박기수
(Kisoo Park)
청징
(Jing Cheng)
김영철
(Youngchul Kim)
†
Copyright © 2015, Korean Society on Water Environment
Key words
Fiber media, High filtration rate, Micro-filter, Turbid water
1. Introduction
여과는 수처리에 있어 가장 일반적이고 기본적인 공정으로 입자상 오염물질을 물리적으로 쉽게 제거할 수 있다. 여과에 사용되는 여재는 모래, 활성탄,
부직포, 분리막, 섬유 등의 다양한 여재가 사용되고 있으며 여재의 성질 및 특성에 따라 여과방법 및 여과효율이 달라진다(Carroll et al., 2002; Nicolaisen, 2002). 모래 및 활성탄 여과의 경우 여과효율은 우수하지만 분리막 여과 및 섬유여과에 비하여 시설의 설치에 소요되는 부지면적이 크고 여과속도가 매우 제한적이기
때문에 적용범위가 좁고 단위시간당 처리수량이 적은 단점이 있다(Lee et al., 1998).
분리막 여과의 경우 미세한 콜로이드 입자제거가 탁월하고 고속으로 여과를 수행할 수 있는 장점이 있지만 아직 분리막 자체가 고가이며 잦은 막힘 현상의
발생으로 유지관리에 소요되는 비용이 부담되기 때문에 일부 고도처리에 국한되어 적용되고 있는 실정이다(Kim et al., 2003). 반면 섬유여과의 경우 가격이 저렴하고 나일론(nylon), 스판덱스(spandex), 폴리프로필렌(polypropylene), 폴리에스터(polyester),
아크릴 섬유(acrylic), 레이온(rayon: 재생섬유)은 내마모성과 탄성이 우수하고 약품에 의한 변형, 좀, 곰팡이, 미생물에 저항성이 높아
안정성과 내구성이 큰 것이 특징이다(Ko et al., 2006). 또한 여재의 공극이 커 고속여과에 적합하며 고속으로 운전되기 때문에 단위시간당 처리수량이 크고 시설 설치에 필요한 부지 요구면적이 작아 경제적이다.
대기의 분진처리에서는 섬유여재를 이용한 다수의 우수한 백필터 기술이 개발되어 상용화 되었지만 아직까지 수처리에서는 섬유를 이용한 여과에 대한 연구자료가
미흡하고 분리막 여과와 마찬가지로 막힘 현상이 자주 발생되는 단점이 있기 때문에 지속적인 연구가 필요하다.
이러한 단점을 극복하기 위하여 많은 사람들이 합성섬유를 이용한 필터기술 연구를 수행하고 있다. 국내 업계에서는 폴리프로필렌 및 나일론 필터시스템을
개발하여 180-260 m/day 수준의 필터 시스템을 운영하였으며 일본 UNITAIKA 사 에서는 폴리아미드를 이용하여 라인형태의 섬유여재를 개발하였고,
(주) Union에서는 폴리프로필렌을 이용한 사각 섬유여재를 개발하였다.
또한, Yu and Kim (2013)은 황토 입자를 이용한 3,000 NTU 이상의 고농도 탁수처리를 수행하였고, Tanaka et al.(1995)의 경우 섬유여재를 이용한 도시하수처리를 Lee et al. (2007)은 여과속도(960-1,440 m/day) 및 각종 여과인자에 대한 여과성능을 분석하였고 Guerra et al. (2014)은 벤토나이트를 이용한 인공원수를 고속섬유여과장치로 처리하는 연구를 수행하였다.
여과공정에서 막힘 현상(clogging)은 여재의 형태나 구조에 관계없이 여과가 진행됨에 따라 발생하는 필연적인 현상이다. 공극율이나 공극의 크기를
증가시키거나 여과기 전체의 깊이에서 여과가 진행되도록(심층여과) 하여 여과지속 시간을 증가시키는 방법이 있으나 최대 억류량에는 한계가 있으므로 막힘
자체를 해소할 수는 없다.
일반적인 입자상 여재를 충진한 여과기에서 고속여과의 과제는 여재에 억류되는 입자의 부착력보다 공극에서 수류의 전단력이 매우 크므로 아예 억류되지 않거나
부착된 플럭이 유리되므로 높은 여과효율을 기대하기 어렵다. 그러나 섬유여재는 재질이 다양하고 합사, 구조적 변형 및 직조가 가능하므로 다양한 공극의
크기 및 공극율을 조절하고 고속여과 조건에서도 억류용량의 확보나 부착력의 확보가 가능한 장점이 있다.
본 연구에서는 공극율이 95% 이상이고 1,000 m/day의 여과속도 조건에서 각종 여과기능이 발휘될 수 있는 여재를 고안하여 탁수처리를 시도하였으며
본 논문에서는 다양한 운전조건에서 여과장치의 처리성능 및 특성을 제시하였다.
2. Materials and Methods
2.1. 실험장치의 구성
본 실험 장치는 실험실규모의 여과장치로 Fig. 1과 같이 여과부, 유입탱크, 세척탱크로 구성되어있다. 여과부는 투명아크릴로 지름 7 cm, 높이 40 cm의 규모로 제작하였다. 상· 하부에는 유입과
유출이 원활하게 이루어질 수 있도록 각각 5 cm의 여유고를 두었고 중간부 30 cm에 섬모상 여재를 부착하여 여과실험을 수행하였다. 상·하부 여유고와
중간부에 맞닿는 지점에 유공판을 설치하여 유량이 균등하게 분배될 수 있도록 설계하였다. 또한, 운전 중 내부의 손실수두를 측정하기 위해 압력계를 설치하였다.
Fig. 1.
Details of the filter module and diagram of the laboratory filter system.
유입탱크와 세척탱크는 1 m3 크기의 일체형 구조로 제작하였으며 내부에 아크릴 벽을 설치하여 유입탱크와 세척탱크를 분리하였다. 유입탱크는 가로 0.7 m, 세로 1.0 m, 높이
1.0 m의 0.7 m3 규모이며 수중펌프와 지름 2 cm의 PVC 파이프를 연결하여 유입원수를 여과부에 공급하였다. 유입속도 조절을 위해 PVC파이프 중간에 볼밸브를 설치하였고
입자상 물질의 침전을 방지하기 위해 혼합장치를 설치하였다. 세척탱크는 가로 0.3 m, 세로 1.0 m, 높이 1.0 m의 0.3 m3 규모로 유입탱크와 마찬가지로 수중펌프와 PVC파이프를 여과부에 연결하여 세척수를 공급하였다.
2.2. 여재 및 유입원수의 특성
본 실험에 사용된 여재는 S사의 Ultra BC를 사용하였으며 여재는 4 mm의 폴리에틸렌 재질 내심에 1,100 데니아 폴리프로필렌 다섬사를 엮어
만든 여재로 Fig. 2(a)에 보는 바와 같이 선형다발 형태(line bundle shape)이며 여재의 표면은 (-) 성질의 전하를 띠고 있다. 직경은 약 4 cm이며 공극율은
90 ~ 95%, 여재 충진밀도는 97 g/L이었다. Fig. 2(b)에는 Ultra BC의 SEM (Scanning Electron Microscope)사진을 보여주고 있다. 본 여과장치의 특성은 여과 진행방향과 세척방향이
동일하게 하향류로 형태로 운전할 수 있도록 하였는데 그 이유는 여재의 결을 수지상(나무가지) 형태로 제조하여 하향류 물과 함께 유입되는 입자상 물질이
여재와의 충돌의 기회를 최대한 제공할 수 있도록 유도하였으며 세척시 고압의 하향류로 유입되는 세척수에 의해 수지상 여재가 수류방향으로 펼쳐지도록 함으로서
세척이 용이하게 일어나도록 고안하였다(Guerra, 2013; Guerra et al., 2014).
Fig. 2.
Photo and SEM image of the filamentous fiber media used in this study.
유입원수는 일반적으로 의류 및 직물을 염색하는데 사용하는 50 μm 이하의 상업용 황토를 수돗물과 희석하여 제조한 인공탁수를 사용하였다. Fig. 3에는 실험에 사용된 황토분말을 보여주고 있으며 입도분포를 분석한 결과 80%이 상이 10 μm 이하의 미세한 입자로 구성되어 있다.
Fig. 3.
Photo and particle size distribution of clay in turbid water used as a raw water in
this study
2.3. 운전방법
Fig. 4에는 본 여과장치의 운전 모식도를 나타내고 있다. 그림에서 보는바와 같이 여과는 유입탱크의 인공탁수를 수중펌프를 이용하여 하향류로 여과부에 공급하고
여과공정을 거쳐 배출되는 형태이다. 이때 매 10분마다 유입수 및 여과수의 탁도, 여과속도, 수두손실, 수온을 측정하고 매 30분 간격으로 채취된
시료의 입도분석을 실시하였다. 세척의 경우에도 여과와 마찬가지로 수중펌프를 이용하여 약 20,000 m/day의 빠른 속도로 간헐적 충격세척(하향류식)을
실시하였다. 이때 세척수 2L를 기준으로 배출수를 채취하여 탁도 및 입도분포를 측정하였고 전체 10회의 반복적인 세척을 실시하였다.
Fig. 4.
Schematic diagram of the filter operation.
Table 1에는 합성섬유여재의 여과효율을 평가하기 위해 2013년 7월 1일부터 2013년 11월 18일 까지 재현성을 검증하기 위하여 필터운전조건에서 연속적으로
3회의 반복시험을 실시하였으며 운전조건별로 총17회의 운전을 실시하였으며 통계적 유의성 시험을 실시하였다. 최적 응집제 주입농도를 결정하기 위해 동일한
유입수 탁도 및 여과속도 조건에서(50NTU, 1,500 m/day) 0.25 ~ 2.0 mg/L의 주입농도로 운전하였다. 또한 여과속도, 유입수
탁도, 여재의 길이를 변화시키면서 여과실험을 수행하였으며 모든 실험에서 여재의 형태는 Fig. 2(a)와 같이 라인형(line type)으로 제작하여 시험하였다.
Table 1.
Experiment condition for this study
Fig. 5에는 본 실험에 사용된 간헐적인 충격 세척법의 모식도를 나타내고 있다. 그림과 같이 연속적으로 1 L씩 2회의 고속세척(세척속도= 세척유량/면적=
1.00 × 10-3m3 /sec ÷ 3.85 × 10-3m2 = 0.259 m/sec × 86,400 sec/day = 22,377 m/day ≒ 20,000 m/day)을 실시하였다. 세척시 발생할 수 있는
내부 진공상태를 회피하기 위하여 세척모드 이후 즉시 필터에 장착된 감압밸브를 열고 신속하게 배출하는 방식으로 세척을 수행하였다. 세척수량은 여과수량의
약 5%인 20 L를 사용하였다.
Fig. 5.
Schematic diagram of the cleaning methods used in this study.
2.4. 분석방법
Fig. 6은 고형물 기준의 여과효율 산출을 위해 탁도와 TSS의 관계식을 도출하였다. 80NTU 이하의 유입수, 여과수, 저농도의 세척수에는 Fig. 6(a) 식을 이용하여 TSS 농도로 환산하였고 80NTU 이상의 고농도 세척수에는 Fig. 6(b) 식을 이용하여 TSS를 산출하였다. 산출된 TSS를 바탕으로 다음과 같이 여과효율을 평가하였다.
Fig. 6.
Relationship between TSS concentration and Turbidity.
산출된 TSS농도를 바탕으로 여과장치의 입자 체류속도는 다음 식 (2)를 이용하여 산정하였으며 여과시간에 따른 입자 체류량은 식 (3)에 의해 산출하였다.
또한 한계 체류량 도달 후 여재 세척시 발생하는 입자상 물질의 회수율은 식 (4)와 같이 총회수량을 총 체류량으로 나누어 산출하였으며 총회수량은 각각의
세척시 측정된 TSS 농도와 세척수량을 이용하여 산출된 양을 합산하여 산출하였다.
3. Results and Discussion
3.1. 최적 여과보조제 주입량의 결정
일반적인 수처리 공정에서 콜로이드 입자를 직접 제거하는 것은 불가능에 가까우므로 응집공정을 통하여 입자의 크기를 성장시킨 후 침전 및 여과공정에 의해
분리제거하고 있다. 응집공정에 이용되는 응집제(또는 여과보조제)는 소량의 사용으로도 여과성능에 큰 영향을 미치기 때문에 여과장치의 성능을 테스트하기
이전에 최적의 응집제 주입농도를 결정하는 것이 필요하다.
본 연구에서는 다른 입상 응집제에 비해 사용이 간편한 염화알루미늄(PAC)을 여과보조 응집제로 선정하였으며 Fig. 7에서 보는바와 같이 평균 여과속도 1,468 m/day, 응집제 주입량 0에서 2.0 mg/L 사이의 5개 주입농도 범위에서 처리실험을 수행하였다.
응집제 주입량에 따른 pH와 알칼리도(원수는 각각 6.5 ~ 6.7과 52 ~ 54 mg/L as CaCO3)는 PAC 주입량(0.5∼2.0mg/L)이
매우 적어 pH와 알칼리도 감소에 미치는 영향은 미미한 수준이었다.
Fig. 7.
Effect of the filter aid on the filter efficiency.
Fig. 7에 나타난 것처럼 여과보조제 PAC를 사용하지 않는 경우와 비교하여 사용하는 경우 여과효율이 뚜렷이 크게 증가하였다. 여과효율은 PAC 주입량이 0.5
mg/L일 때 91%의 최대 여과효율을 보였으며 주입농도를 1 mg/L 이상으로 증가시켰을 때에는 오히려 88%, 2 mg/L의 주입에서는 84%로
감소하였다(p>0.05).
이와 같은 현상은 응집-침전 수처리 공정에서 지나치게 많은 응집제를 투여했을 경우 일어나는 전하의 역전(charge reversal) 때문에 흔히
발생하는 현상으로 합성섬유를 여재로 사용한 여과기에서도 유사한 현상이 일어난 것으로 판단된다.
Fig. 8에는 응집제 주입여부에 따른 필터의 성능 및 여과기작을 개략적으로 도시하였다. 우선 Fig. 8의 (a)에는 응집제를 주입하지 않은 경우를 나타내었다. 응집제를 사용하지 않았을 경우 Fig. 8(a)에서 보는 바와 같이 진흙입자의 (-) 전하와 합성섬유 여재가 갖는 전하가 (-)로 동일하다.
Fig. 8.
Schematically illustrated relationship between filter aid doses and filter performance.
따라서 일반적인 심층여과지의 간극이나 공극에서 일어나는 충돌, 침전, 확산, 성장, 응결 등과 같은 기작은 일어나지 않고 여과지로 유입되는 입자 중
공극의 크기보다 큰 입자상 물질만이 우연한 접촉에 의해 강제 억류 제거되는 체거름(straining) 기작만이 일어났기 때문에 저조한 여과효율을 보인
것으로 해석된다.
적정량의 응집제를 투여한 경우를 도시한 Fig. 8(b)의 경우 (+) 전하 응집제를 주입함에 따라 유입수에서 (-) 전하를 띤 콜로이드 입자들의 전기적 반발력이 소멸되었으므로 응집제를 투여하지 않았을
경우 발생했던 체거름 작용뿐만 아니라 침전, 충돌, 차단, 확산, 응결 등의 복합적인 여과기작이 발생하여 여과효율이 크게 증가한 것으로 사료된다.
또한 섬유여재와 중화된 입자 사이의 부착 뿐 만 아니라 여재표면에 부착된 입자 표면에 다른 입자들이 다시 부착되는 현상, 즉 전체 여재깊이에 걸친
여과기능의 성숙과정이 본 여과장치의 핵심적인 여과현상으로 판단된다.
한편, Fig. 8(c)에는 응집제를 과다하게 주입하여 유입 원수내의 탁도 유발입자들의 전하가 원래의 (-)에서 오히려 (+)로 역전되어 여과효율이 감소한 경우를 기술하였다.
이 경우 섬유 여과지로 유입되는 입자의 표면이 (+) 전하이기 때문에 (-)전하의 섬유여재 사이에는 전기적 흡인력 (attraction)이 작용하여
충돌, 차단, 확산 등의 여과현상이 발생된 것으로 추정된다.
그러나 과량의 응집제가 투입되어 입자 표면의 전하가 (+)로 역전된 입자 상호간에는 반발력이 발생하기 때문에 입자와 입자 사이에서 일어나는 응결과정(성장)이
일어나기 어렵다. 따라서 여재 공극이나 간극에서 일어나는 억류량 증가에 따른 여과지 성숙이 빈약하였기 때문에 전체적으로 여과효율이 최적 주입량을 상정한
Fig. 8(b)에 비해 낮았던 것으로 해석할 수 있다(Niu et al., 2015).
3.2. 유입탁수의 농도가 여과효율에 미치는 영향
Fig. 9에는 유입탁수의 농도변화에 따른 여과효율을 분석하기 위하여 평균 여과속도 1,549 m/day, PAC 주입농도 0.5 mg/L로 설정하고 유입수의
탁도 농도를 25, 50, 75, 100 NTU로 변화시키면서 수행한 여과실험의 결과를 여과 지속 시간에 따른 입도분포로 나타내었다.
Fig. 9.
Changes of the PSD with respect to filter running time (average filtration rate= 1,549m/day).
최적응집제 주입농도와 동일한 조건에서 수행된 실험인 50 NTU의 경우에는 여과효율이 89%, 유입탁수의 농도가 25 NTU에서는 90%의 여과효율이
나타났다.
유입탁수의 농도가 25 NTU라면 탁수 내에 존재하는 입자상 물질의 양이 50 NTU의 절반이기 때문에 응집제의 주입농도는 1.0 mg/L로 여과효율이
감소되어야 하나 50 NTU와 25 NTU의 유입탁수를 처리한 결과 여과효율은 유사하였다.
그 이유는 1.0 mg/L의 응집제 주입농도 또한 Fig. 8의(c)와 같이 과량으로 응집제가 투입된 것이 아닌 Fig. 8의(b)와 같은 적정한 응집제 주입농도이기 때문에 전절에 기술한 바와 같이 복합적인 여과현상이 발생할 수 있고 상대적으로 작은 입자상 물질이 여과장치 내부에서
용이하게 처리되기 때문으로 생각된다.
반면 유입탁수 농도가 75 NTU와 100 NTU인 경우 여과 효율이 각각 83%와 77%로 급격하게 감소하였다. 그 이유는 탁수에 존재하는 입자상
물질에 비하여 주입된 응집제의 양이 미비하여 일부에 입자만이 중화되어 Fig. 8에 (b) 형태의 여과 기작이 일어났지만 나머지 입자들은 중화되지 못하고 (-)전하의 상태를 유지하여 Fig. 8의 (a)에서 발생되는 체거름 작용 이외의 여과현상이 일어나지 않았기 때문에 여과효율이 급격하게 감소한 것으로 판단된다.
따라서 본 여과장치는 50 NTU이하의 탁수를 응집제 주입농도 0.5 mg/L 이하에서 우수한 성능을 보이는 것으로 나타났으며 입자상 오염물질의 양에
따라 응집제 주입농도를 결정해야 할 것으로 판단된다.
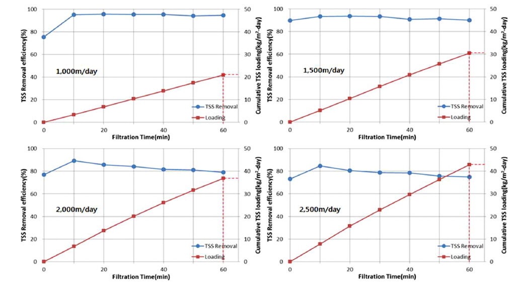
3.3. 여과속도에 따른 여과효율 비교
여과속도는 심층여과의 성능에 영향을 미치는 중요한 요소중 하나로 평가받고 있으나 다양한 여과속도에 대한 연구가 미흡한 실정이다. 따라서 본 연구에서는
최적의 PAC 주입농도로 판단되는 0.5 mg/L에서 1,000, 1,500, 2,000, 2,500 m/day등의 여과속도에서 여과성능에 미치는
영향을 분석하였다.
Fig. 10에 제시된 바와 같이 여과속도가 증가함에 따라 여과효율은 감소하고 손실수두는 급격하게 증가하였다.
Fig. 10.
Filtration rate versus filter efficiency and headloss.
그 이유는 여과속도가 증가할수록 유입되는 입자상 물질 의 양도 증가하는데 여재와 접촉할 시간이 단축되어 일부 입자들은 침전, 충돌, 차단, 응결 등의
여과기작이 일어나지 않고 수류와 함께 배출되기 때문에 여과효율이 감소된 것으로 생각된다.
또한 Fig. 11에 보는바와 같이 여과속도가 증가하면 시간에 따른 입자상 물질의 축적양이 많아지기 때문에 여재의 공극이 급격히 줄어들고 이에 따라 공극유속이 증가하기
때문에 수두손실은 증가하였다.
Fig. 11
Comparison of filter performance concerning different filter loading
따라서 본 여과장치의 최적성능은 손실수두의 영향이 적고 여과효율도 90% 이상으로 우수한 1,500 m/day가 최적의 여과속도로 판단된다.
3.4. 여재의 성능검증 및 기존의 고속여과 시스템 연구결과와 비교
Fig. 12에는 본 연구를 통하여 고안한 고속여과장치의 성능 재현성을 검토하기 위해 평균 여과속도 1,564 m/day, 유 입탁도 49.2 NTU에서 9회의
연속적인 운전을 수행하였다. 실험결과 여과수의 탁도가 5-10 NTU로 평균 80%이상의 지속적인 여과효율을 유지하였다. 초고속의 세척 속도에서도(약20,000m/d)
여재의 손상은 없었다. 여재의 손상여부 관찰은 육안으로 여재의 구조변형이나 훼손여부를 확인하였고, 여재가 손상되었을 경우 여과기 유출수와 함께 배출될
수 있는 섬유가닥의 유출여부를 확인하는 방법으로 실시하였다. 또한 동일한 여재를 가지고 연속적인 실험을 수행하였을 경우 유사한 여과성능이 재현되어
여재의 손상이 없는 것으로 판단하였다.
Fig. 12.
Repetitive filter running tests to confirm recurrence (filtration rate = 1,546m/day,
raw water turbidity = 49.2NTU, and PAC = 0.5mg/L)
Fig. 13에는 기존에 상용화된 여과 시스템과 본 연구에서 개발된 여과장치의 기술을 비교하였다. 처리대상 원수와 여과속도, 여과형태, 응집제 주입율 및 운전방법이
본 연구와 다르므로 직접적인 비교는 어렵다. 그러나 여과속도 측면에서 본 여과기술은 기존의 다른 여과기술에 비하여 높은 속도에서 운전 되었으나 여과효율이
우수하거나 유사한 효율을 나타내었다.
Fig. 13.
Comparison of different high rate filtration technologies.
또한 비교대상 4가지 기술에서는 합류식 하수관 월류수 (CSOs)나 강우유출수, 호소 수, 강물 등 본 연구에서 사용된 탁수와 달리 입경이 훨씬 큰
입자상 물질을 대상으로 얻은 결과이며 본 연구는 50 ㎛이하의 황토입자를 이용해 얻은 결과임을 강조하고자 한다. 본 여과기술과 가장 흡사하여 직접적인
비교가 가능한 Novel 섬유구체 필터(fiber-ball filter)에서는 10 NTU의 탁수를 유입원수로 사용하여 수행한 반면 본 연구에서는
50 NTU의 탁수를 유입원수로 사용하였음에도 불구하고 10% 이상의 우월한 여과효율을 보였다. 또한 하수처리장 1차침전지 유출수를 유입원수로 사용하여
섬유필터 연구를 수행한 Kim et al. (2014)의 연구결과와 비교하였을 경우에도 고속여과속도(본 연구 1,500 m/day, 비교연구 1,180 m/day)에서 20% 정도의 우수한 효율을 보였다.
3.5. 여과장치의 세척효율 검토
여과장치를 통하여 입자상 물질을 탁월하게 제거하였어도 Breakthrough 도달 후 적절한 수준에서 여재의 세척이 이루어지지 않는다면 지속적인 여과성능을
담보할 수 없다. Fig. 14에는 본 연구에서 사용된 간헐적 충격 세척방법을 통하여 얻은 여과횟수에 따른 억류물질의 회수율(recovery)을 나타내었다.
Fig. 14.
Particle recoveries during filter cleaning.
여과시험 횟수가 증가함에 따라 여과장치의 회수율이 감소하였는데 그 이유는 초기 세척 시 제거되지 않고 남아있는 억류물질 부착부위에 추후 운전에서 재차
그 표면위에 탁질 물질이 부착된 경우 추가적인 세척이 진행되어도 세척이 되지 않기 때문에 억류물질의 회수율이 크게 감소되는 것으로 판단된 되며 추후
회수율을 증가시킬 방안을 모색해야 할 것으로 사료된다.
4. Conclusion
본 연구에서 합성섬유 여재를 충진한 고속여과장치를 이용하여 탁수 여과시험을 수행한 결과 아래와 같은 결론을 얻었다.
1) 일반 다른 여과기술과 마찬가지로 여과보조 약품의 주입여부가 여과성능에 큰 영향을 미쳤다. 최적의 보조제 주입농도를 찾기 위하여 동일한 조건(1,500
m/day, 50 NTU)에서 0, 0.25, 0.5, 1.0, 2.0 mg/L의 PAC를 주입하여 실험한 결과 최적의 주입농도는 0.5 mg/L로
나타났다.
2) PAC 주입 농도에 따라 여과기작에 큰 차이를 보였다. PAC를 주입하지 않았을 경우 입자와 여재사이에서 단순 체거름 기작만이 작용하였고, 적정량의
PAC를 주입한 경우 다양한 여과기작이 발생하였다. 그러나 응집제 주입이 과다한 경우 전하의 역전으로 여재에 기 억류된 입자와 새로 유입되고 있는
입자사이에 부착작용은 일어나지 않았다.
3) 여과속도 및 유입수의 농도변화에 따른 여과효율을 분석한 결과 여과속도와 유입탁수의 농도가 증가함에 따라 여과효율은 감소하였으며 여과속도 1,500
m/day, 유입원수의 농도 50NTU에서 약 90%의 여과효율을 보였다.
4) 연속적으로 수행한 성능평가 시험결과 평균 80% 이상의 여과효율을 유지하였으며 기존에 상용화된 고속여과시스템과 여과효율을 비교한 결과 상대적으로
큰 여과속도 및 유입탁수의 농도 조건에도 불구하고 우수한 효율이 나타났다. 본 섬유여과장치에서 Breakthrough 도달 후 시행한 세척과정에서
억류물질의 평균 회수율은 약 75%로 나타났으며 추후 연구에서 회수율을 증가시킬 방안을 모색해야될 것으로 판단된다.
Acknowledgements
본 논문의 자료분석 및 준비는 “국토교통부/국토교통과학기술진흥원 건설연구사업”의 연구비 지원(13건설연구S04)에 의해 수행되었으며 이에 감사드립니다.
References
Carroll T., Booker N. A., Meier-Haack J., 2002, Polyelectrolyte-grafted Microfiltration
Membranes to Control Fouling by Natural Organic Matter in Drinking Water, Journal
of Membrane Science, Carroll, T., Booker, N. A., and Meier-Haack, J. (2002). Polyelectrolyte-grafted
Microfiltration Membranes to Control Fouling by Natural Organic Matter in Drinking
Water, Journal of Membrane Science, 203, pp. 3-13, Vol. 203, pp. 3-13

Gao P., Xue G., Song X., Liu Z., 2012, Depth Filtration Using Novel Fiber-ball filter
Media for the Treatment of High-turbidity Surface Water, Separation and Purification
Technology, Gao, P., Xue, G., Song, X., and Liu, Z. (2012). Depth Filtration Using
Novel Fiber-ball filter Media for the Treatment of High-turbidity Surface Water, Separation
and Purification Technology, 95, pp. 32-38., Vol. 95, pp. 32-38

Guerra H. B., 2013, High Speed Filtration Using a Highly Porous Fiber Media for Advanced
and Compact Water Treatment, Marster's Thesis, Guerra, H. B. (2013). High Speed Filtration
Using a Highly Porous Fiber Media for Advanced and Compact Water Treatment, Marster's
Thesis, Hanseo University, Seosan, Korea.

Guerra H .B., Niu S., Park K., Kim Y., 2014, High-Speed Filtration Using a Highly
Porous Fiber Media for Advanced and Compact Particle Removal, Water Science & Technology:
Water Supply, Guerra, H .B., Niu, S., Park, K., and Kim, Y. (2014). High-Speed Filtration
Using a Highly Porous Fiber Media for Advanced and Compact Particle Removal, Water
Science & Technology: Water Supply, 14(5) pp. 735-742., Vol. 14, No. 5, pp. 735-742

Kim J. H., Choi H., Kim H. S., Yeom I. T., Han G. B., 2003, The Effect of PACs Coagulant
on Permeate Flux in Pilot Scale Micro-filtration Sysrem for Water Treatment, Journal
of Korean Society on Water Environment, Kim, J. H., Choi, H., Kim H. S., Yeom, I.
T., and Han, G. B. (2003). The Effect of PACs Coagulant on Permeate Flux in Pilot
Scale Micro-filtration Sysrem for Water Treatment, Journal of Korean Society on Water
Environment, 19(2), pp. 225-231. [Korean Literature], Vol. 19, No. 2, pp. 225-231

Kim Y., Jung C., Oh J., Yoon Y., 2014, Feasibility Study on Removal of Total Suspended
Solid in Wastewater with Compressed Media Filter, Journal of Korean Society Environmental
Engineers, Kim, Y., Jung, C., Oh, J., and Yoon, Y. (2014). Feasibility Study on Removal
of Total Suspended Solid in Wastewater with Compressed Media Filter, Journal of Korean
Society Environmental Engineers, 36(2), pp. 84-95. [Korean Literature], Vol. 36, No.
2, pp. 84-95

Ko J. S., 2006, Industrial Textile Materials-Theory and Practices, Ko, J. S. (2006).
Industrial Textile Materials-Theory and Practices, Chonnam National University Press.
[Korean Literature]

Lee J. J., Boo K. M., Choi M. W., Kim C. W., 1998, Wastewater Treatment Using Submerged
Aerobic Biofilm Reactor Followed by Sand Filter, Journal of Korean Society on Water
Environment, Lee, J. J., Boo, K. M., Choi, M. W., and Kim, C. W. (1998). Wastewater
Treatment Using Submerged Aerobic Biofilm Reactor Followed by Sand Filter, Journal
of Korean Society on Water Environment, 14(1), pp. 57-64. [Korean Literature], Vol.
14, No. 1, pp. 57-64

Lee J. J., Im J. H., BenAim R., Kim J. R., Kim Y. J., Poo K. M., Kim C. W., 2007,
Better Understanding of the Filtration Characteristics in the Flexible Fibre Filter
Module (3FM), Water Science & Technology, Lee, J. J., Im J. H., BenAim, R., Kim, J.
R., Kim, Y. J., Poo, K. M., and Kim, C. W. (2007). Better Understanding of the Filtration
Characteristics in the Flexible Fibre Filter Module (3FM), Water Science & Technology,
55(1), pp. 77-83., Vol. 55, No. 1, pp. 77-83

Lee J., Cha J., BenAim R., Han K., Kim C., 2008, Fiber Filter as an Alternative to
the Process of Flocculationsedimentation for Water Treatment, Desalination, Lee, J.,
Cha, J., BenAim R., Han, K., and Kim, C. (2008). Fiber Filter as an Alternative to
the Process of Flocculationsedimentation for Water Treatment, Desalination, 231, 323-331.,
Vol. 231, pp. 323-331

Nicolaisen B., 2002, Developments in Membrane Technology for Water Treatment, Desalination,
Nicolaisen, B. (2002). Developments in Membrane Technology for Water Treatment, Desalination,
153, pp. 355-360., Vol. 153, pp. 355-360

Niu S., Park K., Guerra H., Kim Y., 2015, Experimental study on Non-Woven Filamentous
Fibre Micro-filter with High Filtration Speed, Water Science and Technology, Niu,
S., Park, K., Guerra, H., and Kim, Y. (2015). Experimental study on Non-Woven Filamentous
Fibre Micro-filter with High Filtration Speed, Water Science and Technology, in Press.

Tanaka Y., Miyajima K., Funakosi T., Chida S., 1995, Filtration of Municipal Sewage
by Ring-shaped Floating Plastic Net Media, Water Research, Tanaka, Y., Miyajima, K.,
Funakosi, T., and Chida, S. (1995). Filtration of Municipal Sewage by Ring-shaped
Floating Plastic Net Media, Water Research, 29(5), pp. 1387-1392., Vol. 29, No. 5,
pp. 1387-1392

Yu J., Kim Y., 2013, Performance Evaluation and Modeling of Synthetic-fiber Barrier
in the Treatment of Turbid water, Water Environment Research, Yu, J. and Kim Y. (2013).
Performance Evaluation and Modeling of Synthetic-fiber Barrier in the Treatment of
Turbid water, Water Environment Research, 85(7), pp. 596-603., Vol. 85, No. 7, pp.
596-603

Yu J., Kim Y., 2015, Developed Mathematical Equation for Predicting Turbidity Removal
Using Synthetic Fiber Filter, Separation Science and Technology, Yu, J. and Kim, Y.
(2015). Developed Mathematical Equation for Predicting Turbidity Removal Using Synthetic
Fiber Filter, Separation Science and Technology, 50, pp. 174-180., Vol. 50, pp. 174-180
