νμ νΈ
(Jeong Ho Han)
λ°μ€μ
(Younshik Park)
*
κΈλν
(Donghyuk Kum)
μ μν
(Younghun Jung)
**
μ κ΅μ²
(Gyo Cheol Jung)
***
κΉκΈ°μ±
(Ki-Sung Kim)
μκ²½μ¬
(Kyoung Jae Lim)
β
Copyright Β© 2015, Korean Society on Water Environment
Key words
Sediment, Sediment reduction, SWAT, Vegetative filter strips, VFSMOD-w
1. Introduction
μμ§ μ€μΌμμ ν¬κ² μ μ€μΌμκ³Ό λΉμ μ€μΌμμΌλ‘ κ΅¬λΆ ν μ μλ€. μ μ€μΌμμ μ€μΌμμ λ°°μΆ λ° μ μ
κ²½λ‘ νμ
μ΄ μ¬μ νκ²½κΈ°μ΄ μμ€μ μ€μΉνμ¬ μ²΄κ³μ μΈ
κ΄λ¦¬κ° μ΄λ£¨μ΄μ§κ³ μλ€(Oh et al., 2004). νμ§λ§ μ μ€μΌμμ 체κ³μ μΈ κ΄λ¦¬μλ λΆκ΅¬νκ³ μ§μμ μΈ λΉμ μ€μΌμ μ μ
μΌλ‘ νμ²κ³Ό νΈμ μμ§μ ν¬κ² ν₯μλμ§ λͺ»νκ³ μλ€(Kim et al., 2002). μ΄μ λΉμ μ€μΌμ κ΄λ¦¬λ₯Ό μν λ€μν μ΅μ κ΄λ¦¬κΈ°λ²(best management practices)μ΄ μ μ©λκ³ μλ€. μ΅μ κ΄λ¦¬κΈ°λ²μ λΉμ μ€μΌμμ
μ κ°μν€κΈ° μν ꡬ쑰μ Β·λΉκ΅¬μ‘°μ κ΄λ¦¬κΈ°λ²μΌλ‘ ꡬλΆλλ©°, κ΅λ΄μμ μ μ©λκ³ μλ μ΅μ κ΄λ¦¬κΈ°λ²μλ λ°°μλ‘, μΈκ³΅μ΅μ§, μΉ¨μ¬μ§, μμμ¬κ³Όλ λ±μ΄ μλ€(Kim and Lee, 2006). κ·Έ μ€ μμμ¬κ³Όλλ κ°μ°μ¬μ μ λ°μν μ μ¬λ₯Ό μ κ°νκΈ° μν μ΅μ κ΄λ¦¬κΈ°λ²μΌλ‘ κ²½μμ§ λ§λ¨λΆμ λ λͺ¨μμΌλ‘ μ€μΉλ μμλλ₯Ό λ§νλ€(Schmitt et al., 1999). κ΅λ΄μμλ μμμ¬κ³Όλ, μ΄μλ, μμλ, μμΆ©μμλκ° κ°μ μλ―Έλ‘μ¨ νΌμ©λμ΄ μ¬μ©λκ³ μμΌλ©°, κ΅μΈμμλ ν° μλ―Έμμ vegetative filter
strips, grassed buffer strips, filter strips, grassed filters λ±μΌλ‘ νΌμ©λμ΄ μ¬μ©λκ³ μλ€(Choi and Jang, 2014).
ν¨μ¨μ μΈ μμμ¬κ³Όλ μ€κ³λ₯Ό μν΄μλ μ΅μ μ μμμ¬κ³Όλ λ©΄μ μ μ°μ νλ κ²μ΄ μ€μνλ€(Park and Hyun, 2014; Park et al., 2007). λ§μ½ μμμ¬κ³Όλκ° νμ μ΄μμΌλ‘ μ€κ³λλ€λ©΄ μλ¬Ό μ¬λ°° λ©΄μ μ΄ κ°μνμ¬ μμ°λμ΄ κ°μνκ² λκ³ κ²°κ³Όμ μΌλ‘ κ²½μ μ μΈ μν΄κ° λ°μνλ€. λ°λλ‘ μμμ¬κ³Όλλ₯Ό
λ무 μμ κ·λͺ¨λ‘ μ€μΉνλ€λ©΄ κΈ°λ μ΄νμ μ μ¬μ κ° ν¨μ¨μ λνλ΄κ² λμ΄ μμ§ ν₯μμ ν° λμμ΄ λμ§ λͺ»νλ€. μ΄μ μ΅μ μ μμμ¬κ³Όλ λ©΄μ μ μ°μ νκΈ°
μν΄ μ μ¬μ κ° ν¨μ¨μ μν₯μ μ£Όλ λ€μν μΈμλ€μ κ΄ν μ°κ΅¬κ° μ§νλμλ€. Choi and Jang (2014)λ κ²½μ¬λ 5%μ κ²½μμ§λ₯Ό λμμΌλ‘ μλ‘ λ€λ₯Έ μ΄μ’
(μΈν, νΌ, λ°λμ΄, μλ, ν¨νμ€ν, μΌν°ν€λΈλ£¨κ·ΈλΌμ€)μ λ°λ₯Έ μ μΆμ κ° ν¨κ³Όμ λΉμ μ€μΌμ κ° ν¨κ³Όλ₯Ό
λΆμν κ²°κ³Ό 6κ°μ§ μ΄μ’
μ€μμ μλλ₯Ό μ¬μ©ν μμμ¬κ³Όλμμ κ°μ₯ λμ λΉμ μ€μΌμ κ° ν¨κ³Όκ° λνλ¬λ€. Dilaha et al. (1988)μ μμμ¬κ³Όλμ κΈΈμ΄λ₯Ό 4.6 mμ 9.1 mλ‘ λ€λ₯΄κ² μ€μΉνμ¬ κ°μΆ λ°©λͺ©μ§μμ λ°μν μ μ¬μ κ° ν¨κ³Όλ₯Ό μ°κ΅¬νμ¬ κ°κ° 81%μ 91%μ μ μ¬μ κ° ν¨κ³Όλ₯Ό
νμΈνμλ€. Patzold et al. (2007)μ μλ‘ λ€λ₯Έ κΈΈμ΄(3 m, 6 m, 12 m)μ κ°μ§ μμμ¬κ³Όλλ₯Ό μ€μΉνμ¬ 3λ
κ° 3κ°μ§ μ μ΄μ μ μ κ° ν¨μ¨μ λΉκ΅λΆμ νμλ€. λν Otto et al. (2012)λ μ¬λ¬ μ’
λ₯μ μμμ¬κ³Όλλ₯Ό μ€μΉνμ¬ 2007λ
λΆν° 2009λ
κΉμ§ 3λ
λμ λ€μν κ°μ°μ¬μμ λν μ μ΄μ μ κ° ν¨κ³Όλ₯Ό λΆμνμ¬ κ·Ήμ¬ν κ°μ°μ¬μ 쑰건μμλ
μμμ¬κ³Όλμ μ§μμ μΈ μ κ° ν¨κ³Όλ₯Ό νμΈνλ€. νμ§λ§ νμ₯μ€νμ λ€μν κΈ°μ λ° μ§ν 쑰건μ λ¨κΈ°κ°μ κ³ λ €ν μ μλ€λ νκ³μ μ κ°μ§κ³ μκΈ° λλ¬Έμ
λ€μν 쑰건μ κ³ λ €νμ¬ μμμ¬κ³Όλ μ μ¬μ κ° ν¨μ¨μ λͺ¨μ ν μ μλ λ€μν λͺ¨λΈλ€μ΄ κ°λ°λμλ€. λνμ μΌλ‘ SWAT (The soil and water
assessment tool), VFSMOD-w (Vegetative Filter Strip MODel), WEPP (Water Erosion Prediction
Project), GRAPH (GRAss-Phosphorus), GRASSF (Kentucky filter strip model) λ±μ΄ μμΌλ©°, κ·Έ
μ€μμ SWAT λͺ¨νμ μ μμ λμμΌλ‘ μμμ¬κ³Όλ μ μ©μ± νκ°λ₯Ό μνμ¬ λ§μ΄ μ¬μ©λκ³ μλ€(Bosch et al., 2013; Parajuli et al., 2008; Shan et al., 2014).
SWAT λͺ¨νμ μμμ¬κ³Όλμ μ μ¬μ κ° ν¨μ¨μ μ°μ νκΈ° μνμ¬ White and Arnold (2009)κ° κ°λ°ν μμ μ¬μ©νκ³ μλ€. White and Arnold (2009)μ μμμ¬κ³Όλ μ μ¬μ κ° ν¨μ¨μ μν₯μ μ£Όλ λ€μν μΈμλ€μ κ³ λ €νμ¬ μ¬λ¬ κ°μ§ μλ리μ€λ₯Ό μ€μ νκ³ μ΄λ₯Ό VFSMOD-w λͺ¨νμ ν΅ν΄ λͺ¨μ ν κ²°κ³Όμ
νμ₯μ€ν μλ£λ₯Ό λ°νμΌλ‘ μμ κ°λ°νμλ€. νμ§λ§ White and Arnold (2009)κ° μ€μ ν μλ리μ€λ λ―Έκ΅μ μΌλ°μ μΈ κ²½μμ§ νΉμ±μ κΈ°μ΄λ‘ μ€μ λμκΈ° λλ¬Έμ λ―Έκ΅ κ²½μμ§μ λ€λ₯Έ νΉμ±μ κ°μ§κ³ μλ κ΅λ΄ κ²½μμ§λ₯Ό λμμΌλ‘ μ μ©νκΈ°
μν΄μλ κ°μ μ΄ νμνλ€. μ΄μ λ³Έ μ°κ΅¬μ λͺ©μ μ κ΅λ΄ κ²½μμ§ νΉμ±μ λ°μνμ¬ κ²½μμ§μμμ μ μΆμ, μ μ¬λ°μκ³Ό μμμ¬κ³Όλμ μ μ¬μ κ° ν¨μ¨μ μν₯μ
λ―ΈμΉλ λ€μν μΈμλ€μ κ³ λ €νμ¬ μλ리μ€λ₯Ό μ€μ νκ³ , μ΄λ₯Ό VFSMOD-w λͺ¨νμ μ μ©νμ¬ SWAT λͺ¨νμ μ μ© κ°λ₯ν μμμ¬κ³Όλ μ μ¬μ κ° ν¨μ¨ μ°μ μμ
κ°λ°νλ κ²μ΄λ€.
2. Materials and Methods
2.1. SWAT λͺ¨ν λ΄ μμμ¬κ³Όλ λͺ¨λ
SWAT λͺ¨νμ λ―Έκ΅ λλ¬΄μ± λμ
μ°κ΅¬μμμ κ°λ°ν μ μλ¨μ λͺ¨νμΌλ‘ κΈ°μμλ£(μΌ κ°μλ, κΈ°μ¨, νμ, μΌμ‘°λ, μλμ΅λ)μ ν μ§μ΄μ©λ, ν μμμ±
κ·Έλ¦¬κ³ μμΉνκ³ λͺ¨λΈ(DEM)μ μ
λ ₯μλ£λ‘ νμ¬ μ₯κΈ° μ μΆ, μ μ¬ λ° λΉμ μ€μΌμμ κ±°λ λ±μ λͺ¨μνλ€. SWAT λͺ¨νμ λ€μν μ΅μ κ΄λ¦¬κΈ°λ²μ κ³ λ €ν
λͺ¨μκ° κ°λ₯νλ° κ·Έ μ€μμ μμμ¬κ³Όλμ μ μ¬μ κ° ν¨μ¨μ λͺ¨μνκΈ° μν΄ λ§μ΄ μ¬μ©λκ³ μλ€(Bosch et al., 2013; Lee et al., 2010; Parajuli et al., 2008). νμ§λ§ κΈ°μ‘΄ SWAT λͺ¨ν λ΄ VFS λͺ¨λμ μ¬μ©λμλ μ μ¬μ κ° ν¨μ¨ μ°μ μ(μ (1))μ μμμ¬κ³Όλμ μ μ¬μ κ° ν¨μ¨μ μν₯μ λ―ΈμΉλ λ€μν
μΈμμ λν κ³ λ € μμ΄ λ¨μν μμμ¬κ³Όλμ νλ§μ κ³ λ €νμ¬ μ μ¬μ κ° ν¨μ¨μ μ°μ νλ€λ λ¬Έμ μ μ΄ μμλ€. μ΄μ White and Arnold (2009)λ μμμ¬κ³Όλμ νλ§μ κ³ λ €νμ¬ μ μ¬μ κ° ν¨μ¨μ λͺ¨μνλ κΈ°μ‘΄μ VFS λͺ¨λμ λ¬Έμ μ μ κ°μ νκΈ° μνμ¬ μ (2)λ₯Ό κ°λ°νμλ€.
μ (2)λ λ€μν 쑰건μ κ³ λ €ν 1650κ°μ μλ리μ€λ₯Ό VFSMOD-w λͺ¨νμ μ μ©νμ¬ μ»μ κ²°κ³Όλ₯Ό λ°νμΌλ‘ κ°λ°λμλ€. μλ리μ€μ κ° μΈμλ€μ
μ΄ν΄λ³΄λ©΄ κ°μ°λμ μ§μμκ° 3μκ° 10 mm ~ 100 mmμ λ²μλ‘ μ€μ νμμΌλ©° ν μ§ νΌλ³΅μ λ°λ₯Έ ν μμ μ€λμ λΉμ¨λ‘ μ μλλ C-factorλ
0.1λ‘ μ€μ νμλ€. λν ν μλ, ν μ§μ΄μ©λ κ·Έλ¦¬κ³ μμνΌλ³΅ μ²λ¦¬ μν λ° μλ¬Ένμ 쑰건 λ± λ€μν 쑰건μΌλ‘ μ ν¨μ°λ λ°μμ λ―ΈμΉλ μν₯μ λνλ΄λ
Curve Number (CN)μ 85, κ²½μ¬λλ 2%, 5%, 10% κ·Έλ¦¬κ³ μμμ¬κ³Όλμ νμ 1 m~ 2mμ λ²μλ‘ μ€μ νμλ€. νμ§λ§ μΌλ°μ μΈ
κ²½μμ§ λ° κ΅λ΄ κ²½μμ§ νΉμ±μ κ³ λ €νμ λ μ (2)λ₯Ό μ°μ νκΈ° μν΄ μ€μ ν κ° μΈμλ€μ λ²μλ λ€μν 쑰건μ κ²½μμ§λ₯Ό κ³ λ €νκΈ°μ λΆμ‘±νλ€. νΉν
60% μ΄μμ΄ 7~1 5% κ²½μ¬λλ₯Ό κ°μ§ κ΅λ΄ κ²½μμ§λ₯Ό λμμΌλ‘ μμμ¬κ³Όλμ μ μ¬μ κ° ν¨μ¨μ λͺ¨μνκΈ° μν΄μλ κΈκ²½μ¬μ λν κ³ λ €κ° νμνλ€. λν
κ°μ°μ¬μμ΄ λ°μνμ λ μ μΆμ λ°μμ λ§μ μν₯μ λ―ΈμΉλ CN κ°μ κ²½μμ§μ λν΄μ μΌλ°μ μΌλ‘ 60~75μ¬μ΄μ κ°μ μ¬μ©νλ€(Jang, 2006; Mishra and Singh, 2003). μ (2)μ μλ리μ€μμ μ€μ ν CNκ°μΈ 85λ μΌλ°μ μΌλ‘ μ£Όκ±°μ§μμ΄λ 곡μ₯μ§μμ ν΄λΉνλ€. μ€μ κ²½μμ§μμ CN κ°μ΄ 80μ λλ κ²½μ°λ μλ¬Ό
μμ₯μ΄ λͺ¨λ λλ ν μ§ν λλΆλΆμ΄ μλ¬Όμ μν΄ νΌλ³΅λ μνμ ν΄λΉνλ κ°μ΄λ€. νμ§λ§ μ΄λ μ 체 μλ¬Ό μμ₯κΈ°κ° μ€ μλΉν μ§§μ κΈ°κ°μΌλ‘ μλ¬Όμ λννλ
CN κ°μΌλ‘ μ¬μ©νκΈ°μλ μ ν©νμ§ μλ€. C-factor μμ μ°λ¦¬λλΌ κ²½μμ§μμ μ£Όλ‘ μ¬λ°°λλ μλ¬ΌμΈ μ½©, μ₯μμ, κ°μ λ±μ κ³ λ €νμ λ 0.1λ‘
λννκΈ°μ νκ³κ° μλ€. λ°λΌμ λ³Έ μ°κ΅¬μμλ κ΅λ΄ κ²½μμ§λ₯Ό λμμΌλ‘ μμμ¬κ³Όλμ μ μ¬μ κ° ν¨μ¨μ λͺ¨μνκΈ° μν μλ‘μ΄ μμ κ°λ°νκ³ μ νμλ€.
2.2. κ΅λ΄ κ²½μμ§μ νΉμ±
κ΅λ΄ κ²½μμ§μ μΌλ°μ μΈ νΉμ±μ λ°μν μμμ¬κ³Όλμ μ μ¬ μ κ° ν¨μ¨ μ°μ μμ κ°λ°νκΈ° μν΄ κ΅λ¦½λμ
κ³Όνμμμ κ°λ°ν ν μνκ²½μ 보μμ€ν
(NAAS, 2015)μμ μ 곡νλ ν΅κ³μλ£λ₯Ό νμ©νμλ€. ν μνκ²½μ 보μμ€ν
μ λμ
νκ²½μ 보, λκ²½μ§ννμ±, ν μνΉμ±, μ λ°λμ
κΈ°νλ λ±μ μ 보λ₯Ό μ 곡νλ μ¬μ΄νΈλ‘μ¨ λ³Έ
μ°κ΅¬μμλ ν μνκ²½μ 보μμ€ν
μμ μ 곡νλ λ€μν ν΅κ³μλ£λ₯Ό λμΌν λ¨μ(ha)λ‘ κ°κ³΅νμ¬ κ΅λ΄ κ²½μμ§μ νΉμ±μ μ‘°μ¬νμλ€(Table 1). μ‘°μ¬ κ²°κ³Ό κ΅λ΄ κ²½μμ§μ ν μμ μν , μ¬μν , λ―Έμ¬μ§ μν κ° λλΆλΆμ μ°¨μ§νμΌλ©° μ 체μ μΌλ‘ μνΈν λ°°μ νΉμ±μ λνλλ€. λν κ²½μμ§μ μ½
86% κ° 1 ha μ΄νμ μκ·λͺ¨ ννμ΄κ³ , κ²½μ¬λλ μ 체면μ μ μ½ 60%κ° 7~15%μ κ²½μ¬λλ₯Ό λνλλ€.
Table 1.
Slope, drainage class, unit size, and soil type of agricultural fields in South-Korea
2.3. VFSMOD-w λͺ¨νμ κ°μ
VFSMOD-w λͺ¨νμ μνν¬ λ¨μ λͺ¨νμΌλ‘ μμμ¬κ³Όλμμμ μ μΆ, μΉ¨ν¬, μ μ¬μ κ° ν¨μ¨μ λͺ¨μν μ μμΌλ©°, μ΄λ―Έ λ€μν νμ₯μ€νμ ν΅ν΄ λͺ¨νμ
μ νλκ° κ²μ¦λμλ€(Munoz-Carpena et al., 1999). VFSMOD-w λͺ¨νμ μ€κ³ κ°μ°μ μν λ¨μμ λλλ₯Ό μ΄μ©νλ©°, λ€μν 쑰건μ μμμ¬κ³Όλλ₯Ό λͺ¨μν μ μλλ‘ μμμ κ°κ²©, κΈΈμ΄, κ²½μ¬λ, μΉ¨ν¬
νΉμ± λ±μ μμμ¬κ³Όλ κ΄λ ¨ μΈμλΏλ§ μλλΌ ν μ±κ³Ό ν μ μ
μ ν¬κΈ° λ± λ€μν μΈμλ₯Ό κ³ λ €ν λΆμμ΄ κ°λ₯νλ€. VFSMOD-w λͺ¨νμ ν¬κ² 3κ°μ§ λͺ¨λ(Infiltration
λͺ¨λ, Kinematic overland flow λͺ¨λ, Sediment filtration λͺ¨λ)λ‘ κ΅¬μ±λμ΄μλ€(Fig. 1). Infiltration λͺ¨λμ Green-Ampt μΉ¨ν¬ λ°©μ μμ μ΄μ©νμ¬ μΉ¨ν¬λ λ° μ΄κ³Όμ°λμ μ°μ νλ©°, Kinematic overland flow
λͺ¨λμ μΉ¨ν¬μΈ΅μ μ μΆμ¬κ³Ό μ μΆλμ κ³μ°νλ€. Sediment filtration λͺ¨λμ μμμ¬κ³Όλλ‘ μ μ
λ μ μ¬μ μ΄λκ³Ό ν΄μ μ λͺ¨μνλ€(MuΓ±oz-Carpena and Parsons, 2014).
VFSMOD-w λͺ¨νμ μ
λ ₯μλ£λ μνν¬μ μ μΆ λ° μ μ¬ λ°μλ λͺ¨μλ₯Ό μν μ
λ ₯μλ£μ μμμ¬κ³Όλμ μ μ¬μ κ° ν¨μ¨ λͺ¨μλ₯Ό μν μ
λ ₯μλ£λ‘ ꡬλΆν μ
μλ€. λ¨Όμ μνν¬μ μ μΆ λ° μ μ¬ λ°μλ λͺ¨μλ₯Ό μν μ
λ ₯μλ£λ 1) κ°μ°μ¬μ λ° μ μΆμ μν₯μ μ£Όλ μΈμ(κ°μ°λ, κ°μ°μ§μμκ°, CN λ±), 2)
μνν¬μ μ§νμ νΉμ± μΈμ(μνν¬μ κΈΈμ΄, κ²½μ¬λ, λ©΄μ λ±), 3) μνν¬μ ν μκ΄λ ¨ μΈμ(ν μ±, μ
μν¬κΈ° λ±)κ° μμΌλ©° μ΄λ₯Ό ν΅ν΄ μνν¬μ μ μΆμ
λ° μ μ¬λμ λͺ¨μνλ€. μμμ¬κ³Όλλ‘ μ μ
λ μ μΆμμ μ μ¬μ λν μ κ°ν¨μ¨μ λͺ¨μνκΈ° μν μ
λ ₯μλ£λ μμμ¬κ³Όλμ ν, λ©΄μ , κ²½μ¬λ, μμμ κ°κ²©κ³Ό
κΈΈμ΄, μ‘°λκ³μ λ±μ΄ μμΌλ©°, μ΄λ₯Ό νμ©νμ¬ μμμ¬κ³Όλμμ μ μΆλλ μ μΆμμ μ μ¬λμ λͺ¨μνλ€.
Fig. 2.
Hydrologic components at source area and filter strip in VFSMOD-w.
2.4. VFSMOD-w λͺ¨μλ₯Ό μν μλλ¦¬μ€ μ€μ
λ³Έ μ°κ΅¬μμλ κ΅λ΄ κ²½μμ§ νΉμ± μ‘°μ¬ κ²°κ³Όλ₯Ό λ°μνμ¬ VFSMOD-w λͺ¨ν λͺ¨μλ₯Ό μν μλ리μ€λ₯Ό μ€μ νμλ€(Table 2). κ°μ°λκ³Ό κ°μ° μ§μμκ°μ νκ΅ νλ₯ κ°μ°λμ 보(MLIT, 2012)μμ μ 곡νλ νλ₯ κ°μ°λλλ₯Ό μ¬μ©νμ¬ 60λΆ κ°μ° μ§μμκ°μ 10λ
, 20λ
, 30λ
νλ₯ κ°μ°λμ ν΄λΉνλ 31 mm, 57 mm, 67 mmλ‘
μ€μ νμμΌλ©°, NRCSμ CNλ 59, 68, 77λ‘ μ μ νμλ€. κ²½μ¬λλ μλ§ν κ²½μμ§λ λ¬Όλ‘ κΈκ²½μ¬μ§μ κ²½μμ§ μ‘°κ±΄κΉμ§ κ³ λ €νκΈ° μνμ¬ 2%~
20% λμ λ²μλ₯Ό μ€μ νμλ€. ν μκ΄λ ¨ μΈμ μ€ νλμΈ ν μ±μ κ΅λ΄ κ²½μμ§μμ κ°μ₯ λ§μ μμ λνλΈ μν (loam)μ μ¬μν (sandy loam)λ₯Ό
κ³ λ €νμμΌλ©°, μνν¬μμ μ μ¬ λ°μ μ°μ μ μν μΈμμΈ USLE ν μ보쑴λμ±
μΈμ(P)λ 1.0μ, λ€μν μλ¬Όμ κ³ λ €ν μ μλλ‘ ν μνΌλ³΅μΈμ(C)λ
0.1, 0.3, 0.5μ μ¬μ©νμλ€.
Table 2.
Selection and application of model parameters to explore runoff and sediment yield
variations
μμμ¬κ³Όλμ λ©΄μ μ μ΄λ―Έ λ§μ μ νμ°κ΅¬μμ μ μ¬μ κ° ν¨μ¨μ κ°μ₯ ν° μν₯μ μ£Όλ μΈμλ‘ μ μλμ΄μλ€(Liu et al., 2008; Munoz-Carpena et al., 1999). νμ§λ§ HRU (Hydrologic Response Unit) λ³λ‘ μ μΆ λ° μ μ¬λ₯Ό λͺ¨μνλ SWAT λͺ¨νμ νΉμ±μ κ³ λ €νμμ λ μμμ¬κ³Όλ
λ©΄μ μ κ·Έλλ‘ μ μ©νλ κ²μ νκ³κ° μλ€. SWAT λͺ¨νμμ μμ μμ μλ°± λλ μμ²κ°μ HRUλ‘ κ΅¬μ±λμ΄ μλ€. κ°κ°μ HRUλ κ²½μμ§ μ 체λ μΌλΆλΆ
λλ μλ‘ λ€λ₯Έ κ²½μμ§μ μΌλΆλΆμ λνλ΄κ³ , μΌλ°μ μΌλ‘ κ°κ°μ HRUλ μλ‘ λ€λ₯Έ ν¬κΈ°μ νμμ κ°μ§κ³ μλ€. λν White and Arnold (2009)λ μμμ¬κ³Όλμ μ μ¬μ κ° ν¨μ¨μ HRUμ νμμ ν° μν₯μ λ°μ§ μμΌλ©°, μνν¬ λ©΄μ μ λν μμμ¬κ³Όλ λ©΄μ λΉ(AR)λ₯Ό μ¬μ©νμμ κ²½μ° μμ μλ΄μ 곡κ°μ μΌλ‘ λΆν¬νκ³ μλ λͺ¨λ HRUμ λμΌν λΉμ¨λ‘ μμμ¬κ³Όλλ₯Ό μ μ©ν μ μμμ νμΈνμλ€. μ΄λ¬ν SWAT λͺ¨νμ
νΉμ±μ κ³ λ €νμ¬ λ³Έ μ°κ΅¬μμλ AR (0.5% ~ 10%)λ₯Ό μΈμλ‘ μ¬μ©νμλ€. μ΄μ’
μ κ΅λ΄ κ²½μμ§λ₯Ό λμμΌλ‘ μμμ¬κ³Όλ μ΄μ’
μ κ΄ν Choi and Jang (2014)μ μ°κ΅¬κ²°κ³Όμ λ°λΌ μλλ₯Ό μ¬μ©νμλ€.
μνν¬ λ©΄μ μ κΈ°μ‘΄μ μμμ¬κ³Όλμ κ΄ν μ°κ΅¬μμ λ§μ΄ κ³ λ €λμ§ μμλ 쑰건μΌλ‘ λ§μ μ°κ΅¬μμ κ²½μμ§ λ©΄μ μ κ³ μ ν ν κ²½μ¬λ, μ΄μ’
, μμμ¬κ³Όλ
ν λ± μ¬λ¬ μΈμλ€μ λ°λ₯Έ μ μ¬μ κ° ν¨μ¨ λ³νλ₯Ό λΆμνμλ€(Kuo and MuΓ±oz-Carpena, 2009; White and Arnold, 2009). νμ§λ§ λ³Έ μ°κ΅¬μμλ λμΌν μμμ¬κ³Όλ λ©΄μ λΉ μ‘°κ±΄μμλ μνν¬ λ©΄μ μ λ³νκ° μμμ¬κ³Όλμ μ μ¬μ κ° ν¨κ³Όμ μν₯μ μ€ κ²μΌλ‘ κ°μ νκ³ , μ΄λ₯Ό
λΆμνκΈ° μνμ¬ λ€μν μνν¬ λ©΄μ μ μ€μ νμλ€. μνν¬ λ©΄μ μ νμ 50 mλ‘ κ³ μ νκ³ , μνν¬μ κΈΈμ΄λ 10 m ~ 400 mλ‘ μ€μ (0.05
~ 2 ha)νμ¬ λ€μν μνν¬ λ©΄μ μ κ³ λ €νμλ€.
2.5. μμμ¬κ³Όλ μ μ¬μ κ° ν¨μ¨ νκ·μ μ°μ
μμμ¬κ³Όλμ μ μ¬μ κ° ν¨μ¨μ λν κ° μΈμλ€μ μν₯μ λλ₯Ό νμ
νκΈ° μν΄μλ μκ΄λΆμμ μννμλ€. μ΄λ₯Ό μν΄ λ³Έ μ°κ΅¬μμλ μ μ μμ μ€μ ν μλ리μ€λ₯Ό
VFSMOD-w λͺ¨νμ νμ©νμ¬ λͺ¨μν κ²°κ³Όλ₯Ό νμ©νμλ€. λͺ¨μ κ²°κ³Όλ₯Ό νμ©νμ¬ κ° μΈμλ€μ λν΄ μκ΄λΆμμ μ€μν ν λΆμ κ²°κ³Όλ₯Ό λ°μνμ¬ νκ·μ
λμΆμ μν λ³μλ₯Ό μ€μ νμλ€. μ€μ λ λ³μλ₯Ό ν΅ν΄ μ μ¬μ κ° ν¨μ¨ μ°μ μμ κ°λ°νκΈ° μν΄μλ λ°λμ§ν μμ ννλ₯Ό μ μ ν΄μΌ νλ€. μ΄λ₯Ό μν΄ λ³Έ μ°κ΅¬μμ λ
CurveExpert (v.2.2.0)λ₯Ό νμ©νμ¬ μ΅μ μ νκ·μμ λμΆνμλ€.
CurveExpertλ curve fitting κ²°κ³Όμ λ°μ΄ν° λΆμμ λμμ μ 곡ν΄μ£Όλ cross-platform νλ‘κ·Έλ¨μΌλ‘ λ€μν μ ν νκ· λͺ¨λΈκ³Ό
λΉμ ν νκ·λͺ¨λΈμ μ 곡ν΄μ€λ€. κΈ°λ³Έμ μΌλ‘ 60κ°κ° λλ μ ννλ₯Ό μ 곡νκ³ μμΌλ©°, μ¬μ©μκ° μ§μ μμ ννλ₯Ό μ
λ ₯ν μ μλ€λ μ₯μ μ΄ μλ€. λν
Curve-Expertλ μ΅μ μ νκ·μκ³Ό λ§€κ°λ³μ μ°μ κ²°κ³Όλ₯Ό κ·Έλν λ° ν΅κ³λΆμ κ²°κ³Ό(κ²°μ κ³μ, μκ΄κ³μ, νμ€μ€μ°¨ λ±)μ ν¨κ» μ 곡ν΄μ€λ€(Hyams, 2011). λ³Έ μ°κ΅¬μμλ μκ΄λΆμμ ν΅ν΄ μ μ λ λ³μλ€μ CurveExpertμ μ μ©νμ¬ λμΆλ νκ·μμ κ²°μ κ³μμ κ·Έλνλ₯Ό λΉκ΅νμ¬ μ΅μ μ νκ·μμ μ μ νμλ€.
3. Results and Discussion
3.1. μλλ¦¬μ€ λͺ¨μ κ²°κ³Ό
53460 κ°μ μλλ¦¬μ€ λͺ¨μ κ²°κ³Όλ₯Ό λ°νμΌλ‘ μμμ¬κ³Όλμ μ μ¬μ κ° ν¨μ¨μ λν κ° μλλ¦¬μ€ μ€μ μΈμλ€μ μν₯ μ λλ₯Ό νμ
νκΈ° μνμ¬ μκ΄ λΆμμ
μννμλ€. Table 3μ κ° μΈμλ³ μκ΄κ³μλ₯Ό μ 리ν κ²μ΄λ€.
Table 3.
Correlation coefficients of model parameters and sediment trapping efficiency
μκ΄λΆμ κ²°κ³Ό μνν¬ λ©΄μ μ λν μμμ¬κ³Όλ λ©΄μ λΉ(AR)μ μκ΄κ³μκ° 0.45λ‘ κ°μ₯ ν° κ°μ λνλμΌλ©° κ·Έ λ€μμΌλ‘ κ²½μ¬λ>μνν¬ λ©΄μ >CN>C-factor>κ°μ°λ μμΌλ‘ λνλ¬λ€. μλμ νλ μλ리μ€
μΌλΆλ₯Ό μ 리ν κ²μΌλ‘ κ°μ₯ λμ μκ΄κ³μλ₯Ό λνλΈ μΈ κ°μ§ μΈμ(AR, κ²½μ¬λ, μνν¬ λ©΄μ )μ λ°λ₯Έ μ μ¬μ κ° ν¨μ¨μ μ 리ν κ²μ΄λ€.
Table 4λ ARμ μ μΈν λ€λ₯Έ μΈμλ€(ν μ±, κ²½μ¬λ, μνν¬ λ©΄μ , CN, C-factor, κ°μ°κ°λ)μ΄ λμΌν λ, AR λ³νμ λ°λ₯Έ μ μ¬μ κ° ν¨μ¨μ λνλΈ κ²μ΄λ€. AR λ³νμ λ°λ₯Έ μ μ¬μ κ° ν¨μ¨μ 12.9% ~ 83.7% λ²μλ‘ μ΅λ 70.8%μ μ°¨μ΄λ₯Ό λνλλ€. Table 5λ κ²½μ¬λλ₯Ό μ μΈν λ€λ₯Έ μΈμλ€(ν μ±, AR, μνν¬ λ©΄μ , CN, C-factor, κ°μ°κ°λ)μ΄ λμΌν λ κ²½μ¬λ λ³νμ λ°λ₯Έ μ μ¬μ κ° ν¨μ¨μ λνλΈ κ²μ΄λ€. Table 5μ κ°μ΄ κ²½μ¬λ λ³νμ λ°λ₯Έ μ μ¬μ κ° ν¨μ¨μ 25.4% ~ 94.7%λ‘ μ΅λ 69.3% μ°¨μ΄λ₯Ό λ³΄μ¬ ARκ³Ό λΉμ·ν μ°¨μ΄λ₯Ό 보μλ€. λ§μ§λ§μΌλ‘ Table 6μ μνν¬μ λ©΄μ μ μ μΈν λ€λ₯Έ μΈμλ€(ν μ±, AR, κ²½μ¬λ, CN, C-factor, κ°μ°κ°λ)μ΄ μΌμ ν λ μνν¬ λ©΄μ λ³νμ λ°λ₯Έ μ μ¬μ κ° ν¨μ¨μ λνλΈ κ²μ΄λ€. Table 6κ³Ό κ°μ΄ μνν¬ λ©΄μ λ³νμ λ°λ₯Έ μ μ¬μ κ° ν¨μ¨μ 45.7% ~ 92.5% λ²μλ₯Ό λνλμΌλ©° μ΅λ 46.8%μ μ°¨μ΄λ₯Ό λ³΄μ¬ μμ λ μΈμ(ARκ³Ό κ²½μ¬λ)μ λΉκ΅νμ¬ κ°μ₯ μμ μ°¨μ΄λ₯Ό λνλλ€. νμ§λ§ Table 3κ³Ό Table 6μμ μ μ μλ―μ΄ μ μ (2.4 VFSMOD-w λͺ¨μλ₯Ό μν μλλ¦¬μ€ μ€μ )μμ μμν κ²κ³Ό κ°μ΄ λμΌν AR쑰건μΌμ§λΌλ μνν¬ λ©΄μ μ μ¦κ°λ μ μ¬μ κ° ν¨μ¨μ μν₯μ μ£Όμλ€. μ΄λ μνν¬ λ©΄μ κ³Ό λ°μ μ μ¬λμ΄ μ νν λΉλ‘κ΄κ³λ₯Ό κ°μ§μ§ μκΈ° λλ¬Έμ Fig. 3κ³Ό κ°μ΄ μνν¬ λ©΄μ μ΄ μΌμ ν νμΌλ‘ μ¦κ°λ λ μ μ¬ λ°μλμ μ¦κ°νμ κΈ°νκΈμμ μΌλ‘ 컀μ§κΈ° λλ¬ΈμΌλ‘ νλ¨λμλ€.
Table 4.
Variation of sediment trapping efficiency with AR changes
Table 5.
Variation of sediment trapping efficiency with Slope changes
Table 6.
Variation of sediment trapping efficiency with Source area changes
Fig. 3.
Exponential relationship of sediment yield (kg/m2) and source area (m2).
3.2. μμμ¬κ³Όλμ μ μ¬μ κ° ν¨μ¨ μ°μ μ κ°λ°
νκ·μμ λ³μλ μκ΄ λΆμ κ²°κ³Όλ₯Ό λ°μνμ¬ κ°μ₯ λμ μκ΄μ±μ λνλΈ μνν¬ λ©΄μ μ λν μμμ¬κ³Όλμ λ©΄μ λΉ(AR)λ₯Ό λ³μλ‘ κ²°μ νμλ€. λν μνν¬ λ©΄μ κ³Ό μ μ¬λμ ν¨κ» κ³ λ €νκΈ° μνμ¬ λ¨μ μνν¬ λ©΄μ λΉ λ°μ μ μ¬λ (SS)μ λ³μλ‘ κ²°μ νμλ€. White and Arnold (2009)μ΄ κ°λ°ν μ (2)μ κ²½μ° νκ·μ λ³μλ‘ λ¨μ μμμ¬κ³Όλ λ©΄μ λΉλΆν μ μ¬λ(SL)μ μ μ νμ¬ νκ·μμ λμΆνμλ€. νμ§λ§ λ―Όκ°λ λΆμ κ²°κ³Ό λ³Έ μ°κ΅¬μμλ SLκ³Ό SSμ μκ΄κ³μλ κ°κ° β0.59, β0.68λ‘ SSμ μκ΄κ³μκ° λ ν¬κ² λνλ SSκ° μμμ¬κ³Όλ μ μ¬μ κ° ν¨μ¨μ λ ν° μν₯μ λ―ΈμΉλ κ²μΌλ‘ λνλ¬λ€. λ°λΌμ λ³Έ μ°κ΅¬μμλ SSμ ARμ νκ·μμ λ³μλ‘ μ μ νμλ€. μ μ λ λ³μλ₯Ό CurveExpertμ μ μ©νμ¬ λ€μν μ ν λ° λΉμ ν νκ·μμ λμΆν΄λΈ ν κ° νκ·μ λ³ κ²°μ κ³μμ
κ·Έλνλ₯Ό λΉκ΅νμ¬ μ΅μ μ μ μ¬μ κ° νκ·μμ λμΆνλ€. μ (3)μ λ³Έ μ°κ΅¬μμ κ°λ°ν μμμ¬κ³Όλμ μ μ¬μ κ° ν¨μ¨ μ°μ μμ μ΅μ’
ννμ΄λ©° Fig. 4λ CurveExpertμμ μ 곡ν 3μ°¨μ κ·Έλνμ΄λ€.
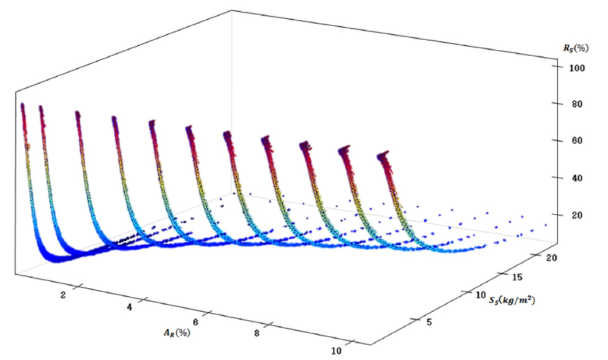
Fig. 4.
Three dimensional graph of AR, SS, and RS to retrieve a regression.
μ (3)μμ RSλ μμμ¬κ³Όλμ μ μ¬μ κ° ν¨μ¨(%), ARλ μνν¬ λ©΄μ μ λν μμμ¬κ³Όλμ λ©΄μ λΉμ¨, SSλ λ¨μ μνν¬ λ©΄μ λΉ λ°μ μ μ¬λμ΄λ€. Fig. 5λ μμμ¬κ³Όλμ μ μ¬μ κ° ν¨μ¨μ λ³Έ μ°κ΅¬μμ κ°λ°ν μκ³Ό VFSMOD-wλͺ¨νμ νμ©νμ¬ λͺ¨μν κ²°κ³Όλ₯Ό λΉκ΅ν κ·Έλ¦Όμ΄λ€. μ (3)μ μ μ¬μ κ° ν¨μ¨
μ°μ κ²°κ³Όλ₯Ό VFSMOD-wλͺ¨νμ μν μ μ¬μ κ° ν¨μ¨κ³Ό κ²μ¦ν κ²°κ³Ό κ²°μ κ³μ(R2)μ Nash-sutcliffe efficiency (NSE)λ κ°κ° 0.987, 0.977λ‘ λ§€μ° λμ κ°μ λνλλ€. νμ§λ§ Fig. 5μμ λ°μ€λ‘ νμν λΆλΆμμ μ (3)κ²°κ³Όμ VFSMOD-wλͺ¨ν κ²°κ³Ό κ° ν° μ°¨μ΄κ° λ°μνμλ€. μ΄μ λν μμΈμ λΆμνκΈ° μν΄ μ (3)μ λΆμν
κ²°κ³Ό Fig. 6κ³Ό κ°μλ€.
Fig. 5.
Comparison of sediment trapping efficiencies by regression and VFSMOD-w model.
Fig. 6.
Comparison of sediment trapping efficiencies by regression and VFSMOD-w model with
AR of 0.5 ~ 1% (left) and 2 ~ 10% (right).
μ (3)μΌλ‘ μ°μ ν μμμ¬κ³Όλμ μ μ¬μ κ° ν¨μ¨μ λΆμν κ²°κ³Ό ARμ΄ 1% μ΄νμΌ λ VFSMOD-wλͺ¨νκ³Ό λΉκ΅νμ¬ μ μ¬μ κ° ν¨μ¨μ κ³Όμνκ°νλ κ²½μ°κ° λ°μνλ€. λ°λΌμ μ (3)μ ARμ΄ 1% μ΄νμΈ μμμ¬κ³Όλλ₯Ό λͺ¨μν κ²½μ° μ μ¬μ κ° ν¨μ¨μ΄ κ³Όμνκ°λ μ μλ€λ νκ³μ μ κ°μ§κ³ μλ€.
4. Conclusion
λ³Έ μ°κ΅¬μμλ κ΅λ΄ κ²½μμ§λ₯Ό λμμΌλ‘ μμμ¬κ³Όλμ μ μ¬μ κ° ν¨μ¨μ λͺ¨μν μ μλλ‘ SWAT λͺ¨ν λ΄ μμμ¬κ³Όλ λͺ¨λμ κ°μ νκΈ° μν μλ‘μ΄ μ μ¬μ κ°
ν¨μ¨ μ°μ μμ κ°λ°νμλ€. μ΄λ₯Ό μν΄ VFSMOD-w λͺ¨νμ μ΄μ©νμ¬ λ€μν 쑰건μ κ³ λ €ν μλ리μ€λ₯Ό λͺ¨μνμμΌλ©°, λͺ¨μν κ²°κ³Όλ₯Ό λ°νμΌλ‘ μμμ¬κ³Όλμ
μ μ¬μ κ° ν¨μ¨ μμΈ‘μ μν μλ‘μ΄ μμ μ μνμλ€.
κ΅λ΄ κ²½μμ§ νΉμ±μ κ³ λ €ν μλ리μ€λ₯Ό μ€μ νκΈ° μνμ¬ κ΅λ΄ κ²½μμ§ νΉμ±μ μ‘°μ¬νμμΌλ©°, μ‘°μ¬ κ²°κ³Όλ₯Ό λ°νμΌλ‘ VFSMOD-w λͺ¨ν λͺ¨μλ₯Ό μν μλ리μ€λ₯Ό
μ€μ νλ€. μ΄ 53460κ°μ μλλ¦¬μ€ κ²°κ³Όλ₯Ό νμ©νμ¬ κ° μΈμλ€μ λνμ¬ λ―Όκ°λ λΆμμ νμλ€. λΆμ κ²°κ³Ό μνν¬ λ©΄μ μ λν μμμ¬κ³Όλ λ©΄μ λΉ(AR)μ λ¨μ μνν¬ λ©΄μ λΉ λ°μ μ μ¬λ(SS)μ μκ΄κ³μκ° κ°μ₯ λκ² λνλ¬λ€. λν κΈ°μ‘΄μ μμμ¬κ³Όλ μ€κ³ μ κ³ λ €λμ§ μμλ κ²½μμ§ λ©΄μ λ³νμ λ°λ₯Έ μμμ¬κ³Όλμ μ μ¬μ κ° ν¨μ¨ λ³νλ₯Ό λΆμνμλ€.
λΆμκ²°κ³Ό λμΌν λ©΄μ λΉλ‘ μμμ¬κ³Όλλ₯Ό μ€μΉν μ§λΌλ μνν¬ λ©΄μ μ λ°λΌ μ μ¬μ κ° ν¨μ¨μ μ°¨μ΄κ° μμλ€. μ΄μ λ³Έ μ°κ΅¬μμλ SSλ₯Ό μλ‘μ΄ λ³μλ‘ μ μνμλ€. SSμ νμ¬ SWAT λͺ¨νμμ μ μ¬μ κ° ν¨μ¨ μ°μ μμ λ³μμΈ SL(λ¨μ μμμ¬κ³Όλ λ©΄μ λΉ μ μ
μ μ¬λ)κ³Ό μ μ¬μ κ° ν¨μ¨κ³Όμ μκ΄κ³μλ₯Ό μ°μ ν κ²°κ³Ό κ°κ° β0.68κ³Ό β0.59λ‘ λ³Έ μ°κ΅¬μμ μ μν SSκ° μ μ¬μ κ° ν¨μ¨μ λ λ§μ μν₯μ μ£Όλ κ²μΌλ‘ λνλ¬λ€. κ²°κ³Όμ μΌλ‘ λ³Έ μ°κ΅¬μμ μ μν μμμ¬κ³Όλ μ μ¬μ κ° μ°μ μμ VFSMOD-w λͺ¨νκ³Ό λΉκ΅νμ¬
R2μ NSE κ°κ° 0.987, 0.977λ‘ κ±°μ 1μ κ°κΉμ΄ κ°μ λνλλ€.
νμ§λ§ λ³Έ μ°κ΅¬μμ κ°λ°ν μμ μμμ¬κ³Όλμ κΈΈμ΄κ° μνν¬ κΈΈμ΄μ 1% μ΄νμΌ κ²½μ°μλ κ³Όμνκ° ν κ°λ₯μ±μ΄ μλ€. λ°λΌμ μΆν μ΄ λ¬Έμ μ μ λν
μμΈλΆμ λ° ν΄κ²°μ ν΅ν΄ λ³Έ μμ κ°μ μ΄ νμνλ€. λν νμ₯μ€ν μλ£μ λΆμ¬λ‘ λ³Έ μ°κ΅¬μμ κ°λ°ν μμ κ²μ¦μ νμ§ λͺ»νλ€λ νκ³μ μ΄ μλ€. μ΄μ
μΆν 체κ³μ μ΄κ³ μ₯κΈ°κ°μ κ±ΈμΉ νμ₯μ€ν μλ£λ₯Ό ν΅ν΄ λ³Έ μ°κ΅¬μμ κ°λ°ν μμ κ²μ¦μ΄ μꡬλλ€. νμ§λ§ λ³Έ μ°κ΅¬μμ μ μν μμμ¬κ³Όλμ μ μ¬μ κ° ν¨μ¨
μ°μ μμ SWAT λͺ¨νμ μμμ¬κ³Όλ λͺ¨λμ μ μ©νλ€λ©΄ κ΅λ΄ κ²½μμ§λ₯Ό λμμΌλ‘ λ³΄λ€ μ νν μμμ¬κ³Όλ μ μ¬μ κ° ν¨μ¨ λͺ¨μκ° κ°λ₯ ν κ²μΌλ‘ νλ¨λλ©°
μ΄λ₯Ό ν΅ν΄ ν¨μ¨μ μΈ μμμ¬κ³Όλμ νμ₯μ μ©μ΄ κ°λ₯ν κ²μΌλ‘ μ¬λ£λλ€.
Acknowledgements
λ³Έ μ°κ΅¬λ κ΅ν κ΅ν΅λΆ λ¬Όκ΄λ¦¬μ¬μ
μ μ°κ΅¬λΉμ§μ(14AWMPB082564-01)μ μν΄ μνλμμ΅λλ€.
References
Bosch N. S., Allan J. D., Selegean J. P., Scavia D., 2013, Scenario-testing of Agricultural
Best Management Practices in Lake Erie Watersheds, Journal of Great Lakes Research,
Bosch, N. S., Allan, J. D., Selegean, J. P., and Scavia, D. (2013). Scenario-testing
of Agricultural Best Management Practices in Lake Erie Watersheds, Journal of Great
Lakes Research, 39(3), pp. 429-436., Vol. 39, No. 3, pp. 429-436

Choi K. S., Jang J. R., 2014, Selection of Appropriate Plant Species of VFS (Vegetative
Filter Strip) for Reducing NPS Pollution of Uplands, Journal of Korea Water Resources
Association, Choi, K. S. and Jang, J. R. (2014). Selection of Appropriate Plant Species
of VFS (Vegetative Filter Strip) for Reducing NPS Pollution of Uplands, Journal of
Korea Water Resources Association, 47(10), pp. 913-983. [Korean Literature], Vol.
47, No. 10, pp. 913-983

Dillaha T. A., Sherrard J. H., Lee D., Mostaghimi S., Shanholtz V. O., 1988, Evaluation
of Vegetative Filter Strips as a Best Management Practice for Feed Lots, Journal of
the Water Pollution Control Federation, Dillaha, T. A., Sherrard, J. H., Lee, D.,
Mostaghimi, S., and Shanholtz, V. O. (1988). Evaluation of Vegetative Filter Strips
as a Best Management Practice for Feed Lots, Journal of the Water Pollution Control
Federation, pp. 1231-1238., pp. 1231-1238

Hyams D., 2011, CurveExpert Professional: documentation, Hyams, D. (2011). CurveExpert
Professional: documentation, pp. 1-2., pp. 1-2

Jang B., 2006, The Assessment of Appropriate Runoff CN(CN) According to Basin Characteristics,
Masterβs Thesis, Jang, B. (2006). The Assessment of Appropriate Runoff CN(CN) According
to Basin Characteristics, Masterβs Thesis, Chungbuk National University, pp. 25-37.
[Korean Literature], pp. 25-37

Kim S. K., Lee B. C., 2006, The Status of Nonpoint Pollution Source Management in
Urban Area, Korean Society of Civil Engineers, Kim, S. K. and Lee, B. C. (2006). The
Status of Nonpoint Pollution Source Management in Urban Area, Korean Society of Civil
Engineers, 54(8), pp. 129-136. [Korean Literature], Vol. 54, No. 8, pp. 129-136

Kim S. S., Kim J. S., Bang K. Y., Kwon E. M., Jung U. J., 2002, The Estimation of
the Unit Load and Characteristics of Non-point Source Discharge According to Rainfall
in Kyongan Watershed, Journal of Korean Society of Environmental Engineers, Kim, S.
S., Kim, J. S., Bang, K. Y., Kwon, E. M., and Jung, U. J. (2002). The Estimation of
the Unit Load and Characteristics of Non-point Source Discharge According to Rainfall
in Kyongan Watershed, Journal of Korean Society of Environmental Engineers, 24(11),
pp. 2019-2027. [Korean Literature], Vol. 24, No. 11, pp. 2019-2027

Kuo Y. M., MuΓ±oz-Carpena R., 2009, Simplified Modeling of Phosphorus Removal by Vegetative
Filter Strips to Control Runoff Pollution from Phosphate Mining Areas, Journal of
Hydrology, Kuo, Y. M. and MuΓ±oz-Carpena, R. (2009). Simplified Modeling of Phosphorus
Removal by Vegetative Filter Strips to Control Runoff Pollution from Phosphate Mining
Areas, Journal of Hydrology, 378(3), pp. 343-354., Vol. 378, No. 3, pp. 343-354

Lee M., Park G., Park M., Park J., Lee J., Kim S., 2010, Evaluation of Non-point Source
Pollution Reduction by Applying Best Management Practices using a SWAT Model and QuickBird
High Resolution Satellite Imagery, Journal of Environmental Sciences, Lee, M., Park,
G., Park, M., Park, J., Lee, J., and Kim, S. (2010). Evaluation of Non-point Source
Pollution Reduction by Applying Best Management Practices using a SWAT Model and QuickBird
High Resolution Satellite Imagery, Journal of Environmental Sciences, 22(6), pp. 826-833.,
Vol. 22, No. 6, pp. 826-833

Liu X., Zhang X., Zhang M., 2008, Major Factors Influencing the Efficacy of Vegetated
Buffers on Sediment Trapping: A Review and Analysis, Journal of Environmental Quality,
Liu, X., Zhang, X., and Zhang, M. (2008). Major Factors Influencing the Efficacy of
Vegetated Buffers on Sediment Trapping: A Review and Analysis, Journal of Environmental
Quality, 37(5), pp. 1667-1674., Vol. 37, No. 5, pp. 1667-1674

2012, Korea Precipitation Frequency Data Sever, Ministry of Land Infrastructure Transport.
(MLIT). (2012). Korea Precipitation Frequency Data Sever, http://www.k-idf.re.kr (accessed
April 2015)

Mishra S. K., Singh V. P., 2003, Soil Conservation Service CN (SCS-CN) Methodology,
Mishra, S. K. and Singh, V. P. (2003). Soil Conservation Service CN (SCS-CN) Methodology,
Springer Science and Business Media, pp. 42.

MuΓ±oz-Carpena R., Parsons J. E., 2014, Vegetative Filter Strips Modeling System, Model
Document & Userβs Manual, MuΓ±oz-Carpena, R. and Parsons, J. E. (2014). Vegetative
Filter Strips Modeling System, Model Document & Userβs Manual, pp. 1-6., pp. 1-6

Munoz-Carpena R., Parsons J. E., Gilliam J. W., 1999, Modeling Hydrology and Sediment
Transport in Vegetative Filter Strips, Journal of Hydrology, Munoz-Carpena, R., Parsons,
J. E., and Gilliam, J. W. (1999). Modeling Hydrology and Sediment Transport in Vegetative
Filter Strips, Journal of Hydrology, 214(1), pp. 111-129., Vol. 214, No. 1, pp. 111-129

2015, Agricultural Soil Information System (ASIS, National Academy of Agricultural
Science. (NAAS). (2015). Agricultural Soil Information System (ASIS), http://soil.rda.go.kr
(accessed April 2014)

Oh Y. T., Park J. C., Kim D. S., Rhyu J. G., 2004, Pollutant Characteristics of Nonpoint
Source Runoff in Okcheon Stream, Journal of Korean Society on Water Environment, Oh,
Y. T., Park, J. C., Kim, D. S., and Rhyu, J. G. (2004). Pollutant Characteristics
of Nonpoint Source Runoff in Okcheon Stream, Journal of Korean Society on Water Environment,
30(2), pp. 159-165. [Korean Literature], Vol. 30, No. 2, pp. 159-165

Otto S., Cardinali A., Marotta E., Paradisi C., Zanin G., 2012, Effect of Vegetative
Filter Strips on Herbicide Runoff under Various Types of Rainfall, Chemosphere, Otto,
S., Cardinali, A., Marotta, E., Paradisi, C., and Zanin, G. (2012). Effect of Vegetative
Filter Strips on Herbicide Runoff under Various Types of Rainfall, Chemosphere, 88(1),
pp. 113-119., Vol. 88, No. 1, pp. 113-119

Parajuli P. B., Mankin K. R., Barnes P. L., 2008, Applicability of Targeting Vegetative
Filter Strips to Abate Fecal Bacteria and Sediment Yield using SWAT, Agricultural
Water Management, Parajuli, P. B., Mankin, K. R., and Barnes, P. L. (2008). Applicability
of Targeting Vegetative Filter Strips to Abate Fecal Bacteria and Sediment Yield using
SWAT, Agricultural Water Management, 95(10), pp. 1189-1200., Vol. 95, No. 10, pp.
1189-1200

Park Y. S., Hyun G. W., 2014, Optimization of Vegetative Filter Strip using VFSMOD-w
model and Genetic-Algorithm, Journal of Korean Society on Water Environment, Park,
Y. S. and Hyun, G. W. (2014). Optimization of Vegetative Filter Strip using VFSMOD-w
model and Genetic-Algorithm, Journal of Korean Society on Water Environment, 30(2),
pp. 159-165. [Korean Literature], Vol. 30, No. 2, pp. 159-165

Park Y. S., Kim J. G., Kim N. W., Kim K. S., Choi J. D., Lim K. J., 2007, Analysis
of Sediment Yields at Watershed Scale using Area/Slope-Based Sediment Delivery Ratio
in SATEEC, Journal of Korean Society on Water Environment, Park, Y. S., Kim, J. G.,
Kim, N. W., Kim, K. S., Choi, J. D., and Lim, K. J. (2007). Analysis of Sediment Yields
at Watershed Scale using Area/Slope-Based Sediment Delivery Ratio in SATEEC, Journal
of Korean Society on Water Environment, 23(5), pp. 650-658. [Korean Literature], Vol.
23, No. 5, pp. 650-658

PΓ€tzold S., Klein C., BrΓΌmmer G. W., 2007, Run-off Transport of Herbicides During
Natural and Simulated Rainfall and Its Reduction by Vegetated Filter Strips, Soil
Use and Management, PΓ€tzold, S., Klein, C., and BrΓΌmmer, G. W. (2007). Run-off Transport
of Herbicides During Natural and Simulated Rainfall and Its Reduction by Vegetated
Filter Strips, Soil Use and Management, 23(3), pp. 294-305., Vol. 23, No. 3, pp. 294-305

Schmitt T. J., Dosskey M. G., Hoagland K. D., 1999, Filter Strip Performance and Processes
for Different Vegetation, Widths, and Contaminants, Journal of Environmental Quality,
Schmitt, T. J., Dosskey, M. G., and Hoagland, K. D. (1999). Filter Strip Performance
and Processes for Different Vegetation, Widths, and Contaminants, Journal of Environmental
Quality, 28(5), pp. 1479-1489., Vol. 28, No. 5, pp. 1479-1489

Shan N., Ruan X. H., Xu J., Pan Z. R., 2014, Estimating the Optimal Width of Buffer
Strip for Nonpoint Source Pollution Control in the Three Gorges Reservoir Area, China,
Ecological Modelling, Shan, N., Ruan, X. H., Xu, J., and Pan, Z. R. (2014). Estimating
the Optimal Width of Buffer Strip for Nonpoint Source Pollution Control in the Three
Gorges Reservoir Area, China, Ecological Modelling, 276, pp. 51-63., Vol. 276, pp.
51-63

White M. J., Arnold J. G., 2009, Development of a Simplistic Vegetative Filter Strip
Model for Sediment and Nutrient Retention at the Rield Scale, Hydrological Processes,
White, M. J. and Arnold, J. G. (2009). Development of a Simplistic Vegetative Filter
Strip Model for Sediment and Nutrient Retention at the Rield Scale, Hydrological Processes,
23(11), pp. 1602-1616., Vol. 23, No. 11, pp. 1602-1616
