The Journal of
the Korean Society on Water Environment

The Journal of
the Korean Society on Water Environment

Bimonthly
  • ISSN : 2289-0971 (Print)
  • ISSN : 2289-098X (Online)
  • KCI Accredited Journal

Editorial Office





bioelectrochemical, domestic wastewater, effluent water quality, improvement

1. Introduction

미생물의 성장 및 물질대사 작용을 이용하여 하폐수에 함유된 오염물질을 안정화시키는 생물학적 처리공정은 일반적으로 처리수의 수질이 방류수수질 기준을 만족시키도록 설계하는데 처리수의 수질은 생물반응조의 수리학적 흐름특성, 미생물의 종류 및 성장형태 그리고 다양한 운전 및 환경인자들에 의해서 크게 영향을 받는다(Tchobanoglous et al., 2014). 특히, 하폐수처리 공정을 운전하는 동안 빈번하게 발생하는 유입 부하율의 변동은 생물학적 처리공정의 운전인자인 기질과 미생물 생체량의 비, 수리학적체류시간 그리고 고형물체류시간 등에 직접 영향을 미친다. 따라서, 하폐수처리장 유출수의 수질은 하폐수 발생원의 특이성에 의존하여 실시간으로 크게 변동하는 유입 부하율에 의해 악화되거나 불안정해질 수 있다(Chang et al., 2014). 특히, 우리나라의 경우는 계절에 따른 온도차이가 뚜렷하고 대부분의 강우가 하절기에 집중하여 내리며, 하수관거의 관리가 부실한 경우가 많다(Chang et al., 2014; Choi and Lee, 2002). 따라서, 우리나라 하수폐수처리 시설의 유입 부하율은 주로 발생원의 특이성에 따른 실시간 변화와 강우여부 그리고 유입수/침투수 변동에 의해서 결정된다고 볼 수 있다(Tchobanoglous et al., 2014). 그러나, 생물학적인 하폐수 처리에 관여하는 호기성미생물들은 기질친화도의 한계로 인하여 하폐수에 함유된 오염물의 농도가 방류수 수질기준 정도로 낮은 경우 효과적으로 오염물을 대사하여 성장하기 어렵게 된다(Kovarova-Koar and Egli, 1998; Liu, 2006). 따라서, 생물학적인 처리공정으로 이루어진 하수처리 시설의 처리수 수질은 불안정하거나 정상상태 보다 낮아 방류수 수질기준을 만족시키지 못하는 경우가 종종 발생하고 있다(Chang et al., 2014; Kim et al., 2003). 그러나, 아직까지 생물학적인 하폐수처리 시설에서 처리수의 수질을 추가적으로 개선하거나 수질의 변동성을 생물학적인 방법으로 완충하기 위한 연구는 많지 않았다.

한편, 생물전기화학기술은 생물반응조에 설치된 산화전극과 환원전극에 작은 전압을 인가하여 전극표면에 부착성장하는 미생물의 활성을 촉진시킴으로서 하폐수, 유기성폐기물 등의 처리와 관련된 환경오염 문제를 해결하는 새로운 기술이다(Krieg et al., 2014; Song et al., 2015). 일반적으로 미생물의 기질친화도는 Monod 식 형태의 미생물 성장 동력학식에서 반속도상수에 반비례하는 값으로 나타낸다. 이때 반속도상수는 다음 식 (1)과 같이 자유에너지변화량의 함수로서 나타낼 수 있다(Liu, 2006).

../../Resources/kswe/31-4/images/SJBJB8_2015_v31n4_351_e901.jpg

여기서, Ks는 반속도상수(mg/L)이며, ΔG0 및 ΔG는 표준상태와 현재 상태의 자유에너지 변화량 그리고 R 및 T는 이상기체상수 및 절대온도이다. 식 (1)에서 현재 상태의 자유에너지변화량(ΔG)이 커지면 Ks 값이 작아지게 되어 기질친화도가 증가하기 때문에 미생물은 낮은 기질농도에서도 상대적으로 높은 성장을 할 수 있게 된다. 산화환원반응에 있어서 자유에너지변화량은 Nernst 식과 자유에너지식을 결합하면 다음 식 (2)와 같이 나타낼 수 있다(Song et al., 2015).

../../Resources/kswe/31-4/images/SJBJB8_2015_v31n4_351_e902.jpg

따라서, 생물전기화학반응조에서 산화전극의 전위를 해당 물질의 산화전위보다 높게, 그리고 환원전극의 전위는 해당 물질의 환원전위보다 낮게 유지시키면 전극표면에서 일어나는 생화학반응의 자유에너지변화량이 커지게 됨으로서 미생물의 기질친화도가 향상된다. 따라서, 생물전기화학시스템을 이용하면 하폐수처리장 유출수와 같이 기질 농도가 낮은 폐수를 생물학적으로 처리할 수 있다.

본 연구에서는 하폐수처리장 방류수의 수질개선을 위한 기술적 대안을 마련하기 위하여 실험실규모의 여과상 생물전기화학시스템을 고안하고, 하수처리장 방류수 수질기준 정도의 수질을 가지는 저농도 합성폐수를 대상으로 COD 및 총 질소의 처리효율에 미치는 인가전압 및 수리학적체류시간(Hydraulic retention time, HRT)의 영향을 평가하였다. 또한, 고농도 COD 및 질소의 일시적인 유입으로 인한 충격이 생물전기화학시스템의 유출수 수질에 미치는 영향을 평가하였으며, 실제 하수처리장의 유출수를 이용하여 수질개선정도를 검증하였다.

2. Materials and Methods

2.1. 생물전기화학시스템

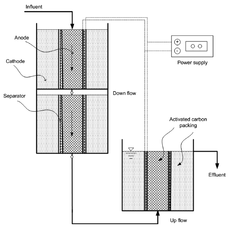
본 연구에서는 Fig. 1에서 보는 바와 같은 직경 5cm의 아크릴관을 이용하여 높이 17cm의 하향류 흐름 생물전기화학반응조 2개를 직렬로 연결하고 1개의 상향류 흐름 생물전기화학반응조를 연이어 연결시킨 유효부피 약 1L의 생물전기화학시스템을 제작하였다(Fig. 1). 이때 하향류 흐름 반응조 유출구에는 각각 시료 채취구를 각각 설치하였으며, 제 2 하향류 흐름 반응조 바닥에서 배출되는 유출수는 직결된 상향류 흐름반응조 하단으로 주입하였다. 따라서, 최종 유출수는 상향류 흐름 반응조의 상단에서 배출되도록 하였다. 각각의 생물전기화학 반응조의 중심에는 폴리프로필렌 부직포로 만든 원통형 분리막(직경 2.5cm)을 설치하였으며, 원통형 분리막 내・외부에는 각각 산화전극과 환원전극을 결속시켰다. 산화전극과 환원전극, 그리고 반응조 외벽 사이의 빈 공간에는 입상 활성백탄(Daejin Tech Role, Co., Korea)을 충진하여 각각에 대한 전극 충진물질로 사용하였다. 따라서, 하향류 흐름 반응조의 환원전극부 활성백탄 충진층은 질산화반응에 필요한 산소의 공급이 이루어질수 있도록 공기의 유출입이 자유로운 구조이었다. 또한, 이어지는 상향류 흐름 반응조는 수위를 반응조 상단의 유출구까지 유지시켜 공기의 유입을 제한함으로서 무산소상태를 유지시켜 탈질반응이 일어날 수 있도록 한 구조이다. 산화전극과 환원전극은 각각 티타늄선을 삽입하여 집전체로 사용하였으며, 피복된 구리도선으로 각각의 집전체를 연결하여 직류전원 공급장치에 접속하였다.

Fig. 1.

Schematic diagram of a bioelectrochemical system for the improvement of discharge water quality from domestic wastewater treatment plant.

../../Resources/kswe/31-4/images/SJBJB8_2015_v31n4_351_f001.jpg

2.2. 산화 및 환원전극, 전극충진물질

산화전극은 흑연섬유직물(Graphite fiber fabric, GFF)의 표면에 다중벽탄소나노튜브(Multi-wall Carbon Nanotube, MWCNT)를 고정시켜 비표면적과 생물친화성 및 전도성을 향상시켜서 준비하였다. 이때 GFF 표면의 MWCNT는 MWCNT 4g을 함유한 고정용액(TBS, BEST K Co., Busan, Korea) 1L에 GFF를 침지시킨 뒤 초음파를 1시간 동안 조사하여 GFF 표면에 고정물질을 부착시키는 분산포집법을 사용하여 고정하였다. 환원전극은 산화전극과 동일한 방법으로 GFF 표면에 MWCNT를 고정시켜 제작하였으나 고정용액 1L에 금속환원촉매로 FePC 및 CuPC를 각각 0.5g 씩 추가로 첨가하여 사용하였다. 전극충진 물질로 사용한 활성백탄은 평균입경은 0.5cm이며, 전도성은 500±10μS/cm인 백탄의 표면에 마그네타이트(magnetite, Fe3O4)를 고정시켜 활성화시킨 뒤 사용하였다. 이때 활성백탄 표면의 마그네타이트는 1L의 증류수에 활성백탄 100g과 마그네타이트 100g을 주입하여 혼합용액을 만든 뒤 120℃ 및 2atm의 가압멸균기에서 30분 동안 처리하는 방법으로 고정하였다.

2.3. 실험방법 및 운전조건

유입폐수는 CH3COONa 0.051g, Na2HPO4 0.046g, NaH2PO4 0.025g, KCl 0.001g, NH4Cl 0.0611g, NaNO2 0.002g 및 KNO3 0.026g을 수돗물 1L에 용해시켜 제조하였다. 이때 합성폐수의 COD 농도는 약 40mg/L, T-N의 농도는 약 20mg/L였으며, T-N의 암모니아성 질소, 아질산성 질소, 질산성 질소의 비율은 각각 80%, 2%, 18%였다. 식종슬러지는 S 하수종말처리장 혐기성소화조에서 채취한 혐기성슬러지를 1mm 체로 체거름한 뒤 Y 환경사업소의 슬러지 농축조에서 채취한 호기성슬러지를 같은 비율로 혼합하여 준비하였다. 준비된 식종슬러지는 2대 8의 비율로 준비된 합성폐수와 혼합한 뒤 하향류 흐름 반응조 상단부 중심에 분당 5mL의 속도로 주입하는 방법으로 약 1일간 식종하였다. 식종이 완료된 생물전기화학시스템은 직류전원 공급장치(ODA series)를 이용하여 산화전극과 환원전극 사이에 600mV 또는 800mV의 전위차가 유지되도록 전압을 인가하고 합성폐수를 주입하여 HRT가 60min이 되도록 하였다.

운전시간이 경과함에 따라 간헐적으로 여과상 생물전기화학시스템의 유출수 수질을 관찰하였다. 유출수의 수질이 안정화된 이후에는 Table 1에서 정리한 것과 같이 HRT 60-10min의 범위에서 생물전기화학시스템의 유출수 수질에 대한 HRT의 영향을 평가하였다. 또한, HRT 15분 및 30분에서 인가전압을 0.8V로 고정하고 COD 및 TN을 각각 95.7mg/L 및 41.6mg/L로 조정한 유입수를 10시간동안 주입하여 농도충격실험을 수행하였다. 또한, 평균 COD 및 TN의 농도가 각각 11.5mg/L 및 12.5mg/L인 Y 환경사업소의 실 방류수를 이용하여 생물전기화학시스템의 성능을 검증하였다.

Table 1.

Experimental conditions of bioelectrochemical system for polishing of discharge water quality from domestic wastewater treatment plant

../../Resources/kswe/31-4/images/SJBJB8_2015_v31n4_351_t001.jpg

2.4. 분석 및 해석

생물전기화학시스템을 운전하는 동안 유입수와 각단의 유출수를 채취하여 pH를 pH 미터(Orion 370)를 이용하여 측정하였으며, 알카리도는 적정법으로 분석하였다. CODcr는 Standard methods의 closed reflux 법으로 분석하였으며, 암모니아성 질소는 Phenate Method 법으로 분석하였다. 질산성질소 및 아질산성질소의 농도는 각각 Ultraviolet Spectrophotometric Screening Method 및 Colorimetric Method 법으로 분석하였다. 산화전극과 환원전극의 전위는 Ag/AgCl 기준전극(RE-1B, ALS Co., LTd, Japan) 및 휴대용 멀티미터(DM-1010, Dong Hwa Electronics, Co., Korea)를 사용하여 측정하였다.

3. Results and Discussion

3.1. 생물전기화학시스템의 유기물 및 질소제거 효율

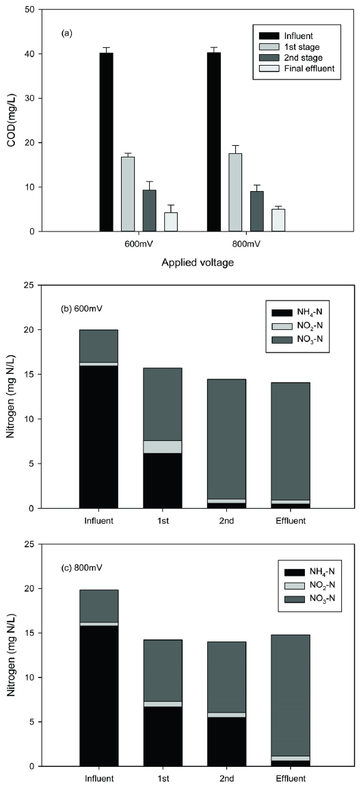
연구에서는 산화전극과 환원전극 사이에 600 및 800mV를 인가한 여과상 생물전기화학시스템을 이용하여 하수처리장 방류수 수질기준 정도의 수질을 가지는 저강도 합성폐수를 대상으로 HRT 60분에서 유기물 및 질소제거효율을 평가하였다(Fig. 2(a)). 600mV를 인가한 생물전기화학시스템의 초기운전을 시작한 직후 생물여과상 반응조의 COD 농도는 급격히 감소하였으며, 17여일 이후 각 반응조의 COD 변화가 거의 없어 정상상태에 도달한 것으로 판단하였다. 이때 산화전극과 환원전극의 전위는 각각 610mV (vs. Ag/AgCl) 및 -10mV (vs. Ag/AgCl) 이었다. 정상상태에서 유입수의 평균 COD는 40mg/L이었으나 제 1 생물여과상 반응조에서 COD 제거율은 60% 이상이었으며, 제 2 생물여과상 반응조에서 유입수 대비 COD는 15% 가량이 추가로 제거되었다. 전체 COD 제거율은 87.9%이었으나, 최종 유출수의 COD는 5mg/L 이하로서 수질이 대단히 우수하였다. 이와 같은 생물전기화학시스템의 우수한 COD 제거효율은 활성탄에 의한 COD의 흡착 그리고 흡착된 유기물의 호기성미생물에 의한 연속적인 분해 및 재생현상으로 일부는 설명할 수 있을 것으로 판단된다. 그러나, 생물전기화학시스템에서 대부분의 COD 제거가 일어난 제 1 및 제 2 생물여과상 반응조의 산화전극부에는 능동적으로 공기를 주입하기 위한 수단이 없었다. 따라서, 산화전극부가 산소부족 환경인 경우 COD 제거의 주된 기작이 호기성 미생물에 의한 유기물의 산화반응으로 보기는 어렵다. 한편, 열역학적으로 살펴보면 아래의 식 (3) 및 식 (4)에서 보는 바와 같이 표준상태의 산화전극전위가 초산의 산화전위(E0,a)인 187mV (vs NHE) 보다 높고, 환원전극의 전위가 산소의 환원전위(E0,c)인 1,229mV (vs NHE) 보다 낮으면 생물전기화학반응에 의한 COD 제거 반응이 일어날 수 있다(Hamelers et al. 2010).

Fig. 2.

Removal of (a) COD and (b) nitrogen at 600mV and (c) 800mV in the bioelectrochemical system.

../../Resources/kswe/31-4/images/SJBJB8_2015_v31n4_351_f002.jpg

../../Resources/kswe/31-4/images/SJBJB8_2015_v31n4_351_e903.jpg

../../Resources/kswe/31-4/images/SJBJB8_2015_v31n4_351_e904.jpg

이것은 논문의 생물전기화학시스템이 표준상태와 다소 차이가 있는 실온에서 운전되었음을 감안하더라도 생물전기화학반응에 의해 COD 제거반응이 일어날 수 있음을 의미한다. 특히, 본 논문에서 유입수의 COD 농도가 하수처리장 방류수 수질 정도로 낮음에도 높은 효율로 COD 제거가 가능한 것은 생물전기화학시스템의 기질친화도가 매우 높기 때문이다. 생물전기화학시스템에서 기질 친화도는 인가전압에 의해서 결정되는 전극 전위의 함수이다(Song et al. 2015). 생물전기화학시스템 유입수의 pH는 평균 7.43이었으나 최종 유출수의 평균 pH는 6.03으로서 유입수보다 낮았다. 특히, 제 1 생물여과상 반응조 유출수의 평균 pH는 6.49로서 유입수에 대비한 pH 감소폭이 가장 컸으며, 제 2 생물여과상 반응조 유출수와 제 3 생물여과상 반응조 유출수의 pH 차이는 크지 않았다. 생물전기화학반응조의 산화전극과 환원전극에서의 일어나는 반응은 다음 식 (3) 및 식 (4)와 같이 각각 나타낼 수 있다(Rozendal et al., 2008). 생물전기화학시스템의 산화전극 표면에서는 전기적으로 활성을 가진 미생물에 의해 유기물이 분해되면, 전자와 양성자 그리고 이산화탄소를 생성하며, 이산화탄소는 물에 녹아 탄산이 된다. 이때 전자는 산화전극으로 전달되어 외부회로를 통하여 환원전극으로 이동하고 양성자는 액상을 통과하여 환원전극으로 이동한다. 환원전극에서는 전자와 양성자 그리고 산소, 질산이온 및 아질산이온, 이산화탄소, 황산염 등과 같은 전자수용체와 결합하여 반응이 완결된다. 생물전기화학시스템에서 pH의 감소는 식 (3)에서 보는 바와 같이 산화전극에서 유기물의 산화반응으로부터 생성된 이산화탄소에 기인한 것으로 판단된다. 따라서, 유입수의 알카리도 값이 높지 않은 경우 수소이온의 증가량은 생물전기화학반응에 의한 COD 분해 정도에 비례하기 때문에 유출수의 pH 변화정도는 유기물 제거를 예측할 수 있는 간단한 지표가 될 수 있다.

총 질소의 경우 유입수의 평균 농도는 20.2mg/L이었으나 최종 유출수에서는 14.2mg/L로서 600mV의 전압을 인가한 생물전기화학시스템에서의 평균제거율은 30%이었다. 질소제거 기작을 확인하기 위하여 암모니아성 질소, 아질산성 질소 및 질산성 질소 농도변화를 살펴보았다(Fig. 2(b)). 유입수의 평균 암모니아성 질소농도는 약 16mg/L 이었으나, 생물전기화학시스템의 제 1 생물여과상 반응조에서 6-7mg/L 까지 감소하였다. 또한, 최종유출수의 암모니아성 질소농도는 0.55mg/L로서 97% 이상 제거되었으며, 제 2 생물여과상 반응조의 유출수와 큰 차이가 없었다. 아질산성 질소의 경우 최종유출수의 평균 농도는 0.44mg/L로서 유입수의 0.4mg/L와 큰 차이가 없었으나 질산성질소 평균 농도는 13.1mg/L로서 유입수의 3.63mg/L 보다 크게 높았다. 위의 결과로부터는 질소의 주요 제거기작과 낮은 탈질 및 질소 제거효율의 명확한 원인을 확인하기는 어려웠다. 25℃로 운전되는 전기화학시스템에서 암모니아성 질소가 산화되어 생성될 수 있는 질소의 형태는 아래 식에서와 같이 질소가스, 아질산성 질소이온 및 질산성 질소이온이다(Snoeyink and Jenkins, 1980).

../../Resources/kswe/31-4/images/SJBJB8_2015_v31n4_351_e905.jpg

../../Resources/kswe/31-4/images/SJBJB8_2015_v31n4_351_e906.jpg

../../Resources/kswe/31-4/images/SJBJB8_2015_v31n4_351_e907.jpg

위의 식에서 보면 암모니아성 질소가 혐기성상태에서 질소가스, 아질산성 질소 및 질산성질소로 산화되는 반응의 산화전위는 양론식에서와 같이 모두 음의 값으로서 자유에너지 변화량이 모두 양(+)의 값이 되어 반응이 열역학적으로 불가능하다. 그러나, 생물전기화학시스템에서는 산화전극에 전압을 인가하여 상기반응을 위한 전위를 양(+)의 값으로 유지시키면 자유에너지변화량이 음(-)의 값을 가지게 됨으로서 위의 반응들이 열역학적으로 가능하게 된다. 최종 유출수에서 암모니아성 질소의 높은 제거율 및 질산성질소의 축적은 600mV를 인가한 생물전기화학시스템의 산화전극에서 상기한 식 (5)-(7)에서와 같은 질소의 혐기성 산화반응이 효율적으로 진행하였음을 의미한다. 생물전기화학시스템의 환원전극에서는 통상적으로 위의 식 (4)에서와 같이 양성자와 전자가 전자수용체인 산소와 결합하거나 아래 식 (8)와 (9)에서와 같이 아질산이온, 아질산이온 등과 결합하여 물 또는 질소가스를 생성하는 환원반응이 일어나게 되어 질소가 제거된다(Snoeyink and Jenkins, 1980).

../../Resources/kswe/31-4/images/SJBJB8_2015_v31n4_351_e908.jpg

../../Resources/kswe/31-4/images/SJBJB8_2015_v31n4_351_e909.jpg

본 연구에서 여과상 생물전기화학시스템에 800 mV의 전압을 인가한 결과 COD 제거율은 Fig. 2(c)에서 보는 바와 같이 87.6%로서 600 mV의 경우와 큰 차이가 없었다. 이 결과는 인가전압 600 mV 이상에서 하수처리장 방류수 수질기준 정도의 저농도 유기물을 충분히 산화시킬 수 있음을 나타낸다. 그러나, 800 mV의 전압을 인가한 생물전기화학시스템에서 TN 제거효율은 약 25.5%로서 600 mV의 경우 보다 오히려 약간 낮았다. 그러나, 최종 유출수에서 암모나아성 질소의 제거율은 600 mV를 인가한 경우와 같이 97% 이상이었으며, 질산이온의 축적 현상이 관측되었다. 이것은 600 mV 및 800 mV를 인가한 생물전기화학시스템의 환원전극에서 질산이온을 전자수용체로 사용하는 환원반응이 효율적이지 않다는 것을 의미한다. 전극표면에서 일어나는 전기화학반응은 전극의 전위와 촉매 그리고 과전위에 의해서 영향을 받는다(Bard and Faulkner, 2001). 따라서, 생물전기화학시스템에서 총질소 제거효율을 개선하기 위해서는 생물전기화학시스템의 환원전극 전위에 대한 탈질반응의 의존성을 평가하여 환원전극에서 질산이온을 전자수용체로 이용하는 탈질반응이 효과적으로 일어날 수 있도록 추가연구를 통하여 전위를 최적화시킬 필요가 있다.

3.2. 수리학적체류시간의 영향

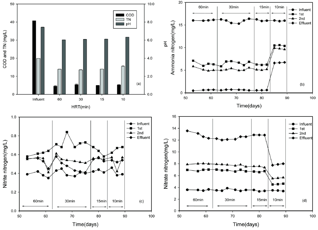
생물전기화학시스템의 산화전극과 환원전극 사이에 800mV의 전압을 인가한 후 HRT를 60분에서 10분까지 단계적으로 감소시키면서 COD 및 질소제거에 대하여 평가하였다. Fig. 3에서는 유입수 및 최종유출수의 COD와 pH 그리고 질소농도의 변화를 보여주고 있다. 최종 유출수의 COD는 HRT 60-15분 범위에서 5.2mg/L 내외를 유지하였으며, 이때 COD 제거율은 약 87%이었으며, HRT를 10분으로 감소시켰을 때의 유출수 COD는 평균 5.4mg/L로서 HRT 15분과 큰 차이가 없었다. 일반적으로 부착성장 하폐수처리공정의 경우 기질제거효율은 생물막에서의 물질전달율과 기질분해동력학에 의해서 직접영향을 받는다. 생분해동력학이 전체 반응의 율속단계인 경우 기질제거효율은 HRT를 증가시켰을 때 증가하지만 생물막에서의 물질전달율이 율속단계인 경우 유체의 난류도를 증가시키면 제거효율이 향상된다(Elmitwall et al., 2000; Reis et al., 2011). 유체의 난류도는 교반을 하거나 HRT를 감소시켜 수리학적부하율을 증가시키면 증가한다. 본 연구의 생물전기화학시스템에서 10분 정도의 짧은 HRT에서도 높은 COD 제거효율을 보이는 것은 i) 큰 수리학적부하율에 의한 유기물의 이류 및 확산속도 향상과 ii) 전극에 인가한 전위에 의한 미생물의 기질 친화도와 미생물의 유기물분해속도 향상에 의한 것으로 평가되었다(Song et al., 2015). 생물전기화학시스템의 우수한 유기물분해력은 최종유출수의 pH 변화에서도 확인할 수 있었다. HRT 60-15분의 범위에서 최종 유출수의 pH 값은 6.03-6.19로서 유입수의 7.43에 비하여 낮았으며, 큰 변화가 없었다. 그러나, HRT 10분에서 유출수의 pH는 6.31로서 HRT 15분에서 보다는 약간 높았다.

Fig. 3.

COD, TN and pH in the effluent of the bioelectrochemical system according to (a) HRT, and changes of (b) ammonia, (c) nitrite and (d) nitrate nitrogen with the operation time.

../../Resources/kswe/31-4/images/SJBJB8_2015_v31n4_351_f003.jpg

총 질소의 경우 유입수 평균 농도는 19.9mg/L이었으나 HRT 60-15분이었을 때 최종 유출수의 농도는 평균 13.74mg/L로서 총 질소 제거율은 31.2%이었다. HRT를 10분으로 감소시켰을 때 총 질소는 약 15.1mg/L로서 제거율이 HRT 60-15분에 비하여 약간 감소하였다. Fig. 3(b)는 HRT에 따른 생물전기화학시스템의 암모니아성 질소 농도변화를 보여주고 있다. HRT 15분 이상일 때 유입수의 암모니아성 질소는 약 16mg/L 이었으나, 1단 반응조에서 약 5.8-7.1mg/L로 감소하였으며, 2단 반응조 유출수의 농도는 약 4.8-5.5mg/L였다. 최종 유출수는 0.47-0.72mg/L로서 유입수에 함유된 암모니아성 질소의 95% 이상이 제거되었다. 그러나, HRT 10분에서 최종유출수의 암모니아성 질소 잔류농도는 6.7mg/L로서 산화되지 않은 암모니아성 질소가 크게 증가하였다. 최종 유출수의 아질산성질소의 농도는 Fig. 3(c)에서 보는 바와 같이 HRT 15분 이상일 때 0.5mg/L로서 유입수의 0.4mg/L와 큰 차이가 없었다. 그러나, 1단 반응조 유출수의 아질산성질소 농도는 HRT 15분 이상일 때 1.4-1.6mg/L를 유지하였으나 HRT 10분일 때 약 0.5mg/L로 감소하였다. 특히, 질산성질소의 경우 HRT 15분 이상일 때 약 12.6mg/L를 유지하였으나 HRT 10분에서는 약 7.9mg/L로 감소하였다 (Fig. 3(d)). 이상의 결과는 본 연구의 생물전기화학시스템에서는 15분 이상의 HRT에서 유기물과 암모니아성 질소의 안정한 산화반응이 일어남을 알 수 있다.

3.3. 농도충격에 의한 영향

생물전기화학시스템의 유기물 및 질소제거 성능에 대한 유입수 농도변화의 영향을 평가하기 위하여 HRT 15분 및 30분에서 800mV를 인가한 뒤 유입수의 평균 COD 40mg/L 및 총 질소 20mg/L에서 운전하였다. 정상상태에 도달한 뒤 유입수의 평균 COD 및 총 질소 농도를 94-97mg/L 및 40mg/L로 높여 10시간 동안 주입한 뒤 원상태로 회복시켰을 때의 유출수 수질의 변화를 평가하였다(Fig. 4). HRT 15분일 때 농도충격을 가한 직후 유출수의 COD는 약 46mg/L까지 급격하게 증가하였으나 운전시간 경과에 따라 지수적으로 감소하였다. 농도충격 종료 직전인 10시간 이후 유출수의 COD는 약 10-11mg/L이었으며, 농도충격 종료 약 6-10시간 이후에는 5mg/L 이하로 회복하였다. HRT 30분에서는 농도충격 직후에 36mg/L까지 증가하였으나 농도충격 종료직전에는 7.7mg/L로 86% 가량 회복하였으며, 농도충격 종료 6시간 경과후에는 5.08mg/L로서 정상상태로 회복하였다.

Fig. 4.

Changes of (a) COD and (b) ammonia, (c) nitrite and (d) nitrate nitrogen in the effluent of the bioelectrochemical system after their concentration shocks for 10 hours at 15 and 30 minutes of HRTs.

../../Resources/kswe/31-4/images/SJBJB8_2015_v31n4_351_f004.jpg

농도충격을 가한 직후 유출수의 암모니아성 질소는 약 28.5mg/L까지 급격하게 증가하였으나 COD의 경우와 같이 운전시간 경과에 따라 지수적으로 감소하였다. 충격부하 종료 직전인 10시간 이후 유출수의 암모니아성 질소는 약 10.6mg/L이었으며, 충격부하 종료 약 6-10시간 이후에는 5mg/L 이하로 빠르게 회복하였다. HRT 30분에서는 유출수의 암모니아성 질소농도의 회복속도가 HRT 15분에 비하여 더욱 빨랐다. 유출수의 아질산성 질소는 농도충격에 의한 유입수의 농도변화와 비슷한 변화를 보였으며, 질산성질소는 유입수 농도변화보다 유출수의 농도변화 폭이 컸는데 이것은 암모니아성 질소의 질산화반응에 의한 영향을 크게 받기 때문으로 평가되었다. 이상의 결과는 약 10시간 정도의 장시간 200% 이상의 유입수 농도충격이 있는 경우 유출수의 COD 및 TN는 방류수 기준 이상까지 증가할 수 있으나 생물전기화학시스템은 빠르게 회복하는 완충력이 있으며, HRT가 30분으로 늘어났을 때 이러한 완충력은 더욱 커졌다.

3.4. 하수처리장 방류수에 대한 처리성능

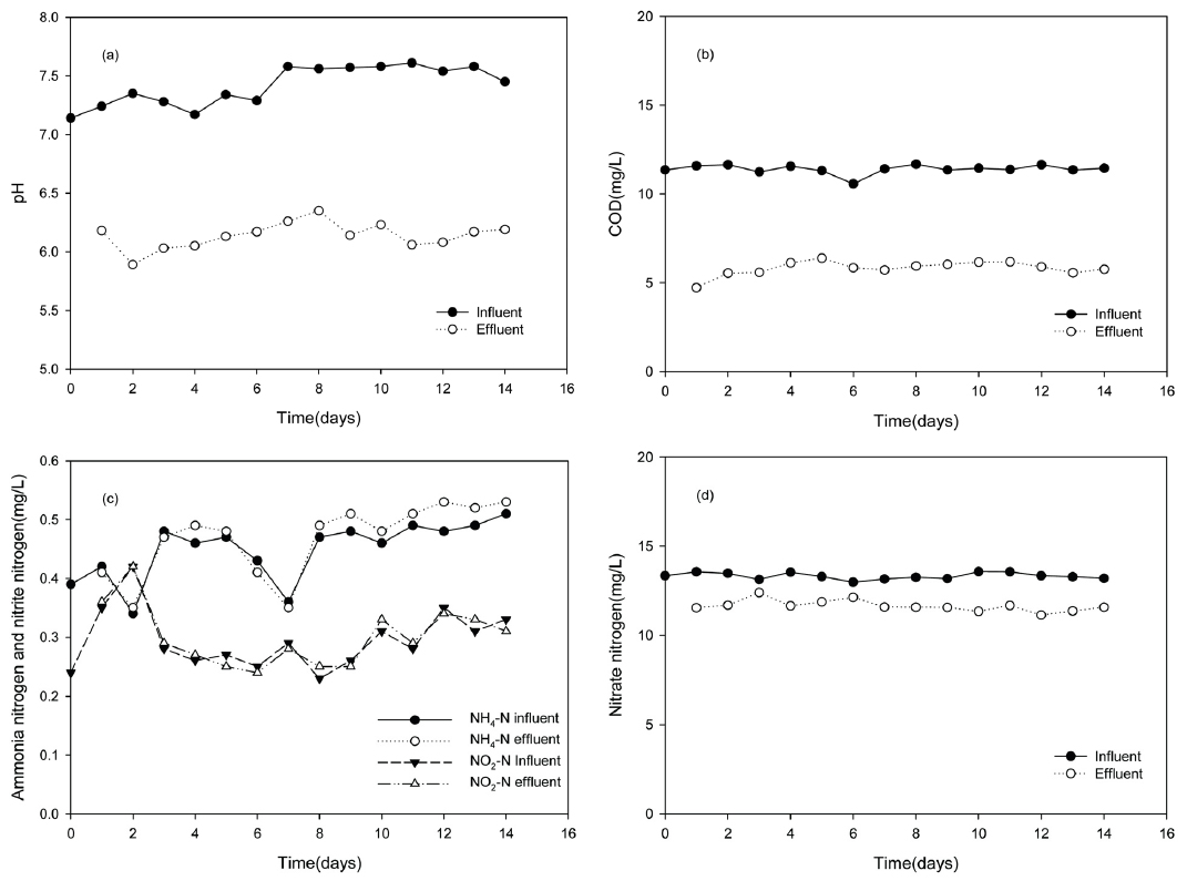
인가전압 0.8V, HRT 15min에서 운전하고 있는 Y 환경사업소 하수처리시설 방류수를 생물전기화학시스템의 유입수로 사용하여 최종방류수의 추가적인 수질개선 가능성을 검증하였다. 이때 산화전극의 전위는 Ag/AgCl 기준전극 대비 0.61V이었으며 환원전극의 전위는 Ag/AgCl 기준전극 대비-0.19V이었다. Y 환경사업소 하수처리시설 방류수의 pH는 7.5이었으나 생물전기화학시스템의 최종 유출수 pH는 6.0까지 감소하였다(Fig. 5(a)). 유입수의 COD는 평균 11.4mg/L이었으나, 유출수는 5.8mg/L로서 평균 COD 제거율 49.1%이었다. 이결과는 생물전기화학시스템은 인가전압 800mV 및 HRT 15분에서 하수처리장 유출수의 수질을 추가적으로 개선할 수 있음을 의미한다. 그러나, 이 값은 합성폐수로 시험한 COD 제거효율 보다는 다소 낮은 것으로서 i) 합성 폐수를 이용한 실험에 비하여 낮은 유입수의 COD 농도, ii) 실 하수처리장 방류수에 함유된 COD 성분의 상대적으로 낮은 생분해도, 그리고 iii) 생물전기화학시스템의 산화전극 및 환원전극 반응효율에 미치는 실 하수처리장 방류수에 함유된 다양한 이온들의 영향 등에 기인하는 것으로 판단된다. Y 환경사업소 하수처리시설 방류수의 암모니아성 질소 및 아질산성 질소는 0.45 및 0.3mg/L이었다. 생물전기화학시스템 최종 유출수의 암모니아성 질소 및 아질산성 질소농도는 유입수와 큰 차이가 없었다(Fig. 5(b)(c)). 또한, 생물전기화학시스템 유입수의 질산성 질소는 평균 13.3mg/L이었으나 최종 유출수는 평균 11.6mg/L로 측정되어 총질소 제거율은 12.8%로서 크지는 않았다(Fig. 5(d)). 생물전기화학시스템을 이용하여 총 질소제거 효율을 향상시켜 수질을 더욱 개선시키기 위해서는 환원전극에서 탈질반응을 더욱 촉진시키기 위한 전극전위 및 환경인자에 대한 연구가 필요한 것으로 판단된다.

Fig. 5.

Performance of bioelectrochemical system treating real domestic wastewater treatment plant effluent: (a) pH, (b) COD, (c) ammonia and nitrite nitrogen and (d) nitrate nitrogen.

../../Resources/kswe/31-4/images/SJBJB8_2015_v31n4_351_f005.jpg

4. Conclusion

여과상 생물전기화학시스템을 이용하여 하수처리장 유출수의 추가적인 수질개선을 위한 연구를 수행하였으며 다음과 같은 결론을 도출하였다.

1) 직류전원을 이용하여 여과상 생물전기화학시스템의 산화전극과 환원전극 사이에 0.6 및 0.8V의 전위차가 유지되도록 전압을 인가하였을 때 유입 COD 40mg/L는 생물전기화학적으로 88% 가량 분해되었으며, 유출수는 5mg/L 이하를 유지하였다.

2) 유입수의 암모니아성 질소는 평균 16mg/L이었으나 최종유출수에서는 97% 이상 질산화되었다. 그러나, 질산화된 질소는 대부분이 질산성질소 형태로 잔류하였으며, 총 질소제거율은 30% 내외에 불과하였다.

3) 산화전극과 환원전극 사이의 전위차가 0.6V 및 0.8V가 되도록 전압을 인가하였을 때 여과상 생물전기화학시스템의 COD 및 질소제거 성능은 HRT 15-60분 범위에서 큰 차이 없이 유지되었으나, HRT가 10분으로 감소하였을때 암모니아성 질소의 질산화효율이 다소 감소하였다.

4) 산화전극과 환원전극 사이에 0.8V의 전압을 인가하였을때 고농도 COD 및 질소 유입으로 인한 충격은 빠르게 회복되었으며, 농도충격에 대한 안정성과 회복속도는 HRT 15분에 비하여 HRT 30분에서 빨랐다.

5) 산화전극과 환원전극 사이에 0.8V의 전압을 인가한 여과상 생물전기화학시스템의 성능을 실 하수처리장 유출수를 이용하여 검증한 결과 최종 유출수의 COD는 5.8mg/L로서 약 50% 가량 제거되었으나, 총 질소 제거효율은 약 13%이었다.

6) 여과상 생물전기화학시스템은 하수처리장 유출수의 수질을 개선할 수 있는 기술로 평가되었으나 탈질효율 증가를 통한 총질소 제거효율의 개선을 위해서는 추가연구가 필요한 것으로 판단된다.

References

1 
Bard A. J., Faulkner L. R., 2001, Electrochemical Methods, Fundamentals and Application, Bard, A. J. and Faulkner, L. R. (2001). Electrochemical Methods, Fundamentals and Application, John Wiley & Sons, Inc., pp. 18-28., pp. 18-28Google Search
2 
Chang D., Choi H. S., Sunwoo Y., Hong K. H., 2014, Performance Response and Recovery of Temporal and Spatial Phase Separated Process for Nutrients Removal in Short-Term Shock Loadings, Journal of Industrial and Engineering Chemistry, Chang, D., Choi, H. S., Sunwoo, Y., and Hong, K. H. (2014). Performance Response and Recovery of Temporal and Spatial Phase Separated Process for Nutrients Removal in Short-Term Shock Loadings, Journal of Industrial and Engineering Chemistry, 20, pp. 3009-3013., Vol. 20, pp. 3009-3013DOI
3 
Choi C. G., Lee K. H., 2002, Characteristics of Domestic Wastewater Flow Rate and Water Quality in Cheongju City, Journal of Korea Environmental Technology, Choi, C. G. and Lee, K. H. (2002). Characteristics of Domestic Wastewater Flow Rate and Water Quality in Cheongju City, Journal of Korea Environmental Technology, 3(2), pp. 135-141. [Korean Literature], Vol. 3, No. 2, pp. 135-141Google Search
4 
Elmitwalli T. A., Dun M. V., Bruning H., Zeeman G., Lettinga G., 2000, The Role of Filter Media in Removing Suspended and Colloidal Particles in an Anaerobic Reactor Treating Domestic Sewage, Bioresource Technology, Elmitwalli, T. A., Dun, M. V., Bruning, H., Zeeman, G., and Lettinga, G. (2000). The Role of Filter Media in Removing Suspended and Colloidal Particles in an Anaerobic Reactor Treating Domestic Sewage, Bioresource Technology, 72, pp. 235-242., Vol. 72, pp. 235-242DOI
5 
Hamelers H. V. M., Heijne A. T., Sleutels T. H. J. A., Jeremiasse A. W., Strik D. P. B. T. B., Cees J. N., Buisman C. J. N., 2010, New Applications and Performance of Bioelectrochemical Systems, Appl Microbiol Biotechnol, Hamelers, H. V. M., Heijne, A. T., Sleutels, T. H. J. A., Jeremiasse, A. W., Strik, D. P. B. T. B., Cees J. N., and Buisman, C. J. N. (2010). New Applications and Performance of Bioelectrochemical Systems, Appl Microbiol Biotechnol, 85, p. 1673-1685., Vol. 85, pp. 1673-1685DOI
6 
Kim Y. C., Chang I. S., Lee D. R., 2003, Design Consideration of Reuse Treatment Facility for the Secondary Effluent from Municipal Wastewater Treatment Plant, Journal of Korean Society of Environmental Engineers, Kim, Y. C., Chang, I. S., and Lee, D. R. (2003). Design Consideration of Reuse Treatment Facility for the Secondary Effluent from Municipal Wastewater Treatment Plant, Journal of Korean Society of Environmental Engineers, 25(8), pp. 946-954. [Korean Literature], Vol. 25, No. 8, pp. 946-954Google Search
7 
Kovarova-Koar K., Egli T., 1998, Growth Kinetics of Suspended Microbial Cells: From Single-Substrate-Controlled Growth to Mixed-Substrate Kinetics, Microbiology and Molecular Biology Reviews, Kovarova-Koar, K. and Egli, T. (1998). Growth Kinetics of Suspended Microbial Cells: From Single-Substrate-Controlled Growth to Mixed-Substrate Kinetics, Microbiology and Molecular Biology Reviews, 62(3), pp. 646-666., Vol. 62, No. 3, pp. 646-666Google Search
8 
Krieg T., Sydow A., Schroder U., Schrader J., Holtmann D., 2014, Reactor Concepts for Bioelectrochemical Syntheses and Energy Conversion, Trends in Biotechnology, Krieg, T., Sydow, A., Schroder, U., Schrader J., and Holtmann, D. (2014). Reactor Concepts for Bioelectrochemical Syntheses and Energy Conversion, Trends in Biotechnology, 32(12), pp. 645-655., Vol. 32, No. 12, pp. 645-655DOI
9 
Liu Y., 2006, A Simple Thermodynamic Approach for Derivation of a General Monod Equation for Microbial Growth, Biochemical Engineering Journal, Liu, Y. (2006). A Simple Thermodynamic Approach for Derivation of a General Monod Equation for Microbial Growth, Biochemical Engineering Journal, 31, pp. 102-105., Vol. 31, pp. 102-105DOI
10 
Reis C. M., Silva E. L., 2011, Effect of Upflow Velocity and Hydraulic Retention Time in Anaerobic Fluidized-Bed Reactors Used for Hydrogen Production, Chemical Engineering Journal, Reis, C. M. and Silva, E. L. (2011). Effect of Upflow Velocity and Hydraulic Retention Time in Anaerobic Fluidized-Bed Reactors Used for Hydrogen Production, Chemical Engineering Journal, 172, pp. 28-36., Vol. 172, pp. 28-36DOI
11 
Rozendal R. A., Hamelers H. V. M., Rabaey K., Keller J., Buisman C. J. N., 2008, Towards Practical Implementation of Bioelectrochemical Wastewater Treatment, Trends in Biotechnology, Rozendal, R. A., Hamelers, H. V. M., Rabaey, K., Keller, J., and Buisman, C. J. N. (2008). Towards Practical Implementation of Bioelectrochemical Wastewater Treatment, Trends in Biotechnology, 26(8), pp. 450-459., Vol. 26, No. 8, pp. 450-459DOI
12 
Snoeyink V. L., Jenkins D., 1980, Water Chemistry, Snoeyink, V. L. and Jenkins, D. (1980). Water Chemistry, John Wiley & Sons, Inc., pp. 328-329., pp. 328-329Google Search
13 
Song Y. C., Lim H. J., Woo J. H., 2015, Influence of Applied Voltage and COD on the Bioelectrochemical Degradation of Organic Matter, Desalination and Water Treatment, Song, Y. C., Lim, H. J., and Woo, J. H. (2015). Influence of Applied Voltage and COD on the Bioelectrochemical Degradation of Organic Matter, Desalination and Water Treatment, 53, pp. 2732-2739., Vol. 53, pp. 2732-2739DOI
14 
Tchobanoglous G., Stensel H. D., Tsuchihashi R., Burton F., Abu-Orf M., Bowden G., Pfrang W., 2014, Waterwater Engineering: Treatment and Resource Recovery, Tchobanoglous, G., Stensel, H. D., Tsuchihashi, R., Burton, F., Abu-Orf, M., Bowden, G., and Pfrang, W. (2014). Waterwater Engineering: Treatment and Resource Recovery, 5th edition, Metcalf and Eddy Inc., McGraw-Hill, New York pp. 551-696., pp. 551-696Google Search