The Journal of
the Korean Society on Water Environment

The Journal of
the Korean Society on Water Environment

Bimonthly
  • ISSN : 2289-0971 (Print)
  • ISSN : 2289-098X (Online)
  • KCI Accredited Journal

Editorial Office





Nak-dong River, Nutrient, Phosphorus, Sediment, Release, Water quality

1. Introduction

다양한 경로를 통해 수계로 유입되는 오염물질은 최종적으로 퇴적물에 축적된다. 유역으로부터 유입되어 수저에 쌓이는 모래, 점토, 유기물질, 광물질 등의 퇴적물은 하상의 변화와 유속의 저하에 의해 운반력이 약화된 곳에 쌓이거나 화학적으로 침전되는 것으로 이러한 퇴적물의 이동과 퇴적은 주로 유수에 의해 일어난다. 특히 우리나라의 하천과 같이 강우에 의한 유량 변동이 큰 수계는 집중 강우 시 많은 양의 퇴적물이 하천 하류나 호소 바닥 층으로 이동하여 축적되고, 이 과정에서 홍수나 준설 등으로 인해 퇴적물이 재 부유, 침식, 교란 등의 활동에 의해 오염물질이 용출되어 하천 및 호소의 수질에 심각한 영향을 미칠 수 있다(NIER, 2012).

우리나라는 기후변화에 따른 수해 예방과 부족한 수자원 확보를 위해 2011년부터 4대강의 정비사업을 실시하였고, 그 일환으로 4대강에 16개의 보가 건설되었다(MOLIT, 2009). 그러나 이와 같이 하천의 체류시간을 늘려 유량을 확보하는 보의 운영은 유역 환경의 큰 변화를 야기하며, 유속의 감소와 함께 수저 퇴적환경에 큰 변화를 일으킬 수 있다. 실제로 4대강 사업 이후, 4대강 중 가장 많은 8개의 보가 설치된 낙동강은 수심 및 수량 증가와 같은 물리적 변화로 인해 유역의 특성이 유수형 하천에서 정수형 호소로 전환되고 있으며, 하천의 흐름 정체로 보 상류의 유사거동에 많은 영향을 미치고 있다(Ahn et al., 2014).

이러한 퇴적환경 변화의 위험은 오염된 퇴적물이 수층과 물리·화학적 상호작용을 통해 수계내로 오염물질의 용출이 일어면서 지속적으로 수질을 저하시키는 내부 오염물질로 작용하는 것이라 할 수 있다. 따라서 앞으로 변화된 유역환경의 저층 퇴적물의 관리와 함께 오염원으로서의 작용을 최소화하기 위해 퇴적물에서 기인된 오염물질의 용출특성에 관한 연구가 다각도로 이루어져야 한다.

외국에서의 용출특성 연구는 Chesapeake Bay의 계절적 용출의 패턴과 조절 요소, 생태적 중요성에 관한 연구(Cowan and Boynton, 1996), 부영양화된 저수지의 퇴적물로부터 질소와 인의 용출비와 잠재적 위험성에 대한 연구(Nowlin et al., 2005), 호소에서 내부 용출 인을 관리 특성 연구(Hickey and Gibbs., 2009) 등이 있다. 국내에서는 대청호 유기퇴적물 분포 및 용출 특성 연구(Lee and Lee, 2004), 아산호 퇴적물에서 영양염류 용출특성에 관한 연구(Ki et al., 2010), 퇴적물의 영양염류 용출과 호기적 조건과의 상관성 분석(Cho et al., 2011) 등이 있으나 대부분 호소를 대상으로 한 것이며, 낙동강 내의 용출특성에 관한 연구도 Hwang et al. (2007)의 낙동강 퇴적물 내 중금속 존재 형태및 용출 가능성에 대한 연구, Kwon et al. (2012)의 부산신항 용원수로에서의 퇴적물 용출특성에 관한 연구 등 주로 하천 말단의 하구언이나 연안 퇴적물 등에 편중되어있는 실정이다. 최근 4대강 사업 완료 후 에는 Kim et al. (2013)이 남한강 보 구간 퇴적물의 영양염류 용출에 관한 연구를 수행하였다. 하지만 특히 보 건설 이전 하상의 대부분이 모래로 구성된 낙동강에서 보 건설 이후 변화된 환경과 이에 따른 용출특성연구는 미흡한 실정이다.

따라서 본 연구는 낙동강에서 보 건설 이후 변화된 환경에 따른 지점별 용출특성을 분석하여 연구하였다. 이를 위해 낙동강 중류의 강정고령보 상류 구간 6개 지점의 퇴적물을 채취하여 입도, 완전연소가능량, TOC, T-N, T-P, SRP 등 퇴적환경을 조사하였고, 각 지점별 용출실험을 실시하여 용출수의 pH, TOC 및 영양염류의 농도를 분석하였다.

2. Materials and Methods

2.1. 연구 대상 지역

본 연구의 대상 유역인 낙동강은 강원도 태백시 화전동 황지천 상류의 금태봉 동쪽 계곡에서 황지천을 따라 경북 봉화군 석포면에서 본류인 낙동강을 물줄기가 형성된다. 유역은 동경 127°29'19"~129°18'00", 북위 34°59'41"~37°12'52" 사이의 한반도 동남부에 위치하며, 북쪽으로는 한강유역, 서쪽으로는 금강 및 섬진강 유역과 접하고, 동쪽으로는 태백산맥이 동해안 유역과 분수령을 형성하고 있고, 남쪽으로는 낙동강 남해권역과 접해있다. 낙동강의 유역면적은 남한면적의 약 1/4인 23,817 km2, 유로연장은 521,5 km이며, 유역평균 표고는 EL. 291.2 m, 유역평균 경사는 32.3%이다. 낙동강 유역의 일반적인 특성은 산지가 많으며 하폭이 넓고 평탄하나 식생이 불량하여 침식이 심하고 유출이 불규칙하여 홍수와 한해의 피해가 크고 유사로 인한 하상변동이 특히 심하다.

연구대상구간은 낙동강수계의 강정고령보 상류 약 1.2 km지점이며, 행정범위는 대구광역시 달성군 다사읍, 경상북도 고령군 다산면 곽촌리 일원이다. 상류 합류되는 지류하천으로는 지방하천인 하빈천, 신천, 백천이 있으며, 강정고령보 하류에 국가하천인 금호강이 합류된다. 좌안에는 상수원보호구역으로 지정되어 있고, 급수인구가 160만명에 이르는 주요 취수구역인 강정취수장이 위치해 있다. 강정고령보가 위치해 있는 지점은 2000년에 기존 EL.15.6m로 유지되던 돌보가 철거되고 EL.14.6m로 운영될 수 있는 강정취수보가 건설되었으며, 현재는 EL.19.5m로 관리수위가 유지되는 강정고령보가 건설되어 있다(NIER, 2008; Lee et al., 2013).

2.2. 현장 시료의 채취

본 연구의 현장시료 채취는 강정고령보 상류 약 1.2~1.5 km 구간이며, 공간적 퇴적 환경 분석과 용출특성을 평가하기 위하여 약 200 m 간격으로 격자형 6개 지점을 선정하였다(Fig. 1) (Table 1). 시료의 채취는 퇴적물의 교란을 최소화하기위해 잠수부들이 직접 하상 퇴적층에 접근하여 Core상태의 시료를 채취하였다. 퇴적층 시료채취 용기 또한 용출반응조 크기에 맞게 제작하였으며, 퇴적층의 두께 약 10 cm를 교란 없이 채취 하였다. 이와 함께 각 지점별 퇴적환경조사를 위하여 용출시료채취 동일지점의 퇴적물을 추가 채취하여 퇴적물 분석시료로 사용하였다.

Fig. 1.

Map showing sampling site of study area in Nakdong-River.

../../Resources/kswe/31-6/images/SJBJB8_2015_v31n6_644_f001.jpg
Table 1.

Station number, Geographical position, and Water depth of the Sampling site in study area

../../Resources/kswe/31-6/images/SJBJB8_2015_v31n6_644_t001.jpg

2.3. 분석방법

각 지점별 퇴적물 분석항목은 입도(particles size), 완전연소가능량(Ignition loss), TOC (Total Organic Carbon), T-N (Total Nitrogen), T-P (Total Phosphorus), SRP (Soluble Reactive Phosphorus) 이다. 채취한 퇴적물 시료를 현장에서 2 mm 체로 거른 뒤 원심분리기로 수분을 제거하여 완전연소가능량과 입도 분석용 시료로 사용하였다. 이때 현장 시료에서 2 mm 이상의 자갈성분은 나오지 않았다. 또한 나머지 항목의 분석용 시료는 현장에서 2 mm 체로 거른 시료를 4℃이하 암소 보관하여 신속히 실험실로 이동한 후 서늘한 곳에서 풍건하였다. 수분이 제거되고 풍건이 끝난 시료는 다시 전량 분쇄하여 0.1 mm 체를 통과시켜 분석시료로 하였다. 용출 반응의 수질시료분석항목은 pH, TOC, T-N, NH3-N, NO3-N, NO2-N, T-P, PO4-P 이다. 각 항목의 분석은 수질오염공정시험법 및 하천·호소 등 퇴적물공정시험기준에 따라 분석하였다(MOE, 2012). 항목별 분석방법과 측정장비는 Table 2에 나타내었다.

Table 2.

Methods and instruments for analyses

../../Resources/kswe/31-6/images/SJBJB8_2015_v31n6_644_t002.jpg

2.4. 용출반응조

본 연구의 용출실험을 위해 원통형 용출 반응조를 제작하였으며 이를 Fig. 2에 나타내었다. 실험에 사용될 반응조는 아크릴 재질로 하였다. 반응조의 크기는 지름 22 cm, 높이 60 cm이며 퇴적물과 상등수의 부피를 약 1:4로 하여 용출실험을 진행하였다. 실험에 사용될 퇴적물 시료는 잠수부를 동원하여 직접 채취하였다. 반응조 설치시 교란을 최소화하기 위하여 반응조에 대상 퇴적물을 넣은 후, 퇴적물이 부유되거나 물리적인 충격에 의해 영양염류나 유기물이 용출되는 것을 최소화하기 위하여 벽면을 따라 조심스럽게 물을 채웠다. 시료를 주입한 후에는 조류의 광합성에 의한 산소 조건 변화 방지를 위하여 밀폐 및 차광 상태를 유지하였다. 호기성 상태를 유지하기 위하여 Air pump를 이용하여 산소(공기)를 공급하였다. 반응조 내부의 온도는 상온(20℃)를 유지하였다.

Fig. 2.

Schematic diagram of apparatus used for release experiment.

../../Resources/kswe/31-6/images/SJBJB8_2015_v31n6_644_f002.jpg

용출수의 수질시료채취는 2일 간격으로 9회, 최종 용출수 수질은 4일 후인 20일 시료를 채취 하였다. 수질채취시 각 반응조의 상등수 500 mL를 퇴적층의 교란에 주의하여 신속하게 실시하였고, 사용된 수량의 보충을 위해 수질 실험에 사용하는 증류수 500 mL를 주입하였다. 상등수 수질분석 후 희석된 실험수의 분석 값은 계산에 의해 보정하였다.

2.5. 용출속도

용출반응조의 실험결과를 바탕으로 용출속도를 구하여 지점별, 항목별 용출 특성 분석에 활용하였다.

용출속도는 퇴적물 표면으로부터 단위시간 동안 용출되는 물질의 양으로써 식 (1)로 나타낸다(Hieltjes and Lijklema, 1980).

../../Resources/kswe/31-6/images/SJBJB8_2015_v31n6_644_e901.jpg

여기서 A는 용출조의 바닥 면적(m2), V는 상등수 부피(L), C는 용출실험 전·후 농도(mg/L), t는 시간(day)이다.

용출속도 계산시 반응조에 보충된 증류수의 희석효과는 분석결과에서 계산하였다.

3. Results and Discussion

3.1. 퇴적환경 분석

본 연구에서 각 지점별 퇴적물 특성 분석을 위해 지점별 입도, 완전연소가능량, TOC, T-N, T-P, SRP 를 분석하였으며(Table 3), 각 지점들의 입도 분석결과를 Fig. 3에 나타내었다.

Table 3.

Physical and chemical characteristics of sediments used in the experiment

../../Resources/kswe/31-6/images/SJBJB8_2015_v31n6_644_t003.jpg
Fig. 3.

Particle distribution of sediments used in the experiment.

../../Resources/kswe/31-6/images/SJBJB8_2015_v31n6_644_f003.jpg

K1, K2번 지점의 실트 함량이 29.0%과 30.7%로 비슷했으며, K3과 K4번 지점이 각각 46.1%, 48.1%의 실트 함량으로 유사한 입도 범위를 나타내었다. K5번 지점과 K6번 지점은 실트함량이 각각 20.0%, 9.9%로 대상지점들 중 가장 낮았으며, 특히 K6번 지점의 점토 함량은 0%이고 모래함량이 90% 이상으로 나타났다. 분석 결과 강정고령보 우안 인 K3, K4번 지점의 실트와 점토 함량이 높고, 분석 지점들 중 상류 쪽 퇴적물인 K5, K6번 지점의 모래 함량이 상대적으로 높았다. 이는 강정고령보 상류 우안쪽에 세립한 입자의 퇴적이 활발하고, 부유 입자들이 강정고령보와 근접하면서 보의 근처에 세립한 입자들이 퇴적되는 것을 보여준다.

입도 분석 결과를 삼각다이어그램(Folk, 1968)에 도시하였다(Fig. 4). 퇴적물 유형을 자갈, 모래, 펄을 기준으로 구분하면 사질니(sandy Mud; sM), 니질사(muddy Sand; mS), 사(Sand; S)의 3가지 퇴적상으로 구분되었으며, 니질사 퇴적상이 주로 나타났다.

Fig. 4.

Triangular diagram showing sediment type of surface sediment in study area.

../../Resources/kswe/31-6/images/SJBJB8_2015_v31n6_644_f004.jpg

대상지역 퇴적물의 환경농도 평가를 위해 하천·호소 퇴적물 오염평가 기준(환경부예규 575호)과 비교하였다. 완전연소가능량 값은 2.46~6.61%로써 기준치인 13%에 19~51%의 값을 나타내며, T-N과 T-P의 분석결과도 각각 1,189~2,492 mg/kg, 333~726 mg/kg으로 기준치인 5,600 mg/kg, 1,600 mg/kg에 각각 21~45%, 21~45%의 값을 나타내었다.

일반적으로 퇴적물이 세립할수록 퇴적물의 오염 농도가 높게 나타나게 되는데(Kim et al., 2013), 본 연구에서도 입도 분포가 각각 비슷한 분포를 보인 K1-K2번, K3-K4번, K5-K6번 지점들의 퇴적물 분석농도가 비슷한 경향을 보였다.

한편 퇴적물에서 인의 형태 중 용출이 가장 쉬운 형태로 알려진 SRP의 값은 검출되지 않았다.

3.2. 항목별 용출특성분석

낙동강유역 강강정고령보 상류 1~1.5 km 구간에 6개 지점 퇴적물 시료의 용출반응 분석을 실시하였다.

3.2.1. pH 와 TOC

분석대상 지점별 pH와 TOC 누적용출속도를 나타내었다(Fig. 5, Fig. 6). 대상지점의 pH값은 모두 초기에 가장 높은 값을 나타내었고, 2일 후 가장 낮은 값을 나타내다가 4일후 안정되는 값을 보였다. 용출 속도는 초기 2일 −1.82 ~−1.28로 감소하였고 2일에서 4일까지 0.78~0.26로 가장 높은 값을 보였으며, 초기 pH 값에 비하여 20일 후 지점별로 7.8~9.2% 감소하는 값을 나타내었다. 이는 초기 현장수의 조류 등 미생물의 생산활동으로 비교적 높은 pH를 유지 하며, 반응조 투입 후 차광으로 인한 광합성 등 생산활동 감소로 인한 pH감소로 판단된다.

Fig. 5.

Variation of pH in the water column at the release experiment.

../../Resources/kswe/31-6/images/SJBJB8_2015_v31n6_644_f005.jpg
Fig. 6.

Variation of TOC release in the water column at the release experiment.

../../Resources/kswe/31-6/images/SJBJB8_2015_v31n6_644_f006.jpg

TOC의 경우도 모든 지점에서 초기에 가장 높은 값을 나타내었고, 지점별로 근소한 차이는 있지만 약 8일 이후 안정된 값을 나타내었다. 초기 TOC 값에 비하여 20일 후 지점별로 31.7~40.8% 감소하는 값을 나타내었다. 대상지점의 좌안인 K1, K6번 지점에서 40% 이상의 값들로 감소폭이 가장 크며, 우안 지점인 K3, K4번 지점에서 32% 감소로 상대적으로 작게 나타났다. 이는 수중 유기물 중 입자성 유기물이 초기에 부유되었다가, 유속이 없는 반응조에서 퇴적물 층으로 침전되어 수중 TOC 농도의 감소로 이어지는 것으로 판단된다.

3.2.2. N 계열

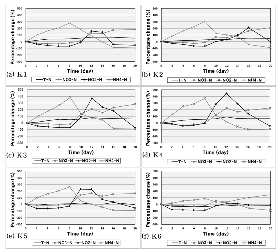
Table 4에 지점별 T-N, NH3-N, NO3-N, NO2-N 의 용출량을 나타내었으며, Fig. 7은 지점별 분석항목들의 증감 그래프를 나타내었다.

Table 4.

Release rate of nitrogen in the water column at the experiment

../../Resources/kswe/31-6/images/SJBJB8_2015_v31n6_644_t004.jpg
Fig. 7.

Variation of nitrogen (TN, NH3-N, NO3-N, NO2-N) in the water column at the release experiment.

../../Resources/kswe/31-6/images/SJBJB8_2015_v31n6_644_f007.jpg

T-N의 용출 반응 분석결과 각각의 지점에서 증가하는 경향을 나타내었으나, 20일 최종 T-N 값은 K5, K6번 지점에서 각각 10, 20% 감소하는 것으로 나타났다. 이는 K1~K4번 지점처럼 20일 후 용출반응 값이 초기 농도의 37~59% 증가하는 경향에 비해 상이하다고 할 수 있다.

이온화 N의 용출 반응은 지점별로 비슷한 양상을 보이는데, T-N의 지속적인 증가와 함께, NH3-N는 반응 8일까지 용출 속도가 높으며, 이후 16일까지 감소하였다. NO3-N값은 8일까지 안정된 값을 보이다가 NH3-N의 감소와 함께 증가하여 16일 이후 증가하여 안정한 값을 나타낸다. NO2-N의 경우 8일부터 16일까지 소푹 증가하여 감소하였다.

퇴적물내의 N는 조건에 따라 NH3-N, NO3-N 등으로 용출되는데 용출된 N은 수중에서 조건에 따라 탈·질산화 과정을 거친다(Cho et al., 2011). 본 연구에서도 주로 NH3-N 의 형태로 용출된 N가 수중에서 증가하다가 안정화 되면서 탈·질산화 과정으로 NO3-N, NO2-N의 농도 변화가 관찰 되는 것으로 사료된다.

3.2.3. P 계열

Fig. 8에 지점별 T-P, PO4-P의 용출량 그래프를 나타내었다.

Fig. 8.

Variation of phosphorus (TP, PO4-P) in the water column at the release experiment.

../../Resources/kswe/31-6/images/SJBJB8_2015_v31n6_644_f008.jpg

T-P의 용출 반응 분석결과 모든 지점에서 감소하는 것으로 나타났으며, 초기 농도 값이 가장 높았다. 최종 용출반응 후 T-P 농도의 감소폭은 각 지점별로 44.6~74.2%였으며, 특히 PO4-P의 감소폭은 좌안 지점인 K1과 K6번, 중간 지점인 K2와 K5번 우안 지점인 K3와 K4번 지점의 값이 각각 41~48, 58~59, 78~79%로 하상의 횡단 위치에 따라 비슷한 감소율을 보였다.

일반적으로 P의 용출은 호기성보다 혐기성에서 활발히 일어나며, 높은 pH에서 증가한다(Kim and Lim., 1997). 본 연구에서처럼 호기성 조건하에 P의 용출은 나타나지 않았으며, 오히려 감소하게 되는데 이는 Ryu (2001)의 연구와 같이 입자성 P가 퇴적물 내로 침전 하는 경향을 보이고, 호기성 조건에서 퇴적물의 P가 고정되는 영향으로 사료된다.

4. Conclusion

낙동강에서 보 건설 이후 공간적 퇴적환경의 변화와 이에 따른 용출특성 분석 연구를 위해 낙동강 중류의 강정고령보 상류 구간 6개 지점의 퇴적물을 채취하였다. 지점별 퇴적환경 조사를 위해 입도, 완전연소가능량, TOC, TN, TP, SRP을 분석하였고, 각 지점별 용출실험을 실시하여 용출수의 pH, TOC 및 영양염류의 농도를 분석하였으며, 그 결과는 다음과 같다.

1) 6개 대상 지점들의 입도 분석결과 Sand 44.9~90.1%, Silt 9.9~48.1%, Clay 0~5.5%로 나타났고, 실트질사 퇴적상이 가장 우세하게 분포하고 있다. 강정고령보 우안 인 K3, K4번 지점의 실트와 점토 함량이 높고, 상류 지점인 K5, K6번 지점의 모래 함량이 상대적으로 높았다.

2) 대상 지점들의 완전연소가능량 값은 2.46~6.61%, T-N 1,189~2,492 mg/kg, T-P 333~726 mg/kg 로 분석되었으며, 하천·호소 퇴적물 오염평가 기준과 비교하면 완전연소가능량은 기준치인 13%에 19-51%의 값을 나타내며, T-N과 T-P의 분석결과도 기준치인 5,600 mg/kg, 1,600 mg/kg에 각각 21~45%, 21~45%의 값을 나타내었다. 공간적으로는 입도 분포가 비슷한 분포를 보인 K1-K2번, K3-K4번, K5-K6번 지점들의 퇴적물 분석농도가 비슷한 경향을 보였다.

3) 6개 지점들의 호기성 용출 반응 분석결과 대상지점의 pH와 TOC 값은 초기에 가장 높은 값을 나타내었고, 초기값에 비하여 20일 후 지점별로 pH 값은 7.8~9.2%, TOC값 31.7~40.8% 감소하였다.

4) T-N의 용출 반응 분석결과 K1~K4번 지점은 20일 후 용출량이 302.40~425.85 mg/m2 로 나타났고, K5, K6번 지점은 각각 -34.56 mg/m2, -125.24 mg/m2 로 감소하는 것으로 나타났다. 질소 이온들의 용출은 지점별로 비슷한 양상을 보이는데, T-N는 지속적으로 증가했고, NH3-N는 반응 8일까지 용출 속도가 높으며, 이후 감소하였다. NO3-N값은 8일까지 안정된 값을 보이다가 NH3-N의 감소와 함께 증가하여 16일 이후 증가하여 안정한 값을 냈다. NO2-N의 경우 8일부터 16일까지 소폭 증가하여 감소하였다.

5) T-P의 용출 반응은 모든 지점에서 감소했으며, PO4-P의 감소폭은 좌안 지점인 K1과 K6번, 중간 지점인 K2와 K5번 우안 지점인 K3와 K4번 지점의 값이 각각 41~48, 58~59, 78~79%로 하상의 횡단 위치에 따라 비슷한 감소율을 보였다.

6) 각 지점 퇴적물 시료의 환경농도와 용출반응 분석결과 Silt와 Clay가 높은 K3, K4 지점에서 T-N의 최고 용출량의 증가가 각각 93.0%, 81.7%로 가장 높게 나타났다. 특히 K3, K4 지점은 타 지점에 비하여 높은 Silt와 Clay비율과 함께 퇴적물의 환경농도 값도 높았다.

하상퇴적물의 환경농도변화와 용출실험은 장기간에 걸쳐 주기적인 분석을 통한 연구가 필요하다. 따라서 본 연구는 낙동강에서 대규모 모의 건설 후 공간적 퇴적 상태와 용출연구의 기초자료로서 의의가 있다. 앞으로 낙동강의 퇴적환경에 대한 추가적인 모니터링과 다양한 조건의 용출 분석을 통해, 퇴적환경과 이에 따른 용출반응이 수계에 미치는 영향에 관한 연구가 활발히 이루어져야 할 것이다.

References

1 
Ahn J. M., Im T. H., Lee I. J., Lee K. L., Jung K. Y., Lee J. W., Cheon S. U., Park I. H., (2014), A study on Efficiency of Water Supply through Conjunctive Operation of Reservoirs and Multy-funtion Weirs in the Nakdong River, Journal of Korean Society on Water Environment, Ahn, J. M., Im, T. H., Lee, I. J., Lee, K. L., Jung, K. Y., Lee, J. W., Cheon, S. U., and Park, I. H. (2014). A study on Efficiency of Water Supply through Conjunctive Operation of Reservoirs and Multy-funtion Weirs in the Nakdong River, Journal of Korean Society on Water Environment, 30(2), pp. 138-147. [Korean Literature], Vol. 30, No. 2, pp. 138-147DOI
2 
Cho D. C., Lee E. M., Park B. G., Kwon S. H., (2011), Correlation of Release of Nutrient Salts in Sediment with Vicinal Oxic Conditions, Journal of Environmental Science International, Cho, D. C., Lee, E. M., Park, B. G., and Kwon, S. H. (2011). Correlation of Release of Nutrient Salts in Sediment with Vicinal Oxic Conditions, Journal of Environmental Science International, 20(7), pp. 845-855. [Korean Literature], Vol. 20, No. 7, pp. 845-855DOI
3 
Cowan J. L. W., Boynton W. R., (1996), Sediment-water Oxygen and Nutrient Exchanges Along the Longitudinal Axis of Chesapeake Bay: Seasonal Patterns, Controlling Factors and Ecological Significance, Estuaries, Cowan, J. L. W. and Boynton, W. R. (1996) Sediment-water Oxygen and Nutrient Exchanges Along the Longitudinal Axis of Chesapeake Bay: Seasonal Patterns, Controlling Factors and Ecological Significance, Estuaries, 19(3), pp. 562-580., Vol. 19, No. 3, pp. 562-580DOI
4 
Folk R. L., (1968), Petrology of Sedimentary Pock, Folk, R. L. (1968). Petrology of Sedimentary Pock, Hemphill’s, pp. 170., pp. 170Google Search
5 
Hickey C. W., Gibbs, M M., (2009), Lake Sediment Phosphorus Release Management-decision Support and Risk Assessment Framework, Journal of Marine and Freshwater Research, Hickey, C. W. and Gibbs, M, M. (2009). Lake Sediment Phosphorus Release Management-decision Support and Risk Assessment Framework, New Zealand Journal of Marine and Freshwater Research, 43, pp. 819-856., Vol. 43, pp. 819-856DOI
6 
Hieltjes A. H. M., Lijklema L., (1980), Fractionation of Inorganic Phosphates in Calcareous Sediments, Journal of Environmental Quality, Hieltjes, A. H. M. and Lijklema, L. (1980). Fractionation of Inorganic Phosphates in Calcareous Sediments, Journal of Environmental Quality, 9(3), pp 405-407-17., Vol. 9, No. 3, pp. 405-407-17Google Search
7 
Hwang K. Y., Park S. Y., Baek W. S., Jung J. H., Kim Y. H., Shin W. S., Lee N. J., Hwang I. S., (2007), Speciation and Leaching Potential of Heavy Metals in Sediments of Nakdong River, Journal of the Korean Society of Water and Wastewater, Hwang, K. Y., Park, S. Y., Baek, W. S., Jung, J. H., Kim, Y. H., Shin, W. S., Lee, N. J., and Hwang, I. S. (2007). Speciation and Leaching Potential of Heavy Metals in Sediments of Nakdong River, Journal of the Korean Society of Water and Wastewater, 21(1), pp. 113-122. [Korean Literature], Vol. 21, No. 1, pp. 113-122Google Search
8 
Kim H. Y., Huh I. A., Choi J. H., (2013), Investigation of Nutrient Release from the Sediments Near Weir in the Namhan River, Journal of Korean Society of Environmental Engineers, Kim, H. Y., Huh, I. A., and Choi, J. H. (2013). Investigation of Nutrient Release from the Sediments Near Weir in the Namhan River, Journal of Korean Society of Environmental Engineers, 35(8), pp. 554-563. [Korean Literature], Vol. 35, No. 8, pp. 554-563DOI
9 
Kwon J. H., Kim Y. D., Cho Y. H., Jung T. J., (2012), A Study on Sediment Release Characteristics in Yongwon Channel, Busan New Port, Journal of the Korean Society of Water and Wastewater, Kwon, J. H., Kim, Y. D., Cho, Y. H., and Jung, T. J. (2012). A Study on Sediment Release Characteristics in Yongwon Channel, Busan New Port, Journal of the Korean Society of Water and Wastewater, 26(4), pp. 503-512. [Korean Literature], Vol. 26, No. 4, pp. 503-512DOI
10 
Kim T. E., Lim B. S., (1997), A study on Characteristics of Water Pollutants Releasing from Sediments in Keum River Estuary Reservoir, Journal of Korean Society on Water Environment, Kim, T. E. and Lim, B. S. (1997). A study on Characteristics of Water Pollutants Releasing from Sediments in Keum River Estuary Reservoir, Journal of Korean Society on Water Environment, 13(3), pp. 245-253. [Korean Literature], Vol. 13, No. 3, pp. 245-253Google Search
11 
Ki B. M., Lim B. M., Na E. H., Choi J. H., (2010), A Study on the Nutrient Release Characteristics from Sediments in the Asan Reservoir, Journal of Korean Society of Environmental Engineers, Ki, B. M., Lim, B. M., Na, E. H., and Choi, J. H. (2010). A Study on the Nutrient Release Characteristics from Sediments in the Asan Reservoir, Journal of Korean Society of Environmental Engineers, 32(1), pp. 1169-1179. [Korean Literature], Vol. 32, No. 1, pp. 1169-1179Google Search
12 
Lee K. Y., Kim J. E., Lee K. C., Lee K. L., Lee I. J., Im T. H., (2013), Characteristics of Change in DOC Concentration according to Concentrations of Oranic Matter and Suspended Solids in the Nakdong River, Journal of Korean Society on Water Environment, Lee, K. Y., Kim, J. E., Lee, K. C., Lee, K. L., Lee, I. J., and Im, T. H. (2013). Characteristics of Change in DOC Concentration according to Concentrations of Oranic Matter and Suspended Solids in the Nakdong River, Journal of Korean Society on Water Environment, 29(4), pp. 540-550. [Korean Literature], Vol. 29, No. 4, pp. 540-550Google Search
13 
Lee Y. S., Lee K. S., (2004), Organic Sediment Distribution and Release Characteristics on Lake Daechung, Journal of Korean Society of Environmental Engineers, Lee, Y. S. and Lee, K. S. (2004). Organic Sediment Distribution and Release Characteristics on Lake Daechung, Journal of Korean Society of Environmental Engineers, 26(6), pp. 665-669. [Korean Literature], Vol. 26, No. 6, pp. 665-669Google Search
14 
(2009), Ministry of Land, Infrastructure and Trnasport (MOLIT). (2009). River Maintenance Master Plan in the Nakdong River, Ministry of Land, Infrastructure and Trnasport. [Korean Literature]Google Search
15 
(2012), 2012 WHITE PAPER OF ENVIRONMENT, Ministry of Environment (MOE). (2012). 2012 WHITE PAPER OF ENVIRONMENT, Ministry of Environment, pp. 55-59. [Korean Literature], pp. 55-59Google Search
16 
National Institute of Environmental , (2008), Reasult on Target Water Quality Monitoring Network Operation of Nak-dong River System in 2008, National Institute of Environmental Research (NIER). (2008). Reasult on Target Water Quality Monitoring Network Operation of Nak-dong River System in 2008, 11-1480523-000444-10, Ministry of Environment, pp. 5-14. [Korean Literature], pp. 5-14Google Search
17 
National Institute of Environmental , (2012), Diversion Weir Edge Research and Management Studies of The Sedimentary Environment, National Institute of Environmental Research (NIER). (2012). Diversion Weir Edge Research and Management Studies of The Sedimentary Environment, National Institute of Environmental Research, p. 1. [Korean Literature], pp. 1Google Search
18 
Ryu B. R., (2001), Releasing Characteristics of Nitrogen, Phosphorus and Metals of the Sediments in Boryung Lake, Journal of Korean Geo-Environmental Society, Ryu, B. R. (2001). Releasing Characteristics of Nitrogen, Phosphorus and Metals of the Sediments in Boryung Lake, Journal of Korean Geo-Environmental Society, 2(4), pp. 29-38. [Korean Literature], Vol. 2, No. 4, pp. 29-38Google Search
19 
Nowlin W. H., Evarts J. L., Vanni M. J., (2005), Release rates and potential fates of nitrogen and phosphorus from sediments in a eutrophic reservoir, Freshwater Biology, Nowlin, W. H., Evarts, J. L., and Vanni, M. J. (2005). Release rates and potential fates of nitrogen and phosphorus from sediments in a eutrophic reservoir, Freshwater Biology, 50, pp. 301-322., Vol. 50, pp. 301-322DOI