벤추라 제이알
(Jey-R Sabado Ventura)
*
남지현
(Ji-Hyun Nam)
**
양빈친
(Benqin Yang)
***
나리
(Ri Na)
**
길혜진
(Hyejin Kil)
**
남덕현
(Deok-Hyeon Nam)
****
강기훈
(Ki-Hoon Kang)
****
장덕진
(Deokjin Jahng)
**†
Copyright © 2015, Korean Society on Water Environment
Key words(Korean)
ATP, Excess sludge, NAD(P)H, OSA, Wastewater treatment
1. Introduction
Majority of wastewater treatments plants worldwide uses the conventional activated
sludge (CAS) system to treat municipal and industrial wastewaters (Liu, 2003). However, the high sludge production has been one of major limitations of the CAS
system (Liu and Tay, 2001; Liu, 2003; Wei et al., 2003) because sludge disposal has become an environmental challenge with its high treatment
cost, public awareness, and stringent disposal legislation. For sludge reduction,
various approaches including the use of thermal, mechanical, chemical, and biological
methods have been studied to disintegrate sludge flocs (Liu and Tay, 2001; Ødegaard, 2004; Wei et al., 2003). These methods, however, impose additional costs and possibly negative impacts to
the environment. Therefore, an internal treatment rather than a post-treatment might
be a desirable way to reduce sludge production.
The oxic-settling-anaerobic (OSA) process was developed to reduce the sludge production
by almost 50% (Chudoba et al., 1991). The OSA is composed of oxic tank, settling tank, and anaerobic or sludge holding
tank (SHT) wherein sludge is recirculated to oxic tank. Therefore activated sludge
experiences the sequence of aerobic, anaerobic, and aerobic conditions. With this
flow system, OSA does not require additional chemicals or air for sludge reduction
except for the expense of SHT construction and operation (Chudoba et al., 1991; Chudoba, Chudoba et al., 1992; Chudoba, Morel et al., 1992). Although, reduced sludge production has been observed in OSA, its mechanism has
not yet been elucidated. Chudoba et al. (1991), Chudoba, Chudoba et al. (1992), Chudoba, Morel et al. (1992) and Chen et al. (2003) suggested that sludge reduction in OSA might be attained by energy uncoupling, domination
of slow growers, soluble microbial products effect, and sludge decay in the SHT under
low oxidation-reduction potential. Others assumed that SHT play a critical role in
reducing sludge production (Chen et al. 2003; Chudoba et al., 1991; Chudoba, Chudoba et al., 1992; Chudoba, Morel et al., 1992).
In order to better understand the mechanism of reduction of excess sludge in OSA process,
this study investigated the intracellular concentrations of adenosine triphosphate
(ATP) and nicotinamide adenine dinucleotide phosphate [NAD(P)H] of activated sludge
that experienced the sequence of oxicanaerobic-oxic conditions mimicking OSA process.
Speculations have been presented on the significant sludge reduction potential of
the OSA process, however, no study have dealt so far on the intracellular energy measurement
of the OSA process. ATP is obtained through cell metabolism and used for biomolecule
synthesis, movement, and cell division. The coenzymes, NADH and NADPH, are also considered
as biological energy carriers. NADH is involved in cellular catabolic activity (chemical
reactions that break down macromolecules) while NADPH is mostly involved in anabolism
(chemical reactions that build up macromolecules) (Stephanopoulos et al., 1998).
ATP as an indicator of microbial activity has been investigated lately in activated
sludge system (Androeottola et al., 2002; Chen et al., 2000; Dalzell and Crisotofi, 2002; Pelkonen and Tenno, 1993; Zhang and Yamamoto, 1996), drinking water (Boe-Hansen et al., 2002; Lautenschlager et al., 2013; Liu et al., 2013), aquatic environments (Hammes et al., 2010; Takamatsu et al., 1996) and compost (Horiuchi et al., 2003). On the other hand, the NAD(P)H were also measured to monitor the degradation performance
of the biological wastewater treatment processes (Brdjanovic et al., 1999; Farabegoli et al., 2003; Kuba et al., 1994; Vassos, 1993; Wos and Pollard, 2006).
The objective of the study was to monitor the energy level of activated sludge growing
in oxic-anaerobic-oxic sequence, in which sludge reduction of OSA could be explained.
To effectively evaluate intracellular activities, culture conditions such as detention
time, COD level, and temperature of the anaerobic stage intervening the 1st and 2nd aerobic stages were varied, the concentrations of energy substances of the 2nd aerobic stage were measured and compared to those of the 1st aerobic stage. No study had been presented lately on the understanding of the intracellular
mechanism of sludge reduction in OSA process. Thus, results of this study might provide
scientific explanation for the decreased sludge production of the OSA process.
2. Materials and Methods
2.1. Activated Sludge Preparation
The activated sludge was obtained from Yongin Respia wastewater treatment plant, Yongin,
South Korea. In order to adjust the concentration of mixed liquor suspended solids
(MLSS), the activated sludge was centrifuged at 4000 rpm for 20 min and resuspended
to be 4000 mg/L in a synthetic wastewater. The synthetic wastewater was composed of
150 mg/L glucose, 150 mg/L monosodium glutamate, 60 mg/L urea, 6 mg/L CaCl2, 5.1 mg/L MgSO4・7H2O, 2.1 mg/L KH2PO4, 9.02 mg/L K2HPO4, 90 mg/L Na2CO3, 45 mg/L NaHCO3, and 15 mg/L NaCl. The measured chemical oxygen demand (COD) and total nitrogen (TN)
of the synthetic wastewater were around 250 mg/L and 40 mg/L, respectively. If necessary,
COD concentration of this synthetic wastewater was varied by changing glucose concentration.
MLSS concentration gradually decreased from 4000 mg/L and stabilized at 1300-1500
mg/L during the aerobic cultivation in this synthetic wastewater. The activated sludge
was then acclimated for a few weeks to this synthetic wastewater in a 6.5 L aerobic
(0.5 L/min air purging) reactor (diameter, 17.7 cm; height, 26.8 cm).
2.2. Reactor Setup
From the acclimation reactor, 300 mL of the mixed liquor was centrifuge at 4000 rpm
and 4℃ for 20 min and resuspended in the same volume of the synthetic wastewater (1300-1500
mg MLSS/L). The prepared mixed liquor was incubated in the 1st aerobic cylindrical reactor (diameter of 4 cm) with the constant aeration of 2 mL/min
(Fig. 1). The sludge cultivated in the 1st aerobic reactor was then fed, resuspended in the same synthetic wastewater, and transferred
to the anaerobic reactor. The anaerobic reactor containing the transferred sludge
was flushed first with N2 gas for 5-10 min and then intermittently purged with N2 gas (1 min on, 30 min off) to maintain anaerobicity of the culture. The configuration
of the reactor was identical to the aerobic reactor capped with rubber stopper to
avoid oxygen penetration. The measured dissolved oxygen in the culture was at 0.05±0.02
mg/L. Finally, the mixed liquor of the anaerobic reactor was again transferred to
the 2nd aerobic reactor in the same manner after several hours of cultivation under the anaerobic
condition. All cultivation was carried out at room temperature and the aeration rate
of the 2nd aerobic reactor was set at 2 mL/min.
Fig. 1.
The mimicked OSA system with the acclimation reactor, 1st aerobic reactor, anaerobic reactor, and 2nd aerobic reactor.
2.3. Changes of Anaerobic Culture Conditions
In order to elucidate the effects of various conditions of the intervening anaerobic
culture on the changes of intracellular concentrations of energy substances in the
2nd aerobic reactor, SCOD concentration, temperature, and cultivation time of the anaerobic
culture were varied. All tests were done in batch cultures. For varying SCOD concentration
in the anaerobic reactor, the sludge mixture was cultivated first under aerobic condition
in the fresh synthetic wastewater with an initial SCOD concentration of 250 mg/L.
After 5 h of incubation in the 1st aerobic reactor, the suspended solids were harvested by centrifugation and resuspended
in the synthetic wastewater containing different SCOD levels (250 mg/L, 50 mg/L, and
25 mg/L) by adjusting the glucose concentration of the medium and incubated for 5
h. The sludge of the anaerobic cultures were then transferred into the 2nd aerobic reactor and incubated in the synthetic wastewater with 250 mg SCOD/L for
5 h.
For investigating the effect of incubation temperature of the anaerobic stage, four
aerobic reactors were separately cultivated first at room temperature. Activated sludge
of each reactor was then harvested, resuspended in the fresh synthetic wastewater
containing 25 mg SCOD/L, added into four anaerobic reactors for 5 h at 25, 30, 35
and 40℃, respectively. Then, the sludge was transferred to the 2nd aerobic stage containing the fresh synthetic wastewater (250 mg SCOD /L) and cultivated
for 5 h at room temperature.
Retention time of anaerobic stage which was equivalent to the holding time of SHT
of OSA process, was also varied. Activated sludge grown in aerobic reactor was transferred
to five anaerobic reactors and incubated for 2, 4, 6, 9, and 12 h. Sludge from each
reactor was harvested and transferred in the 2nd aerobic stage for 5 h. The initial concentrations of SCOD in both aerobic reactors
and anaerobic reactors were set at around 250 mg/L and 25 mg/L, respectively.
2.4. Analytical Methods
TSS, VSS, and COD were measured according to the Standard Methods (APHA, 2005). The NADt (total NAD comprising NAD and NADH) and NADH (Biovision K337, CA, USA),
NADPt (total NADP comprising NADP and NADPH) and NADPH (Biovision K347, CA, USA),
and ATP (PerkinElmer 6016941, MA, USA) were assayed following the procedures provided
with the kits. The NADt and NADPt were treated without heating, while the NADH and
NADPH samples were thermally incubated at 60℃ for 30 min prior to the addition of
the NAD(P) cycling mix. After adding the NAD(P)H developer at room temperature for
2 h, the absorbance of NAD(P)t and NAD(P)H were read at 450 nm (Thermo spectronic
Genesis 20, WI, USA). The ATP assay system was based on the production of light caused
by the reaction of ATP with added luciferase and D-luciferin. Light intensity was
measured using the TD-20/20 luminometer (Turner Biosystems, Sunnyvale, CA).
Samples for NADH, NADPH, and ATP assays were prepared by lyzing the sludge sample
in a lytic buffer containing 20 mM Tris-HCl, 2 mM EDTA (pH 8.0), 1.2% (v/v) Triton
X-100, and 10 mg/mL lysozyme. The sample containing the lytic buffer was then incubated
at 37℃ for 30 min prior to analysis. The samples used for NAD(P)t, NAD (P)H, and ATP
assays were concentrated 6x prior to bacterial lysis. After lysis and centrifugation
at 12000 rpm for 10 min at 4℃, 1.5 and 1 mL supernatant was set aside for the NAD
(P)H and ATP assays, respectively.
3. Results and Discussion
3.1. Sludge Cultivation under Aerobic and Anaerobic Conditions
In order to compare the cellular energy level between aerobic and anaerobic cultures,
batch culture of activated sludge sample from the acclimation reactor (aerobic) was
transferred to aerobic and anaerobic reactors containing initial SCOD concentration
of 550 mg/L. SCOD concentration was increased to 550 mg/L from around 250 mg/L by
enhancing glucose concentration of the synthetic wastewater to enlarge difference
of energy levels between two conditions. Fig. 2 shows the intracellular concentrations of the NAD(P)t (total concentrations of reduced
and oxidized forms) and NAD(P)H (reduced forms), and ATP extracted from the activated
sludge grown in aerobic and anaerobic cultures for 28 h. Initial concentrations of
both NADt and NADH were 320.4 and 303.8 pmol/mg TSS, respectively. In the early stage
of aerobic cultivation, the concentrations of NADt and NADH rapidly decreased and
finally reached 28.0% and 6.6% of the initial concentrations, respectively, after
28 h of incubation. The aerobic culture, however, showed an almost constant NADt level
(4.5% decrease) and slightly decreased NADH concentration (23% decrease) after 28
h of incubation.
Fig. 2.
Time course concentrations of (a) NADt and NADH, (b) NADPt and NADPH, and (c) ATP
of the activated sludge grown in aerobic and anaerobic conditions.
The NADPt and NADPH levels were also measured in both conditions (Fig. 2(b)). The concentrations of NADPt of both the aerobic and anaerobic reactors slowly decreased
by 15.3% and 8.1%, respectively. The NADPH level of the anaerobic reactor, however,
rapidly decreased during the first 5 h of cultivation as NADt and NADH did. In case
of ATP concentration, a significant decrease was also observed in the anaerobic reactor
(Fig. 2(c)) while aerobic cultivation showed slow decrease of ATP concentration. From the initial
ATP concentration of 1053.9 pmol/mg TSS, its concentration in the anaerobic reactor
decreased by 47.9% while that of the aerobic reactor showed a decrease of 26.9% after
28 h of cultivation. From these observations, it was suspected that concentrations
of NADt, NADH, NADPH, and ATP decreased due to the environmental shift from aerobic
to anaerobic state. When microorganisms growing in aerobic condition are moved to
anaerobic condition, they begin to use the stored energy in the form of ATP and NADPH.
This phenomenon was also observed in the study of Chudoba, Morel et al. (1992), wherein intracellular energy or ATP was completely consumed by microorganisms for
cell maintenance during the anaerobic state in the OSA process. In the acclimation
reactor (aerobic), the cells were active and the production of intracellular energy
was high thus enabling a vigorous growth. After transferring to the anaerobic stage,
the cells were starved due to the sudden change of environment. The starvation led
to the utilization of the intracellular energies (ATP, NAD(PH)) for cell maintenance
(Chudoba, Chudoba et al., 1992; Chudoba, Morel et al., 1992). As a result, concentrations of energy substances in the anaerobic reactor appeared
lower than those of aerobic reactor.
3.2. Sequential Cultivation through 1st Aerobic-anaerobic-2nd Aerobic Conditions
As shown above, anaerobic cultivation contained lower levels of cellular energy than
aerobic culture. Therefore, it could be presumed that energy level of activated sludge
was lowered in SHT of OSA process when transferred from the oxic tank. For understanding
more OSA process in terms of energy metabolism, it was necessary to monitor changes
of concentrations of energy substances when activated sludge was transferred from
anaerobic condition (SHT) back to oxic condition. In other words, it was needed to
determine the intracellular energy levels of the activated sludge experiencing anaerobic
condition in the middle of aerobic cultivation. Thus, sequential cultivation through
aerobic-anaerobic-aerobic conditions was carried out. Each reactor at room temperature
was provided with the fresh synthetic wastewater and cultured for 5 h. As shown in
Fig. 3(a), the NADt and NADH levels of the 1st aerobic reactor were 101.56 and 35.76 pmol/mg TSS, respectively, and the concentrations
of these two substances of the 2nd aerobic reactor were only 50.02 and 15.38 pmol/mg TSS, respectively. ATP concentration
of the 2nd aerobic reactor also reduced by 54.1% with respect to the 1st aerobic concentration of 3615 pmol/mg TSS (Fig. 3(c)). In case of NADPH, although its concentration in the 1st aerobic culture appeared extraordinarily low with unknown reasons, the concentration
of the 2nd aerobic reactor was lower than that of the anaerobic reactor as other energy substances
(Fig. 3(b)). Meanwhile NADPt concentration behaved similarly to NADt, NADH, and ATP. Overall,
the concentrations of NADPt, NADPH, and ATP of the 2nd aerobic reactor were reduced by more than 50% with respect to those of the 1st aerobic reactor. This might indicated that anaerobic condition caused strong metabolic
stresses in the following aerobic stage when transferred from anaerobic condition
to aerobic condition. For recovering from these stresses, it was thought that cells
used energy substances so that intracellular energy level became low in the 2nd aerobic stage. In CAS system, ATP concentrations were found to be in the range of
1500-8000 pmol/mg TSS (Levin et al., 1975; Whalen et al., 2006). In comparison, the measured ATP levels in the anaerobic reactor of the simulated
OSA process was much lower than the CAS system. In this condition, there would be
insufficient energy for cell growth. Thus, in OSA process, it could be expected that
sludge production could be achievable (Chudoba et al., 1991).
Fig. 3.
Intracellular concentrations of energy substances of the 1st aerobic-anaerobic-2nd aerobic sequential cultures mimicking the OSA process. Concentrations were measured
for 5 h grown activated sludge in each reactor. (a) NADt and NADP, (b) NADPt and NADPH,
and (c) ATP.
3.3. Effect of SCOD Concentration in Anaerobic Stage on Energy Level of the 2nd Aerobic Stage
Since the intervening anaerobic stage decreased energy level in the 2nd aerobic reactor, cultivation conditions of the anaerobic stage were varied to investigate
their effects on energy level of the 2nd aerobic stage. For this, three anaerobic reactors were filled with fresh synthetic
wastewater with different concentrations of SCOD (25, 50, and 250 mg/L) and added
with activated sludge from the 1st aerobic reactor. As shown in Fig. 4, concentrations of energy substances in the 2nd aerobic reactors were again much lower than those of the 1st aerobic reactor. An average of 37.64 and 36.44%, 80.78 and 82.16%, 38.09 and 40.61%,
55.87 and 60.41%, and 50.07 and 43.01% reduction in NADt, NAHD, NADPt, NADPH, and
ATP, respectively, were observed in the 2nd aerobic reactors containing sludge transferred from anaerobic reactors with 250 and
50 mg SCOD/L added cultures. On the other hand, the 2nd aerobic culture with the lowest SCOD concentration (25 mg SCOD/L) showed that the
final NADt, NADH, NADPt, NADPH, and ATP concentrations were reduced by 48.49%, 88.29%,
53.16%, 72.54% and 59.79% with respect to those of the 1st aerobic culture, respectively. Likewise, the anaerobic reactors showed similar trend
to the 2nd aerobic culture wherein the 250 and 50 mg SCOD/L added culture did not show a significant
difference in terms of intracellular energy reduction, but 25 mg SCOD/L containing
culture contained the lowest. Based on these results, it was concluded that the addition
of substrate into the anaerobic stage might hinder intracellular energy reduction
in the following aerobic culture. In OSA process, SCOD concentration of SHT should
be the same as that of effluent. Since the effluent SCOD is needed to be as low as
possible, activated sludge transferred from the SHT would contain a low level of cellular
energy, which would result in reduced sludge production.
Fig. 4.
Concentrations of energy substances of the 1st aerobic, SCOD-varied anaerobic, and
the 2nd aerobic cultures. (a) NADt and NADP, (b) NADPt and NADPH, and (c) ATP. The 2nd aerobic cultures of a, b, and c represent that sludge was transferred from the anaerobic
reactors with the initial SCOD concentrations of 250 (a), 50 (b), and 25 mg /L (c),
respectively.
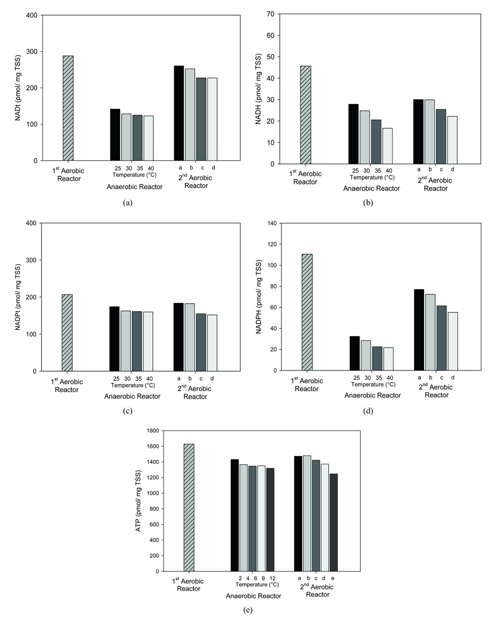
3.4. Effect of Temperature of the Anaerobic Stage on Energy Level of the 2nd Aerobic Stage
The effect of temperature in the anaerobic reactor ranging from 25℃ to 40℃ was also
investigated. As before, the activated sludge was grown first in the 1st aerobic reactor at room temperature for 5 h before it was subjected to different
temperature conditions in the anaerobic stage. After 5 h of anaerobic culture, sludge
was transferred to the 2nd aerobic reactor and cultivated for another 5 h. As shown in Fig. 5, the NAD(P)t, NAD(P)H, and ATP concentrations of the 2nd aerobic reactors decreased compared to the 1st aerobic reactor. For all forms of energy substances, a higher temperature of the
anaerobic stage yielded lower concentrations in the anaerobic and the 2nd aerobic reactors compared to the 1st aerobic reactor. Based on Fig. 5, decrease rate was almost linear with respect to temperature of the anaerobic reactor.
Thus it could be concluded that a higher temperature in SHT of OSA process could lower
the intracellular energy production in the oxic tank. Although, temperature lower
than 25℃ was not investigated in this study, mild temperature condition could alleviate
metabolic stresses of cells experiencing abrupt changes in respiratory conditions.
On the other hand, the operation of the anaerobic stage at an elevated temperature
might be more effective for reducing the biomass yield of the process than the operation
at the identical temperature.
Fig. 5.
Intracellular levels of energy substances of activated sludge in the 1st aerobic, temperature-varied anaerobic, and 2nd aerobic cultures. (a) NADt, (b) NADH, (c) NADPt, (d) NADPH, and (e) ATP. The 2nd aerobic cultures of a, b, c, and d were transferred from the anaerobic reactors with
cultivation temperature of 25, 30, 35 and 40℃, respectively.
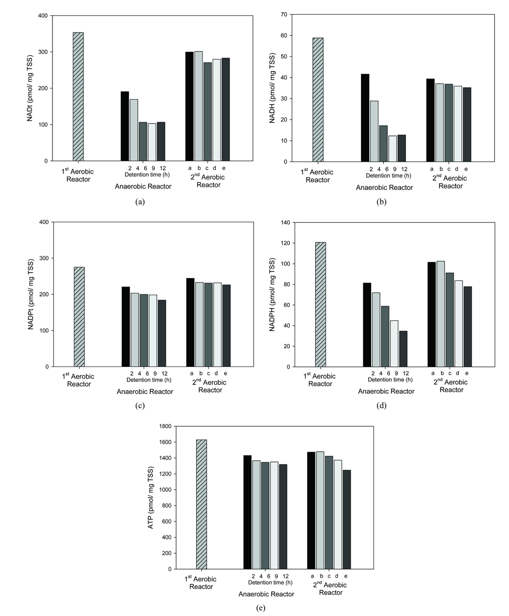
3.5. Effect of Detention Time of the Anaerobic Stage on the Energy Level of the 2nd Aerobic Stage
Lastly, the anaerobic stage was subjected to different detention times (2, 4, 6, 9,
and 12 h). As shown in Fig. 6, a similar trend of concentrations of energy substances was observed for the 1st aerobic, anaerobic, and 2nd aerobic reactors. The energy levels decreased in the anaerobic stage, which then
recuperated in the 2nd aerobic reactor. Roughly, concentrations of energy substance in the anaerobic reactor
decreased more when the detention time was longer. From the initial 353.31 pmol NADt/mg
TSS, 58.80 pmol NADH/mg TSS, 275.11 pmol NADPt/mg TSS, 120.75 pmol NADPH/mg TSS, and
1628.57 pmol ATP/mg TSS in the 1st aerobic reactor, the concentrations were reduced to 23.4%, 40.19%, 17.74%, 35.60%,
and 23.48%, respectively, in the anaerobic reactor. Finally, when the anaerobic cultures
were transferred to the 2nd aerobic reactor, the decrease of the NADt, NADH, NADPt, NADPH, and ATP were up to
19.9%, 40.2%, 17.7%, 35.6%, and 23.5%, respectively, compared to the 1st aerobic reactor. These results indicate that a longer holing time of SHT in OSA process
might result in lower biomass production in oxic tank.
Fig. 6.
Intracellular levels of energy substances in the 1st aerobic, detention-time-varied anaerobic, and the 2nd aerobic cultures. (a) NADt, (b) NADH, (c) NADPt, (d) NADPH, and (e) ATP. The 2nd
aerobic cultures of a, b, c, d, and e were transferred from the aerobic reactors with
detention time of 2, 4, 6, 9 and 12 h, respectively.
From these experiments, it was clearly confirmed that intervening an aerobic stage
lowered the intracellular energy levels in aerobic cultivation of activated sludge.
Since the 1st aerobic, anaerobic, and the 2nd aerobic cultivation mimicked the OSA process, it was concluded that a low biomass
yield could be achieved in the OSA process might be due to decreased energy levels
of activated sludge that experiences anaerobic condition in the middle of aerobic
environment.
3.6. Summary of Distribution of Energy Substances
Fig. 7 illustrates the distribution pattern and summary of the intracellular energy substances
concentrations of all experiments. The fluctuations in the measurement of the intracellular
energy might be brought by the sensitivity of the analysis. Nonetheless, it was observed
that the highest energy concentration was found in the 1st aerobic reactor while the anaerobic culture showed the lowest. The energy level of
the 2nd aerobic reactor was slightly higher than the anaerobic reactor but remarkably lower
than the 1st aerobic reactor. In some cases, the NADPH level nearly approached 0 pmol/mg TSS,
which indicated that microbial consumption of these energy carriers for cell maintenance
was active. In particular, lower energy level of the 2nd aerobic reactor, relative to the 1st aerobic reactor, indicated that energy consumption was severe due to metabolic stresses
caused by changes of respiratory mechanisms. These measurements of intracellular energy
level during cultivation showed to be effective in monitoring the activity of the
cells, which could then utilized for understanding the overall biomass production.
Until today, no proper explanation for the sludge reduction in OSA process was suggested,
and this study possibly provides scientific mechanism for the sludge reduction in
the OSA process.
Fig. 7.
Distribution of intracellular energy substances in (a) 1st aerobic, (b) anaerobic, and (c) 2nd aerobic reactors.
4. Conclusions
The results obtained in this study showed that under batch conditions the highest
observed intracellular energy levels (NAD(P)t, NAD(P)H, and ATP) were in the 1st aerobic reactor of the simulated OSA process. On the other hand, the lowest levels
were found in the anaerobic reactor. This justified that the reduced sludge production
in OSA process is mainly brought by the insertion of the anaerobic reactor. Moreover,
adjusting the SCOD level, detention time, and temperature of the anaerobic reactor
also affected the performance of the OSA process. Lower SCOD (<50 mg/L) concentration,
higher temperature (>25℃) and higher detention time (>4 h) were found to further reduce
the intracellular energy levels in both anaerobic and 2nd aerobic culture. Therefore, this study did not only provide a better understanding
of the mechanism of sludge reduction but also supply possible ways to monitor and
optimize OSA process through intracellular energy levels measurement.
Acknowledgements
This study was supported by Daelim Industrial Co., Ltd., Korea.
References
(2005), Standard Methods for the Examination of Water and Wastewater, American Public
Health Association (APHA). (2005). Standard Methods for the Examination of Water and
Wastewater, 21st Edition, American Public Health Association, Washington, D. C. USA.

Andreottola G., Baldassarre L., Collivignarelli C., Pedrazzani R., Principi P., Sorlini
C., Ziglio G., (2002), A Comparison among Different Methods for Evaluating the Biomass
Activity in Activated Sludge Systems: Preliminary Results, Water Science and Technology,
Andreottola, G., Baldassarre, L., Collivignarelli, C., Pedrazzani, R., Principi, P.,
Sorlini, C., and Ziglio, G. (2002). A Comparison among Different Methods for Evaluating
the Biomass Activity in Activated Sludge Systems: Preliminary Results, Water Science
and Technology, 46(1-2), pp. 413-417., Vol. 46, No. 1-2, pp. 413-417

Boe-Hansen R., Albrechtsen H., Arvin E., Jørgensen C., (2002), Bulk Water Phase and
Biofilm Growth in Drinking Water at Low Nutrient Conditions, Water Research, Boe-Hansen,
R., Albrechtsen, H., Arvin, E., and Jørgensen, C. (2002). Bulk Water Phase and Biofilm
Growth in Drinking Water at Low Nutrient Conditions, Water Research, 36(18), pp. 4477-4486.,
Vol. 36, No. 18, pp. 4477-4486

Brdjanovic D., Loosdrecht M., Hooijmans C. M., Mino T., Alaerts G. J., Heijnen J.
J., (1999), Innovative Methods for Sludge Characterization in Biological Phosphorus
Removal Systems, Water Science and Technology, Brdjanovic, D., Loosdrecht, M., Hooijmans,
C. M., Mino, T., Alaerts, G. J., and Heijnen, J. J. (1999). Innovative Methods for
Sludge Characterization in Biological Phosphorus Removal Systems, Water Science and
Technology, 39(6), pp. 37-43., Vol. 39, No. 6, pp. 37-43

Chen G., An K., Saby S., Brois E., Djafer M., (2003), Possible Cause of Excess Sludge
Reduction in an Oxicsettling-anaerobic Activated Sludge Process (OSA Process), Water
Research, Chen, G., An, K., Saby, S., Brois, E., and Djafer, M. (2003). Possible Cause
of Excess Sludge Reduction in an Oxicsettling-anaerobic Activated Sludge Process
(OSA Process), Water Research, 37(16), pp. 3855-3866., Vol. 37, No. 16, pp. 3855-3866

Chen G., Mo H., Saby S., Yip W., Liu Y., (2000), Minimization of Activated Sludge
Production by Chemically Stimulated Energy Spilling, Water Science and Technology,
Chen, G., Mo, H., Saby, S., Yip, W., and Liu, Y. (2000). Minimization of Activated
Sludge Production by Chemically Stimulated Energy Spilling, Water Science and Technology,
42(12), pp. 189-200., Vol. 42, No. 12, pp. 189-200

Chudoba P., Chang J., Capdeville B., (1991), Synchronized Division of Activated Sludge
Microorganisms, Water Research, Chudoba, P., Chang, J., and Capdeville, B. (1991).
Synchronized Division of Activated Sludge Microorganisms, Water Research, 25(7),
pp. 817-822., Vol. 25, No. 7, pp. 817-822

Chudoba P., Chudoba J., Capdeville B., (1992), The Aspect of Energetic Uncoupling
of Microbial Growth in the Activated Sludge Process-OSA System, Water Science and
Technology, Chudoba, P., Chudoba, J., and Capdeville, B. (1992). The Aspect of Energetic
Uncoupling of Microbial Growth in the Activated Sludge Process-OSA System, Water Science
and Technology, 26(9-11), pp. 2477-2480., Vol. 26, No. 9-11, pp. 2477-2480

Chudoba P., Morel A., Capdeville B., (1992), The Case of Both Energetic Uncoupling
and Metabolic Selection of Microorganisms in the OSA Activated Sludge System, Environmental
Technology, Chudoba, P., Morel, A., and Capdeville, B. (1992). The Case of Both Energetic
Uncoupling and Metabolic Selection of Microorganisms in the OSA Activated Sludge
System, Environmental Technology, 13(8), pp. 761-770., Vol. 13, No. 8, pp. 761-770

Dalzell D. J., Christofi N., (2002), An ATP Luminescence Method for Direct Toxicity
Assessment of Pollutants Impacting on the Activated Sewage Sludge Process, Water
Research, Dalzell, D. J. and Christofi, N. (2002). An ATP Luminescence Method for
Direct Toxicity Assessment of Pollutants Impacting on the Activated Sewage Sludge
Process, Water Research, 36(6), pp. 1493-1502., Vol. 36, No. 6, pp. 1493-1502

Farabegoli G., Hellinga C., Heijnen J., Van Loosdrecht M., (2003), Study on the Use
of NADH Fluorescence Measurements for Monitoring Wastewater Treatment Systems, Water
Research, Farabegoli, G., Hellinga, C., Heijnen, J., and Van Loosdrecht, M. (2003).
Study on the Use of NADH Fluorescence Measurements for Monitoring Wastewater Treatment
Systems, Water Research, 37(11), pp. 2732-2738., Vol. 37, No. 11, pp. 2732-2738

Hammes F., Goldschmidt F., Vital M., Wang Y., Egli T., (2010), Measurement and Interpretation
of Microbial Adenosine Tri-phosphate (ATP) in Aquatic Environments, Water Research,
Hammes, F., Goldschmidt, F., Vital, M., Wang, Y., and Egli, T. (2010). Measurement
and Interpretation of Microbial Adenosine Tri-phosphate (ATP) in Aquatic Environments,
Water Research, 44(13), pp. 3915-3923., Vol. 44, No. 13, pp. 3915-3923

Horiuchi J., Ebie K., Tada K., Kobayashi M., Kanno T., (2003), Simplified Method for
Estimation of Microbial Activity in Compost by ATP Analysis, Bioresour Technology,
Horiuchi, J., Ebie, K., Tada, K., Kobayashi, M., and Kanno, T. (2003). Simplified
Method for Estimation of Microbial Activity in Compost by ATP Analysis, Bioresour
Technology, 86(1), pp. 95-98., Vol. 86, No. 1, pp. 95-98

Kuba T., Wachtmeister A., Van Loosdrecht M., Heijnen J., (1994), Effect of Nitrate
on Phosphorus Release in Biological Phosphorus Removal Systems, Water Science and
Technology, Kuba, T., Wachtmeister, A., Van Loosdrecht, M., and Heijnen, J. (1994).
Effect of Nitrate on Phosphorus Release in Biological Phosphorus Removal Systems,
Water Science and Technology, 30(6), pp. 263-269., Vol. 30, No. 6, pp. 263-269

Lautenschlager K., Hwang C., Liu W., Boon N., Köster O., Vrouwenvelder H., Egli T.,
Hammes F., (2013), A Microbiology-based Multi-parametric Approach towards Assessing
Biological Stability in Drinking Water Distribution Networks, Water Research, Lautenschlager,
K., Hwang, C., Liu, W., Boon, N., Köster, O., Vrouwenvelder, H., Egli, T., and Hammes,
F. (2013). A Microbiology-based Multi-parametric Approach towards Assessing Biological
Stability in Drinking Water Distribution Networks, Water Research, 47(9), pp. 3015-3025.,
Vol. 47, No. 9, pp. 3015-3025

Levin G.V., Schrot J. R., Hess W. C., (1975), Methodology for Application of ATP
Determination in Wastewater Treatment, Environmental Science and Technology, Levin,
G. V., Schrot, J. R., and Hess, W. C. (1975). Methodology for Application of ATP
Determination in Wastewater Treatment, Environmental Science and Technology, 9(10),
pp. 961-965., Vol. 9, No. 10, pp. 961-965

Liu G., Lut M., Verberk J., Van Dijk J., (2013), A Comparison of Additional Treatment
Processes to Limit Particle Accumulation and Microbial Growth during Drinking Water
Distribution, Water Research, Liu, G., Lut, M., Verberk, J., and Van Dijk, J. (2013).
A Comparison of Additional Treatment Processes to Limit Particle Accumulation and
Microbial Growth during Drinking Water Distribution, Water Research, 47(8), pp. 2719-2728.,
Vol. 47, No. 8, pp. 2719-2728

Liu Y., Tay J., (2001), Strategy for Minimization of Excess Sludge Production from
the Activated Sludge Process, Biotechnology Advances, Liu, Y. and Tay, J. (2001).
Strategy for Minimization of Excess Sludge Production from the Activated Sludge Process,
Biotechnology Advances, 19(2), pp. 97-107., Vol. 19, No. 2, pp. 97-107

Liu Y., (2003), Chemically Reduced Excess Sludge Production in the Activated Sludge
Process, Chemosphere, Liu, Y. (2003). Chemically Reduced Excess Sludge Production
in the Activated Sludge Process, Chemosphere, 50(1), pp. 1-7., Vol. 50, No. 1, pp.
1-7

Ødegaard H., (2004), Sludge Minimization Technologies-an Overview, Water Science and
Technology, Ødegaard, H. (2004). Sludge Minimization Technologies-an Overview, Water
Science and Technology, 49(10), pp. 31-40., Vol. 49, No. 10, pp. 31-40

Pelkonen M., Tenno R., (1993), New Control Parameters and Measurement Techniques for
the Activated Sludge Process, Water Science and Technology, Pelkonen, M. and Tenno,
R. (1993). New Control Parameters and Measurement Techniques for the Activated Sludge
Process, Water Science and Technology, 27(5-6), pp. 287-295., Vol. 27, No. 5-6, pp.
287-295

Stephanopoulos G., Aristidou A. A., Nielsen J., (1998), Metabolic Engineering: Principles
and Methodologies, Stephanopoulos, G., Aristidou, A. A., and Nielsen, J. (1998). Metabolic
Engineering: Principles and Methodologies, Academic Press, San Diego, California,
USA.

Takamatsu Y., Nishimura O., Inamori Y., Sudo R., Matsumura M., (1996), Effect of
Temperature on Biodegradability of Surfactants in Aquatic Microcosm System, Water
Science and Technology, Takamatsu, Y., Nishimura, O., Inamori, Y., Sudo, R., and Matsumura,
M. (1996). Effect of Temperature on Biodegradability of Surfactants in Aquatic Microcosm
System, Water Science and Technology, 34(7), pp. 61-68., Vol. 34, No. 7, pp. 61-68

Vassos T. D., (1993), Future Directions in Instrumentation, Control and Automation
in the Water and Wastewater Industry, Water Science and Technology, Vassos, T. D.
(1993). Future Directions in Instrumentation, Control and Automation in the Water
and Wastewater Industry, Water Science and Technology, 28(11-12), pp. 11-12., Vol.
28, No. 11-12, pp. 11-12

Wei Y., van Houten R. T., Borger A. R., Eikelnoom D. H., Fan Y., (2003), Minimization
of Excess Sludge Production for Biological Wastewater Treatment, Water Research,
Wei, Y., van Houten, R. T., Borger, A. R., Eikelnoom, D. H., and Fan, Y. (2003). Minimization
of Excess Sludge Production for Biological Wastewater Treatment, Water Research,
37(18), pp. 4453-4467., Vol. 37, No. 18, pp. 4453-4467

Wos M., Pollard P., (2006), Sensitive and Meaningful Measures of Bacterial Metabolic
Activity Using NADH Fluorescence, Water Research, Wos, M. and Pollard, P. (2006).
Sensitive and Meaningful Measures of Bacterial Metabolic Activity Using NADH Fluorescence,
Water Research, 40(10), pp. 2084-2092., Vol. 40, No. 10, pp. 2084-2092

Whalen P. A., Whalen P. J., Tracey D. R., (2006), Cellular ATP -A Superior Measure
of Active Biomass for Biological Wastewater Treatment Process, Whalen, P. A., Whalen,
P. J., and Tracey, D. R. (2006). Cellular ATP - A Superior Measure of Active Biomass
for Biological Wastewater Treatment Process, Water Environment Foundation (WEFTEC),
pp. 3005-3037., pp. 3005-3037

Zhang B., Yamamoto K., (1996), Seasonal Change of Microbial Population and Activities
in a Building Wastewater Reuse System Using a Membrane Separation Activated Sludge
Process, Water Science and Technology, Zhang, B. and Yamamoto, K. (1996). Seasonal
Change of Microbial Population and Activities in a Building Wastewater Reuse System
Using a Membrane Separation Activated Sludge Process, Water Science and Technology,
34(5), pp. 295-302., Vol. 34, No. 5, pp. 295-302
