The Journal of
the Korean Society on Water Environment

The Journal of
the Korean Society on Water Environment

Bimonthly
  • ISSN : 2289-0971 (Print)
  • ISSN : 2289-098X (Online)
  • KCI Accredited Journal

Editorial Office





Algal bloom, DO depletion, Gangjung-Goryoung weir, Nakdong river, Thermal stratification

1. Introduction

국내에서는 전 지구적 기후변화 등으로 인한 가뭄 및 홍수 피해 방지, 건강한 수생태계 조성, 다양한 친수공간 조성 등을 목적으로 2009년 말부터 4대강 사업이 추진되었다. 4대강 주요 구간에서 퇴적토 준설, 16개 다기능 보 및 중소규모 댐 건설, 농업용 저수지 증고 등 다양한 사업이 시행되었으며, 이로 인해 하천 환경이 크게 변화하였다. 수심과 저수용량이 크게 증가하였으며, 다기능 보와 상류 댐 및 저수지 운영을 통한 하천 유량의 인위적 조절 가능성도 증대되었다.

한편 수온은 수체의 흐름 구조, 생물·화학적 반응 속도, 수중 생태계 구성에 영향을 미치는 중요한 인자 중 하나이며, 특히 조류와 같은 수중 생물들의 성장과 호흡 속도, 종 구성과 분포 등에 중요한 영향을 미치는 것으로 연구된 바 있다(RAMP, 2012; Shade et al., 2010). 자연적으로 수온의 변화 과정은 기상조건에 가장 큰 영향을 받으며, 이와 함께 수체의 위치, 길이와 폭, 수심과 저수용량, 유속 등과 같은 물리적 조건에도 크게 영향을 받는다(Caissie et al., 2007; RAMP, 2012; Ward, 1995). 즉 4대강 사업에 따른 물리적 하천 환경 변화는 수온 구조에 큰 변화를 야기할 수 있으며, 이러한 수온 변화는 수질 및 수생태계에 직·간접적인 영향을 미칠 것으로 판단된다. 따라서 4대강 환경 변화에 대응한 효율적 수질 및 수생태계 관리를 위해서는 사업 이후 나타나는 시·공간적 수온 및 수질 분포에 대한 정밀 조사와 과학적 이해가 우선적으로 필요하다.

환경부에서는 16개 보에서 1개 대표지점을 선정하여 수질측정망을 운영하고 있으며, 「수질오염공정시험기준」에 따라 횡방향으로는 수심이 가장 깊은 중앙 지점과 좌·우안에서 수심이 2 m 이상일 때에는 수심의 1/3과 2/3 지점에서 각각 채취한 시료를 혼합하여 수질을 조사하고 있다(MOE, 2014). 이는 수질 현황과 계절적 변화 특성 등을 파악하는데 효율적으로 활용되고 있으나, 공간적 분포 특성을 파악하는데 한계가 있는 실정이다. 이에 환경부에서는 수질의 시·공간적 분포를 파악함으로써 녹조발생 매커니즘 규명, 대응방안 마련 등에 활용하기 위해 2014년부터 입체모니터링 시범 운영을 시행하고 있다. 본 연구에서는 4대강에 건설된 16개 보 중 최대 규모인 낙동강 강정고령보를 대상으로 시행된 입체모니터링 결과를 바탕으로 시·공간적 수질 분포 특성을 분석하였으며, 분석 결과를 바탕으로 향후 효율적 수질관리를 위한 모니터링 방안을 제시하는 것으로 목적으로 하였다.

2. Materials and Methods

2.1. 연구대상지역

낙동강은 강원도 태백산에서 발원하여 강원도, 경상북도와 대구시, 경상남도와 부산시를 거쳐 남해로 유입되는 우리나라 제 2의 하천이다. 낙동강은 본류를 포함하여 반변천, 내성천, 감천, 금호강 등 지류 국가하천으로 구성되어 있으며, 본류 구간의 길이는 400.7 km에 이른다(Fig. 1). 낙동강 유역은 한반도 남동부(동경 127° 29' ~ 129° 18', 북위 35° 03' ~ 37°13')에 위치하고 있으며, 유역면적이 23,817 km2로 우리나라 국토면적의 약 24%를 차지하고 있다.

Fig. 1.

Location of the Nakdong river and the Gangjung-Goryoung weirs.

../../Resources/kswe/31-6/images/SJBJB8_2015_v31n6_723_f001.jpg

2009년부터 시행된 4대강살리기사업으로 낙동강 본류 중 안동댐 하류에서 하구둑에 이르는 총 334.2km 구간에서 4.4억m3에 이르는 퇴적토가 준설되었으며, 고정보, 가동보, 어도, 소수력발전소로 구성된 다기능보가 8개 건설되었다(Fig. 1).

이 중 강정고령보는 상류에서부터 5번째 위치한 보로 보 길이 953.5 m, 관리수위(19.5 m), 저수용량 103.2백만m3으로 4대강 16개 보 중 가장 큰 규모이다(MOCT, 2009). 칠곡보에서 강정고령보까지 25.2 km 구간에는 동정천, 강정천, 백천, 신천, 하빈천이 유입되며, 보 상류 5 km 이내 구간에는 고령광역, 문산, 매곡 취수장이 위치하고 있다.

2.2. 수질조사방법

본 연구에서는 낙동강 강정고령보 상류 1~5 km 구간을 대상으로 하였으며, 총 10개 지점에서 조사를 실시하였다(Fig. 2). 10개 지점은 흐름방향, 수평 및 수직방향으로 3차원으로 배치하였다. 즉, 보 상류 5 km 지점부터 흐름방향(상류→하류)으로 500 m 간격으로 배치하였으며, 수평방향으로 우안, 중앙, 좌안 순으로 배치하였다. 단, 보 상류 1 km 지점에서는 흐름방향으로 동일 위치에서 수평방향의 수질변화를 조사하기 위하여 좌안과 우안에 2개 지점을 배치하였다. 수직방향으로는 각 지점에서 표층(수표면으로부터 50 cm 이내), 중층(수심의 3분의 1 지점), 저층(수심의 3분의 2 지점)에서 조사를 실시하였다. 10개 조사 지점에서의 수심은 11월 2차 조사시(2014년 11월 26일)를 기준으로 강정4 지점을 제외한 9개 지점에서 8.5 m 이상이며, 강정5 지점에서 최대 12.4 m의 수심을 보였다.

Fig. 2.

Monitoring locations in the Gangjung-Goryoung weir of the Nakdong river.

../../Resources/kswe/31-6/images/SJBJB8_2015_v31n6_723_f002.jpg

조사시기는 2014년 2월부터 11월까지이며, 2~6월에는 월 1회, 7~11월에는 월 2회 조사를 시행하였다. 조사항목은 수온, pH, 용존산소(Dissolved Oxygen, DO) 농도, 전기전도도, 클로로필 a 농도이며, 클로로필 a 농도를 제외한 수질항목은 YSI 6600EDS 장비를 이용하여 현장에서 측정하였다.

한편 강정고령보의 기상 및 수문현황 분석을 위해서는 K-water에서 제공하는 실시간 보운영자료를 활용하였다(K-water, 2014).

3. Results and Discussion

3.1. 기상 및 수문 현황

조사기간 중 강정고령보 수위와 유입 및 방류량 변화를 강우량과 함께 Fig. 3에 제시하였다. 강정고령보에서 관측된 2014년 연간 강우량은 997.6 mm이며, 전체 강우량의 36%가 8월에 집중되었다. 강정고령보의 연평균 유입 및 방류량은 약 150 m3/sec로 집중 강우가 발생한 8월에는 일평균 방류량이 최대 2,154 m3/sec까지 증가하였다. 한편 보 수위는 7월 중순부터 9월 말, 12월 동안에는 관리수위 19.5 m로 유지하였고, 그 외 기간에는 지하수위 영향을 고려하여 19.0 m (어도제약수위) 수준으로 낮추어 운영되었다.

Fig. 3.

Temporal variations of precipitation and flow rates of the Gangjung-Goryung weir of the Nakdong river.

../../Resources/kswe/31-6/images/SJBJB8_2015_v31n6_723_f003.jpg

한편 수체의 수리학적 체류시간은 저수용량을 유량으로 나눈 값으로 정의할 수 있으며, 수심과 체류시간은 혼합과 수질 특성에 크게 영향을 미친다(Martin and McCutcheon, 1998). 2014년 강정고령보의 월평균 체류시간은 집중 강우가 발생한 8월을 제외하고 5.1~25.8일로 분석되었으며, 1~7월에는 전년 동기간 대비 강우량 감소 등의 영향으로 체류시간이 1.4~4.5배 증가한 것으로 나타났다(Table 1). 7월에는 6월에 비해 강우량이 다소 증가하였음에도 불구하고 체류시간은 9.3일에서 16.5일로 증가하였으며, 이는 7월 초순에 관리수위를 19.0 m에서 19.5 m로 증가시키면서 방류량이 급격히 감소하였기 때문인 것으로 판단된다.

Table 1.

Mean monthly averaged residence time of the Gangjung-Goryoung weir (MOE, 2015)

../../Resources/kswe/31-6/images/SJBJB8_2015_v31n6_723_t001.jpg

3.2. 시·공간적 수온 분포

강정고령보 10개 지점에서 측정된 수심평균 수온 변화를 Fig. 4에 제시하였다. 그림에서 보는 바와 같이 2월 이후 기온 증가 영향으로 수온이 점차 증가하는 경향을 보이며, 8월 1차 조사시 (2014년 8월 5일) 평균 수온이 27.1℃(26.2~28.3℃)로 최고치를 나타냈다. 8월 2차 조사시 (2014년 8월 29일)에는 8월에 발생한 350 mm 이상의 집중 강우 영향으로 수온이 급격히 감소하였으며, 이후 기온 감소의 영향으로 수온이 점차 감소하는 경향을 보였다.

Fig. 4.

Temporal variations of depth-averaged water temperature of the Gangjung-Goryung weir of the Nakdong river.

../../Resources/kswe/31-6/images/SJBJB8_2015_v31n6_723_f004.jpg

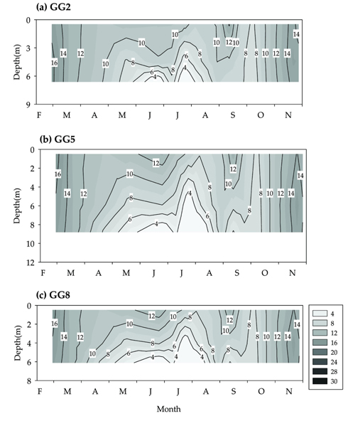
강정고령보의 공간적 수온 분포 특성을 분석하기 위해서 수심평균 수온의 횡적 분포와 주요 조사지점에서 연직 수온 분포의 계절적 변화를 Fig. 5~6에 제시하였다.

Fig. 5.

Seasonal variations of depth-averaged water temperature (℃) in the horizontal plane.

../../Resources/kswe/31-6/images/SJBJB8_2015_v31n6_723_f005.jpg
Fig. 6.

The isothermal variations (℃) of the Gangjung-Goryung weir of the Nakdong river.

../../Resources/kswe/31-6/images/SJBJB8_2015_v31n6_723_f006.jpg

수심평균 수온의 경우 지점별 차이가 크지 않으나, 여름과 겨울에는 2℃ 내외의 차이를 보였다. 특히 비교적 수심이 깊은 지점과 소하천이 합류되는 좌안을 중심으로 겨울철에는 다소 낮은, 여름철에는 다소 높은 수온을 보이는 것으로 나타났다.

Fig. 6에서 보는 바와 같이 2월 이후 기온이 증가하면서 상하층간 수온 차이가 점차 증가하는 경향을 보이며, 8월 1차 조사시 GG5 지점에서 최대 6.4℃까지 증가하였다. 이는 저층 수온이 전체 수심의 3분의 2 깊이에서 측정한 값임을 감안하여도 소양호, 대청호 등 국내 대형 호수와 비교할 때 상대적으로 상하층간 수온 차이는 크지 않은 것으로 나타났다(Cha et al., 2010; Chung et al., 2009). 소규모 댐이나 보 등의 건설로 형성된 하천형 호수에서는 비교적 수심이 얕고 체류시간이 짧아 수온성층이 매우 약하게 형성되며, 여름철 성층 형성시에도 강우시 유량 증가와 바람에 의한 수직 혼합이 빈번하게 발생하는 것으로 보고되어 있다(Martin and McCutcheon, 1998; Na and Park, 2005).

수온성층 형성은 대기와의 열교환, 바람에 의한 혼합 등 기상여건과 함께 수심, 지형, 유량 등 물리적 환경에 크게 영향을 받는다. Norton et al. (1968)에 의해 제안된 수정된 Fd (Froude number)는 수온성층 잠재력을 나타내는 지표로 활용된다. 아래의 식 (1)에서 Fd >> 1/π인 경우에는 수직 혼합이 잘 일어나는 반면 Fd << 1/π인 경우에는 성층이 형성될 것으로 판단할 수 있다. 또한 Fd≈1/π인 경우에는 약한 또는 일시적인 성층이 형성되는 것으로 판단할 수 있다.

../../Resources/kswe/31-6/images/SJBJB8_2015_v31n6_723_e901.jpg

여기서, g는 중력가속도(m·s−2), e는 무단위 밀도 gradient(10−6m−1), L은 수체 길이(m), Q는 평균 유출량(m3·s), Dm은 평균 수심(m), V는 평균 저수량(m3)이다. 강정고령보의 경우 2014년을 기준으로 집중강우가 발생하는 8월을 제외한 월평균 Fd는 0.6~2.9 (1.6)의 범위를 보였으며, 동일한 조건을 기준으로 팔당호의 월평균 Fd는 0.7~1.3 (1.0)으로 분석되었다. 이를 바탕으로 볼 때 강정고령보에서는 수온성층이 매우 약하게 나타나는 것으로 판단할 수 있다.

한편 여름철 집중 강우 이후에는 수온 감소와 함께 상하층간 수온 차이도 감소하는 것으로 나타났다.

3.3. 시·공간적 조류 농도 분포

2014년 2월부터 11월까지 강정고령보에서 측정된 클로로필 a 농도는 4.6~141.6 mg/m3로 시·공간적 차이가 매우 큰 것으로 나타났다.

Fig. 7에서 보는 바와 같이 수심평균 클로로필 a 농도는 2~3월과 11월에 상대적으로 높게 나타나며, 11월 1차 조사시(2014년 11월 20일)에는 119.5 mg/m3 (102.7~141.6)까지 증가하였다. 최근 연구 결과(Yu et al., 2014; Yu et al., 2015)에 따르면 강정고령보 등 낙동강 중하류 보에서는 일반적으로 11월부터 3월까지 Stephanodiscus sp.에 의한 수화현상이 발생하며, 이후에는 Aulacoseria granulata, Fragilaria crotonensis, Aphanizomenon flos-aquae 등 다양한 조류종이 나타난다. Microcystis sp.는 Stephanodiscus sp.의 개체밀도가 감소하는 18℃ 정도에서 개체수가 증가하기 시작하며, 수온이 약 25℃ 이상이 되는 6월 중순부터 9월 중순까지 집중강우 전후 기간에 Microcystis sp.에 의한 수화현상이 나타나고 있다. 낙동강에서 발생하는 Stephanodiscus sp.의 경우 다른 조류종에 비해 세포당 클로로필 a 함량이 다소 높은 것으로 조사된 바 있으며(NIER, 2003), 따라서 Stephanodiscus sp.가 우점하는 가을부터 초봄까지 클로로필 a 농도가 다소 높게 나타나는 것으로 판단된다.

Fig. 7.

Temporal variations of depth-averaged Chlorophyll a concentrations of the Gangjung-Goryung weir of the Nakdong river.

../../Resources/kswe/31-6/images/SJBJB8_2015_v31n6_723_f007.jpg

Fig. 8은 수심평균 클로로필 a 농도의 횡적 분포를 계절별로 제시한 것이다. 겨울과 봄에는 지점별 농도 차이가 크지 않으나, 여름과 늦가을에는 농도 차이가 크게 나타났다. 앞서 설명한 바와 같이 11월 1차 조사시에는(2014년 11월 20일) 평균 클로로필 a 농도가 119.5 mg/m3까지 증가하면서 지점별로 최대 38.9 mg/m3까지 농도 차이를 보였다. 특히 8월 1차 조사시(2014년 8월 5일) 평균 클로로필 a 농도는 20.0 mg/m3으로 높지 않은 반면 지점별 농도 차이가 최대 27.5 mg/m3까지 발생하였으며, 특히 하빈천 등 소하천이 합류되는 좌안을 중심으로 높은 농도를 보였다.

Fig. 8.

Seasonal variations of depth-averaged Chlorophyll a concentrations (mg/m3) in the horizontal plane.

../../Resources/kswe/31-6/images/SJBJB8_2015_v31n6_723_f008.jpg

클로로필 a 농도의 횡적 차이가 크게 나타나는 8월 1차 조사시와 11월 1차 조사시를 대상으로 상·중·하층에서의 횡적 농도 분포를 Fig. 9에 제시하였으며, 주요 조사지점에서 연직 농도 분포 변화를 Fig. 10에 함께 제시하였다. 그림에서 보는 바와 같이 2~4월과 10월 이후에는 상하층간 농도 차이가 거의 없으나, 5월에서 10월 초까지는 표층을 중심으로 농도가 증가하면서 상하층간 뚜렷한 농도 차이가 발생하였다. 특히 8월 1차 조사시에는 상하층간 농도 차이가 최대 77.9 mg/m3까지 증가하며, 표층에서 지점별 농도 차이가 최대 72.0 mg/m3까지 나타났다. 앞서 설명한 바와 같이 수온이 18℃ 이상 증가하는 5월부터는 Microcystis 의 증가 속도가 높아지며, 7월부터 8월 초에는 수온이 25℃ 이상 유지되어 Microcystis 수화현상이 발생한다(Robarts and Zohary, 1987; Xia et al., 2011). Microcystis 등 일부 남조류는 세포 내 기낭을 이용한 부력 조절을 통해 최적 성장 조건을 갖는 수심으로 이동할 수 있으며, 특히 수체가 안정되는 시기에는 부력을 갖는 남조류가 수표면에 축적되고 바람 또는 물 흐름에 따라 특정 방향의 하안을 중심으로 스컴을 형성하는 것으로 알려져 있다(WHO, 2003). 특히 이런 즉 여름철 집중 강우 전후에 남조류가 번성하면서 클로로필 a 농도의 공간적 농도 차이가 매우 크게 나타나는 것으로 판단된다.

Fig. 9.

Seasonal variations of Chlorophyll a concentrations (mg/m3) in each layer. (a) Summer (5 Aug, 2014), (b) Fall (20 Nov, 2014)

../../Resources/kswe/31-6/images/SJBJB8_2015_v31n6_723_f009.jpg
Fig. 10.

The isoquant contour lines of Chlorophyll a concentrations (mg/m3) of the Gangjung-Goryung weir of the Nakdong river.

../../Resources/kswe/31-6/images/SJBJB8_2015_v31n6_723_f010.jpg

3.4. 시·공간적 용존산소 농도 분포

강정고령보의 수심평균 DO 농도 변화를 Fig. 11에 제시하였다. 그림에서 보는 바와 같이 2월 이후 DO 농도가 점차 감소하는 경향을 보이며, 7월 2차 조사시(2014년 7월 23일) 5.5 mg/L (4.0~8.2)까지 감소하였다. 이는 수온이 증가함에 따라 DO 포화농도가 감소하기 때문인 것으로 판단된다(Martin and McCutcheon, 1998). 이후 8월부터는 수온이 증가하면서 DO 농도가 점차 증가하는 경향을 보였다.

Fig. 11.

Temporal variations of depth-averaged DO concentrations of the Gangjung-Goryung weir of the Nakdong river.

../../Resources/kswe/31-6/images/SJBJB8_2015_v31n6_723_f011.jpg

DO 농도의 공간적 분포 특성을 분석하기 위해서 수심평균 농도의 횡적 분포와 주요 조사지점에서 연직 농도 분포의 계절적 변화를 Fig. 12~13에 제시하였다.

Fig. 12.

Seasonal variations of depth-averaged DO concentrations (mg/L) in the horizontal plane.

../../Resources/kswe/31-6/images/SJBJB8_2015_v31n6_723_f012.jpg
Fig. 13.

The isoquant contour lines of DO concentrations (mg/L) of the Gangjung-Goryung weir of the Nakdong river.

../../Resources/kswe/31-6/images/SJBJB8_2015_v31n6_723_f013.jpg

수심평균 DO 농도의 경우 6월 말부터 8월 초까지는 지점별로 최대 4.3 mg/L까지 차이를 보였으며, 그 외 기간에는 횡적 차이가 크지 않았다.

수층별 DO 농도 분포 또한 계절에 따라 큰 차이를 보였다. 즉 2~4월과 10월 이후에는 상하층간 농도 차이가 거의 없으나, 5월 말부터 9월 중순까지 수심이 깊어질수록 농도가 감소하는 경향을 보였다. 특히 6월 조사시(2014년 6월 24일) GG1-1, CG5, CG7 지점에서는 상하층간 농도 차이가 11 mg/L 이상 증가하였으며, 이때부터 8월 초까지는 대부분 조사지점의 저층에서 빈산소 상태(DO 농도 2 mg/L 이하)가 관찰되었다. 이는 표층에서는 조류 광합성의 영향으로 산소가 생성되는 반면 저층에서는 수중 유기물과 함께 바닥에 침강된 유기물의 분해로 산소가 소비되며, 여름철 건기를 중심으로 상하층간 수온 차이가 커지면서 수체의 수직 혼합이 제한되어 대기 중의 산소가 저층까지 전달되기 어렵기 때문인 것으로 판단된다. 또한 이 시기에는 높은 수온의 영향으로 분해속도가 빨라지며 산소소비가 증가하는 것으로 판단된다. Lee et al. (2014)의 연구에서도 낙동강 강정고령보와 달성보에서 산소소비속도를 측정한 결과 표층에 비해 저층에서 산소가 빠르게 소모되며, 4월보다 8월에 1.5~1.8배 속도가 증가하는 것으로 조사된 바 있다.

한편 9월 말부터는 상하층간 수온 차이가 감소하면서 DO 농도 차이도 감소하며, 10월부터는 전 수층에서 유사한 농도가 유지되는 것으로 나타났다.

3.5. 시·공간적 pH 분포

Fig. 14에서 보는 바와 같이 강정고령보에서 수심평균 pH은 연중 7.0~9.0을 유지하며, 수온이 낮은 겨울철에 상대적으로 높은 경향을 보였다. 순수한 물의 pH는 0~30℃ 범위에서 6.92~7.47로 수온이 감소함에 따라 pH가 증가하는 경향을 보이며, 낮 동안 조류 성장에 따른 광합성의 영향으로 pH가 높게 나타나는 것으로 판단된다.

Fig. 14.

Temporal variations of depth-averaged pH of the Gangjung-Goryung weir of the Nakdong river.

../../Resources/kswe/31-6/images/SJBJB8_2015_v31n6_723_f014.jpg

강정고령보에서 pH의 공간적 분포 특성을 분석한 결과, 수심 평균 pH의 횡적 차이는 거의 없는 반면 5~9월에 상하층간 차이가 발생하는 것으로 나타났다(Fig. 15~16). Fig. 16에서 보는 바와 같이 5~9월에는 수심이 깊어질수록 pH가 감소하는 경향을 보이며, 7월 2차 조사시(2014년 7월 23일) CG7 지점에서 상하층간 pH 차이가 최대 2.1까지 증가하였다. 이러한 pH의 공간적 분포는 조류 농도 분포와 유사한 특성을 보이고 있다. 즉 5~9월에는 수표면을 중심으로 증가한 조류의 광합성 영향으로 표층에서 pH가 크게 증가하며, 여름철 건기를 중심으로 상하층간 수온 차이가 커지면서 수직 혼합이 제한되어 상하층간 pH 차이가 커지는 것으로 판단된다.

Fig. 15.

Seasonal variations of depth-averaged pH in the horizontal plane.

../../Resources/kswe/31-6/images/SJBJB8_2015_v31n6_723_f015.jpg
Fig. 16.

The isoquant contour lines of pH of the Gangjung-Goryung weir of the Nakdong river.

../../Resources/kswe/31-6/images/SJBJB8_2015_v31n6_723_f016.jpg

4. Conclusion

본 연구에서는 낙동강 중류 강정고령보를 대상으로 2014년 2월부터 11월까지 시·공간적 수질 분포 특성을 분석하였으며, 이를 통해 도출된 주요 결과는 다음과 같다.

1) 강정고령보의 수온은 여름철 건기를 중심으로 공간적 차이가 발생하며, 특히 상하층간 수온 차이가 약 6℃까지 발생하는 것으로 나타났다. 지형 및 수문 여건상 강정고령보에서 발생하는 수온성층은 팔당호보다 다소 약한 수준으로 판단되나, 상하층 수온 차이는 여름철 표층에서의 조류 농도 및 pH 증가, 저층 DO 부족 현상에 직접적인 영향을 미치는 것으로 판단된다.

2) 수심평균 클로로필 a 농도는 규조류가 우점하는 늦가을부터 초봄까지 높은 경향을 보이며, 반면 5~9월에는 평균 농도는 높지 않으나 공간적 농도 차이가 크게 발생하였다. 특히 여름철 집중 강우 전후에 수체가 안정되면서 부력이 있는 남조류가 표층과 보 좌안을 중심으로 집중되는 것으로 나타났다.

3) 5월부터 9월에는 수심이 증가함에 따라 용존산소 농도가 감소하는 경향이 뚜렷하며, 상하층간 농도 차이가 최대 11.8 mg/L까지 나타났다. 특히 6월 말부터 8월 초에는 저층에서 빈산소 상태가 발생하였으며, 이는 저층에서 수중 유기물과 바닥에 침강된 유기물 분해로 산소가 소비되는 반면 제한된 수직 혼합으로 대기 중 산소 전달이 어렵기 때문인 것으로 판단된다.

4) 5월부터 9월에는 표층을 중심으로 수온, 조류 농도가 증가함에 따라 낮 동안 pH도 증가하며, 상하층간 pH 차이도 커지는 것으로 나타났다. 반면 조류 증가는 광합성이 일어나지 않는 밤 시간에 pH를 감소시키며, 이에 따른 pH의 일변동폭 증가는 수생태계에 영향을 미칠 수 있을 것으로 판단된다.

본 연구를 통해 낙동강 강정고령보의 시·공간적 수질 분포 특성을 과학적으로 이해 가능할 것으로 판단되며, 향후 보 운영패턴에 따른 영향 분석, 효율적 관리대책 마련 등을 위해서는 보다 정밀한 수심별 연속 모니터링이 지속적으로 필요할 것으로 판단된다. 특히 하절기를 중심으로 발생하는 저층 용존산소 부족 현상에 대한 과학적 원인 규명과 관리방안 마련을 위해 보 구간에서의 지형 변화, 퇴적물 용출 현황 등에 대한 조사가 함께 수행되어야 할 것으로 판단된다.

References

1 
Caissie D., Satish M. G., Nassir E. J., (2007), Predicting Water Temperatures using a Deterministic Model: Application on Miramichi River Catchment (New Brunswick, Canada), Journal of Hydrology, Caissie, D., Satish, M. G., and Nassir, E. J. (2007). Predicting Water Temperatures using a Deterministic Model: Application on Miramichi River Catchment (New Brunswick, Canada), Journal of Hydrology, 336, pp. 303-315., Vol. 336, pp. 303-315DOI
2 
Cha Y. C., Chung S. W., Ryu I. G., Ban Y. J., (2010), Simulations of Thermal Stratification of Soyang Reservoir using Three-dimensional Hydrodynamic Model, ELCOM, Cha, Y. C., Chung, S. W., Ryu, I. G., and Ban, Y. J. (2010). Simulations of Thermal Stratification of Soyang Reservoir using Three-dimensional Hydrodynamic Model, ELCOM, Proceedings of the 2010 Spring Co-Conference of Korean Society on Water Environment and Korean Society of Water and Wastewater, Korean Society on Water Environment and Korean Society of Water and Wastewater, pp. 513-514. [Korean Literature], pp. 513-514Google Search
3 
Chung S. W., Lee H. S., Choi J. K., Ryu I. G., (2009), Simulations of Thermal Stratification of Daecheong Reservoir using Three-dimensional ELCOM Model, Journal of Korean Society on Water Environment, Chung, S. W., Lee, H. S., Choi, J. K., and Ryu, I. G. (2009). Simulations of Thermal Stratification of Daecheong Reservoir using Three-dimensional ELCOM Model, Journal of Korean Society on Water Environment, 25(6), pp. 922-934. [Korean Literature], Vol. 25, No. 6, pp. 922-934Google Search
4 
(2014), Real-time Information, K-water. (2014). Real-time Information, http://www.kwater.or.kr/info/sub02/sib01/sub01/dam/hydr.do (accessed Dec, 2014).Google Search
5 
Lee S. H., Kim B. R., Lee H. W., (2014), A Study on Water Quality after Construction of the Weirs in the Middle Area in Nakdong River, Journal of Korean Society of Environmental Engineering, Lee, S. H., Kim, B. R., and Lee, H. W. (2014). A Study on Water Quality after Construction of the Weirs in the Middle Area in Nakdong River, Journal of Korean Society of Environmental Engineering, 36(4), pp. 258-264. [Korean Literature], Vol. 36, No. 4, pp. 258-264DOI
6 
Martin J. L., McCutcheon S. C., (1998), Hydrodynamic and Transport for Water Quality Modeling, Martin, J. L. and McCutcheon, S. C. (1998). Hydrodynamic and Transport for Water Quality Modeling, CRC Press, Inc., New York, N. Y., pp. 343., pp. 343Google Search
7 
(2009), Master Plan for the 4 Major Rivers Restoration Project, Ministry of Construction and Transportation (MOCT). (2009). Master Plan for the 4 Major Rivers Restoration Project, Ministry of Construction and Transportation. pp. 29. [Korean Literature], pp. 29Google Search
8 
(2014), 2014 Annual Report on Water Quality Monitoring Program, Ministry of Environment (MOE). (2014). 2014 Annual Report on Water Quality Monitoring Program, 11-1480000-001223-10, Ministry of Environment. [Korean Literature]Google Search
9 
(2015), Annual Report on Algal Blooms and Management, Ministry of Environment (MOE). (2015). Annual Report on Algal Blooms and Management, 11-1480000-001363-10, Ministry of Environment, pp. 29. [Korean Literature], pp. 29Google Search
10 
Na E. H., Park S. S., (2005), A Hydrodynamic Modeling Study to Determine the Optimum Water Intake Location in Lake Paldang, Korea, Journal of the American Water Resources Association, Na, E. H. and Park, S. S. (2005). A Hydrodynamic Modeling Study to Determine the Optimum Water Intake Location in Lake Paldang, Korea, Journal of the American Water Resources Association, 41(6), pp. 1315-1332., Vol. 41, No. 6, pp. 1315-1332DOI
11 
(2003), Rates and Constants of Water Quality Modeling in the Nakdong River System, National Institute Environment Research (NIER). (2003). Rates and Constants of Water Quality Modeling in the Nakdong River System, National Institute Environment Research, pp. 137-139. [Korean Literature], pp. 137-139Google Search
12 
Norton W. R., King I. P., Orlob G. R., (1968), A Finite Element Model for Lower Granite Reservoir, Water Quality Report: Lower Granite Lock and Dam, Snake River, WasingtonIdaho - Finite Element Hydrodynamic Model, Appendix F, 3(3), Norton, W. R., King, I. P., and Orlob, G. R. (1968). A Finite Element Model for Lower Granite Reservoir, Water Quality Report: Lower Granite Lock and Dam, Snake River, WasingtonIdaho - Finite Element Hydrodynamic Model, Appendix F, 3(3), Report by Water Resources Engineers, Inc., for U. S. Army Corps of Engineers District, Walla Walla, WA.Google Search
13 
(2012), Water and Sediment Quality in the Athabasxa River Basin, Regional Aquatics Monitoring Program (RAMP). (2012). Water and Sediment Quality in the Athabasxa River Basin, http://ramp-alberta.org/river/water+sediment+quality.aspx (accessed Dec, 2012).Google Search
14 
Robarts R. D., Zohary T., (1987), Temperature Effects of Photosynthetic Respiration and Growth Rates of BloomForming Cyanobacteria, New Zealand Journal of Marine & Freshwater Research, Robarts, R. D. and Zohary, T. (1987). Temperature Effects of Photosynthetic Respiration and Growth Rates of BloomForming Cyanobacteria, New Zealand Journal of Marine & Freshwater Research, 21, pp. 391-399., Vol. 21, pp. 391-399DOI
15 
Shade A., Chiu C. Y., McMahon K. D., (2010), Seasonal and Episodic Lake Mixing Stimulate Differential Planktonic Bacterial Dynamics, Microbial Ecology, Shade, A., Chiu, C. Y., and McMahon, K. D. (2010). Seasonal and Episodic Lake Mixing Stimulate Differential Planktonic Bacterial Dynamics, Microbial Ecology, 53(3), pp. 546-554., Vol. 53, No. 3, pp. 546-554Google Search
16 
Ward J. V., (1985), Thermal Characteristics of Runing Waters, Hydrobiologia, Ward, J. V. (1985). Thermal Characteristics of Runing Waters, Hydrobiologia, 125, pp. 31-46., Vol. 125, pp. 31-46DOI
17 
, Guidelines for Safe Recreational Water Environments, Volume 1: Coastal and Fresh Waters, World Health Organization (WHO). Guidelines for Safe Recreational Water Environments, Volume 1: Coastal and Fresh Waters, ISBN-92-4-154580-1, World Health Organization, Geneva, Switzerland, pp. 137-139., pp. 137-139Google Search
18 
Xia L., Xiaohua L., Yuwei C., (2011), The Effects of Temperature and Nutrient Ratios on Microcystis Blooms in Lake Taihu, China: An 11-year Investigation, Harmful Algae, Xia, L., Xiaohua, L., and Yuwei, C. (2011). The Effects of Temperature and Nutrient Ratios on Microcystis Blooms in Lake Taihu, China: An 11-year Investigation, Harmful Algae, 10, pp. 337-343., Vol. 10, pp. 337-343DOI
19 
Yu J. J., Lee H. K., Lee K. L., Lyu H. S., Whang J. W., Shin L. Y., Chen S. U., (2014), Relationship between Distribution of the Dominant Phytoplankton Species and Water Temperature in the Nakdong River, Korea, Korean Journal of Ecology and Environment, Yu, J. J., Lee, H. K., Lee, K. L., Lyu, H. S., Whang, J. W., Shin, L. Y., and Chen, S. U. (2014). Relationship between Distribution of the Dominant Phytoplankton Species and Water Temperature in the Nakdong River, Korea, Korean Journal of Ecology and Environment, 47(4), pp. 247-257. [Korean Literature], Vol. 47, No. 4, pp. 247-257DOI
20 
Yu J. J., Lee K. L., Lee H. K., Whang J. W., Lyu H. S., Shin L. Y., Park A. R., Chen S. U., (2015), Relations of Nutrient Concentrations on the Seasonality of Algal Community in the Nakdong River, Korea, Journal of Korean Society on Water Environment, Yu, J. J., Lee, K. L., Lee, H. K., Whang, J. W., Lyu, H. S., Shin, L. Y., Park, A. R., and Chen, S. U. (2015). Relations of Nutrient Concentrations on the Seasonality of Algal Community in the Nakdong River, Korea, Journal of Korean Society on Water Environment, 31(2), pp. 110-119. [Korean Literature], Vol. 31, No. 2, pp. 110-119DOI