정헌재
(Heon-Jae Jung)
이보미
(Bo-Mi Lee)
이근헌
(Keun-Heon Lee)
*
신현상
(Hyun-Sang Shin)
**
허진
(Jin Hur)
†
Copyright © 2016, Korean Society on Water Environment
Key words
Dissolved Organic Matter (DOM), Fluorescence, High temperature combustion, Spectroscopic indices, Total Organic Carbon (TOC), UV-persulfate
1. Introduction
유기물이란 무기탄소를 제외한 탄소, 수소, 산소 및 질소를 기본 원소로 하는 물질을 칭하며 생명체를 이루는 기본적인 화합물이다. 수환경에 존재하는
다양한 형태의 유기물질은 자연유기물질과 인공화합유기물로 구분할 수 있다. 또한 자연계에서 생분해 정도에 따라 생분해성 유기물(Labile Organic
Matters)과 난분해성 유기물(Refractory Organic Matters)로 나눌 수 있다. 난분해성 물질은 미생물에 의해 분해되기 어려운
이중결합 및 방향족 구조가 많은 물질로서 자연유기물질의 경우 휴믹물질(Humic Substances)이 대표적이다. 휴믹물질은 용존성 유기물(Dissolved
Organic Matters)의 많은 부분을 차지하고 있다(Hertkorn et al., 2002). 난분해성 유기물은 상수 처리 시 소독부산물(Disinfection by-products)의 전구체 역할을 하며 수환경 내에서 장기적으로 존재하는
탄소원이 된다(Hur et al., 2006).
최근 공공수역 내 생분해성 유기물은 감소하는 추세이나 난분해성 유기물은 증가하는 경향을 보이고 있어 난분해성 유기물 관리에 대한 관심과 필요성이 증가하고
있다(Han and Choi, 2011). 수중 유기물 관리를 위한 국내 유기물 지표로서 BOD5, CODMn, 총 유기탄소(Total Organic Carbon, TOC)가 사용되고 있다. 그 중 BOD5는 전체 유기물 농도의 20-40%, CODMn의 경우 30-60%만을 반영하기 때문에 유기물의 총량 관리를 위한 유기물 지표로서 적절하지 않다. 또한 수중 휴믹물질이나 난분해성 유기화합물이 많은
폐수의 경우 그 반영비율은 더욱 낮아져 체계적인 유기물 관리가 어려울 수 있다(Choi et al., 2012; Kim et al., 2013). 이에 반해 TOC 분석법은 높은 산화율을 갖는 유리한 조건을 갖추고 있어 유기물 총량을 측정할 수 있는 방법을 기반으로 하는 상수원 유기물 관리
지표로 적합하다(Lyu and Lee, 2007).
TOC는 물속에 포함되어 있는 유기탄소의 양을 직접 측정하여 나타내는 지표로서 미국, 일본, 독일, 스위스 등의 일부 선진국의 경우 BOD, CODMn, CODCr 등과 병행 사용하는 등 제한된 범위에서 수중 유기물 총량 측정 기준으로 사용되고 있다(Kim et al., 2007). TOC의 장점은 기존의 유기물 측정방법인 BOD와 COD보다 분석 시간이 빠르며 측정오차가 TOC는 약 5% 이내로 BOD(10-20%)와 COD(7-10%)에
비해 상대적으로 낮고 자동화하기 쉽다는 점에 있다(Kim et al., 2007). 또한 TOC 분석에는 기존의 유기물 분석법에서 발생하는 2차 오염이 없다(Han and Choi, 2011). 국내에서도 정부와 학계 내 많은 전문가들이 수계 유기물 관리기준으로 TOC를 도입해야 한다는데 의견을 같이 하고 있으며 2013년부터 하천, 호소
등 공공수역 생활환경기준에 TOC 기준을 설정하였다.
대표적인 TOC의 분석방법에는 고온연소산화법과 UV산화법이 있으며 이를 기초로 하는 많은 분석 기기들이 사용되고 있다22(Noh et al., 2007). 고온산화 방식은 680℃ 이상의 고온에서 유기물을 산화시키는 방식으로 해수와 같은 염을 포함한 시료나 부유물질(28 mm 이하)을 포함한 시료
분석이 가능하다. UV산화 방식은 자외선(254 nm, 184 nm)에 의해 발생된 라디칼을 산화제로 이용하여 유기물을 산화시킨다. 두 가지 산화방식
모두 비분산적외선법(Non-Dispersive Infra-Red)으로 유기탄소로부터 산화되어 발생한 무기탄소(CO2)를 정량하여 유기탄소의 농도 값으로 나타낸다(Byun et al., 2009). 그러나 기기 조건, 유기물 구조 혹은 성상이 유기물 산화율에 영향을 미칠 수 있다(Choi et al., 2015). Aiken et al. (2002)은 유기물의 종류에 따라 산화율에 차이가 있음을 보였으며 염이나 알칼리도와 같은 환경적 요인도 유기물의 산화율에 영향을 줄 수 있음을 보고한 바 있다.
Jung et al. (2013)은 TOC 장비별로 산업폐수에 대한 산화율을 비교한 결과 동일 시료에 대해 최대 4-10배의 농도차이가 있음을 보고하였다. 동일한 연구에서 UV산화방식의
경우 일부 시료에서는 전혀 산화되지 않거나 과도한 농도값을 보였다. 한편 Benner and Hedges (1993)의 연구결과에 따르면 담수 시료의 경우 고온산화 방식과 UV산화방식에서 측정한 TOC 농도 간의 유의한 차이는 관찰되지 않았다. Byun et al. (2009)은 다양한 유기물을 함유한 시료에 대해 고온산화 방식과 UV산화방식에서 TOC 농도 간의 유의한 차이를 보였으며 이는 UV산화방식에서 크게 50%
정도 차이를 보였다. 이렇게 기존 연구에서 유기물 종류 및 수환경에 따라 상이한 TOC 산화율 결과를 보이므로 자연유기물질과 인공유기화합물을 포함한
다양한 유기물에 대해 그 성상 및 구조에 따른 TOC 산화율 변화와 측정 기기의 산화조건 및 부유물질, 염, 환원성 이온과 같은 다양한 환경요인에
대한 보다 체계적인 연구가 필요할 것으로 사료된다.
본 연구의 목적은 고온연소산화법과 UV산화법에 대해 (1) 자연 수계 내 존재 가능한 다양한 환경요인을 설정하여 환경적 요인이 유기물 산화율에 미치는
영향과 (2) 난분해성 유기물 구조가 TOC 산화율에 미치는 영향에 대해 파악하고, (3) TOC 산화율을 예측할 수 있는 유기물 지표를 제시하며,
(4) TOC 산화율을 제고하기 위한 TOC 기기 최적 조건을 찾고자 한다.
2. Materials and Methods
2.1. 실험재료
본 연구에서는 자연성 난분해성 물질로서 휴믹물질 연구에서 가장 광범위하게 사용된 수질성 휴믹물질 중 하천을 대표하는 SRFA (Suwannee River
Fulvic Acid)와 SRHA (Suwannee River Humic Acid), 호수를 대표하는 PLFA (Pony Lake Fulvic Acid),
육질성 휴믹물질을 대표하는 Aldrich Humic acid (AHA, Sigma-Aldrich) 및 Lignin (Sigma-Aldrich)를 구입하여
사용하였다(Park et al., 2009).
난분해성 물질의 산화방식별 산화율 차이를 보기위해 농도는 비교적 높은 농도인 8 mgC/L로 맞추어 실험하였다. 이는 국내 환경정책기본법 시행령 별표에
명시되어 있는 생활환경기준농도에서 나쁨 등급에 해당하는 TOC 농도로서(MOE, 2013) 공공수역 기준에서 비교적 고농도의 조건에서 산화율을 비교하였다.
TOC 기기의 검량선에는 US EPA에서 표준물질로 제안하는 프탈산수소칼륨(KHP, Potassium hydrogen phthalate)를 이용하였다(Eaton et al., 2005).
2.2. 분석 조건 및 방법
2.2.1. 다양한 환경조건 설정
유기물 산화율에 영향을 주는 환경조건으로서 염, 환원성 이온, 부유물질을 고려하였다. 염(NaCl, Na2SO4)농도는 하천 등의 일반적인 수 환경 내에서의 이온강도(Park et al., 2009) 및 해수 조건을 고려하여 0.01-0.5 N으로 설정하였다(Takagi and Yoshida, 2006). 환원성이온의 경우 자연에서 존재할 수 있는 농도 범위를 고려하여 NO2-는 0-0.36 mM, Fe2+은 0-0.16 mM으로 설정하였고(Capriati et al., 2013; Verplanck et al., 2005), 부유물질(Kaolin, Sigma-Aldrich)의 경우 환경부 수질측정 자료를 참고하여 장마철 강우로 인한 최대 SS의 농도를 고려하여 0-300
mg/L로 정하였다(Table 1).
Table 1.
Environmental conditions for KHP oxidation experiments
2.2.2. 유기물 산화율 측정
실험에 사용한 TOC 장비는 고온연소산화의 경우 Shimadzu사의 TOC-VCPH를 사용하였으며 UV산화법은 Analytikjena사의 Multi N/C UV HS와 H사의 TOC-4000WT를 사용하여 측정하였다(Table 2).
Table 2.
Specifications of total organic carbon analyzers used in this study
2.2.3. 유기물 탄소함량
자연성 난분해성 유기물질 중 AHA와 Lignin의 경우 0.1 MHCl을 이용하여 무기탄소의 영향을 배제한 후 원소분석기(Elemental Analyzer,
Vario EL)를 사용하여 탄소 조성비를 구하였다. Reference 물질인 SRFA (Suwannee River Fulvic Acid)와 SRHA
(Suwannee River Humic Acid), PLFA (Pony Lake Fulvic Acid)는 IHSS1)에서 제공하는 원소조성비를 사용하였다. 측정 후 원소분석으로부터 탄소 조성비를 구하였다. 탄소 조성비를 이용하여 이론적 TOC 값을 8 mgC/L로
하였다. 이론적 TOC값과 실제 기기에서 측정된 TOC 값을 비교하여 유기물 종류별 산화율에 대한 상대정확도를 계산하였다.
2.2.4. 광 조사를 이용한 유기물 특성 변형
다양한 유기물 구조 형태를 얻기 위해 AHA를 사용하여 UVC 광 조사 시간별 광분해 실험을 진행하였다. 광 조사시간을 각각 0, 1, 2, 4,
8, 10시간으로 하여 각 시간별 유기물 특성에 대해 파악하였다. 광분해 장치의 온도는 냉각팬을 사용하여 25±3℃으로 조절하였으며 AHA의 pH는
7.0 ± 0.1로 맞추어 실험하였다. 광원으로는 8W-UVC 램프(Sankyo Denki G8T5) 12개를 사용하였으며 중심파장은 254 nm이었다.
광 세기는 UVC light meter (Sper Scientific UVC light meter 850010)를 사용하여 측정하였으며 2400 μW/cm2이었다.
2.2.5. 분광분석
고유 흡광도(SUVA: specific ultraviolet absorbance)는 흡광도계(Shimadzu UV-1800)를 사용하여 파장 254
nm에서 측정한 흡광도 값에 DOC로 나누어 준 값을 취하였다. 휴믹화 지표(Humification index, HIX)는 여기파장 465 nm에서의
방출 형광스펙트럼 중 485 nm와 550 nm 사이의 형광 세기 합을 DOC값으로 나누어준 값을 사용하였다(Milori et al., 2002). Fluorescence Excitation-Emission Matrix (EEM)의 경우 형광광도계(HITACHI F-7000)를 사용하여, Excitation은
파장 200 nm-500 nm을 5 nm 간격으로, Emission은 파장 280 nm-550 nm을 1 nm 간격으로 측정하였다. excitation과
emission slit은 각각 10 nm로 고정하였으며 295 nm cut-off filter를 이용하여 2차 랄리산란을 제거하였다. 증류수를 같은
방법으로 측정하여 물에 의한 형광 특성을 배제하였다(Phong and Hur, 2015).
2.2.6. 산화조건 변경(UV산화방식)
유기물 산화 시 UV reactor의 반응온도와 유기물 분해 시라디칼 형성을 위해 사용되는 UV 접촉시간을 산화 영향인자로 설정하였으며 이에 대한
KHP의 농도는 0, 1, 2, 5, 10 mgC/L으로 설정하였다. 또한 농도 8 mgC/L의 SRFA와 SRHA를 이용하여 설정한 산화조건이 휴믹물질의
산화율에 미치는 영향을 조사하였다. 실험에 사용된 장비 매뉴얼(TOC-4000WT)에서 제안하는 기기 산화조건은 시료의 유입온도와 기기실의 온도를
맞추기 위해 UV reactor 온도는 30℃로 제안하였으며 UV 접촉시간 180초로 제안하였다. 이를 기준으로 UV reactor의 반응온도를 각각
30℃와 40℃로 변경하고, 각 온도별 UV접촉시간은 90 sec, 180 sec, 210 sec, 240 sec, 270 sec, 360 sec까지
설정하여 반응온도와 UV 접촉시간에 따른 산화율 차이를 조사하였다(Table 3).
Table 3.
Changes of UV oxidation equipment conditions
3. Results and Discussion
3.1. 환경적 요인에 따른 KHP 산화율 변화
3.1.1. 염(NaCl, Na2SO4) 농도에 대한 KHP 산화율 변화
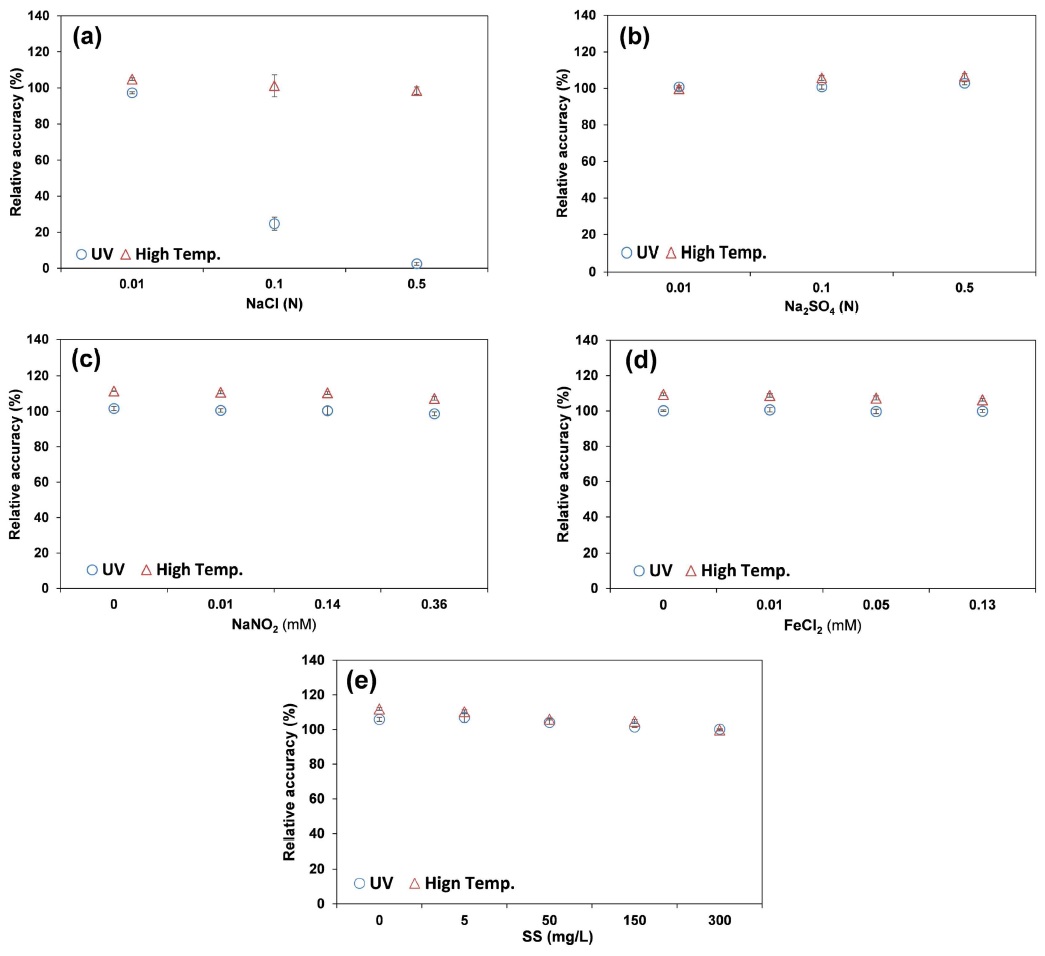
염 농도에 대한 TOC 산화율 변화는 고온산화의 경우 0.01 N, 0.1 N, 0.5 N에 대해 각각 104.9±0.7%, 101.2±6.2%,
98.5±2.1%의 값을 보여 염 농도에 관계없이 일정한 산화율을 보인 반면 UV 산화방식의 경우 각 조건에 대해 97.3±0.6%, 24.7±3.6%,
2.5±0.8%로 나타나 0.1 N 이상의 염 농도에서 75% 이상의 산화율 감소가 있음을 확인할 수 있었다(Fig. 1(a)). UV 산화시 0.05%의 염소이온 농도에서 유기물질의 산화가 방해받을 수 있다(Eaton et al., 2005). 본 연구결과는 0.02 M 이상의 염소이온 농도가 DOC 분석에 영향을 미친다는 Aiken et al. (2002)과 잘 일치하였다.
Fig. 1.
Effects of environmental conditions on oxidation rates (UV: UV-sulfate, High Temp.:
high temperature combustion). (a) NaCl concentration, (b) Na2SO4 concentration, (c) NaNO2 concentration, (d) FeCl2 concentration, (e) Kaolin concentration
염소이온 영향으로 인한 산화율 감소를 확인하기 위해 대조군으로 Na2SO4를 이용하여 염 농도에 대한 추가적인 실험을 진행한 결과 고온산화의 경우 0.01 N, 0.1 N, 0.5 N에서 각각 99.8±0.7%, 105.8±1.4%,
106.6±1.4%의 산화율을, UV 산화의 경우 각각 100.7±0.7%, 100.7±1.2%, 102.7±0.8%의 산화율을 보였다(Fig. 1(b)). 염소이온이 배제된 염 농도 영향 실험에서는 고온연소산화와 UV 산화 사이 산화율에서 유의한 차이는 관찰할 수 없었다. 이 결과는 염소이온이
유기물 산화에 영향을 미침을 보여주며 UV로 과황산염을 통해 라디칼을 생성하여 유기물을 산화시키는 UV산화방법에서는 시료 내 염소이온 배제를 위한
추가적인 전처리 방법이 필수적임을 시사한다.
3.1.2. 환원성이온(NO2-, Fe2+)에 대한 KHP 산화율 변화
NO2-는 고온연소산화의 경우 0 mM, 0.01 mM, 0.14 mM, 0.36 mM에서 각각 111.4±0.2%, 110.8±0.9%, 110.4±0.8%,
107.3±1.0%의 산화율을 보였고 UV산화의 경우 0 mM, 0.01 mM, 0.14 mM, 0.36 mM에서 각각 101.6±1.2%, 100.5±0.9%,
100.4±2.4%, 98.6±1.0%의 산화율을 보였다(Fig. 1(c)). Fe2+는 고온연소산화의 경우 0 mM, 0.01 mM, 0.05 mM, 0.13 mM에서 각각 109.4±0.8%, 108.8±1.0%, 107.3±1.2%,
106.3±0.8%의 산화율을 보였고 UV산화의 경우 0 mM, 0.01 mM, 0.05 mM, 0.13 mM에서 각각 100.2±0.4%, 100.7±1.2%,
99.7±1.2%, 99.9±0.8%의 산화율을 보였다(Fig. 1(d)). 수 환경 범위내의 두 가지 환원성 이온(NO2-, Fe2+) 농도에 대해 두 방식 모두 산화율 감소를 관찰할 수 없었으며 이온 농도에 따른 산화율 차이는 오차범위 이내였다. UV산화방식보다는 고온연소산화
방식에서 그 산화율이 더 높은 것을 확인할 수 있었다. Byun et al. (2009)은 유기물질 산화율 비교에서 UV산화방식이 고온연소산화방식에 비해 약 0-11% 낮게 측정됨을 확인하였으며 이는 고농도의 시료에서 더욱 큰 차이를
보였다. 또한 이러한 산화율 차이의 감소를 위해 UV산화방식에서 충분한 산화제와 산화시간이 필요함을 시사하였다.
3.1.3. 부유물질 농도에 따른 KHP 산화율 변화
부유물질에 대한 산화 방식별 TOC의 산화율 비교 실험결과, 고온산화의 경우 0, 5, 50, 150, 300 mg/L에서 각각 111.9±0.8%,
110.3±1.1%, 106.0±0.4%, 104.7±1.2%, 99.8±0.6%의 산화율을, UV산화의 경우 0, 5, 50, 150, 300 mg/L에서
각각 105.9±1.2%, 107.0±2.9%, 104.2±1.3%, 101.6±0.4%, 100.2±0.3%의 산화율을 보였다. 고온연소산화의 경우
control 대비 최대 농도에서 산화율이 12.1%, UV산화의 경우 5.7% 감소하는 경향을 보였다(Fig. 1(e)). 한편 최근 2년 동안 환경부 물환경정보시스템의 수질측정 자료(2014. 01~2015. 09)에 의하면 강우기 및 장마기간 내 한강수계
주요 하천 및 호소의 월평균 최대 SS 농도는 30 mg/L 이하였다. 이러한 부유물질 농도를 본 연구결과에 그대로 적용한다면 두 방식 모두 유기물
산화율에는 큰 영향을 미치지 않는다고 볼 수 있다.
3.2. 산화방식에 따른 자연 난분해성 유기물질의 산화율
자연 난분해성 유기물질 모두 고온연소산화가 UV산화보다 더 높은 산화율을 보였다. 고온연소산화의 경우 SRHA, SRFA, PLFA, AHA, Lignin에서
각각 102.3±2.1%, 107.7±0.7%, 95.1±0.6%, 104.8±2.9%, 103.6±1.4%의 산화율을 나타냈으며 UV산화법에서는
각각 92.9±0.7%, 95.2±0.2%, 82.5±0.4%, 66.0±3.2%, 57.7±1.6%으로 상대적으로 낮은 산화율을 보였다(Fig. 2). 난분해성 유기물질에 대해 UV산화방식이 고온연소산화방식에 비해 더 넓은 오차율 범위를 보였다. 특히 육질성 휴믹물질인 AHA와 Lignin의
경우 UV산화에서 낮은 산화율을 보였으며 이는 보다 단단한 구조를 가지는 유기물의 구조적 특성과 관계가 있을 것으로 사료된다. 고온연소산화방식의 경우
이론값과 유사한 값을 나타냈다. Paired t-test 결과 산화방식별 뚜렷한 산화율 차이가 관찰되었다(p=0.036).
Fig. 2.
Relative accuracies of refractory organic matter measured using TOC analyzers.
3.3. 유기물질 구조에 따른 산화율 변화
3.3.1. 광분해에 따른 유기물 특성변화와 산화율 비교
유기물 구조에 따른 TOC 산화율 변화를 보기위해 AHA에 대해 0~10시간 동안 광분해 실험을 진행하였다.
방향족 유기물 구조 변화를 정량적으로 분석하고자 다양한 분광분석(SUVA, HIX, EEM)을 실시하였다. SUVA값과 HIX 모두 광분해를 진행할수록
낮아지는 경향을 보였다. 낮은 SUVA 및 HIX값은 유기물의 방향족구조의 감소를 의미한다(Lee and Hur, 2014; Phong and Hur, 2015). EEM분석을 통해 한 개의 Fulvic-like peak (Peak1)와 두 개의 Humic-like peak (Peak2, Peak3)를 관찰할
수 있었다(Fig. 3). 형광 peak가 단파장으로 옮겨가는 현상을 Blue shifting이라 하며 이는 방향구조 분포가 적어짐을 의미한다. 반대로 형광 peak가
장파장으로 옮겨가면 이를 Red shifting이라 하며 방향족 구조가 더 많아지고 복잡해짐을 의미한다(Chen et al., 2003; Gusso-Choueri et al., 2011). Peak1의 경우 Emission 파장에서 Blue shifting이 일어났으며 형광세기 또한 증가하였다. Peak2의 경우 Excitation,
Emission 파장 모두 Blue shifting이 일어났으며 형광세기는 감소하였다. 이러한 결과는 UV 조사 시간에 따라 방향족 구조가 적어지고
또 단순한 구조를 가짐을 의미하며(Phong and Hur, 2015) peak 위치에 따른 형광세기의 증감은 선택적 유기물 구조분해와 관련이 있을 것으로 사료된다. Peak3에서는 오히려 Red shifting이 일어났으며
형광세기가 증가하였다. 이는 광분해 후 온도 및 pH 등 시료에 영향을 줄 수 있는 조건을 맞추기 위한 시간동안 광분해를 통해 분해된 유기물의 재결합으로
인한 결과로 판단된다.
Fig. 3.
Changes in EEM fluorescence peak intensities following UVC irradiation for (a) 0 h,
(b) 1 h, (c) 2 h, (d) 4 h, (e) 6h, (f) 10 h.
광분해는 유기물 구조뿐만 아니라 실제 TOC값의 감소에도 영향을 미치는 것으로 알려져 있다(Mori et al., 2013; Rajca and Bodzek, 2013). 따라서 비교적 산화율이 높은 고온산화방식를 기준으로 하여 유기물 구조에 따른 UV산화방식 산화율 변화를 조사하였다(즉, TOCUV/TOCHigh).
분광특성과 TOCUV/TOCHigh을 비교하였을 때, SUVA값과 HIX값 모두 감소할수록 TOCUV/TOCHigh 비율은 증가하는 경향을 보였다(Fig. 4). 이는 방향족 구조의 감소가 산화율 증가에 영향을 준다는 것을 시사한다. SUVA값과의 상관계수는 0.659로 HIX의 상관계수 0.816보다
낮게 나타났다. 이러한 결과는 SUVA보다는 형광분석이 유기물 구조 변화에 따른 산화율을 예측에 더 유리함을 보여준다. UV 조사시간 6시간 이후에는
고온연소산화와 UV산화 모두 같은 산화율을 보이는 것으로 나타났다(100.5±3.3% vs. 100.7±2.6%).
Fig. 4.
Changes in TOCUV/TOCHigh ratios (%) with SUVA (a) and HIX (b) of AHA with increasing UVC irradiation time.
EEM 분석은 광분해에 따른 다양한 유기물 구조 특성변화를 반영하였다. EEM 분석에서 광분해가 진행됨에 따라 고분자 또는 방향족 구조는 감소하면서
부산물이 나타남을 확인하였다. 산화가 어려운 고분자 또는 방향족 구조(Peak2)가 파괴되어 산화가 쉬운 유기물 구조(Peak1)로 전환되는 경향이
TOCUV/TOCHigh 비율 증가로 반영되었다(Fig. 5). Peak1과 3은 상대적인 산화율과 좋은 상관성을 보여 산화율에 대한 분광지표로 사용 가능성을 보였으며 광분해 부산물로 보이는 Peak2의 경우
예상대로 상대 산화율(즉, TOCUV/TOCHigh)과 반비례 관계를 나타냈다. Kavurmaci and Bekbolet (2014)에 따르면 휴믹계 형광 물질이 광분해에 의해 펄빅산계 형광물질로 변화함을 보고한 바 있으며 이러한 경향성은 본 연구 결과와도 잘 일치하였다.
Fig. 5.
Correlations between TOCUV/TOCHigh ratios and fluorescence peak intensities of AHA EEM with increasing UVC irradiation
time. (a) Peak1, (b) Peak2, (c) Peak3
3.3.2. 다양한 유기물 종류에 따른 산화율 비교
산화율 차이에 대한 유기물 내 구조적 원인을 밝히기 위해 다양한 유기물 종류를 대상으로 유기물 방향족/소수성 특성과 관련한 SUVA, aromaticity와
상대 산화율을 비교하였다(Fig. 6).
Fig. 6.
Relationships between (a) SUVA and relative accuracy, and between (b) aromaticity
and relative accuracy of TOC measurements for high temperature combustion UV oxidation.
결과 고온연소산화에서는 모두 90% 이상의 높은 산화율을 보여 구조별 차이를 관찰할 수 없었다. 반면 UV산화의 경우 방향족 구조가 많을수록 산화율이
낮아짐을 알 수 있었다. 특히 aromaticity와 관련된 유기물 구조가 SUVA값과 관련된 유기물 구조에 비해 산화율에 더 영향을 미침을 관찰할
수 있었다. UV254를 흡광하는 구조는 방향족 외에 이중, 삼중결합 구조로 알려져 있으며 두 구조의 경우 방향족에 비해 작은 에너지로도 산화될 수 있다. 따라서 방향족
구조와 직접적으로 관련이 있는 aromaticity가 산화율과 더 좋은 상관성을 보이는 것으로 사료된다.
3.4. UV산화방식 산화조건에 따른 비교
3.4.1. 산화조건에 따른 KHP 변화
기기(TOC-4000WT) 내 설정조건인 반응온도와 UV 접촉시간에 따른 KHP 산화율 차이를 NDIR에서 측정되는 신호값으로 비교하였다. 조건별로
검량선을 측정한 결과 온도 및 접촉시간에 따른 차이가 있는 것으로 나타났다(Fig. 7).
Fig. 7.
Changes in NDIR signals under different conditions. (a) UV reactor temperature 30℃,
(b) UV reactor temperature 40℃.
UV reactor는 UV산화장비에서 UV reactor의 반응온도 변화와는 상관없이 짧은 반응시간 90초에서는 고농도의 유기물 산화를 충분히 반영하지
못하였다. 특히 UV reactor 반응온도 30℃에서 UV 접촉시간이 증가할수록 KHP의 산화율은 민감하게 나타났다. 30℃에서 검량선의 기울기는
90초를 제외하고 접촉시간 180, 210, 240, 270, 360초에서 각각 0.3099, 0.3282, 0.3381, 0.3504, 0.3423으로
증가하는 경향을 보였으며 40℃에서는 UV 접촉시간 증가에 따라 각각 0.4361 0.4468, 0.4491, 0.4491, 0.4511으로 증가하여
산화율 민감성이 30℃보다는 낮은 것으로 나타났다(Fig. 7).
3.4.2. 산화조건에 따른 난분해성 유기물 변화
대표적인 Reference 물질인 SRHA와 SRFA의 산화율 비교 결과 역시 온도와 접촉시간이 증가할수록 높은 신호값을 보였다. 특히 30℃에서는
SRHA가 SRFA에 비해 더 낮은 값을 보였고 이러한 차이는 UV 접촉시간을 늘릴수록 감소하였다(Fig. 8).
Fig. 8.
Changes in detection signals according to UV exposure duration and temperature in
a UV reactor.
4. Conclusion
-
1) 환경 시료 내 염소 이온 농도가 증가할 때, 고온산화방식은 TOC 산화율에 변화가 없는 반면 UV산화방식에서는 뚜렷하게 감소하였다.
-
2) 환원성이온(NO2-, Fe2+)과 부유물질 농도 변화에에 대해서는 고온연소산화와 UV산화방식 사이의 유의한 산화율 차이는 관찰되지 않았다.
-
3) 난분해성 물질에 대해 UV산화방식이 고온연소산화방식에 비해 낮은 산화율을 보였으며 유기물 종류별로 그 산화율은 다르게 나타났다.
-
4) 난분해성 유기물 구조에 대해 방향족 구조와 관련이 있는 SUVA, HIX, 휴믹산 형광피크 형광세기는 UV산화방식 TOC 산화율과 반비례의 상관관계를
보여 유기물 분광 측정이 TOC 산화율 예측 지표로 사용될 수 있음을 시사하였다.
-
5) 자연 난분해성 물질인 SRHA와 SRFA 모두 UV reactor의 반응온도가 높은 조건에서 더 높은 신호값을 보였고 방향족 구조가 많은 유기물에서는
더 낮은 신호가 나타났으며 이러한 차이는 UV접촉시간이 증가할수록 감소하였다.
-
6) 반응온도는 UV 접촉시간에 비해 유기물 산화율에 더 큰 영향을 보여 UV 방식의 TOC 분석에서 난분해성 물질의 산화율을 높이기 위해서는 반응온도
조절이 중요함을 시사하였다.
Acknowledgements
본 연구는 2015년 글로벌탑환경기술개발사업(No. 201500 1840002) “수질오염물질(TOC, TN, TP) 자동측정기 상용화”와 환경부
“폐자원에너지화 전문인력 양성사업”의 일부로 수행되었습니다.
References
(2002), Assessment of Relative Accuracy in the Determination of Organic Matter Concentrations
in Aquatic Systems, Journal of Environmental Monitoring, Aiken, G., Kaplan, L. A.,
and Weishaar, J. (2002). Assessment of Relative Accuracy in the Determination of Organic
Matter Concentrations in Aquatic Systems, Journal of Environmental Monitoring, 4(1),
pp. 70-74., Vol. 4, No. 1, pp. 70-74

(1993), A Test of the Accuracy of Freshwater DOC Measurements by High-Temperature
Catalytic Oxidation and UV-Promoted Persulfate Oxidation, Marine Chemistry, Benner,
R. and Hedges, J. I. (1993). A Test of the Accuracy of Freshwater DOC Measurements
by High-Temperature Catalytic Oxidation and UV-Promoted Persulfate Oxidation, Marine
Chemistry, 41(1), pp. 161-165., Vol. 41, No. 1, pp. 161-165

(2009), Comparison of Oxidation Methods in Analyzing Total Organic Carbon, Journal
of the Korean Society for Environmental Analysis, Byun, J. D., Kim, T. D., Lee, S.
K., Kim, H. O., and Kim, J. L. (2009). Comparison of Oxidation Methods in Analyzing
Total Organic Carbon, Journal of the Korean Society for Environmental Analysis, 12(3),
pp. 172-176. [Korean Literature], Vol. 12, No. 3, pp. 172-176

(2013), Nitrate Removal from Service Station Wastewater Treatment, Water 21 (Magazine
of International Water Association), Capriati, A., Schiano, G., and Cosimo., L. (2013).
Nitrate Removal from Service Station Wastewater Treatment, Water 21 (Magazine of International
Water Association), 21(15.01), pp. 1-2., Vol. 21, No. 15.01, pp. 1-2

(2003), Fluorescence Spectroscopic Studies of Natural Organic Matter Fractions, Chemosphere,
Chen, J., LeBoeuf, E. J., Dai, S., and Gu, B. (2003). Fluorescence Spectroscopic Studies
of Natural Organic Matter Fractions, Chemosphere, 50(5), pp. 639-647., Vol. 50, No.
5, pp. 639-647

(2012), Esimation of TOC Concentration Using BOD, COD in Runoff from Paddy Fields,
Journal of Korean Society on Water Environment, Choi, D., Jung, J., Yoon, K., Lee,
K., Choi, W., Lee, S., Park, H., Yim, B., and Hwang, T. (2012). Esimation of TOC Concentration
Using BOD, COD in Runoff from Paddy Fields, Journal of Korean Society on Water Environment,
28(6), pp. 813-818. [Korean Literature], Vol. 28, No. 6, pp. 813-818

(2015), Application of TOC Standards for Managing Refractory Organic Compiunds in
Industrial Wastewater, Journal of Korean Society on Water Environment, Choi, I. W.,
Kim, J. H., Im, J. K., Park, T. J., Kim, S. Y., Son, D. H., Huh, I. A., Rhew, D. H.,
and Yu, S. J. (2015). Application of TOC Standards for Managing Refractory Organic
Compiunds in Industrial Wastewater, Journal of Korean Society on Water Environment,
31(1), pp. 29-34. [Korean Literature], Vol. 31, No. 1, pp. 29-34

(2005), Standard Methods for Examination of Water & Wastewater (21th ed.)., Eaton,
A. D., Clescerl, L. S., Rice, E. W., and Greenberg, A. E. (2005). Standard Methods
for Examination of Water & Wastewater (21th ed.). Washington, DC: American Public
Health Association, pp. 5-21-5-25., pp. 5-21-5-25

(2011), The Dynamics of Fluorescent Dissolved Organic Matter in the Paranaguá Estuarine
System, Southern Brazil, Brazilian Journal of Oceanography, Gusso-Choueri, P. K.,
Choueri, R. B., Lombardi, A. T., and Machado, E. C. (2011). The Dynamics of Fluorescent
Dissolved Organic Matter in the Paranaguá Estuarine System, Southern Brazil, Brazilian
Journal of Oceanography, 59(4), pp. 311-326., Vol. 59, No. 4, pp. 311-326

(2011), Selection of the Optimum Organic Matter Index for Surface Water Quality Management,
Korea Environment Institute, Han, D. and Choi, J. Y. (2011). Selection of the Optimum
Organic Matter Index for Surface Water Quality Management, Korea Environment Institute,
10(4), pp. 61-81. [Korean Literature], Vol. 10, No. 4, pp. 61-81

(2002), Utilization and Transformation of Aquatic Humic Substances by Autochthonous
Microorganisms, Environmental Science & Technology, Hertkorn, N., Claus, H., Schmitt-Kopplin,
P. H., Perdue, E. M., and Filip, Z. (2002). Utilization and Transformation of Aquatic
Humic Substances by Autochthonous Microorganisms, Environmental Science & Technology,
36(20), pp. 4334-4345., Vol. 36, No. 20, pp. 4334-4345

(2006), Characterizing Fluorescence Properties of Dissolved Organic Matter for Water
Quality Management of Rivers and Lakes, Journal of Korean Society of Environmental
Engineers, Hur, J., Shin, J. K., and Park, S. W. (2006). Characterizing Fluorescence
Properties of Dissolved Organic Matter for Water Quality Management of Rivers and
Lakes, Journal of Korean Society of Environmental Engineers, 28(9), pp. 940-948. [Korean
Literature], Vol. 28, No. 9, pp. 940-948

, Organic Matter Characteristics of Industrial Wastewater According to Oxidation Rates
of TOC Analyzer, Jung, M., Hun, I., Lee, C., Shin, J., Kim, J., No, D., and Kim, Y.
(2013). Organic Matter Characteristics of Industrial Wastewater According to Oxidation
Rates of TOC Analyzer, Proceedings of the 2013 Co-Conference of the Korean Society
on Water Environment and Korean Society of Water and Wastewater, Korean Society on
Water Environment and Korean Society of Water and Wastewater, pp. 131-132. [Korean
Literature], pp. 131-132

(2014), Tracing TiO2 Photocatalytic Degradation of Humic Acid in the Presence of Clay
Particles by Excitation-Emission Matrix (EEM) Fluorescence Spectra, Journal of Photochemistry
and Photobiology A: Chemistry, Kavurmaci, S. S. and Bekbolet, M. (2014). Tracing TiO2
Photocatalytic Degradation of Humic Acid in the Presence of Clay Particles by Excitation-Emission
Matrix (EEM) Fluorescence Spectra, Journal of Photochemistry and Photobiology A: Chemistry,
282, pp. 53-61., Vol. 282, pp. 53-61

(2013), Comparison of Organic Matter Distribution in Major Tributaries of the Nakdong
River, Journal of Korean Society on Water Environment, Kim, H. S., Hong, J. J., Seong,
J. U., Choi, K. S., and Park, J. C. (2013). Comparison of Organic Matter Distribution
in Major Tributaries of the Nakdong River, Journal of Korean Society on Water Environment,
29(5), pp. 618-624. [Korean Literature], Vol. 29, No. 5, pp. 618-624

(2007), Comparison of TOC and DOC Distribution and th Oxidation Efficiency of BOD
and COD in Several Resrvoir and Rivers in th Han River System, Journal of Korean Society
on Water Environment, Kim, J. K., Shin, M. S., Jang, C. W., Jung, S. M., and Kim,
B. C. (2007). Comparison of TOC and DOC Distribution and th Oxidation Efficiency of
BOD and COD in Several Resrvoir and Rivers in th Han River System, Journal of Korean
Society on Water Environment, 23(1), pp. 72-80. [Korean Literature], Vol. 23, No.
1, pp. 72-80

(2014), Photodegradation‐Induced Changes in the Characteristics of Dissolved Organic
Matter with Different Sources and Their Effects on Disinfection By Product Formation
Potential, CLEAN-Soil, Air, Water, Lee, M. H. and Hur, J. (2014). Photodegradation‐Induced
Changes in the Characteristics of Dissolved Organic Matter with Different Sources
and Their Effects on Disinfection By Product Formation Potential, CLEAN-Soil, Air,
Water, 42(5), pp. 552-560., Vol. 42, No. 5, pp. 552-560

(2007), Inquiry of Water Environment in Mihocheon (Stream) -Water Quality Monitoring
Focused on TOC-, Journal of Korean Society on Water Environment, Lyu, J. H. and Lee,
D. G. (2007). Inquiry of Water Environment in Mihocheon (Stream) -Water Quality Monitoring
Focused on TOC-, Journal of Korean Society on Water Environment, 23(5), pp. 731-739.
[Korean Literature], Vol. 23, No. 5, pp. 731-739

(2002), Humification Degree of Soil Humic Acids Determined by Fluorescence Spectroscopy,
Soil Science, Milori, D. M., Martin-Neto, L., Bayer, C., Mielniczuk, J., and Bagnato,
V. S. (2002). Humification Degree of Soil Humic Acids Determined by Fluorescence Spectroscopy,
Soil Science, 167(11), pp. 739-749., Vol. 167, No. 11, pp. 739-749

(2013), Enforcement Decree of the Framework Act on Environmental Policy, Article 2,
Presidential Decree No. 21621., Ministry of Environment (MOE). (2013). Enforcement
Decree of the Framework Act on Environmental Policy, Article 2, Presidential Decree
No. 21621.

(2013), Photodecomposition of Humic Acid and Natural Organic Matter in Swamp Water
Using a TiO2-Coated Ceramic Foam Filter: Potential for the Formation of Disinfection
Byproducts, Chemosphere, Mori, M., Sugita, T., Mase, A., Funatogawa, T., Kikuchi,
M., Aizawa, K., and Itabashi, H. (2013). Photodecomposition of Humic Acid and Natural
Organic Matter in Swamp Water Using a TiO2-Coated Ceramic Foam Filter: Potential for
the Formation of Disinfection Byproducts, Chemosphere, 90(4), pp. 1359-1365., Vol.
90, No. 4, pp. 1359-1365

, A Study on the Quality Assurance Quality Control of the Quality of Water Monitering
System -Focused on TOC-, Noh, D. H., Hong, S. Y., Jang, J. Y., and Park, J. C. (2007).
A Study on the Quality Assurance Quality Control of the Quality of Water Monitering
System -Focused on TOC-, Proceedings of the 2007 Co-Conference of the Korean Society
on Water Environment and Korean Society of Water and Wastewater, Korean Society on
Water Environment and Korean Society of Water and Wastewater, pp. 1049-1062. [Korean
Literature], pp. 1049-1062

(2009), Effect of Humic Substances on the Changes of Dissolved Organiic Matter Characteristics
by Biodegradation, Journal of Korean Society on Water Environment, Park, M. H., Lee,
B. M., Lee, T. H., Hur, J., and Yang, H. J. (2009). Effect of Humic Substances on
the Changes of Dissolved Organiic Matter Characteristics by Biodegradation, Journal
of Korean Society on Water Environment, 25(3), pp. 419-424. [Korean Literature], Vol.
25, No. 3, pp. 419-424

(2015), Insight into Photocatalytic Degradation of Dissolved Organic Matter in UVA/TiO2
Systems Revealed by Fluorescence EEM-PARAFAC, Water Research, Phong, D. D. and Hur,
J. (2015). Insight into Photocatalytic Degradation of Dissolved Organic Matter in
UVA/TiO2 Systems Revealed by Fluorescence EEM-PARAFAC, Water Research, 87, pp. 119-126.,
Vol. 87, pp. 119-126

(2013), Kinetics of Fulvic and Humic Acids Photodegradation in Water Solutions, Separation
and Purification Technology, Rajca, M. and Bodzek, M. (2013). Kinetics of Fulvic and
Humic Acids Photodegradation in Water Solutions, Separation and Purification Technology,
120, pp. 35-42., Vol. 120, pp. 35-42

(2006), Effect of Salt Concentration on Intracellular Accumulation of Lipids and Triacylglyceride
in Marine Microalgae Dunaliella Cells, Journal of Bioscience and Bioengineering, Takagi,
M. and Yoshida, T. (2006). Effect of Salt Concentration on Intracellular Accumulation
of Lipids and Triacylglyceride in Marine Microalgae Dunaliella Cells, Journal of Bioscience
and Bioengineering, 101(3), pp. 223-226., Vol. 101, No. 3, pp. 223-226

(2005), Aqueous Stability of Gadolinium in Surface Waters Receiving Sewage Treatment
Plant Effluent, Boulder Creek, Colorado, Environmental Science & Technology, Verplanck,
P. L., Taylor, H. E., Nordstrom, D. K., and Barber, L. B. (2005). Aqueous Stability
of Gadolinium in Surface Waters Receiving Sewage Treatment Plant Effluent, Boulder
Creek, Colorado, Environmental Science & Technology, 39(18), pp. 6923-6929., Vol.
39, No. 18, pp. 6923-6929
