정세웅
(Se-Woong Chung)
*†
S. Geoffrey Schladow
(S. Geoffrey Schladow)
**
Copyright © 2015, Korean Society on Water Environment
Key words
Internal wave, Lake Tahoe, Stratified lake, Upwelling and downwelling
1. Introduction
미국 캘리포니아 주와 네바다 주 경계에 위치한 Lake Tahoe는 최대수심이 505m, 평균수심이 313m에 달하는 대형 성층 호수이다(Rueda et al., 2003). 호수면적이 501 km2인데 비해 유역면적은 812 km2로 상대적으로 작아 유역 내 오염원이 적어 맑고 투명한 호수로 유명하다. 그러나, 이 호수는 1960년대 이후 지속적인 인구 유입과 관광 목적의 유역
개발로 인해 호수의 수 환경에 변화를 가져왔으며, 1968년도에 측정한 투명도(Secchi depth)는 30m에 달했으나 최근에는 20m까지 악화되기에
이르렀다. 호수의 투명도를 좌우하는 물 속의 작은 부유입자(직경 20μm 미만)는 대부분 호수 근접 시가화 지역의 도로, 주차장 등 불투수면의 강우-유출수에
의해 유입되는 것으로 조사되었다(Roberts and Reuter, 2007).
물 속에서 부유상태로 존재하는 작은 입자들은 무기물과 유기물로 구성되어 있으며 빛의 산란과 흡수 기작에 의해 투명도를 저하시키는 원인이 되고 있으며,
자연 침강으로는 쉽게 가라앉지 않고 물 속에 오랫동안 체류한다(Chung et al., 2008; Jassby, 1999; Swift et al., 2006). 반면, Lake Tahoe는 수심이 깊어 여름철에는 성층현상이 강하게 일어나며, 겨울철이 되면 수직혼합이 진행되지만 전 층에 걸친 완전혼합은
평균 4년 주기로 일어나고 있으며, 더욱이 기후변화 영향 연구(Sahoo et al., 2013)에 의하면 향후 수온성층 강화로 인해 완전혼합 주기는 더욱 길어질 전망이다.
성층 호수에서 바람에 의해 생성된 운동에너지는 호수 전체 규모의 운동(Basin-scale motions)을 일으키며, 이는 호 내 부유물질과 용존물질의
수평 및 수직 혼합을 야기하는 주요한 힘으로 작용한다(Chung et al., 2009; Mortimer, 1974). 이러한 대규모 운동에는 수온 약층 인근에서 발생하는 내부파(Internal wave), 상승류(Upwelling)와 하강류(Downwelling),
그리고 수평 와류인 소용돌이(gyres) 등이 포함된다(Imberger and Patterson, 1990; Lemmin and Adamo, 1996; Strub and Powell, 1986). Heaps and Ramsbottom (1966)의 연구결과에 따르면, 바람의 지속시간이 내부파 주기의 25%를 초과할 경우, 수온 전이층(Metalimnion)이 균형점을 초과하여 장기적인 내부파를
형성할 수 있다. 만약 Lake Tahoe와 같이 호수의 수평 규모가 Rossby의 반경보다 클 경우 북반구에서 내부파는 반시계 방향으로 회전하는
Kelvin 파 또는 시계방향으로 회전하는 Poincarė 파를 형성하게 된다(Antenucci and Imberger, 2001; Hutter, 1984; Rueda et al., 2003). 따라서 Lake Tahoe의 투명도에 영향을 미치는 작은 부유입자들이 호 내로 유입한 후 수평 및 수직 혼합되는 특성을 규명하기 위해서는 호수의
내부파를 포함한 수리동력학적 연구가 선행되어야 한다.
성층호수에서 발생하는 내부파는 퇴적층과 수체의 경계면에서 난류경계층(turbulent benthic boundary layer)을 형성한다(Gloor et al., 1994; Lemckert and Imberger, 1998). 난류경계층은 호 내 퇴적물의 재부상과 심층과 수온 전이층 간의 수직혼합을 촉진할 수 있다. 또한 내부파는 수온전이층의 용존산소, 영양염류, 그리고
산화환원 포텐셜과 같은 수질변수의 공간적 분포와도 관계되어 있다(Eckert et al., 2000; Nishri et al., 2000). 따라서 성층 호수의 내부파와 수평 혼합과 같은 운동 기작은 효과적인 수질관리를 위해서도 정확히 파악할 필요가 있다.
그 동안 성층 호수의 동력학적 운동을 해석하기 위해 간단한 해석적 모델을 적용한 연구는 다수 있었다(Fricker and Nepf, 2000; Horn et al., 1986; Monismith, 1987; Munnich, 1996). 그러나 이러한 해석적 모델들은 호수의 자연적인 지형, 성층구조의 시간적 변화, 지구의 자전효과, 그리고 시공간적인 바람장의 변화 등을 고려하지
못하는 한계가 있었다. 그러나 최근에는 컴퓨터의 발전과 함께 3차원 모델을 이용하여 복잡한 지형과 경계조건을 고려한 성층 호수의 수리동력학적 모의
연구가 가능해졌다(Antenucci et al., 2000; Bernhardt and Kirillin, 2013; Chung et al., 2011; Hodges et al., 2000; Nakayama and Imberger, 2010; Shimizu et al., 2007).
본 연구의 목적은 Lake Tahoe에서 가을철 수직혼합 시기에 발생하는 수온성층 변화와 내부파 발생 특성을 3차원 수리동력학 모델로 재현하고 수심별로
고정되어 실측한 수온계 자료를 이용하여 모델을 검정하는데 있다. 그 동안 Lake Tahoe에서는 현장 계측과 인공위성 영상 자료(Steissberg et al., 2005; Strub et al., 1984)를 통해 호수 규모의 운동이 관측 된 바 있다. 특히, 오후에 남서풍이 주로 불어오는 특성 상 호수의 서쪽에서는 차가운 물이 상승류로 올라오고 동쪽에서는
상대적으로 높은 수온의 하강류가 발생하는 특성이 알려져 있다(Abbott et al., 1984; Schladow et al., 2004). 그러나, Lake Tahoe와 같은 성층호수에서 발생하는 호수 규모의 수리동력학적 운동과 그와 관련된 오염물질의 혼합 특성에 대한 기작은 충분하지
못한 실험 자료 때문에 정확히 이해되지 못하고 있다. 따라서 본 연구에서는 3차원 모델을 이용하여 Lake Tahoe에서 발생하는 다양한 수리동력학적
운동 특성을 파악하여 제시함으로써 향후성층 호수의 수질관리를 위한 기초자료로 활용될 수 있을 것으로 기대된다.
2. Materials and Methods
2.1. 연구대상지역과 현장실험
Lake Tahoe(N 39°6', W 120°5')는 미국의 캘리포니아와 네바다 주 경계에 있는 Sierra Nevada 산맥에 위치한 전세계에서
11번째 수심이 깊은 자연호수이다(Fig. 1). 호수가 위치한 고도는 해발 1989m이지만 연중 얼음은 얼지 않고, 수심이 깊어 완전 수직혼합은 평균 3~4년에 1회 일어나는 특성을 가지고
있다(Sahoo et al., 2013). 일반적으로 수온의 성층은 2월에서 4월경에 시작되며 여름에 대략 수심 20m에 수온 약층이 형성된다. 가을철이 되면 대기 기온 강하로 인해 호수의
수면 온도가 낮아지면서 성층강도가 약화되며 수온약층은 하강하고 1월경에 전도형상이 일어나는 경향을 갖는다(Coats et al., 2006).
Fig. 1.
Layout of Lake Tahoe, and locations of meteorological stations, CTD stations and thermistor
chain.
기상자료는 호수 내에 설치된 4지점(TB1~TB4)과 호수주변 호안에 설치된 4지점(USCG, Cave Rock, Timber Cove, Rubicon)으로부터
수집되었으며, Tahoe Environmental Research Center (TERC)로부터 수집하여 사용하였다. 이들 8개 자동기상관측소에서는
풍향, 풍속, 기온을 10분 주기로 제공하며, USCG(United States Coast Guard) 지점에서는 태양복사에너지, 습도, 기압 등의
추가적인 기상자료를 제공받아 사용하였다. 연구기간 동안 TB1 지점에서 풍속이 4.0 m/s 이상인 경우의 풍향과 풍속을 Fig. 2에 예시로 제시하였다. 호수 내 수심별 수온의 연속측정을 위해 수온계 체인(TC)을 수심이 약 440m인 Glenbrook 지점(Fig. 1)에 설치하여 0.005℃의 정도로 30초 간격으로 측정하였다. TC의 수온계는 RBR TR-1060P제품을 사용하였으며, 수심 5, 10, 15,
20, 25, 30, 40, 60, 80, 100, 120, 140, 180, 200, 240, 280, 320, 360, 400, 440m에 각각
설치하였다. 또한 Lake Tahoe의 정기 수질 측정망 지점(CTD stations in Fig. 1)인 MIDLAKE 지점(월 1회 측정)과 INDEX 지점(10일 주기 측정)에서 SBE-39 수온계를 이용하여 수심별 측정한 자료도 모델의 검정을
위해 사용하였다.
Fig. 2.
Time series of wind direction and wind speed at met station TB1: data are plotted
when wind speed exceeds 4.0 m/s.
2.2. 3차원 수치모델
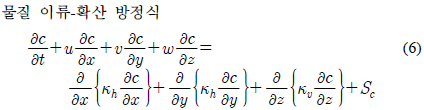
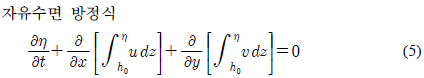
본 연구에서 사용한 3차원 수리동역학 모델은 ELCOM (Estuary, Lake and Coastal Ocean Model)이다. ELCOM은 호수,
저수지, 하구 및 해양의 시공간적인 수온 및 염분 농도의 변화를 예측하기 위해 개발되었으며, 기본적으로 Reynolds의 시간평균 Navier-Stokes
운동량 방정식, 연속방정식, 자유수면 방정식, 물질의 이류-확산 방정식으로 이루어져 있다(Hodges and Dallimore, 2006). 기본적으로 유체의 특성에 대해서는 Boussinesq 가정과 수직방향의 운동량 방정식은 정수압(hydrostatic pressure)을 가정한다.
그러나 비정수압(non-hydrostatic)의 영향이 중요한 경우에는 비정수압 코드 옵션을 사용하여 수직방향의 운동량 방정식을 포함할 수 있다.
수평방향 유속의 순간 변동성분에 의한 난류확산의 영향을 고려하기 위한 난류폐합식(turbulent closure)은 수평와점성계수(horizontal
eddy-viscosity, νh )를 사용한다. 수직방향에 대해서는 확산모델의 수직와점성계수(vertical eddy-viscosity, νν ) 또는 혼합층 모델(mixed-layer model)을 사용할 수 있다. 본 연구에서는 혼합층 모델을 사용하였다.
여기서, u=종방향 유속(m/s), v=횡방향 유속(m/s), w=연직방향 유속(m/s), f= 전향력 주파수(/s), p=압력(N/m2), η=수위(m), ρ=밀도(kg/m3), g=중력(m/sec2), νh , νν=수평 및 수직와점성계수(m2/sec), h=수심(m), kh , kν=수평 및 수직 와확산계수(m2/sec), c=물질의 농도(mg/L), Sc=물질의 생성 및 소멸항이다.
ELCOM의 수치해석 기법은 Casulli and Cheng (1992)이 개발한 TRIM (Tidal, Residual, Inter-tidal Mudflat)모델의 방법을 기본적으로 채택하고 있으나, 수치해석의 정확도를
보완하였으며, 스칼라 질량 보존, 수치확산 제거, 그리고 수직난류 혼합 모델 추가 등의 개선이 이루어졌다. 운동량방정식은 준음해법(semi-implicit)을
사용하며 2차 방정식Euler-Lagrange 보간법을 사용하여 해를 구한다. Euler-Lagrange보간법을 위한 2차 방정식 적용은 내부파의
인위적인 완화(damping)를 줄여주므로 성층화된 저수지에서 파의 운동을 더 잘 모의할 수 있는 장점이 있다. 자유수면 방정식은 준음해법으로 차분화하며
TRIM 모델에서 사용한 공액경사법으로 해를 푼다(Casulli and Cheng, 1992). 수치해석을 위한 격자(grid) 구성은 직교좌표체계를 채택한다. 격자망은 Arakawa C-grid를 사용하며, 속도장은 셀의 표면에 그리고
자유수면 높이와 스칼라 농도 값은 셀의 중앙에서 정의된다. 각 수주(water column) 격자 셀의 자유수면 높이는 자유수면 방정식에 의해 계산된
결과에 따라 수직으로 이동한다.
이류-확산방정식의 수평방향의 이류항은 ULTIMATE 기법(Leonard, 1991)과 함께 3차 정확도를 갖는 QUICKEST 수치해석 방법을 사용함으로써 농도의 급격한 변화가 있는 영역에서 해를 안정적으로 구할 수 있다. 수평
확산항은 2차 정도의 양해법을 사용하여 차분화 한다. 수직방향의 난류혼합은 각각의 수주에 대하여 1차원 혼합층 모델(mixed-layer model)을
적용하여 해석한다(Hodges and Dallimore, 2006). 그 외에 수위에 의한 압력(barotropic)과 밀도 차에 의한 압력(baroclinic) 항, 지구자전에 의한 전향력 항, 바람에 의한 응력,
대기-수면 온도차에 의한 대류 항, 그리고 유입수와 유출수 영향 등에 대한 계산이 포함된다.
대규모 호수 수치모델링의 어려움 중 하나는 흐름상태가 다양하게 존재 할 수 있다는 것이다. 특히, 내부파는 비교적 국부적인 영역에서 간헐적으로 강한
수직운동을 나타낼 수 있다. 내부파의 영향이 중요한 경우에는 전체 흐름 영역의 작은 부분에서의 수치해의 정확도와 안정성 요구에 의해 수치해석 방법이
결정되기도 한다. ELCOM은 유체의 밀도 차에 의한 경압 항이 존재하지 않는 완전한 순압 흐름 상태에서는 계산 시간간격과 무관하게 무조건적인 수치해의
안정을 얻을 수 있다. 그러나 성층 흐름 조건에서는 운동량 방정식에 포함된 경압 항을 양해법으로 차분함으로써 내부파 Courant-Friedrichs-Lewy
condition (CFL) 조건때문에 계산 시간 간격(Δt)의 제약이 발생한다.
식 (7)의 좌변항은 경압 CFL 수(CFLb)로 정의되며, 여기서 g' 은 성층화로 인해 줄어든 중력 , D는 유효 수심, 는 내부파의 대략적인 파속에 해당한다. 일반적으로 밀도 성층 흐름에서는 식 (7)로 표현되는 경압 안정조건이 수치해석의 안정을 위한 가장 중요한 제약조건이다.
본 연구에서는 이러한 제약조건을 고려하여 계산시간 간격을 120 초로 결정하였다.
대기-수면을 통한 열교환 계산은 선행 연구 문헌(Imberger and Patterson, 1990)에서 제시하는 표준 방법을 사용하였다. 대기와 수면의 에너지 전달은 장파 복사에너지 중 투과되지 않는 부분(nonpenetrative components
of long-wave radiation), 대기와 수면 수온 차이에 의한 대류 열 교환(sensible heat transfer), 증발에 의한
열 손실(evaporative heat loss), 그리고 투과성 단파 복사에너지(penetrative shortwave radiation)로 나누어
계산된다. 비 투과성 복사에너지는 표층 혼합 층에서의 에너지원으로 사용되며, 투과성 에너지는 수심에 따라 지수함수적으로 감쇠하며 수체의 에너지원으로
제공된다. 저수지 수면과 대기의 경계면을 통한 열전달량 계 산 방법에 대한 설명은 Martin and McCucheon (1999)에 상세히 제시되어 있다.
바람에 의해 생성되는 운동량은 저수지 수면에 작용하는 응력으로 계산되었으며, 응력의 수심방향 전달을 위해 필요한 수직 와점성계수와 와확산계수는 3차원
혼합층 모델을 사용하여 산정되었다. 바람에 의해 생성된 응력의 크기는 식 (8)과 같이 풍속의 함수로 계산된다.
여기서, ρα=공기밀도(1.2 kg/m3), CD=항력계수, Uω=수면으로부터 10m 위에서 측정한 풍속이다.
2.3. 입력자료 및 매개변수의 구성
Lake Tahoe의 수평 수치격자는 내부파를 적절히 재현할 수 있도록 200 m × 200 m 해상도로 구성하였다(Rueda et al., 2003; Schwab and Beletsky, 1998). 수심방향의 격자 간격은 수온 약층까지는 1 m 간격, 그 이하에서는 수온 변화가 적어 점진적으로 크게 하여 8 m까지 가변적인 두께로 나누었으며,
총 1,634,724개의 계산 셀(Wet cells)로 구성 하였다. 지형자료의 정확성은 실측 수위-저수량, 수위-수면적 곡선과 모델의 곡선들을 비교하여
검정하였으며, 호수의 수위는 모의기간 동안 변동이 매우 작아 검정을 생략하였다. 모의 기간은 2008년 11월 19일(Julian day 324.0)부터
2009년 2월 18일(Julian day 49.0)까지 총 91일간이며, 이는 수온성층이 약화되어 내부파의 영향이 크게 나타는 기간에 해당한다.
모의 시간 간격은 수치해의 안정성을 고려하여 120 sec로 하였으며, 모의결과는 매 10분마다 출력하여 분석하였다. 모의 시작 시점의 초기수위는
호수의 운영수위를 참고하여 EL. 1897 m로 설정하고, 수심별 초기수온은 Glenbrook 지점에 설치한 TC 실측 자료를 사용하여 입력하였다.
경계조건에 해당하는 기상자료 중 풍향과 풍속은 8개 지점의 자동기상관측장치(Fig. 1)에서 측정한 자료를 근거리보간법(Neighbourhood interpolation)으로 입력함으로써 바람장의 공간적인 변동성을 고려하였으며, 나머지
기온, 일사량, 상대습도, 운도 자료는 USCG 지점에서 측정한 값을 동일하게 적용하였다. 유역으로부터 Lake Tahoe로 유입하는 유입량은 63개의
지류와 직접 강수량에 의해 발생하며, 가장 큰 지류는 남쪽에서 유입하는 Upper Truckee 강이며 전체 유입량의 25%를 점유한다. 호수로 유입한
물은 Tahoe 시에 위치한 하나의 출구점을 통해 유출되어 Truckee 강으로 흘러 네바다 주의 Pyramid Lake에 유입된다. 호수의 지류
유입량은 실측자료가 있는 10개 지류에 대해서는 실측유량(전체 유입량의 50%에 해당)을 입력하고, 나머지 지류 유입량은 실측자료를 사용하여 보정된
유역모델(LSPC)의 모의 값을 사용하였다.
ELCOM 모형의 수리동력학과 수온 모의에 사용한 모델 매개변수는 Table 1과 같다. 수온해석은 열역학적 이론에 근거한 물리적 모형이므로 별도의 보정을 하지 않았으며, 매개변수 역시 초기값을 그대로 사용하였다. 물에 의한
태양의 단파복사에너지(파장범위 280~2,800 nm)의 광소멸계수(Kw)는 근적외선인 NIR (Near Infrared Radiation, 720~2,000 nm), 광합성에 유용한 PAR (Photosynthetically
Active Radiation, 400~700 nm), 자외선 A (UVA, 320~400 nm)와 자외선 B (UVB, 300~320 nm)로 구분하여
입력되었다. 이중 깊은 수심으로 침투 가능한 PAR는 Beer-Lambert 법칙에 의해 수체 내로 지수 함수적으로 감쇠 침투하는 것으로 가정하였다.
나머지 대기-수면, 수체-퇴적물 층의 항력계수는 선행 연구(Hodges et al., 2000; Rueda et al., 2003)에서 적용한 값을 참조하였다.
Table 1.
ELCOM model parameters used for hydrodynamic simulations of Lake Tahoe
3. Results and Discussion
3.1. 수온과 성층 모의
수온계 체인이 설치된 Glenbrook 지점(Fig. 1)에서의 ELCOM 모의 수온과 실측 수온의 시간-수심별 변화 Profile을 Fig. 3에 함께 제시하였다. ELCOM 모의 결과는 수심별 실측 수온의 시간적 변화, 전도현상(turn-over)에 의한 수온약층의 하강과 성층 약화 과정을
적절히 재현하는 것을 확인할 수 있다. 모의초기인 11월 중순에 수심 45 m 내외에 형성되었던 수온약층은 12월 초순까지 지속되었다. 그러나, 12월
13일부터 풍속 10 m/s 이상의 강한 바람을 동반한 강우사상이 약 2주간 4회 발생함(Fig. 2 참조)에 따라 수온약층은 아래로 이동하면서 수직혼합이 본격적으로 일어나기 시작하였다. 수온성층이 약화된 상태에서 바람이 강하게 불어 내부파의 파고는
더욱 높아졌으며, 5.5℃ 등온선의 경우 짧은 시간에 60 m 내외의 수직변위를 보이는 것을 확인할 수 있다. 이러한 현상은 호수의 성층파괴, 표수층에서
심수층으로 용존산소 전달, 호수 상·하 간의 물질교환과 밀접한 관계가 있을 것으로 예상된다. 일반적으로 호수의 내부파 해석은 등온 수심 자료를 추출하여
시간에 따른 수직변위를 관찰하는 방법으로 이루어지기 때문에 수온모의 결과의 정확성은 매우 중요하다. 본 연구에서도 등온수심의 시계열 수직변위를 이용하여
내부파의 파고와 주기를 해석하였다.
Fig. 3.
Time-depth profiles of ELCOM (top) simulated and TC observed (bottom) water temperature
at Glenbrook site during the study period. The contour intervals are 1℃.
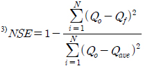
모의기간 동안 INDEX 측정망 지점(Fig. 1)에서 실측한 수심별 수온과 모의수온의 적합성과 오차 분석결과는 Table 2에 제시하였다. 실측값과 모의값의 적합성 분석은 절대상대오차(absolute mean error, AME), 평균제곱근오차(root mean square
error, RMSE), Nash-Sutcliffe 효율지수(Nash-Sutcliffe efficiency, NSE)로 실시하였다. 모의값과 실측값의
AME는 0.041℃~0.170℃, RMSE는 0.069℃~0.179℃의 비교적 낮은 오차범위를 보였으며, NSE값은 0.70~1.0의 높은 값을
보였다. 따라서 모의수온은 실측수온의 수심별 변화를 적절히 재현하는 것으로 평가된다
Table 2.
Error statistics between ELCOM simulated and observed water temperatures at the INDEX
site
ELCOM 모의수온과 TC 실측수온 자료를 이용하여 호수 성층강도의 시계열 변화를 산정하여 Fig. 4에 비교하였다.성층강도는 Idso (1973)가 제시한 수정 Schmidt Stability Index (SSI)를 사용하여 산정하였다.
Fig. 4.
Comparisons of ELCOM simulated and observed temporal changes of lake stability index
(SSI) during the study period.
여기서 g는 중력가속도(m/s2), As는 저수지 수면적(m2), Az는 수심 z에서 저수지 수면적(m2), zD 는 저수지 최대수심(m), ρz는 수심 z에서 물의 밀도(kg/m3), zv는 저수지 체적중심까지 수심(m)이다. 호수의 성층강도는 모의초기인 11월 중순에 25,000 J/m2에서 점점 약화되기 시작하여 12월 중순 동안 강풍을 동반한 4회의 강우사상에 의해 급격히 약화되었다. ELCOM 모의결과는 호수 성층강도의 시계열
변화를 적절히 재현하였으며, 특히 바람에 의한 수직혼합이 급격히 일어나는 시기의 성층강도 변화를 잘 모의하고 있다.
3.2. 내부파 모의결과
성층호수에서 내부파가 형성되기 위해서는 충분한 기간동안 유의할 만한 풍속의 바람이 동일한 방향으로 지속되어야 한다(Stevens et al., 1996). Spigel and Imberger (1980) 는 단순 2층 성층을 가정한 수치모형에서 내부파가 형성되기 위한 바람의 지속기간(Td)은 기본 내부파 주기(T1)의 1/4이상 동안 지속되어야 한다고 제시한 바 있다. Lake Tahoe는 호수의 길이와 폭이 길어 바람에너지가 형성되기 위한 충분한 대안거리를
가지고 있으며, 주기적인 남서풍이 부는 지형적 특성이 있어 충분히 내부파가 형성될 수 있는 조건에 있다. 연구기간 동안의 TB1 지점(Fig. 1 참조)에서 실측한 10분 간격 풍속과 풍향자료를 이용하여 풍향별 지속시간을 분석하였다. 풍속자료 중 고주파 잡음을 제거하기 위해 6차 Butterworth
필터를 갖는 Digital low-pass filter 기법을 사용하였다. 이때 바람 지속시간의 절단(cut-off) 기준은 8시간으로 하였다. 즉,
8시간 이상의 지속시간을 갖는 바람사상만 분석 대상에 포함하였다. 풍향과 풍속이 고려된 바람 이벤트(event)의 시작과 끝은 Stevens et al. (1996)이 사용한 zero crossing method를 사용하였다. 분석결과, 모의 기간 동안 풍향은 남서풍이 주를 이루었으며, 바람의 지속기간이 내부파
주기의 25%를 초과하는 바람사상(Tf =Td/(T1/4) > 1)은 전체 사상의 49.3%를 차지하였다.
Fig. 5.
Frequency of total wind events and the numbers of events for Td > T1/4 during the study period.
매 30초 간격으로 측정된 TC 수온자료는 고주파의 단파장을 포함하고 있으므로 200m 해상도의 수평 수치격자를 갖는 ELCOM 모의결과와 비교하기
위해 6차 Butterworth필터를 갖는 Digital low-pass filter 기법을 사용하여 노이즈를 제거하고 10분 간격으로 자료를 재
추출하였다. 10분 간격으로 출력된 ELCOM 모의수온과 TC 자료로부터 5.5℃의 등온수심 시계열 자료를 생산하였으며, 내부파의 파고는 동온수심의
변동 폭으로 산정하였다. 내부파 주기는 Garrett and Munk (1979)가 사용한 Power Spectra 방법을 이용하였으며, 등온수심 스펙트럼 밀도 곡선의 첨두 변곡점 발생지점으로 산정하고 그 결과를 Table 3에 제시하였다. 또한 선행연구에서 Rueda et al. (2003)이 Lake Tahoe에서 실측한 유속자료와 TC 자료를 이용하여 산정한 내부파 주기 결과와도 비교하였다. ELCOM 모의결과로부터 분석한 내부파는
모두 전향력의 영향을 받아 반시계 방향으로 회전하는 Kelvin 파와 시계방향으로 회전하는 Poincarė 파 형태로 나타났으며, Kelvin 파의
주기는 발생 모드(mode)에 따라 H1V1, H2V1, H3V1에서 각각 132 hr, 68 hr, 41 hr, 그리고 Poincarė 파의 주기는
20 hr으로 산정되었다. Lake Tahoe에서 내부파의 수직 모드는 파의 위상이 모두 동일한 방향을 보이는 V1으로 알려져 있으며, 본 연구에서도
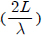
동일한 결과를 보였다. 내부파의 수평 모드 는 호소의 길이(2L)를 내부파의 파장(λ)으로 나눈 값으로 Lake Tahoe에서는 H1, H2, H3로 나타났다. 반면 TC 실측값으로 분석한
내부파의 주기도 ELCOM과 유사하였으며, 선행연구 결과와도 비교적 잘 일치하였다. ELCOM에서 산정한 주기가 TC 결과보다 다소 큰 값을 보이는
오차의 원인은 모델에서 고려하지 못하는 내부파의 비선형 효과(Hodges et al., 2006), 바람과 파의 상호작용(Rueda et al., 2003), 바람자료의 공간적 불확실성(Laval et al., 2003), 그리고 저해상도의 격자구성(Hodges et al., 2000) 등으로 알려져 있다. 따라서 보다 정밀한 내부파 모의를 위해서는 고해상도의 격자구성, 공간적으로 보다 정확한 기상자료 사용, 비선형 효과 고려를
위한 모델의 지배방정식 수정이 요구된다. 그러나, 수질모델링 측면에서는 현재의 모델로도 내부파에 의한 영향을 적절히 재현 가능할 것으로 판단된다.
Table 3.
Comparison of ELCOM simulated Kelvin and Pincarė wave periods with previous study
and TC data
3.3. 내부파 운동의 수질관리 측면의 중요성
성층호수에서 발생하는 내부파는 부유물질의 재부상, 입자상 및 용존상 오염물질의 수직 및 수평 혼합과 밀접한 관계가 있다. Lake Tahoe에서 내부파는
바람이 불어오는 호수의 서남쪽에서의 상승류를 형성하는 원인이 되고 있으며, 상승류가 형성되는 지역에서는 호수 중층의 물이 표층까지 상승하기도 한다(Fig. 6). 상승류에 의해 중층의 물이 표층으로 부상하면 수평방향으로 경압(baroclinic pressure)의 차이가 발생하여 “coastal jets”
(Csanady, 1975)라 불리는 현상에 의해 물은 차가운 곳에서 따뜻한 곳으로 수평이동을 하게 된다(Fig. 7). 이러한 과정에서 호수 연안의 바닥층에서 재부상한 작은 입자들은 호수의 중앙으로 수평 이류와 확산과정을 통해 전달 될 수 있다. 따라서 성층 호수에서의
내부파 발생 주기와 강도에 대한 정확한 해석은 수질관리 측면에서 매우 중요하다고 판단된다.
Fig. 6.
ELCOM simulated water temperature profile at (a) INDEX site and (b) MIDLAKE site:
Significant upwellings are obvious at INDEX site after the wind events during December.
Fig. 7.
ELCOM simulated water temperature (color bar) showing upwelling near the western shore
of the lake, and surface flow vectors (arrows).
성층호수에서 내부파는 수온 전이층의 용존산소와 영양염류 농도의 시간적, 공간적 변동 특성에도 밀접히 관계되어 있으며, 중층에 존재하는 영양염류가 일시적으로
표층에 전달되어 조류의 광합성을 촉진하는 중요한 기작으로 이해되고 있다(Eckert et al., 2000; Nishri et al., 2000). 특히 내부파의 영향은 성층강도가 약화되는 9월부터 전도현상이 일어나는 시기까지 가장 크게 나타날 수 있다. 공간적으로는 Kelvin 파의 특성
때문에 호수의 연안에서 내부파의 파고가 가장 높게 나타나므로, Fig. 6(a)와 6(b)에 제시된 바와 같이 호수 연안(INDEX)에서 중앙부(MIDALKE)보다 수직혼합이 더 일찍 그리고 강하게 일어나게 된다.
4. Conclusions
본 연구에서는 3차원 수리동력학 모형인 ELCOM을 Lake Tahoe에 적용하여 대형 성층호수에서 발생하는 내부파의 특성을 모의하고 수질관리 측면에서의
중요성을 분석하였다. 본 연구를 통해 도출된 결론을 요약하면 다음과 같다.
1) ELCOM은 수심이 깊은 성층호수에서 실측 수온 Profile과 성층강도의 시계열 변화를 안정적으로 모의하였으며, 바람에 의해 형성된 내부파의
발생 특성도 적절히 재현하였다.
2) 연구기간 동안 호수 수온은 약한 성층강도를 보였으며 12월 중순에 발생한 4번의 연속된 강한 바람 사상에 의해 큰 내부파가 발생하였고, 내부파는
전향력의 영향을 받아 Kelvin 파와 Poincarė 파의 형태를 보였으며, Glenbrook지점의 내부파 파고는 최고 60m 내외로 나타났다.
3) ELCOM의 수온 모의결과로부터 산정된 내부파의 파고와 주기는 Glenbrook 지점에 설치된 수온계체인 실측자료로부터 산정된 값들과 유사하였으며,
Rueda et al. (2003)의 선행연구결과와도 잘 일치하였다.
4) Lake Tahoe에서 발생하는 내부파는 호수의 서남쪽에서 중층의 물이 표층까지 상승하는 상승류를 유발하였으며, 이로 인해 “coastal jets”라
불리는 현상에 의해 호수 내 수평혼합을 일으키는 원인으로도 작용하였다.
5) 따라서 Lake Tahoe에서 호수의 투명도를 저해하는 작은 부유입자들의 재부상과 호수 내 확산 기작을 정확히 모의하기 위해서는 3차원 모델을
이용한 내부파의 정확한 해석이 필요하다고 판단된다.
6) 우리나라에서도 대형 성층호수와 새만금과 같이 넓은 면적을 가진 염분 성층호수에서는 내부파의 영향이 있을 것으로 생각되므로, 호수 내 내부파가
오염물질의 수직・수평 확산에 미치는 영향에 대한 조사·연구가 필요할 것으로 사료된다.
Acknowledgements
이 논문은 2013년도 충북대학교 학술연구지원사업의 연구비 지원에 의하여 연구되었음(This work was supported by the research
grant of Chungbuk National University in 2013). ELCOM을 제공해 주신 서호주대학교(University of
Western Australia)와 수온실측자료를 제공해 주신 Dr. Reardon에게 감사를 표합니다.
References
Abbott M. R., Denman K. L., Powell T. M., Richerson P. J., Richards R. C., Goldman
C. R., 1984, Mixing and the Dynamics of the Deep Chlorophyll Maximum in Lake Tahoe,
Limnology and Oceanography, Abbott, M. R., Denman, K. L., Powell, T. M., Richerson,
P. J., Richards, R. C., and Goldman, C. R. (1984). Mixing and the Dynamics of the
Deep Chlorophyll Maximum in Lake Tahoe, Limnology and Oceanography, 29(4), pp. 862-878.,
Vol. 29, No. 4, pp. 862-878

Antenucci J. P., Imberger J., 2001, Energetics of Long Internal Gravity Waves in Large
Lakes, Limnology and Oceanography, Antenucci, J. P. and Imberger, J. (2001). Energetics
of Long Internal Gravity Waves in Large Lakes, Limnology and Oceanography, 46(7),
pp. 1760-1773., Vol. 46, No. 7, pp. 1760-1773

Antenucci J. P., Imberger J., Saggio A., 2000, Seasonal Evolution of the Basin-scale
Internal Wave Field in a Large Stratified Lake, Limnology and Oceanography, Antenucci,
J. P., Imberger, J., and Saggio, A. (2000). Seasonal Evolution of the Basin-scale
Internal Wave Field in a Large Stratified Lake, Limnology and Oceanography, 45(7),
pp. 1621-1638., Vol. 45, No. 7, pp. 1621-1638

Bernhardt J., Kirillin G., 2013, Seasonal Pattern of Rotation-affected Internal Seiches
in a Small Temperate Lake, Limnology and Oceanography, Bernhardt, J. and Kirillin,
G. (2013). Seasonal Pattern of Rotation-affected Internal Seiches in a Small Temperate
Lake, Limnology and Oceanography, 58(4), pp. 1344-1360., Vol. 58, No. 4, pp. 1344-1360

Csanady G. T., 1975, Hydrodynamics of Large Lakes, Annual Review of Fluid Mechanics,
Csanady, G. T. (1975). Hydrodynamics of Large Lakes, Annual Review of Fluid Mechanics,
7, pp. 357-386., Vol. 7, pp. 357-386

Casulli V., Cheng R. T., 1992, Semi-implicit Finite Difference Methods for Three Dimensional
Shallow Water Flow, International Journal for Numerical Methods in Fluids, Casulli,
V. and Cheng, R. T. (1992). Semi-implicit Finite Difference Methods for Three Dimensional
Shallow Water Flow, International Journal for Numerical Methods in Fluids, 15, pp.
629-648., Vol. 15, pp. 629-648

Chung S. W., Lee H. S., Jung Y. R., 2008, Turbidity Modeling for a Negative Buoyant
Density Flow in a Reservoir with Consideration of Multiple Particle Sizes, Journal
of Korean Society on Water Environment, Chung, S. W., Lee, H. S., and Jung, Y. R.
(2008). Turbidity Modeling for a Negative Buoyant Density Flow in a Reservoir with
Consideration of Multiple Particle Sizes, Journal of Korean Society on Water Environment,
24(3), pp. 365-377. [Korean Literature], Vol. 24, No. 3, pp. 365-377

Chung S. W., Lee H. S., Choi J. K., Ryu I. G., 2009, Simulations of Thermal Stratification
of Daecheong Reservoir using Three-dimensional ELCOM Model, Journal of Korean Society
on Water Environment, Chung, S. W., Lee, H. S., Choi, J. K., and Ryu, I. G. (2009).
Simulations of Thermal Stratification of Daecheong Reservoir using Three-dimensional
ELCOM Model, Journal of Korean Society on Water Environment, 25(6), pp. 922-934. [Korean
Literature], Vol. 25, No. 6, pp. 922-934

Chung S. W., Lee J. H., Ryu I. G., 2011, A Coupled Three-dimensional Hydrodynamic
and Water Quality Modeling of Yongdam Reservoir using ELCOM-CAEDY, Journal of Korean
Society on Water Environment, Chung, S. W., Lee, J. H., and Ryu, I. G. (2011). A Coupled
Three-dimensional Hydrodynamic and Water Quality Modeling of Yongdam Reservoir using
ELCOM-CAEDY, Journal of Korean Society on Water Environment, 27(4), pp. 413-424. [Korean
Literature], Vol. 27, No. 4, pp. 413-424

Coats R., Perez-Losada J., Schladow G., Richards R., Goldman C., 2006, The Warming
of Lake Tahoe, Climate Change, Coats, R., Perez-Losada, J., Schladow, G., Richards,
R., and Goldman, C. (2006). The Warming of Lake Tahoe, Climate Change, 76, pp. 121-148.,
Vol. 76, pp. 121-148

Eckert W., Imberger J., Saggio A., 2000, Biogeochemical Evolution in Response to Physical
Forcing in the Water Column of a Warm Monomictic Lake, Eckert, W., Imberger, J., and
Saggio, A. (2000). Biogeochemical Evolution in Response to Physical Forcing in the
Water Column of a Warm Monomictic Lake, Centre for Water Research manuscript ED 1205
AS.

Fricker P. D., Nepf H. M., 2000, Bathymetry, Stratification, and Internal Seiche Structure,
Journal of Geophysical Research, Fricker, P. D. and Nepf, H. M. (2000). Bathymetry,
Stratification, and Internal Seiche Structure, Journal of Geophysical Research, 105(C6),
pp. 14,237-14,251., Vol. 105, No. C6, pp. 14,237-14,251

Garret C., Munk W., 1979, Internal Waves in the Ocean, Annual Review of Fluid Mechanics,
Garret, C. and Munk, W. (1979). Internal Waves in the Ocean, Annual Review of Fluid
Mechanics, 11, pp. 339-368., Vol. 11, pp. 339-368

Gloor M., Wuest A., Munnich M., 1994, Benthic Boundary Mixing and Resuspension Induced
by Internal Seiches, Hydrobiologia, Gloor, M., Wuest, A., and Munnich, M. (1994).
Benthic Boundary Mixing and Resuspension Induced by Internal Seiches, Hydrobiologia,
284, pp. 59-68., Vol. 284, pp. 59-68

Heaps N. S., Ramsbottom A. E., 1966, Wind Effects on the Water in a Narrow Two-layered
Lake, Philosophical Transactions A, Heaps, N. S. and Ramsbottom, A. E. (1966). Wind
Effects on the Water in a Narrow Two-layered Lake, Philosophical Transactions A, 259,
pp. 391-430., Vol. 259, pp. 391-430

Hodges B. R., Imberger J., Saggio A., Winters K. B., 2000, Modeling Basin-scale Motions
in a Stratified Lake, Limnology and Oceanography, Hodges, B. R., Imberger, J., Saggio,
A., and Winters, K. B. (2000). Modeling Basin-scale Motions in a Stratified Lake,
Limnology and Oceanography, 45(7), pp. 1603-1620., Vol. 45, No. 7, pp. 1603-1620

Hodges B. R., Dallimore C., 2006, Estuary, Lake and Coastal Ocean Model: ELCOM, Users
Guide, Hodges, B. R. and Dallimore, C. (2006). Estuary, Lake and Coastal Ocean Model:
ELCOM, Users Guide, Centre for Water Research, University of Western Australia technical
Publication.

Horn W., Mortimer C. H., Schwab D. J., 1986, Wind-induced Internal Seiches in Lake
Zurich Observed and Modeled, Limnology and Oceanography, Horn, W., Mortimer, C. H.,
and Schwab, D. J. (1986). Wind-induced Internal Seiches in Lake Zurich Observed and
Modeled, Limnology and Oceanography, 31(6), pp. 1232-1254., Vol. 31, No. 6, pp. 1232-1254

Hutter K., 1984, Hydrodynamics of Lakes, Hutter, K. (1984). Linear Gravity Waves,
Kelvin Waves and Poincare Waves, Theoretical Modelling and Observations, in Hydrodynamics
of Lakes, edited by K. Hutter, pp. 39-80, Springer-Verlag, New York., pp. 39-80

Idso S. B., 1973, On the Concept of Lake Stability, Limnology and Oceanography, Idso,
S. B. (1973). On the Concept of Lake Stability, Limnology and Oceanography, 18, pp.
681-683., Vol. 18, pp. 681-683

Imberger J., Patterson J. C., 1990, Physical Limnology, Advances in Applied Mechanics,
Imberger, J. and Patterson, J. C. (1990). Physical Limnology, Advances in Applied
Mechanics, 27, pp. 303-475., Vol. 27, pp. 303-475

Jassby A. D., Goldman C. R., Reuter J. E., Richards R. C., 1999, Origins and Scale
Dependence of Temporal Variability in the Transparency of Lake Tahoe California-Nevada,
Limnology and Oceanography, Jassby, A. D., Goldman, C. R., Reuter, J. E., and Richards,
R. C. (1999). Origins and Scale Dependence of Temporal Variability in the Transparency
of Lake Tahoe California-Nevada, Limnology and Oceanography, 44, pp. 282-294., Vol.
44, pp. 282-294

Laval B., Imberger J., Hodges B. R., Stocker R., 2003, Modeling Circulation in Lakes:
Spatial and Temporal Variations, Limnology and Oceanography, Laval, B., Imberger,
J., Hodges, B. R., and Stocker, R. (2003). Modeling Circulation in Lakes: Spatial
and Temporal Variations, Limnology and Oceanography, 48, pp. 983-994., Vol. 48, pp.
983-994

Lemckert C., Imberger J., 1998, Turbulent Benthic Boundary Layer Mixing Events in
Fresh Water Lakes, Physical Processes in Lakes and Ocean, Coastal and Estuarine Studies,
Lemckert, C. and Imberger, J. (1998). Turbulent Benthic Boundary Layer Mixing Events
in Fresh Water Lakes, Physical Processes in Lakes and Ocean, Coastal and Estuarine
Studies, V. 54, J. Imberger [ed.], American Geophysical Union, pp. 503-516., Vol.
54, pp. 503-516

Lemmin U., Adamo N. D., 1996, Summertime Winds and Direct Cyclonic Circulation: Observations
from Lake Geneva, Annales Geophysicae, Lemmin, U. and Adamo, N. D. (1996). Summertime
Winds and Direct Cyclonic Circulation: Observations from Lake Geneva, Annales Geophysicae,
14, pp. 1207-1220., Vol. 14, pp. 1207-1220

Leonard B. P., 1991, The Ultimate Conservative Difference Scheme Applied to Unsteady
One-dimensional Advection, Computer Methods in Applied Mechanics and Engineering,
Leonard, B. P. (1991). The Ultimate Conservative Difference Scheme Applied to Unsteady
One-dimensional Advection, Computer Methods in Applied Mechanics and Engineering,
88, pp. 17-74., Vol. 88, pp. 17-74

Martin J. L., McCutcheon S. C., 1999, Hydrodynamics and Transport for Water Quality
Modeling, Martin, J. L. and McCutcheon, S. C. (1999). Hydrodynamics and Transport
for Water Quality Modeling, CRC Press, Inc.

Monismith S. G., 1987, Modal Response of Reservoirs to Wind Stress, Journal of Hydraulic
Engineering, Monismith, S. G. (1987). Modal Response of Reservoirs to Wind Stress,
Journal of Hydraulic Engineering, 113(10), pp. 1290-1306., Vol. 113, No. 10, pp. 1290-1306

Mortimer C. H., 1974, Lake Hydrodynamics, Mitteilungen Internationale Vereinigung
für Theoretische und Angewandte Limnologie, Mortimer, C. H. (1974). Lake Hydrodynamics,
Mitteilungen Internationale Vereinigung für Theoretische und Angewandte Limnologie,
20, pp. 124-197., Vol. 20, pp. 124-197

Munnich M., 1996, The Influence of Bottom Topography on Internal Seiches in Stratified
Media, Dynamics of Atmospheres and Oceans, Munnich, M. (1996). The Influence of Bottom
Topography on Internal Seiches in Stratified Media, Dynamics of Atmospheres and Oceans,
23, pp. 257-266., Vol. 23, pp. 257-266

Nakayama K., Imberger J., 2010, Residual Circulation due to Internal Waves Shoaling
on a Slope, Limnology and Oceanography, Nakayama, K. and Imberger, J. (2010). Residual
Circulation due to Internal Waves Shoaling on a Slope, Limnology and Oceanography,
55(3), pp. 1009-1023., Vol. 55, No. 3, pp. 1009-1023

Nishri A., Imberger J., Eckert W., Ostrovosky I., Geifman Y., 2000, The Physical Regime
and the Respective Biogeochemical Processes in the Lower Water Mass of Lake Kinneret,
Limnology and Oceanography, Nishri, A., Imberger, J., Eckert, W., Ostrovosky, I.,
and Geifman, Y. (2000). The Physical Regime and the Respective Biogeochemical Processes
in the Lower Water Mass of Lake Kinneret, Limnology and Oceanography, 45, pp. 972-981.,
Vol. 45, pp. 972-981

Roberts D. M., Reuter J. E., 2007, Lake Tahoe Total Maximum Daily Load, Technical
Report CA-NV, Roberts, D. M. and Reuter, J. E. (2007). Lake Tahoe Total Maximum Daily
Load, Technical Report CA-NV. California Regional Water Quality Control Board, Lahontan
Region, CA, USA.

Rueda F. J., Schladow S. G., Palmarsson S. O., 2003, Basin-scale Internal Wave Dynamics
during a Winter Cooling Period in a Large Lake, Journal of Geophysical Research, Rueda,
F. J., Schladow, S. G., and Palmarsson, S. O. (2003). Basin-scale Internal Wave Dynamics
during a Winter Cooling Period in a Large Lake, Journal of Geophysical Research, 108(C3),
pp. 42-1-42-16., Vol. 108, No. C3, pp. 42-1-42-16

Sahoo G. B., Schladow S. G., Reuter J. E., Coats R., Dettinger M., Riverson J., Wolfe
B., Costa-Cabral M., 2013, The Response of Lake Tahoe to Climate Change, Climate Change,
Sahoo, G. B., Schladow, S. G., Reuter, J. E., Coats, R., Dettinger, M., Riverson,
J., Wolfe, B., and Costa-Cabral, M. (2013). The Response of Lake Tahoe to Climate
Change, Climate Change, 116, pp. 71-95., Vol. 116, pp. 71-95

Schladow S. G., Palmarsson S. O., Steissberg T. E., Hook S. J., Prata F. J., 2004,
An Extraordinary Upwelling Event in a Deep Thermally Stratified Lake, Geophysical
Research Letters, Schladow, S. G., Palmarsson, S. O., Steissberg, T. E., Hook, S.
J., and Prata, F. J. (2004). An Extraordinary Upwelling Event in a Deep Thermally
Stratified Lake, Geophysical Research Letters, 31, pp. L15504., Vol. 31, pp. L15504

Schwab D. J., Beletsky D., 1998, Propagation of Kelvin Waves along Irregular Coastlines
in Finite-difference Methods, Advances in Water Resources, Schwab, D. J. and Beletsky,
D. (1998). Propagation of Kelvin Waves along Irregular Coastlines in Finite-difference
Methods, Advances in Water Resources, 22(3), pp. 239-245., Vol. 22, No. 3, pp. 239-245

Shimizu K., Imberger J., Kumagai M., 2007, Horizontal Structure and Excitation of
Primary Motions in a Strongly Stratified Lake, Limnology and Oceanography, Shimizu,
K., Imberger, J., and Kumagai, M. (2007). Horizontal Structure and Excitation of Primary
Motions in a Strongly Stratified Lake, Limnology and Oceanography, 52(6), pp. 2641-2655.,
Vol. 52, No. 6, pp. 2641-2655

Spigel R. H., Imberger J., 1980, The Classification of Mixed-layer Dynamics in Lakes
of Small to Medium Size, Journal of Physical Oceanography, Spigel, R. H. and Imberger,
J. (1980). The Classification of Mixed-layer Dynamics in Lakes of Small to Medium
Size, Journal of Physical Oceanography, 10, pp. 1104-1121., Vol. 10, pp. 1104-1121

Steissberg T. E., Hook S. J., Schladow S. G., 2005, Characterizing Partial Upwellings
and Surface Circulation at Lake Tahoe, Californai-Nevada, USA with Thermal Infrared
Images, Remote Sensing of Environment, Steissberg, T. E., Hook, S. J., and Schladow,
S, G. (2005). Characterizing Partial Upwellings and Surface Circulation at Lake Tahoe,
Californai-Nevada, USA with Thermal Infrared Images, Remote Sensing of Environment,
99, pp. 2-15., Vol. 99, pp. 2-15

Stevens C., Lawrence G., Hamblin P., Carmack E., 1996, Wind Forcing of Inernal Waves
in a Long Narrow Stratified Lake, Dynamics of Atmospheres and Oceans, Stevens, C.,
Lawrence, G., Hamblin, P., and Carmack, E. (1996). Wind Forcing of Inernal Waves in
a Long Narrow Stratified Lake, Dynamics of Atmospheres and Oceans, 24, pp. 41-50.,
Vol. 24, pp. 41-50

Strub P. T., Powell T. M., 1986, Wind-driven Transport in Stratified Closed Basins:
Direct versus Residual Circulations, Journal of Geophysical Research, Strub, P. T.
and Powell, T. M. (1986). Wind-driven Transport in Stratified Closed Basins: Direct
versus Residual Circulations, Journal of Geophysical Research, 91, pp. 8497-8508.,
Vol. 91, pp. 8497-8508

Strub P. T., Powell T. M., Abbott M. R., 1984, Temperature and Transport Patterns
in Lake Tahoe: Satellite Imagery, Field Data and a Dynamical Model, Verhandlungen
des Internationalen Verein Limnologie, Strub, P. T., Powell, T. M., and Abbott, M.
R. (1984). Temperature and Transport Patterns in Lake Tahoe: Satellite Imagery, Field
Data and a Dynamical Model, Verhandlungen des Internationalen Verein Limnologie, 22,
pp. 112-118., Vol. 22, pp. 112-118

Swift J., Perez-Lodada J., Schladow S. G., Reuter J. E., Jassby A. D., Goldman C.
R., 2006, Water Clarity Modeling in Lake Tahoe: Linking Suspended Matter Characteristics
to Secchi Depth, Aquatic Sciences, Swift, J., Perez-Lodada J. Schladow, S. G., Reuter,
J. E., Jassby, A. D., and Goldman, C. R. (2006). Water Clarity Modeling in Lake Tahoe:
Linking Suspended Matter Characteristics to Secchi Depth, Aquatic Sciences, 68, pp.
1-15., Vol. 68, pp. 1-15
