The Journal of
the Korean Society on Water Environment

The Journal of
the Korean Society on Water Environment

Bimonthly
  • ISSN : 2289-0971 (Print)
  • ISSN : 2289-098X (Online)
  • KCI Accredited Journal

Editorial Office





Data assimilation, MODIS, Remotely sensed data, Root zone soil moisture, Soil and root parameters

1. Introduction

์ตœ๊ทผ ์›๊ฒฉํƒ์‚ฌ ๊ธฐ์ˆ ์˜ ํ–ฅ์ƒ๊ณผ ํ•จ๊ป˜ ์ธ๊ณต์œ„์„ฑ๊ธฐ๋ฐ˜์˜ ํ† ์–‘์ˆ˜๋ถ„ ์ž๋ฃŒ๊ฐ€ ๊ด€์ธก๋˜๊ณ  ์žˆ์œผ๋ฉฐ ์ „ ์ง€๊ตฌ์  ๋‹จ์œ„์—์„œ์˜ ์ˆ˜์ž์›๊ด€๋ฆฌ๋ฅผ ์œ„ํ•ด ๋งŽ์ด ์‚ฌ์šฉ๋˜๊ณ  ์žˆ๋‹ค. ์ด๋Ÿฌํ•œ ์ธ๊ณต์œ„์„ฑ๊ธฐ๋ฐ˜์˜ ํ† ์–‘์ˆ˜๋ถ„์ž๋ฃŒ๋“ค์€ ๋„“์€ ํ‰์•ผ์ง€์—ญ์—์„œ ๊ณต๊ฐ„์ ์œผ๋กœ ๋ถ„ํฌ๋˜์–ด ์žˆ๋Š” ํ† ์–‘์ˆ˜๋ถ„ํŠน์„ฑ์„ ๋‚˜ํƒ€๋‚ด๋Š”๋ฐ ์žˆ์–ด์„œ ๋งค์šฐ ์œ ์šฉํ•˜์ง€๋งŒ, ์šฐ๋ฆฌ๋‚˜๋ผ์™€ ๊ฐ™์ด ์‚ฐ์•…์ง€ํ˜•๊ณผ ๋ฐ€์ง‘๋œ ์‚ฐ๋ฆผ์œผ๋กœ ๊ตฌ์„ฑ๋˜์–ด ์žˆ๋Š” ์ง€์—ญ์— ์ ์šฉํ•  ๊ฒฝ์šฐ ๋ถˆํ™•์‹ค์„ฑ์ด ์ฆ๊ฐ€ํ•˜๊ฒŒ ๋œ๋‹ค. ๋˜ํ•œ ํ† ์–‘์ˆ˜์˜ ๋ฌผ๋ฆฌ์ ์ธ ํ๋ฆ„์„ ๊ตฌํ˜„ํ•  ์ˆ˜ ์žˆ๋Š” ์ˆ˜๋ฌธ ๋ชจํ˜•๋“ค(Common Land Model-CLM (Oleson et al., 2010), Noah-Land Surface Model-Noah-LSM (Ek et al., 2003), Variable Infiltration Capacity-VIC (Liang et al., 1994), ๋“ฑ)์ด ๊ฐœ๋ฐœ๋˜์–ด ์‚ฌ์šฉ๋˜๊ณ  ์žˆ์œผ๋‚˜, ์ด๋Ÿฌํ•œ ๋ชจํ˜•๋“ค์˜ ๊ฒฝ์šฐ Global Climate Models(GCMs) ๋ชจํ˜• ๊ตฌ๋™ ์‹œ ์ง€ํ‘œํŠน์„ฑ์„ ๋ฐ˜์˜ํ•˜๊ธฐ ์œ„ํ•ด ๊ฐœ๋ฐœ๋˜์—ˆ์œผ๋ฉฐ ์ž…๋ ฅ์ž๋ฃŒ์™€ ๊ฒฐ๊ณผ๊ฐ’ ์—ญ์‹œ GCMs ์ž๋ฃŒ ์Šค์ผ€์ผ(1~2ยฐ, 100~200 km)๋กœ ์ œ๊ณต๋œ๋‹ค. ๋”ฐ๋ผ์„œ ์ด๋Ÿฌํ•œ ์ธ๊ณต์œ„์„ฑ ๋ฐ ์ˆ˜๋ฌธ๋ชจํ˜• ๊ธฐ๋ฐ˜์˜ ํ† ์–‘์ˆ˜๋ถ„์— ์ƒ์„ธํ™”๊ธฐ๋ฒ•์„ ์ ์šฉํ•˜์—ฌ ํ•ด์ƒ๋„๋ฅผ ๋†’์ด๋Š” ์—ฐ๊ตฌ๊ฐ€ ์ˆ˜ํ–‰๋˜์—ˆ์œผ๋‚˜ ํ•„์ง€(์ˆ˜์‹ญ~์ˆ˜๋ฐฑ m)๋‹จ์œ„์—์„œ ๋ฐœ์ƒํ•˜๋Š” ๋†์ž‘๋ฌผ์— ์ ์šฉํ•˜๊ธฐ์—๋Š” ํ•œ๊ณ„๊ฐ€ ์žˆ๋‹ค(Engman, 1991; Entekhabi et al., 1999; Ines et al., 2013; Shin and Mohanty, 2013). ์ด์ฒ˜๋Ÿผ ์ธ๊ณต์œ„์„ฑ ๊ธฐ๋ฐ˜์˜ ํ† ์–‘์ˆ˜๋ถ„ ์ด๋ฏธ์ง€ ์ž๋ฃŒ์˜ ํ•ด์ƒ๋„ ๋ฌธ์ œ๋ฅผ ํ•ด๊ฒฐํ•˜๊ธฐ ์œ„ํ•˜์—ฌ ์ƒ์„ธํ™”๊ธฐ๋ฒ•(downscaling algorithm)๋“ค์ด ๊ฐœ๋ฐœ๋˜์—ˆ๋‹ค. Crow et al. (2000)์€ ์œ„์„ฑ๊ธฐ๋ฐ˜์˜ ํ† ์–‘์ˆ˜๋ถ„์„ ์ƒ์„ธํ™”ํ•˜๊ธฐ ์œ„ํ•˜์—ฌ ํ† ์–‘์˜ ์œ ์ „์ฒด ๊ธฐ๋ฐ˜์˜ ์—ญ์ถ”์ ๊ธฐ๋ฒ•์„ ์ด์šฉํ•˜์˜€๋‹ค. Merlin et al. (2005)๊ณผ Merlin et al. (2012)์€ Soil Moisture Ocean Salinity (SMOS, Kerr et al., 2001) ์ž๋ฃŒ๋ฅผ ์ƒ์„ธํ™”ํ•˜๊ธฐ ์œ„ํ•˜์—ฌ ๊ณ ํ•ด์ƒ๋„์˜ ๊ด‘ํ•™์ž๋ฃŒ๋ฅผ ์ด์šฉํ•˜์˜€์œผ๋ฉฐ, Ines et al. (2013)์€ ์ธ๊ณต์œ„์„ฑ ๊ธฐ๋ฐ˜์˜ ํ† ์–‘์ˆ˜๋ถ„ ์ด๋ฏธ์ง€๋กœ๋ถ€ํ„ฐ ํ† ์–‘๊ณผ ์ž‘๋ฌผํŠน์„ฑ ์กฐํ•ฉ๊ณผ ๊ทธ์— ๋”ฐ๋ฅธ ๋ฉด์ ๋น„๋ฅผ ์ถ”์ถœํ•˜์˜€๋‹ค. Shin and Mohanty (2013)์€ LANDSAT ๊ธฐ๋ฐ˜์˜ ์ฆ๋ฐœ์‚ฐ ์ž๋ฃŒ๋ฅผ ์ด์šฉํ•˜์—ฌ ์œ„์„ฑ๊ธฐ๋ฐ˜์˜ ํ† ์–‘์ˆ˜๋ถ„ ์ด๋ฏธ์ง€ ์ž๋ฃŒ๋ฅผ ์ƒ์„ธํ™” ํ•˜์˜€๋‹ค. ์ด๋ ‡๋“ฏ ๋‹ค์–‘ํ•œ ์ธ๊ณต์œ„์„ฑ ๊ธฐ๋ฐ˜์˜ ํ† ์–‘์ˆ˜๋ถ„ ์ž๋ฃŒ์˜ ๋ถˆํ™•์‹ค์„ฑ์„ ์ตœ์†Œํ™”ํ•˜๊ธฐ ์œ„ํ•œ ๋งŽ์€ ์—ฐ๊ตฌ๋“ค์ด ์ˆ˜ํ–‰๋˜์—ˆ์œผ๋‚˜, ์—ฌ์ „ํžˆ ์ธ๊ณต์œ„์„ฑ ๊ธฐ๋ฐ˜์˜ ํ† ์–‘์ˆ˜๋ถ„ ์ž๋ฃŒ๋ฅผ ํ˜„์‹ค์ ์œผ๋กœ ์ ์šฉํ•˜๋Š”๋ฐ ์žˆ์–ด์„œ ์‹œยท๊ณต๊ฐ„์  ํ•ด์ƒ๋„๋ฅผ ๋”์šฑ ๋†’์ด๋Š” ์—ฐ๊ตฌ์˜ ํ•„์š”์„ฑ์ด ์ œ๊ธฐ๋˜๊ณ  ์žˆ๋‹ค.

์ƒ๋‹น์ˆ˜์˜ ๋ฐญ์ž‘๋ฌผ(๊ฐ€๋ญ„๋ฐœ์ƒ์‹œ ๊ด€๊ฐœ์šฉ์ˆ˜๋ฅผ ์œ„ํ•œ ๋น„์šฉ๊ณผ ๋†์ž‘๋ฌผ์˜ ํŒ๋งค๋‹จ๊ฐ€ ๋‹จ๊ฐ€๋ฅผ ๊ณ ๋ คํ•˜์—ฌ ์ด์œค์ด ๋ฐœ์ƒํ•  ์ˆ˜ ์žˆ๋Š” ์ž‘๋ฌผ)์„ ์žฌ๋ฐฐํ•˜๋Š” ๋†๊ฒฝ์ง€์˜ ๊ฒฝ์šฐ ๊ด€๊ฐœ์šฉ์ˆ˜์˜ ์ ‘๊ทผ์„ฑ์„ ๊ณ ๋ คํ•˜์—ฌ ์‚ฐ๋ฆผ์ง€์—ญ์˜ ์ €์ง€๋Œ€ ํ•˜์ฒœ ์ธ๊ทผ์— ์œ„์น˜ํ•˜๊ณ  ์žˆ๋‹ค. ๋”ฐ๋ผ์„œ ์ธ๊ณต์œ„์„ฑ ๋ฐ ์ˆ˜๋ฌธ๋ชจํ˜• ๊ธฐ๋ฐ˜์˜ ์ €ํ•ด์ƒ๋„(25 km ~ 40 km) ํ† ์–‘์ˆ˜๋ถ„์ž๋ฃŒ๋ฅผ ์‚ฐ์•…์ง€ํ˜•์ธ ์šฐ๋ฆฌ๋‚˜๋ผ์— ์ ์šฉํ•  ๊ฒฝ์šฐ ๋งŽ์€ ๋ถˆํ™•์‹ค์„ฑ(์†Œ๊ทœ๋ชจ ๋†๊ฒฝ์ง€, ๊ฒฝ์‚ฌ๋„ ๋ฐ ์ง€ํ‘œํ”ผ๋ณต์ •๋„, ๋“ฑ)์„ ๊ณ ๋ คํ•ด์•ผ ํ•˜๋ฉฐ ํ˜„์‹ค์ ์œผ๋กœ ๋งŽ์€ ์ œ์•ฝ์ด ๋”ฐ๋ฅธ๋‹ค. ๋˜ํ•œ ์›๊ฒฉํƒ์‚ฌ ์ž๋ฃŒ์˜ ๊ฒฝ์šฐ ๊ธฐ์ƒ์ƒํƒœ ๋ฐ ์ง€ํ‘œ๋ฉด ๊ด€์ธก ์ฃผ๊ธฐ๋กœ ์ธํ•˜์—ฌ ์ˆ˜๋ฌธ๋ถ„์•ผ์—์„œ ํ•„์š”ํ•œ ์ผ๋ณ„ ํ† ์–‘์ˆ˜๋ถ„์„ ์ œ๊ณตํ•˜์ง€ ๋ชปํ•˜๋ฉฐ, ์ผ๋ณ„ ํ† ์–‘์ˆ˜๋ถ„์„ ์‚ฐ์ •ํ•  ์ˆ˜ ์žˆ๋Š” ํ† ์–‘์ˆ˜๋ถ„ ๋ชจํ˜•(CLM, VIC, LSM ๋“ฑ)์˜ ๊ฒฝ์šฐ ๊ณต๊ฐ„์ ์ธ ํ•ด์ƒ๋„๊ฐ€ ๋‚ฎ๊ธฐ ๋•Œ๋ฌธ์— ๊ทธ ์ด์šฉ์„ฑ์ด ์ œํ•œ๋œ๋‹ค. ๋”ฐ๋ผ์„œ ์šฐ๋ฆฌ๋‚˜๋ผ์˜ ๊ณต๊ฐ„์ ์œผ๋กœ ๋ณต์žกํ•œ ์ง€ํ˜•์  ํŠน์„ฑ์„ ๊ณ ๋ คํ•˜๊ณ  ์‹œ๊ณ„์—ด์˜ ์—ฐ์†์ ์ธ ์ผ๋ณ„ ํ† ์–‘์ˆ˜๋ถ„์‚ฐ์ • ๊ธฐ๋ฒ•์˜ ๊ฐœ๋ฐœ์ด ํ•„์š”ํ•˜๋‹ค

๋”ฐ๋ผ์„œ, ๋ณธ ์—ฐ๊ตฌ์—์„œ๋Š” ์šฐ๋ฆฌ๋‚˜๋ผ์˜ ๋ณต์žกํ•œ ์ง€ํ˜•ํŠน์„ฑ์„ ๊ณ ๋ คํ•˜๊ธฐ ์œ„ํ•˜์—ฌ ์ƒ๋Œ€์ ์œผ๋กœ ๊ณ ํ•ด์ƒ๋„์˜ ์›๊ฒฉํƒ์‚ฌ ์ž๋ฃŒ์ธ MODIS ์ด๋ฏธ์ง€ ์ž๋ฃŒ์™€ ์ˆ˜๋ฌธ๋ชจํ˜• ๊ธฐ๋ฐ˜์˜ ์ž๋ฃŒ๋™ํ™”๊ธฐ๋ฒ•์„ ์—ฐ๊ณ„ํ•˜์—ฌ ์‹œยท๊ณต๊ฐ„์ ์œผ๋กœ ์—ฐ์†์ ์ธ ํ† ์–‘์ˆ˜๋ถ„์„ ์‚ฐ์ •ํ•˜์˜€์œผ๋ฉฐ, ์ด๋ฅผ ์œ„ํ•ด 1) ์ธ๊ณต์œ„์„ฑ ๊ธฐ๋ฐ˜์˜ ํ† ์–‘์ˆ˜๋ถ„ ์ด๋ฏธ์ง€(MODIS) ์ž๋ฃŒ์™€ ํ† ์–‘์˜ ๋ฌผ๋ฆฌ์  ํŠน์„ฑ์— ๊ธฐ๋ฐ˜ํ•œ ํ† ์–‘์ˆ˜๋ถ„์ž๋ฃŒ๋™ํ™”๊ธฐ๋ฒ•์„ ์—ฐ๊ณ„ํ•œ MODIS ๊ฒฉ์žํฌ๊ธฐ์˜ ํ† ์–‘์˜ ์ˆ˜๋ฆฌํ•™์  ๋งค๊ฐœ๋ณ€์ˆ˜/์ž‘๋ฌผ(๋ฟŒ๋ฆฌ) ๋ณ€์ˆ˜ ์ถ”์ถœ ๋ฐ 2) ์ถ”์ถœ๋œ ํ† ์–‘์˜ ์ˆ˜๋ฆฌํ•™์  ๋ฐ ์ž‘๋ฌผ ๋งค๊ฐœ๋ณ€์ˆ˜์™€ ๊ธฐ์ƒ์ž๋ฃŒ๋ฅผ ์—ฐ๊ณ„ํ•œ MODIS ๊ฒฉ์žํฌ๊ธฐ์˜ ์ผ๋ณ„ ํ† ์–‘์ˆ˜๋ถ„์„ ์‚ฐ์ •ํ•˜์˜€๋‹ค. ๋ณธ ์—ฐ๊ตฌ๊ฒฐ๊ณผ๋Š” ์šฐ๋ฆฌ๋‚˜๋ผ์™€ ๋ฏธ๊ณ„์ธก ์œ ์—ญ์˜ ์‹œยท๊ณต๊ฐ„์ ์œผ๋กœ ์—ฐ์†์ ์ธ ์ผ๋ณ„ ํ† ์–‘์ˆ˜๋ถ„์„ ๋ชจ์˜ํ•˜์—ฌ ๋†์—…๊ฐ€๋ญ„ํ‰๊ฐ€๋ฅผ ์œ„ํ•œ ๊ธฐ์ดˆ์ž๋ฃŒ๋กœ ์‚ฌ์šฉ๋  ์ˆ˜ ์žˆ์„ ๊ฒƒ์ด๋‹ค.

2. Materials and Methods

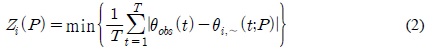
๋ณธ ์—ฐ๊ตฌ์—์„œ๋Š” ์ธ๊ณต์œ„์„ฑ ๊ธฐ๋ฐ˜์˜ MODerate resolution Imaging Spectroradiometer(MODIS) ์ด๋ฏธ์ง€ ์ž๋ฃŒ์™€ Scott et al. (2000)์ด ์ œ์‹œํ•œ ๊ฒฝํ—˜์‹์„ ์ด์šฉํ•˜์—ฌ ๊ณต๊ฐ„์ ์œผ๋กœ ๋ถ„ํฌ๋˜์–ด ์žˆ๋Š” ํ† ์–‘์ˆ˜๋ถ„์„ ์‚ฐ์ •ํ•˜์˜€๋‹ค. ํ† ์–‘์ˆ˜๋ถ„ ์ž๋ฃŒ๋™ํ™”๊ธฐ๋ฒ•(Shin and Mohanty, 2015)์„ ์—ฐ๊ณ„ํ•˜์—ฌ MODIS ๊ธฐ๋ฐ˜์˜ ํ† ์–‘์ˆ˜๋ถ„ ์ด๋ฏธ์ง€(500 m ร— 500 m)๋กœ๋ถ€ํ„ฐ ๊ณต๊ฐ„์ ์œผ๋กœ ๋ถ„ํฌ๋˜์–ด ์žˆ๋Š” ํ† ์–‘์˜ ๊ฒฉ์ž ํฌ๊ธฐ์˜ ์ˆ˜๋ฆฌํ•™์ (k1 = {ฮฑ, n, ฮธres, ฮธsat, Ksat}) ๋ฐ ์ž‘๋ฌผ(k2 = {z*, pz, zmax}) ๋งค๊ฐœ๋ณ€์ˆ˜๋ฅผ ์‚ฐ์ •ํ•œ๋‹ค. ํ† ์–‘์˜ ์ˆ˜๋ฆฌํ•™์ /์ž‘๋ฌผ(๋ฟŒ๋ฆฌ) ๋งค๊ฐœ๋ณ€์ˆ˜๋ฅผ ์ž…๋ ฅ์ž๋ฃŒ๋กœ ์‚ฌ์šฉํ•˜๋Š” one-dimensional(1D) HYDRUS (version 4.16, ล imunek et al., 2013) ๊ธฐ๋ฐ˜์˜ ์ž๋ฃŒ๋™ํ™”๊ธฐ๋ฒ•์€ MODIS ์ด๋ฏธ์ง€(๊ฐ pixel)์˜ ํ•ด์ƒ๋„ ๊ฒฉ์žํฌ๊ธฐ์—์„œ ๋งค๊ฐœ๋ณ€์ˆ˜(P={k1, k2}, ๊ณต์‹ 1)๋ฅผ ๋„์ถœํ•˜์—ฌ ์‹œยท๊ณต๊ฐ„์ ์œผ๋กœ ์—ฐ์†์ ์ธ ์ผ๋ณ„ ํ† ์–‘์ˆ˜๋ถ„์ž๋ฃŒ๋ฅผ ๋ชจ์˜ํ•œ๋‹ค. Iteration Algorithm (IA, Shin and Mohanty, 2015)์„ ์ž๋ฃŒ๋™ํ™”๊ธฐ๋ฒ•์— ์—ฐ๊ณ„ํ•˜์—ฌ ์‹ค์ธก ๋ฐ ๋ชจ์˜ ํ† ์–‘์ˆ˜๋ถ„ ๊ฐ’์˜ ์ฐจ์ด๊ฐ€ ์ตœ์†Œํ™”๋˜๋Š” ์ตœ์ ์˜ ๋งค๊ฐœ๋ณ€์ˆ˜(P)๋ฅผ ๋„์ถœํ•˜์˜€๋‹ค. ์ด๋ฅผ ์œ„ํ•œ ๋ชฉ์ ํ•จ์ˆ˜(Z)์™€ Fitness๋Š” ๊ณต์‹ (2-3)๊ณผ ๊ฐ™๋‹ค. ์žฅ๊ธฐ๊ฐ„์˜ ํ† ์–‘์ˆ˜๋ถ„์„ ์‚ฐ์ •ํ•˜๊ธฐ ์œ„ํ•˜์—ฌ ๊ธฐ์ƒ์ฒญ์—์„œ ์ œ๊ณตํ•˜๋Š” ์ผ๋ณ„ ๊ด€์ธก์ž๋ฃŒ(๊ฐ•์šฐ ๋ฐ ์ตœ๊ณ ยท์ตœ์†Œ ์˜จ๋„)๋ฅผ ์ˆ˜์ง‘ํ•˜์—ฌ ํ† ์–‘์ˆ˜๋ถ„์„ ๋ชจ์˜ํ•˜์˜€๋‹ค. Fig. 1์€ ๋ณธ ์—ฐ๊ตฌ์—์„œ ์ œ์‹œํ•œ ๊ธฐ๋ฒ•์˜ ๋ชจ์‹๋„๋ฅผ ๋‚˜ํƒ€๋‚ธ๋‹ค.

../../Resources/kswe/32-1/images/SJBJB8_2016_v32n1_60_e901.jpg

../../Resources/kswe/32-1/images/SJBJB8_2016_v32n1_60_e902.jpg

../../Resources/kswe/32-1/images/SJBJB8_2016_v32n1_60_e903.jpg

์—ฌ๊ธฐ์„œ, ฮธres ๋ฐ ฮธsat : ์ž”์กด ๋ฐ ํฌํ™”๋œ ํ† ์–‘์ˆ˜๋ถ„(cm3 cm-3), ฮฑ(-), n(-), m(-), ๋ฐ ฮป(-) : ์ˆ˜๋ถ„ํ•จ๋Ÿ‰๊ณผ ์ˆ˜๋ฆฌ์ „๋„๋„์˜ ํ˜•์ƒ๊ณ„์ˆ˜, ฮธobs : ์‹ค์ธก๋œ ํ† ์–‘์ˆ˜๋ถ„(cm3 cm-3), ฮธi : ๋ชจ์˜๋œ ํ† ์–‘์ˆ˜๋ถ„(cm3 cm-3), t : ์‹œ๊ฐ„ ๋ฐ T : ์ผ๋ณ„ ์ตœ๋Œ€ ๋ชจ์˜๊ธฐ๊ฐ„, i : running index, I : ์ด ๋ฐ˜๋ณต ํšŸ์ˆ˜.

Fig. 1.

Flow chart of the proposed approach.

../../Resources/kswe/32-1/images/SJBJB8_2016_v32n1_60_f001.jpg

2.1. 1D-HYDRUS ๋ชจํ˜•

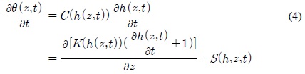
ํ”„๋กœ์„ธ์Šค ๊ธฐ๋ฐ˜์˜ 1D-HYDRUS ๋ชจํ˜•์€ Richards ๊ณต์‹์„ ์ด์šฉํ•˜์—ฌ ํ† ์–‘์ˆ˜์˜ ํ๋ฆ„์„ ๋ชจ์˜ํ•œ๋‹ค(ล imลฏnek, 1991; ล imลฏnek et al., 2013). 1D-HYDRUS ๋ชจํ˜•์€ ์ž…๋ ฅ ์ž๋ฃŒ์ธ ํ† ์–‘์˜ ๋งค๊ฐœ๋ณ€์ˆ˜(ฮฑ, n, ฮธres, ฮธsat, Ksat)), ์ž‘๋ฌผํŠน์„ฑ ๋ฐ ๊ธฐ์ƒ์ž๋ฃŒ๋ฅผ ์ด์šฉํ•˜์—ฌ ์ผ๋ณ„ ํ† ์–‘์ˆ˜๋ถ„์„ ์‚ฐ์ •ํ•œ๋‹ค.

../../Resources/kswe/32-1/images/SJBJB8_2016_v32n1_60_e904.jpg

์—ฌ๊ธฐ์„œ K : ์ˆ˜๋ฆฌ ์ „๋„๋„(cm d-1), h : ํ† ์–‘์˜ ์••๋ ฅ์ˆ˜๋‘(-cm), z : ๋ฟŒ๋ฆฌ ๊นŠ์ด, C : ๋ฏธ๋ถ„๋œ ์ˆ˜์ˆ˜๋ถ„์–‘(cm-1), ๋ฐ S(h,z,t) : ๋ฟŒ๋ฆฌ์— ์˜ํ•ด ํก์ˆ˜๋˜๋Š” ์‹ค์ œ ํ† ์–‘์ˆ˜๋ถ„(cm3 cm-3 d-1).

../../Resources/kswe/32-1/images/SJBJB8_2016_v32n1_60_e905.jpg

์—ฌ๊ธฐ์„œ Tpot : ์ž ์žฌ ์ฆ์‚ฐ๋Ÿ‰(cm d-1), Zr : ๋ฟŒ๋ฆฌ ์„ฑ์žฅ ๊นŠ์ด(cm), ๋ฐ ฮฑw : ๊นŠ์ด(z)์™€ ์‹œ๊ฐ„(t)์—์„œ ํ† ์–‘์˜ ์••๋ ฅ์ˆ˜๋‘์— ๋”ฐ๋ฅธ ๊ฐ์†Œ๊ณ„์ˆ˜(Feddes et al., 1978).

ํ† ์–‘์˜ ์ˆ˜๋ฆฌํ•™์  ํ•จ์ˆ˜๋“ค์€ van Genuchten (1980)๊ณผ Mualem (1976)์— ์˜ํ•ด ์ œ์‹œ๋œ ํ•ด์„๊ณต์‹์— ์˜ํ•ด ํ•ด์„๋œ๋‹ค.

../../Resources/kswe/32-1/images/SJBJB8_2016_v32n1_60_e906.jpg

../../Resources/kswe/32-1/images/SJBJB8_2016_v32n1_60_e907.jpg

Se : ์ƒ๋Œ€์ ์ธ ํฌํ™”๋„(-), ฮธres ๋ฐ ฮธsat : ์ž”์กด ๋ฐ ํฌํ™”๋œ ํ† ์–‘์ˆ˜๋ถ„(cm3 cm-3), ฮฑ(-), n(-), m(-), ๋ฐ ฮป(-) : ์ˆ˜๋ถ„ํ•จ๋Ÿ‰๊ณผ ์ˆ˜๋ฆฌ์ „๋„๋„ ์˜ ํ˜•์ƒ๊ณ„์ˆ˜, ๋ฐ Ksat : ํฌํ™” ์ƒํƒœ์˜ ์ˆ˜๋ฆฌ์ „๋„๋„, ๋ฐ m=1-1/n.

HYDRUS ๋ชจํ˜•์—์„œ ํ† ์–‘์ธต์€ ์ด 60๊ฐœ์˜ ์ธต์œผ๋กœ ๊ตฌ์„ฑํ•˜์˜€์œผ๋ฉฐ, ์ด ํ† ์–‘ ๊นŠ์ด๋Š” ์ง€ํ‘œ๋ฉด์œผ๋กœ๋ถ€ํ„ฐ 500 cm๋กœ ํ•˜์˜€๋‹ค. ๊ฐ ํ† ์–‘์ธต์€ 2ร—0.5 cm, 2ร—1 cm, 2ร—1.5 cm, 12ร—2 cm, 4ร—2.5 cm, 2ร—3 cm, 4 cm, 6ร—5 cm, 4ร—7.5 cm, 9ร—10 cm ๋ฐ 15ร—20 cm๋กœ ๊ตฌ์„ฑํ•˜์˜€๋‹ค. ๋˜ํ•œ HYDRUS ๋ชจํ˜•์˜ ํ† ์–‘์ธต ์ดˆ๊ธฐ์กฐ๊ฑด(initial condition)๊ณผ ํ•˜๋ถ€์ธต ์ง€ํ•˜์ˆ˜๋ฉด(bottom boundary condition)์€ ๊ฐ๊ฐ ์ง€ํ‘œ๋ฉด์œผ๋กœ๋ถ€ํ„ฐ -500 cm๋กœ ํ•˜์˜€์œผ๋ฉฐ ์ดˆ๊ธฐ์กฐ๊ฑด์€ ์ง€ํ•˜์ˆ˜๋ฉด๊ณผ ๋™์ผํ•œ ๊ฒƒ์œผ๋กœ ๊ฐ€์ •ํ•˜์˜€๋‹ค. Fig. 2๋Š” ํ† ์–‘์ธต์˜ ๋‚ด๋ถ€ ๊ตฌ์กฐ๋ฅผ ๋ณด์—ฌ์ค€๋‹ค.

Fig. 2.

Soil column with the bottom boundary condition (GW-500cm).

../../Resources/kswe/32-1/images/SJBJB8_2016_v32n1_60_f002.jpg

2.2. Iteration Algorithm

๋ณธ ์—ฐ๊ตฌ์—์„œ ์ตœ์ ํ™”๋œ ํ† ์–‘์˜ ์ˆ˜๋ฆฌํ•™์ (k1) ๋ฐ ์ž‘๋ฌผ(k2) ๋งค๊ฐœ๋ณ€์ˆ˜๋ฅผ ๋„์ถœํ•˜๊ธฐ ์œ„ํ•˜์—ฌ Modified-Iteration Algorithm (Modified-IA, Shin and Mohanty, 2015)์„ ์„ ํƒํ•˜์˜€๋‹ค. ๊ธฐ๋ณธ์ ์ธ IA ๊ธฐ๋ฒ•์€ ๋‹จ์ˆœํ•œ ๊ณผ์ •์— ์˜ํ•ด์„œ ๊ณ„์‚ฐ, ์‹คํ–‰ ๋ฐ ๋ถ„์„์„ ํ†ตํ•˜์—ฌ ๊ทผ์‚ฌํ•ด๋ฅผ ๊ตฌํ•œ๋‹ค. ์ฃผ์–ด์ง„ ํ‰๊ท (ฮผ)๊ณผ ํ‘œ์ค€ํŽธ์ฐจ(ฯƒ)๊ฐ€ ์ฃผ์–ด์งˆ ๊ฒฝ์šฐ ์ •๊ทœ๋ถ„ํฌ(N(ฮผ,ฯƒ))์— ๊ธฐ๋ฐ˜ํ•˜์—ฌ ๋ฌด์ž‘์œ„๋กœ ๋งค๊ฐœ๋ณ€์ˆ˜๋ฅผ ๋ฐœ์ƒ์‹œํ‚จ๋‹ค. Modified-IA ๊ธฐ๋ฒ•์€ elite (Ines and Honda, 2005)์™€ restart (Carroll, 2015; Ines and Droogers, 2002) ํ•จ์ˆ˜์™€ ์—ฐ๊ณ„ํ•˜์—ฌ ํ•ด์— ๊ทผ์ ‘ํ•˜๋Š” ๋ชจ์˜๊ฐ’์„ ํšจ์œจ์ ์œผ๋กœ ์ฐพ์•„ ๋‚ผ ์ˆ˜ ์žˆ๋‹ค. ๋งค๊ฐœ๋ณ€์ˆ˜์˜ ์ตœ์†Œ ๋ฐ ์ตœ๋Œ€ ํƒ์ƒ‰ ๋ฒ”์œ„๋Š” Table 1๊ณผ ๊ฐ™๋‹ค.

Table 1.

Searching ranges of the soil and root parameters for the Modified-Iteration Algorithm

../../Resources/kswe/32-1/images/SJBJB8_2016_v32n1_60_t001.jpg

SD: ํ‘œ์ค€ํŽธ์ฐจ; SEED: ๋ฌด์ž‘์œ„ ๋ณ€์ˆ˜ ์ดˆ๊ธฐ ์œ„์น˜๊ฐ’

2.3. ์›๊ฒฉํƒ์‚ฌ์ž๋ฃŒ ๊ธฐ๋ฐ˜์˜ ํ† ์–‘์ˆ˜๋ถ„์‚ฐ์ •

Scott et al. (2003)์€ HYDRUS ๋ชจํ˜•์—์„œ ํ† ์–‘์ธต์€ ์ด 60๊ฐœ์˜ ์ธต์œผ๋กœ ๊ตฌ์„ฑํ•˜์˜€์œผ๋ฉฐ, ์ด ํ† ์–‘ ๊นŠ์ด๋Š” ์ง€ํ‘œ๋ฉด์œผ๋กœ๋ถ€ํ„ฐ 500 cm๋กœ ํ•˜์˜€๋‹ค. ๊ฐ ํ† ์–‘์ธต์€ 2ร—0.5 cm, 2ร—1 cm, 2ร—1.5 cm, 12ร—2 cm, 4ร—2.5 cm, 2ร—3 cm, 4 cm, 6ร—5 cm, 4ร—7.5 cm, 9ร—10 cm ๋ฐ 15ร—20 cm๋กœ ๊ตฌ์„ฑํ•˜์˜€๋‹ค. ๋˜ํ•œ HYDRUS ๋ชจํ˜•์˜ ํ† ์–‘์ธต ์ดˆ๊ธฐ์กฐ๊ฑด(initial condition)๊ณผ ํ•˜๋ถ€์ธต ์ง€ํ•˜์ˆ˜๋ฉด(bottom boundary condition)์€ ๊ฐ๊ฐ ์ง€ํ‘œ๋ฉด์œผ๋กœ๋ถ€ํ„ฐ -500 cm๋กœ ํ•˜์˜€์œผ๋ฉฐ ์ดˆ๊ธฐ์กฐ๊ฑด์€ ์ง€ํ•˜์ˆ˜๋ฉด๊ณผ ๋™์ผํ•œ ๊ฒƒ์œผ๋กœ ๊ฐ€์ •ํ•˜์˜€๋‹ค. Fig. 2๋Š” ํ† ์–‘์ธต์˜ ๋‚ด๋ถ€ ๊ตฌ์กฐ๋ฅผ ๋ณด์—ฌ์ค€๋‹ค.

../../Resources/kswe/32-1/images/SJBJB8_2016_v32n1_60_e908.jpg

์—ฌ๊ธฐ์„œ Rn : ์ง€ํ‘œ ์ˆœ๋ณต์‚ฌ๋Ÿ‰(net radiation, [W/m2]), G : ํ† ์–‘์˜ ์—ด ์ด๋™(soil heat flux, [W/m2]), H : ๋Œ€๊ธฐ๋กœ ํ–ฅํ•˜๋Š” ํ˜„์—ด ์ด๋™(sensible heat flux, [W/m2]), ฮปET : ์ž ์—ด ์ด๋™(๋ฌผ์˜ ์ฆ๋ฐœ์— ์‚ฌ์šฉ๋œ ์—๋„ˆ์ง€, [W/m2]), a,b : ๊ณก์„ ์ ํ•ฉ๊ณ„์ˆ˜(curve-fitting parameters), ฮธ : ํ† ์–‘์ˆ˜๋ถ„(cm3 cm-3), ฮธsat : ํฌํ™” ์ƒํƒœ์˜ ํ† ์–‘์ˆ˜๋ถ„(cm3 cm-3), ฮ›: ์ฆ๋ฐœ๋Ÿ‰(soil evaporation) ๋น„์œจ. MODIS. ์œ„์„ฑ์˜ ์ œ์›์€ Table 2์™€ ๊ฐ™๋‹ค.

Table 2.

MODIS information

../../Resources/kswe/32-1/images/SJBJB8_2016_v32n1_60_t002.jpg

2.4. ์—ฐ๊ตฌ์œ ์—ญ ๋ฐ ์‹คํ—˜๋ฐฉ๋ฒ•

์ž๋ฃŒ๋™ํ™”๊ธฐ๋ฒ•์˜ ๊ฒ€ยท๋ณด์ •์„ ์œ„ํ•ด์„œ๋Š” ์‹ค์ธก๋œ ํ† ์–‘์ˆ˜๋ถ„๊ณผ ํ† ์–‘์‹œ๋ฃŒ์—์„œ ์ธก์ •ํ•œ ํ† ์–‘์˜ ์ˆ˜๋ฆฌํ•™์  ๋งค๊ฐœ๋ณ€์ˆ˜๊ฐ’์ด ํ•„์š”ํ•˜๋‹ค. ๊ทธ๋Ÿฌ๋‚˜ ์šฐ๋ฆฌ๋‚˜๋ผ์—์„œ๋Š” ํ˜„์žฌ ์ถ”์ถœ๋œ ๋งค๊ฐœ๋ณ€์ˆ˜๊ฐ’์„ ๊ฒ€ยท๋ณด์ •์„ ์œ„ํ•œ ์‹ค์ธก๊ฐ’์ด ์—†๊ธฐ ๋•Œ๋ฌธ์— ๋ฏธ๊ตญ Okalhoma์— ์œ„์น˜ํ•˜๊ณ  ์žˆ๋Š” Little Washita(LW 13) ์ง€์—ญ์˜ ์‹ค์ธก๊ฐ’์„ ์ด์šฉํ•˜์—ฌ ๊ฒ€ยท๋ณด์ •์„ ์ˆ˜ํ–‰ํ•˜์˜€๋‹ค. Fig. 3์€ ๋ฏธ๊ตญ Oklahoma์ฃผ์— ์œ„์น˜ํ•˜๊ณ  ์žˆ๋Š” LW13 ์ง€์—ญ์„ ๋‚˜ํƒ€๋‚ธ๋‹ค.

Fig. 3.

The little Washita 13 site located in Oklahoma, USA.

../../Resources/kswe/32-1/images/SJBJB8_2016_v32n1_60_f003.jpg

์šฐ๋ฆฌ๋‚˜๋ผ์˜ ๊ฒฝ์šฐ ์‹ค์ธก๋œ ํ† ์–‘์ˆ˜๋ถ„ ๊ด€์ธก์ž๋ฃŒ๊ฐ€ ๊ทนํžˆ ์ œํ•œ๋˜์–ด ์žˆ๋‹ค. ๊ณต๊ฐ„์ ์œผ๋กœ ๋ถ„ํฌ๋˜์–ด ์žˆ๋Š” MODIS ๊ธฐ๋ฐ˜์˜ ํ† ์–‘์ˆ˜๋ถ„ ์ด๋ฏธ์ง€ ์ž๋ฃŒ๋ฅผ ๊ฒ€ยท๋ณด์ •ํ•˜๊ธฐ ์œ„ํ•ด์„œ๋Š” MODIS ์ž๋ฃŒ์˜ ํ•ด์ƒ๋„๋ฅผ ๋‚˜ํƒ€๋‚ผ ์ˆ˜ ์žˆ๋Š” ์‹ค์ธก์ž๋ฃŒ๋ฅผ ์‚ฌ์šฉํ•ด์•ผ ํ•˜์ง€๋งŒ ์‹ค์ธก์น˜๊ฐ€ ์—†๊ธฐ ๋•Œ๋ฌธ์— ์„ค๋งˆ์ฒœ ๋ฐ ์ฒญ๋ฏธ์ฒœ ์ง€์ (MOLIT, 2012)์—์„œ ๊ฒ€ยท๋ณด์ •์„ ์ˆ˜ํ–‰ํ•˜์˜€๋‹ค. ์„ค๋งˆ์ฒœ ์œ ์—ญ์€ ๊ฒฝ๊ธฐ๋„ ํŒŒ์ฃผ์‹œ ์„ค๋งˆ๋ฆฌ ์„ค๋งˆ์ฒœ์˜ ์ƒ๋ฅ˜๋ถ€์— ์œ„์น˜ํ•˜๊ณ  ์žˆ์œผ๋ฉฐ 1995๋…„๋ถ€ํ„ฐ ํ•œ๊ตญ๊ฑด์„ค๊ธฐ์ˆ ์—ฐ๊ตฌ์›์—์„œ ์‹œํ—˜์œ ์—ญ์œผ๋กœ ์„ ์ •ํ•˜์—ฌ ์ˆ˜๋ฌธ์กฐ์‚ฌ๋ฅผ ์ˆ˜ํ–‰ํ•˜๊ณ  ์žˆ๋‹ค. ์„ค๋งˆ์ฒœ ์œ ์—ญ์€ ์œ ์—ญ๋ฉด์ ์€ 8.5 km2, ์œ ๋กœ์—ฐ์žฅ 5.8 km, ๋ฐ ์œ ๋กœ๊ฒฝ์‚ฌ 2.3%๋กœ ์ „ํ˜•์ ์ธ ๊ธ‰๊ฒฝ์‚ฌ ์œ ์—ญ์ด๋‹ค. ์ฒญ๋ฏธ์ฒœ ์œ ์—ญ์€ ์Œ์„ฑ๊ตฐ ์ˆ˜๋ ˆ์˜์‚ฐ์— ์œ„์น˜ํ•˜๊ณ  ์žˆ์œผ๋ฉฐ ์œ ์—ญ๋ฉด์ ์€ 569.6 km, ์œ ๋กœ์—ฐ์žฅ 60.8 km, ์œ ์—ญ๊ฒฝ์‚ฌ๋Š” 17.01%์ด๋‹ค. ๊ตญ์ œ์ˆ˜๋ฌธ๊ด€์ธก์‚ฌ์—…(IHP)์˜ ์ผํ™˜์œผ๋กœ ์ˆ˜๋ฌธ๊ด€์ธก์ด ์ด๋ฃจ์–ด์ง€๊ณ  ์žˆ์œผ๋ฉฐ ํ† ์‹ฌ์€ 30~100 cm, ํ† ์งˆ์€ ์‚ฌ์–‘ํ† ๊ฐ€ ์ฃผ๋ฅ˜๋ฅผ ์ด๋ฃจ๊ณ  ์žˆ๋‹ค. ๋˜ํ•œ ์‚ฐ์ง€์ง€์—ญ์˜ ์‹์ƒ์€ ์žก๋ชฉ ๋“ฑ์˜ ๋ฐ€๋„๊ฐ€ ์ƒ๋‹นํžˆ ๋†’์€ ์ง€์—ญ์ด๋‹ค. ์„ค๋งˆ์ฒœ ์œ ์—ญ๋‚ด์—์„œ ํ† ์–‘์ˆ˜๋ถ„ ์ธก์ •์ง€์ ์€ ๊ฐ์•…์‚ฐ ๋ฒ”๋ฅœ์‚ฌ ์šฐ์ธก ์‚ฐ์ง€์‚ฌ๋ฉด์— ์œ„์น˜ํ•˜๊ณ  ์žˆ์œผ๋ฉฐ ์‚ฌ๋ฉด์˜ ๋ฉด์ ์€ ์•ฝ 4,000 m2์ด๋ฉฐ ๋น„๊ต์  ๊ธ‰๊ฒฝ์‚ฌ ์‚ฌ๋ฉด์— ์œ„์น˜ํ•˜๊ณ  ์žˆ๋‹ค. Fig. 4๋Š” ์„ค๋งˆ์ฒœ ์œ ์—ญ์˜ ํ† ์–‘์ˆ˜๋ถ„ ์ธก์ •์ง€์ ์„ ๋‚˜ํƒ€๋‚ด๋ฉฐ ๋Œ€์ƒ์œ ์—ญ์˜ ์œ„๋„์™€ ๊ฒฝ๋„๋Š” ๊ฐ๊ฐ 37ยฐ 55' 25"์™€ 126ยฐ 57' 25"์ด๋‹ค. ์ธก์ •์ง€์ ์˜ ์‹์ƒ๋ถ„ํฌ๋Š” ์นจ์—ฝ์ˆ˜๋ฆฝ๊ณผ ํ™œ์—ฝ์ˆ˜๋ฆผ์ด ํ˜ผํ•ฉ๋˜์–ด ์žˆ์œผ๋ฉฐ ์ง€์งˆํ•™์ ์œผ๋กœ ํ™”๊ฐ•์•” ๊ตฌ์กฐ์˜ ๊ธฐ๋ฐ˜์•”์œ„์— ํŽธ๋งˆ์•” ๋ชฉํ•ฉ์ฒด๋กœ ๊ตฌ์„ฑ๋˜์–ด ์žˆ๋‹ค. FAO ๋ถ„๋ฅ˜๊ธฐ์ค€์— ๋”ฐ๋ฅธ ํ† ์–‘ํŠน์„ฑ์€ Leptosols๋กœ ๊ตฌ์„ฑ๋˜์–ด ์žˆ๋Š” ๊ด‘๋ฌผ์„ฑ ํ† ์–‘์ด๋‹ค. ํ† ์‹ฌ์˜ ๊นŠ์ด๋Š” ์•ฝ 40~120 cm์˜ ๋ถ„ํฌ๋ฅผ ๋ณด์ด๋ฉฐ, ๊ธ‰๊ฒฉํ•œ ๊ฒฝ์‚ฌ์™€ ๋น„๊ต์  ๋‚ฎ์€ ํ•จ์ˆ˜๋Šฅ์„ ๋ณด์ด๋Š” ํŠน์„ฑ์„ ๋ณด์ด๊ณ  ์žˆ๋‹ค. ์ฒญ๋ฏธ์ฒœ ์œ ์—ญ์€ ์ถฉ์ฒญ๋ถ๋„ ์Œ์„ฑ๊ตฐ ์ˆ˜๋ ˆ์˜์‚ฐ๋‚ด์˜ ์ฒญ์†Œ๋…„ ์ˆ˜๋ จ์›๋‚ด์— ์œ„์น˜ํ•˜๊ณ  ์žˆ๋Š” ์‚ฐ์ง€์˜ ์‚ฌ๋ฉด์—์„œ ํŠน์ •๋˜์—ˆ๋‹ค(Fig. 4). ์„ค๋งˆ์ฒœ ์œ ์—ญ์— ๋น„ํ•ด ํ† ์–‘์ธต์˜ ์‹ฌ๋„๊ฐ€ ๊นŠ๊ณ  ๊ธ‰๊ฒฝ์‚ฌ์™€ ์™„๊ฒฝ์‚ฌ๊ฐ€ ํญ๋„“๊ฒŒ ํฌํ•จ๋˜์–ด ์žˆ๋‹ค. ์‹์ƒ์€ ์ตœ์ƒ ๋‹จ๋ถ€์—๋Š” ์นจ์—ฝ์ˆ˜๋ฆฝ์ด ๋ถ€๋ถ„์ ์œผ๋กœ ๋ถ„ํฌ๋˜์–ด ์žˆ์œผ๋ฉฐ ์ตœ์ƒ๋‹จ๋ถ€ ์ดํ•˜ ์ง€์—ญ์—๋Š” ๋–ก๊ฐˆ๋‚˜๋ฌด ๋“ฑ์˜ ํ™œ์—ฝ์ˆ˜๋ฆผ์ด ๋Œ€๋ถ€๋ถ„์„ ๊ตฌ์„ฑํ•˜๊ณ  ์žˆ๋‹ค.

Fig. 4.

The Chunmi-cheon and Seolma-cheon sites located in Chungcheongbuk-do and Kyungki-do.

../../Resources/kswe/32-1/images/SJBJB8_2016_v32n1_60_f004.jpg

๋ชจํ˜•์˜ ๊ฒ€ยท๋ณด์ • ์ˆ˜ํ–‰์€ Synthetic/์‹ค์ธก ์ž๋ฃŒ์™€ ๋ชจ์˜๊ฐ’์˜ ๋น„๊ต๋ฅผ ํ†ตํ•˜์—ฌ ์ˆ˜ํ–‰๋˜์—ˆ๋‹ค. Synthetic ์กฐ๊ฑด์€ ํ˜„์žฅ์—์„œ ์ฑ„์ทจํ•œ ๋ชจ๋ž˜, ์‹คํŠธ, ๋ฐ ์ ํ† ๋ฅผ ์‹คํ—˜์„ ํ†ตํ•˜์—ฌ ํ† ์–‘์ˆ˜๋ถ„๋ชจํ˜•(1D-HYDRUS)์˜ ์ž…๋ ฅ๋ณ€์ˆ˜๋ฅผ ์ธก์ •ํ•˜๋ฉฐ, ์ธก์ •๋œ ํ† ์–‘์˜ ์ˆ˜๋ฆฌํ•™์  ๋งค๊ฐœ๋ณ€์ˆ˜๊ฐ’(reference-based)๊ณผ ํ† ์–‘์ˆ˜๋ถ„๋ชจํ˜•์„ ์ด์šฉํ•˜์—ฌ ๊ฐ€์ •(Synthetic)ํ† ์–‘์ˆ˜๋ถ„์„ ์‚ฐ์ •ํ•œ๋‹ค. ์ดํ›„ ํ† ์–‘์ˆ˜๋ถ„์ž๋ฃŒ๋™ํ™”๊ธฐ๋ฒ•์€ Synthetic ์‹ค์ธก๊ฐ’์œผ๋กœ๋ถ€ํ„ฐ ์ˆ˜๋ฆฌํ•™์  ๋งค๊ฐœ๋ณ€์ˆ˜๋ฅผ ๋„์ถœ ๋ฐ ํ† ์–‘์ˆ˜๋ถ„์„ ๋ชจ์˜ํ•˜์—ฌ Synthetic ์‹ค์ธก๊ฐ’๊ณผ ๋น„๊ตยท๊ฒ€์ฆํ•˜์˜€๋‹ค. Synthetic ํ† ์–‘์ˆ˜๋ถ„์€ ํ˜„์žฅ์—์„œ ํ† ์–‘์ˆ˜๋ถ„ ์‹ค์ธก์‹œ ๋ฐœ์ƒํ•˜๋Š” ์‹ค์ธก์˜ค์ฐจ๋ฅผ ๋ฐฐ์ œ ํ•  ์ˆ˜ ์žˆ๊ธฐ ๋•Œ๋ฌธ์— ์ž๋ฃŒ๋™ํ™” ๊ธฐ๋ฒ•์˜ ์„ฑ๋Šฅ์„ ๋ช…ํ™•ํ•˜๊ฒŒ ๊ฒ€์ •ํ•  ์ˆ˜ ์žˆ๋Š” ์žฅ์ ์ด ์žˆ์œผ๋ฉฐ, ์ดํ›„ ์‹ค์ธก๋œ ํ† ์–‘์ˆ˜๋ถ„์— ์ ์šฉํ•˜์—ฌ ๋ชจ์˜ ๊ฒฐ๊ณผ์— ๋‚ด์žฌ๋˜์–ด ์žˆ๋Š” ์‹ค์ธก์˜ค์ฐจ์™€ ์ž๋ฃŒ๋™ํ™”๊ธฐ๋ฒ• ์ž์ฒด์˜ ๋ถˆํ™•์‹ค์„ฑ์„ ๊ตฌ๋ถ„ํ•˜์˜€๋‹ค. LW13 ์ง€์ ๊ณผ ์„ค๋งˆ์ฒœ/์ฒญ๋ฏธ์ฒœ ์ง€์ ์˜ ๊ฒฝ์šฐ Time Domain Reflectrometry (TDR) ์žฅ๋น„๋ฅผ ์ด์šฉํ•˜์—ฌ ํ† ์–‘์ˆ˜๋ถ„์ด ์‹ค์ธก๋˜์—ˆ๋‹ค. LW13 ์ง€์ ์€ ์ง€ํ‘œํ† ์ธต 0-5 cm ๋ฐ ์„ค๋งˆ์ฒœ/์ฒญ๋ฏธ์ฒœ ์ง€์ ์˜ ๊ฒฝ์šฐ ์ง€ํ‘œํ† ์ธต 0-90 cm์—์„œ ํ† ์–‘์ˆ˜๋ถ„์ด ์‹ค์ธก๋˜์—ˆ๋‹ค.

3. Results and Discussion

3.1. ์ž๋ฃŒ๋™ํ™”๊ธฐ๋ฒ•์˜ ๊ฒ€ยท๋ณด์ •

MODIS ๊ธฐ๋ฐ˜์˜ ํ† ์–‘์ˆ˜๋ถ„ ์ด๋ฏธ์ง€๋กœ๋ถ€ํ„ฐ ํ† ์–‘์˜ ์ˆ˜๋ฆฌํ•™์  ๋ฐ ์ž‘๋ฌผ ๋งค๊ฐœ๋ณ€์ˆ˜๋ฅผ ์ถ”์ถœํ•˜๊ธฐ ์œ„ํ•œ ์ž๋ฃŒ๋™ํ™”๊ธฐ๋ฒ•์˜ ๊ฒ€ยท๋ณด์ •์„ ์ˆ˜ํ–‰ํ•˜๊ธฐ ์œ„ํ•˜์—ฌ LW13 ์ง€์—ญ์„ ์„ ํƒํ•˜์˜€๋‹ค. Fig. 5๋Š” Synthetic ์‹ค์ธก๊ฐ’๊ณผ ์ถ”์ถœ๋œ ๋งค๊ฐœ๋ณ€์ˆ˜ ๊ธฐ๋ฐ˜์˜ ๋ชจ์˜๊ฐ’(water retention curve: ํ† ์–‘์ˆ˜๋ถ„ํ•จ์œ ๊ณก์„ )์„ ๋‚˜ํƒ€๋‚ธ๋‹ค. ๋ชจ๋ž˜, ์‹คํŠธ, ๋ฐ ์ ํ† ์˜ ์‹ค์ธก ๋ฐ ๋ชจ์˜๋œ ํ† ์–‘์ˆ˜๋ถ„ํ•จ์œ ๊ณก์„ ์„ ๋น„๊ตํ•œ ๊ฒฐ๊ณผ ๋‹ค์–‘ํ•œ ํ† ์–‘ํŠน์„ฑ๋ณ„ ๋ชจ์˜๊ฐ’์ด ์‹ค์ธก๊ฐ’์„ ์ž˜ ๋ฐ˜์˜ํ•˜๋Š” ๊ฒƒ์œผ๋กœ ๋‚˜ํƒ€๋‚ฌ๋‹ค. ๊ทธ๋Ÿฌ๋‚˜ ์ˆ˜๋ฆฌ์ „๋„๋„ ๊ฒฐ๊ณผ๊ฐ’์—์„œ๋Š” ๋ชจ๋ž˜์™€ ์‹คํŠธ์งˆ์˜ ๋ชจ์˜๊ฐ’์ด ์‹ค์ธก๊ฐ’๊ณผ ๋น„๊ตํ•˜์—ฌ ๋‹ค์†Œ ๊ณผ๋Œ€ยท๊ณผ์†Œ ์‚ฐ์ •๋˜์—ˆ์œผ๋‚˜ ์ „์ฒด์ ์œผ๋กœ ํ† ์–‘์ˆ˜๋ถ„ํ•จ์œ ๊ณก์„  ๋ฐ ์ˆ˜๋ฆฌ์ „๋„๋„๊ฐ’์ด ์ž˜ ์‚ฐ์ •๋œ ๊ฒƒ์œผ๋กœ ๋‚˜ํƒ€๋‚ฌ๋‹ค

Fig. 5.

Water retention curves for sandy, silt, and clay loam soils and (d-f) Hydraulic conductivity for sandy, silt, and clay loam soils.

../../Resources/kswe/32-1/images/SJBJB8_2016_v32n1_60_f005.jpg

Fig. 6์—์„œ ์‹ค์ œ LW13 ํ˜„์žฅ์—์„œ ์‹ค์ธก๋œ ํ† ์–‘์ˆ˜๋ถ„๊ณผ ๋ชจ์˜๊ฐ’์„ ๋น„๊ตํ•˜์˜€๋‹ค. ์ž๋ฃŒ๋™ํ™”๊ธฐ๋ฒ•์€ ํ† ์–‘์˜ ์ˆ˜๋ฆฌํ•™์  ๋งค๊ฐœ๋ณ€์ˆ˜์™€ ์ž‘๋ฌผ๋ณ€์ˆ˜๋ฅผ ๊ทผ์—ญ์ธต์—์„œ์˜ ํ† ์–‘์ˆ˜๋ถ„์œผ๋กœ๋ถ€ํ„ฐ ์ถ”์ถœํ•œ๋‹ค. ํ† ์–‘์˜ ์ˆ˜๋ฆฌํ•™์  ๋งค๊ฐœ๋ณ€์ˆ˜์™€ ์ž‘๋ฌผ ๋ณ€์ˆ˜ ์‚ฐ์ •์‹œ ๋ฐœ์ƒํ•  ์ˆ˜ ์žˆ๋Š” ๋ถˆํ™•์‹ค์„ฑ์„ ๋ถ„์„ํ•˜๊ธฐ ์œ„ํ•˜์—ฌ LW 13์ง€์—ญ์—์„œ ์‹ค์ธก๋œ ์ž‘๋ฌผ์˜ ์ž‘๋ฌผ์ •๋ณด๋ฅผ ์ˆ˜๋ฌธ๋ชจํ˜•์— ์ž…๋ ฅํ•˜์—ฌ ํ† ์–‘์˜ ์ˆ˜๋ฆฌํ•™์  ๋งค๊ฐœ๋ณ€์ˆ˜ ์‚ฐ์ •์‹œ ๋ฐœ์ƒํ•˜๋Š” ๋ถˆํ™•์‹ค์„ฑ์„ ๋ถ„์„ํ•˜์˜€๋‹ค. ์ „์ฒด์ ์œผ๋กœ ์‹ค์ธก๊ณผ ๋ชจ์˜๊ฐ’์˜ ์ƒ๊ด€์„ฑ(R: 0.876)์ด ๋†’์€ ๊ฒƒ์œผ๋กœ ๋‚˜ํƒ€๋‚ฌ์œผ๋ฉฐ ๋ถˆํ™•์‹ค์„ฑ(RMSE)๊ฐ’์ด 0.024๋กœ ๋‚˜ํƒ€๋‚˜ ๋ชจ์˜๊ฐ’์ด ์‹ค์ธก๊ฐ’์„ ์ž˜ ๋ฐ˜์˜ํ•˜๋Š” ๊ฒƒ์œผ๋กœ ๋‚˜ํƒ€๋‚ฌ๋‹ค. ๋˜ํ•œ ์‹ค์ธก ๋ฐ ๋ชจ์˜ ํ† ์–‘์ˆ˜๋ถ„ํ•จ์œ ๊ณก์„  ์—ญ์‹œ ๋‹ค์†Œ ๋ถˆํ™•์‹ค์„ฑ์ด ์กด์žฌํ•˜์ง€๋งŒ, ์‹ค์ธก๊ฐ’์˜ ๊ฒฝํ–ฅ์„ ์ž˜ ๋‚˜ํƒ€๋‚ด๋Š” ๊ฒƒ์œผ๋กœ ๋‚˜ํƒ€๋‚ฌ๋‹ค. Fig. 5์˜ Synthetic ์กฐ๊ฑด์—์„œ ๋„์ถœ๋œ ํ† ์–‘์ˆ˜๋ถ„ํ•จ์œ ๊ณก์„ ์˜ ๊ฒฝ์šฐ ์‹ค์ธก ์˜ค์ฐจ๊ฐ€ ๋ฐฐ์ œ๋˜๊ธฐ ๋•Œ๋ฌธ์— ์ž๋ฃŒ๋™ํ™”๊ธฐ๋ฒ• ์ž์ฒด์˜ ์„ฑ๋Šฅ์„ ํ…Œ์ŠคํŠธ ํ•  ์ˆ˜ ์žˆ์œผ๋‚˜, ํ˜„์žฅ์—์„œ ์ฑ„์ทจ๋œ ํ† ์–‘์‹œ๋ฃŒ์˜ ๊ฒฝ์šฐ ์‹ค์ธก ๋ฐ ์‹คํ—˜์˜ค์ฐจ๊ฐ€ ๋ฐœ์ƒํ•˜๊ธฐ ๋•Œ๋ฌธ์— Synthetic ์ƒํƒœ์—์„œ์˜ ๋ชจ์˜๊ฐ’๊ณผ ๋น„๊ตํ–ˆ์„ ๋•Œ ์ƒ๋Œ€์ ์œผ๋กœ ๋†’์€ ๋ถˆํ™•์‹ค์„ฑ์„ ๋ณด์ด๋Š” ๊ฒƒ์œผ๋กœ ๋‚˜ํƒ€๋‚ฌ๋‹ค. ๋˜ํ•œ ํ† ์–‘์˜ ์ˆ˜๋ฆฌํ•™์  ๋งค๊ฐœ๋ณ€์ˆ˜์™€ ์ž‘๋ฌผ ๋ณ€์ˆ˜๋ฅผ ํ•จ๊ป˜ ์‚ฐ์ •ํ•  ๊ฒฝ์šฐ ๋ชจ์˜๋œ ํ† ์–‘์ˆ˜๋ถ„ํ•จ์œ ๊ณก์„ ์˜ ๋ถˆํ™•์‹ค์„ฑ์ด ์ƒ๋Œ€์ ์œผ๋กœ ๋†’๊ฒŒ ๋‚˜ํƒ€๋‚ฌ๋‹ค(Fig. 6(b),(d)). ์ด๋Š” ํ† ์–‘ํŠน์„ฑ ๋ฐ ์ž‘๋ฌผ์˜ ์„ฑ์žฅ์„ ํ•จ๊ป˜ ๋ชจ์˜ ํ•  ๋•Œ์— ์ตœ์ ํ™” ์•Œ๊ณ ๋ฆฌ์ฆ˜์ด ์ฐพ์•„์•ผ ํ•˜๋Š” ํ•ด์˜ ๊ฒฝ์šฐ์˜ ์ˆ˜๊ฐ€ ๋ณต์žกํ•ด์ง€๊ธฐ ๋•Œ๋ฌธ์— ๋™์ผํ•˜๊ฒŒ ์ฃผ์–ด์ง„ Iteration ๊ธฐ๊ฐ„ ๋™์•ˆ์— ์ƒ๋Œ€์ ์œผ๋กœ ๋†’์€ ๋ถˆํ™•์‹ค์„ฑ์„ ๋ณด์ด๋Š” ๊ฒƒ์œผ๋กœ ๋‚˜ํƒ€๋‚ฌ๋‹ค. ๊ทธ๋Ÿฌ๋‚˜ ๋ชจ์˜๋œ ํ† ์–‘์ˆ˜๋ถ„์˜ ์ƒ๊ด€์„ฑ(R)์€ 0.876์œผ๋กœ ๋‚˜ํƒ€๋‚ฌ์œผ๋ฉฐ ๋ถˆํ™•์‹ค์„ฑ(RMSE) ์—ญ์‹œ 0.024๋กœ ๋‚˜ํƒ€๋‚˜ ํ† ์–‘์ˆ˜๋ถ„์„ ์ž˜ ๋ชจ์˜ํ•˜๋Š” ๊ฒƒ์œผ๋กœ ๋‚˜ํƒ€๋‚ฌ๋‹ค. ์ด๋ ‡๋“ฏ ๋ชจ์˜๋œ ํ† ์–‘์˜ ์ˆ˜๋ฆฌํ•™์ (Fig. 6(b),(d)) ๋ฐ ์ž‘๋ฌผ(Fig. 7) ๋งค๊ฐœ๋ณ€์ˆ˜ ๊ฐ’์ด ๋น„๋ก ๋ถˆํ™•์‹ค์„ฑ์„ ํฌํ•จํ•˜๊ณ  ์žˆ์ง€๋งŒ ํ† ์–‘์ˆ˜๋ถ„์„ ์ž˜ ๋ชจ์˜ํ•˜๋Š” ๊ฒƒ์œผ๋กœ ๋‚˜ํƒ€๋‚ฌ๋‹ค.

Fig. 6.

(a-b) Comparison of measured and estimated soil moisture dynamics and water retention curves based on the estimated soil parameters (meausred root parameters were used) and (c-d) omparison of measured and estimated soil moisture dynamics and water retention curves based on the estimated soil and root parameters.

../../Resources/kswe/32-1/images/SJBJB8_2016_v32n1_60_f006.jpg
Fig. 7.

(a-b) Measured and estimated depth-dependent root distributions.

../../Resources/kswe/32-1/images/SJBJB8_2016_v32n1_60_f007.jpg

Fig. 8์€ ์ฒญ๋ฏธ์ฒœ ์ˆ˜๋ ˆ์˜์‚ฐ ์‚ฌ๋ฉด์—์„œ ์‹ค์ธก, MODIS(500 m ร— 500 m), ๋ฐ ๋ชจ์˜๋œ ํ† ์–‘์ˆ˜๋ถ„์„ ๋‚˜ํƒ€๋‚ธ๋‹ค. TDR ๊ธฐ๋ฐ˜์˜ ์‹ค์ธก ํ† ์–‘์ˆ˜๋ถ„์„ ์ด์šฉํ•˜์—ฌ MODIS ์ด๋ฏธ์ง€ ์ž๋ฃŒ๋ฅผ ๋ณด์ •ํ•˜์˜€๋‹ค. Fig. 8์— ๋‚˜ํƒ€๋‚œ ๊ฒƒ์ฒ˜๋Ÿผ ๊ธฐ์ƒ์ƒํƒœ์— ์˜ํ–ฅ์„ ๋ฐ›๋Š” MODIS ์ž๋ฃŒ๋Š” ์‹คํ—˜๊ธฐ๊ฐ„(2012๋…„ 03์›” 01์ผ - 2012๋…„ 10์›” 31์ผ)๋™์•ˆ ์ด์šฉ๊ฐ€๋Šฅํ•œ ์ž๋ฃŒ๋Š” 8์ผ ์ •๋„๋กœ ์ผ๋ณ„ ํ† ์–‘์ˆ˜๋ถ„์„ ์ œ๊ณตํ•˜๋Š”๋ฐ ์žˆ์–ด์„œ ํฐ ์ œ์•ฝ์ด ๋”ฐ๋ฅธ๋‹ค. ๋”ฐ๋ผ์„œ ๋ณธ ์—ฐ๊ตฌ์—์„œ ์ œ์•ˆํ•œ ์ž๋ฃŒ๋™ํ™”๊ธฐ๋ฒ•์„ ์ด์šฉํ•˜์—ฌ ๋ถˆ์—ฐ์†์ ์ธ ์‹œ๊ณ„์—ด MODIS ์ž๋ฃŒ๋กœ๋ถ€ํ„ฐ ํ† ์–‘์˜ ์ˆ˜๋ฆฌํ•™์  ๋ฐ ์ž‘๋ฌผ ๋งค๊ฐœ๋ณ€์ˆ˜๋ฅผ ๋„์ถœํ•˜์—ฌ HYDRUS ๊ธฐ๋ฐ˜ ์ผ๋ณ„ ํ† ์–‘์ˆ˜๋ถ„์„ ๋ชจ์˜ํ•˜์˜€๋‹ค. ์ผ๋ณ„ ํ† ์–‘์ˆ˜๋ถ„ ๋ชจ์˜๊ฐ’์ด ์‹ค์ธก MODIS ๊ธฐ๋ฐ˜์˜ ํ† ์–‘์ˆ˜๋ถ„ ์ด๋ฏธ์ง€ ์ž๋ฃŒ(R: 0.965 ๋ฐ RMSE: 0.007)๋ฅผ ์ž˜ ๋ฐ˜์˜ํ•˜๋Š” ๊ฒƒ์œผ๋กœ ๋‚˜ํƒ€๋‚ฌ๋‹ค. ๋˜ํ•œ MODIS ์ด๋ฏธ์ง€(500 m ร— 500 m) ๋‚ด์— ์œ„์น˜(Fig. 9)ํ•˜๊ณ  ์žˆ๋Š” ์‹ค์ธก์ง€์ ์—์„œ ์ธก์ •๋œ TDR ๊ธฐ๋ฐ˜์˜ ํ† ์–‘์ˆ˜๋ถ„๊ณผ ๋น„๊ตํ•œ ๊ฒฐ๊ณผ ์ƒ๊ด€๊ณ„์ˆ˜์™€ ๋ถˆํ™•์‹ค์„ฑ์ด ๊ฐ๊ฐ 0.642 ๋ฐ 0.038๋กœ ์ƒ๊ด€๊ณ„์ˆ˜๊ฐ€ ์ƒ๋Œ€์ ์œผ๋กœ ๋‚ฎ์€ ๊ฒƒ์œผ๋กœ ๋‚˜ํƒ€๋‚ฌ๋‹ค. ์ด๋Š” Fig. 8์— ๋‚˜ํƒ€๋‚œ ๊ฒƒ์ฒ˜๋Ÿผ DOY 240~300๊นŒ์ง€ ์‹ค์ธก ํ† ์–‘์ˆ˜๋ถ„์˜ ๋ณ€๋™์„ฑ์ด ํฐ ํญ์œผ๋กœ ๋ณ€ํ™”ํ•˜์˜€๊ธฐ ๋•Œ๋ฌธ์ด๋‹ค. ํŠนํžˆ DOY 260 ์ „ยทํ›„๋กœ ๊ฐ•์šฐ๊ฐ€ ๋ฐœ์ƒํ•˜์˜€์Œ์—๋„ ๋ถˆ๊ตฌํ•˜๊ณ  ํ† ์–‘์ˆ˜๋ถ„์€ ์ฆ๊ฐ€ํ•˜์ง€ ์•Š์•˜๋‹ค. ๋”ฐ๋ผ์„œ DOY 240~300 ๊ธฐ๊ฐ„ ๋™์•ˆ์— ์‹ค์ธก ํ† ์–‘์ˆ˜๋ถ„ ์ž๋ฃŒ์— ์‹ค์ธก์˜ค์ฐจ๊ฐ€ ๋ฐœ์ƒํ•˜์˜€์œผ๋ฉฐ ์ด๋กœ ์ธํ•˜์—ฌ ์ƒ๊ด€๊ณ„์ˆ˜ ๊ฐ’์ด ์ƒ๋Œ€์ ์œผ๋กœ ๋‚ฎ์€ ๊ฒƒ์œผ๋กœ ํŒ๋‹จ๋œ๋‹ค. LW13 ๋ฐ ์ฒญ๋ฏธ์ฒœ ์ง€์ ์—์„œ ๊ฒ€ยท๋ณด์ • ๊ฒฐ๊ณผ ๋ณธ ์—ฐ๊ตฌ์—์„œ ์ œ์‹œํ•œ ์ž๋ฃŒ๋™ํ™”๊ธฐ๋ฒ•๊ณผ ๋ถˆ์—ฐ์†์ ์ธ ์‹œ๊ณ„์—ด ํŠน์„ฑ์„ ์ง€๋‹Œ MODIS ๊ธฐ๋ฐ˜์˜ ํ† ์–‘์ˆ˜๋ถ„ ์ด๋ฏธ์ง€ ์ž๋ฃŒ๋ฅผ ์—ฐ๊ณ„ํ•˜์—ฌ ์‚ฐ์ •๋œ ์ผ๋ณ„ ํ† ์–‘์ˆ˜๋ถ„๊ฐ’์ด ์‹ค์ธก์ง€์ ์˜ ํ† ์–‘์ˆ˜๋ถ„ ํŠน์„ฑ์„ ์ž˜ ๋ฐ˜์˜ํ•˜๋Š” ๊ฒƒ์œผ๋กœ ๋‚˜ํƒ€๋‚ฌ๋‹ค.

Fig. 8.

(a-b) Comparison of daily simulated-, MODIS-, and TDR (in-situ)-based root zone soil moisture dynamics based on the soil moisture data assimilation.

../../Resources/kswe/32-1/images/SJBJB8_2016_v32n1_60_f008.jpg
Fig. 9.

(a) Chungmi-cheon site located within the MODIS pixel and (b) MODIS data comprised of 20 columns and 20 rows.

../../Resources/kswe/32-1/images/SJBJB8_2016_v32n1_60_f009.jpg

3.2. ๋ฏธ๊ณ„์ธก ์œ ์—ญ ์ ์šฉ์„ฑ ํ‰๊ฐ€

MODIS ์ž๋ฃŒ์™€ ์—ฐ๊ณ„๋œ ์ž๋ฃŒ๋™ํ™”๊ธฐ๋ฒ•์˜ ๋ฏธ๊ณ„์ธก ์œ ์—ญ์— ๋Œ€ํ•œ ์ ์šฉ์„ฑ์„ ํ‰๊ฐ€ํ•˜๊ธฐ ์œ„ํ•˜์—ฌ ์ฒญ๋ฏธ์ฒœ ์ง€์ ๊ณผ ์„ค๋งˆ์ฒœ ์ง€์ ์„ ์„ ์ •ํ•˜์˜€๋‹ค. ์ฒญ๋ฏธ์ฒœ ์ง€์ ์˜ TDR ๊ธฐ๋ฐ˜์˜ ์‹ค์ธก ํ† ์–‘์ˆ˜๋ถ„์„ ์ด์šฉํ•˜์—ฌ ์šฐ๋ฆฌ๋‚˜๋ผ ์ „์ง€์—ญ์˜ MODIS ๊ธฐ๋ฐ˜์˜ ํ† ์–‘์ˆ˜๋ถ„ ์ด๋ฏธ์ง€ ์ž๋ฃŒ๋ฅผ ๋ณด์ •ํ•˜์˜€๋‹ค. ์ดํ›„ ๋ณด์ •๋œ MODIS ํ† ์–‘์ˆ˜๋ถ„ ์ž๋ฃŒ๋กœ๋ถ€ํ„ฐ ํ† ์–‘์˜ ์ˆ˜๋ฆฌํ•™์  ๋ฐ ์ž‘๋ฌผ ๋งค๊ฐœ๋ณ€์ˆ˜๋ฅผ ๋„์ถœํ•˜์—ฌ ์ผ๋ณ„ ํ† ์–‘์ˆ˜๋ถ„์„ ๋ชจ์˜ํ•˜์˜€์œผ๋ฉฐ ์„ค๋งˆ์ฒœ ์ง€์ ์˜ TDR ๊ธฐ๋ฐ˜์˜ ์‹ค์ธก๊ฐ’๊ณผ ๋น„๊ตํ•˜์˜€๋‹ค(Fig. 10). ์ฒญ๋ฏธ์ฒœ ์ง€์ ์˜ ์ƒ๊ด€๊ณ„์ˆ˜(R)์™€ ๋ถˆํ™•์‹ค์„ฑ(RMSE)์ด ๊ฐ๊ฐ 0.642 ๋ฐ 0.038์ธ ๊ฒƒ์— ๋น„ํ•˜์—ฌ ์„ค๋งˆ์ฒœ ์œ ์—ญ์˜ ์ƒ๊ด€๊ณ„์ˆ˜(R)์™€ ๋ถˆํ™•์‹ค์„ฑ(RMSE)์€ ๊ฐ๊ฐ 0.763 ๋ฐ 0.074๋กœ ์ƒ๊ด€๊ณ„์ˆ˜๋Š” ์„ค๋งˆ์ฒœ ์œ ์—ญ์—์„œ ๋‹ค์†Œ ๋†’์•˜์œผ๋‚˜ ๋ถˆํ™•์‹ค์„ฑ์€ ์„ค๋งˆ์ฒœ ์ง€์ ์ด ์ฒญ๋ฏธ์ฒœ ์ง€์ ๋ณด๋‹ค 2๋ฐฐ์ •๋„ ๋†’๊ฒŒ ๋‚˜ํƒ€๋‚ฌ๋‹ค. ๋˜ํ•œ Fig. 10(b)์—์„œ ๋‚˜ํƒ€๋‚œ ๊ฒƒ์ฒ˜๋Ÿผ ๋ชจ์˜๊ฐ’์ด ์ƒ๋Œ€์ ์œผ๋กœ ๊ณผ๋Œ€์‚ฐ์ • ๋˜๋Š” ๊ฒฝํ–ฅ์„ ๋ณด์˜€๋‹ค. ์ฒญ๋ฏธ์ฒœ ์ง€์ ๊ณผ ์„ค๋งˆ์ฒœ ์ง€์ ์€ ํ† ์–‘, ์ž‘๋ฌผ ํŠน์„ฑ ๋ฐ ๊ธฐ์ƒ ํŠน์„ฑ์ด ๋‹ค๋ฅด๊ธฐ ๋•Œ๋ฌธ์— ์ฒญ๋ฏธ์ฒœ ์ง€์ ์—์„œ ๋ณด์ •๋œ ๊ฒฐ๊ณผ๋ฅผ ์ด์šฉํ•˜์—ฌ ์„ค๋งˆ์ฒœ์— ์ง์ ‘์ ์œผ๋กœ ๋ณด์ •ํ•˜๊ธฐ์—๋Š” ๋ฌด๋ฆฌ๊ฐ€ ๋”ฐ๋ฅธ๋‹ค. ๊ทธ๋Ÿฌ๋‚˜ ์ด์™ธ์— ๊ฒ€ยท๋ณด์ •ํ•  ์ˆ˜ ์žˆ๋Š” ์ž๋ฃŒ๊ฐ€ ์—†๊ธฐ ๋•Œ๋ฌธ์— ๋ณธ ์—ฐ๊ตฌ์—์„œ๋Š” ๋ถ€๋“์ด ํ•˜๊ฒŒ 2๊ฐœ ์ง€์ ์— ๋Œ€ํ•˜์—ฌ ๊ฒ€ยท๋ณด์ •์„ ์ˆ˜ํ–‰ํ•˜์˜€๋‹ค. ๋น„๋ก ํ† ์–‘์ˆ˜๋ถ„์˜ ์–‘์ ์ธ ์ธก๋ฉด์—์„œ๋Š” ๋ถˆํ™•์‹ค์„ฑ์ด ์กด์žฌํ•˜์ง€๋งŒ ์ƒ๊ด€๊ณ„์ˆ˜(R)๊ฐ€ 0.763์œผ๋กœ ๋‚˜ํƒ€๋‚˜ ๋ฏธ๊ณ„์ธก ์œ ์—ญ์— ๋Œ€ํ•˜์—ฌ ์–ด๋А์ •๋„ ํ† ์–‘์ˆ˜๋ถ„์˜ ์ฆ๊ฐ€ ๋ฐ ๊ฐ์†Œ ๊ฒฝํ–ฅ์€ ๋ชจ์˜ํ•  ์ˆ˜ ์žˆ๋Š” ๊ฒƒ์œผ๋กœ ํŒ๋‹จ๋˜์—ˆ๋‹ค. ํ›„์† ์—ฐ๊ตฌ์—์„œ ์šฐ๋ฆฌ๋‚˜๋ผ ์ง€์—ญ์„ ๋Œ€ํ‘œํ•  ์ˆ˜ ์žˆ๋Š” ์‹ค์ธก ํ† ์–‘์ˆ˜๋ถ„ ๋„คํŠธ์›Œํฌ๊ฐ€ ๊ตฌ์„ฑ์ด ๋˜๋ฉด ์ข€ ๋” ์ •ํ™•ํ•œ ๊ฒ€ยท๋ณด์ • ๊ณผ์ •์„ ์ˆ˜ํ–‰ํ•  ์ˆ˜ ์žˆ์„ ๊ฒƒ์œผ๋กœ ํŒ๋‹จ๋œ๋‹ค.

Fig. 10.

(a) Calibrated root zone soil moisture dynamics at the Chungmi-cheon site and (b) Validated root zone soil moisture dynamics at the Seolma-cheon site.

../../Resources/kswe/32-1/images/SJBJB8_2016_v32n1_60_f010.jpg

Fig. 11์€ ๋‚จํ•œ๊ณผ ๋ฏธ๊ณ„์ธก ์œ ์—ญ์ธ ๋ถํ•œ์˜ 2012๋…„ 03์›” 26์ผ ๋ฐ 2012๋…„ 10์›” 16์ผ์— ์ธก์ •๋œ MODIS ๊ธฐ๋ฐ˜์˜ ํ† ์–‘์ˆ˜๋ถ„ ์ด๋ฏธ์ง€์ž๋ฃŒ๋ฅผ ๋‚˜ํƒ€๋‚ธ๋‹ค. ๋‚จํ•œ๊ณผ ๋ถํ•œ ๋ชจ๋‘ ์‚ฐ๋ฆผ์ด ๋ฐ€์ง‘๋˜์–ด ์žˆ๋Š” ๊ณณ์—์„œ ํ† ์–‘์ˆ˜๋ถ„ ๊ฐ’์ด 0.3 cm3 cm-3 ์ด์ƒ์œผ๋กœ ๋†’๊ฒŒ ๋‚˜ํƒ€๋‚ฌ์œผ๋ฉฐ ํ‰์•ผ์ง€์—ญ์—์„œ ๋‚ฎ์€ ํ† ์–‘์ˆ˜๋ถ„ ๋ถ„ํฌ๋ฅผ ๋‚˜ํƒ€๋ƒˆ๋‹ค. ๋˜ํ•œ ๋‚ ์”จ ๋“ฑ์˜ ์ด์œ ๋กœ ํ† ์–‘์ˆ˜๋ถ„ ์ด๋ฏธ์ง€๊ฐ€ ์˜ค์—ผ๋œ ์ง€์—ญ์ด ๋งŽ์€ ๊ฒƒ์œผ๋กœ ๋‚˜ํƒ€๋‚ฌ๋‹ค. ๋”ฐ๋ผ์„œ ์ด์šฉ ๊ฐ€๋Šฅํ•œ ์›๊ฒฉํƒ์‚ฌ ์ž๋ฃŒ๋กœ๋ถ€ํ„ฐ ํ† ์–‘์˜ ์ˆ˜๋ฆฌํ•™์  ๋ฐ ์ž‘๋ฌผ ๋งค๊ฐœ๋ณ€์ˆ˜๋ฅผ ๋„์ถœํ•˜์—ฌ ์—ฐ์†์ ์ธ ์ผ๋ณ„ ํ† ์–‘์ˆ˜๋ถ„์„ ๋ชจ์˜ํ•  ์ˆ˜ ์žˆ๋Š” ์ž๋ฃŒ๋™ํ™”๊ธฐ๋ฒ•์ด ์ด๋Ÿฌํ•œ ์›๊ฒฉํƒ์‚ฌ์ž๋ฃŒ์˜ ์ œ์•ฝ์„ ๊ทน๋ณตํ•˜๋Š”๋ฐ ํšจ์œจ์ ์œผ๋กœ ์‚ฌ์šฉ๋  ์ˆ˜ ์žˆ์„ ๊ฒƒ์ด๋‹ค.

Fig. 11.

Spatially distributed root zone soil moisture across the country (March 26 2012 and June 3 2012).

../../Resources/kswe/32-1/images/SJBJB8_2016_v32n1_60_f011.jpg

4. Conclusion

๋ณธ ์—ฐ๊ตฌ์—์„œ๋Š” ์›๊ฒฉํƒ์‚ฌ ์ž๋ฃŒ๋ฅผ ์ด์šฉํ•˜์—ฌ ํ† ์–‘์ˆ˜๋ถ„์„ ์‚ฐ์ •ํ•˜์˜€๋‹ค. ํ† ์–‘์ˆ˜๋ถ„ ์ž๋ฃŒ๋™ํ™”๊ธฐ๋ฒ•(Shin and Mohant, 2015)์„ ์ด์šฉํ•˜์—ฌ ์ธ๊ณต์œ„์„ฑ(MODIS) ๊ธฐ๋ฐ˜์˜ ํ† ์–‘์ˆ˜๋ถ„ ์ด๋ฏธ์ง€๋กœ๋ถ€ํ„ฐ ํ† ์–‘์˜ ์ˆ˜๋ฆฌํ•™์ (ฮฑ, n, ฮธres, ฮธsat, Ksat) ๋ฐ ์ž‘๋ฌผ(z*, pz, zmax) ๋งค๊ฐœ๋ณ€์ˆ˜๋ฅผ ์ถ”์ถœํ•œ๋‹ค. MODIS ๊ธฐ๋ฐ˜ ๊ฒฉ์žํฌ๊ธฐ์˜ ์ถ”์ถœ๋œ ๋งค๊ฐœ๋ณ€์ˆ˜์™€ ๊ธฐ์ƒ์ž๋ฃŒ๋ฅผ ์ด์šฉํ•˜์—ฌ ์‹œยท๊ณต๊ฐ„์ ์œผ๋กœ ๋ถ„ํฌ๋˜์–ด ์žˆ๋Š” ํ† ์–‘์ˆ˜๋ถ„์„ ํ‰๊ฐ€ํ•˜์˜€๋‹ค. ๋ณธ ๊ธฐ๋ฒ•์€ ์ผ๋ณ„ ํ† ์–‘์ˆ˜๋ถ„์„ ๋ชจ์˜ํ•˜๊ธฐ ์œ„ํ•˜์—ฌ 1D-HYDRUS ๋ชจํ˜•์„ ์„ ์ •ํ•˜์˜€์œผ๋ฉฐ, ์‹ค์ œ ์ง€ํ‘œํŠน์„ฑ์— ๊ฐ€๊นŒ์šด ํ† ์–‘์˜ ์ˆ˜๋ฆฌํ•™์  ๋ฐ ์ž‘๋ฌผ ๋งค๊ฐœ๋ณ€์ˆ˜๋ฅผ ๋„์ถœํ•˜๊ธฐ ์œ„ํ•˜์—ฌ Ieration Algorithm (IA)์„ ์—ฐ๊ณ„ํ•˜์˜€๋‹ค. ๋ณธ ์—ฐ๊ตฌ์—์„œ ์ œ์•ˆํ•œ ๊ธฐ๋ฒ•์„ ๊ฒ€ยท๋ณด์ •ํ•˜๊ธฐ ์œ„ํ•˜์—ฌ LW13 ๋ฐ ์ฒญ๋ฏธ์ฒœ/์„ค๋งˆ์ฒœ ์ง€์ ์„ ์„ ์ •ํ•˜์˜€๋‹ค. ์—ฐ๊ณ„๋œ ์ž๋ฃŒ๋™ํ™” ๊ธฐ๋ฒ•์ด ๋„์ถœํ•œ ํ† ์–‘์˜ ์ˆ˜๋ฆฌํ•™์  ๋ฐ ์ž‘๋ฌผ ๋งค๊ฐœ๋ณ€์ˆ˜๋Š” ๋ฏธ๊ตญ Oklahoma ์ฃผ์˜ Little Washita (LW 13)์˜ ์‹ค์ธก ์ž๋ฃŒ๋ฅผ ์ด์šฉํ•˜์—ฌ ๊ฒ€์ •ํ•˜์˜€๋‹ค. ๋ชจ์˜๊ฒฐ๊ณผ ๋งค๊ฐœ๋ณ€์ˆ˜๋ฅผ ์ด์šฉํ•˜์—ฌ ๋„์ถœ๋œ ์ˆ˜๋ถ„ํ•จ๋Ÿ‰ ํ•จ์ˆ˜์™€ ์ž‘๋ฌผ ๋ชจ์˜๊ฐ’์ด ์‹ค์ธก๊ฐ’์„ ์ž˜ ๋ฐ˜์˜ ๊ฒƒ์œผ๋กœ ๋‚˜ํƒ€๋‚ฌ๋‹ค. ๋˜ํ•œ ๋ชจ์˜๋œ ํ† ์–‘์ˆ˜๋ถ„๊ฐ’์˜ ์ƒ๊ด€๊ณ„์ˆ˜(R)๊ฐ€ 0.876~0.877 ๋ฐ ๋ถˆํ™•์‹ค์„ฑ(RMSE)๊ฐ€ 0.024~0.024๋กœ ๋‚˜ํƒ€๋‚˜ ์‹ค์ธก ํ† ์–‘์ˆ˜๋ถ„๊ณผ ์œ ์‚ฌํ•œ ๊ฒƒ์œผ๋กœ ๋‚˜ํƒ€๋‚ฌ๋‹ค. ์ฒญ๋ฏธ์ฒœ ์ง€์ ์—์„œ๋„ ์‹ค์ธก๊ฐ’์„ ์ด์šฉํ•˜์—ฌ ๊ฒ€์ •ํ•˜์˜€์œผ๋ฉฐ ๋ชจ์˜๊ฐ’(R: 0.965 ๋ฐ 0.642 ๊ทธ๋ฆฌ๊ณ  RMSE: 0.007 ๋ฐ 0.038)์ด MODIS ํ† ์–‘์ˆ˜๋ถ„ ์ด๋ฏธ์ง€์™€ TDR ๊ธฐ๋ฐ˜ ์‹ค์ธก๊ฐ’์„ ์ž˜ ๋ฐ˜์˜ํ•˜์˜€๋‹ค. ๋‹ค์–‘ํ•œ ์กฐ๊ฑดํ•˜์—์„œ์˜ ๊ฒ€ยท๋ณด์ • ๊ฒฐ๊ณผ ๋ณธ ๊ธฐ๋ฒ•์ด ๊ตญ๋‚ด์—์„œ๋„ ์ ์šฉ๊ฐ€๋Šฅํ•œ ๊ฒƒ์œผ๋กœ ํŒ๋‹จ๋˜์—ˆ๋‹ค. ๋ฏธ๊ณ„์ธก ์œ ์—ญ์—์„œ์˜ ์ ์šฉ์„ฑ์„ ํ‰๊ฐ€ํ•˜๊ธฐ ์œ„ํ•˜์—ฌ ์ฒญ๋ฏธ์ฒœ ์ง€์ ์—์„œ ๋ณด์ •๋œ ํ† ์–‘์ˆ˜๋ถ„์„ ์„ค๋งˆ์ฒœ ์œ ์—ญ์—์„œ ๊ฒ€์ •ํ•˜์˜€๋‹ค. ์„ค๋งˆ ์ฒœ ์œ ์—ญ์—์„œ์˜ ๋ชจ์˜๊ฐ’์ด ์‹ค์ธก๊ฐ’์— ๋น„ํ•˜์—ฌ ๊ณผ๋Œ€์‚ฐ์ • ๋˜๋Š” ๊ฒƒ์œผ๋กœ ๋‚˜ํƒ€๋‚ฌ๋‹ค. ๊ทธ๋Ÿฌ๋‚˜ ๊ฒ€ยท๋ณด์ • ๊ฒฐ๊ณผ ์ƒ๊ด€๊ณ„์ˆ˜(R)๊ณผ ๋ถˆํ™•์‹ค์„ฑ(RMSE) ๊ฐ’์ด ๊ฐ๊ฐ 0.642 ๋ฐ 0.038 ๊ทธ๋ฆฌ๊ณ  0.763 ๋ฐ 0.074๋กœ ๋‚˜ํƒ€๋‚˜ ์˜ˆ์ธก๊ฐ€๋Šฅํ•œ ๋ถˆํ™•์‹ค์„ฑ ๋ฒ”์œ„๋‚ด์—์„œ ๋ฏธ๊ณ„์ธก ์œ ์—ญ์— ์ ์šฉ์ด ๊ฐ€๋Šฅํ•œ ๊ฒƒ์œผ๋กœ ํŒ๋‹จ๋œ๋‹ค. ๋น„๋ก ๋ณธ ์—ฐ๊ตฌ์—์„œ ์ œ์‹œํ•œ ๊ธฐ๋ฒ•์„ ๋‹ค์–‘ํ•œ ์‹คํ—˜์„ ํ†ตํ•˜์—ฌ ๊ฒ€ยท๋ณด์ •ํ•˜์˜€์œผ๋‚˜ ์ฒญ๋ฏธ์ฒœ๊ณผ ์„ค๋งˆ์ฒœ 2๊ฐœ ์ง€์ ์˜ ์‹ค์ธก ํ† ์–‘์ˆ˜๋ถ„ ์ž๋ฃŒ๋ฅผ ์ด์šฉํ•˜์—ฌ ๊ณต๊ฐ„์ ์œผ๋กœ ๋ถ„ํฌ๋˜์–ด ์žˆ๋Š” ์ธ๊ณต์œ„์„ฑ ๊ธฐ๋ฐ˜์˜ ํ† ์–‘์ˆ˜๋ถ„ ์ด๋ฏธ์ง€์ž๋ฃŒ์˜ ์‹ ๋ขฐ๋„๋ฅผ ํ‰๊ฐ€ํ•˜๊ธฐ์—๋Š” ๋ฏธํกํ•œ ๊ฒƒ์œผ๋กœ ํŒ๋‹จ๋œ๋‹ค. ๋”ฐ๋ผ์„œ ์ธ๊ณต์œ„์„ฑ ๊ธฐ๋ฐ˜์˜ ํ† ์–‘์ˆ˜๋ถ„ ์ด๋ฏธ์ง€ ์ž๋ฃŒ์˜ ๊ตญ๋‚ด ์ ์šฉ์„ฑ ํ‰๊ฐ€๋ฅผ ์œ„ํ•ด์„œ๋Š” ๋‹ค์–‘ํ•œ ์ง€์ ์—์„œ ํ† ์–‘์ˆ˜๋ถ„์„ ์‹ค์ธกํ•  ์ˆ˜ ์žˆ๋Š” ๋„คํŠธ์›Œํฌ ๊ตฌ์„ฑ์ด ํ•„์š”ํ•œ ๊ฒƒ์œผ๋กœ ์‚ฌ๋ฃŒ๋œ๋‹ค. ๋น„๋ก ์ œํ•œ๋œ ์‹ค์ธก ์ž๋ฃŒ๋กœ ์ธํ•˜์—ฌ ๋ณธ ์—ฐ๊ตฌ์—์„œ ์ œ์•ˆ๋œ ๊ธฐ๋ฒ•์˜ ๊ฒ€ยท๋ณด์ • ๊ณผ์ •์ด ์ถฉ๋ถ„ํžˆ ์ˆ˜ํ–‰๋˜์ง€ ๋ชปํ•˜์˜€์œผ๋‚˜, ๋„์ถœ๋œ ๊ฒฐ๊ณผ๊ฐ’์„ ๊ธฐ๋ฐ˜์œผ๋กœ ๊ตญ๋‚ด์—์„œ๋„ ์ถฉ๋ถ„ํžˆ ์ ์šฉ ๊ฐ€๋Šฅํ•œ ๊ฒƒ์œผ๋กœ ํŒ๋‹จ๋˜์—ˆ๋‹ค. ๋”ฐ๋ผ์„œ ๋ณธ ๊ธฐ๋ฒ•์€ ์‚ฐ๋ฆผ๋ฐ€๋„๊ฐ€ ๋†’๊ณ  ์‚ฐ์•…์ง€ํ˜•์œผ๋กœ ๊ตฌ์„ฑ๋˜์–ด ์žˆ๋Š” ์šฐ๋ฆฌ๋‚˜๋ผ์˜ ํ† ์–‘์ˆ˜๋ถ„์„ ํ‰๊ฐ€ํ•˜๋ฐ ์žˆ์–ด์„œ ์œ ์šฉํ•˜๊ฒŒ ์‚ฌ์šฉ๋  ์ˆ˜ ์žˆ์„ ๊ฒƒ์œผ๋กœ ํŒ๋‹จ๋œ๋‹ค.

Acknowledgements

์ด ๋…ผ๋ฌธ์€ APEC๊ธฐํ›„์„ผํ„ฐ, ๊ฒฝ๋ถ๋Œ€ํ•™๊ต ์‹ ์ž„๊ต์ˆ˜์ •์ฐฉ์—ฐ๊ตฌ๋น„ ๋ฐ ํ•œ๊ตญํ™˜๊ฒฝ์‚ฐ์—…๊ธฐ์ˆ ์› GAIA Project (No:2014000540003) โ€œํ•œ๊ตญํ˜• ํ‘œํ†  ์นจ์‹ ์กฐ์‚ฌ ํ‰๊ฐ€ ๊ธฐ์ˆ ๊ฐœ๋ฐœโ€์˜ ์ง€์›์„ ๋ฐ›์•„ ์ˆ˜ํ–‰๋˜์—ˆ์Šต๋‹ˆ๋‹ค. ๊ตญํ† ํ•ด์–‘๋ถ€(์ˆ˜๋ฌธ์กฐ์‚ฌ์‚ฌ์—…)์˜ ์ž๋ฃŒ ์ œ๊ณต์— ๊ฐ์‚ฌ๋“œ๋ฆฝ๋‹ˆ๋‹ค.

References

1 
(2015), Genetic Algorithm, Carroll, K. L. (2015). Genetic Algorithm, http://www.cuaerospace.com/carroll/ga.html. (Accessed 9 Nov. 2015).Google Search
2 
(2000), Potential for Downscaling Soil Moisture Maps Derived from Space Borne Imaging Radar Data, Journal of Geophysical Research, Crow, W. T., Wood, E. F., and Dubayah, R. (2000). Potential for Downscaling Soil Moisture Maps Derived from Space Borne Imaging Radar Data, Journal of Geophysical Research, 105, pp. 2203-2212., Vol. 105, pp. 2203-2212DOI
3 
(2003), Implementation of Noah Land Surface Model Advances in the National Centers for Environmental Prediction Operational Mesoscale Eta Model, Journal of Geophysical Research, Ek, M., K. Mitchell, E., Lin, Y., Rogers, E., Grunmann, P., Koren, V., Gayno, G., and Tarpley, J. D. (2003). Implementation of Noah Land Surface Model Advances in the National Centers for Environmental Prediction Operational Mesoscale Eta Model, Journal of Geophysical Research, 108(D22), 8851, doi:10.1029/2002JD003296., Vol. 108, No. D22, pp. 8851DOI
4 
(1991), Application of Microwave Remote Sensing of Soil Moisture for Water Resources and Agriculture, Remote Sensing of Environment, Engman, T. (1991). Application of Microwave Remote Sensing of Soil Moisture for Water Resources and Agriculture, Remote Sensing of Environment, 35, pp. 213-226., Vol. 35, pp. 213-226DOI
5 
(1999), An Agenda for Land Surface Hydrology Research and a Call for the Second International Hydrological Decade, Bulletin of American Meteorological Society, Entekhabi, D. G. R., Asrar, A. K., Betts, K. J., Beven, R., Bras, L., and Duffy, C. J. (1999). An Agenda for Land Surface Hydrology Research and a Call for the Second International Hydrological Decade, Bulletin of American Meteorological Society, 80(10), pp. 2043-2058., Vol. 80, No. 10, pp. 2043-2058DOI
6 
(1978), Simulation of Field Water Use and Crop Yield, Simulation Monograph, Feddes, R. A., Kowalik, P. J., and Zarandy, H. (1978). Simulation of Field Water Use and Crop Yield, Simulation Monograph, PUDOC, Wageningen, Netherlands.Google Search
7 
(2002), Inverse Modeling in Estimating Soil Hydraulic Functions; A Genetic Algorithm Approach, Hydrology and Earth System Sciences, Ines, A. V. M. and Droogers, P. (2002). Inverse Modeling in Estimating Soil Hydraulic Functions; A Genetic Algorithm Approach, Hydrology and Earth System Sciences, 6(1), pp. 49-65., Vol. 6, No. 1, pp. 49-65DOI
8 
(2005), On Quantifying Agricultural and Water Management Practices from Low Spatial Resolution RS Data using Genetic Algorithm: A Numerical Study for Mixed Pixel Environment, Advances in Water Resources, Ines, A. V. M. and Honada, K. (2005). On Quantifying Agricultural and Water Management Practices from Low Spatial Resolution RS Data using Genetic Algorithm: A Numerical Study for Mixed Pixel Environment, Advances in Water Resources, 28, pp. 856-790., Vol. 28, pp. 856-790DOI
9 
(2013), An Un-Mixing Algorithm for Remotely Sensed Soil Moisture, Water Resources Research, Ines, A. V. M., Mohanty, B. P., and Shin, Y. (2013). An Un-Mixing Algorithm for Remotely Sensed Soil Moisture, Water Resources Research, 49, doi:10.1029/2012WR012379., Vol. 49DOI
10 
(2001), Soil Moisture Retrieval from Space: The Soil Moisture and Ocean Salinity (SMOS) Mission, Transactions on Geoscience and Remote Sensing, Kerr, Y. H., Waldteufel, P., Wigneron, J. P., Martinuzzi, J. M., Font, J., and Berger, M. (2001). Soil Moisture Retrieval from Space: The Soil Moisture and Ocean Salinity (SMOS) Mission, Transactions on Geoscience and Remote Sensing, 39(8), pp. 1729-1735., Vol. 39, No. 8, pp. 1729-1735DOI
11 
1994, A Simple Hydrologically Based Model of Land Surface Water, Energy Fluxes for General Circulation Models, Journal of Geophysical Research, Liang, X., Lettenmaier, D. P., Wood, E. F., and Burgs, S. J. (1994). A Simple Hydrologically Based Model of Land Surface Water, Energy Fluxes for General Circulation Models, Journal of Geophysical Research, 99(D7), pp. 14415-14428, doi:10.1029/94JD00483., Vol. 99, No. D7, pp. 14415-14428DOI
12 
(2005), A Combined Modeling and Multi-Spectral/Multi-Resolution Remote Sensing Approach for Disaggregation of Surface Soil Moisture: Application to SMOS Configuration, Transactions on Geoscience and Remote Sensing, Merlin, O., Chehbouni, G., Kerr, Y., Njoku, E. G., and Entekhabi, D. (2005). A Combined Modeling and Multi-Spectral/Multi-Resolution Remote Sensing Approach for Disaggregation of Surface Soil Moisture: Application to SMOS Configuration, Transactions on Geoscience and Remote Sensing, 43(9), pp. 2036-2050, doi:10.1109/tgrs.2005.853192., Vol. 43, No. 9, pp. 2036-2050DOI
13 
(2012), Disaggregation of SMOS Soil Moisture in Southeastern Australia, Transactions on Geoscience and Remote Sensing, Merlin, O., Rudiger, C., Al Bitar, A., Walker, J. P., and Kerr, Y. H. (2012). Disaggregation of SMOS Soil Moisture in Southeastern Australia, Transactions on Geoscience and Remote Sensing, 50(5), pp. 1556-1571., Vol. 50, No. 5, pp. 1556-1571DOI
14 
(2012), Hydrologic investigation report II-2. Soil moisture investigation in 2012, Ministry of Land, Infrastructure and Transport (MOLIT). (2012). Hydrologic investigation report II-2. Soil moisture investigation in 2012, 11-1611000-002213-10, Ministry of Land, Infrastructure and Transport, pp. 21-268. [korean Literature], pp. 21-268Google Search
15 
(1976), A New Model for Predicting the Hydraulic Conductivity of Unsaturated Posours Media, Water Resources Research, Mualem, Y. (1976). A New Model for Predicting the Hydraulic Conductivity of Unsaturated Posours Media, Water Resources Research, 12, pp. 513-522., Vol. 12, pp. 513-522DOI
16 
(2010), Technical Description of Version 4.0 of the Community Land Model (CLM), Oleson, K. W., Lawrence, D. M., Bonan, G. B., Flanner, M. G., Kluzek, E.,. Lawrence, P. J., Levis, S., Swenson, S. C., and Thornton, P. E. (2010). Technical Description of Version 4.0 of the Community Land Model (CLM), NCAR TECHNICAL NOTES (NCAR/TN-478+STR).Google Search
17 
(2003), Mapping Root Zone Soil Moisture Using Remotely Sensed Optical Imagery, Journal of Irrigation and Drainage Engineering, Scott, C. A., Bastiaanssen, W. G. M., and Ahmad, M. D. (2003). Mapping Root Zone Soil Moisture Using Remotely Sensed Optical Imagery, Journal of Irrigation and Drainage Engineering, 129(5), pp. 362-335., Vol. 129, No. 5, pp. 362-335DOI
18 
(2013), Development of a Deterministic Downscaling Algorithm for Remote Sensing Soil Moisture Footprint Using Soil and Vegetation Classifications, Water Resources Research, Shin, Y. and Mohanty, B. P. (2013). Development of a Deterministic Downscaling Algorithm for Remote Sensing Soil Moisture Footprint Using Soil and Vegetation Classifications, Water Resources Research, 49, pp. 1-21, doi:10.1002/wrce.20495., Vol. 49, pp. 1-21DOI
19 
(2015), Soil Moisture Controls of Soil Carbon Sequestration in the Unsaturated Zone under Different Hydro-Climatic Conditions, in the revision to Water Resources Research., Shin, Y. and Mohanty, B. P. (2015). Soil Moisture Controls of Soil Carbon Sequestration in the Unsaturated Zone under Different Hydro-Climatic Conditions, in the revision to Water Resources Research.Google Search
20 
991, Numerical Simulation of the Transport Processes in Soil, Vodohosp. Cas., ล imลฏnek, J (1991). Numerical Simulation of the Transport Processes in Soil, Vodohosp. Cas., 39, pp. 20-34 (in Czech)., Vol. 39, pp. 20-34Google Search
21 
(2013), The Hydrus-1D Software Package for Simulating the Movement of Water, Heat, and Multiple Solutes in Variably Saturated Media, Version 4.16, HYDRUS Software Series 3, ล imหšunek, J., ล ejna, M., Saito, H., Sakai, M., and van Genuchten, M. T. (2013). The Hydrus-1D Software Package for Simulating the Movement of Water, Heat, and Multiple Solutes in Variably Saturated Media, Version 4.16, HYDRUS Software Series 3, Department of Environmental Sciences, University of California Riverside, Riverside, California, USA, pp. 340., pp. 340Google Search
22 
(1980), A Closed-Form Equation for Predicting the Hydraulic Conductivity of Unsaturated Soils, Soil Science Society of America Journal, van Genuchten, M. T. (1980). A Closed-Form Equation for Predicting the Hydraulic Conductivity of Unsaturated Soils, Soil Science Society of America Journal, 44, pp. 892-898., Vol. 44, pp. 892-898DOI