The Journal of
the Korean Society on Water Environment

The Journal of
the Korean Society on Water Environment

Bimonthly
  • ISSN : 2289-0971 (Print)
  • ISSN : 2289-098X (Online)
  • KCI Accredited Journal

Editorial Office





Benthic macroinvertebrates, Sample size, Species-area relationship, Weibull distribution

1. Introduction

특정 생물군집이 지니고 있는 구조적 규칙성을 이해하기 위해서는 표본크기(sample size; 채집횟수)가 커야 하지만 이와 더불어 시간과 비용이 늘어나기 때문에 담수생태계의 저서성 대형무척추동물 연구에서도 표본크기는 제한되어 왔다(Vlek et al., 2006). 그러나 표본크기에 따른 결과 값의 오류는 생태학적 분석에서 가장 중요한 변수로 작용할 수 있으며(Morin, 1997), 종 다양성(Bagon et al., 1986)과 풍부도 및 유사성뿐만 아니라 먹이망 구조에 대한 해석에도 영향을 줄 수 있다(Cao et al., 2002).

제한된 채집횟수 및 일부의 표본들로 현장 군집의 모든 종과 상대적인 풍부도를 알아내는 것은 불가능하며, 몇몇 국외 연구에서도 종이 풍부한 하천에서 서식하는 모든 종을 파악하기 위해서는 많은 채집횟수를 요구한다고 하였다(Li et al., 2001; Resh and Jackson, 1993). 즉 제한된 표본크기로부터 얻어진 결과로는 군집분석에 대한 객관성 없는 대략적인 결과를 파악하는 수준에 그칠 수도 있다(Kim et al., 2013; Yoon et al., 1998).

주어진 면적 내에서 조사된 출현종수(number of species 또는 species richness)는 군집특성을 파악하기 위해 널리 쓰이는 생물 다양성 지수 가운데 하나이다(Gray, 2000). 출현종수와 조사면적(동일한 채집도구를 사용하는 경우 채집횟수에 비례)간의 관계를 해석할 수 있다면 제한된 채집횟수로도 경제적·시간적 문제를 해결하고 신뢰성 있는 군집특성을 파악할 수 있을 것이다.

오래 전부터 생물 종수와 조사면적 또는 개체수의 관계를 해석하기 위한 연구들이 수행되어왔다. 대표적으로 Arrhenius 모형(Arrhenius, 1921), Romell-Gleason 모형(Gleason, 1922), Kylin 모형(Kylin, 1926), 생물군집 분석에 대수정규분포 함수를 처음 적용한 Preston 모형(Preston, 1948, 1962)과 와이블 모형(Weibull, 1951) 등이 있다. 이들 중 Arrhenius 모형과 Romell-Gleason 모형은 조사면적의 증가에 따라 종수가 계속해서 증가하는 곡선 형태이다. 이러한 모형은 조사면적이 커질수록 생물군집의 종수가 계속하여 증가하는 육상이나 해양과 같은 대규모의 개방생태계에서 적용될 수 있다. 이와 반면 하천과 호수는 상대적으로 폐쇄된 생태계이기 때문에 특정 수역에 서식하는 총 종수가 제한적일 것으로 가정할 수 있으며, 특히 저서성 대형무척추동물은 어류나 플랑크톤에 비해 이동성 또는 부유성이 낮기 때문에 그 경향이 더욱 뚜렷할 것으로 예상된다.

본 연구는 수질 및 하상 구조가 다른 두 하천을 대상으로 상·중·하류 지점을 선정하여 각 지점에서 15회의 연속적인 채집을 통해 얻어진 결과를 확률적으로 조합하여 누적된 결과를 바탕으로 5개의 수학적 모형을 적용하여 그 적합성을 검토하고 조사면적에 따른 저서성 대형무척추동물의 출현종수의 변화를 파악한 것이다.

2. Materials and Methods

2.1. 조사 지점 및 시기

2012년 10월 19일과 20일에 경기도 가평군에 위치한 가평천과 경기도 용인시·화성시·평택시를 경유하는 오산천의 상·중·하류 3개 지점을 조사하였다(Fig. 1).

Fig. 1.

Location of the survey sites. (a) Gapyeong stream, (b) Osan stream

../../Resources/kswe/31-2/images/SJBJB8_2015_v31n2_142_f001.jpg

2.2. 물리·화학적 환경요인

각 지점의 고도(altitude)와 하폭(channel width), 수폭(water width), 유속(water current), 하상(substratum)을 현장에서 조사하였다. 하폭과 수폭은 거리측정계(Bushnell sport 600)를 이용하여 측정하였으며, 유속은 Craig (1987)의 방법에 따라 측정하였다. 하상은 Cummins (1962)의 기준에 따라 boulder, cobble, pebble, gravel, sand/silt의 5단계로 구분하여 측정하였다.

수질은 2012년 수질측정망자료(MOE, 2012) 중 해당 조사지점의 연 평균치를 활용하였으며, BOD5 농도에 따른 Sládeček (1969, 1973)의 기준에 따라 부수성(saprobity)을 판정하였고, 총인 농도에 따른 Vollenweider (1974)의 기준에 따라 영양상태(trophic state)를 판정하였다.

2.3. 채집 방법

각 조사지점의 여울부에서 무작위로 정점을 선정하여 Surber net (30 cm × 30 cm, mesh size: 1 mm)로 15번씩 채집하였다. 채집물은 각 방형구별로 번호를 부여하여 플라스틱 병에 개별적으로 넣어 95% Ethyl alcohol로 고정한 후 동정하였다.

2.4. 통계 분석

2.4.1. 데이터의 조합

각 지점의 15개 방형구별로 종과 개체수 목록을 작성한 후 방형구 횟수에 따라 종별 개체수를 모든 경우의 수를 고려하여 조합하였다(식 (1)).

../../Resources/kswe/31-2/images/SJBJB8_2015_v31n2_142_e901.jpg

각 방형구별로 나타나는 일련의 조사결과를 임의로 누적할 경우 누적된 방형구의 순서에 따라 군집특성의 변화 경향은 달리 나타날 수밖에 없다. 따라서 이 분야의 연구에서 확률개념을 적용한 모든 경우의 수에 대한 조합은 중요한 일이다. 본 연구에서 각 지점 당 방형구의 누적횟수에 따른 총 조사단위(sampling unit)는 32,767개였다(Table 1).

Table 1.

Combined numbers of sampling units and cumulative survey areas (z) according to cumulative sample size number(n)

../../Resources/kswe/31-2/images/SJBJB8_2015_v31n2_142_t001.jpg

2.4.2. 종수-면적 관계 해석 모형의 적용

본 연구에서는 조사면적에 따른 저서성 대형무척추동물 출현종수 변화를 해석하기 위해서 대표적인 수학적 모형들을 적용하였다(Table 2).

Table 2.

Used species-area relationship models in this study

../../Resources/kswe/31-2/images/SJBJB8_2015_v31n2_142_t002.jpg

S : Number of species, Sm : Maximum number of species, z : Cumulative area, a, b, μ, σ, λ, k : Constant derived from the sample data set

2.4.2.1. Arrhenius 모형

Arrhenius 모형(Arrhenius, 1921)은 가장 고전적인 경험식으로서 종수(S)가 조사면적(z)의 거듭제곱에 비례하여 무한하게 증가하는 형태이다.

이 모형은 현재까지 관련 연구에서 가장 흔하게 이용되고 있다(Kimoto, 1976; Tjørve, 2003; Ulrich and Buszko, 2007). 비례상수 a는 종 다양성에 대한 지리적인 변이를 반영하는 것으로 생물군 또는 조사지역마다 다르다(Commission on Life Sciences (USA), 1995). 지수치 b는 군집을 구성하는 분류군의 다양성과 이동성 및 서식처에 따라 달라진다(Vreugdenhil et al., 2003).

2.4.2.2. Preston 모형

Preston (1948)은 뉴욕과 펜실베니아의 조류(鳥類) 조사 자료와 캐나다의 앨버타와 서스캐처원에서 수집된 나방 표본들로부터 개체수의 대수치 구간에 따른 해당 구간의 종수가 정규분포를 따름을 확인하였다. Preston이 제안한 종수-개체수 모형은 군집구조의 경향을 묘사하는데 널리 사용되고 있으나(Engen et al. 2002), 모형의 정확한 예측을 위해서는 비교적 많은 자료를 필요로 한다(Gray, 1987; May, 1975; Whittaker, 1965).

Preston (1962)은 이론적인 종수와 개체수의 대수정규분포 가설을 통해 총 종수에 대한 이론적인 면적지수를 0.262로 제안하였다. 이는 지수치가 0.262가 되는 것을 제외하곤 Arrhenius의 식과 일치하며, 0.262를 대략 1/4로 놓은 것이 4승근 법칙(the fourth root law)이다. Preston (1962)은 면적지수 0.262란 수치를 기준으로 서식처의 복잡성 또는 불균일성을 판단할 수 있다고 하였다. 그러나 실제 조사결과는 지수 값이 0.262보다 큰 경우가 많은데, MacArthur and Wilson (1967)은 그 이유를 서식처의 불균일성보다는 조사면적이 커지면 지세가 복잡해지고 격리된 군집의 종 분화가 커지기 때문인 것으로 해석하였다.

2.4.2.3. Romell-Gleason 모형

Romell-Gleason 모형(Gleason, 1922)은 Romell (1920)이 제안한 기본 모형을 1922년에 Henry Gleason이 미국 미시간의 포플라 군락에 적용하여 확인한 것으로 비교적 작은 조사면적에서 적합한 것으로 알려져 있다(Kimoto, 1976).

2.4.2.4. Kylin 모형

Kylin (1926)은 이론적인 총 종수(Sm)를 고려한 모형을 제안하였다. 이 모형에서 총 종수(Sm)에 대한 출현종수(S)의 비(S/Sm)를 종속변수, 조사면적(z)을 독립변수로 할 경우 누적분포함수(cumulative distribution function, CDF)는 식 (2), 확률밀도함수(probability density function, PDF)는 식 (3)이 된다. 이 모형은 조사면적의 증가에 따른 종수의 비감소율이 일정한 상수 값을 갖는 것으로 가정하는데 이는 자연계에선 흔하지 않은 일이다(Kimoto, 1976).

../../Resources/kswe/31-2/images/SJBJB8_2015_v31n2_142_e902.jpg

../../Resources/kswe/31-2/images/SJBJB8_2015_v31n2_142_e903.jpg

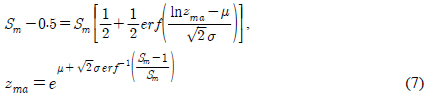
또한 이론적인 총 종수의 1/2에 해당하는 종수를 보이는 조사면적(zm)은 중위수(median value)로서 본 연구에서는 이를 반포화면적(half-saturation area, zm)으로 지칭하고자 한다.

이론적인 총 종수를 고려한 모형은 조사면적이 무한대에 가까울 때 종수가 총 종수에 합치하는 형태로 구성되어 있다. 그러나 실질적인 종수는 실수가 아닌 정수임을 고려하여 총 종수를 반내림하면 유의한 총 종수를 보이는 최대 면적(zma)은 식 (4)가 된다.

../../Resources/kswe/31-2/images/SJBJB8_2015_v31n2_142_e904.jpg

2.4.2.5. 대수정규분포 모형

본 연구에서 새로이 적용한 대수정규분포(lognormal distribution) 모형은 S/Sm의 미분치가 조사면적에 따라 대수정규분포를 한다고 가정한 것으로 확률밀도함수는 식 (5), 누적분포함수는 식 (6)과 같다. 또한 유의한 총 종수를 보이는 최대 면적은 식 (7)과 같다.

../../Resources/kswe/31-2/images/SJBJB8_2015_v31n2_142_e905.jpg

../../Resources/kswe/31-2/images/SJBJB8_2015_v31n2_142_e906.jpg

../../Resources/kswe/31-2/images/SJBJB8_2015_v31n2_142_e907.jpg

2.4.2.6. Weibull 모형

와이블 모형은 Fréchet (1927)가 최초로 고안하였는데 이는 현재 쓰이고 있는 와이블 모형과 비교하면 역와이블 형태이다. 그 후 Rosin and Rammler (1933)는 광물질의 입도분석을 위해 와이블 모형을 최초로 적용하였으며, 스웨덴의 물리학자 Waloddi Weibull이 이를 체계화하였다(Weibull, 1951). 이 모형은 금속 및 복합재료의 강도나 전자 및 기계부품의 수명분포를 나타내는 데 활용되고 있다. 본 연구에서는 조사면적 증가 시 새로운 종이 추가될 확률을 기본 모형의 경과시간에 따라 제품이 고장 날 확률과 같은 개념으로 간주하였다. 생물종수와 면적과의 관계 해석에 와이블 모형을 적용한 일부 사례에서 모형의 적합도가 매우 높은 것으로 확인된 바 있으나(Flather, 1996; Rørslett, 1991), 이는 조류(鳥類)를 대상으로 한 광범위한 조사면적을 대상으로 한 것이며, 제한된 수역의 저서성 대형무척추동물 군집에 와이블 모형을 적용한 사례는 본 연구가 처음이다.

S/Sm가 조사면적에 따라 와이블 모형의 누적분포함수(식 (8))를 따른다고 가정할 때, 확률밀도함수는 식 (9)가 되며, 유의한 총 종수를 보이는 최대 면적은 식 (10)과 같다.

../../Resources/kswe/31-2/images/SJBJB8_2015_v31n2_142_e908.jpg

../../Resources/kswe/31-2/images/SJBJB8_2015_v31n2_142_e909.jpg

../../Resources/kswe/31-2/images/SJBJB8_2015_v31n2_142_e910.jpg

2.4.3. 모형의 적합도 판정

모형의 적합도는 추정치와 실측치의 평균제곱근오차(Root Mean Square Error, RMSE)로 판단하였다. 각 모형의 모수는 추정치와 실측치의 RMSE가 최소가 될 때까지 시행착오법으로 변화시켜 산출하였다.

3. Results and Discussion

3.1. 물리·화학적 상태

가평천 조사지점의 고도는 해발 50~252 m인 반면 오산천 조사지점의 고도는 18~37 m인 저지대였다(Table 3). 두 하천의 규모는 큰 차이가 없었으며 하류지점으로 갈수록 하폭과 수폭이 증가하였다. 유속은 비교적 빠른 편이었으나 가평천 하류는 상대적으로 완만한 흐름을 보였다. 두 하천의 하상은 상류에서 하류로 갈수록 중위입경(median diameter)이 작아졌다. 가평천 상류지점의 하상은 주로 호박돌과 큰자갈, 자갈로 구성되어 있었던 반면 오산천 하류는 잔자갈과 모래/실트의 비율이 높아지는 경향을 보였다.

Table 3.

Physical and chemical conditions of the survey sites

../../Resources/kswe/31-2/images/SJBJB8_2015_v31n2_142_t003.jpg

Log2(median diameter, mm)

* Annual average water quality

** Sládeček (1969, 1973); BOD5 (mg/L) 0~1: xenosaprobic, 1~2.5: oligosaprobic, 2.5~5: β-mesosaprobic, 5~10: α-mesosaprobic, >10: Polysaprobic

*** Vollenweider (1974); T-P (mg/L) 0~0.01: oligotrophic, 0.01~0.02: mesotrophic, 0.02~0.1: eutrophic, >0.1: hypertrophic

가평천의 모든 지점들은 극빈부수성(xenosaprobic)의 중영양(mesotrophic) 수역이었던 반면, 오산천은 상류에서 하류로 갈수록 빈부수성(oligosaprobic)에서 α-중부수성(α-mesosaprobic)으로 변화하였고 전체적으로 과영양(hypertrophic) 상태였다.

3.2. 출현 종수

각 지점별로 15회 정량채집 시 출현한 저서성 대형무척추동물 종수는 가평천 상류 지점(G1)에서 54종, 중류 지점(G2) 63종, 하류 지점(G3)에서 50종이었으며, 가평천에 비해 수질이 다소 불량하고 하상이 상대적으로 세립화된 오산천은 상류 지점(O1)에서 26종, 중류 지점(O2) 20종, 하류 지점(O3)에서 27종으로서 가평천의 절반 수준이었다.

3.3. 종수-면적 관계 해석 모형

3.3.1. 모형의 적용

Arrhenius 모형의 추정치는 실측치를 적절한 수준으로 재현하였으나 조사면적이 작을 때는 실측치보다 약간 낮고 조사면적이 큰 경우에는 실측치보다 커지는 경향을 보였다(Fig. 2(a)-(b)). 따라서 제한된 조사면적의 자료를 가지고 도출된 식에 큰 조사면적을 대입하는 경우 추정치는 비합리적으로 커질 수 있다. 면적지수는 가평천에서 0.278~0.418, 오산천은 0.242~0.439로 Preston(1962)이 제안한 면적지수 0.262 및 4승 법칙의 0.25에 비해 더 컸다.

Fig. 2.

Species-area relationship model results between number of species and cumulative survey area. (a)~(b) Arrhenius model, (c)~(d) Romell-Gleason model, (e)~(f) Kylin model, Error bars indicate standard deviation.

../../Resources/kswe/31-2/images/SJBJB8_2015_v31n2_142_f002.jpg

Romell-Gleason 모형은 비교적 작은 면적에서 적합하다는 선행연구 결과(Kimoto, 1976)처럼 추정치가 실측치를 잘 재현하였으나, 가평천과 오산천의 각 하류지점에서는 조사면적이 작을 때 실측치보다 크고 조사면적이 클 경우에는 실측치보다 작아지는 경향을 보였다(Fig. 2(c)-(d)). 두 지점은 모두 조사면적에 따라 종수가 가파르게 증가하였는데, 이러한 경우에는 이 모형이 상대적으로 적합하지 않은 것으로 판단된다. 또한 위 두 모형은 조사면적이 늘어남에 따라 종수가 끊임없이 늘어나는 형태로 총 종수의 추정이 불가능하다.

Kylin 모형의 추정치는 전반적으로 실측치와 부합되지 않았으며 조사면적이 작을 때 실측치보다 크고 조사면적이 커질 경우 실측치보다 낮은 경향을 보였다(Fig. 2(e)-(f)).

대수정규분포 모형의 추정치는 실측치를 적합하게 재현하였으나 확률밀도함수의 왜도(skewness)와 첨도(kurtosis)가 지나치게 크게 나타났다(Fig. 3).

Fig. 3.

Lognormal cumulative distribution function and probability distribution function results between number of species and cumulative survey area.

../../Resources/kswe/31-2/images/SJBJB8_2015_v31n2_142_f003.jpg

와이블 모형의 추정치는 실측치를 적합하게 재현하였다(Fig. 4). Flather (1996)는 미국 동부지역의 조사면적-조류(鳥類)종수의 해석을 위해 적용한 9개의 수학적 모형 중 와이블 모형의 적합도가 가장 높음을 확인 한 바 있다. 동 연구의 결과는 와이블 모형이 작은 면적에서 출현하는 저서성 대형무척추동물 군집의 면적-종수 해석에도 적용성이 높음을 시사한다.

Fig. 4.

Weibull cumulative distribution function and Weibull probability distribution function results between number of species and cumulative survey area.

../../Resources/kswe/31-2/images/SJBJB8_2015_v31n2_142_f004.jpg

RMSE 값은 Arrhenius 모형이 0.23~1.16, Romell-Gleason 모형은 0.05~1.24, Kylin 모형은 1.11~3.08, 대수정규분포 모형은 0.06~0.38, 와이블 모형은 0.08~0.25로 나타났으며 이를 기준으로 할 때 모형의 적합도는 와이블 모형이 가장 높고 Kylin 모형이 가장 낮은 것으로 판단할 수 있다(Table 4).

Table 4.

RMSE (Root Mean Square Error) values between predicted number of species and observed number of species

../../Resources/kswe/31-2/images/SJBJB8_2015_v31n2_142_t004.jpg

RMSE (Root Mean Square Error) represents the sample standard deviation of the differences between predicted values and observed values.

각 지점별로 15회 채집에서의 누적 출현종수(S15)와 각 모형에서 도출된 총 종수(Sm), 반포화면적(zm), 유의한 수준에서 총 종수를 보이는 최대 면적(zma)은 Table 5와 같다.

Table 5.

Maximum number of species (Sm), half-saturation area (zm) and maximum area (zma) estimated from the models and the number of species (S15) from 15 replicate samples

../../Resources/kswe/31-2/images/SJBJB8_2015_v31n2_142_t005.jpg

조사면적에 따른 누적 출현종수는 계속하여 증가하는 것으로 나타난 반면 Kylin 모형에서 도출된 총 종수는 15회 채집의 누적종수보다 같거나 더 작게 나타나 그 적합성이 낮았다. 대수정규분포 모형에서 도출된 총 종수는 와이블 모형의 총 종수에 비해 상대적으로 크게 나타났다. 또한 총 종수를 보이는 최대 면적(zma)은 전반적으로 크게 나타났으며, 하류 지점의 최대 면적은 실제 현장 조사지점의 여울부 전체 면적에 비해서도 비합리적인 수준으로 컸다. 이는 대수정규분포의 확률밀도함수 곡선이 면적 축의 오른쪽 극단까지 완만하게 감소하며 이어지는 것을 의미하며, 이에 따라 이론적인 총 종수도 과대평가되는 경향을 갖는 것으로 판단된다.

세 모형 중 와이블 모형에서 도출된 총 종수 및 최대 면적은 가장 합리적인 수준인 것으로 판단된다. 추정된 총 종수는 수질이 더 양호한 가평천에서 더 크게 나타났으며, 같은 하천에서는 하류로 갈수록 총 종수의 추정치가 커졌는데 이는 수체의 규모가 커지면서 미소서식처가 다양화되는데 따른 것으로 보인다. 생태계는 공간의 크기와 생산성에 따라 한정된 크기의 종수만 수용가능한데, 이때 수용된 총 종수를 생태계의 수용능력(carrying capacity)이라고 한다면 총 종수는 서식처의 여러 환경조건들을 복합적으로 반영하는 수용능력의 지표로 사용될 수 있다.

반포화면적은 이론적인 총 종수의 1/2에 해당하는 종수가 출현하는 면적인데 이 값이 작으면 조사면적의 증가에 따라 종수의 증가가 급하고 총 종수에 이르는 최대 면적이 작아진다. 이와 반면 반포화면적의 값이 크면 조사면적의 증가에 따라 새로운 종이 출현하여 총 종수에 이르기 위해서 더 큰 조사면적을 필요로 한다. 서식처의 이질성(다양한 서식환경 존재)이 클수록 종 다양성이 증가(Benton et al., 2003; MacArthur and Wilson, 1967)하기 때문에 반포화면적이 큰 지점은 다양한 생물이 서식 가능한 서식처의 이질성이 높은 환경으로 평가할 수 있다. 본 연구에서는 각 하천의 상류와 중류보다 하류에서 반포화면적이 크게 나타나 하류의 미소서식처의 이질성이 높은 것으로 판단할 수 있다.

조사면적에 따른 종수 및 개체수의 변화는 군집구조를 이해하는데 있어 매우 중요한 변수이다(Morin, 1997). 실제 야외 조사에서 방형구로 3~4회 채집하여 군집구조를 분석하고 환경을 평가하는 것이 일반적인데, 본 연구는 이러한 제한적인 조사가 실제 저서성 대형무척추동물 군집의 구조를 이해하는데 한계가 있음을 보여 준다. 본 연구는 단지 종수만을 대상으로 조사면적과의 관계를 해석하였으나 향후 우점도, 종다양성, 종 풍부도, 균등도 등의 군집지수 및 오수생물지수(saprobic index) 등 생물학적 환경평가에 이용되는 지수들과 조사면적간의 수학적 관계를 검토할 필요가 있다.

4. Conclusion

표본크기(조사면적)와 저서성 대형무척추동물 종수간의 관계를 해석하기 위해 서식환경이 다른 두 하천을 대상으로 조사하였다. 이 결과를 바탕으로 5가지 수학적 모형의 적합성을 검토하여 다음과 같은 결론을 얻었다.

1) 적용된 모형 중 와이블 모형의 적합도가 가장 컸다.

2) 와이블 모형에서 산출되는 총 종수와 반포화면적은 각각 환경의 수용능력과 서식처의 이질성을 판단하는 지표로서 활용 가능할 것으로 판단된다.

3) 향후 군집지수 등의 생물지수와 조사면적간의 수학적 관계에 대한 해석이 필요하다.

Acknowledgements

이 논문은 2013학년도 경기대학교 학술연구비(일반연구과제) 지원에 의하여 수행되었으며, 이에 감사드립니다.

References

1 
Arrhenius O., 1921, Species and Area, Journal of Ecology, Arrhenius, O. (1921). Species and Area, Journal of Ecology, 19, pp. 95-99., Vol. 19, pp. 95-99Google Search
2 
Bagon M., Harper J. L., Townsend C. R., 1986, Ecology: Individuals, Populations and Communities, Bagon, M., Harper, J. L., and Townsend, C. R. (1986). Ecology: Individuals, Populations and Communities, Blackwell Science, Oxford, pp. 876., pp. 876Google Search
3 
Benton T. G., Vickery J. A., Wilson J. D., 2003, Farmland Biodiversity: is Habitat Heterogeneity the Key?, Trends in Ecology & Evolution, Benton, T. G., Vickery, J. A., and Wilson, J. D. (2003). Farmland Biodiversity: is Habitat Heterogeneity the Key?, Trends in Ecology & Evolution, 18(4), pp. 182-188., Vol. 18, No. 4, pp. 182-188DOI
4 
Cao Y., Williams D. D., Larsen D. P., 2002, Comparison of Ecological Communities: The Problem of Sample Representativeness, Ecological Monographs, Cao, Y., Williams, D. D., and Larsen, D. P. (2002). Comparison of Ecological Communities: The Problem of Sample Representativeness, Ecological Monographs, 72(1), pp. 41-56., Vol. 72, No. 1, pp. 41-56DOI
5 
1995, Science and the Endangered Species Act, Commision on Life Sciences (USA). (1995). Science and the Endangered Species Act, National Research Council.Google Search
6 
Craig D. A., 1987, Some of What you Should Know About Water, Bulletin of North American Benthological Society, Craig, D. A. (1987). Some of What you Should Know About Water, Bulletin of North American Benthological Society, 4(2), pp. 178-182., Vol. 4, No. 2, pp. 178-182Google Search
7 
Cummins K. W., 1962, An Evaluation of Some Techniques for the Collection and Analysis of Benthic Samples with Special Emphasis on Lotic Water, The American Midland Naturalist, Cummins, K. W. (1962). An Evaluation of Some Techniques for the Collection and Analysis of Benthic Samples with Special Emphasis on Lotic Water, The American Midland Naturalist, 67(2), pp. 477-504., Vol. 67, No. 2, pp. 477-504DOI
8 
Engen S., Lande R., Walla T., DeVries P. J., 2002, Analyzing Spatial Structure of Communities Using the Two Dimensional Poisson Lognormal Species Abundance Model, The American Naturalist, Engen, S., Lande, R., Walla, T., and DeVries, P. J. (2002). Analyzing Spatial Structure of Communities Using the Two Dimensional Poisson Lognormal Species Abundance Model, The American Naturalist, 160(1), pp. 60-73., Vol. 160, No. 1, pp. 60-73DOI
9 
Flather C. H., 1996, Fitting Species-accumulation Functions and Assessing Regional Land use Impacts on Avian Diversity, Journal of Biogeography, Flather, C. H. (1996). Fitting Species-accumulation Functions and Assessing Regional Land use Impacts on Avian Diversity, Journal of Biogeography, 23, pp. 155-168., Vol. 23, pp. 155-168DOI
10 
Fréchet M., 1927, Sur La Loi de Probabilité de L'écart Maximum, Annales de la Société Polonaise de Mathematique, Fréchet, M. (1927). Sur La Loi de Probabilité de L'écart Maximum, Annales de la Société Polonaise de Mathematique, Cracovie, 6, pp. 93-116., Vol. 6, pp. 93-116Google Search
11 
Gleason H. A., 1922, On the Relation between Species and Area, Ecology, Gleason, H. A. (1922). On the Relation between Species and Area, Ecology, 3, pp. 158-162., Vol. 3, pp. 158-162DOI
12 
Gray J. S., 1987, Species-abundance Patterns. In: Organization of Communities Past and Present, Gray, J. S. (1987). Species-abundance Patterns. In: Organization of Communities Past and Present, Gee, J. H. R., and Giller, P. S. (eds), Blackwell Science, Oxford, pp. 53-68., pp. 53-68Google Search
13 
Gray J. S., 2000, The Measurement of Marine Species Diversity, with an Application to the Benthic Fauna of the Norwegian Continental Shelf, Journal of Experimental Marine Biology and Ecology, Gray, J. S. (2000). The Measurement of Marine Species Diversity, with an Application to the Benthic Fauna of the Norwegian Continental Shelf, Journal of Experimental Marine Biology and Ecology, 250(1), pp. 23-49., Vol. 250, No. 1, pp. 23-49DOI
14 
Kim A. R, Oh. M. W., Kong D. S., 2013, The Influence of Sample Size on Environment Assessment using Benthic Macroinvertebrates, Korean Society on Water Environment, Kim, A. R, Oh. M. W., and Kong, D. S. (2013). The Influence of Sample Size on Environment Assessment using Benthic Macroinvertebrates, Korean Society on Water Environment, 29(6), pp. 790-798. [Korean Literature], Vol. 29, No. 6, pp. 790-798Google Search
15 
Kimoto S., 1976, Analytical Method on Animal Community I, Kimoto, S. (1976). Analytical Method on Animal Community I, Koritz Press, pp. 192., pp. 192Google Search
16 
Kylin H., 1926, Über Begriffsbildung und Statistik in der Pflanzensoziologie, Kylin, H. (1926). Über Begriffsbildung und Statistik in der Pflanzensoziologie, Botaniska Notiser, pp. 81-181., pp. 81-181Google Search
17 
Li J., Herlihy A., Gerth W., Kaufmann P., Gregory S., Urquhart S., Larsen D. P., 2001, Variability in Stream Macroinvertebrates at Multiple Spatial Scales, Freshwater Biology, Li, J., Herlihy, A., Gerth, W., Kaufmann, P., Gregory, S., Urquhart, S., and Larsen, D. P. (2001). Variability in Stream Macroinvertebrates at Multiple Spatial Scales, Freshwater Biology, 46, pp. 87-97., Vol. 46, pp. 87-97DOI
18 
MacArthur R. H., Wilson E. O., 1967, The Theory of Island Biogeography, MacArthur, R. H. and Wilson, E. O. (1967). The Theory of Island Biogeography, Princeton University Press, Princeton, New Jersey.Google Search
19 
May R. M., 1975, Ecology and Evolution of Communities, May, R. M. (1975). Patterns of Species Abundance and Diversity, Ecology and Evolution of Communities, M. L. Cody and Diamond J. M. (eds.), Harvard University, Cambridge, pp. 81-120., pp. 81-120Google Search
20 
2012, Water Environment Information System (WEIS), Ministry Of Environment (MOE). (2012). Water Environment Information System (WEIS), http://water.nier.go.kr/waterMeasurement/selectWater.do (accessed Jun. 2012).Google Search
21 
Morin A., 1997, Empirical Models Predicting Population Abundance and Productivity in Lotic Systems, Journal of the North American Benthological Society, Morin, A. (1997). Empirical Models Predicting Population Abundance and Productivity in Lotic Systems, Journal of the North American Benthological Society, 13, pp. 319-337., Vol. 13, pp. 319-337Google Search
22 
Preston F. W., 1948, The Commonness and Rarity of Species, Ecology, Preston, F. W. (1948). The Commonness and Rarity of Species, Ecology, 29, pp. 254-283., Vol. 29, pp. 254-283DOI
23 
Preston F. W., 1962, The Canonical Distribution of Commonness and Rarity: Part I, Ecology, Preston, F. W. (1962). The Canonical Distribution of Commonness and Rarity: Part I, Ecology, 43, pp. 185-215., Vol. 43, pp. 185-215DOI
24 
Resh V. H., Jackson J. K., 1993, Freshwater Biomonitoring and Benthic Macroinvertebrates, Resh, V. H. and Jackson, J. K. (1993). Rapid Assessment Approaches to Biomonitoring Using Benthic Macroinvertebrates, Rosenberg D. M. and Resh V. H. (eds.), Freshwater Biomonitoring and Benthic Macroinvertebrates, Chapman and Hall, New York, pp. 195-233., pp. 195-233Google Search
25 
Romell L. G., 1920, Sur la Règle de Distribution Frèquences, Svensk Botanisk Tidskrift, Romell, L. G. (1920). Sur la Règle de Distribution Frèquences, Svensk Botanisk Tidskrift, 14, pp. 1-20., Vol. 14, pp. 1-20Google Search
26 
Rørslett B., 1991, Principal Determinants of Aquatic Macrophyte Richness in Northern European Lakes, Aquatic Botany, Rørslett, B. (1991). Principal Determinants of Aquatic Macrophyte Richness in Northern European Lakes, Aquatic Botany, 39, pp. 173-193., Vol. 39, pp. 173-193DOI
27 
Rosin P., Rammler E., 1933, The Laws Governing the Fineness of Powdered Coal, Journal of the Institute of Fuel, Rosin, P. and Rammler, E. (1933). The Laws Governing the Fineness of Powdered Coal, Journal of the Institute of Fuel, 7, pp. 29-36., Vol. 7, pp. 29-36Google Search
28 
Sládeček V., 1969, The Measures of Saprobity, Verhandlungen des Internationalen Verein Limnologie, Sládeček, V. (1969). The Measures of Saprobity, Verhandlungen des Internationalen Verein Limnologie, 17, pp. 546-559., Vol. 17, pp. 546-559Google Search
29 
Sládeček V., 1973, System of Water Quality from Biological Point of View, Archiv für Hydrobiologie, Beiheft. Ergebnisse der Limnologie, Sládeček, V. (1973). System of Water Quality from Biological Point of View, Archiv für Hydrobiologie, Beiheft. Ergebnisse der Limnologie, Stuttgart, 7, pp. 218., pp. 218Google Search
30 
Tjørve E., 2003, Shapes and Functions of Species-area Curves: a Review of Possible Models, Journal of Biogeography, Tjørve, E. (2003). Shapes and Functions of Species-area Curves: a Review of Possible Models, Journal of Biogeography, 30, pp. 827-835., Vol. 30, pp. 827-835DOI
31 
Ulrich W., Buszko J., 2007, Sampling Design and the Shape of Species-area Curves on the Regional Scale, Acta Oecologica, Ulrich, W. and Buszko, J. (2007). Sampling Design and the Shape of Species-area Curves on the Regional Scale, Acta Oecologica, 31, pp. 54-59., Vol. 31, pp. 54-59DOI
32 
Vlek H. E., Sporka F., Krno I., 2006, Influence of Macroinvertebrates Sample Size on Bioassessment of Streams, Hydrobiologia, Vlek, H. E., Sporka, F., and Krno I. (2006). Influence of Macroinvertebrates Sample Size on Bioassessment of Streams, Hydrobiologia, 566, pp. 523-542., Vol. 566, pp. 523-542DOI
33 
Vollenweider R. A., 1974, IBP Handbook No. 12, International Biological Programme, Vollenweider, R. A. (1974). A Manual on Methods for Measuring. Primary Production in Aquatic Environments, IBP Handbook No. 12, International Biological Programme, Blackwell Scientific Publications, Oxford, pp. 225., pp. 225Google Search
34 
Vreugdenhil D., Terborgh J., Cleef A. M., Sinitsyn M., Boere G. C., Archaga V. L., Prins H. H. T., 2003, Comprehensive Protected Areas System Composition and Monitoring, Shepherdstown (WV): World Institute for Conservation and Environment, Vreugdenhil, D., Terborgh, J., Cleef, A. M., Sinitsyn, M., Boere, G. C., Archaga, V. L., and Prins, H. H. T. (2003). Comprehensive Protected Areas System Composition and Monitoring, Shepherdstown (WV): World Institute for Conservation and Environment.Google Search
35 
Weibull W., 1951, A Statistical Distribution Function of Wide Applicability, Journal of Applied Mathematics, Weibull, W. (1951). A Statistical Distribution Function of Wide Applicability, Journal of Applied Mathematics, 18, pp. 293-296, Vol. 18, pp. 293-296Google Search
36 
Whittaker R. H., 1965, Dominance and Diversity in Land Plant Communities, Science, Whittaker, R. H. (1965). Dominance and Diversity in Land Plant Communities, Science, 147, pp. 250-260., Vol. 147, pp. 250-260DOI
37 
Yoon I. B., Bae Y. J., Ro T. H., Lee S. J., Park J. H., 1998, Determination on the Optimal Sample Size in the Aquatic Insect Community Analysis - Pangtae Creek Model, Korean Journal of Ecology and Field Biology, Yoon, I. B., Bae, Y. J., Ro, T. H., Lee, S. J., and Park, J. H. (1998). Determination on the Optimal Sample Size in the Aquatic Insect Community Analysis - Pangtae Creek Model, Korean Journal of Ecology and Field Biology, 21(5), pp. 409-418. [Korean Literature], Vol. 21, No. 5, pp. 409-418Google Search