최희정
(Hee-Jeong Choi)
†
Copyright © 2015, Korean Society on Water Environment
Key words
Acorn, Biomass, Microalgae, Optical Panel Photobioreactor, Triacylglycerols
1. Introduction
세계의 에너지 수요는 2009년에서 2035년 사이에 약 4배 이상 증가할 것으로 예상되고 있다. 주요국에서도 바이오에너지 시장의 성장을 낙관적으로
보고 있으며 이에 부응하여 미국은 2020년까지 자국 석유 소비량의 20%를 바이오에너지로 대체할 계획이며, 유럽과 중국도 2020년까지 수송용 연료의
15%를 바이오에너지로 사용할 계획이다(IEA, 2014).
현재 바이오에너지 시장을 점유하고 있는 1세대 바이오매스는 대부분 식용자원(옥수수, 감자, 사탕수수 등)을 원료로 하기 때문에 국제 곡물가에 영향을
미치며, 지구상의 식량문제가 해결되지 않은 상황에서 식용자원의 바이오 에너지화는 많은 윤리적인 문제를 불러일으킨다. 2세대 바이오매스는 식용자원을
사용하지 않고 목질섬유소나 농림부산물과 같은 바이오폐기물을 사용하여 윤리적인 문제에서는 자유로울 수 있었으나 원료의 생산 및 수송비용이 높고, 단단한
셀룰로우즈를 분해하는 과정이 복잡하며 수율이 낮다. 이로한 문제점을 극복하고자 미세조류를 이용한 3세대 바이오매스에 대한 연구는 전 지구적으로 매우
활발하게 이루어지고 있다(Brennan and Owende, 2010).
미세조류는 바이오디젤을 생산할 수 있는 새로운 원료이며 건강식품, 바이오 수소, 이산화탄소 고정 및 어류의 먹이로도 사용할 수 있다. 그러나 현재
미세조류의 생산성은 아직까지 기존 화석연료에 비해 1/5 - 1/10 수준으로 경제성이 떨어진다(Chisti, 2007). 이에 따라 최근에는 미세조류의 생산성을 높이기 위해 우수 세포주의 탐색과 동시에 생명공학 기술을 이용하여 고지질 및 고생산성 미세조류를 개발하는
연구가 진행되고 있다(Chisti, 2007; Choi and Lee, 2013). 미세조류 바이오에너지가 기존 화석연료에 대해 경쟁력을 가지기 위해서는 대량생산과 지질생산성을 높이는 것이 중요하다. 미세조류는 크게 독립영양(authotrophic),
종속영양(heterotrophic) 또는 복합영양(mixotrophic)의 세가지 방법으로 배양할 수 있는데 종속영양과 복합영양은 독립영양에 비하여
4-5배의 높은 증식율을 나타내며 미세조류 세포 내에 지질함량을 40% 이상 증가시킬 수 있다(Andrade and Costa, 2007). 그러나 종속영양과 복합영양에는 외부 탄소원을 필요로 한다. 현재 주로 사용되는 유기탄소원은 글리세롤(Glycerol), 글루코스(Glucose),
아세테이트(Acetate) 등이다. 그러나 이러한 유기 탄소원은 가격이 비싸서 미세조류 유래 바이오디젤이 경쟁력을 갖기 위해서는 저렴하고 효과가 좋은
유기 탄소원의 개발과 연구가 필요하다.
도토리는 다량의 탄수화물과 글루코스 및 미네랄을 함유하고 있으며 가격이 저렴하여 대체 유기 탄소원의 좋은 대안이 될 수 있다. 도토리(Acorn)는
떡갈나무, 갈참나무, 물참나무, 상수리나무 등의 참나무와 열매의 총칭으로 약 28종이 전 세계적으로 분포되어 있다. 우리나라는 도토리의 전분을 주로
묵으로 만들었으나, 세계 여러 나라에서는 죽, 떡 등 먹는 음식 뿐만 아니라 의약 및 산업분야에도 활용하고 있다(Leon-Camacho et al., 2004). 도토리에는 수분 (10.57%), Crush ash (0.12%), Crush protein (0.84%), Crush fat (1.18),
Carbohydrate (87.29%) 이외에 각종 미네랄 성분 (K, P, Ca, Na, Mg, Fe 등)과 sugar composition 즉,
Glucose, Rhamnose, Galactose, Arainose, Mannose, Fucose, Xylose 등이 함유되어 있다. 그 중에서
특히 Glucose 성분은 97.99 mg% 로 많이 함유되어 있다. 그러나 아직까지 도토리의 성분이 미세조류 증식에 미치는 영향에 대한 연구는 미미하다.
따라서 본 연구는 미세조류의 생산성을 향상시키기 위해 저렴한 유기 탄소원인 도토리를 이용하여 미세조류 (Chlorella vulgaris 와 Botryococcus braunii)의 증식에 미치는 영향을 알아보고자 하였다.
2. Materials and Methods
2.1. Materials and Experimental Design
2.1.1. Microalgae Cultivation
본 연구에 사용된 Chlorella vulgaris (C. vulgaris) 와 Botryococcus braunii (B. braunii) 는 JM Medium (Stainier et al., 1971)을 이용하여 23 ± 2 °C 온도의 항온기에 10일간 증식시킨 후에 사용하였다. C. vulgaris. 와 B. braunii 는 Spirulina, Dunaliella 그리고 Haematococcus 등과 함께 현재 상용화되고 있는 미세조류이며 지질함량이 높고, 성장이 빠르고 환경에 적응성이 강한 미세조류이다. JM 배지의 구성성분은 200 mL의
증류수를 기준으로 4.0 g Ca(NO3)2H2O, 2.48 g KH2PO4, 10.0 g MgSO4・7H2O, 3.18 g NaHCO3, 0.45 g EDTAFeNa, 0.45 g EDTA Na2, 0.496 g H3BO3, 0.278 g MnCl2・4H2O, 0.20 g (NH4)6Mo7O24・4H2O, 0.008 g cyanocobalamin, 0.008 g thiamine HCl, 0.008 g biotin, 16.0 g NaNO3 그리고 7.2 g Na2HPO4・12H2O 이다.
2.1.2. Optical Panel Photobioreactor (OPPBR)
본 연구는 mixotrophic 조건에서 도토리의 성분이 미세조류의 증식에 미치는 영향을 알아보고자 하였으며 실험에 사용된 OPPBR 반응기는 230
mm (가로) × 230 mm (세로) × 300 mm (높이) 의 크기이다. 반응기의 총용량은 15 L, 공기 주입률은 0.5 L/min로 지속적으로
공기를 주입했으며, 공기 주입률에 따른 CO2의 주입량은 0.02 vvm 이다. 도광판은 반응기의 정 가운데에 삽입하여 빛이 반응기 전체에 균일하게 전달되도록 하였으며 도광판 삽입 양쪽 반응기의
거리는 각각 115 mm 였다. 선행연구(Choi et al., 2013) 결과 도광판은 6 mm 두께가 경제성이나 빛의 분산율에서 다른 두께보다 뛰어나 본 실험에서는 6 mm 두께의 도광판을 사용하였다. 실험에 사용한
도광판은 210 mm (가로) × 290 mm (세로) 크기이며, 빛의 투과율이 좋은 Poly-Methylmethacrylate (PMMA)로 제작하였다.
일반적인 v-cut 방식은 뒷면에 홈을 내어 반사판을 이용하여 전면으로 빛을 방출시키지만 본 실험에서는 도광판 양면에 v-cut 을 제작하여 빛이
양면으로 분산되게 하여 광 효율성을 향상시켰다. v-cut 방식은 빛의 분포를 최대한 균일하게 분사시키기 위해 광원으로부터 멀어질수록 v-cut의
간격을 줄이고, 깊이를 늘리는 방법을 사용한다. 따라서 v-cut 방식은 홈의 간격과 홈의 각도를 이용하여 빛의 분산도를 조절하기 때문에 홈이 없는
flat plate 에 비해서 빛의 효율이 높다(Choi, 2014b). v-cut 도광판은 비중이 1.19, 광투과율이 93%, 열 변형 온도는 94 °C 그리고 성형 수축률은 0.2 - 0.6% 이다.
OPPBR 반응기에 JM배지를 넣고 복합영양소로 다양한 농도(0, 1, 2, 3 그리고 5 g/L)와 다양한 입자의(0 - 325 mesh) 도토리분말을
투입하여 도토리의 양이 미세조류의 바이오매스에 미치는 영향을 알아보았다. 미세조류 배양을 위하여 배양기의 광원은 white LED (Light Emitting
Diode)를 사용하였다. LED는 미세조류에 필요한 파장의 빛을 선택적으로 사용할 수 있어 효율적이다. 실험에 사용한 LED 램프는 optical
panel (OP)에 삽입되는 빛의 집중도를 향상시키기 위해 bar 형식의 LED 램프를 특별 제작하였으며, LED에 공급되는 전원은 모델 FP-60-12
파워공급기(AD & Lighting, Suwon, Kyonggi-Do, Korea)를 사용하였다. 모든 광원은 위에서 아래로 공급하였다. 광합성에
사용되는 빛의 양을 나타내는 광량은 200 ~ 250 µmol photon/m2/s, 초기 C. vulgaris 의 바이오매스는 0.357 ± 0.066 g/L, B. braunii 는 0.342 ± 0.067 g/L였다. 실험은 15일 동안 진행했으며, 5번 반복하여 평균값을 사용하였다. 실험에 사용한 미세조류는 chitosan을
이용하여 수확하여 바이오디젤 생산에 사용하였다.
2.1.3. Acorn Powder
도토리는 G시의 5일장에서 대량으로 구매하였다. 불순물과 유기성 유해물질을 제거하기위해 증류수에 5-6번 세척을 하여 105°C의 오븐에서 24시간
건조하였다. 건조한 도토리를 식힌 후에 분말화하였고 도토리에 함유되어 있는 탄닌을 제거하기 위해 갈색물이 더 이상 나오지 않을 때까지 도토리 분말을
세척한 후 다시 건조하여 사용하였다. Fig. 1에 실험에 사용한 도토리 분말을 나타내었다.
2.2. Analytical Methods
2.2.1. Measurement of Microalgae Biomass and TAG Content
628 g에서 15분 동안 원심분리를 이용하여 수확한 미세조류는 습식오일 추출을 하였으며, 용매추출법에 사용된 용매는 핵산(Junsei 96%)을
사용하였다. 습식오일 추출은 습중량 1 g 의 미세조류를 포함한 3.3 mL 시료를 이용하였으며, 미세조류의 양은 용매 대비 5% (w/w)였다.
핵산과 혼합한 미세조류를 3시간 동안 교반한 후 오일을 포함한 용매층을 회수하여 감압증발(Genevac, EZ2 PLUS)하였고, 용매를 휘발시키고
남아있는 오일을 회수하였다. 오일의 완전한 회수를 위하여 위와 같은 추출법을 3번 반복하였다. 미세조류 오일 추출량은 아래의 식과 같이 계산하였다.
추출된 미세조류 오일의 총 지방산 함량을 측정하기 위해 수정된 direct trans-esterification법을 사용하였다(AOCS, 2003). 건조 미세조류와 추출 오일 각각 10 mg에 클로로포름-메탄올(2:1, v/v) 2 mL를 넣고 10분간 섞은 후, 내부 표준물질인 heptadecanoic
acid-chloroform solution (Sigma-Aldrich, 500 μg/L) 1 mL, 메탄올 1 mL 그리고 황산 0.3 mL을 투입하였다.
Vortex mixer로 10분간 섞어준 뒤 100°C 항온조에서 10분간 반응시킨 후 충분히 식혀 증류수 1 mL을 첨가한 뒤 2,469 g 에서
10 min 동안 원심분리하여 분리된 용액 중 아래층을 주사기로 뽑아 필터로 여과 후 GC (Gas Chromatography, Agilent 7890A,
Santa Clara, Califonia, USA)로 분석하였다. 외부 표준물질(Mix RM3, Mix RM5, GLC50, GLC70 (Supelco))을
사용하여 지방산의 정량 분석을 수행하였고, 추출된 미세조류 오일 중의 유리지방산 함량은 적정법에 의한 산가분석을 통하여 측정하였다. 산가 및 유리지방산
함량은 다음과 같은 식을 이용하여 계산하였다(Lepage and Roy, 1984).
바이오매스의 증가량을 알 수 있는 미세조류의 건중량은 10 mL의 샘플을 GF/C (Watmann, 영국)로 여과한 후 105°C에서 24시간 건조한
후 그 질량을 측정하였다.
P 는 바이오매스의 생산량 (g/L/d), X1 및 X0 는 t1 과 t0 때의 바이오매스의 양을 나타낸다.
미세조류의 specific growth rate (생장률)는 아래와 같이 계산하였다.
µ 는 생장률(1/day), X1 및 X0 는 초기 및 일정 배양 시간 후의 미세조류 농도(g/L), 그리고 t는 배양시간(day)를 나타낸다.
수중광량은 조도계(HOBO-Light Intensity, Onset Computer, USA)를 이용하여 측정하였다. 조도계는 LI-193SA 센서와
LI-1400 기록계(Li-COR, Inc., Lincoln, Nebraska, USA)를 이용하여 영점조정을 하였으며, 측정 시 센서위의 미세조류를
제거하여 미세조류로 인한 수중광량의 오류를 최소화하였다.
2.2.2. Measurement of Acorn Compositions
2.2.2.1. Proximate Compositions
일반성분은 AOAC (2005)에 따라 분석하였다. 수분(Moisture)은 105°C 상압건조법, 조지방(Crude lipid) 함량은 Gerhard사(Germany)의 Soxtherm을
이용하여 Soxhlet 추출법으로 분석하였다. 조단백질(Crude protein)은 단백질 자동 분석장치(2300 Kjeltec Unit, Foss
Tecatoe, Sweden)을 이용하였으며, 질소계수 6.25를 곱하여 조단백질 함량을 표시하였다. 조회분(Ash)은 550°C에서 백색에서 회백색의
회분이 얻어질 때까지 희화하여 정량하였다. 탄수화물은 100에서 수분, 조지방, 조단백질, 조회분의 함량을 뺀 값으로 하였다.
2.2.2.2. Measurement of Minerals
무기질 시료는 황산-질산분해법(AOAC, 2005)으로 전처리한 후 AAS (Atomic Absorption Spectrophotometer: Analytikjena AG NOVA330, Germany)와
ICP (Inductively Coupled Plasma: Optima 4300 DV Spectrometer, PerkinElmer Instrument,
USA)로 분석하였다. Ca는 P의 간섭을 피하기 위하여 AAS의 manual에 따라 KCI를 첨가하여 Nitrous Oxide-Acetylene
Gas를 사용하여 분석하였다. P는 Mo-blue 방법에 따라 UV/VIS Spectrophotometer DU800 (Beckman Coulter,
USA)를 이용하여 분석하였다.
2.2.2.3. Determination of Monosaccharides for Acorn
구성당의 분석은 시료 10 mg을 Teflon lined screw cap tube에 취하여 73% (w/w) H2SO4 125 uL를 넣어 잘 혼합한 다음, 실온에서 45분간 방치하였다. 그 혼합액에 증류수 1.35 mL을 넣고 100°C에서 3시간 가수분해한 후,
15 M의 NH4OH 320 uL를 가하여 중화시킨 후, 2%의 NaBH4 1 mL 를 DMSO용액에 첨가하여 40°C에서 90분간 반응시켰다. 반응액에 18M glacial acetic acid 100 uL를 넣고 1-methylimidazole
200 uL와 acetic anhydride 2.0 mL를 넣어 실온에서 10분간 방치하였다. 이 반응액에 증류수 5.0 mL를 넣고 과잉의 acetic
anhydride를 분해한 후, 분리된 하층을 microcentrifuge tube에 취해 GLC (Gas Liquid Chromatography)를
이용하여 분석하였다.
2.2.2.4. Measurement of Fatty Acids
총지방질 약 25 mg을 teflon lined screw cap tube에 넣고 0.5 N NaOH methanol 용액 1.5 mL를 가하여 100°C에서
5분간 검화시킨 후, 14% BF3-MeOH 용액 2.0 mL를 넣고 100°C에서 30분간 가열하여 지방산 메틸에스터화하였다. 용액에 isooctane 1.0 mL와 NaCl 5.0
mL를 넣은 후 isooctane 층을 취하여 Na2SO4 anhydrous 로 탈수한 후 GLC로 분석하였다. 분석시 검출기는 FID, 컬럼은 ZB-Wax (30m X 0.25 nm idX 0.50 um
df) capillary column을 사용하였다. GLC의 분석조건은 Table 1에 나타내었다.
Table 1.
Instrument and operation condition for monosaccharides analysis by GLC
3. Results and Discussion
3.1. A Composition of Acorn
도토리에 함유되어 있는 성분을 분석하여 Table 2에 나타내었다. 조단백과 조지방은 각각 0.84%, 1.18%로 함유량이 낮았으나 탄수화물은 87.29%로 함유량이 높았다. Shim et al. (2005)은 청평부근 도토리의 일반성분을 분석한 결과 조단백 0.80 - 0.85%, 조지방 1.16 - 1.19% 그리고 탄수화물은 86.87 - 89.65%를
보고하였다. 이러한 도토리의 일반성분은 각 지역의 도토리에 따라 약간의 차이는 있었으나 거의 비슷한 성분 함유량을 나타내었다. 미네랄 성분 중에서는
K의 성분이 40.68%로 가장 많은 비중을 차지하고 있었으며, 포화지방산과 불포화지방산은 각각 24.34%와 75.66%가 측정되었다. 특히, 불포화
지방산 중에서 Oleic acid의 함량은 63.77% linoleic acids의 함량은 19.19%가 측정되어 불포화지방산에서 주요 지방산의 함량을
나타내었다. Leon-Carnacho et al. (2004)는 스폐인산 도토리의 지방산을 분석한 결과 불포화 지방산의 주요 성분은 Oleic acid와 linoleic acids이며, 포화지방산은 24.67
- 26.87%, 불포화지방산은 73.54 - 75.98%를 보고하였다. 이는 본 연구에서 나타난 도토리의 성분 분석과 비슷한 결과이다. 도토리의
Oleic acid와 linoleic acids의 함유량이 높은 것은 오일의 산화안정성과 영양학적인 효과에서 매우 의미가 있다.
Table 2.
A composition of acorn
주목할 도토리의 성분은 구성당 중에서 glucose의 함량이다. 도토리는 구성당 중에서 97.99 mg%의 glucose를 함유하고 있다. Glucose는
미세조류를 복합영양 조건에서 증식할 경우 중요한 유기 탄소원으로 사용할 수 있다(Choi, 2014a). Chaudhary et al. (2012)은 glucose를 이용하여 E. coli 를 증식한 결과 글리세롤을 이용한 것보다 3배 높은 증식효과를 얻었다. Carlos (2014)는 전분을 이용하여 Chlorella protothecoides 의 증식률을 실험한 결과 독립영양에서 증식한 것 보다 3-4배 이상의 높은 증식률을 보고하였다. 도토리의 성분을 분석한 결과 탄수화물과 glucose의
함량이 매우 높았으며, 탄수화물 중에서 도토리의 전분 함유량은 28.4%로 감자의 전분 함유량(21.4%)과 Cowpea (27.9%) 보다 높았으나
옥수수의 전분함유량(30.2%)보다는 약간 낮았다. 도토리의 성분 중에 주요하게 함유되어 있는 탄수화물과 glucose는 미세조류의 바이오매스에 영향을
미칠 것으로 생각된다.
3.2. Effect of Particle Size on the Growth of Biomass
미세조류 바이오매스 증식을 위한 도토리의 최적 입자 크기를 알아보기 위해 도토리의 입자를 세분화하여 선행 실험하였다. Fig. 2에 도토리의 입자에 따른 C. vulgaris 의 바이오매스 변화를 나타내었다. 도토리의 입자는 >50, 50 - 100, 100 - 150, 150 - 200 그리고 200 - 325 mesh로
분쇄하여 실험하였다. 이때 미세조류 초기농도는 0.367 g/L, 증식기간은 10일, 도토리의 농도는 1 g/L로 하였다.
Fig. 2.
Biomass productivity by different particle size of acorn.
실험결과 >50 mesh 이하에서는 0.48, 50 - 100 mesh는 1.01, 100 - 150 mesh는 1.45, 150 - 200 mesh는
1.76, 200 - 300 mesh에서는 1.81 g/L/d의 최대 바이오매스를 나타내었다. 특히, 50 - 100 mesh의 입자크기는 50 mesh
이하 보다 56.36%, 100 - 150 mesh는 66.90%, 150 - 200 mesh는 72.73% 그리고 200 - 300 mesh는 73.48%
의 바이오매스 증가율을 나타냈었다. 입자가 클수록 도토리가 바이오매스에 미치는 영향은 작았으며, 입자가 작을수록 바이오매스에 미치는 영향은 컸다.
그러나 200 mesh 이상의 입자에서는 바이오매스의 변화가 거의 없었다. 이는 입자가 작을수록 도토리에 함유되어 있는 영양분의 용해가 쉽기 때문이라
생각된다(Kang et al., 2004). 따라서 미세조류의 바이오매스 증가를 위한 도토리의 입자 크기는 200 mesh 이상이 최적이었다.
3.3. Effect of Acorn on the Growth of Investigated Algae Species
3.2의 실험결과 200 mesh 이상의 도토리의 입자가 미세조류의 증식에 가장 좋은 영향을 나타내어 도토리의 농도에 따른 미세조류의 증식율은 200
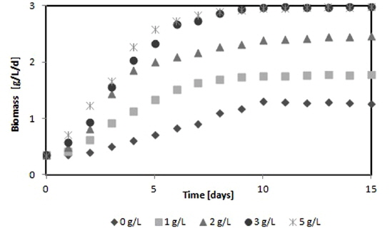
mesh 이상의 도토리 분말을 사용하였다. Fig. 3에 다양한 도토리의 농도가 C. vulgaris의 증식에 미치는 영향을 나타내었다. 실험 결과 최대 바이오매스는 도토리의 0, 1, 2, 3 그리고 5 g/L의 농도에 따라 각각 1.31 ± 0.21,
1.78 ± 0.34, 2.46 ± 0.57, 2.98 ± 0.54 그리고 2.99 ± 0.55 g/L/d를 나타내어 3 g/L 도토리의 농도에서
C. vulgaris 의 바이오매스가 가장 좋았다. 5 g/L 농도는 5일째까지는 3 g/L농도와 비교하여 증식률이 빨랐으나, 이후에는 거의 비슷하여 최대 바이오매스
거의 차이가 없었다. 따라서 도토리를 이용하여 C. vulgaris 의 생산성을 높이고자 한다면 3 g/L가 최적이였다. 1-2일째에는 도토리의 농도가 바이오매스에 미치는 영향이 크지 않았으나 3일 이후부터는 도토리의
농도에 따른 바이오매스의 증가가 뚜렷하게 나타났으며 특히 3 g/L와 5 g/L의 농도는 0 g/L와 1 g/L와 비교하여 현저하게 바이오매스가 많았다.
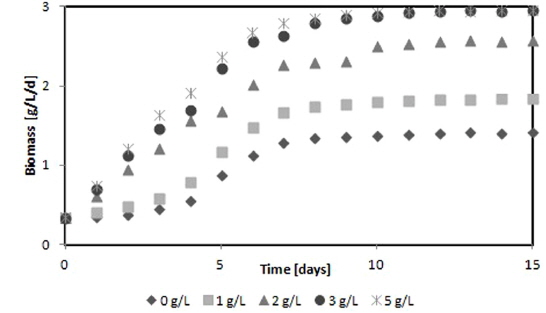
도토리의 전분과 glucose는 유기 탄소원으로 미세조류의 광합성과 유기물의 흡수 능력을 향상시켜주는 역할을 한다(Yook et al., 2002). B. braunii 는 C. vulgaris 와는 다른 바이오매스 증식과정을 나타내었다(Fig. 4). Fig. 4에서 알 수 있듯이 0 g/L와 1 g/L의 도토리 농도에서는 증식과정이 비슷했으며 5일 후부터 미세조류의 증식이 증가했음을 알 수 있다. 2, 3
그리고 5 g/L의 도토리의 농도는 C. vulgaris 와 비슷한 증식과정을 나타내었다. 도토리의 다양한 농도에 실험결과 B. braunii 의 바이오매스는 0, 1, 2, 3 그리고 5 g/L의 도토리 농도에 따라 각각 1.41 ± 0.12, 1.84 ± 0.19, 2.57 ± 0.27,
2.96± 0.34 그리고 2.95 ± 0.42 g/L/d 의 바이오매스를 나타내어 C. vulgaris 와 마찬가지로 3 g/L의 도토리 농도에서 최대의 바이오매스를 나타내었다.
Fig. 3.
Growth of C. vulgaris by various acorn concentrations.
Fig. 4.
Growth of B. braunii by various acorn concentrations.
미세조류의 유기물 섭취는 membrane을 통한 sugar translocation을 통해 일어난다(Chojnacka and Noworyta, 2004). 도토리가 함유하고 있는 다량의 Glucose (C6H12O6)는 알데하이드기를 가지는 당의 일종으로 사슬 모양보다는 육각고리형 모양으로 흔히 존재한다. 이러한 glucose는 탄수화물 대사의 중심적 화합물로서
그 이용 경로는 매우 복잡하며, 에너지원으로서 분해되는 경로는 특히 중요하다(Charef et al., 2008). Glucose는 먼저 헥소키나아제의 작용으로 글루코스 6인산이 되고, 해당과정을 거쳐서 피루브산으로 분해된다. 또한, 호기적 조건에서는 TCA회로를
거쳐서 이산화탄소와 물로 분해된다(Leon-Camacho et al., 2004; Shim et al., 2005). Glucose는 다른 기질(acetate 등)에 비해 mol 당 에너지 함량이 높아 높은 성장률과 호흡률을 나타낸다(Kong et al., 2013). 외부 탄소원의 다른 종류인 acetate는 glucose에 비해 저분자 물질들로 구성되어 있어 대사경로가 비교적 간단하지만 uptake 하기까지의
lag phase 가 glucose보다 더 길어 비성장율은 낮게 평가된다(Bouarab et al., 2004; Yang et al., 2000). 이는 본 연구결과 도토리의 농도가 높을 경우 바이오매스의 증식률이 높은 것과 일치한다. 또한, C. vulgaris 는 외부탄소원으로 충분한 glucose의 농도에서 성장할 경우 지질함량을 증가시키는 중성지방의 축적이 높아져 지질함량이 증가 할 것으로 예상된다.
Table 3에 다양한 도토리의 농도에 따른 최대 바이오매스 생산량(Pmax)와 최대 생장률(μmax)을 나타내었다. 실험결과 3 g/L 의 도토리 농도에서 C. vulgaris 는 2.98 g/L/d 와 0.242 1/day 그리고 B. braunii 는 2.96 g/L/d 와 0.254 1/day의 최대 바이오매스 생산량과 최대 생장률을 나타내었다. 도토리를 사용하지 않은 0 g/L의 도토리
농도와 비교하여 C. vulgaris와 B. braunii 의 최대 바이오매스 생산량과 최대 생장률은 2배 이상 높았다.
Table 3.
The maximum biomass productivity Pmax and maximum specific growth rate μmax of investigated
algae species
Li et al., (2007)은 Chlorella protothecoides 를 heterotrophic 조건하에서 증식한 결과 0.13 1/day의 최대 생장률을 보고했다. Chojnacka and Noworyta (2004)는 유기 탄소원으로 glucose를 이용하여 Spirulina sp.를 mixotrophic 으로 증식한 결과 0.32 1/day의 높은 최대 생장률을 보고했지만, 유기 탄소원으로 Molasses를 이용하여
Spirulina platensis 를 mixotrophic 으로 증식한 결과 0.147 1/day의 낮은 최대 생장률을 보고하였다. mixotrophic 환경에서 미세조류의 빠른
증식을 위해서는 유기탄소원의 종류와 미세조류와의 적합성 또한 중요한 인자이다. 또한 본 연구에서는 3 g/L의 도토리 농도에서 0.242 와 0.254
1/day 의 높은 생장률을 나타내었는데 이는 도토리에 함유되어 있는 glucose의 영향도 있지만 optical panel을 이용하여 광을 균일하게
분산한 영향도 있었다. Hsieh and Wu (2009)는 투명한 사각형 반응기에 일반 flat panel과 LED를 이용하여 Chlorella sp. 를 13일 증식하여 미세조류의 바이오매스를 측정한 결과 1.142 g/L/d의 바이오매스를 얻었으며, Sierra et al. (2008)은
flat plate를 이용한 광생물 반응기에서 C. vulgaris 를 11일 증식한 결과 1.127 g/L/d 의 바이오매스 증가율을 보고하였다. 그러나 Moreno-Garrido (2008)은 flat plate glass 반응기를 이용하여 Nannochloropsis sp. 를 15일 증식한 결과 2.209 g/L/d 의 높은 바이오매스 증가율을 보고하였다. 본 연구결과 유기 탄소원인 glucose 와 optical
panel 을 동시에 사용할 경우 미세조류의 바이오매스의 증식효과는 타 연구결과와 비교하여 높았다.
3.4. Total Fatty Acid of Investigated Algae Species
Triacylglycerols (TAGs)의 양은 미세조류 종 및 세포주에 따라 다르지만 생장환경에 따라서 크게 차이가 난다. 최적 생장조건에서는
생산된 지방산이 주로 막지질 합성에 사용되며, 이때 막지질의 양은 건중량의 5 - 20%에 달한다. 그러나 생장환경이 좋지 않거나 스트레스 조건에서는
합성된 지방산이 주로 TAGs 축적에 사용되고, 스트레스 조건이 계속되면 세포내 단백질도 TAGs 합성에 사용된다(Cagliari et al., 2011; Msanne et al., 2012). 이때의 TAGs 함량은 전체 지질의 80%에 달하기도 한다.
바이오디젤은 미세조류에 함유된 TAGs를 에스테르 교환반응(Trans-Esterification)을 통하여 전환함으로써 생성된다. 따라서 TAG 함량이
많을수록 바이오디젤의 생산량 또한 많아진다. C. vulgaris. 와 B. braunii 는 5 g/L 도토리 농도에서 각각 14.35%와 18.41%로 TAGs 함량이 가장 많았다(Table 4). C. vulgaris 의 3 g/L와 5 g/L의 도토리 농도에서 TAGs 차이는 약 0.44%로 많지 않았지만 B. braunii 는 5 g/L의 도토리의 농도가 3 g/L의 도토리 농도 보다 4.39% 많은 TAGs 함량을 나타내었다. 실험결과 도토리의 함량이 증가함에 따가
TAGs의 함량도 증가하였다.
Table 4.
Total TAGs content in dry mass of investigated algae species
도토리의 농도와 TAGs함량의 상관관계를 분석한 결과 C. vulgaris 는 0.8606 그리고 B. braunii 는 0.9797를 나타내어 C. vulgaris 보다는 B. braunii 가 더 높은 상관관계를 나타내었다(Fig. 5). 미세조류는 종에 따라 영양성분의 흡수속도와 지질함량이 다르기 때문에 지질함량의 증가를 위해서는 지질함량이 높은 미세조류의 종을 선별하는 것도
중요한 과제이다.
Fig. 5.
The relationship between TAGs and acorn concentration.
미세조류에서 도토리의 glucose는 세포호흡을 통해 분해되어 에너지를 생산하고, 그 에너지는 Adenosine Triphosphate (ATP)의
형태로 저장된다. 이 에너지는 미세조류의 호흡 등에 사용된다(Charef et al., 2008). 미세조류의 포도당 생합성은 광합성의 명반응에서 생기는 에너지와 이산화탄소 및 물에서 트리오스가 합성되고, 이것을 바탕으로 헥소스인 포도당이 합성되어
녹말로서 저장된다(Yamane et al., 2001). 이렇게 저장된 녹말은 중성지방으로 전환되며 이 중성지방을 바이오디젤 원료로 사용한다. 도토리의 glucose를 유기 탄소원으로 사용할 경우 저장되는
중성지방의 형태가 증가하여 지질함량이 증가한다.
4. Conclusion
도토리의 성분이 C. vulgaris 와 B. braunii 증식과 TAGs 함량에 미치는 영향을 실험한 본 연구의 결과는 아래와 같다.
1) 미세조류의 바이오매스 증가를 위한 도토리의 최적 입자의 크기는 200 mesh 이상이였다.
2) 도토리의 농도 3 g/L와 5 g/L에서 C. vulgaris 의 최대 바이오매스는 각각 2.98 g/L/d 와 2.99 g/L/d, B. braunii는 각각 2.96 g/L/d 와 2.95 g/L/d를 나타내어 3 g/L와 5 g/L의 농도에서 바이오매스의 차이는 거의 없었다. 따라서 미세조류의
바이오매스의 증식을 위해서는 경제적인 면을 고려한다면 3 g/L의 도토리 농도를 추천한다.
3) TAGs 함량은 C. vulgaris 와 B. braunii 모두 5 g/L의 도토리 농도에서 각각 14.35%와 18.41%의 최대치를 나타내었다. C. vulgaris 는 3 g/L와 5 g/L에서 0.44%로 차이가 작았으나, B. braunii 는 4.39%로 차이가 많이 났다.
4) TAGs 함량과 바이오매스와의 상관관계는 B. braunii 가 0.9797, C. vulgaris 가 0.8606을 나타내어 B. braunii 가 더 높은 상관관계를 나타내었으나 두 종류 모두 바이오매스와 TAGs 함량의 상관관계가 높았다.
5) 실험결과 C. vulgaris 와 B. braunii 의 바이오매스 증식을 위해서는 3 g/L 그리고 TAGs의 높은 함량을 위해서는 5 g/L의 도토리의 농도가 가장 좋았다.
Acknowledgements
본 연구는 한국연구재단의 여성과학자 지원사업(2013006899)의 지원을 받아 수행된 연구결과입니다.
References
Andrade M. R., Costa J. A. V., 2007, Mixotrophic Cultivation of Microalga Spirulina
platensis using Molasses as Organic Substrate, Aquaculture, Andrade, M. R. and Costa,
J. A. V. (2007). Mixotrophic Cultivation of Microalga Spirulina platensis using Molasses
as Organic Substrate, Aquaculture, 264(1-4), pp. 130-134., Vol. 264, No. 1-4, pp.
130-134

2005, Official Methods of Analysis, Association of Official Analytical Chemist (AOAC).
(2005). Official Methods of Analysis, 18 th ed., Association of Official Analytical
Chemist, Washington DC, pp. 129-153., pp. 129-153

2003, Official Methods and Recommended Practices of the American Oil Chemists Society,
American Oil Chemists Society (AOCS). (2003). Acid value. In: Official Methods and
Recommended Practices of the American Oil Chemists Society, 5th ed, American Oil Chemists
Society, Champaign, Illinois, pp. 3-63., pp. 3-63

Brennan L., Owende P., 2010, Biofuels from Microalgae - A Review of Technologies for
Production, Processing, and Extractions of Biofuels and Co-Products, Renewable and
Sustainable Energy Reviews, Brennan, L. and Owende, P. (2010). Biofuels from Microalgae
- A Review of Technologies for Production, Processing, and Extractions of Biofuels
and Co-Products, Renewable and Sustainable Energy Reviews, 14(2), pp. 557-577., Vol.
14, No. 2, pp. 557-577

Bouarab L., Dauta A., Loudiki M., 2004, Heterotrophic and Mixotrophic growth of Micractinium
pusillum Fresenius in the Presence of Acetate and Glucose: Effect of Light and Acetate
Gradient Concentration, Water Research, Bouarab, L., Dauta, A., and Loudiki, M. (2004).
Heterotrophic and Mixotrophic growth of Micractinium pusillum Fresenius in the Presence
of Acetate and Glucose: Effect of Light and Acetate Gradient Concentration, Water
Research, 38, pp. 2706-2712., Vol. 38, pp. 2706-2712

2014, Effective Harvesting of the Microalgae Chlorella protothecoides via Bioflocculation
with Cationic Starch, Bioresource Technology, Carlos. (2014). Effective Harvesting
of the Microalgae Chlorella protothecoides via Bioflocculation with Cationic Starch,
Bioresource Technology, 167, pp. 214-218., Vol. 167, pp. 214-218

Cagliari A., Margis R., Maraschin F. S., Turchetto-Zolet A. C., Loss G., Margis-Pinheiro
M., 2011, Biosynthesis of Triacylglycerols in Plants and Algae, International Journal
of Plant Biology, Cagliari, A., Margis, R., Maraschin, F. S., Turchetto-Zolet, A.
C., Loss, G., and Margis-Pinheiro, M. (2011). Biosynthesis of Triacylglycerols in
Plants and Algae, International Journal of Plant Biology, 2(10), pp. 40-52., Vol.
2, No. 10, pp. 40-52

Charef M., Yousfi M., Saidi M., Stocker P., 2008, Determineation of the Fatty Acid
Composition of Acorn (Quercus), Pistacialentiscus Seeds Growing in Algeria, Journal
of the American Oil Chemical Society, Charef, M., Yousfi, M., Saidi, M., and Stocker,
P. (2008). Determineation of the Fatty Acid Composition of Acorn (Quercus), Pistacialentiscus
Seeds Growing in Algeria, Journal of the American Oil Chemical Society, 85, pp. 921-924.,
Vol. 85, pp. 921-924

Chaudhary N., Ngadi M. O., Simpson B., 2012, Comparison of Glucose, Glycerol and Crude
Glycerol Fermentation by Echerichia Coli K12, Journal of Bioprocess Biotechniques,
Chaudhary, N., Ngadi, M. O., and Simpson, B. (2012). Comparison of Glucose, Glycerol
and Crude Glycerol Fermentation by Echerichia Coli K12, Journal of Bioprocess Biotechniques,
S1:001, doi:10.4172/2155-9821., Vol. S1, pp. 001

Chisti Y., 2007, Biodiesel from Microalgae, Biotechnology Advances, Chisti, Y. (2007).
Biodiesel from Microalgae, Biotechnology Advances, 25(3), pp. 294-306., Vol. 25, No.
3, pp. 294-306

Choi H. J., 2014, Comparison of Biomass and Oil Content of Chlorella sp., Nannochloris
sp., and Botryococcus braunii in the Mixotrophic Conditions using Glycerol, Journal
of Korean Society on Water Environment, Choi, H. J. (2014a). Comparison of Biomass
and Oil Content of Chlorella sp., Nannochloris sp., and Botryococcus braunii in the
Mixotrophic Conditions using Glycerol, Journal of Korean Society on Water Environment,
30(5), pp. 469-476. [Korean Literature], Vol. 30, No. 5, pp. 469-476

Choi H. J., 2014, Effect of Optical Panel Distance in a Photobioreactor for Nutrient
Removal and Cultivation of Microalgae, World Journal of Microbiology & Biotechnology,
Choi, H. J. (2014b). Effect of Optical Panel Distance in a Photobioreactor for Nutrient
Removal and Cultivation of Microalgae, World Journal of Microbiology & Biotechnology,
30(7), pp. 2015-2023., Vol. 30, No. 7, pp. 2015-2023

Choi H. J., Lee S. M., 2013, Influence of Thickness of Optical Panel on the Growth
Rate of Chlorella vulgaris in Photobioreactor, Journal of Korean Society on Water
Environment, Choi, H. J. and Lee, S. M. (2013). Influence of Thickness of Optical
Panel on the Growth Rate of Chlorella vulgaris in Photobioreactor, Journal of Korean
Society on Water Environment, 29(2), pp. 270-275. [Korean Literature], Vol. 29, No.
2, pp. 270-275

Choi H. J., Lee J. M., Lee S. M., 2013, A Novel Optical Panel Photobiorector for Cultivation
of Microalgae, Water Science and Technology11, Choi, H. J., Lee, J. M., and Lee, S.
M. (2013). A Novel Optical Panel Photobiorector for Cultivation of Microalgae, Water
Science and Technology, 67(11), pp. 2543-2548., Vol. 67, No. 11, pp. 2543-2548

Chojnacka K., Noworyta A., 2004, Evaluation of Spirulina sp. Growth in Photoautotrophic,
Heterotrophic and Mixotrophic Cultures, Enzyme and Microbial Technology, Chojnacka,
K. and Noworyta, A. (2004). Evaluation of Spirulina sp. Growth in Photoautotrophic,
Heterotrophic and Mixotrophic Cultures, Enzyme and Microbial Technology, 34(5), pp.
461-465., Vol. 34, No. 5, pp. 461-465

Hsieh C. H., Wu W. T., 2009, A Novel Photpbioreactor with Transparent Rectangular
Chambers for Cultivation of Microalgae, Biochemical Engineering Journal, Hsieh, C.
H. and Wu, W. T. (2009). A Novel Photpbioreactor with Transparent Rectangular Chambers
for Cultivation of Microalgae, Biochemical Engineering Journal, 46(3), pp. 300-305.,
Vol. 46, No. 3, pp. 300-305

2014, World Energy Outlook 2014, International Energy Agency (IEA). (2014). World
Energy Outlook 2014, ISBN 978-92-64-20804-9, London.

Kang M. H., Lee J. H., Lee J. S., Kim J. H., Chung H. K., 2004, Effects of Acorn Supplementation
on Lipid Profiles and Antioxidant Enzyme Activities in High Fat DietInduced Obese
Rats, The Korean Journal of Nutrition, Kang, M. H., Lee, J. H., Lee, J. S., Kim, J.
H., and Chung, H. K. (2004). Effects of Acorn Supplementation on Lipid Profiles and
Antioxidant Enzyme Activities in High Fat DietInduced Obese Rats, The Korean Journal
of Nutrition, 37(3), pp. 169-175., Vol. 37, No. 3, pp. 169-175

Kong W. B., Yang H., Cao Y. T., Song H., Hua S. F., Xia C. G., 2013, Effects of Glycerol
and Glucose on the Enhancement of Biomass, Lipid and Soluble Carbohydrate Production
by Chlorella vulgaris, Food Technology and Biotechnology, Kong, W. B., Yang, H., Cao,
Y. T., Song, H., Hua, S. F., and Xia, C. G. (2013). Effects of Glycerol and Glucose
on the Enhancement of Biomass, Lipid and Soluble Carbohydrate Production by Chlorella
vulgaris, Food Technology and Biotechnology, 51, pp. 62-69., Vol. 51, pp. 62-69

Leon-Camacho M., Viera-Alcaide I., Vicario I. M., 2004, Acorn (Quercus Spp) Fruitlipids:
Saponifiable and Unsaponifiable Fractions: A Detailed Study, Journal of the American
Oil Chemical Society, Leon-Camacho, M., Viera-Alcaide, I., and Vicario, I. M. (2004).
Acorn (Quercus Spp) Fruitlipids: Saponifiable and Unsaponifiable Fractions: A Detailed
Study, Journal of the American Oil Chemical Society, 81, pp. 447-453., Vol. 81, pp.
447-453

Lepage G., Roy C. C., 1984, Improved Recovery of Fatty Acid through direct Transesterification
without Prior Extraction or Purification, Journal of Lipid Research, Lepage, G. and
Roy, C. C. (1984). Improved Recovery of Fatty Acid through direct Transesterification
without Prior Extraction or Purification, Journal of Lipid Research, 25(12), pp. 1391-1396.,
Vol. 25, No. 12, pp. 1391-1396

Li X., Xu H., Wu Q., 2007, Large-scale Biodiesel Production from Microalga Chlorella
protothecoides through Heterotrophic Cultivation in Bioreactors, Biotechnology and
Bioengineering, Li, X., Xu, H., and Wu, Q. (2007). Large-scale Biodiesel Production
from Microalga Chlorella protothecoides through Heterotrophic Cultivation in Bioreactors,
Biotechnology and Bioengineering, 98(4), pp. 764-771., Vol. 98, No. 4, pp. 764-771

Moreno-Garrido I., 2008, Microalgae Immobilization: Current Techniques and Uses, Bioresource
Technology, Moreno-Garrido, I. (2008). Microalgae Immobilization: Current Techniques
and Uses, Bioresource Technology, 99(10), pp. 3949- 3964., Vol. 99, No. 10, pp. 3949-3964

Msanne J., Xu D., Konda A. R., Casas-Mollano J. A., Awada T., Cahoon E. B., Cerutti
H., 2012, Metabolic and Gene Expression Changes Triggered by Nitrogen Deprivation
in the Photoautotrophically Grown Microalgae Chlamydomonas reinhardtii and Coccomyxa
sp. C-169, Phytochemistry, Msanne, J., Xu, D., Konda, A. R., Casas-Mollano, J. A.,
Awada, T., Cahoon, E. B., and Cerutti, H. (2012). Metabolic and Gene Expression Changes
Triggered by Nitrogen Deprivation in the Photoautotrophically Grown Microalgae Chlamydomonas
reinhardtii and Coccomyxa sp. C-169, Phytochemistry, 75, pp. 50-59., Vol. 75, pp.
50-59

Shim T. H., Jin Y. S., Sa J. H., Shin I. C., Heo S. I., Lee T. W., Kim T. W., Park
K. Y., Jeong K. J., Han K. S., Oh H. S., Wang M. H., 2005, Studies on the Components
and Evaluation of Antioxidation Activity in Acorn Powder, Report, Institute of Health
and Environment, Shim, T. H., Jin, Y. S., Sa, J. H., Shin, I. C., Heo, S. I., Lee,
T. W., Kim, T. W., Park, K. Y., Jeong, K. J., Han, K. S., Oh, H. S., and Wang, M.
H. (2005). Studies on the Components and Evaluation of Antioxidation Activity in Acorn
Powder, Report, Institute of Health and Environment, 16, pp. 46-52., Vol. 16, pp.
46-52

Stainier R. Y., Kunisawa R., Mandel M., Choen B., 1971, Purification and Properties
of a Unicellular Blue-Green Alga (Order Chroococcales), Bacteriological Reviews, Stainier,
R. Y., Kunisawa, R., Mandel, M., and Choen, B. (1971). Purification and Properties
of a Unicellular Blue-Green Alga (Order Chroococcales), Bacteriological Reviews, 35(2),
pp. 171-205., Vol. 35, No. 2, pp. 171-205

Yamane Y., Utsunomiya T., Watanabe M., Sasaki K., 2001, Biomass Production in Mixotrophic
Culture of Euglena gracilis under Acidic Conditions and Its Growth Energetic, Biotechnology
Letters, Yamane, Y., Utsunomiya, T., Watanabe, M., and Sasaki, K. (2001). Biomass
Production in Mixotrophic Culture of Euglena gracilis under Acidic Conditions and
Its Growth Energetic, Biotechnology Letters, 23, pp. 1223-1228., Vol. 23, pp. 1223-1228

Yang C., Hua Q., Shimizu K., 2000, Energetics and Carbon Metabolism during Growth
of Microalgal Cells under Photoautotrophic, Mixotrophic and Cyclic Light-Autotrophic/Dark-Heterotrophic
Conditions, Biochemical Engineering Journal, Yang, C., Hua, Q., and Shimizu, K. (2000).
Energetics and Carbon Metabolism during Growth of Microalgal Cells under Photoautotrophic,
Mixotrophic and Cyclic Light-Autotrophic/Dark-Heterotrophic Conditions, Biochemical
Engineering Journal, 6, pp. 87-102., Vol. 6, pp. 87-102

Yook G. J., Lee H. J., Kim M. K., 2002, Effect of Chestnut and Acorn on Lipid Metabolism,
Antioxidative Capacity and Antithrombotic Capacity in Rats, The Korean Journal of
Nutrition, Yook, G. J., Lee, H. J., and Kim, M. K. (2002) Effect of Chestnut and Acorn
on Lipid Metabolism, Antioxidative Capacity and Antithrombotic Capacity in Rats, The
Korean Journal of Nutrition, 35(2), pp. 171-182. [Korean Literature], Vol. 35, No.
2, pp. 171-182
