The Journal of
the Korean Society on Water Environment

The Journal of
the Korean Society on Water Environment

Bimonthly
  • ISSN : 2289-0971 (Print)
  • ISSN : 2289-098X (Online)
  • KCI Accredited Journal

Editorial Office





Coefficient of correlation, Drinking groundwater, Drinking water quality standards excess items, Unfit ratios of each region

1. Introduction

우리나라 마을상수도시설은 전국 농어촌 지역의 급수공급을 위해 1970년대부터 설치를 시작으로 현재까지 식수 공급시설로서 역할을 수행해 오고 있다. 이용 수원은 지하수, 하천수, 용천수, 계곡수 등으로 구분되며 설치 초기에는 하천수의 이용률이 높았으나 수원의 오염 및 오염우려의 영향으로 점차 지하수를 주 수원으로 이용하고 있으며, 취수 원수별 현황을 살펴보면 지하수가 전체의 74.5%로 대부분을 차지하며, 용천수를 포함하면 약 80% 이상의 지하수가 농어촌 수도용수에 절대적인 역할을 하고 있다.

MOE (2012) 의하면 현재 지하수는 음용 37.9%, 비음용 62.3%로 사용되고 있고, 마을상수도의 가장 큰 문제는 노후화인데, 25년이상(70년대 설치)시설이 46%이며 80년대에 설치된 25년이상 시설을 포함하면 전체의 63%이다. 2000년대 이후로 설치된 것은 전체의 11.6%에 지나지 않는다(Ko et al., 2008).

그러나 현재 운영 중인 마을상수도의 상당수는 소독설비만 갖추어져 있을 뿐이다. 또한 수질검사도 지방상수도에 비해 검사 시기나 항목이 매우 적으며, 식수 부적합 판정이 검사결과로 도출되어도 대체 수원의 확보가 어려워 기존 마을상수도를 계속 사용해야 할 실정에 있다. 환경부가 발표한 지하수 수질측정망 운영결과를 보면 수질기준을 초과한 오염된 지하수는 5.2%이며, 음용수가 5.7%, 공업용수가 7.0%, 생활용수 5.1%, 농어업용수가 4.0% 순으로 나타났다(Jung et al., 2012).

서부경남지역에서 이용되어지는 마을상수도 취수원은 총 1,525개소 중 지하수 998개소(65.4%), 계곡수 527개소(34.6%)이다. Park and Jung (2014)의 연구에 의하면 지하수를 취수원으로 사용하는 경우 취수정의 심도를 낮게 설치하여 단기 가뭄에도 수원이 쉽게 고갈되고 관정이 농경지, 축사, 주택인근에 위치하여 수질오염 가능성이 높으며 획일적인 관정개발로 오염방지시설 미비 및 손상으로 오염된 지표수가 유입되는 실정이다.

본 연구는 서부경남지역의 지하수중 음용수로 준공허가를 받고 정기검사를 받아 이용하고 있는 음용지하수 수질검사 결과를 이용하여 지역별로 수질검사 항목별 특성을 관찰하고, 지하수 개발과 이용 시 지역별로 고려되어야 할 수질검사 항목을 도출, 비교하여 보다 체계적이고 안전한 지하수 음용수의 개발, 이용을 할 수 있도록 그 기초 자료를 제시하고자 하였다.

2. Materials and Methods

2.1. 조사기간 및 대상

2008년 1월부터 2013년 9월까지 서부경남의 거제, 거창, 고성, 남해, 사천, 산청, 의령, 진주, 통영, 하동, 함양, 합천지역의 마을상수도를 대상으로 하였다.

수질 조사지역은 Table 1에서 보는 바와 같이 거제 147점, 거창 359점, 고성 242점, 남해 454점, 사천 241점, 산청 419점, 의령 84점, 진주 236점, 통영 137점, 하동 499점, 함양 403점 그리고 합천 477점 등이다.

Table 1.

Number of survey in research area

../../Resources/kswe/31-2/images/SJBJB8_2015_v31n2_103_t001.jpg

2.2. 시료채취

시료 채수방법은 마을상수도 정수 수질을 대표할 수 있는 지역에서 수돗물을 약 3분이상 흘러 보낸 다음 채수하였다. 시료는 4L PE(polyethylene)재질의 무균 채수병에 보관 및 운반된 것으로서 일반세균, 대장균의 검사는 당일 실시하고, 기타의 항목은 3일내에 검사를 완료하였다.

2.3. 분석방법

분석 방법은 먹는물 관리법 제5조 관련의 환경부령 제11호(먹는물 수질기준 및 검사 등에 관한 규칙)에 따라 음용수 수질기준항목인 일반세균 외 47항목으로 하였으며, 먹는 물 공정시험방법에 준하여 실시하였다.

3. Results and Discussion

3.1. 최근 6년간 마을상수도 수질분석 결과

2008년부터 2013년까지 서부경남 12개 시군에서 마을상수도 3,698건을 대상으로 음용수 적합 여부를 조사한 결과는 Table 2에서 보는 바와 같이 6년 동안 음용부적합 비율은 총 3,698건 중 905건으로 약 24.5% 정도이었다.

Table 2.

Number of survey and unfit ratio for drinking water

../../Resources/kswe/31-2/images/SJBJB8_2015_v31n2_103_t002.jpg

항목 및 건수별 음용 수질기준 초과비율을 조사한 결과는 Table 3에서 보는 바와 같이 6년간 분석항목 총 39,495건 중 1,213건이 음용 부적합으로 조사되었고, 이중 대장균군이 약 424건, 일반세균이 약 208건으로서 미생물이 음용 부적합 건수의 상당부분을 차지하고 있었으며, 그 다음 음용 부적합건수는 탁도 162건, 질산성질소 101건, 알루미늄 75건, 불소 51건, 황산이온 46건, 염소이온 38건으로 조사되었다.

Table 3.

Numbers to exceed the water quality standards according to parameters

../../Resources/kswe/31-2/images/SJBJB8_2015_v31n2_103_t003.jpg

농촌지역의 수질은 대부분 수질항목에 적합하나 질산성질소의 수질기준 초과빈도가 높게 나타나고, 대장균과 일반세균 항목이 가장 높은 비율을 차지하고 있다(Han, 2001; Kim et al., 2004; Kim et al., 1995; Park et al., 2006). 본 조사에서도 대장균과 일반세균이 52.1%, 탁도 13.4%, 질산성질소는 8.3%순으로 나타나 여전히 철저한 소독관리의 필요성이 크다는 것을 나타내고 있다.

3.2. 서부경남 지역의 마을상수도 지역별 수질특성

서부 경남지역 12개 시 · 군의 음용 되고 있는 마을상수도의 지역별 수질 특성을 살펴보면, 질산성 질소는 거창과 남해가 다른 지역에 비해 다소 높게 검출되었고, 암모니아성 질소는 기준치에는 훨씬 미치지 못하는 양호한 수준이나 상대적으로 진주와 합천이 높게 나타났고, 경도는 고성과 의령이 높고 하동, 거창, 산청지역이 비교적 낮게 나타났다.

Kim et al. (1995)에 의하면 지역적인 특성을 고려하기 위하여 내륙지역과 해안지역으로 분리시켜 검토한 바 강원도내 전체 평균 68 mg/L에 비하여 이들 지역은 평균 120 mg/L으로 약 1.8배 정도 높았으나, 본 조사에서 서부경남지역은 평균 115 mg/L에, 해안지역은 127 mg/L로 다소 높고, 내륙지역은 102 mg/L로 다소 낮게 나타났다.

황산이온은 의령지역에서 다른 지역에 비하여 특히 높은 것으로 나타나 지질에 의한 영향이 큰 것으로 파악된다.

그리고 Park and Jung(2014)의 연구에 따르면 서부경남 내륙 및 해안지역의 음용 지하수의 수질 분석결과를 이용하여 항목간 상관계수를 조사한 결과 경도와 증발잔류물질은 상관관계가 높은 항목으로 높은 상관성을 보였으며, 경도는 황산이온과도 높은 유의수준을 나타냈으나, 내륙지역은 0.819이며, 해안지역은 0.599로 다소 낮게 조사되었다.

또한 증발잔류물질과 황산이온과도 높은 상관성을 보였으며, 내륙지역은 0.850으로 높은 상관성이 있는 반면 해안지역은 0.494로 낮게 조사되었다. 이는 증발잔류물질이 특정물질의 개념이 아니라 물을 증발시키고 남는 물질의 총 무게로서 결정되므로 황산이온과 경도를 유발하는 2가 양이온(Ca2+, Mn2+)들이 물이 증발된 후의 무게에 큰 영향을 끼치기 때문인 것으로 판단되며, 내륙이 해안보다 증발잔류물 농도가 높은 것이 상관성에도 영향을 준 것으로 파악되었다.

지역별 부적합율을 살펴보면, 거제시 23.1%, 거창군 18.7%, 고성군 28.5%, 남해군 24.7%, 사천시 32.8%, 산청군 20.5%, 의령군 36.9%, 진주시 29.2%, 통영군 40.9%, 하동군 24.7%, 함양군 20.6%, 합천군 20.1%로 전체 평균 24.5%의 부적합율을 나타나고 있다.

높게 검출된 지역의 대부분 취수원은 지하수를 사용하고 있는데 지하수의 특성상 오염이 시작된 후부터 복원까지는 많은 노력과 시간이 소요되는 것을 감안한다면, 서부 경남지역의 양호한 지하수 수질은 경제 성장에 따른 개발에 비추어 볼 때, 앞으로 관리보전의 필요성이 필수적임을 알 수 있다.

3.3. 항목별 수질특성

일반세균은 물에 용해되어 있는 화학물질과 달리 불연속적으로 물속에 존재하며, 서로 뭉쳐져 있거나 부유물질에 부착되어 있어서 물속의 평균농도를 가지고 실제 감염농도를 예측하기 곤란하다. 일반세균 자체는 인체 내에서 직접 병을 일으키는 경우는 거의 없으나, 지나치게 많으면 배탈과 설사를 일으킬 수도 있다(Lee et al., 1997). 서부 경남 지역의 일반세균의 검출빈도는 Fig. 1과 같다.

Fig. 1.

The frequency of HPC from the survey in the west Gyeong-nam.

../../Resources/kswe/31-2/images/SJBJB8_2015_v31n2_103_f001.jpg

탁도는 물에 떠 있는 미세한 입자의 탁한 정도를 나타내며, Ahn et al. (1995)에 의하면 영양분들이 탁도 입자 표면에 흡착되어 세균의 성장을 촉진하고, 높은 탁도는 소독 작용으로부터 미생물을 보호해주고 염소와 산소 요구량을 증가시키므로 소독효과가 감소된다. 탁도의 검출빈도는 Fig. 2와 같다.

Fig. 2.

The frequency of Turbidity from the survey in the west Gyeong-nam.

../../Resources/kswe/31-2/images/SJBJB8_2015_v31n2_103_f002.jpg

알루미늄은 지구상에 다량으로 분포하기 때문에 자연수인 하천수, 지하수 등에 흔히 발견되는 화합물이다. 자연수에서 알루미늄은 대개 미립자들로 이루어진 물질이나 비교적 높은 분자량을 갖는 유기물질과 결합한다(K-water. 2004). 알루미늄의 검출 빈도는 Fig. 3에 나타내었다.

Fig. 3.

The frequency of Aluminium from the survey in the west Gyeong-nam.

../../Resources/kswe/31-2/images/SJBJB8_2015_v31n2_103_f003.jpg

질산성 질소는 물의 유기물에 의한 오염지표로 사용되며, 질산성 질소의 검출 빈도는 Fig. 4에 나타내었다.

Fig. 4.

The frequency of Nitrate nitrogen from the survey in the west Gyeong-nam.

../../Resources/kswe/31-2/images/SJBJB8_2015_v31n2_103_f004.jpg

질산성질소는 단백질과 같은 질소 화합물이 부패, 발효, 산화 분해 등의 과정에서 암모니아성질소, 아질산성질소를 거쳐 최종적으로 생성되는 물질이다. 질산성 질소는 자연에서의 배출은 거의 없으며, 인간 활동에 의해서 주로 기인한다. 수중의 질산성질소는 무기비료 사용, 부패한 동식물, 생활하수, 공장폐수 등에서 환경 중으로 배출되어진다(Jeong et al., 2010; Kim et al., 1999).

그러나 현실적으로 마을상수도를 통해 공급되는 수돗물 중 실제 먹는 물로 이용되는 양을 알지 못하는 현재 시스템에서는 질산성 질소에 의한 건강안전에 대한 평가는 과학적이지 못하다. 게다가 수질오염 수준 파악 이외에 오염된 지하수를 이용하고 있는 주민들의 건강 안전성 확보를 위한 대처방안에 대한 연구는 거의 찾아보기 어려운 현실이다(Jeong et al., 2010).

자연수의 황산이온은 농도가 낮으며 일단 검출되었을 때는 유황이 함유되었거나 유기물질 또는 화학물질 등의 공장폐수 오염을 의미한다.

WHO(1988)의 음용수질 가이드라인에 의하면 황산이온은 주로 지질에서 기인되지만, 대소변, 비료, 광산폐수 및 공장폐수 등의 혼입으로 증가되어, 물의 상태를 영구경도로 고정시키는 역할을 하며, 또한 정수처리과정에서 황산반토(Aluminium Sulfate)의 사용으로 황산이온의 농도를 증가시키기도 한다. 황산이온의 검출빈도는 Fig. 5에서와 같다.

Fig. 5.

The frequency of Sulfate from the survey in the west Gyeong-nam.

../../Resources/kswe/31-2/images/SJBJB8_2015_v31n2_103_f005.jpg

3.4. 강우량과 일반세균 및 대장균의 상관성

일반적으로 강우량과 연관되어 지하수에서 일반세균과 대장균이 비교적 자주 검출되는 것으로 보고되고 있다.

본 연구에서는 지하수 수질이 계절에 따른 변화 특성을 분석하기 위하여 수질항목과 계절간의 상관성을 분석하였으며, 계절적인 특성을 대변할 수 있는 수문자료는 기상청 월평균 강우량 자료를 이용하였다.

Han (2001)에 의하면 대전지역에서 지하수 수질 각 항목별 월평균 농도는 수문학적 지속성과 계열상관이 전혀 없었으나, 월평균 강우량 계열과 대장균 및 일반세균의 월별 부적합율 계열이 모두 수문학적 지속성이 있는 것으로 나타났고, 월 평균강우량과 대장균 및 일반세균의 부적합율(부적합 횟수/검사횟수)계열은 수문학적 지속성과 계절상관성이 있는 것으로 나타났으나, 본 조사에서는 서부경남지역의 강우량과 부적합 일반세균에 대한 상관계수는 0.304로 나타났고, 강우량이 많은 하절기(6,7,8월)에 대한 상관계수는 0.699로 상관성이 매우 높은 것으로 조사되었다. 그러나 총대장균에 대한 계절적인 특성과 강우량과의 상관성은 거의 없는 것으로 나타났다.

3.5. 통계적 변이와 분포특성

시료분석 결과 미생물의 생물량 결정을 위한 환경요인 중 중요한 요인으로 수소이온농도는 Ahn et al. (1995)에 의하면 전라남도의 경우 pH 5.1 ~ 9.3의 범위에 있으며, pH 6미만이 3.4%, pH 7미만이 40.7%, pH 8미만이 45.8%, pH 9미만이 6.8%, pH 9이상이 1.7%로 나타났으나, 본 조사에서는 pH 4.5 ~ 10.0 범위로 나타났고, pH 6미만이 0.9%, pH 7미만이 34.7%, pH 8미만이 57.4%, pH 9미만이 6.9%, pH 9이상이 0.15%로 조사되었다.

그리고 암모니아성질소의 변이계수가 높은 것은 일부지역이 인공적인 오염원에 의해 지하수가 노출되어 있음을 나타내고 있으며, 일반세균의 변이계수도 상당히 높고, 기준치 초과율은 5.6%에 달해 농촌지역의 적정소독의 필요성을 제시하고 있다.

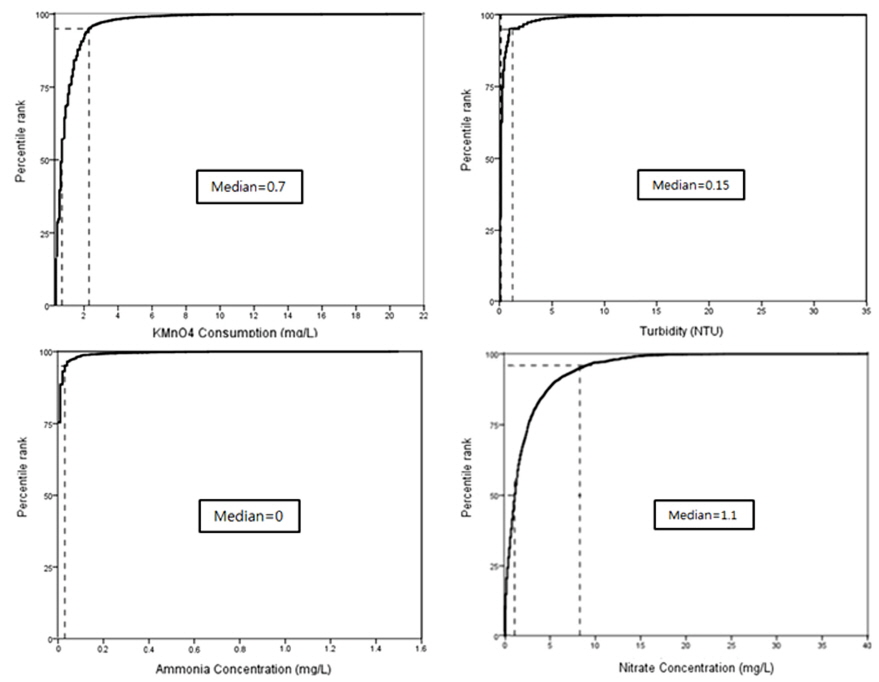
각 수질측정항목들의 통계적 변이와 그 분포 특성은 Table 4Fig. 6에 나타내었다. Table 4를 살펴보면 구리, 망간, 철, 알루미늄 등의 금속성분의 변이 또한 높은 것은 Yang (1996)에서 제시한 특정지역에서 검출된 점을 고려할 때 지질적 특성보다는 양수설비의 재질에 기인한 것과 거의 유사하게 나타난 것으로 판단된다.

Table 4.

Statistical values for groundwater quality of west Gyeong-nam area

../../Resources/kswe/31-2/images/SJBJB8_2015_v31n2_103_t004.jpg
Fig. 6.

Cumulative frequency polygons of each water quality parameters.

../../Resources/kswe/31-2/images/SJBJB8_2015_v31n2_103_f006.jpg

염소이온의 변이계수의 폭도 상당히 큰 이유는 해안지역을 중심으로 높은 값을 나타내고 있다.

분석값의 편중성을 알기위해 왜도와 첨도량을 검토하였다. 왜도 Sk=0이면 좌우대칭, Sk<0이면 왼쪽으로 Sk>0이면 오른쪽으로 나타난다. 그리고 첨도는 K=0이면 정규분포와 뽀족함이 동일하고 K<0이면 정규분포보다 납작하게 나타나고 K>0이면 뽀족하게 나타난다.

정규분포의 왜도와 첨도는 0이다(Kim, 2004). pH는 정규분포에 가장 가까운 분포를 나타내 0.177, 0.872를 나타내었고, 기준치를 초과한 지역이 많은 일반세균은 34.576, 1513.356로 나타났다. 탁도는 12.680, 240.479, 암모니아성 질소가 16.006, 390.547, 질산성 질소가 3.343, 19.008, 철이 19.658, 581.378, 망간이 19.090, 451.048, 알루미늄이 16.968, 498.184로 나타났다. 이러한 결과는 심하게 오염된 일부 관정이 평균값에 큰 영향을 미쳤다고 판단되며, 이들 관정의 철저한 관리가 필요하다고 본다.

4. Conclusion

2008년부터 2013년 9월까지 서부경남지역 마을상수도 3,698건에 대한 지역별수질특성, 항목별 수질특성, 강우량과 일반세균 및 대장균의 상관성, 통계적 변이와 분포특성, 수질항목간의 상관관계 등을 조사한 결과는 다음과 같다.

1) 음용수 적합 여부를 조사한 결과 음용부적합 비율은 총 3,698건 중 905건으로 약 24.5% 정도이었다.

수질기준 초과는 대장균과 일반세균이 52.1%, 탁도 13.4%, 질산성질소는 8.3%순으로 나타나 여전히 철저한 소독관리의 필요성이 크다는 것을 나타내고 있다.

2) 마을상수도의 지역별 수질 특성을 살펴보면, 질산성 질소는 거창과 남해가 다른 지역에 비해 다소 높게 검출되었고, 암모니아성 질소는 기준치에는 훨씬 미치지 못하는 양호한 수준이나 상대적으로 진주와 합천이 높게 나타났고, 경도는 고성과 의령이 높고 하동, 거창, 산청지역이 비교적 낮게 나타났다.

3) 항목별 수질현황을 조사한 결과 일반세균은 불검출이 78.6%, 0 ~ 100 CFU/mL가 15.8%, 100 CFU/mL 초과가 5.6%로 나타났다. 질산성 질소의 경우 0 ~ 10 mg/L가 약 97.3%이었고, 10 mg/L를 초과하는 지역이 약 2.7%이었다. 탁도의 경우 0 ~ 0.5 NTU가 약 86.6%이었고, 0.5 NTU를 초과하는 지역이 약 13.4%이었다. 알루미늄의 경우 0 ~ 0.2 mg/L가 약 98.0%이었고, 0.2 mg/L를 초과하는 지역은 약 2.0%인 것으로 조사되었다.

4) 강우량과 일반세균 및 대장균의 상관성에 대한 검토에서는 서부경남 지역의 강우량과 부적합 일반세균에 대한 상관계수는 0.304로 나타났고, 강우량이 많은 하절기(6,7,8월)에 대한 상관계수는 0.699로 상관성이 매우 높은 것으로 조사되었으나, 총대장균에 대한 계절적인 특성과 강우량과의 상관성은 거의 없는 것으로 나타났다.

5) 통계적 변이와 분포특성에서 암모니아성 질소의 변이계수가 높은 것은 일부지역이 인공적인 오염원에 의해 지하수가 노출되어 있음을 나타내고 있으며, 일반세균의 변이계수도 상당히 높고, 기준치 초과율은 5.6%에 달해 농촌지역의 적정소독의 필요성을 제시하고 있다.

염소이온의 변이계수의 폭도 상당히 큰 이유는 해안지역을 중심으로 높은 값을 나타내고 있다.

6) 농촌지역 음용지하수의 적정한 유지관리를 위해서는 특정지역의 지하수 잠재오염원인 등을 조속히 파악하여 오염방지대책 수립과 기존 지질과 토지이용 등에 대한 특성 파악과 지하수원 부존량을 파악하여 적정 채수량 규정 등을 통한 체계적인 수질보존대책이 요구된다.

Acknowledgements

이 논문은 경남과학기술대학교 학술연구비 지원에 의해 수행되었습니다.

References

1 
Ahn Y. J., Min B. R., Choi Y. K., 1995, Relationship between Microflora and Environmental Factors in Groundwater, Journal of the Korean Society of Groundwater Environment, Ahn, Y. J., Min, B. R., and Choi, Y. K. (1995). Relationship between Microflora and Environmental Factors in Groundwater, Journal of the Korean Society of Groundwater Environment, 2(2), pp. 85-92. [Korean Literature], Vol. 2, No. 2, pp. 85-92Google Search
2 
Han W. W., 2001, The Characteristics of Drinking Groundwater Quality in Daejeon reclamation, Journal of Korean Geoenvironmantal Society, Han, W. W.(2001). The Characteristics of Drinking Groundwater Quality in Daejeon reclamation, Journal of Korean Geoenvironmantal Society, 4(3), pp. 37-45. [Korean Literature], Vol. 4, No. 3, pp. 37-45Google Search
3 
Jeong T. K., Choi B. W., Kang M. A., 2010, Important Environmental Factor on Groundwater Pollution, Jeong, T. K., Choi, B. W., and Kang, M. A. (2010). Important Environmental Factor on Groundwater Pollution, Proceedings of the Korean Society of Engineering Geology (KSEG) 2010 Conference, Korean Society of Engineering Geology, pp. 145-149. [Korean Literature], pp. 145-149Google Search
4 
Jung C. D., Kim Y. B., Park K. Y., Park S. J., 2012, Efficient Management Method of Groundwater in Farming and Fishing Villages, Journal of Soil & Groundwater Environment, Jung, C. D., Kim, Y. B., Park, K. Y., and Park, S. J. (2012). Efficient Management Method of Groundwater in Farming and Fishing Villages, Journal of Soil & Groundwater Environment, 17(4), pp. 81-90. [Korean Literature], Vol. 17, No. 4, pp. 81-90DOI
5 
Kim I. S., 2004, A Study on the Charateristic of the Groundwater Quality in Seoul, Journal of Korean Society of Soil and Groundwater Environment, Kim, I. S. (2004). A Study on the Charateristic of the Groundwater Quality in Seoul, Journal of Korean Society of Soil and Groundwater Environment, 9(2), pp. 54-63. [Korean Literature], Vol. 9, No. 2, pp. 54-63Google Search
6 
Kim J. H., Lee J. S., Ahn S. K., 1999, Major Factors affecting of Ground water Quality Characters for Agriculture in Kyonggi Area, Journal of Korean Society on Water Environment, Kim, J. H., Lee, J. S., and Ahn, S. K. (1999). Major Factors affecting of Ground water Quality Characters for Agriculture in Kyonggi Area, Journal of Korean Society on Water Environment, 15(3), pp.353-361. [Korean Literature], Vol. 15, No. 3, pp. 353-361Google Search
7 
Kim S. S., Yi G. H., Jeong J. Y., Kim N. S., Kim S. R., Kim C. C., Choi K. Y., Jeong E. H., 1995, Characteristics of Potable Ground water Qualites in Kangwon-Do, Journal of Korean Society on Water Environment, Kim, S. S., Yi, G. H., Jeong, J. Y., Kim, N. S., Kim, S. R., Kim, C. C., Choi, K. Y., and Jeong, E. H. (1995). Characteristics of Potable Ground water Qualites in Kangwon-Do, Journal of Korean Society on Water Environment, 11(3), pp. 247-256. [Korean Literature], Vol. 11, No. 3, pp. 247-256Google Search
8 
Kim T. S., Lee Y. M., Kim S. Y., Shin H. C., Choi G. H., Jeong M. H., 2004, A Study on the Drinking Water Quality and Contamination Sources in a Rural Area, Korean Journal of Environmental Health, Kim, T. S., Lee, Y. M., Kim, S. Y., Shin, H. C., Choi, G. H., and Jeong, M. H. (2004). A Study on the Drinking Water Quality and Contamination Sources in a Rural Area, Korean Journal of Environmental Health, 30(2), pp. 98-103. [Korean Literature], Vol. 30, No. 2, pp. 98-103Google Search
9 
Ko K. S., Ahn J. S., Suk H. J., Lee J. S., Kim H. S., 2008, Hydrogeo Chemistry and Statistical Analysis of Quality for Small Potable Water Supply System in Nonsan Area, Journal of Soil & Groundwater Environment, Ko, K. S., Ahn, J. S., Suk, H. J., Lee, J. S., and Kim, H. S. (2008). Hydrogeo Chemistry and Statistical Analysis of Quality for Small Potable Water Supply System in Nonsan Area, Journal of Soil & Groundwater Environment, 13(6), pp. 72-84. [Korean Literature], Vol. 13, No. 6, pp. 72-84Google Search
10 
2004, An Itemized Explanation of Drinking Water, Korea Water Resources Corporation (K-water). (2004). An Itemized Explanation of Drinking Water, Korea Water Resources Corporation. [Korean Literature]Google Search
11 
Lee J. U., Chon H. T., John Y. W., 1997, Geochemical Characteristi cs of Deep Granitic Groundwater in Korea, Journal of the Korean Society of Groundwater Environment, Lee, J. U., Chon, H. T., and John, Y. W. (1997). Geochemical Characteristi cs of Deep Granitic Groundwater in Korea, Journal of the Korean Society of Groundwater Environment, 4(4), pp. 199-211. [Korean Literature], Vol. 4, No. 4, pp. 199-211Google Search
12 
2012, Groundwater Quality Monitoring Network, Ministry of Environment (MOE). (2012). Groundwater Quality Monitoring Network, Ministry of Environment. [Korean Literature]Google Search
13 
Park H. G., Jung Y. H., 2014, The Study of Water Characteristics of Drinking Underground Water in the West Gyeong-Nam, Journal of Korean. Society of Environmental Engineers, Park, H. G. and Jung, Y. H. (2014). The Study of Water Characteristics of Drinking Underground Water in the West Gyeong-Nam, Journal of Korean. Society of Environmental Engineers, 36(3), pp. 192-197. [Korean Literature], Vol. 36, No. 3, pp. 192-197DOI
14 
Park S., Kim M. K., Kim M. K., Ki Y. S., Oh S. R., Shin M. Y., Oh J. Y., Byeon J. C., Jung E. H., Kim E. M., Zoh K. D., Choi K. H., 2006, A study On the Water Quality in Rural Area in Chuncheon-si, Journal of Korean Society on Water Environment, Park, S., Kim, M. K., Kim, M. K., Ki, Y. S., Oh, S. R., Shin, M. Y., Oh, J. Y., Byeon, J. C., Jung, E. H., Kim, E. M., Zoh, K. D., and Choi, K. H. (2006). A study On the Water Quality in Rural Area in Chuncheon-si, Journal of Korean Society on Water Environment, 22(3), pp. 431-436. [Korean Literature], Vol. 22, No. 3, pp. 431-436Google Search
15 
1988, Guidelines for Drinking Water Quality, World Health Organization (WHO). (1988). Guidelines for Drinking Water Quality, 2(3), Geneva, World Health Organization, pp. 100-105., pp. 100-105Google Search
16 
Yang W. J., 1996, A Characterization of Groundwater in Masan-Changwon Area, Journal of Korean Society on Water Environment, Yang, W. J. (1996). A Characterization of Groundwater in Masan-Changwon Area, Journal of Korean Society on Water Environment, 21(2), pp. 215-223., Vol. 21, No. 2, pp. 215-223Google Search