통해 계산되는 어류의 서식처 적합도는 물리서식처 모의 시스템에서 사용되는 가중가용면적(Weighted Usable Area: WUA)에 근거하여 산출된다. WUA는 대상어종의 특정 성장단계별, 서식처특성별로 주어진 구간을 이용할 수 있는 순수적합도(net suitability)에 대한 하나의 지표이다. 즉 WUA가 크다는 것은 그만큼 대상어종의 서식처 및 활동 영역이 크다는 것을 의미한다. WUA는 각 절점에서 평가되어지는 복합서식처 적합도 지수(Ci)에 의해 계산되어진다. 복합서식처 적합도 지수(Ci)는 유속・수심・하상지수에 대한 서식처 적합도 기준을 조합하여 산정한다. 산정방법에는 곱셈방법, 기하평균 방법, 최소치 방법 등이 있으며, 그 중 곱셈방법은 최적 상태인 지수 1.0의 경우에만 존재하다는 것을 의미한다(Baek et al., 2013). 본 연구에서는 곱셈방법을 적용하여 복합 서식처 적합도 지수를 산정하였고, 그 과정을 Fig. 2에 개념적으로 도시하였다. 최종적으로 River2D 모형은 입력된 복합서식처 적합도 지수(Ci )에 맞춰 WUA를 각 셀에 대해 계산하는데, 여기서 WUA는 셀 면적(Ai)에 복합서식처 적합도 지수(Ci)를 곱하여 다음과 같이 계산된다(Fig. 2 참조).

Fig. 2.

Habitat Suitability Criteria Attributes for a Habitat Cell.

../../Resources/kswe/31-1/images/SJBJB8_2015_v31n1_35_f002.jpg

../../Resources/kswe/31-1/images/SJBJB8_2015_v31n1_35_e910.jpg

여기서 Aii셀의 면적이다.

2.2. 모형의 적용

Gunpo-si (2012)는 안양천 지방하천 구간에 생태하천복원사업을 위한 기본 및 실시 설계를 수행한 바 있다. 이 보고서에 따르면 시가화 및 비점오염원으로 인하여 오염된 안양천의 수질 정화기능, 자정능력을 향상하여 하천이 생태계로서의 기능과 건강성을 회복하고 생태하천복원을 통하여 주민에게 여가활동 휴식공간, 친환경적인 하천경관 제공을 통한 도시 생태환경의 질 향상이 사업의 목표이다. 생태하천복원 사업의 공간적 범위는 안양천 지방하천 약 2.45 km 구간이었다. 반면에 본 연구에서는 2차원 물리서식처 모형인 River2D를 Fig. 3에서 보듯이 구군포교 상류에서 당정천 합류 직전까지의 약 800 m 구간에만 적용해 보았다. 그 이유는 관심 구간 내에 유량이 일정하다는 가정하에 저수로의 선형을 변형하였을 경우, 어류 물리서식처의 증감유무를 확인해 봐야 하기 때문이다. 해당 구간은 Fig. 4의 사진에 표시하였듯이 구군포교 상류지점에서 유지유량 확보를 위해 하류로부터 압송된 하수처리수를 약 15,500 m3/day의 유량으로 방류하고 있다(Gyeonggi-do, 2006). 급격한 유량 증가 요인이 있으므로 이 지점을 상류 경계조건으로 지정하였다. 하류 경계조건은 다른 지천의 유입이 없어야 하므로, 당정천이 유입되기 직전의 지점을 삼았다.

Fig. 3.

Reach of Stream Restoration in Anyang-Cheon.

../../Resources/kswe/31-1/images/SJBJB8_2015_v31n1_35_f003.jpg
Fig. 4.

Discharge of Maintenance Flow.

../../Resources/kswe/31-1/images/SJBJB8_2015_v31n1_35_f004.jpg

Gunpo-si (2012)는 해당 구간에 생태하천복원사업 계획수립시 깃대종으로 몰개와 긴몰개를 선정하였다. 그 이유는 현지 조사시 사업구간에서는 관찰되지 않았으나, 안양천 전체구간에는 일부 분포하는 것으로 보고되고 있고, 전 세계에서 대한민국에만 분포하는 고유종이라는 특성을 가지기 때문이다. 그러나 본 연구에서는 관찰되지 않는 종을 연구대상으로 삼기보다는 다수 서식하는 어종의 특성을 분석하는 것이 타당할 것이라는 판단하에 본 구간의 우점종인 피라미를 대상으로 저수로 변형과 유량 변동에 따른 서식처 변동양상을 살펴보았다.

본 연구에서 River2D로 모의를 수행할 영역의 계산격자를 도시하면 Fig. 5와 같다. 모의 구간의 길이는 약 800 m이며, 하천 지형자료는 안양천 생태하천복원사업 기본 및 실시설계 보고서(Gunpo-si, 2012)를 따라 입력하였다. 상류경계는 하류로부터 압송된 하수처리수의 방류지점을, 하류경계는 당정천 합류 직전 지점을 삼았다. 모의 유량조건은 산란을 위해 피라미의 이동이 활발해지는 봄철, 즉 저수기 유량을 할당하는 것이 바람직해 보인다. 그러나 해당 구간이 지방하천 구간이라 연속 수위 내지 유량자료가 전무한 관계로 저수량을 찾아내기 어려웠다. 따라서 본 연구에서는 2014년 4월 9일에 해당 하천의 구군포교 직상류 지점에서 직접 유속 및 유량을 측정하였다. 이를 바탕으로 상류단 유량을 0.22 m3/s로 할당하였다. 하류단 수위는 유량 관측일과 같은 날 시흥 수위관측소의 수위를 기점 수위로 삼아 HEC-RAS 모의로 EL 31.6 m 를 부여하였다.

Fig. 5.

Computational Mesh.

../../Resources/kswe/31-1/images/SJBJB8_2015_v31n1_35_f005.jpg

앞서 기술하였듯이 River2D의 매개변수는 조도계수(또는 조고)와 와점성계수이다. 와점성계수는 물리적 함의를 갖기보다는 수치적 안정성에 관련되므로 default값 사용을 권장하고 있다(Steffler and Blackburn, 2002). 반면 조도계수는 유속의 크기와 분포에 지대한 영향을 미치는 매개변수이므로(Henderson, 1966), 실측 유속이나 수위 값과 비교를 통해 변수 검・보정이 수행되어야 한다. 본 연구에서는 2014년 4월 9일에 구군포교 직상류지점에서 직접 실측한 유속자료를 통해 Manning의 조도계수를 보정하였고, 그 결과를 도시하면 Fig. 6과 같다. 실측 유속과 계산 유속간 오차가 최소가 되도록 Manning의 조도계수를 조정 결과 n=0.028을 얻었다. 보정된(calibration) 조도계수치는 검증(verification) 과정을 거쳐야하나 보정에 쓰인 유속 이외의 실측 자료가 부재하여 이 과정은 수행하지 못하였다.

Fig. 6.

Model Calibration.

../../Resources/kswe/31-1/images/SJBJB8_2015_v31n1_35_f006.jpg

3. Results and Discussion

3.1. 원안의 결과

River2D를 통해 대상 구간을 모의한 결과 중 유속과 수심을 도시하면 Fig. 7과 같다. 저유량를 모의하였으므로 흐름이 저수로에만 집중되고 홍수터로의 흐름은 발생하지 않았다. 하류로부터 압송된 하수처리수가 방류되는 상류단 인근에 비교적 큰 유속이 발생함을 볼 수 있다. Fig. 8(a)는 이상의 계산된 수리량을 바탕으로 가중가용면적(WUA)을 도시한 것으로 이 값이 클수록 피라미의 서식처로서 적합함을 나타낸다. 이 그림을 보면 압송된 하수처리수가 방류되는 상류쪽에 서식하기 좋은 조건이 발생하고 있는 반면에 중・하류쪽으로 갈수록 서식 적합도가 떨어지고 있다. 여기서 피라미의 유속, 수심, 하천지수에 대한 서식적합도 지수는 Oh et al. (2008)Kang (2012) 등의 결과를 참고하여 Fig. 9를 이용하였다.

Fig. 7.

Simulation Results of Velocity and Depth in Original Channel.

../../Resources/kswe/31-1/images/SJBJB8_2015_v31n1_35_f007.jpg
Fig. 8.

Simulation Results of Weighted Usable Area in Original and Alternative Channels.

../../Resources/kswe/31-1/images/SJBJB8_2015_v31n1_35_f008.jpg
Fig. 9.

Habitat Suitability Criteria for Zacco Platypus (Oh et al., 2008; Kang, 2012).

../../Resources/kswe/31-1/images/SJBJB8_2015_v31n1_35_f009.jpg

3.2. 저수로 선형의 변경 결과

다음으로 원안을 기준으로 저수로의 종단 및 평면구조를 변경하였을 경우 피라미의 서식환경이 어떻게 변하는지 살펴보았다. Fig. 5에서 보듯이 대상구간은 단면 No. 18~No. 21 사이에 완만한 만곡부가 형성되어 있는데, 첫 번째로 만곡의 형태를 강화해 보고 두 번째로는 반대로 만곡을 줄이면서 저수로를 직선화해 보았다.

3.2.1. 만곡의 강화

현재의 저수로 형상에서 만곡의 형태를 더 강화하기 위해 Fig. 10과 같이 단면 No. 18, 19, 20, 21의 제방 및 최심고는 그대로 두고, 저수로만 좌안측으로 최대한 평행 이동하여 보았다. 만곡을 강화하는 방향으로 수정된 단면을 통해 새롭게 계산된 가중가용면적을 도시하면 Fig. 8(b)와 같다. 이 그림에서 보듯이 예상대로 변형된 지형자료를 따라 흐름의 평면형상이 만곡의 외측으로 치우쳐져 나타나고 있다. 중요한 것은 가용가중면적이 원안(Fig. 8(a))에 비해 증가하는 경향을 보였다. 특히 저수로 지형을 변화시킨 만곡부는 큰 변화가 없어 보이지만, 의외로 하류부에서 원안에 비해 높은 수치의 WUA가 넓게 분포하고 있다. 결과적으로 해당 구간에서는 저수로의 만곡도를 크게 해 줌으로 피라미의 서식처가 확대될 수 있음을 확인할 수 있었다.

Fig. 10.

Channel Modification.

../../Resources/kswe/31-1/images/SJBJB8_2015_v31n1_35_f010.jpg

3.2.2. 만곡의 약화

이번에는 반대로 현재의 저수로 형상에서 만곡의 형태를 더 약화시키기 위해 Fig. 10과 같이 단면 No. 18~21의 제방 및 최심고는 그대로 두고, 저수로만 우안측으로 평행 이동하여 보았다. 직선을 강화하는 방향으로 수정된 단면을 통해 계산된 가중가용면적을 도시하면 Fig. (8c)와 같다. 이 그림에서 보듯이 변형된 지형자료를 따라 흐름의 평면형상이 만곡의 내측으로 치우쳐져 나타나고 있다. 그리고 가중 가용면적이 원안(Fig. 8(a))에 비해 크게 감소한 결과를 보였다. 특히 저수로 지형을 변화시킨 만곡부뿐만 아니라 하류부에서도 전체적으로 낮은 수치의 WUA를 보였다. 결과적으로 해당 구간에서는 저수로의 만곡도를 강화시키면 피라미의 서식환경이 개선되고, 작게 해주면 서식처가 감소될 수 있음을 확인할 수 있었다.

3.3. 유량 감소 결과

앞서 Fig. 4에서 설명하였듯이 구군포교 직상류 지점에서 유지유량 증가를 위해 하류로부터 압송된 하수처리수가 하루 약 15,500 m3 (=0.18 m3/s)로 방류되고 있다. 만약 하수처리수의 방류가 없고 자연유량만 해당 구간에 흐른다면 피라미 서식에 어떤 영향을 미칠지 분석해 보았다. 이를 위해 하수처리수 방류량을 제외한 0.044 m3/s을 상류단 유량으로 부여한 후 River2D로 가중가용면적을 계산해 보았다. 그 결과를 도시하면 Fig. 11과 같다. 이 그림에서 보듯이 유량이 줄어서 저수로의 수면폭도 원안에 비해 상당히 줄었으며, 가중가용면적도 전체적으로 낮은 수치를 보여주고 있다. 따라서 도심하천에서 유지유량의 증가 없이 적은 양의 자연유량만 존재할 경우 피라미가 서식하기에 적합하지 않는 조건임을 추론할 수 있다.

Fig. 11.

Simulation Results of Weighted Usable Area without Additional Discharge.

../../Resources/kswe/31-1/images/SJBJB8_2015_v31n1_35_f011.jpg

4. Conclusion

당초에 본 연구를 수행하게 된 문제의식은 ‘깃대종의 복원을 목표로 저수로의 종단 및 평면 구조를 자연하천에 가깝게 설계하고자 할 때, 현재까지 제시된 지침서에는 구체적인 설계기술이 부재하므로 보다 정확한 설계 수치를 제시할 수 있는 기술적 개선방안으로 어떤 것이 있을까?’이었다. 본 연구에서는 그 하나의 가능성으로 2차원 어류 물리서식처 평가 모형인 River2D를 저수로 설계에 적용할 것을 제안하였다. 그 사례로서 안양천 중류지역에 River2D를 적용하여 피라미를 대상으로 저수로의 물리적 구조 변형에 따른 서식처 적합도를 평가해 보았다. 그 결과 저수로의 만곡도를 증가시켜 주는 것이 피라미 서식에 보다 더 효과적임을 확인할 수 있었다. 또한 하천유지유량이 어느 정도 있는 경우가 피라미 서식에 더 효율적이라는 점도 확인할 수 있었다. 본 연구의 결과처럼 저수로의 설계나 유지유량 값의 결정에 있어서 대상하천의 현장 여건을 감안하여 River2D모형을 활용한다면 향후 목표 어종의 복원에 큰 도움을 줄 수 있을 것으로 사료된다.

References

1 
Baek K. O., Park J. H., Kim Y. D., 2013, Assessment of Attraction Efficiency at Bypass Fishway using Two Dimensional Physical Habitat Simulation Model : Focused on Zacco Platypus, Journal of Korea Water Resources Association, Baek, K. O., Park, J. H., and Kim, Y. D. (2013). Assessment of Attraction Efficiency at Bypass Fishway using Two Dimensional Physical Habitat Simulation Model : Focused on Zacco Platypus, Journal of Korea Water Resources Association, 46(6), pp. 629-642. [Korean Literature], Vol. 46, No. 6, pp. 629-642DOI
2 
2012, Master Plan for River Restoration in Anyang-Cheon, Gunpo-si. (2012). Master Plan for River Restoration in Anyang-Cheon, Dongbu Engineering, pp. 8.2-8.29. [Korean Literature], pp. 8.2-8.29Google Search
3 
2006, Master Plan for River Maintenance in Anyang-Cheon Watershed, Gyeonggi-do. (2006). Master Plan for River Maintenance in Anyang-Cheon Watershed, Namwon Engineering, pp. 551-558. [Korean Literature], pp. 551-558Google Search
4 
Henderson F. M., 1966, Open Channel Flow, Henderson, F. M. (1966). Open Channel Flow, MacMillan Pub. Co., NY, pp. 95-98., pp. 95-98Google Search
5 
Kang H., 2012, Comparison of Physical Habitat Suitability Index for Fishes in the Rivers of Han and Geum River Watersheds, Journal of Korean Society of Civil Engineers, Kang, H. (2012). Comparison of Physical Habitat Suitability Index for Fishes in the Rivers of Han and Geum River Watersheds, Journal of Korean Society of Civil Engineers, 32(1B), pp. 71-78. [Korean Literature], Vol. 32, No. 1B, pp. 71-78Google Search
6 
Kang H., Im D., Kim K. H, 2010, Numerical Investigations of Physical Habitat Changes for Fish Induced by Hydropeaking in the Downstream River of Dam, Journal of Korean Society of Civil Engineers, Kang, H., Im, D., and Kim, K. H. (2010). Numerical Investigations of Physical Habitat Changes for Fish Induced by Hydropeaking in the Downstream River of Dam, Journal of Korean Society of Civil Engineers, 30(2B), pp. 211-217. [Korean Literature], Vol. 30, No. 2B, pp. 211-217Google Search
7 
Kang W., Chung E., Lee K. S., 2011, Assessment of Stream Naturalness Considering Physical, Biological, and Chemical Factors, Journal of Korean Society on Water Environment, Kang, W., Chung, E., and Lee, K. S. (2011). Assessment of Stream Naturalness Considering Physical, Biological, and Chemical Factors, Journal of Korean Society on Water Environment, 27(2), pp. 218-227. [Korean Literature], Vol. 27, No. 2, pp. 218-227Google Search
8 
Lee S., Kim S. K., Choi S. U., 2014, Physical Habitat Simulation Considering Stream Morphology Change due to Flood, Journal of Korean Society of Civil Engineers, Lee, S., Kim, S. K., and Choi, S. U. (2014). Physical Habitat Simulation Considering Stream Morphology Change due to Flood, Journal of Korean Society of Civil Engineers, 34(3), pp. 805-812. [Korean Literature], Vol. 34, No. 3, pp. 805-812DOI
9 
Lee S. H., Oh K. R., Cheong T. S., Jeong S. M., 2012, An Assessment of Fish Habitat of Natural Fishway by Hydraulic Model Experiments and Numerical Analysis, Journal of Korea Water Resources Association, Lee, S. H., Oh, K. R., Cheong, T. S., and Jeong, S. M. (2012). An Assessment of Fish Habitat of Natural Fishway by Hydraulic Model Experiments and Numerical Analysis, Journal of Korea Water Resources Association, 45(3), pp. 317-329. [Korean Literature], Vol. 45, No. 3, pp. 317-329DOI
10 
2011, Technical specification (No. 11-1480000-001158-01), Ministry of Environment (MOE). (2011). Technical specification (No. 11-1480000-001158-01), Korea Environment Corporation, pp. 80-91. [Korean Literature], pp. 80-91Google Search
11 
Oh K. R., Jeong S. M., Lee J. H., Choi G. W., Kim D. H., 2008, Estimation of Optimum Flow Needed for Fish Habitat by Application of One and Two Dimensional Physical Habitat Simulation Model: Focuse on Zacco Platypus, Journal of Korean Society of Hazard Mitigation, Oh, K. R., Jeong, S. M., Lee, J. H., Choi, G. W., and Kim, D. H. (2008). Estimation of Optimum Flow Needed for Fish Habitat by Application of One and Two Dimensional Physical Habitat Simulation Model: Focuse on Zacco Platypus, Journal of Korean Society of Hazard Mitigation, 8(1), pp. 117-123. [Korean Literature], Vol. 8, No. 1, pp. 117-123Google Search
12 
Oh K., Lee J., Rubio C. J., Kim L., 2010, Assessment of Aquatic Habitat Effect by Artificial Change of Streambed Topography, Water Science and Technology, Oh, K., Lee, J., Rubio, C. J., Kim, L., and Jeong, S. (2010). Assessment of Aquatic Habitat Effect by Artificial Change of Streambed Topography, Water Science and Technology, 62(12), pp. 2872-2879., Vol. 62, No. 12, pp. 2872-2879DOI
13 
Roh K., Park S., Jin Y., Park M, 2011, Study on Ecological Instream Flow Estimation using River 2D Model in the Seomjin River, Journal of Korean Society on Water Environment, Roh, K., Park, S., Jin, Y., and Park M., (2011). Study on Ecological Instream Flow Estimation using River2D Model in the Seomjin River, Journal of Korean Society on Water Environment, 27(6), pp. 822-229. [Korean Literature], Vol. 27, No. 6, pp. 822-229Google Search
14 
Steffler P., Blackburn J., 2002, Introduction to Depth Averaged Modeling and User’s Manual, Steffler, P. and Blackburn, J. (2002). Introduction to Depth Averaged Modeling and User’s Manual, University of Alberta, Canada, pp. 20-28., pp. 20-28Google Search
15 
2001, PHABSIM for Windows: User’s Manual and Exercises, United Stated Geological Survey (USGS). (2001). PHABSIM for Windows: User’s Manual and Exercises, Open File Report 01-340, United Stated Geological Survey, pp. 91-92., pp. 91-92Google Search