The Journal of
the Korean Society on Water Environment

The Journal of
the Korean Society on Water Environment

Bimonthly
  • ISSN : 2289-0971 (Print)
  • ISSN : 2289-098X (Online)
  • KCI Accredited Journal

Editorial Office





Cluster analysis, Discharge load characteristics, Factor analysis, Pollution discharge, TMDLs, Unit watershed

1. Introduction

수질오염총량관리제는 기존의 오염물질 배출시설 농도규제 정책의 한계를 개선하고 하천의 물관리 목적에 맞는 수질을 조기에 달성하고자 도입된 유역관리방안으로 해당 유역으로부터 배출되는 오염물질의 총량을 관리하여 목표수질을 달성 또는 유지하고자 하는 제도이다.

환경부에서 광역시도 경계지점의 목표수질을 고시하고 광역시·도지사는 기본계획을 통하여 경계지점의 목표수질을 달성할 수 있도록 단위유역별 지자체별 배출총량을 할당하게 된다(MOE, 2014a).

오염물질의 배출량이 배출 총량을 초과하는 지역에서는 환경기초시설의 신증설 및 비점저감시설 등과 같은 배출부하량 저감계획을 수립하여 단위유역 지자체별 부하량을 관리하고 있다. 하지만 일부 지역은 저감계획 수립이 제한적이며 부하량 저감 효과가 큰 환경기초시설의 신설 등은 설치에 한계가 있고 오히려 새로운 유역 내 오염원으로 전락하기도 한다. 이처럼 지역의 오염원 배출 특성을 고려하지 않은 삭감계획은 수질개선 효과가 나타나지 않을 수 있다. 따라서 효율적인 총량관리를 위해서는 우선 수계 내 오염원 및 배출특성분석을 통한 유역 내 배출부하량 및 수질 증가에 대한 주요 요인분석이 요구된다.

기존의 연구들에서 다양한 통계분석을 이용하여 수계 내 수질특성을 분류하였다. Cho et al. (2012)은 금강유역의 유량과 BOD 수질자료를 활용하여 하천그룹화 분석을 통해 유역을 분류하였으며 Lim (1999)은 금강유역을 대상으로 다변량 수질분석을 실시함으로서 각 수질관측 지점 간의 수질특성을 파악하고 주요 오염물질을 확인할 수 있었다.

또한 다변량 통계분석기법을 이용하여 Sohn and Park (2012)은 가평천과 신천을 대상으로 강수량에 따른 수질변동 특성을 분석하였으며, Lee and Kim (2011)는 한강수계 내 지류하천별 오염원과 수질현황을 가지고 군집분석을 통해 하천을 특성별로 분류하고 분류된 그룹별로 수질오염요인을 평가하였다.

하지만 오염원의 공간분포에 따른 특성 분석을 활용한 단위유역별 오염원의 밀도 분석은 오염원의 배출경로가 반영되지 않아 분석결과 해석에 오류를 가져올 수 있으며, 하천 수질자료의 단순 비교 분석은 원인해석이 명확하지 못하므로 대안을 제시하기에는 한계가 있다.

따라서 본 연구에서는 수질오염총량관리 단위유역별 말단 수질 측정 자료와 오염원 및 배출부하량 자료를 토대로 단위유역별 수질 및 오염물질 배출특성을 분석하고 다변량 통계 분석을 통해 유역특성이 유사한 지역을 분류하여 수질경향 및 오염물질 배출특성 등 주요 요인을 분석하고자 한다. 연구의 결과는 향후 우선 관리지역 선정 및 부하량 저감계획 수립 시 활용할 수 있을 것이라 기대된다.

2. Materials and Methods

2.1. 연구대상 지역

한강수계는 북한강, 남한강, 경안천, 한강본류, 임진강수계로 구성되어 있으며 전체 유역면적은 26,018 km2, 유로연장은 481.7 km로 15개의 국가하천과 776개의 지방하천으로 이루어져 있다(MOE, 2014b).

본 연구의 조사대상지역은 한강수계의 강원도 지역을 제외한 수질오염총량관리 1단계 기본계획의 대상지역 32개 단위유역을 대상으로 하였으며 유역면적은 8,510.5 km2, 행정구역은 경기도, 서울특별시, 인천광역시 등 3개 광역시·도를 포함하고 있다(Fig. 1).

Fig. 1.

Streams in the han-river basin.

../../Resources/kswe/31-6/images/SJBJB8_2015_v31n6_700_f001.jpg

하천 내 수질특성분석을 위한 대상유역은 해수유통구간인 한강J 단위유역을 제외한 31개 단위유역 말단 수질측정지점의 5년간 수질 측정자료를 분석하였으며, 단위유역별 오염원 및 오염부하량 분석은 한강수계 수질오염총량관리시행계획 2013년도 이행평가 결과를 활용하였다. (Anyang-si, 2014; Anseong-si, 2014; Bucheon-si, 2014; Dongducheon-si, 2014; Gapyeong-gun, 2014; Gimpo-si, 2014; Guri-si, 2014; Gunpo-si, 2014; Gwacheon-si, 2014; Gwangju-si, 2014; Gwangmyeong-si, 2014; Goyang-si, 2014; Hanam-si, 2014; Icheon-si, 2014; In-cheon Metropolitan City, 2014; Namyangju-si, 2014; Paju-si, 2014; Pocheon-si, 2014; Siheung-si, 2014; Seongnam-si, 2014; Seoul, 2015; Uijeongbu-si, 2014; Uiwang-si, 2014; Yangju-si, 2014; Yangpyeong-gun, 2014; Yeoju-si, 2014; Yeoncheon-gun, 2014; Yongin-si, 2014;).

2.2. 연구 방법

2.2.1. 오염원 및 부하량 발생·배출 특성분석

단위유역별 배출특성과 주요 오염물질을 파악하기 위하여 단위유역별 오염원밀도, 오염원별 배출부하밀도를 분석하고 향후 유역관리방안을 모색하기 위하여 오염원별 배출율, 환경기초시설의 기여도 등의 오염물질 배출특성을 분석하였다.

수계 내에서 오염원은 밀집되어 있을수록 수계에 미칠 수 있는 영향이 크다(Park et al., 2012). 오염원 밀도는 단위면적당 오염원의 밀도(pollution source size/km2)로 수질 오염원 중 주요 오염원인 생활계, 축산계, 산업계, 토지계와 그 밖의 기타오염원1)에 대하여 산정하였다.

단위유역별 상대적인 수치의 비교를 위하여 축산계, 토지계의 경우 대표 축종인 ‘한우’ 발생 원단위와 ‘대지’ 발생원단위를 기준으로 환산하여 산정하였다.

오염물질의 배출부하특성 분석을 위하여 단위유역별 배출부하량을 해당 단위유역의 면적을 기준으로 오염원 그룹별, 점·비점배출부하량 밀도를 산정하였다. 배출된 오염물질의 수계영향을 종합적으로 평가하기 위해서는 유역의 유달율 및 하천유량 등을 고려하여야 하나, 유역으로부터의 오염물질 배출부하량 특성으로 그 범위를 한정하고 분석하였다. 따라서 유역으로 배출되는 오염물질 유달율과 하천유량이 동일하다고 가정하고 배출부하량 밀도를 산정할 경우 배출부하밀도가 큰 지역일수록 하천 수질에 미치는 영향은 크다고 분석된다(Park et al., 2012).

또한 발생부하량 대비 배출부하량비를 분석한 오염원별 배출율, 단위유역 내 하수처리율 및 단위유역 내 점배출부하량 중 기초시설에 따른 배출부하량의 기여도를 분석하였다. 이와 같은 유역 내 배출특성은 향후 부하량 삭감가능 지역 및 수질개선 우선지역 선정 시 활용할 수 있을 것으로 사료된다. 단위유역별 하수처리율의 경우 비율이 낮을수록 향후 처리구역 확대 등을 통한 삭감가능률이 높음을 의미하고 기초시설 배출부하기여도는 단위유역 전체 점부하량 중에서 기초시설 배출부하량의 비율을 분석한 값으로 비율이 높을수록 삭감가능률이 높음을 의미한다.

2.2.2. 주요 하천지점 수질 특성분석

분석에 활용된 수질자료는 환경부의 국가 측정망 자료로서 일반측정지점의 경우 월 1회, 총량지점의 경우 8일 간격으로 36회/년 측정한 자료이다(Table 1).

Table 1.

Target areas for the characteristic analysis of water quality

../../Resources/kswe/31-6/images/SJBJB8_2015_v31n6_700_t001.jpg

※ TMDLs measurement points (measured data of 8-Day intervals) : Temperature, pH, EC, DO, BOD5, CODmn, SS, T-N, T-P, TOC

※ General measurement points (measured data of 1-month intervals) : NO3-N, NH4+-N, PO4-P, Chl-a, Total Coliform, Fecal Coliform

수질특성 분석항목은 수온, pH, EC, DO, BOD5, CODmn, SS, T-N, T-P, TOC와 호소, 하천의 부영양화 유발물질인 NO3-N, NH4+-N, PO4-P와 부영양화로 인한 2차 생성물질인 Chl-a의 15개 항목을 대상으로 2009년~2013년 우기(6월~9월)를 제외한 연중평균농도변화를 도식화하여 물리·화학적으로 유역별 수질의 변화를 분석하였다. 또한 한강J 단위유역 수질은 한강본류 말단 지점으로 해수에 의한 영향을 받아 오염원에 의한 수질특성을 반영하지 못하기 때문에 분석에서 제외하였다.

2.2.3. 자료의 통계적 분석

자료의 통계적 분석을 위하여 통계처리 프로그램인 SPSS (ver 17.0)를 이용하여 다변량 통계분석 중에 하나인 군집분석(cluster analysis)을 실시하고 각 군집별 요인분석을 통해 단위유역별 주요 오염물질을 파악하였다.

군집분석(cluster analysis)이란 각 객체(대상)간의 유사성을 측정하여 유사성이 높은 집단을 분류하고, 군집에 속한 집단과 타 집단 간의 상이성을 규명하는 통계분석방법이다. 군집분석은 어떤 가정을 검정하는 것이 아니라 단순히 자료의 패턴을 찾는 방법으로 종류에는 크게 비계층적 군집분석(k-평균 군집분석)과 계층적 군집분석으로 나눌 수 있다. 본 연구에서는 개별대상 간의 거리에 의하여 가장 가까이 있는 대상들로부터 결합해 감으로서 군집의 형성과정을 정확하게 파악할 수 있는 계층적 군집분석을 사용하였다.

요인분석방법은 주성분 분석과 공통요인분석을 포함하며 요인분석은 정보의 손실을 최소화하면서 여러 변수들 사이에 상관되어 있는 변수들 간의 복잡한 구조를 분석하는데 목적을 두고 있다. 수질에 영향을 미치는 요인분석 시 요인의 추출은 각 변수간의 상관행렬을 이용하였고, 최초 요인을 추출한 뒤 회전시키지 않는 요인 행렬로부터 몇 개의 요인을 추출하기 위하여 고유치가 최소 1.0 이상의 요인을 추출하였다. 요인을 설명할 수 있도록 단위유역별 오염원의 배출특성 등을 가지고 주요인을 알아보기 위하여 요인 축을 회전시켰다. 요인 회전방법은 다른 요인과 상호 독립적이며 하나의 요인에 높게 적재되는 변수의 수를 줄여서 요인을 해석하는데 도움을 주는 varimax방식을 적용하였다(Song, 2009).

3. Results and Discussion

3.1. 오염부하 발생 및 배출밀도

3.1.1. 단위유역별 오염원 밀도

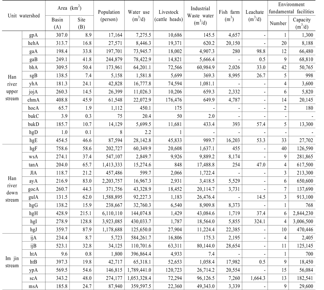
한강수계 1단계 수질총량관리 대상지역의 전체 면적은 8,510.4 km2이고 유역면적이 가장 큰 단위유역은 한강F로 전체 대상유역의 8.9%를 차지하며, 한강D 유역은 전체 대상유역의 1% 미만으로 최소 면적을 가진 유역으로 나타났다. 대상유역 중 인구가 가장 많은 지역은 한강H 단위유역으로 행정구역상 서울시 강남구, 성동구 일대, 경기도 과천시, 구리시, 성남시, 하남시, 의정부시 일부가 포함된다. 또한 물사용량이 가장 많은 지역은 한강I 단위유역이며, 산업계 폐수배출량이 가장 많은 지역은 신천A 단위유역으로 행정구역상 동두천시, 파주시, 양주시, 포천시, 연천군 등이 포함되어 있으며 산업단지가 밀집한 지역에 해당된다. 축산 사육두수가 가장 많은 지역은 청미A 단위유역으로 행정구역상 용인시, 안성시, 이천시, 여주군에 해당하며 대도시에서 가까운 도농지역이 포함된다(Table 2).

Table 2.

Distribution of pollution sources of the watershed

../../Resources/kswe/31-6/images/SJBJB8_2015_v31n6_700_t002.jpg

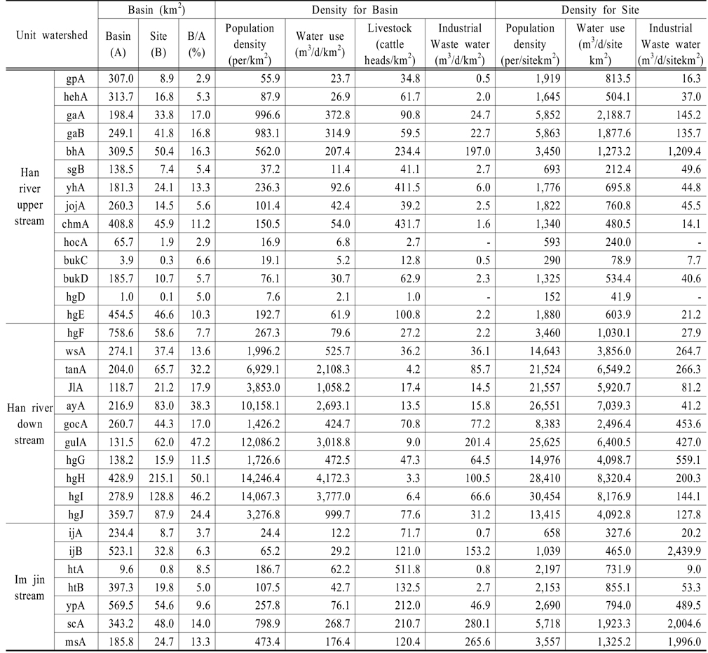
오염원의 공간적 분포와 밀집도를 평가하기 위하여 단위 면적당 오염원의 밀도를 분석하였으며 그 결과는 Table 3과 같다. 단위유역 면적 중 일반적으로 배출시설이 위치하는 ‘대지’지목 면적비율이 가장 큰 지역은 한강H 단위유역으로 50.1%를 차지하였으며, 가장 작은 지역은 가평A 단위유역으로 2.9%의 비율을 보였다.

Table 3.

The main pollutant density of the han river watershed

../../Resources/kswe/31-6/images/SJBJB8_2015_v31n6_700_t003.jpg

한강H 단위유역은 단위면적당 인구밀도 및 물사용량의 밀도가 가장 높았으며, 단위면적당 축산 사육두수의 밀도가 높은 단위유역은 한탄A와 청미A 단위유역, 산업계 폐수배출밀도가 높은 지역은 신천A와 문산A 단위유역으로 나타났다. 생활계 인구 및 산업시설의 입지 조건이 토지계 지목 상 ‘대지2)’에 위치하는 특성을 고려하여 대지면적당 오염원 밀도를 비교할 경우 인구밀도가 가장 높은 단위유역은 한강I, 물사용량의 밀도는 한강H, 산업계 폐수배출량은 임진B 단위유역의 밀도가 가장 높은 것으로 평가되었다.

3.1.2. 오염배출부하량 밀도

단위유역별 주요 오염물질의 배출부하량 밀도는 총량대상물질인 BOD와 T-P로 나누어 분석하였으며 결과는 Table 4, Table 5와 같다. 단위면적당 생활계 오염물질 배출부하량 밀도는 BOD 0.11~65.90 kg/d/km2, T-P 0.008~9.409 kg/d/km2의 범위를 보이며 최대 밀도와 최소 밀도간의 큰 차이를 보였다. 생활계 오염배출부하량 밀도가 높은 지역은 행정구역상 서울시가 포함된 한강H, 한강I, 탄천A, 중랑A 단위유역과 인천시, 부천시가 주요 행정구역에 포함되는 굴포A 단위유역으로 해당지역은 인구 및 물사용량 밀도도 높지만 100만 ton/d 이상의 환경기초시설이 위치하는 곳으로 기초 시설의 배출부하에 따른 영향이 높다. 단위면적당 축산계 BOD, T-P 배출부하량 밀도가 가장 높은 지역은 양화A 지역으로 나타났다. 이는 축산계 배출부하량이 가장 많은 지역은 청미A 단위유역으로 양화A 축산계 배출부하량에 2.1배 많은 부하량을 배출하지만 양화A 유역면적이 청미A의 절반에 조금 못 미치기 때문에 축산 사육두수에 의한 오염 배출부하량 밀도는 양화A 단위유역에 집중도가 높은 것으로 분석되었다. 산업계 오염배출부하량 밀도의 범위는 BOD 0.00~7.17 kg/d/km2, T-P 0.000~0.295 kg/d/km2로 BOD의 경우 신천A 단위유역이 다른 단위유역에 비해 상대적으로 높은 것으로 분석되었으며, T-P의 경우 굴포A 단위유역의 밀도가 높았다. 이는 유역 내 입지한 업체의 폐수특성과 관련하여 신천A 단위유역은 섬유, 피혁제조 업체들이 많은 비중을 차지하여 난분해성 고분자 유기물질을 다량 함유한 폐수가 발생하므로 BOD의 배출밀도가 높으며 굴포A 단위유역은 금속가공업체들이 주요 산업체를 이루기 때문에 T-P의 배출밀도가 높은 것으로 사료된다(WEMS, 2014). 토지계 BOD, T-P 배출부하량 밀도가 높은 지역은 한강H, 한강I, 굴포A 유역으로 대지면적 비율이 높은 지역으로 나타났다.

Table 4.

The rate of BOD discharge load per pollutants

../../Resources/kswe/31-6/images/SJBJB8_2015_v31n6_700_t004.jpg
Table 5.

The rate of T-P discharge load per pollutants

../../Resources/kswe/31-6/images/SJBJB8_2015_v31n6_700_t005.jpg
Table 5.

The rate of T-P discharge load per pollutants (continue)

../../Resources/kswe/31-6/images/SJBJB8_2015_v31n6_700_t006.jpg

3.1.3. 그 밖의 부하량 배출특성

향후 수질개선을 위하여 우선순위 선정 및 삭감계획 수립 시 활용 가능한 배출특성으로 단위유역별 점·비점 배출부하량 밀도, 발생부하량 대비 배출부하량을 분석한 배출율(%), 하수처리구역비율을 분석한 하수처리율(%), 점배출부하량 대비 기초시설의 배출량의 비율을 분석한 기초시설부하기여율(%)은 Table 6과 같다.

Table 6.

The existing reduction of pollution discharge load

../../Resources/kswe/31-6/images/SJBJB8_2015_v31n6_700_t007.jpg
Table 6.

The existing reduction of pollution discharge load (continue)

../../Resources/kswe/31-6/images/SJBJB8_2015_v31n6_700_t008.jpg

※ Pollution discharge rate = Pollution discharge load size (kg/d) ÷ Pollution occurrence load size (kg/d) Sewage treatment rate = Sewage treatment area (km2) ÷ Watershed Total area (km2)

※ Ratio of load contribution waste water treatment Plant (WWTP) = Pollution discharge load of Environment Fundamental (kg/d) ÷ Watershed Total Pollution discharge load (kg/d)

오염물질 발생량이 대부분 배출되는 토지계를 제외한 생활계, 축산계, 산업계의 배출율(%)은 배출율이 클수록 향후 처리형태의 변경 등 저감 가능한 오염물질이 많을 것으로 사료된다. 분석 결과, 생활계는 한강D 유역을 제외하고 BOD, T-P 모두 영평A, 양화A, 임진B, 청미A의 단위유역에서 높게 나타냈다. 축산계는 탄천A, 안양A, 홍천A, 경안B 단위유역에서 높은 비율을 나타냈다. 산업계의 경우 BOD는 한탄A, 섬강B, 한강G 단위유역, T-P는 한강I, 섬강B, 조종A, 중랑A 단위유역에서 높은 값을 나타났다. 하지만 산업계 T-P 부하량 분석결과 한강I, 중랑A 유역은 산업계 폐수방류량이 처리되는 하수처리시설의 ‘13년 방류수질3)의 영향을 받은 것으로 나타났다.

하수처리율의 경우 임진A, 임진B 단위유역의 처리율이 낮고, 기초시설의 배출부하기여도는 한강H, 한강I 유역이 높았다.

3.2. 단위유역별 수질오염 특성

3.2.1. 유기오염 및 영양염류 오염특성

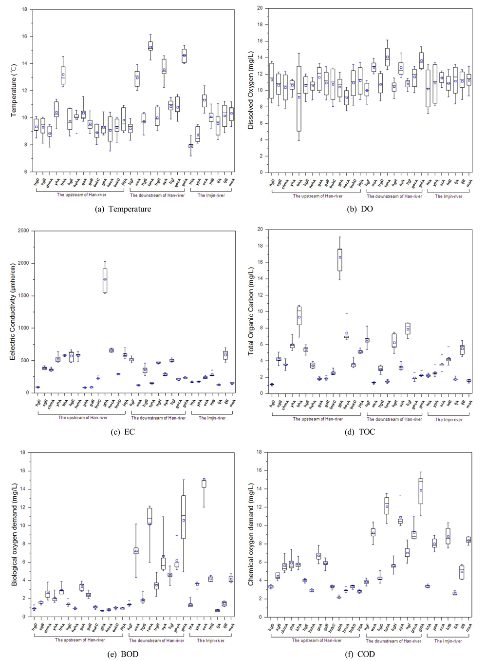
Fig. 2는 2007년~2013년에 우기(6월~9월)를 제외한 기간 동안 연구대상인 31개 단위유역의 지점별 최소 80개~최대 160개의 측정자료를 가지고 수질오염도를 분석하여 box형 그래프로 나타낸 결과이다. 유기오염 및 영양염류 수질항목의 경우, 한강하류 지류 중에 대규모 환경기초시설의 방류구가 위치한 굴포A, 탄천A, 중랑A, 안양A, 왕숙A 단위유역의 수질오염도가 높았다. 또한 굴포A 단위유역의 DO 농도는 3.9~6.9 mg/L로 타 단위유역의 평균 12.0 mg/L보다 현저히 낮고, T-P 농도는 연구대상지역 평균 수질 0.12 mg/L에 비해 약 18배 높은 수질이 나타났다. 이는 건기 시 굴포A 단위유역 유량은 말단 측정지점으로부터 상류 약 3.5 km지점의 굴포천하수종말처리장(90만 m3/d) 방류농도에 지배적인 영향을 받으며 한강본류 말단에 합류되는 지천으로서 유량 정체를 나타내는 수리적 특성에 따라 나타나는 현상이라 판단된다. 굴포A, 안양A, 왕숙A, 탄천A, 신천A 유역말단 T-N, NH4+-N 농도가 높게 나타났다. NH4+-N는 독성물질이며 질소로 산화되기 위하여 산소를 고갈시키는 물질로 미국 등 선진국은 배출허용기준 0.5~5.0 mg/L 내에서 엄격히 관리하고 있으나 우리나라는 관리기준이 없는 실정이다(Lee and Kim, 2011).

Fig. 2.

Water quality variations in each site, 2009-2013.

(a) Temperature, (b) DO, (c) EC, (d) TOC, (e) BOD, (f) COD, (g) T-N, (h) NH4+-N, (i) T-P, (j) PO4-P, (k) Chl-a, (l) SS, (m) Total Coliform Viability, (n) Fecal coliform bacteria

../../Resources/kswe/31-6/images/SJBJB8_2015_v31n6_700_f002.jpg
Fig. 2.

Water quality variations in each site, 2009-2013. (continue)

(a) Temperature, (b) DO, (c) EC, (d) TOC, (e) BOD, (f) COD, (g) T-N, (h) NH4+-N, (i) T-P, (j) PO4-P, (k) Chl-a, (l) SS, (m) Total Coliform Viability, (n) Fecal coliform bacteria

../../Resources/kswe/31-6/images/SJBJB8_2015_v31n6_700_f003.jpg
Fig. 2.

Water quality variations in each site, 2009-2013. (continue)

(a) Temperature, (b) DO, (c) EC, (d) TOC, (e) BOD, (f) COD, (g) T-N, (h) NH4+-N, (i) T-P, (j) PO4-P, (k) Chl-a, (l) SS, (m) Total Coliform Viability, (n) Fecal coliform bacteria

../../Resources/kswe/31-6/images/SJBJB8_2015_v31n6_700_f004.jpg

3.2.2. 시공간적 수질오염 특성

Fig. 3은 같은 기간 동안 수온, BOD5, CODmn, T-N, T-P, PO4-P, Chl-a 연차별 증가율을 분석한 결과로서 대부분 지역의 수질이 개선되고 있으나 임진강 유역의 영평A, 임진A, 임진B 단위유역의 BOD5, CODmn가 증가하는 추세를 보였으며 굴포A 단위유역은 T-P, PO4-P, Chl-a, 수온이 매년 증가하고 있는 것으로 나타났다.

Fig. 3.

Water quality variation rate in each site, 2009-2013. (a) The upstream of Han-river, (b) The downstream of Han-river and lmjin-river.

../../Resources/kswe/31-6/images/SJBJB8_2015_v31n6_700_f005.jpg

한강수계 지류와 본류의 수질을 비교한 결과, 지천의 평균수질이 본류에 비해 높게 나타났다. 이는 지천 내 축산계, 산업계 등 오염원이 집중되어 있으며 본류에 비해 하천유량이 적어 수질이 높으며 상대적으로 본류의 주요 오염물질은 생활계이고 밀도가 높지만 배출의 형태가 처리장을 거쳐 유량이 높은 본류로 유입되기 때문에 지천의 수질이 높을 것으로 판단된다.

3.3. 다변량통계분석 결과

3.3.1. 군집분석

군집분석 방법은 계층화분석법을 적용하였으며, 이상 값의 영향을 적게 받아 특이한 객체들이 포함되어 있는 경우의 군집화에 효과적인 중심연결법을 선택하였다. 계층적 군집분석의 경우 자료의 편차가 크면 분석이 어려운 점이 있어 분석의 변수로 단위유역별 하천 14개 수질항목과 배출부하량 특성분석(BOD, T-P) 결과를 표준화 한 후에 각각 군집분석을 실시하였다. Fig. 4는 부하량 배출특성으로 군집분석을 한 결과를 덴드로그램(dendrogram)으로 도식화한 결과이며 Fig. 5는 단위유역별 수질특성으로 군집분석을 한 결과이다.

Fig. 4.

Similarity dendrogram for the unit watershed resulted for cluster analysis using pollution density data (2013).

(a) BOD, (b) T-P

../../Resources/kswe/31-6/images/SJBJB8_2015_v31n6_700_f006.jpg
Fig. 5.

Similarity dendrogram for the unit watershed resulted for cluster analysis using water quality data.

../../Resources/kswe/31-6/images/SJBJB8_2015_v31n6_700_f007.jpg

군집의 해석은 하위수준의 군집(cluster)일수록 그 특성이 세분화 되는 것을 확인할 수 있었으며 본 연구의 목적에 따라 단위유역 군집특성이 명확하게 구분되는 5수준의 군집을 가지고 이를 다시 군집 분석한 결과 Fig. 6의 결과를 얻을 수 있었다.

Fig. 6.

Similarity dendrogram for the unit watershed resulted for cluster analysis using complex cluster analysis resulted.

../../Resources/kswe/31-6/images/SJBJB8_2015_v31n6_700_f008.jpg

군집분석 결과 25수준에서 2개의 그룹과 10수준에서 4개의 하위그룹(subgroup)으로 분류할 수 있었다(Fig. 6). 대부분의 군집분석의 목적은 하위그룹에 특성을 포괄할 수 있는 상위그룹으로 분류하는데 있으나 본 연구의 목적 상 군집의 특징이 나타나 향후 수질개선 우선지역 및 개선방안 모색에 활용할 수 있는 15수준에서 4개의 군집 수를 결정하였다.

3.3.2. 요인분석

각 군집의 결과해석을 위하여 분류된 그룹별 요인분석을 수행하였다. 요인추출 결과 4개 그룹에 대한 수질항목 및 부하량 변동에 주요인으로 Table 7과 같이 조사되었다.

Table 7.

The result of the factor analysis and characteristic analysis each cluster

../../Resources/kswe/31-6/images/SJBJB8_2015_v31n6_700_t009.jpg

※ Water quality station factors : Temperature, BOD, COD, T-P, PO4-P, EC, TOC, SS, T-N, NH4+-N, NO3-N, Total Coliform, Fecal Coliform

※ Pollutants source factors : BOD Pollution discharge load density (Population, Livestock, Industial, Land use) (kg/d/km2), T-P Pollution discharge load density (Population, Livestock, Industial, Land use) (kg/d/km2), Point source Pollution discharge load density (BOD, T-P) (kg/d/km2), Non-point source Pollution discharge load density (BOD, T-P), pollution discharge rate (BOD, T-P), Ratio of load contribution for WWTP (BOD, T-P)

※ Principal component Analysis factor loading more than 0.8

추출된 요인의 수는 대부분 4~5개이며 요인의 설명력을 나타낸 고유값의 누적율이 80% 이상으로 요인을 설명하기에 충분하다고 할 수 있다. 또한 KMO 값이 0.7이상으로 1에 가까울수록 표본의 상관이 요인분석에 적합한 것으로 나타난다.

요인분석 결과, I~III 그룹에 공통적으로 수질항목 요인 COD, 오염물질 배출특성요인에 토지계(BOD, T-P)의 영향을 받는 것으로 나타났으며Ⅰ그룹은 배출부하량 밀도가 낮은 그룹으로 단위면적당 BOD 배출밀도가 평균 11.7 kg/d/km2(최소 5.0~최대 29.3)로 II그룹 평균 26.1 kg/d/km2, III그룹 120.6 kg/d/km2, IV그룹 33.1 kg/d/km2 중 가장 낮았다. 또한 그룹 내 단위유역별 주요 오염원은 토지계, 축산계 오염원으로 배출부하량 전체 배출량의 84%이상을 나타냈다. 따라서 토지계, 축산계 오염원의 배출 특성에 따라 전체 배출부하량 중 점배출부하량의 비율은 BOD 14.4% (최소 4.3%~최대 29.4%), T-P 1.8% (최소 0.2%~최대 5.5%) 비율로 4개 그룹 중 가장 낮은 비율이 나타났다. 수질 특성으로는 비강우기 기간의 그룹 평균 수질이 BOD 1.16 mg/L, T-P 0.04 mg/L으로 하천 생활환경 기준에 좋음(Ιb)에 해당하였다.

II그룹의 오염원 및 배출부하량 특성은 I그룹에 비해 생활계 BOD, T-P 배출부하량이 증가하여 전체 BOD 배출부하량 중 점배출부하량의 비율은 28.6% (최소 13.7%~최대 37.7%), T-P 6.7% (최소 1.2%~최대 13.7%) 비율을 보였다. 수질 특성으로는 그룹 내 T-N 평균 농도가 6.61 mg/L (4.43 mg/L~8.59 mg/L) 이상으로 I그룹 평균 농도 2.6 mg/L보다 약 3배 높은 수치를 보였다. 또한 EC가 수질변동 주요인으로 평균 482.8 μs/cm로 4개 그룹 중 가장 높았으며 SS농도는 평균 23.9 mg/L로 연구대상유역 평균 SS 6.58 mg/L 대비 3.6배 높았다.

III그룹은 단위면적당 인구, 물사용량이 가장 높은 지역으로 단위면적 당 오염물질 배출밀도가 BOD 120 kg/d/km2(최소 97.6~최대 144.3), T-P 14.55 kg/d/km2(최소 11.24~최대 18.98)이다. 또한 BOD 배출부하량의 56.0%, T-P 배출부하량의 78.6%가 점배출부하량에 해당되며 기초시설 배출부하량이 단위유역 내 전체 배출량에 미치는 기여도는 BOD 70.4%, T-P 93.1%로 나타났다.

IV그룹은 주요 오염원은 생활계, 축산계로 BOD, T-P 배출부하밀도가 큰 유역으로 비강우기간의 분원성대장균군 및 총대장균군의 수질농도가 I그룹에 비해 약 16배 높게 나타났다.

따라서 부하량 우선 저감지역을 선정할 경우, I그룹은 배출부하량 밀도가 낮은 단위유역으로 대부분 한강상류 및 임진강 상류가 해당되어 부하량 저감 우선지역을 고려할 때 제외되며 III,IV그룹이 우선 대상지역에 선정된다. III그룹은 오염물질의 밀도가 높고 오염물질 배출특성 요인으로 환경기초시설의 영향을 받는 유역으로 부하량 저감계획 수립시 1차적으로 환경기초시설의 배출농도 저감 방안을 고려할 수 있다.

4. Conclusion

수질오염총량관리 지역의 효율적인 유역관리를 위하여 단위유역별 할당부하량 내에서의 개발과 저감계획을 이용한 오염물질의 관리가 중요하다. 따라서 본 연구는 단위유역별 오염물질 특성을 고려하여 오염물질을 관리하고 저감계획을 수립하는 데 활용하고자 오염원 그룹별 밀도, 오염물질 배출부하량 밀도 및 수질특성 분석을 실시하였으며 이를 가지고 군집분석과 군집별 주요 요인분석을 실시하였다.

본 연구의 결과 단위유역별 오염원 및 오염물질 배출부하량 밀도를 비교 하였을 때 오염물질의 배출경로에 따라 최종 배출유역이 달라지므로 오염원 밀도 비율과 배출부하량 밀도 비율이 일치하는 것은 아니었으며 유역내 환경기초시설의 유·무와 운영현황에 따라 그룹별 주요 요인으로 나타났다. 오염물질의 배출특성 및 수질특성을 가지고 군집분석 및 요인분석을 실시한 결과, 분류된 4개의 군집별로 주요 요인들을 대상으로 우선 배출부하량 삭감지역과 대상 오염원을 확인할 수 있었다.

또한 단위유역별 동일한 배출부하량 밀도라도 오염원에 따라 하천수질에 미치는 영향이 달라 요인분석결과가 다르므로 향후 이를 고려하여 하천별 특성에 맞는 중점관리 대상지역 선정 및 효율적인 수질개선 계획의 수립 시 활용할 수 있을 것이다.

다만 하천으로 유입된 오염물질의 영향정도 등을 보다 명확하게 분석하기 위해서는 하천수질에 대한 오염물질별 기여도와 유량에 따른 유출특성을 고려하여 연구되어야 할 것이다.

Notes

[1] 수질오염총량관리 기술지침에서 구분하는 오염원그룹 생활계, 축산계, 산업계, 토지계, 양식계, 매립계에서 본 연구에서는 주요 오염원을 제외한 양식계, 매립계를 기타오염원으로 분류함

[2] 수질오염총량관리기술지침 토지계 발생원단위 ‘대지’는 대지, 공장용지, 학교용지, 도로(도로사면제외), 철도용지(철도선로 및 사면제외), 주차장, 주유소용지, 창고용지, 체육용지(골프장, 스키장 제외), 유원지, 종교용지, 사적지를 포함

[3] 할당대상시설은 이행평가 기준(별표2) ‘할당시설의 배출부하량 산정 및 평가방법’에 준하여 산정 [환경부 고시 제2014-71호, 2014.4.30., 일부 개정]

References

1 
(2014), Implementation Assessment Report of Total Pollutant Management on Han-river basin of Anyang-si at 2013, Anyang-si. (2014). Implementation Assessment Report of Total Pollutant Management on Han-river basin of Anyang-si at 2013, Anyang-si, pp. 1.1-1.23, 3.1-3.24. [Korean Literature], pp. 1.1-1.23, 3.1-3.24Google Search
2 
(2014), Implementation Assessment Report of Total Pollutant Management on Han-river basin of Anseong-si at 2013, Anseong-si. (2014). Implementation Assessment Report of Total Pollutant Management on Han-river basin of Anseong-si at 2013, Anseong-siy, pp. 1.1-1.18, 3.1-3.16. [Korean Literature], pp. 1.1-1.18, 3.1-3.16Google Search
3 
(2014), Implementation Assessment Report of Total Pollutant Management on Han-river basin of Bucheon-si at 2013, Bucheon-si. (2014). Implementation Assessment Report of Total Pollutant Management on Han-river basin of Bucheon-si at 2013, Bucheon-si, pp. 1.1-1.42, 1.1-3.37. [Korean Literature], pp. 1.1-1.42, 1.1-3.37Google Search
4 
Cho B. K., Choi J. H., Yi S. J., Kim Y. I., (2012), Selection Priority of Tributary Catchments For Improving Quality using Stream Grouping Method, Journal of Korean Society on water Environment, Cho, B. K., Choi, J. H., Yi, S. J., and Kim, Y. I. (2012). Selection Priority of Tributary Catchments For Improving Quality using Stream Grouping Method, Journal of Korean Society on water Environment, 28(1), pp. 18-25. [Korean Literature], Vol. 28, No. 1, pp. 18-25Google Search
5 
(2014), Implementation Assessment Report of Total Pollutant Management on Han-river basin of Dongducheon-si at 2013, Dongducheon-si. (2014). Implementation Assessment Report of Total Pollutant Management on Han-river basin of Dongducheon-si at 2013, Dongducheon-si, pp. 3-50. [Korean Literature], pp. 3-50Google Search
6 
(2014), Implementation Assessment Report of Total Pollutant Management on Han-river basin of Gapyeonggun at 2013, Gapyeong-gun. (2014). Implementation Assessment Report of Total Pollutant Management on Han-river basin of Gapyeonggun at 2013, Gapyeong-gun, pp. 113-142. [Korean Literature], pp. 113-142Google Search
7 
(2014), Implementation Assessment Report of Total Pollutant Management on Han-river basin of Gimpo-si at 2013, Gimpo-si. (2014). Implementation Assessment Report of Total Pollutant Management on Han-river basin of Gimpo-si at 2013, Gimpo-si, pp. 81-98. [Korean Literature], pp. 81-98Google Search
8 
(2014), Implementation Assessment Report of Total Pollutant Management on Han-river basin of Guri-si at 2013, Guri-si. (2014). Implementation Assessment Report of Total Pollutant Management on Han-river basin of Guri-si at 2013, Guri-si, pp. 3-62. [Korean Literature], pp. 3-62Google Search
9 
(2014), Implementation Assessment Report of Total Pollutant Management on Han-river basin of Gunpo-si at 2013, Gunpo-si. (2014). Implementation Assessment Report of Total Pollutant Management on Han-river basin of Gunpo-si at 2013, Gunpo-si, pp. 4.1-4.10. [Korean Literature], pp. 4.1-4.10Google Search
10 
(2014), Implementation Assessment Report of Total Pollutant Management on Han-river basin of Gwacheon-si at 2013, Gwacheon-si. (2014). Implementation Assessment Report of Total Pollutant Management on Han-river basin of Gwacheon-si at 2013, Gwacheon-si, pp. 4.1-4.13. [Korean Literature], pp. 4.1-4.13Google Search
11 
(2014), Implementation Assessment Report of Total Pollutant Management on Han-river basin of Gwangju-si at 2013, Gwangju-si. (2014). Implementation Assessment Report of Total Pollutant Management on Han-river basin of Gwangju-si at 2013, Gwangju-si, pp. 4.1-4.69. [Korean Literature], pp. 4.1-4.69Google Search
12 
(2014), Implementation Assessment Report of Total Pollutant Management on Han-river basin of Gwangmyeong-si at 2013, Gwangmyeong-si. (2014). Implementation Assessment Report of Total Pollutant Management on Han-river basin of Gwangmyeong-si at 2013, Gwangmyeong-si, pp. 4.1-4.18. [Korean Literature], pp. 4.1-4.18Google Search
13 
(2014), Implementation Assessment Report of Total Pollutant Management on Han-river basin of Goyang-si at 2013, Goyang-si. (2014). Implementation Assessment Report of Total Pollutant Management on Han-river basin of Goyang-si at 2013, Goyang-si, pp. 4.1-4.35. [Korean Literature], pp. 4.1-4.35Google Search
14 
(2014), Implementation Assessment Report of Total Pollutant Management on Han-river basin of Hanam-si at 2013, Hanam-si. (2014). Implementation Assessment Report of Total Pollutant Management on Han-river basin of Hanam-si at 2013, Hanam-si, pp. 4.1-4.17. [Korean Literature], pp. 4.1-4.17Google Search
15 
(2014), Implementation Assessment Report of Total Pollutant Management on Han-river basin of Icheon-si at 2013, Icheon-si. (2014). Implementation Assessment Report of Total Pollutant Management on Han-river basin of Icheon-si at 2013, Icheon-si, pp. 4.1-4.25. [Korean Literature], pp. 4.1-4.25Google Search
16 
(2014), Implementation Assessment Report of Total Pollutant Management on Han-river basin of In-cheon Metropolitan City at 2013, In-cheon Metropolitan City. (2014). Implementation Assessment Report of Total Pollutant Management on Han-river basin of In-cheon Metropolitan City at 2013, In-cheon Metropolitan City, pp. 4.3-4.49. [Korean Literature], pp. 4.3-4.49Google Search
17 
Lee S. J., Kim Y. Y., (2011), Evaluation of Water Quality For the Han River Tributaries Using Multivariate Analysis, Korean Society of Environmental Engineers, Lee, S. J. and Kim, Y. Y. (2011). Evaluation of Water Quality For the Han River Tributaries Using Multivariate Analysis, Korean Society of Environmental Engineers, 33(7), pp. 501-510. [Korean Literature], Vol. 33, No. 7, pp. 501-510DOI
18 
Lim C. S., (1999), Multivariate Analysis of Water Quality Data at 14 Stations in the Geum-River Watershed, Journal of Environmental Science International, Lim, C. S. (1999). Multivariate Analysis of Water Quality Data at 14 Stations in the Geum-River Watershed, Journal of Environmental Science International, 8(3), pp. 331-336. [Korean Literature], Vol. 8, No. 3, pp. 331-336Google Search
19 
(2014a), ATC on the Improvement of Water Quality and Support for Residents of the Han River Basin, Ministry of Environment (MOE). (2014a). ATC on the Improvement of Water Quality and Support for Residents of the Han River Basin, Ministry of Environment, pp. 1-24. [Korean Literature], pp. 1-24Google Search
20 
(2014b), National Institue of Envirment Research (WEIS), Ministry of Environment (MOE). (2014b). National Institue of Envirment Research (WEIS), http://water.nier.go.kr/waterMeasurement/selectWater.do (accessed jun. 2015)Google Search
21 
(2014), Implementation Assessment Report of Total Pollutant Management on Han-river basin of Namyangju-si at 2013, Namyangju-si. (2014). Implementation Assessment Report of Total Pollutant Management on Han-river basin of Namyangju-si at 2013, Namyangju-si, pp. 85-119. [Korean Literature], pp. 85-119Google Search
22 
(2014), Water Emission Management System (WEMS), National Institue of Envirment Research (NIER). (2014). Water Emission Management System (WEMS), http://wems.nier.go.kr (accessed jun. 2015)Google Search
23 
(2014), Implementation Assessment Report of Total Pollutant Management on Han-river basin of Paju-si at 2013, Paju-si. (2014). Implementation Assessment Report of Total Pollutant Management on Han-river basin of Paju-si at 2013, Paju-si, pp. 123-151. [Korean Literature], pp. 123-151Google Search
24 
Park J. D., Choi O. Y., Oh S. Y., (2012), Characterization on Pollution Discharge Load at the Unit Watershed for the Management of Total Maximum Daily Loads - in Guem River Basin, Journal of Korean Society on Water Environment, Park, J. D., Choi, O. Y., and Oh, S. Y. (2012). Characterization on Pollution Discharge Load at the Unit Watershed for the Management of Total Maximum Daily Loads - in Guem River Basin, Journal of Korean Society on Water Environment, 28(6), pp. 786-795. [Korean Literature], Vol. 28, No. 6, pp. 786-795Google Search
25 
(2014), Implementation Assessment Report of Total Pollutant Management on Han-river basin of Pocheon-si at 2013, Pocheon-si. (2014). Implementation Assessment Report of Total Pollutant Management on Han-river basin of Pocheon-si at 2013, Pocheon-si, pp. 113-150. [Korean Literature], pp. 113-150Google Search
26 
(2014), Implementation Assessment Report of Total Pollutant Management on Han-river basin of Siheung-si at 2013, Siheung-si. (2014). Implementation Assessment Report of Total Pollutant Management on Han-river basin of Siheung-si at 2013, Siheung-si, pp. 4.1-4.8. [Korean Literature], pp. 4.1-4.8Google Search
27 
(2014), Implementation Assessment Report of Total Pollutant Management on Han-river basin of Seongnam-si at 2013, Seongnam-si. (2014). Implementation Assessment Report of Total Pollutant Management on Han-river basin of Seongnam-si at 2013, Seongnam-si, pp. 4.1-4.18. [Korean Literature], pp. 4.1-4.18Google Search
28 
(2015), Implementation Assessment Report of Total Pollutant Management on Han-river basin of Seoul Special City at 2013, Seoul Special City. (2015). Implementation Assessment Report of Total Pollutant Management on Han-river basin of Seoul Special City at 2013, Seoul Special City, pp. 4.1-4.30. [Korean Literature], pp. 4.1-4.30Google Search
29 
Song J. J., (2009), SPSS/AMOS Statistical Methods for Writing Papers, Song, J. J. (2009). SPSS/AMOS Statistical Methods for Writing Papers, 21-Segisa, pp. 246-277. [Korean Literature], pp. 246-277Google Search
30 
Sohn S. M., Park J. H., (2012), Comparison of Water Quality Variation Characteristics at the Gapyeong and Shin Stream using Multivariate Analysis, Journal of Korean Society on Water Environment, Sohn, S. M. and Park, J. H. (2012). Comparison of Water Quality Variation Characteristics at the Gapyeong and Shin Stream using Multivariate Analysis, Journal of Korean Society on Water Environment, 29(6), pp. 798-799. [Korean Literature], Vol. 29, No. 6, pp. 798-799Google Search
31 
(2014), Implementation Assessment Report of Total Pollutant Management on Han-river basin of Uijeongbu-si at 2013, Uijeongbu-si. (2014). Implementation Assessment Report of Total Pollutant Management on Han-river basin of Uijeongbu-si at 2013, Uijeongbum-si, pp. 59-70. [Korean Literature], pp. 59-70Google Search
32 
(2014), Implementation Assessment Report of Total Pollutant Management on Han-river basin of Uiwang-si at 2013, Uiwang-si. (2014). Implementation Assessment Report of Total Pollutant Management on Han-river basin of Uiwang-si at 2013, Uiwang-si, pp. 59-90. [Korean Literature], pp. 59-90Google Search
33 
(2014), Implementation Assessment Report of Total Pollutant Management on Han-river basin of Yangju-si at 2013, Yangju-si. (2014). Implementation Assessment Report of Total Pollutant Management on Han-river basin of Yangju-si at 2013, Yangju-si, pp. 69-83. [Korean Literature], pp. 69-83Google Search
34 
(2014), Implementation Assessment Report of Total Pollutant Management on Han-river basin of Yangpyeong-gun at 2013, Yangpyeong-gun. (2014). Implementation Assessment Report of Total Pollutant Management on Han-river basin of Yangpyeong-gun at 2013, Yangpyeong-gun, pp. 155-187. [Korean Literature], pp. 155-187Google Search
35 
(2014), Implementation Assessment Report of Total Pollutant Management on Han-river basin of Yeoju-si at 2013, Yeoju-si. (2014). Implementation Assessment Report of Total Pollutant Management on Han-river basin of Yeoju-si at 2013, Yeoju-si, pp. 4.1-4.97. [Korean Literature], pp. 4.1-4.97Google Search
36 
(2014), Implementation Assessment Report of Total Pollutant Management on Han-river basin of Yeoncheongun at 2013, Yeoncheon-gun. (2014). Implementation Assessment Report of Total Pollutant Management on Han-river basin of Yeoncheongun at 2013, Yeoncheon-gun, pp. 109-125. [Korean Literature], pp. 109-125Google Search
37 
(2014), Implementation Assessment Report of Total Pollutant Management on Han-river basin of Yongin-si at 2013, Yongin-si. (2014). Implementation Assessment Report of Total Pollutant Management on Han-river basin of Yongin-si at 2013, Yongin-si, pp. 4.1-4.58. [Korean Literature], pp. 4.1-4.58Google Search