The Journal of
the Korean Society on Water Environment

The Journal of
the Korean Society on Water Environment

Bimonthly
  • ISSN : 2289-0971 (Print)
  • ISSN : 2289-098X (Online)
  • KCI Accredited Journal

Editorial Office





C/N ratio, Core sediment, C/S ratio, Heavy metal, Nakdong-River, Sedimentary structure

1. Introduction

ํ•˜์ฒœ์€ ์ธ๊ฐ„์˜ ํ™œ๋™๊ณผ ๋ฐ€์ ‘ํ•œ ๊ด€๊ณ„๋ฅผ ๊ฐ€์ง€๋Š” ์ง€์—ญ์œผ๋กœ์„œ ํ•˜์ฒœ์œผ๋กœ ์œ ์ž…๋˜๋Š” ๋‹ค์–‘ํ•œ ๋ฌผ์งˆ์€ ์ˆ˜์ค‘ ์ƒํƒœ๊ณ„ ๋ฐ ํ•˜์ƒ์— ํ‡ด์ ๋˜๋Š” ํ‡ด์ ๋ฌผ์—๊ฒŒ ๋งŽ์€ ์˜ํ–ฅ์„ ๋ฏธ์ณ ์ˆ˜์ค‘ ํ™˜๊ฒฝ์— ๋งŽ์€ ๋ณ€ํ™”๋ฅผ ๊ฐ€์ ธ์˜จ๋‹ค. ๊ทธ๋ฆฌ๊ณ  ํ•˜์ฒœ์—์„œ ๋Œ๊ณผ ์ €์ˆ˜์ง€ ๋“ฑ์˜ ๊ฑด์„ค์€ ์ธ์œ„์ ์ธ ์ž‘์šฉ ์ค‘ ๊ฐ€์žฅ ์ฃผ๋œ ์ž์—ฐ์œ ๋Ÿ‰์„ ๋ณ€ํ™”์‹œํ‚ค๋Š” ์š”์ธ์œผ๋กœ ์ค€์„ค๊ณผ ์ˆ˜๋ฆฌ์‹œ์„ค ์„ค์น˜ ๋ฐ ๊ด€๋ฆฌ์ˆ˜์œ„ ์šด์˜์€ ์ž์—ฐ ์ƒํƒœ ํ•˜์ฒœ์˜ ์œ ํ™ฉ์„ ๊ณ„์†ํ•˜์—ฌ ๋ณ€ํ™”์‹œํ‚จ๋‹ค(Ahn et al., 2014). ์šฐ๋ฆฌ๋‚˜๋ผ๋Š” ๋‚™๋™๊ฐ•, ํ•œ๊ฐ•, ๊ธˆ๊ฐ•, ์˜์‚ฐ๊ฐ•์˜ 4๋Œ€๊ฐ•์„ ๋น„๋กฏํ•œ ๋‹ค์–‘ํ•œ ํ™˜๊ฒฝ๊ณผ ๊ทœ๋ชจ์˜ ํ•˜์ฒœ์ด ๋„๋ฆฌ ๋ถ„ํฌํ•˜๊ณ  ์žˆ์œผ๋ฉฐ, ์ด์™€ ๊ฐ™์€ ์ธ์œ„์ ์ธ ์ž‘์šฉ์— ์˜ํ•˜์—ฌ ํ•˜์ฒœ์— ๋งŽ์€ ๋ณ€ํ™”๊ฐ€ ๋‚˜ํƒ€๋‚˜๊ณ  ์žˆ๋Š” ์‹ค์ •์ด๋‹ค.

ํ•˜์ฒœ ํ™˜๊ฒฝ์— ๋Œ€ํ•œ ์—ฐ๊ตฌ๋Š” ์ˆ˜์งˆ์„ ์ฃผ ๋Œ€์ƒ์œผ๋กœ ํ™œ๋ฐœํ•œ ์—ฐ๊ตฌ๊ฐ€ ์ง„ํ–‰๋˜๊ณ  ์žˆ๋‹ค. ๊ทธ๋Ÿฌ๋‚˜ ์ˆ˜์งˆ์€ ๋‹จ๊ธฐ๊ฐ„์— ๊ฑธ์นœ ํ™˜๊ฒฝ๋ณ€ํ™”๋ฅผ ๋ฐ˜์˜ํ•˜๋Š” ๋ฐ˜๋ฉด, ํ‡ด์ ๋ฌผ์€ ์ˆ˜์งˆํ™˜๊ฒฝ์— ๋น„ํ•ด ๋ฏธ๋Ÿ‰๊ธˆ์†์˜ ๋†๋„๊ฐ€ ์ƒ๋Œ€์ ์œผ๋กœ ๋†’๊ณ , ์‹œ๏ฝฅ๊ณต๊ฐ„์ ์œผ๋กœ ๋ณ€ํ™”๊ฐ€ ์ ๊ธฐ ๋•Œ๋ฌธ์— ํ™˜๊ฒฝ์˜ค์—ผ์„ ํ‰๊ฐ€ํ•˜๋Š”๋ฐ ์ค‘์š”ํ•œ ๋ชจ๋‹ˆํ„ฐ๋ง ๋„๊ตฌ๋กœ์จ ์•Œ๋ ค์ ธ ์žˆ๋‹ค(Thornton, 1983). ํŠนํžˆ ํ‡ด์ ๋ฌผ ๋‚ด์— ํ•จ์œ ๋œ ๋ฏธ๋Ÿ‰๊ธˆ์†์€ ์ˆ˜์„œํ™˜๊ฒฝ์—์„œ ์ง€์†์ ์œผ๋กœ ์กด์žฌํ•˜๋ฉฐ, ์ €์„œ์ƒ๋ฌผ์—๊ฒŒ๋Š” ์ง์ ‘์ ์œผ๋กœ ์˜ํ–ฅ์„ ์ฃผ๊ฒŒ ๋˜๋ฉฐ, ์กด์žฌํ˜•ํƒœ๋‚˜ ๋ฌผ๋ฆฌ๏ฝฅํ™”ํ•™์  ๋ณ€ํ™”์— ๋”ฐ๋ผ ์ˆ˜์ค‘์œผ๋กœ ์žฌ์šฉ์ถœ๋˜์–ด ์ˆ˜์งˆ์˜ ๊ธ‰๊ฒฉํ•œ ๋ณ€ํ™”๋ฅผ ์•ผ๊ธฐํ•˜๊ธฐ๋„ ํ•˜๋ฉฐ, ์ˆ˜์ƒ์ƒ๋ฌผ์—๋„ ํ•ด๋กœ์šด ์˜ํ–ฅ์„ ๋ฏธ์น˜๊ณ  ์žˆ๊ธฐ ๋•Œ๋ฌธ์— ํ•˜์ฒœ ํ™˜๊ฒฝ์— ๋Œ€ํ•œ ์˜ํ–ฅ์ด ๋งค์šฐ ํฌ๋‹ค(Alloway et al., 1988; Dekov et al., 1997; Oh et al., 2003). ์ด์™€ ๊ฐ™์€ ํ‡ด์ ๋ฌผ ๋‚ด์— ํ•จ์œ ๋˜์–ด ์žˆ๋Š” ๋ฏธ๋Ÿ‰๊ธˆ์†๋“ค์„ ๋น„๋กฏํ•œ ํ™”ํ•™์„ฑ๋ถ„๋“ค์˜ ํ™”ํ•™์  ๊ฑฐ๋™์„ ํŒŒ์•…ํ•˜๋Š” ๊ฒƒ์€ ํ•˜์ฒœ์˜ ํ‡ด์ ํ™˜๊ฒฝ์„ ์ดํ•ดํ•  ์ˆ˜ ์žˆ์œผ๋ฉฐ, ์—ฌ๋Ÿฌ ํ™˜๊ฒฝ์š”์ธ๋“ค์˜ ์ œ์–ด๋ฅผ ๋น„๋กฏํ•œ ํ™˜๊ฒฝ์ ์ธ ์ ‘๊ทผ์— ์ด๋ฅด๊ธฐ๊นŒ์ง€ ํšจ์œจ์ ์ธ ๋Œ€์ฒ˜์ˆ˜๋‹จ์„ ์ œ๊ณตํ•  ์ˆ˜ ์žˆ๋Š” ๊ธฐ๋ฐ˜์„ ๋งˆ๋ จํ•  ์ˆ˜๋„ ์žˆ๋‹ค(Kim et al., 2001). ์ฆ‰, ํ™˜๊ฒฝ ๋ณ€ํ™”๋ฅผ ํŒŒ์•…ํ•˜๊ธฐ ์œ„ํ•ด์„œ๋Š” ํ‡ด์ ๋ฌผ ๋‚ด์— ํ•จ์œ ๋œ ๋ฏธ๋Ÿ‰๊ธˆ์† ๋ฐ ํ™”ํ•™์„ฑ๋ถ„๋“ค์˜ ๋ถ„์„์ด ํ•„์š”ํ•˜๊ฒŒ ๋œ๋‹ค.

ํ‡ด์  ๋‹น์‹œ์˜ ํ™˜๊ฒฝ์š”์ธ์— ๊ด€ํ•œ ์ •๋ณด๋ฅผ ์ €์žฅํ•˜๋Š” ์ €์žฅ์†Œ ์—ญํ• ์„ ํ•˜๋Š” ํ‡ด์ ๋ฌผ์„ ๋ถ„์„ํ•˜๋Š” ๋ฐฉ๋ฒ• ์ค‘ ํ‘œ์ธตํ‡ด์ ๋ฌผ๋ณด๋‹ค ์ฃผ์ƒํ‡ด์ ๋ฌผ์˜ ๋ถ„์„์„ ์ด์šฉํ•˜๋ฉด ๊ณผ๊ฑฐ๋ถ€ํ„ฐ ํ˜„์žฌ๊นŒ์ง€ ์žฅ๊ธฐ๊ฐ„์˜ ํ™˜๊ฒฝ๋ณ€ํ™”๋ฅผ ์ดํ•ดํ•  ์ˆ˜ ์žˆ๋‹ค. ์ด๋Ÿฌํ•œ ์ด์ ์œผ๋กœ ์ธํ•˜์—ฌ ์ฃผ์ƒํ‡ด์ ๋ฌผ ์‹œ๋ฃŒ๋Š” ํ•ด๋‹น ์ง€์—ญ์˜ ์žฅ๊ธฐ๊ฐ„์— ๊ฑธ์นœ ์ง€ํ™”ํ•™์ ์ธ ์ •๋ณด๊ฐ€ ๊ธฐ๋ก๋˜์–ด ์žˆ๊ธฐ ๋•Œ๋ฌธ์— ํ‡ด์ ์†๋„์˜ ๋ณ€ํ™”, ์†์„ฑ๊ณผ์ •, ์นจ๊ฐ•์ž…์ž ๊ตฌ์„ฑ๋ณ€ํ™”, ์˜ค์—ผ๋„ ํ‰๊ฐ€ ๋ฐ ์˜ค์—ผ์—ญ์‚ฌ ๊ทœ๋ช… ๋“ฑ์˜ ์—ฐ๊ตฌ์— ๋„๋ฆฌ ์ด์šฉ๋˜๊ณ  ์žˆ๋‹ค(Cundy et al., 2003; Ra et al., 2011; Ra et al., 2013).

ํ˜„์žฌ ๋‚™๋™๊ฐ• ์ˆ˜๊ณ„์—์„œ๋Š” ์ˆ˜์งˆ ํ™˜๊ฒฝ์— ๊ด€ํ•œ ์—ฐ๊ตฌ(Kang et al., 2013; Kang et al., 1996; Kim et al., 2013; Lee et al., 2013)๋Š” ํ™œ๋ฐœํžˆ ์ง„ํ–‰๋˜๊ณ  ์žˆ์œผ๋‚˜ ํ‡ด์ ๋ฌผ ๋ถ„์„์„ ํ†ตํ•œ ํ•˜์ฒœํ™˜๊ฒฝ์— ๊ด€ํ•œ ์—ฐ๊ตฌ๋Š” ๋งค์šฐ ๋ถ€์กฑํ•˜๋‹ค. ํ‡ด์ ๋ฌผ ๋ถ„์„์„ ํ†ตํ•œ ์—ฐ๊ตฌ์ค‘ ํ•˜์ฒœ์˜ ํ‘œ์ธตํ‡ด์ ๋ฌผ ๋ถ„์„์„ ํ†ตํ•œ ํ˜„์žฌ์˜ ํ‡ด์ ํ™˜๊ฒฝ๊ณผ ์ง€ํ™”ํ•™์ ์ธ ํŠน์„ฑ์— ๊ด€ํ•œ ์—ฐ๊ตฌ(Lee et al., 2010; Oh et al., 2003)๋Š” ๋‹ค์†Œ ์ง„ํ–‰๋˜์–ด ์™”์œผ๋‚˜ ํ‡ด์ ๋ฌผ์˜ ์ˆ˜์ง์ ์ธ ๋ณ€ํ™”๋ฅผ ๋ถ„์„ํ•˜์—ฌ ํ‡ด์ ํ™˜๊ฒฝ๊ณผ ์ง€ํ™”ํ•™์  ํŠน์„ฑ์— ๊ด€ํ•œ ์—ฐ๊ตฌ๋Š” ๋น„๊ต์  ๋ฏธํกํ•œ ์‹ค์ •์ด๋‹ค. ์ด์— ๋”ฐ๋ผ ์ด ์—ฐ๊ตฌ๋Š” ๋‚™๋™๊ฐ• ์ˆ˜๊ณ„์˜ ์ค‘๋ฅ˜์— ํ•ด๋‹นํ•˜๋Š” ์ง€์—ญ์—์„œ ์ฃผ์ƒํ‡ด์ ๋ฌผ์„ ์ฑ„์ทจํ•˜์—ฌ ํ‡ด์  ๊ตฌ์กฐ ๋ฐ ์ง€ํ™”ํ•™์  ํŠน์„ฑ์˜ ์ˆ˜์ง์  ๋ณ€ํ™”๋ฅผ ํ•ด์„ํ•˜๊ณ  ํŒŒ์•…ํ•˜๋Š”๋ฐ ๊ทธ ๋ชฉ์ ์„ ๋‘์—ˆ๋‹ค.

2. Materials and methods

2.1. Sampling site

์—ฐ๊ตฌ ์ง€์—ญ์ธ ๋‚™๋™๊ฐ• ์œ ์—ญ์€ ํ•œ๋ฐ˜๋„ ๋™๋‚จ๋ถ€์— ์œ„์น˜ํ•˜๋ฉฐ, ๋ถ์ชฝ์œผ๋กœ๋Š” ํ•œ๊ฐ• ์œ ์—ญ, ์„œ์ชฝ์œผ๋กœ๋Š” ๊ธˆ๊ฐ• ๋ฐ ์„ฌ์ง„๊ฐ• ์œ ์—ญ๊ณผ ์ ‘ํ•˜๊ณ  ๋™์ชฝ์œผ๋กœ๋Š” ํƒœ๋ฐฑ์‚ฐ๋งฅ์ด ๋™ํ•ด์•ˆ ์œ ์—ญ๊ณผ ๋ถ„์ˆ˜๋ น์„ ํ˜•์„ฑํ•˜๊ณ  ์žˆ๊ณ , ๋‚จ์ชฝ์œผ๋กœ๋Š” ๋‚™๋™๊ฐ• ๋‚จํ•ด๊ถŒ์—ญ๊ณผ ์ ‘ํ•ด์žˆ๋‹ค(Lee et al., 2013). ๊ทธ๋ฆฌ๊ณ  ๋‚™๋™๊ฐ• ์œ ์—ญ ๋ฉด์ ์€ 23,384.21 km2์ด๋ฉฐ, ๋ณธ๋ฅ˜ ํ•˜์ฒœ์—ฐ์žฅ์ด 400.7 km, ์œ ๋กœ์—ฐ์žฅ์ด 510.36 km์— ์ด๋ฅธ๋‹ค. ์ตœ๊ทผ ์ง€์†์ ์œผ๋กœ ์ฆ๊ฐ€๋˜๋Š” ์šฉ์ˆ˜์ˆ˜์š”๋Ÿ‰ ๋Œ€๋น„ ๋ถ€์กฑํ•œ ์ˆ˜์ž์›์˜ ํ™•๋ณด์™€ ํ™์ˆ˜์กฐ์ ˆ ๋“ฑ์„ ์œ„ํ•˜์—ฌ ์‹ค์‹œํ•œ 4๋Œ€๊ฐ• ์‚ด๋ฆฌ๊ธฐ ์‚ฌ์—…๊ณผ ๊ด€๋ จํ•˜์—ฌ ํ•˜๋„ ์ค€์„ค์„ ์‹ค์‹œํ•˜๊ณ  ์ด 16๊ฐœ์˜ ๋‹ค๊ธฐ๋Šฅ์ ์ธ ๋ณด๋ฅผ ๊ฑด์„คํ•˜์˜€์œผ๋ฉฐ, ์ด ์ค‘ ๋‚™๋™๊ฐ•์—๋Š” ๊ฐ€์žฅ ๋งŽ์€ 8๊ฐœ์˜ ๋‹ค๊ธฐ๋Šฅ๋ณด๊ฐ€ ๊ฑด์„ค๋˜์—ˆ๋‹ค(MOLIT, 2009). ๋ณธ ์—ฐ๊ตฌ๋Š” ๋‚™๋™๊ฐ• ์ˆ˜๊ณ„์˜ ๋ณด๊ฐ€ ๊ฑด์„ค๋œ ์ง€์—ญ๊ณผ ์ธ์ ‘ํ•œ ๊ณณ์ธ ๊ฐ•์ •๏ฝฅ๊ณ ๋ น๋ณด์˜ ์ƒ๋ฅ˜ ์•ฝ 1.2 km ์ง€์ ์—์„œ ๊นŠ์ด 20 cm์˜ ์ฃผ์ƒํ‡ด์ ๋ฌผ์‹œ๋ฃŒ๋ฅผ ์ฑ„์ทจํ•˜์—ฌ ์—ฐ๊ตฌ๋ฅผ ์‹ค์‹œํ•˜์˜€๋‹ค(Fig. 1). ์‹œ๋ฃŒ ์ฑ„์ทจ ๋‹น์‹œ์ˆ˜์งˆ ๋‹คํ•ญ๋ชฉ ์ธก์ •๊ธฐ(YSI-600XLM)์„ ์ด์šฉํ•˜์—ฌ ํ˜„์žฅ์—์„œ ์ˆ˜์งˆ์„ ์ธก์ •ํ•œ ๊ฒฐ๊ณผ ์ˆ˜์‹ฌ 9.5 m์ด๋ฉฐ ์ €์ธต์ˆ˜์˜ ์ˆ˜์˜จ์€ 21.6ยฐC, pH๋Š” 7.3์œผ๋กœ ๋‚˜ํƒ€๋‚ฌ๋‹ค.

Fig. 1.

Map showing sampling site in the Study area.

../../Resources/kswe/31-3/images/SJBJB8_2015_v31n3_304_f001.jpg

2.2. Sampling methods

ํ‡ด์ ๋ฌผ ์‹œ๋ฃŒ๋Š” 2014๋…„ 8์›”์— ์™ธํ˜• ๊ธธ์ด 120 cm, ๋‚ด๊ฒฝ 7 cm์™€ ๋‚ดํ˜•(ํˆฌ๋ช… ์•„ํฌ๋ฆด ์žฌ์งˆ) ๊ธธ์ด 50 cm, ๋‚ด๊ฒฝ 5 cm์˜ ์ค‘๋ ฅ์‹ ์ฝ”์–ด๋ฅผ ์ด์šฉํ•˜์—ฌ ๊ต๋ž€๋˜์ง€ ์•Š์€ ์ฃผ์ƒํ‡ด์ ๋ฌผ์„ ์ฑ„์ทจํ•˜์˜€๋‹ค. ์ฑ„์ทจ๋œ ์ฃผ์ƒํ‡ด์ ๋ฌผ์€ ํ˜„์žฅ์—์„œ ๋งˆ๊ฐœ๋ฅผ ์ด์šฉํ•˜์—ฌ ํ•˜์ธต๋ถ€๋ฅผ ๋ง‰๊ณ  ์ƒ๋“ฑ์ˆ˜๊ฐ€ ๊ฐ€๋ผ์•‰์„ ๋•Œ๊นŒ์ง€ ๊ธฐ๋‹ค๋ฆฐ ๋‹ค์Œ ์ƒ๋“ฑ์ˆ˜๋ฅผ ์ œ๊ฑฐํ•œ ํ›„ ์ƒ๋ถ€์™€ ํ•˜๋ถ€๊ฐ€ ๊ต๋ž€๋˜์ง€ ์•Š๊ฒŒ ์‹คํ—˜์‹ค๋กœ ์˜ฎ๊ฒจ ๋ถ„์„์„ ์‹ค์‹œํ•˜์˜€๋‹ค.

์ฑ„์ทจ๋œ ์ฃผ์ƒํ‡ด์ ๋ฌผ์˜ ์ƒ๋“ฑ์ˆ˜๋ฅผ ์ œ๊ฑฐํ•œ ํ›„ ์ฃผ์ƒํ‡ด์ ๋ฌผ ์‹œ๋ฃŒ๋ฅผ ์•„ํฌ๋ฆด ์นผ๊ณผ ์†Œํ˜• ๊ทธ๋ผ์ธ๋”๋ฅผ ์ด์šฉํ•˜์—ฌ ๋ฐ˜์œผ๋กœ ์ ˆ๊ฐœํ•˜์˜€๋‹ค. ์ ˆ๊ฐœ๋œ ํ•˜๋‚˜์˜ ์ฃผ์ƒํ‡ด์ ๋ฌผ ์‹œ๋ฃŒ์—์„œ ๊นŠ์ด 2 cm ๊ฐ„๊ฒฉ์œผ๋กœ ๋ถ€์‹œ๋ฃŒ(subsample)๋ฅผ ์ฑ„์ทจํ•˜์˜€์œผ๋ฉฐ, ์ž…๋„(grain size), ์™„์ „์—ฐ์†Œ๊ฐ€๋Šฅ๋Ÿ‰(ignition loss), ์›์†Œ(TOC, TN, TS) ๋ฐ ์ค‘๊ธˆ์† ๋†๋„(heavy metal content)๋ถ„์„์„ ์‹ค์‹œํ•˜์˜€๋‹ค. ๊ทธ๋ฆฌ๊ณ  ๋‚˜๋จธ์ง€ ์ ˆ๋ฐ˜์—์„œ ์‹œ๋ฃŒ์˜ ํ‘œ๋ฉด์„ ๋‹ค๋“ฌ์€ ๋‹ค์Œ ์˜์ƒ์„ ์ดฌ์˜ํ•˜๊ณ  ํ‡ด์ ๊ตฌ์กฐ ๋ฐ ํŠน์„ฑ์„ ๊ด€์ฐฐํ•˜๊ณ  ๊ธฐ๋กํ•˜์—ฌ ์ฃผ์ƒ๋„๋ฅผ ์ž‘์„ฑํ•˜์˜€๋‹ค.

2.3. Sample analysis methods

์ž…๋„ ๋ถ„์„์€ ์ž์—ฐ์‹œ๋ฃŒ๋ฅผ ๊ณผ์‚ฐํ™”์ˆ˜์†Œ(H2O2)๋ฅผ ๊ฐ€ํ•ด ์œ ๊ธฐ๋ฌผ์„ ๋ถ„ํ•ด์‹œํ‚ค๋Š” ์ „์ฒ˜๋ฆฌ ๊ณผ์ •์„ ๊ฑฐ์นœ ํ›„ ์ž…์žํฌ๊ธฐ๋ถ„์„๊ธฐ์ธ Microtrac S3500์„ ์ด์šฉํ•˜์—ฌ ์ธก์ •ํ•˜์˜€๋‹ค. ์ด์™€ ๊ฐ™์€ ์ž…๋„ ๋ถ„์„ ๊ฒฐ๊ณผ๋ฅผ Folk and Ward (1957)์— ์˜ํ•˜์—ฌ ์ œ์•ˆ๋œ ๋ฐฉ๋ฒ•์— ๋”ฐ๋ผ ์ž…์ž ํฌ๊ธฐ๋ณ„ ํ•จ๋Ÿ‰(sediment composition), ํ‰๊ท ์ž…๋„(mean grain size), ๋ถ„๊ธ‰๋„(sorting), ์™œ๋„(skeweness)๋“ฑ์˜ ์กฐ์ง๋งค๊ฐœ ๋ณ€์ˆ˜(parameter)๋“ค์„ ์‚ฐ์ถœํ•˜์˜€๊ณ  Folk (1968)์— ๋”ฐ๋ผ ์‚ผ๊ฐ๋‹ค์ด์–ด๊ทธ๋žจ์„ ๋„์‹œํ•˜์—ฌ ํ‡ด์ ๋ฌผ์˜ ์œ ํ˜•(sediment type)์„ ํŒŒ์•…ํ•˜์˜€๋‹ค.

์™„์ „์—ฐ์†Œ๊ฐ€๋Šฅ๋Ÿ‰(Ignition Loss, IL)์€ 550ยฐC์—์„œ 2์‹œ๊ฐ„ ๊ฐ€์—ดํ›„ ๊ฐ€์—ด ์ „๊ณผ ๊ฐ€์—ด ํ›„์˜ ๋ฌด๊ฒŒ์ฐจ์ด๋ฅผ ์ด์šฉํ•˜์—ฌ ๊ตฌํ•˜์˜€๋‹ค. ์›์†Œ(TOC, TN, TS) ๋ถ„์„์€ cario MACRO๋ฅผ ์ด์šฉํ•˜๊ณ  ์ค‘๊ธˆ์†(Al, Li, Zn, Cr, Pb, Ni, Cu, Cd) ๋†๋„ ๋ถ„์„์€ ICP-AES(Inductively Coupled Plasma/ Atomic Emission Spectrometry)๋ฅผ ์ด์šฉํ•˜์˜€์œผ๋ฉฐ, ์ด์— ๋”ฐ๋ฅธ ๋ถ„์„ ๋ฐฉ๋ฒ•์€ โ€˜์ˆ˜์งˆ์˜ค์—ผ ๊ณต์ •์‹œํ—˜ ๋ฐฉ๋ฒ•(MOE, 2012)โ€™ ์ค‘ ํ•˜์ฒœ๏ฝฅํ˜ธ์†Œ ํ‡ด์ ๋ฌผ ๊ณต์ •์‹œํ—˜๊ธฐ์ค€์— ๋”ฐ๋ผ ์‹ค์‹œํ•˜์˜€๋‹ค.

3. Result and Discussion

3.1. Sedimentary Structure

์—ฐ๊ตฌ ์ง€์—ญ์˜ ์ฃผ์ƒํ‡ด์ ๋ฌผ ์ž…๋„ ๋ถ„์„ ๊ฒฐ๊ณผ๋Š” ์ž๊ฐˆ(Gravel)์˜ ํ•จ๋Ÿ‰์€ ๋‚˜ํƒ€๋‚˜์ง€ ์•Š์•˜๊ณ  ์ „๋ฐ˜์ ์œผ๋กœ ๋ชจ๋ž˜(Sand, avg.: 51.48%)์™€ ์‹คํŠธ(Silt;, avg:46.21%)์„ฑ๋ถ„์ด ์šฐ์„ธํ•˜๊ฒŒ ๋‚˜ํƒ€๋‚ฌ์œผ๋ฉฐ, ์ ํ† (Clay, avg:2.31%)๋Š” ๋ฏธ์•ฝํ•˜๊ฒŒ ๋‚˜ํƒ€๋‚ฌ๋‹ค. ๋ชจ๋ž˜์˜ ํ•จ๋Ÿ‰์€ ํ•˜๋ถ€์—์„œ ์ƒ๋ถ€๋กœ ๊ฐˆ์ˆ˜๋ก ์ ์ฐจ ์ฆ๊ฐ€ํ•˜๋Š” ๊ฒฝํ–ฅ์ด ๋‚˜ํƒ€๋‚ฌ๊ณ  ์‹คํŠธ๋Š” ์ƒ๋ถ€๋กœ ํ–ฅํ•˜์—ฌ ์ ์ฐจ ๊ฐ์†Œํ•˜๋Š” ๊ฒฝํ–ฅ์ด ๋‚˜ํƒ€๋‚ฌ๋‹ค. ํ‰๊ท  ์ž…๋„(avg.:4.16ฮฆ)๋Š” ๋ชจ๋ž˜์˜ ํ•จ๋Ÿ‰ ์ฆ๊ฐ€๋กœ ์ธํ•˜์—ฌ ์ƒ๋ถ€๋กœ ํ–ฅํ•˜์—ฌ ์ ์ฐจ ์กฐ๋ฆฝํ™” ๋˜์—ˆ์œผ๋ฉฐ, ๋ถ„๊ธ‰(avg.:1.53ฮฆ)์€ ๋Œ€๋ถ€๋ถ„์˜ ๊นŠ์ด์—์„œ poorly sorted์˜ ๋ฒ”์ฃผ์—์„œ ๋‚˜ํƒ€๋‚ฌ์œผ๋‚˜ ๊นŠ์ด 4-6 cm์—์„œ๋Š” very poorly sorted์˜ ๋ฒ”์ฃผ์— ์†ํ•˜๊ณ  ๊นŠ์ด 2-4 cm์—์„œ๋Š” ๋น„๊ต์  ์–‘ํ˜ธํ•œ moderately sorted์˜ ๋ฒ”์ฃผ์— ์†ํ•˜๋Š” ๊ฒƒ์œผ๋กœ ๋‚˜ํƒ€๋‚ฌ๋‹ค. ์™œ๋„(avg.:0.16)๋Š” ๋ชจ๋“  ๊นŠ์ด์— ๊ฑธ์ณ ์–‘์˜ ์™œ๋„ ๊ฐ’์ด ๋‚˜ํƒ€๋‚ฌ๊ณ  symmetrical๊ณผ positively skewed์˜ ๋ฒ”์œ„์— ์†ํ•˜์˜€๋‹ค(Fig. 2).

Fig. 2.

Vertical variation of sediment composition, mean grain size, sorting and skewness of core sediment.

../../Resources/kswe/31-3/images/SJBJB8_2015_v31n3_304_f002.jpg

์ด์™€ ๊ฐ™์€ ํ‡ด์ ๋ฌผ ์ž…๋„ ๋ถ„์„ ๊ฒฐ๊ณผ์— ๋”ฐ๋ผ ์‚ผ๊ฐ๋‹ค์ด์–ด๊ทธ๋žจ์„ ๋„์‹œํ•œ ๊ฒฐ๊ณผ, ์‚ฌ(S; Sand), ๋‹ˆ์งˆ์‚ฌ(mS; muddy Sand) ๊ทธ๋ฆฌ๊ณ  ์‚ฌ์งˆ๋‹ˆ(sM; sandy Mud)์˜ ์ด 3๊ฐœ์˜ ํ‡ด์ ์ƒ์ด ๊ตฌ๋ถ„๋˜์—ˆ์œผ๋ฉฐ, ์ด ์ค‘ ์‚ฌ์งˆ๋‹ˆ์˜ ํ‡ด์ ์ƒ์ด ์šฐ์„ธํ•˜๊ฒŒ ๋ถ„ํฌํ•˜๋Š” ๊ฒƒ์œผ๋กœ ๋‚˜ํƒ€๋‚ฌ๋‹ค(Fig. 3a). ๋˜ํ•œ, ์—ญ์˜ ํ•จ๋Ÿ‰์ด ์ „ํ˜€ ๋‚˜ํƒ€๋‚˜์ง€ ์•Š์•˜๊ธฐ ๋•Œ๋ฌธ์— ์‚ฌ, ์‹คํŠธ, ์ ํ† ์˜ ํ‡ด์ ๋ฌผ ์œ ํ˜•์œผ๋กœ ๊ตฌ๋ถ„ํ•ด๋ณด๋ฉด, ์‚ฌ, ์‹คํŠธ์งˆ์‚ฌ(zS; silty Sand), ์‚ฌ์งˆ์‹คํŠธ(sZ; sandy Silt)์˜ 3๊ฐœ ์œ ํ˜•์œผ๋กœ ๋‚˜ํƒ€๋‚ฌ์œผ๋ฉฐ ์‚ฌ์งˆ์‹คํŠธ ํ‡ด์ ์ƒ์ด ๊ฐ€์žฅ ์šฐ์„ธํ•˜๊ฒŒ ๋ถ„ํฌํ•˜๊ณ  ์žˆ๋‹ค(Fig. 3b). ์ดฌ์˜๋œ ์ฃผ์ƒ ํ‡ด์ ๋ฌผ ์‹œ๋ฃŒ์˜ ๋‹จ๋ฉด๊ณผ ์ž‘์„ฑ๋œ ์ฃผ์ƒ๋„๋ฅผ ๋ณด๋ฉด ์ „๋ฐ˜์ ์œผ๋กœ ํ•˜๋ถ€์— ๋น„ํ•ด ์ƒ๋ถ€๊ฐ€ ์กฐ๋ฆฝํ•œ ์ž…์ž๋กœ ๊ตฌ์„ฑ๋˜์–ด ์žˆ์–ด ์ƒํ–ฅ ์กฐ๋ฆฝํ™” ๊ฒฝํ–ฅ์ด ๋‚˜ํƒ€๋‚˜๊ณ  ์žˆ๋‹ค. ์ตœํ•˜๋ถ€์ธต์—์„œ๋Š” ์‚ฌ๋‹ˆ์งˆ์˜ ๋น„๊ต์  ์„ธ๋ฆฝํ•œ ํ‡ด์ ์ƒ์ด ์šฐ์„ธํ•˜๊ฒŒ ๋ถ„ํฌํ•˜๊ณ  ์žˆ์œผ๋ฉฐ, ์‹๋ฌผ ํŒŒํŽธ์ด ์‚ฐ์žฌ๋˜์–ด์žˆ๋Š” ๊ฒƒ์œผ๋กœ ๋‚˜ํƒ€๋‚ฌ๋‹ค. ๊ทธ๋ฆฌ๊ณ  ๊นŠ์ด ์•ฝ 8.5 cm์—์„œ ๋น„๊ต์  ์กฐ๋ฆฝํ•œ ๋‹ˆ์‚ฌ์งˆ ์ธต๋ฆฌ(bed)๊ฐ€ ๋‚˜ํƒ€๋‚ฌ๊ณ  ์ƒ๋ถ€๋กœ ํ–ฅํ•˜์—ฌ ๋‹ค์‹œ ์„ธ๋ฆฝํ™”๋˜์–ด ์‚ฌ๋‹ˆ์งˆ์ธต์ด ๋ถ„ํฌํ•˜๊ณ  ์žˆ๋‹ค. ๊นŠ์ด 4 cm์—์„œ๋Š” ๊ฐ€์žฅ ์กฐ๋ฆฝํ•œ ์‚ฌ์งˆ ํ‡ด์ ์ธต์ด ๋‚˜ํƒ€๋‚ฌ๊ณ  ์ƒ๋ถ€๋กœ ํ–ฅํ•˜์—ฌ ๋‹ค์‹œ ์„ธ๋ฆฝํ™”๋˜์–ด ๋‹ˆ์‚ฌ์งˆ ํ‡ด์ ์ธต์ด ๋‚˜ํƒ€๋‚ฌ์œผ๋ฉฐ, ์ตœ์ƒ๋ถ€์—์„œ ๋‹ˆ์งˆ ์—ฝ๋ฆฌ(lamina)๊ฐ€ ๋‚˜ํƒ€๋‚ฌ๋‹ค(Fig. 4). ๋˜ํ•œ, ์‹œ๋ฃŒ์ฑ„์ทจ ๋‹น์‹œ ์ตœ์ƒ๋ถ€์ธต์— ์—ท์€ ์ธต์˜ ์œ ๊ธฐ๋ฌผ์งˆ์ด ํ‡ด์ ๋œ ๊ฒƒ์„ ์œก์•ˆ์œผ๋กœ ํ™•์ธํ•  ์ˆ˜ ์žˆ์—ˆ๋Š”๋ฐ ์ด๋Š” ์ˆ˜์ค‘์— ์„œ์‹ํ•˜๋Š” ๋‹ค๋Ÿ‰์˜ ์œ ๊ธฐ์‚ฌ๋ฉธ์ฒด๊ฐ€ ์ตœ์ƒ๋ถ€์ธต์— ํ‡ด์ ๋œ ๊ฒƒ์œผ๋กœ ํŒ๋‹จ๋œ๋‹ค.

Fig. 3.

Triangular diagram showing sediment type. (a) G, S and M, (b) S, Z and C.

../../Resources/kswe/31-3/images/SJBJB8_2015_v31n3_304_f003.jpg
Fig. 4.

Vertical variation of sedimentary structure and sectional photo of core sediment.

../../Resources/kswe/31-3/images/SJBJB8_2015_v31n3_304_f004.jpg

3.2. Geochemical Characters

3.2.1. IL, TOC, TN and TS

์ฃผ์ƒํ‡ด์ ๋ฌผ์—์„œ ์™„์ „์—ฐ์†Œ๊ฐ€๋Šฅ๋Ÿ‰, TOC, TN ๊ทธ๋ฆฌ๊ณ  TS์˜ ๋†๋„๋ฅผ ๋ถ„์„ํ•œ ๊ฒฐ๊ณผ(Fig. 5), ์™„์ „์—ฐ์†Œ๊ฐ€๋Šฅ๋Ÿ‰(avg. 4.85%)์€ 2.04 ~ 6.53%์˜ ๋ฒ”์œ„์—์„œ ๋ณ€ํ™”ํ•˜๋ฉฐ, ํ•˜๋ถ€์—์„œ ์ƒ๋ถ€๋กœ ํ–ฅํ•˜์—ฌ ํฐ ๋ณ€ํ™”๋Š” ๋‚˜ํƒ€๋‚˜์ง€ ์•Š์ง€๋งŒ ๊นŠ์ด 5 cm์—์„œ ์ƒ๋ถ€๋กœ ํ–ฅํ•˜์—ฌ ๊ธ‰๊ฒฉํžˆ ๊ฐ์†Œํ•˜์—ฌ ํ•˜๋ถ€์ธต์— ๋น„ํ•ด ์ƒ๋ถ€์ธต์—์„œ ํฐ ํญ์œผ๋กœ ๊ฐ์†Œํ•˜๋Š” ํŠน์ง•์ด ๋‚˜ํƒ€๋‚ฌ๋‹ค. TOC์˜ ๋†๋„๋Š” 0.22 ~ 1.30 mg/g์˜ ๋ฒ”์œ„์—์„œ ๋ณ€ํ™”ํ•˜๋ฉฐ ํ‰๊ท  0.91 mg/g์œผ๋กœ ๋‚˜ํƒ€๋‚ฌ์œผ๋ฉฐ, ์ „๋ฐ˜์ ์œผ๋กœ ๊ฐ์†Œ์™€ ์ฆ๊ฐ€๊ฐ€ ๋ฐ˜๋ณต๋˜๋ฉฐ ํฐ ๋ณ€ํ™”๋Š” ๋‚˜ํƒ€๋‚˜์ง€ ์•Š์•˜์ง€๋งŒ ๊นŠ์ด 5 cm์—์„œ ๋‹ค์†Œ ํฐ ํญ์œผ๋กœ ํ•จ๋Ÿ‰์ด ๊ฐ์†Œํ•˜๋Š” ๊ฒฝํ–ฅ์ด ๋‚˜ํƒ€๋‚ฌ๋‹ค. ์ด์™€ ๊ฐ™์ด ํ•˜๋ถ€์— ๋น„ํ•ด ์ƒ๋ถ€์—์„œ ์œ ๊ธฐ๋ฌผ์˜ ํ•จ๋Ÿ‰์ด ๊ฐ์†Œํ•˜๋Š” ๊ฒฝํ–ฅ์ด ๋‚˜ํƒ€๋‚ฌ๊ณ  ํŠนํžˆ, ๊นŠ์ด 5 cm์—์„œ ์ƒ๋ถ€๋กœ ํ–ฅํ•˜์—ฌ ๊ธ‰๊ฒฉํžˆ ๊ฐ์†Œํ•˜๋Š” ํŠน์ง•์ด ๋‚˜ํƒ€๋‚ฌ๋‹ค. ์ด๋Š” ๋ชจ๋ž˜ ์˜ ํ•จ๋Ÿ‰์ด ๊ธ‰๊ฒฉํ•˜๊ฒŒ ์ฆ๊ฐ€ํ•˜์—ฌ ์กฐ๋ฆฝํ™” ๋˜๋Š” ๊นŠ์ด์™€ ์œ ๊ธฐ๋ฌผ ํ•จ๋Ÿ‰์ด ๊ฐ์†Œํ•˜๋Š” ๊นŠ์ด๊ฐ€ ์ผ์น˜ํ•˜๋ฉฐ ์กฐ๋ฆฝํ•œ ํ‡ด์ ๋ฌผ์—์„œ๋Š” ์„ธ๋ฆฝํ•œ ํ‡ด์ ๋ฌผ ๋ณด๋‹ค ์œ ๊ธฐ๋ฌผ์˜ ํ•จ๋Ÿ‰์ด ๊ฐ์†Œํ•˜๋Š” ๊ฒƒ์„ ํ™•์ธํ• ์ˆ˜ ์žˆ๋‹ค. TN์˜ ๋†๋„๋Š” 0.07 ~ 3.10 mg/g์˜ ๋ฒ”์œ„์—์„œ ๋ณ€ํ™”ํ•˜๋ฉฐ ํ‰๊ท  0.57 mg/g์œผ๋กœ ๋‚˜ํƒ€๋‚ฌ๋‹ค. ํ•˜๋ถ€์ธต์—์„œ ์ƒ๋ถ€๋กœ ํ–ฅํ•˜์—ฌ ๊ธ‰๊ฒฉํžˆ ๊ฐ์†Œํ•˜๋ฉฐ, ๊นŠ์ด 15 cm์—์„œ ๋ถ€ํ„ฐ๋Š” 0.3 mg/g์ดํ•˜์˜ ๋ณ€ํ™”์—†์ด ๋‚ฎ์€ ํ•จ๋Ÿ‰์ด ๋‚˜ํƒ€๋‚˜๊ณ  ์žˆ๋‹ค. TS์˜ ๋†๋„๋Š” 0.26 ~ 0.79 mg/g์˜ ๋ฒ”์œ„์—์„œ ๋ณ€ํ™”ํ•˜๋ฉฐ ํ‰๊ท  0.47 mg/g์œผ๋กœ ๋‚˜ํƒ€๋‚ฌ๋‹ค. ์ „๋ฐ˜์ ์œผ๋กœ ์ƒ๋ถ€๋กœ ํ–ฅํ•˜์—ฌ ์ฆ๊ฐ€ํ•˜๋Š” ๊ฒฝํ–ฅ์ด ๋‚˜ํƒ€๋‚ฌ์œผ๋ฉฐ, ๊นŠ์ด 9 cm์—์„œ๋Š” ๋‹ค์†Œ ํฐ ํญ์œผ๋กœ ์ฆ๊ฐ€ํ•˜์—ฌ ๊นŠ์ด 5 cm์—์„œ ๋‹ค์‹œ ๊ฐ์†Œํ•˜๊ณ  ์ตœ์ƒ๋ถ€์ธต์œผ๋กœ ํ–ฅํ•˜์—ฌ ๋‹ค์‹œ ์ฆ๊ฐ€ํ•˜๋Š” ํŠน์ง•์ด ๋‚˜ํƒ€๋‚ฌ๋‹ค.

Fig. 5.

Vertical variation of IL (Ignition Loss), TOC (Total Organic Cabon), TN (Total Nitrogen) and TS(Total Surfer) of core sediment.

../../Resources/kswe/31-3/images/SJBJB8_2015_v31n3_304_f005.jpg

3.2.2. C/N Ratio and C/S Ratio

์ด์œ ๊ธฐํƒ„์†Œ์— ์˜ํ•œ ์ด์งˆ์†Œ์˜ ๋น„์œจ(C/N Ratio)์€ ์œ ๊ธฐ๋ฌผ์งˆ์˜ ๊ธฐ์›์„ ๋ฐํžˆ๋Š”๋ฐ ์ด์šฉ๋˜๊ณ  ์žˆ๋‹ค(Choi et al., 2000). ์ฃผ์ƒํ‡ด์ ๋ฌผ์—์„œ ๋‚˜ํƒ€๋‚˜๋Š” C/N ๋น„์œจ(Fig. 6)์€ 0.35 ~ 6.83์˜ ๋ฒ”์œ„์—์„œ ๋ณ€ํ™”ํ•˜๊ณ  ํ‰๊ท  4.55๋กœ ๋‚˜ํƒ€๋‚ฌ๋‹ค. ํ•˜๋ถ€์ธ ๊นŠ์ด 17 cm์—์„œ ์ด์งˆ์†Œ์˜ ํ•จ๋Ÿ‰ ๊ฐ์†Œ๋กœ ์ธํ•˜์—ฌ ์ƒ๋ถ€๋กœ ํ–ฅํ•˜์—ฌ ์ฆ๊ฐ€ํ•˜๊ณ  ๋น„๊ต์  ๋ณ€ํ™”๊ฐ€ ์—†๋Š” ๊ฒฝํ–ฅ์ด ๋‚˜ํƒ€๋‚˜๋ฉฐ, ๊นŠ์ด 5 cm์—์„œ ๊ฐ์†Œํ•˜๋Š” ๊ฒฝํ–ฅ์ด ๋‚˜ํƒ€๋Š”๋ฐ ์ด ๊นŠ์ด์—์„œ C/N ๋น„์œจ์ด ๊ฐ์†Œํ•˜๋Š” ๊ฒƒ์€ ์กฐ๋ฆฝํ•œ ํ‡ด์ ๋ฌผ๋กœ ๊ตฌ์„ฑ๋˜์–ด ์œ ๊ธฐ๋ฌผ์˜ ํ•จ๋Ÿ‰์ด ๊ฐ์†Œํ•˜๊ธฐ ๋•Œ๋ฌธ์ด๋‹ค. ์ผ๋ฐ˜์ ์œผ๋กœ ํ•ด์–‘ ํ‡ด์ ๋ฌผ์—์„œ๋Š” ์ƒ๋ฌผ์˜ ๊ธฐ์ดˆ ์ƒ์‚ฐ์— ์˜ํ•ด ํ˜•์„ฑ๋œ ์œ ๊ธฐ๋ฌผ์งˆ์€ C/N ๋น„์œจ์ด 10 ์ดํ•˜์˜ ๊ฐ’์ด ๋‚˜ํƒ€๋‚˜๊ณ  ์ฃผ๋ณ€ ์œก์ง€์—์„œ ๊ณต๊ธ‰๋œ ์œก์ƒ๊ธฐ์› ์œ ๊ธฐ๋ฌผ์งˆ์ธ ๊ฒฝ์šฐ 10 ์ด์ƒ์˜ ๊ฐ’์ด ๋‚˜ํƒ€๋‚œ๋‹ค๊ณ  ์•Œ๋ ค์ ธ ์žˆ๋‹ค(Muller, 1997; Sampei and Matsumoto, 2001). ์—ฐ๊ตฌ ์ง€์—ญ์€ ํ•ด์–‘์ด ์•„๋‹ˆ๋ผ ๋‹ด์ˆ˜ ํ™˜๊ฒฝ์ด์ง€๋งŒ ์ด์™€ ๊ฐ™์€ ์—ฐ๊ตฌ๊ฒฐ๊ณผ์— ๋น„์ถ”์–ด ๋ณด๋ฉด ์—ฐ๊ตฌ์ง€์—ญ์˜ ์ฃผ์ƒํ‡ด์ ๋ฌผ์—์„œ๋Š” ๋ชจ๋“  ๊นŠ์ด์—์„œ 10์ดํ•˜์˜ ๊ฐ’์ด ๋‚˜ํƒ€๋‚ฌ์œผ๋ฏ€๋กœ ์œก์ง€์—์„œ ๊ณต๊ธ‰๋œ ์œ ๊ธฐ๋ฌผ์งˆ์ด ์•„๋‹ˆ๋ผ ํ•˜์ฒœํ™˜๊ฒฝ์˜ ์ˆ˜์ค‘์— ์„œ์‹ํ•˜๊ณ  ์žˆ๋Š” ์ƒ๋ฌผ์— ์˜ํ•˜์—ฌ ์œ ๊ธฐ๋ฌผ์งˆ์ด ๊ณต๊ธ‰๋˜๋Š” ๊ฒƒ์œผ๋กœ ์œ ์ถ”๋œ๋‹ค. ๊ทธ๋Ÿฌ๋‚˜ C/N ๋น„์œจ๋งŒ์„ ๊ฐ€์ง€๊ณ  ํ‡ด์ ๋ฌผ๋‚ด ์œ ๊ธฐ๋ฌผ๊ธฐ์›์„ ํ™•์ธํ•˜๋Š” ๊ฒƒ์€ ํ•œ๊ณ„๊ฐ€ ์žˆ์œผ๋ฉฐ ์ด ์ง€์—ญ์˜ ํŠน์„ฑ์— ๋”ฐ๋ผ ๊ฐ•์šฐ๋Ÿ‰๊ณผ ํ•˜์ฒœ ์œ ๋Ÿ‰์ด ์ฆ๊ฐ€ํ•˜์—ฌ ์œก์ƒ๊ธฐ์› ์œ ๊ธฐ๋ฌผ์ด ์œ ์ž…๋  ์ˆ˜๋„ ์žˆ์–ด ์—ฐ๊ตฌ์ง€์—ญ์˜ ์œ ๊ธฐ๋ฌผ์ด ์ˆ˜์ค‘ ์ƒ๋ฌผ๊ธฐ์›์œผ๋กœ ์ „์ ์œผ๋กœ ํŒ๋‹จํ•  ์ˆ˜๋Š” ์—†์ง€๋งŒ ์ฃผ์ƒ ํ‡ด์ ๋ฌผ์— ๋‚˜ํƒ€๋‚˜๋Š” ์ด์œ ๊ธฐํƒ„์†Œ์— ๋Œ€ํ•œ ์ด์งˆ์†Œ์˜ ๋น„๊ฐ€ ๋‚ฎ๊ฒŒ ๋‚˜ํƒ€๋‚˜๊ณ  ์žˆ๋‹ค. ์ด๋Š” ์œก์ƒ๊ธฐ์›์˜ ์‹๋ฌผ์— ๋น„ํ•ด ์—ฐ๊ตฌ ์ง€์—ญ์— ๋‹ค๋Ÿ‰์œผ๋กœ ์„œ์‹ํ•˜๊ณ  ์žˆ๋Š” ์กฐ๋ฅ˜๋Š” ์ƒ๋Œ€์ ์œผ๋กœ ์งˆ์†Œ์„ฑ ๋‹จ๋ฐฑ์งˆ(nitrogen protein)์ด ํ’๋ถ€ํ•˜๊ธฐ ๋•Œ๋ฌธ์— ์ด์งˆ์†Œ์˜ ๋†๋„๊ฐ€ ๋†’์•„ C/N ๋น„์œจ์ด ๋‚ฎ๊ฒŒ ๋‚˜ํƒ€๋‚œ๋‹ค. ์ด๋Ÿฌํ•œ ๊ฒฐ๊ณผ๋กœ ๋ณด์•„ ์—ฐ๊ตฌ ์ง€์—ญ์— ํ‡ด์ ๋œ ์œ ๊ธฐ๋ฌผ์งˆ์€ ์œก์ƒ๊ธฐ์› ๋ณด๋‹ค๋Š” ์ˆ˜์ค‘์— ์„œ์‹ํ•˜๋Š” ์ƒ๋ฌผ๊ธฐ์›์˜ ์œ ๊ธฐ๋ฌผ์ด ํ‡ด์ ๋œ ๊ฒƒ์œผ๋กœ ์œ ์ถ”๋œ๋‹ค.

์ด์œ ๊ธฐํƒ„์†Œ์— ์˜ํ•œ ์ดํ™ฉ์˜ ๋น„์œจ(C/S Ratio)์€ ๋‹ด์ˆ˜ ํ‡ด์ ๋ฌผ์€ ์ฃผ๋กœ 1 ~ 5์˜ ๋ฒ”์œ„์—์„œ ๋‚˜ํƒ€๋‚˜๋ฉฐ, ํ•ด์–‘ ํ‡ด์ ๋ฌผ์€ ์ฃผ๋กœ 10 ~ 35์˜ ๋ฒ”์œ„์—์„œ ๋‚˜ํƒ€๋‚˜ ํ•ด์–‘ ํ‡ด์ ๋ฌผ์ด ๋‹ด์ˆ˜ ํ‡ด์ ๋ฌผ ๋ณด๋‹ค ๋†’๊ฒŒ ๋‚˜ํƒ€๋‚œ๋‹ค๊ณ  ์•Œ๋ ค์ ธ ์žˆ๋‹ค(Berner and Raiswell (1984)). ๋ณธ ์—ฐ๊ตฌ์—์„œ์˜ C/S ๋น„์œจ(Fig. 6)์€ 0.36 ~ 4.91์˜ ๋ฒ”์œ„(avg. 2.48)์—์„œ ๋‚˜ํƒ€๋‚˜๊ณ  ์žˆ์–ด ์ผ๋ฐ˜์ ์ธ ๋‹ด์ˆ˜ ํ‡ด์ ๋ฌผ์˜ C/S ๋น„์œจ์ด ๋‚˜ํƒ€๋‚˜๊ณ  ์žˆ๋‹ค. ํ‡ด์  ํ™˜๊ฒฝ์—์„œ๋Š” ํ˜๊ธฐ์„ฑ ํ™˜๊ฒฝ์ด ์‰ฝ๊ฒŒ ์กฐ์„ฑ๋˜๋ฉฐ ์ƒ์ง€ํ™”ํ•™์  ๋ฐ˜์‘์— ์˜ํ•ด ํ™ฉ์ด ํ™˜์› ๋˜์–ด ํ‡ด์ ๋ฌผ ํ‘œ์ธต์œผ๋กœ ๋ถ„์‚ฐ๋˜์–ด ์˜ฌ๋ผ์™€ TS์˜ ๋†๋„๊ฐ€ ๋†’์•„์ง์— ๋”ฐ๋ผ ์ƒ๋ถ€๋กœ ํ–ฅํ•˜์—ฌ C/S์˜ ๋น„์œจ์ด ์ „๋ฐ˜์ ์œผ๋กœ ์ ์ฐจ ๊ฐ์†Œํ•˜๋Š” ๊ฒฐ๊ณผ๊ฐ€ ๋‚˜ํƒ€๋‚œ ๊ฒƒ์œผ๋กœ ํŒ๋‹จ๋œ๋‹ค.

Fig. 6.

Vertical variation of C/N Ratio and C/S Ratio of core sediment.

../../Resources/kswe/31-3/images/SJBJB8_2015_v31n3_304_f006.jpg

3.2.3. Heavy metal content

์ฃผ์ƒ ํ‡ด์ ๋ฌผ์˜ ์ค‘๊ธˆ์† ๋†๋„ ๋ถ„์„ ๊ฒฐ๊ณผ๋ฅผ ๊ตญ๋‚ด ๋ฐ ์บ๋‚˜๋‹ค์˜ ํ‡ด์ ๋ฌผ ๊ธฐ์ค€๊ณผ ๋น„๊ต ๋ถ„์„์„ ์‹ค์‹œํ•˜์˜€๋‹ค(Table 1). ์—ฌ๊ธฐ์„œ ํ•˜์ฒœ๏ฝฅํ˜ธ์†Œ ํ‡ด์ ๋ฌผ ์˜ค์—ผํ‰๊ฐ€ ๊ธฐ์ค€(Sediment pollution evaluation standard)์€ ๊ตญ๋ฆฝํ™˜๊ฒฝ๊ณผํ•™์›(NIER)์—์„œ 2012๋…„ 4์›”์— ์˜ˆ๊ทœ ์ œ 575ํ˜ธ๋กœ ์ œ์ •ํ•œ ๊ฒƒ์œผ๋กœ ๋ช…์‹œ๋œ ๊ธฐ์ค€์น˜๋ฅผ ์ดˆ๊ณผํ•˜๋Š” ๊ฒฝ์šฐ ๋ช…๋ฐฑํ•˜๊ฑฐ๋‚˜ ์‹ฌ๊ฐํ•˜๊ฒŒ ์˜ค์—ผ๋œ ์ƒํƒœ๋ฅผ ์˜๋ฏธํ•œ๋‹ค๊ณ  ํ•˜์˜€๋‹ค(NIER, 2012). ๊ทธ๋ฆฌ๊ณ  ์บ๋‚˜๋‹ค์˜ ์˜จํƒ€๋ฆฌ์˜ค ํ™˜๊ฒฝ๋ถ€์˜ ํ‡ด์ ๋ฌผ ํ™˜๊ฒฝ๊ธฐ์ค€(Ontario sediment quality guideline)์€ ๋†๋„์— ๋”ฐ๋ผ ํ‡ด์ ๋ฌผ์ด ์ €์„œ์ƒ๋ฌผ์— ๋Œ€ํ•œ ์•…์˜ํ–ฅ์„ ํ™•๋ฅ ์ ์œผ๋กœ ํ‘œํ˜„ํ•˜๊ณ  ์žˆ๋Š” ๊ฒƒ์œผ๋กœ์„œ LEL (No Effect Level)์€ ํ‡ด์ ๋ฌผ์— ์„œ์‹ํ•˜๋Š” ๋‹ค์ˆ˜์˜ ์ƒ๋ฌผ์ฒด์— ์˜ํ–ฅ์„ ๋ฏธ์น˜์ง€ ์•Š๋Š” ์˜ค์—ผ์ˆ˜์ค€, SEL (Severe Effect Level)์€ ์ €์„œ์ƒ๋ฌผ์— ์•…์˜ํ–ฅ์„ ๋ฏธ์น  ์ˆ˜ ์žˆ๋Š” ์‹ฌํ•˜๊ฒŒ ์˜ค์—ผ๋œ ์ˆ˜์ค€์œผ๋กœ ๋ถ„๋ฅ˜ํ•˜๊ณ  ์žˆ๋‹ค(CCME, 1995).

Table 1.

Sediment pollution evaluation Standard(NIER) and Ontario sediment quality guidelines(CCME).

../../Resources/kswe/31-3/images/SJBJB8_2015_v31n3_304_t001.jpg

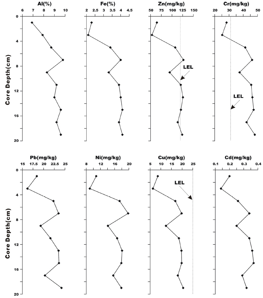
์ฃผ์ƒ ํ‡ด์ ๋ฌผ์˜ ๊ฐ ์ค‘๊ธˆ์† ๋†๋„๋ฅผ ์‚ดํŽด๋ณด๋ฉด, ๋ณด์กด์„ฑ ์›์†Œ์ธ Al๊ณผ Fe์˜ ๋†๋„๋Š” ๊ฐ 6.90 ~ 9.80% (avg. 8.82%), 2.10 ~ 4.10% (avg. 3.51%)์˜ ๋ฒ”์œ„์—์„œ ๋ณ€ํ™”ํ•˜๋ฉฐ ํ•˜๋ถ€์— ๋น„ํ•ด ์ƒ๋ถ€์—์„œ ๊ธ‰๊ฒฉํžˆ ๊ฐ์†Œํ•˜๋Š” ๊ฒฝํ–ฅ์ด ๋‚˜ํƒ€๋‚ฌ์œผ๋ฉฐ, Al์€ ์ตœ์ƒ๋ถ€์ธต์—์„œ 7% ์ดํ•˜์˜ ์ตœ์†Œ ๋†๋„๊ฐ€ Fe๋Š” ์ƒ๋ถ€ 2 ~ 4 cm์—์„œ ์ตœ์†Œ ๋†๋„๊ฐ€ ๋‚˜ํƒ€๋‚ฌ๋‹ค. Zn์˜ ๋†๋„๋Š” 53.20 ~ 126.80 mg/kg (avg. 53.20 mg/kg)์˜ ๋ฒ”์œ„์—์„œ ํฐ ํญ์œผ๋กœ ๋ณ€ํ™”ํ•˜๋ฉฐ ์ „๋ฐ˜์ ์œผ๋กœ ํ•˜๋ถ€์—์„œ ์ƒ๋ถ€๋กœ ๊ฐˆ์ˆ˜๋ก ์ ์ฐจ ๊ฐ์†Œํ•˜๋Š” ๊ฒฝํ–ฅ์ด ๋‚˜ํƒ€๋‚ฌ๊ณ  ํ•˜๋ถ€์ธต์˜ ๋Œ€๋ถ€๋ถ„์˜ ๊นŠ์ด(20 ~ 18, 16 ~ 10, 8 ~ 6 cm)์—์„œ๋Š” LEL์„ ์ดˆ๊ณผํ•˜๋Š” ๋†๋„๊ฐ€ ๋‚˜ํƒ€๋‚ฌ์ง€๋งŒ ์ƒ๋ถ€์ธต์—์„œ ๊ธ‰๊ฒฉํžˆ ๊ฐ์†Œํ•˜์—ฌ ๋‚ฎ์€ ๋†๋„๊ฐ€ ๋‚˜ํƒ€๋‚ฌ๋‹ค. Cr์˜ ๋†๋„๋Š” 25.20 ~ 48.10 mg/kg (avg. 40.82 mg/kg)์˜ ๋ฒ”์œ„์—์„œ ๋ณ€ํ™”ํ•˜๋ฉฐ ์ƒ๋ถ€๋กœ ํ–ฅํ•˜์—ฌ ๊ฐ์†Œํ•˜๋Š” ๊ฒฝํ–ฅ์ด ๋‚˜ํƒ€๋‚ฌ๊ณ  ํ•˜๋ถ€์ธต์—์„œ 16 cm์— ๊ฑธ์ณ ๋ชจ๋‘ LEL์„ ์ดˆ๊ณผํ•˜๋Š” ๋†๋„๊ฐ€ ๋‚˜ํƒ€๋‚ฌ์œผ๋‚˜ ์ƒ๋ถ€์ธต์—์„œ๋Š” ๊ธ‰๊ฒฉํžˆ ๊ฐ์†Œํ•˜์˜€๋‹ค. Pb, Ni, Cu์™€ Cd์˜ ๋†๋„๋Š” ๊ฐ๊ฐ 16.20 ~ 24.20 mg/kg (avg. 21.29 mg/kg), 9.00~19.80 mg/kg (avg. 15.73 mg/kg), 6.30~20.50 mg/kg (avg. 16.04 mg/kg)๊ณผ 0.14~0.37 mg/kg (avg. 0.29 mg/kg)์˜ ๋ฒ”์œ„์—์„œ ๋ณ€ํ™”ํ•˜๋ฉฐ ๋‹ค๋ฅธ ์ค‘๊ธˆ์†๊ณผ ๊ฐ™์ด ํ•˜๋ถ€์—์„œ ์ƒ๋ถ€๋กœ ํ–ฅํ•˜์—ฌ ๊ฐ์†Œํ•˜๋Š” ๊ฒฝํ–ฅ์ด ๋‚˜ํƒ€๋‚ฌ๊ณ  ๋ชจ๋“  ๊นŠ์ด์—์„œ LEL๊ณผ ํ•˜์ฒœ๏ฝฅํ˜ธ์†Œ ํ‡ด์ ๋ฌผ ์˜ค์—ผํ‰๊ฐ€ ๊ธฐ์ค€ ๋ณด๋‹ค ๋‚ฎ์€ ๋†๋„๊ฐ€ ๋‚˜ํƒ€๋‚ฌ๋‹ค. ์ด์™€ ๊ฐ™์ด ๋ชจ๋“  ์ค‘๊ธˆ์†์€ ํ•˜๋ถ€์—์„œ ์ƒ๋ถ€๋กœ ํ–ฅํ•˜์—ฌ ๊ฐ์†Œํ•˜๋Š” ์ƒํ–ฅ ๊ฐ์†Œํ™” ๊ฒฝํ–ฅ์ด ๋‚˜ํƒ€๋‚ฌ์œผ๋ฉฐ, ์ค‘๊ธˆ์† ์ค‘ Cr, Zn์ด ํ•˜๋ถ€์ธต์—์„œ ์บ๋‚˜๋‹ค ํ‡ด์ ๋ฌผ ํ™˜๊ฒฝ๊ธฐ์ค€์ธ LEL์„ ์ดˆ๊ณผํ•˜๋Š” ๋น„๊ต์  ๋†’์€ ๋†๋„๋กœ ๋ถ„ํฌํ•˜๊ณ  ์žˆ์ง€๋งŒ ๋‹ค์ˆ˜์˜ ์ €์„œ์ƒ๋ฌผ์— ์•…์˜ํ–ฅ์„ ๋ฏธ์น˜๋Š” ์ˆ˜์ค€์€ ์•„๋‹ˆ์˜€์œผ๋ฉฐ, ๊ตญ๋‚ด ํ•˜์ฒœ๏ฝฅํ˜ธ์†Œ ํ‡ด์ ๋ฌผ ์˜ค์—ผํ‰๊ฐ€ ๊ธฐ์ค€์น˜ ์ดํ•˜๋กœ ์‹ฌ๊ฐํ•˜๊ฒŒ ์˜ค์—ผ๋œ ์ƒํƒœ๋Š” ์•„๋‹Œ ๊ฒƒ์œผ๋กœ ๋‚˜ํƒ€๋‚ฌ๋‹ค(Fig. 7).

Fig. 7.

Vertical variation of heavy metal content(Al, Fe, Zn, Cr, Pb, Ni, Cu and cd) of core sediment.

../../Resources/kswe/31-3/images/SJBJB8_2015_v31n3_304_f007.jpg

3.3. Statistical Analysis

์—ฐ๊ตฌ ์ง€์—ญ์—์„œ ๋ถ„์„์„ ์‹ค์‹œํ•œ ๋ชจ๋“  ํ•ญ๋ชฉ๊ฐ„์˜ ์ƒ๊ด€์„ฑ์„ ์•Œ์•„๋ณด๊ธฐ ์œ„ํ•˜์—ฌ SPSS 17.0์„ ์ด์šฉํ•˜์—ฌ ํ†ต๊ณ„๋ถ„์„์„ ์‹ค์‹œํ•˜์˜€๋‹ค. ์ด๋ณ€๋Ÿ‰ ๋ถ„์„์€ ํ‰๊ท ๊ณผ ํ‘œ์ค€ํŽธ์ฐจ๋ฅผ ํ†ต๊ณ„๋Ÿ‰์œผ๋กœ ์‚ฌ์šฉํ•˜์—ฌ ํ”ผ์–ด์Šจ ์ƒ๊ด€๊ด€๊ณ„(pearson's correlation analysis) ๋ถ„์„์„ ํ†ตํ•˜์—ฌ ๊ฐ ํ•ญ๋ชฉ ๊ฐ„์˜ ์ƒ๊ด€์„ฑ์„ ๋ถ„์„ํ•˜์˜€๊ณ  ์œ ์˜ํ•œ ์ƒ๊ด€๊ณ„์ˆ˜๋ฅผ ํ‘œ์‹œํ•˜์˜€๋‹ค. ์ฃผ์„ฑ๋ถ„ ๋ถ„์„(principal component analysis, PCA)์€ ์ผ๋ณ€๋Ÿ‰ ๊ธฐ์ˆ ํ†ต๊ณ„๋ฅผ ํ†ต๊ณ„๋Ÿ‰์œผ๋กœ ์ด์šฉํ•˜๊ณ  ์ฃผ์„ฑ๋ถ„ ์š”์ธ์„ 2๊ฐ€์ง€๋กœ ์ถ”์ถœํ•˜์—ฌ ์‚ฐ์ ๋„ ๊ทธ๋ž˜ํ”„๋ฅผ ๋„์‹œํ•˜์—ฌ ๊ฐ ํ•ญ๋ชฉ๊ฐ„์˜ ์ƒ๊ด€์„ฑ ๋ฐ ์ฃผ์š”์ธ์„ ๋ถ„์„ํ•˜์˜€๋‹ค.

ํ”ผ์–ด์Šจ ์ƒ๊ด€๊ด€๊ณ„ ๋ถ„์„ ๊ฒฐ๊ณผ(Table 2), ์‚ฌ์งˆ ์„ฑ๋ถ„์— ๋Œ€ํ•˜์—ฌ ์™„์ „์—ฐ์†Œ๊ฐ€๋Šฅ๋Ÿ‰(-0.946), TOC (-0.932)์™€ ๋ชจ๋“  ์ค‘๊ธˆ์† ๋†๋„(-0.857~-0.978)๋Š” ์—ญ์ƒ๊ด€๊ด€๊ณ„๊ฐ€ ๋‚˜ํƒ€๋‚ฌ๊ณ  ๋ฐ˜๋Œ€๋กœ ๋‹ˆ์งˆ ์„ฑ๋ถ„๊ณผ ์ •์ƒ๊ด€๊ด€๊ณ„๊ฐ€ ๋‚˜ํƒ€๋‚ฌ๋Š”๋ฐ ๋‹ˆ์งˆ ์„ฑ๋ถ„ ์ค‘์—์„œ๋„ ์ ํ† ๋ณด๋‹ค ๋” ์šฐ์„ธํ•˜๊ฒŒ ๋‚˜ํƒ€๋‚˜๋Š” ์‹คํŠธ์— ๋Œ€ํ•ด ์™„์ „์—ฐ์†Œ๊ฐ€๋Šฅ๋Ÿ‰์€ 0.955, TOC๋Š” 0.943 ๊ทธ๋ฆฌ๊ณ  ๋ชจ๋“  ์ค‘๊ธˆ์†์—์„œ 0.9์ด์ƒ์˜ ๋†’์€ ์ƒ๊ด€๊ณ„์ˆ˜๊ฐ€ ๋‚˜ํƒ€๋‚ฌ๋‹ค. ์™„์ „์—ฐ์†Œ๊ฐ€๋Šฅ๋Ÿ‰๊ณผ TOC๋Š” ์œ ๊ธฐ๋ฌผ์˜ ํ•จ๋Ÿ‰์„ ์˜๋ฏธํ•˜๋Š” ๊ฒƒ์œผ๋กœ์„œ ์กฐ๋ฆฝํ•œ ์ž…์ž์— ๋น„ํ•ด ์„ธ๋ฆฝํ•œ ์ž…์ž์— ์œ ๊ธฐ๋ฌผ์ด ๋” ๋งŽ์ด ์ถ•์ ๋˜๋ฉฐ ์ค‘๊ธˆ์†๋„ ์„ธ๋ฆฝ์งˆ ํ‡ด์ ๋ฌผ์— ๋” ๋†’์€ ๋†๋„๋กœ ์ถ•์ ๋˜๋Š” ๊ฒƒ์œผ๋กœ ๋‚˜ํƒ€๋‚ฌ๋‹ค. ์ด๋Ÿฌํ•œ ๊ฒฐ๊ณผ๋Š” ์„ธ๋ฆฝ์งˆ ํ‡ด์ ๋ฌผ์— ์œ ๊ธฐ๋ฌผ์งˆ ๋ฐ ์ค‘๊ธˆ์†์ด ๋†’๊ฒŒ ์ถ•์ ์ด ๋˜๋Š” ๊ฒƒ์€ ํ‘œ๋ฉด์  ์ฆ๊ฐ€์™€ ๊ทธ์— ๋”ฐ๋ฅธ ํก์ฐฉ ๋ฐ ์ด์˜จ๊ตํ™˜๋Ÿ‰์˜ ์ฆ๊ฐ€๊ฐ€ ๊ทธ ์›์ธ์ด๋ผ๋Š” ์—ฐ๊ตฌ๊ฒฐ๊ณผ(Horowitz, 1991)์™€ ์ผ์น˜ํ•œ๋‹ค.

Table 2.

Pearsonโ€™s correlation coefficient of grain size, IL, TOC, TN, TS, C/N, C/S and heavy metal content of core sediment in the Study area.

../../Resources/kswe/31-3/images/SJBJB8_2015_v31n3_304_t002.jpg

์ฃผ์„ฑ๋ถ„ ๋ถ„์„ ๊ฒฐ๊ณผ(Fig. 8), 2 ์š”์ธ ๊นŒ์ง€ ๋„์ถœํ•˜์—ฌ PC = 13.667F1 + 2.329F2๋กœ ๋‚˜ํƒ€๋‚ฌ์œผ๋ฉฐ, ์ „์ฒด ๋ถ„์‚ฐ์— ๋Œ€ํ•œ ๊ฐ ์š”์ธ์˜ ๊ธฐ์—ฌ์œจ์€ ์ œ1์š”์ธ์€ 75.926%, ์ œ2์š”์ธ์€ 12.939%(๋ˆ„์  88.865%)๋กœ ์ œ1์š”์ธ์— ๋Œ€ํ•œ ๊ธฐ์—ฌ์œจ์ด ํฐ ๊ฒƒ์œผ๋กœ ๋‚˜ํƒ€๋‚ฌ๋‹ค.

Fig. 8.

Principal component analysis of grain size, IL, TOC, TN, TS, C/N, C/S and heavy metal content of core sediment in the Study area.

../../Resources/kswe/31-3/images/SJBJB8_2015_v31n3_304_f008.jpg

๋ชจ๋“  ์ค‘๊ธˆ์†, TOC์™€ ์™„์ „์—ฐ์†Œ๊ฐ€๋Šฅ๋Ÿ‰์€ ์ œ1์š”์ธ์˜ ์–‘์˜ ์ƒ๊ด€๊ด€๊ณ„์— ํŽธํ–ฅ๋˜์–ด ์žˆ์œผ๋ฉฐ ์„ธ๋ฆฝ์งˆ ํ‡ด์ ๋ฌผ์ธ ์ ํ† ์™€ ์‹คํŠธ๋„ ์ œ1์š”์ธ์—์„œ ์–‘์˜ ์ƒ๊ด€๊ด€๊ณ„๊ฐ€ ๋‚˜ํƒ€๋‚˜๊ณ  ์กฐ๋ฆฝ์งˆ ํ‡ด์ ๋ฌผ์ธ ๋ชจ๋ž˜๋Š” ์Œ์˜ ์ƒ๊ด€๊ด€๊ณ„์— ์žˆ๋Š” ๊ฒƒ์œผ๋กœ ๋ณด์•„ ์ œ1์š”์ธ์€ ์ž…๋„๋กœ ํ•ด์„๋œ๋‹ค. ์ œ2์š”์ธ์€ TS์™€ C/N๋น„์œจ์ด ์–‘์˜ ์ƒ๊ณผ๊ด€๊ณ„์— ํฌํ•จ๋˜๋ฉฐ TN๊ณผ C/S๋น„์œจ์ด ์Œ์˜ ์ƒ๊ด€๊ด€๊ณ„์— ํฌํ•จ๋˜์–ด์žˆ๋Š” ๊ฒƒ์œผ๋กœ ๋ณด์•„ ์ œ2์š”์ธ์€ TN๊ณผ TS๋กœ ํ•ด์„๋œ๋‹ค. ์—ฐ๊ตฌ์ง€์—ญ์˜ ์ฃผ์ƒ ํ‡ด์ ๋ฌผ์—์„œ๋Š” ์ž…๋„์˜ ์ฐจ์ด์— ๋”ฐ๋ผ ์ค‘๊ธˆ์†์˜ ๋†๋„์™€ ์œ ๊ธฐ๋ฌผ์งˆ์˜ ๋†๋„๊ฐ€ ๋ณ€ํ™”ํ•˜๋Š” ๊ฒƒ์œผ๋กœ ๋‚˜ํƒ€๋‚ฌ๋‹ค. ์ด๋Ÿฌํ•œ ๊ฒฐ๊ณผ๋กœ ๋ชจ๋“  ๋ฌผ์งˆ์„ ์ž…๋„ ๋ถ„ํฌ๊ฐ€ ์ œ์–ดํ•˜๋Š” ๊ฒƒ์œผ๋กœ ํŒ๋‹จํ•  ์ˆ˜๋Š” ์—†์ง€๋งŒ ํ‡ด์ ๋ฌผ ๋‚ด ์˜ค์—ผ ๋ฌผ์งˆ์ด ๋  ์ˆ˜๋„ ์žˆ๋Š” ์œ ๊ธฐ๋ฌผ์งˆ ๋ฐ ์ค‘๊ธˆ์†์˜ ๋†๋„๋Š” ์ž…๋„ ๋ถ„ํฌ์™€ ๋ฐ€์ ‘ํ•˜๊ฒŒ ์—ฐ๊ด€๋˜๋Š” ๊ฒƒ์œผ๋กœ ๋ณด์•„ ์—ฐ๊ตฌ ์ง€์—ญ์— ์ธ์œ„์ ์ธ ์˜ค์—ผ์˜ ์˜ํ–ฅ์€ ๋ฏธ์•ฝํ•œ ๊ฒƒ์œผ๋กœ ์‚ฌ๋ฃŒ๋œ๋‹ค.

4. Conclusion

๋‚™๋™๊ฐ• ์ค‘๋ฅ˜์— ์œ„์น˜ํ•˜๋Š” ๊ฐ•์ •๏ฝฅ๊ณ ๋ น๋ณด์— ์ธ์ ‘ํ•œ ์ง€์—ญ์—์„œ ๊นŠ์ด 20 cm์˜ ์ฃผ์ƒ ํ‡ด์ ๋ฌผ์„ ์ค‘๋ ฅ์ฝ”์–ด๋ฅผ ์ด์šฉํ•˜์—ฌ ์ฑ„์ทจํ•˜์—ฌ ์ž…๋„, ์™„์ „์—ฐ์†Œ๊ฐ€๋Šฅ๋Ÿ‰, TOC, TN, TS ๋ฐ ์ค‘๊ธˆ์† ๋†๋„๋ถ„์„์„ ์‹ค์‹œํ•˜๊ณ  ์‹œ๋ฃŒ์˜ ๋‹จ๋ฉด์„ ๊ด€์ฐฐํ•˜์—ฌ ์ฃผ์ƒ๋„๋ฅผ ์ž‘์„ฑํ•˜์˜€๋‹ค.

์ž…๋„ ๋ถ„์„ ๊ฒฐ๊ณผ ๋ชจ๋ž˜(avg. 51.48%)์™€ ์‹คํŠธ(avg. 46.21%)๊ฐ€ ์šฐ์„ธํ•˜๊ฒŒ ๋‚˜ํƒ€๋‚ฌ์œผ๋ฉฐ, ํ•˜๋ถ€์—์„œ ์ƒ๋ถ€๋กœ ํ–ฅํ•˜์—ฌ ์‚ฌ์งˆ๋‹ˆ์—์„œ ๋‹ˆ์งˆ์‚ฌ ํ‡ด์ ์ƒ์œผ๋กœ ๋ณ€ํ•˜์—ฌ ์ƒํ–ฅ ์กฐ๋ฆฝํ™” ๋˜๋Š” ๊ฒฝํ–ฅ์ด ๋‚˜ํƒ€๋‚ฌ๋‹ค. ์ด๋Ÿฌํ•œ ํ‡ด์  ๊ตฌ์กฐ์˜ ์ˆ˜์ง์  ๋ณ€ํ™”๋Š” ์œ ์† ๋ฐ ์œ ๋Ÿ‰์˜ ๋ณ€ํ™”์— ๋”ฐ๋ผ ํ‡ด์ ๊ตฌ์กฐ ์—ญ์‹œ ๋ณ€ํ™”๋œ ๊ฒƒ์œผ๋กœ ํŒ๋‹จ๋œ๋‹ค. ์œ ๊ธฐ๋ฌผ ํ•จ๋Ÿ‰์„ ์ง€์‹œํ•˜๋Š” ์™„์ „์—ฐ์†Œ๊ฐ€๋Šฅ๋Ÿ‰๊ณผ TOC์˜ ๋†๋„๋Š” ํ•˜๋ถ€์—์„œ ์ƒ๋ถ€๋กœ ํ–ฅํ•˜์—ฌ ๊ฐ์†Œํ•˜๋Š” ๊ฒฝํ–ฅ์ด ๋‚˜ํƒ€๋‚ฌ์œผ๋ฉฐ, TN ๋†๋„ ์—ญ์‹œ ํ•˜๋ถ€์—์„œ ์ƒ๋ถ€๋กœ ํ–ฅํ•˜์—ฌ ๊ฐ์†Œํ•˜์˜€์ง€๋งŒ TS ๋†๋„๋Š” ์ƒ๋ถ€๋กœ ํ–ฅํ•˜์—ฌ ์ฆ๊ฐ€ํ•˜๋Š” ๊ฒฝํ–ฅ์ด ๋‚˜ํƒ€๋‚ฌ๋‹ค. C/N ๋น„์œจ์€ ๋ชจ๋“  ๊นŠ์ด์—์„œ 10์ดํ•˜์˜ ๊ฐ’์œผ๋กœ ๋‚˜ํƒ€๋‚ฌ๊ณ  ํ•˜๋ถ€์—์„œ ๊ธ‰๊ฒฉํžˆ ์ฆ๊ฐ€ํ•˜์—ฌ ์ƒ๋ถ€๋กœ ํ–ฅํ•˜์—ฌ ๋น„๊ต์  ๋ณ€ํ™”๊ฐ€ ์—†์—ˆ์œผ๋ฉฐ C/N ๋น„์œจ์˜ ๊ฒฐ๊ณผ๋กœ ๋ณด์•„ ์ฃผ์ƒ ํ‡ด์ ๋ฌผ์— ์ง‘์ ๋œ ์œ ๊ธฐ๋ฌผ์งˆ์€ ์œก์ƒ๊ธฐ์› ๋ณด๋‹ค๋Š” ์ˆ˜์ค‘์— ์„œ์‹ํ•˜๋Š” ์ƒ๋ฌผ๊ธฐ์›์ธ ๊ฒƒ์œผ๋กœ ํŒ๋‹จ๋œ๋‹ค. C/S ๋น„์œจ์€ ์ผ๋ฐ˜์ ์ธ ๋‹ด์ˆ˜ ํ‡ด์ ๋ฌผ์˜ ๋ฒ”์œ„์—์„œ ๋ณ€ํ™”ํ•˜๋ฉฐ ํ•˜๋ถ€์—์„œ ์ƒ๋ถ€๋กœ ํ–ฅํ•˜์—ฌ ์ฆ๊ฐ€ํ•˜๋Š” ํ™ฉ์˜ ๋†๋„์— ๋”ฐ๋ผ ์ ์ฐจ ๊ฐ์†Œํ•˜๋Š” ๊ฒฝํ–ฅ์ด ๋‚˜ํƒ€๋‚ฌ๋‹ค. ๋ถ„์„๋œ ๋ชจ๋“  ์ค‘๊ธˆ์† ๋†๋„๋Š” ํ•˜๋ถ€์—์„œ ์ƒ๋ถ€๋กœ ํ–ฅํ•˜์—ฌ ์ „๋ฐ˜์ ์œผ๋กœ ๊ฐ์†Œํ•˜๋Š” ๊ฒฝํ–ฅ์ด ๋‚˜ํƒ€๋‚ฌ์œผ๋ฉฐ, ์บ๋‚˜๋‹ค ํ‡ด์ ๋ฌผ ํ™˜๊ฒฝ๊ธฐ์ค€๊ณผ ๊ตญ๋‚ด ํ•˜์ฒœ๏ฝฅํ˜ธ์†Œ ํ‡ด์ ๋ฌผ ์˜ค์—ผํ‰๊ฐ€ ๊ธฐ์ค€๊ณผ ๋น„๊ตํ•˜์—ฌ ์ €์„œ์ƒ๋ฌผ์— ์•…์˜ํ–ฅ์„ ๋ฏธ์น˜๊ฑฐ๋‚˜ ์‹ฌ๊ฐํ•˜๊ฒŒ ์˜ค์—ผ๋œ ์ƒํƒœ๋Š” ์•„๋‹Œ ๊ฒƒ์œผ๋กœ ๋‚˜ํƒ€๋‚ฌ๋‹ค. ์ด์™€ ๊ฐ™์€ ๋ถ„์„ ๊ฒฐ๊ณผ๋“ค์˜ ์ƒ๊ด€๊ด€๊ณ„ ๋ถ„์„์„ ์‹ค์‹œํ•œ ๊ฒฐ๊ณผ ์‹คํŠธ ํ‡ด์ ๋ฌผ์ด ์™„์ „์—ฐ์†Œ๊ฐ€๋Šฅ๋Ÿ‰, TOC ๋ฐ ์ค‘๊ธˆ์†๊ณผ ์–‘์˜ ์ƒ๊ด€๊ด€๊ณ„๋กœ ๋‚˜ํƒ€๋‚˜ ์ž…๋„์˜ ์ฐจ์ด๊ฐ€ ์œ ๊ธฐ๋ฌผ์งˆ ๋ฐ ์ค‘๊ธˆ์† ๋†๋„์™€ ๋ฐ€์ ‘ํ•œ ์—ฐ๊ด€์ด ์žˆ์œผ๋ฉฐ ์ด๋Š” ์„ธ๋ฆฝ์งˆ ํ‡ด์ ๋ฌผ์˜ ํ‘œ๋ฉด์  ์ฆ๊ฐ€์™€ ํก์ฐฉ์— ์˜ํ•ด ์ค‘๊ธˆ์†์˜ ๋†๋„์™€ ์œ ๊ธฐ๋ฌผ์งˆ์ด ๋†’๊ฒŒ ์ถ•์ ๋˜๋Š” ๊ฒฐ๊ณผ๋กœ ํŒ๋‹จ๋œ๋‹ค.

์—ฐ๊ตฌ ์ง€์—ญ์€ ๊ณผ๊ฑฐ์— ๋น„ํ•ด ํ˜„์žฌ ์„ธ๋ฆฝํ•œ ํ‡ด์ ๋ฌผ์—์„œ ๋‹ค์†Œ ์กฐ๋ฆฝํ•œ ํ‡ด์ ๋ฌผ๋กœ ํ‡ด์  ๊ตฌ์กฐ๊ฐ€ ๋ณ€ํ™”ํ•˜์˜€๊ณ  ์œ ๊ธฐ๋ฌผ์งˆ๊ณผ ์ค‘๊ธˆ์† ๋†๋„๋Š” ๊ฐ์†Œํ•œ ๊ฒƒ์œผ๋กœ ๋‚˜ํƒ€๋‚ฌ๋‹ค. ์ด์™€ ๊ฐ™์€ ํ‡ด์  ๊ตฌ์กฐ์™€ ์ง€ํ™”ํ•™์ ์ธ ํŠน์„ฑ์˜ ๋ณ€ํ™”๋Š” ์ž์—ฐ์ ์ธ ์˜ํ–ฅ๊ณผ ์ธ์œ„์ ์ธ ๋ฐฉ๋ฅ˜์— ์˜ํ•œ ์œ ์† ๋ฐ ์œ ๋Ÿ‰์˜ ๋ณ€ํ™”๊ฐ€ ๊ทธ ์›์ธ์ธ ๊ฒƒ์œผ๋กœ ์ƒ ๊ฐ๋œ๋‹ค. ๋˜ํ•œ, ์ด๋Ÿฌํ•œ ๊ฒฐ๊ณผ์— ์˜ํ–ฅ์„ ๋ฏธ์น  ์ˆ˜๋„ ์žˆ๋Š” ๋ณด์™€ ์ค€์„ค์— ์˜ํ•œ ์ธ์œ„์ ์ธ ์˜ํ–ฅ์— ์˜ํ•œ ํ‡ด์  ํ™˜๊ฒฝ ๋ณ€ํ™”์— ๋Œ€ํ•œ ์—ฐ๊ตฌ๊ฐ€ ๋” ์‹œํ–‰๋˜์–ด์•ผ ํ•˜๋Š” ๊ฒƒ์œผ๋กœ ์‚ฌ๋ฃŒ๋œ๋‹ค.

References

1 
Alloway B. J., Thornton I., Smart G. A., Sherlock J. C., and Quinn M. J., 1988, Metal Arailability, Science of the Total Environment, Alloway, B. J., Thornton, I., Smart, G. A., Sherlock, J. C., and Quinn, M. J. (1988). Metal Arailability, Science of the Total Environment, 75, pp. 41-69, Vol. 75, pp. 41-69DOI
2 
Ahn J. M., Im T. H., Lee I. J., Lee K. L., Jung K. Y., Lee J. W., Cheon S. U., Park I. H., 2014, A Study on Efficiency of Water Supply through Conjunctive Operation of Reservoirs and Multi-function Weir in the Nakdong River, Journal of Korean Society on Water Environment, Ahn, J. M., Im, T. H., Lee, I. J., Lee K. L., Jung, K. Y., Lee, J. W., Cheon, S. U., and Park, I. H. (2014). A Study on Efficiency of Water Supply through Conjunctive Operation of Reservoirs and Multi-function Weir in the Nakdong River, Journal of Korean Society on Water Environment, 30(2), pp. 138-147., Vol. 30, No. 2, pp. 138-147DOI
3 
Berner R. A., Raiswell R., 1984, C/S Method for Distinguishing Freshwater from Marnie Sedimentary Rocks, Geology Society of America, Berner, R. A. and Raiswell, R. (1984). C/S Method for Distinguishing Freshwater from Marnie Sedimentary Rocks, Geology Society of America, 12, pp. 365-368., Vol. 12, pp. 365-368Google Search
4 
1995, Protocol for the Derivation of Canadian sediment Quality Guidelines for the protection of Aquatic Life, Canadian Council of Ministers of the Environmental Protection (CCME). (1995). Protocol for the Derivation of Canadian sediment Quality Guidelines for the protection of Aquatic Life, Report CCME, EPA-98E, pp. 1-8., pp. 1-8Google Search
5 
Cundy A. B., Crodace I. W., Cearreta A., Irabien M. J., 2003, Reconstructing Historical Trends in Metal Input in Heavily Disturbed, Contaminated Estuaries : Studies from Bilbao, Southampton Water and Sicily, Applied Geochemistry, Cundy, A. B., Crodace, I. W., Cearreta, A., and Irabien M. J. (2003). Reconstructing Historical Trends in Metal Input in Heavily Disturbed, Contaminated Estuaries : Studies from Bilbao, Southampton Water and Sicily, Applied Geochemistry, 18(2), pp. 311-325., Vol. 18, No. 2, pp. 311-325DOI
6 
Choi J. H., Kang J. W., Hong D. B., Park Y. A., 2000, Distribution of Organic Carbon, Organic Nitrogen, and Heavy Metals in Lake Shihwa Sediments, Journal of the Korean Society of Oceanography, Choi, J. H., Kang, J. W., Hong, D. B., and Park. Y. A. (2000). Distribution of Organic Carbon, Organic Nitrogen, and Heavy Metals in Lake Shihwa Sediments, Journal of the Korean Society of Oceanography, 5(4), pp. 276-284., Vol. 5, No. 4, pp. 276-228Google Search
7 
Dekov V. M., Komy Z., Araujo F., Van Put A., Van Grieken R., 1997, Chemical Composition of Sediments, Suspended Matter, River Water and Ground Water of the Nile (Aswan-Sohag traverse), The Science of the Total Environment, Dekov, V. M., Komy, Z., Araujo, F., Van Put, A., and Van Grieken, R. (1997). Chemical Composition of Sediments, Suspended Matter, River Water and Ground Water of the Nile (Aswan-Sohag traverse), The Science of the Total Environment, 20, pp. 195-210., Vol. 20, pp. 195-210Google Search
8 
Folk R. L., 1968, Petrology of Sedimentary Rock, Folk, R. L. (1968). Petrology of Sedimentary Rock, Hemphill's, pp. 170., pp. 170Google Search
9 
Folk R. L., Ward W. C., 1957, Brazos River Bar, a Study in the Significance of Grain size Parameter, Journal of Sedimentary Petrology, Folk, R. L. and Ward, W. C. (1957). Brazos River Bar, a Study in the Significance of Grain size Parameter, Journal of Sedimentary Petrology, 27, pp. 3-27., Vol. 27, pp. 3-27DOI
10 
Horowitz A. J., 1991, A primer on Sediment-Trace Element Chemistry, Horowitz, A. J. (1991). A primer on Sediment-Trace Element Chemistry, Lewis publish, Chelsea. 136p., pp. 136Google Search
11 
Kang J. Y., Kim J. M., Kim Y. D., Kang B. S., 2013, Effect of Climate Change on Water Quality in Seonakdong River Experimental Catchment, Journal of Korean Society of Water and Wastewater, Kang, J. Y., Kim J. M., Kim, Y. D., and Kang, B. S. (2013). Effect of Climate Change on Water Quality in Seonakdong River Experimental Catchment, Journal of Korean Society of Water and Wastewater, 27(2), pp. 197-206., Vol. 27, No. 2, pp. 197-206DOI
12 
Kang Y. T., Hyun K. S., Yang H. C., 1996, Water Quality Modeling and Management Measures for the Nakdong River, Journal of Korea Technological Society of Water and Waste Treatment, Kang, Y. T., Hyun, K. S., and Yang, H. C. (1996). Water Quality Modeling and Management Measures for the Nakdong River, Journal of Korea Technological Society of Water and Waste Treatment, 4(2), pp. 3-15., Vol. 4, No. 2, pp. 3-15Google Search
13 
Kim J. Y., Eun G. Y. N., Koh Y. K., Youn S. T., Oh K. H., Kim D. J., 2001, Sedimentary Environments and Geochemical Characters of the Core Sediments Near Naju-Yeongam Area in the Lower Part of the Yeongsan River, Cheonnam, Korea, Journal of Korea Earth Science Society, Kim, J. Y., Eun G. Y. N., Koh Y. K., Youn S. T., Oh K. H., and Kim D. J. (2001). Sedimentary Environments and Geochemical Characters of the Core Sediments Near Naju-Yeongam Area in the Lower Part of the Yeongsan River, Cheonnam, Korea, Journal of Korea Earth Science Society, 22(4), pp. 301-316., Vol. 22, No. 4, pp. 301-316Google Search
14 
Kim H. S., Hong J. J., Seong J. U., Choi K. S., Park J. C., 2013, Comparison of Organic Matter Distribution in Major Tributaries of the Nakdong River, Journal of Korean Society on Water Environment, Kim, H. S., Hong, J. J., Seong, J. U., Choi, K. S., and Park J. C. (2013). Comparison of Organic Matter Distribution in Major Tributaries of the Nakdong River, Journal of Korean Society on Water Environment, 29(5), pp. 618-624., Vol. 29, No. 5, pp. 618-624Google Search
15 
Lee J. K., Kim S. G., Song J. H., Lee T. Y., 2010, Evaluation of Organic Compounds and Heavy Metals in Sediments from the Urban Streams in the Busan City, Journal of Korean Geo-enviromental society, Lee, J. K., Kim, S. G., Song, J. H., and Lee, T. Y. (2010). Evaluation of Organic Compounds and Heavy Metals in Sediments from the Urban Streams in the Busan City, Journal of Korean Geo-enviromental society, 11(1), pp. 35-43., Vol. 11, No. 1, pp. 35-43Google Search
16 
Lee K. Y., Kim J. E., Lee G. K., Lee K. L., Lee I. J., Im T. H., 2013, Characteristics of Changes in DOC Concentration according to Concentrations of Organic Matter and Suspended Solids in the Nakdong River, Journal of Korean Society on Water Environment, Lee, K. Y., Kim, J. E., Lee, G. K., Lee, K. L., Lee, I. J., and Im, T. H. (2013). Characteristics of Changes in DOC Concentration according to Concentrations of Organic Matter and Suspended Solids in the Nakdong River, Journal of Korean Society on Water Environment, 29(4), pp. 540-550., Vol. 29, No. 4, pp. 540-550Google Search
17 
2012, Official Test Methods of Water Quality, Ministry of Environment (MOE). (2012). Official Test Methods of Water Quality, Notification No. 2012-99, Ministry of Environment, pp. 1-333. [Korean Literature], pp. 1-333Google Search
18 
Ministry of Land Infrastructure and Transport (MOLIT), 2009, River Maintence Master Plan in the Nakdong River, Ministry of Land, Infrastructure and Transport (MOLIT). (2009). River Maintence Master Plan in the Nakdong River, Ministry of Land, Infrastructure and Transport. [Koeran Literature]Google Search
19 
Mulller P. J., 1977, C/N Ratio in Pacific Deep-sea Sediment:Effect of Inorganic Ammonium and Organic Nitrogen Compounds Sorbed by Clays, Geochimica et Cosmochimica Acta., Mulller, P. J. (1977). C/N Ratio in Pacific Deep-sea Sediment:Effect of Inorganic Ammonium and Organic Nitrogen Compounds Sorbed by Clays, Geochimica et Cosmochimica Acta., 41, pp. 765-776., Vol. 41, pp. 765-776DOI
20 
2012, River and Lake Sediment Contamination Evaluation Guide Line, National Institute of Environmental Research (NIER). (2012). River and Lake Sediment Contamination Evaluation Guide Line, Ministry of Environment, National Institute of Environmental Research, published rulings, 2014-575.Google Search
21 
Oh K. H., Kim J. Y., Koh Y. K., Youn S. T., Shin S. E., Park B. Y., Moon B. C., Kim H. G., 2003, Geochemical Characteristics and Contamination of Surface Sediment in Streams of Gwangju City, Journal of Korea Earth Science Society, Oh, K. H., Kim, J. Y., Koh, Y. K., Youn, S. T., Shin, S. E., Park, B. Y., Moon, B. C., and Kim, H. G. (2003). Geochemical Characteristics and Contamination of Surface Sediment in Streams of Gwangju City, Journal of Korea Earth Science Society, 24(4), pp. 346-360., Vol. 24, No. 4, pp. 346-360Google Search
22 
Ra K. T., Bang J. H., Lee J. M., Kim E. S., Kim K. T., 2011, The Extent and Historical Trend of Metal Pollution Recorded in Core Sediments from the Artificial Lake Shihwa, orea, Marine Pollution Bulletin, Ra, K. T., Bang J. H., Lee, J. M., Kim, E. S., and Kim K. T. (2011). The Extent and Historical Trend of Metal Pollution Recorded in Core Sediments from the Artificial Lake Shihwa, orea, Marine Pollution Bulletin, 62(5), pp. 1814-1821., Vol. 62, No. 5, pp. 1814-1821DOI
23 
Ra K. T., Kim E. S., Kim J. K., Kim K. T., Lee J. M., Kim E. Y., 2013, Distribution and Pollution Assessment of Trace Metals in Core Sediments from the Artificial Lake Shihwa, Korea, Ocean and Polar Research, Ra, K. T., Kim, E. S., Kim, J. K., Kim, K. T., Lee, J. M., and Kim, E. Y. (2013). Distribution and Pollution Assessment of Trace Metals in Core Sediments from the Artificial Lake Shihwa, Korea, Ocean and Polar Research, 35(2), pp. 69-83., Vol. 35, No. 2, pp. 69-83DOI
24 
Sampei Y., Matsumoto E., 2001, C/N Ratios in a Sdiment Core from Nakaumi Lagoon, Southwest Japan-usefulness as an Organic Source Indicator, Journal of Geochemical, Sampei, Y. and Matsumoto, E. (2001). C/N Ratios in a Sdiment Core from Nakaumi Lagoon, Southwest Japan-usefulness as an Organic Source Indicator, Journal of Geochemical, 35, pp. 189-205., Vol. 35, pp. 189-205DOI
25 
Thornton I., 1983, Applied Environmental Geochemistry, Thornton, I. (1983). Applied Environmental Geochemistry, Academic Press, pp. 501., pp. 501Google Search