The Journal of
the Korean Society on Water Environment

The Journal of
the Korean Society on Water Environment

Bimonthly
  • ISSN : 2289-0971 (Print)
  • ISSN : 2289-098X (Online)
  • KCI Accredited Journal

Editorial Office





NI method, Nonpoint source pollution, Pollutant load, SWAT model

1. Introduction

최근 수질오염 사고가 빈번히 발생하면서 환경적, 경제적 피해가 커짐에 따라 수질오염에 대한 사회적 관심이 증대되고 있다. 수질오염은 자연적, 인위적 요인에 의해 발생되는데 최근에는 인간 활동으로 발생되는 오염물질이 수질에 큰 영향을 미치고 있다(Kim and Lim, 1997). 오염원은 점오염원(Point source pollution)과 비점오염원(Nonpoint source pollution)으로 구분되는데 점오염원은 고정된 배출원에서 발생하는 오염원으로 생활하수, 공장폐수, 축산폐수 등이 있으며, 비점오염원에서는 배출지점이 정해져있지 않고 대량으로 발생할 뿐만 아니라 광범위한 지역에서 발생하므로 예측과 관리에 큰 어려움이 있다. 특히 농촌지역에서 발생한 비점오염물질은 하천 부영양화에 큰 영향을 미치는데, 이는 작물생산성 증대를 위한 비료 사용과 축산농가에 의해 발생되는 비점오염물질이 원인이 되는 경우가 많다(Choi et al., 2011). 하천에 방류수가 유입되어 부유물이 쌓여 부패하면 온도가 상승한다. 수온이 상승하면 미생물이 번식함과 동시에 하천의 서식종의 분포에 큰 영향을 미치며, 서식 어류의 분포와 성장에 큰 영향을 받는다(Lee et al., 2013). 그리고 곧 pH, BOD, COD, 용존 총질소, 총질소가 달라진다. 결국 용존산소량이 감소해 하천의 자정능력이 떨어진다(Hong, 2000). 하천의 부영양화는 pH, 전기전도도, 용존산소량, 수온, 화학적 산소 요구량 등 수생태계를 완전히 변화시킨다. 하천의 부영양화 및 수질관리를 위해서는 오염원의 오염부하 산정 및 배출 특성을 분석하고 관리하는 것이 매우 중요하다(Shin et al., 2000). 최근 몇 년 동안 수질 오염 사고가 빈번히 발생되면서 특별대책 요구가 증가되고 있으며, 오염부하에 의해 발생되는 다양한 환경적 피해를 저감하고자 환경부에서는 1998년 물관리 종합대책의 하나로 오염물질의 배출 총량을 관리 또는 규제하는 수질오염 총량관리제를 도입하였다. 하지만 대부분 배출 총량 관리를 위해 관리계획 수립 및 이행이 쉬운 공공처리시설과 같은 점오염원 시설에 집중되어 비점오염의 관리는 점오염원에 비해 매우 미비한 실정이다(Jung, 2014; Lee et al., 2013). 특히 최근 온실효과 현상으로 기온 증가, 강수패턴 변화 등의 기후변화가 초래하고, 극한사상의 규모와 빈도가 변화하고 있다. 이러한 영향을 받은 강우강도증가 및 홍수 등에 의해 비점오염물질 발생량도 증가하고 있다(Kim, 2007; Moon et al., 1999). 지속적인 하천 수질 관리를 위해서는 체계적인 비점오염물질 관리가 이루어져야 하며 이를 위해서는 우선적으로 오염부하의 정량적인 양을 산정하기 위한 정확한 기초자료 확보가 중요하다(Yit and Kim, 2014). 비점오염물질 발생은 강우-유출수에 의해 영향을 크게 받으며, 시간에 따라 부하량 변동폭이 크고 강우초기에 오염물질의 농도가 매우 높아 강우 초기 발생되는 유출수의 수질을 조사해야 보다 정확한 오염부하량을 산정할 수 있다(Kim, 2007; Lee et al., 2012). 그러나 4대강 유역 내 270개 지점이 유량 및 수질 조사가 시행되고 있으나 총량 측정망에서는 고비용의 한계로 평균 8일 간격으로 조사가 이루어지고 있어, 일정기간 동안의 비점오염부하 총량을 산정하기에는 한계가 있다(Kim, 2008; Jung, 2014).

4대강 물환경연구소, 국내 주요 대학 및 기업 등에서는 오염부하량과 비점오염원 배출원단위 산정에, 임의의 지점에서 조사된 유량과 실측 수질 농도를 이용하는 NI(Numeric Integration)방법을 활용하고 있지만(Shin et al., 2010), NI 방법은 수질 조사 간격에 따라 비강우시의 수질시료 농도가 강우시 수질농도에도 영향을 줄 수 있기 때문에 수질변화의 경향과 오염물질의 양을 정확하게 파악하기 힘든 단점이 있다(Jang et al., 2011).

이에 본 연구의 목표는 8일 간격으로 측정된 수질자료를 활용한 오염부하량 산정과 1일 간격으로 측정된 수질자료를 활용한 오염부하량 산정 결과를 비교 분석하여 정확한 비점오염물질의 오염부하 산정을 위한 비점오염 측정망의 필요성을 제시하는 데 있다.

2. Materials and Methods

2.1. 오염부하량 산정 비교

본 연구에서는 환경부 총량측정망에서 조사되고 있는 총량 8일 유량/수질자료를 SWAT(Soil and Water Assessment) 모형의 보정자료로 활용하여 1일 간격으로 확장하였다. 이렇게 산정된 SWAT 모형의 유량 및 수질자료를 1일 간격 실측값으로 가정하고, 실제 현장 측정이 이루어졌던 일자에 해당되는 SWAT모형의 유량/수질 값을 총량 8일 유량/수질 자료로 가정하였다. 이렇게 가정한 총량 8일 유량/수질자료를 NI방법에 적용하여 총량 8일 유량 수질자료에 대한 SS 오염부하량 값과 SWAT 모형의 1일 간격 유량/수질자료에 대한 SS 오염부하량 값을 비교 분석하였다(Fig. 1).

Fig. 1.

Analysis of pollutant Load Data.

../../Resources/kswe/32-2/images/SJBJB8_2016_v32n2_149_f001.jpg

또한 우리나라의 경우 강우량의 대부분이 여름철에 집중되어 있기 때문에 강우시 측정 여부에 따라 오염부하량 산정에 큰 차이가 발생할 수 있다. 이에 강우시 수질 측정의 필요성을 제시하고자 강우가 집중되는 여름과 그 외 봄, 가을, 겨울의 SS 오염부하량을 각각 산정하여 분석하였다.

2.2. 연구대상지역

본 연구에서는 3대강의 총량단위유역 중 점오염원에 의한 영향이 가작 적을 것으로 판단되는 상류 세 유역(한강유역 섬강A, 낙동강유역 미천A, 금강유역 금본A)을 연구대상 지역으로 선정하였다(Fig. 2). 총량측정망 지점인 섬강A, 미천A, 금본A의 위치정보는 Table 1과 같다. 섬강A 유역의 면적은 720.3 km2이며 토지이용 현황은 산림 80.3%, 밭 10.8%, 논 5,7%, 시가화 3.2%로 주로 산림지역이다. 미천A는 유역면적 370.1 km2이며 토지이용 현황은 산림 82.0%, 밭 10.8%, 논 3.8%, 시가화 3.3%로 주로 산림지역이다. 금본A는 유역면적 298.1 km2이며 토지이용 현황은 산림 74.3%, 밭 13.9%, 논 7.3%, 시가화 4.5%로 주로 산림지역이다. 섬강A, 미천A, 금본A 세 유역 모두 산림지역이 대부분으로 점오염원에 의한 영향이 매우 적을 것으로 판단된다.

Fig. 2.

Study Area.

../../Resources/kswe/32-2/images/SJBJB8_2016_v32n2_149_f002.jpg
Table 1.

Location of monitoring station

../../Resources/kswe/32-2/images/SJBJB8_2016_v32n2_149_t001.jpg

2.3. SWAT 모형

2.3.1. 개요

SWAT 모형은 미국 농무성의 농업연구소(Agricultural Research Service : ARS)에서 개발한 유역단위의 모형이다(Arnold et al., 1994). SWAT 모형은 강우-유출모형과 수질 모형이 GIS와 연계된 호환모형으로서 장기 유량과 수질을 모의할 수 있다. 또한 미계측 지역에서도 모의가 가능하고 경작형태나 기후‧식생 등의 변화에 따른 수질의 상대적 효과도 정량화할 수 있는 특징을 지니고 있으며, 유역, 소유역, 수문학적 반응단위별 유출량, 수질, 토양유실을 모의할 수 있다(Shin et al., 2007; Neitsch et al., 2011).

2.3.2. 입력자료 구축

SWAT 모형은 시간적 변화와 공간적 분포를 고려하여 유출 특성을 분석한다. 본 연구에서는 SWAT 모형 모의를 위해 30 m × 30 m DEM을 구축하였고, 토지이용도는 환경부에서 제공하는 2012년 자료를 이용하였으며(MOE, 2012), 토양도는 농촌진흥청 농업과학기술원에서 제공해주는 정밀 토양도를 이용해 입력자료를 구축하였다(Fig. 3-5).

Fig. 3.

DEM, Landuse, Soil of Seomgang A.

../../Resources/kswe/32-2/images/SJBJB8_2016_v32n2_149_f003.jpg
Fig. 4.

DEM, Landuse, Soil of Micheon A.

../../Resources/kswe/32-2/images/SJBJB8_2016_v32n2_149_f004.jpg
Fig. 5.

DEM, Landuse, Soil of Geumbon A.

../../Resources/kswe/32-2/images/SJBJB8_2016_v32n2_149_f005.jpg

2.3.3. SWAT 모형 보정

본 연구에서는 유출량과 유사량에 영향을 미치는 최적 매개변수를 보정하기 위해 SWAT-CUP을 사용하였다. SWATCUP은 SWAT 모형의 자동 보정을 보조하기 위한 프로그램으로 SUFI2, GLUE, Parasol, MCMC 알고리즘을 이용하여 최적 매개변수를 추정할 수 있다. Ryu et al. (2012)의 논문에서 4가지 알고리즘 중 SUFI2 알고리즘은 실측자료, 매개변수, 변수 등과 같은 불확실성의 요소들을 밝히는 알고리즘으로, 보정에 적합하다고 제시하였다. 따라서 본 연구에서는 각 유역의 매개변수에 대한 보정을 위해 유량과 유사에 민감한 21가지 매개변수를 선정하고, SUFI2 알고리즘을 활용하여 SWAT 모형을 보정하였다. 여기에서 21가지 매개변수는 Kim et al. (2013)의 매개변수 민감도에 대한 연구에서 유량 및 유사 보정에 제시하였던 매개변수를 참고하여 설정하였다(Table 3).

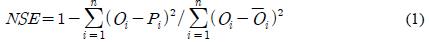
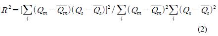
연구지역의 SWAT 모형 적용성 평가는 유효지수(Nash and Sutcliffe efficiency : NSE)와 결정계수(Coefficient of determination, R2)를 이용하였으며, NSE 산정식은 식 (1)이고 R2 산정식은 식 (2)와 같다.

../../Resources/kswe/32-2/images/SJBJB8_2016_v32n2_149_e901.jpg

식 (1)에서 Oi는 실측 일유량, Pi는 모형에서 예측된 일유량, ../../Resources/kswe/32-2/images/SJBJB8_2016_v32n2_149_e101.jpg는 실측 일유량 평균을 의미한다. NSE 값이 1에 가까울수록 예측치가 실측치와 근사하다는 것을 의미한다(Nash and Sutcliffe, 1970).

../../Resources/kswe/32-2/images/SJBJB8_2016_v32n2_149_e902.jpg

(2)식에서 Om은 실측값, Os는 모의값, ../../Resources/kswe/32-2/images/SJBJB8_2016_v32n2_149_e102.jpg은 실측값의평균, ../../Resources/kswe/32-2/images/SJBJB8_2016_v32n2_149_e103.jpg는 모의값의 평균을 의미한다. R2 값 또한 1에 가까울수록 예측치와 실측치가 근사하다는 것을 의미한다.

Ramanarayanan et al. (1997) 연구에 따르면 R2가 0.5 이상이고 NSE가 0.4 이상이면 모형이 자연현상에 대해서 잘 모의한 것으로 제안되었으며, Donigian and Love (2003)는 과거 10년 이상의 모형들의 적용이 된 사례들과 연구 자료 등을 바탕으로 일반적인 모형의 신뢰구간 및 효율 범위를 제시하였다(Table 2).

Table 2.

Criteria for evaluating model performance (Donigian and Love, 2003)

../../Resources/kswe/32-2/images/SJBJB8_2016_v32n2_149_t002.jpg
Table 3.

Twenty one used in calibration for flow and sediment estimation

../../Resources/kswe/32-2/images/SJBJB8_2016_v32n2_149_t003.jpg

2.4. NI방법

본 연구에 사용된 NI방법은 식 (3)을 활용하여 오염부하량을 산정한다.

../../Resources/kswe/32-2/images/SJBJB8_2016_v32n2_149_e903.jpg

ci는 i번째 샘플의 농도이고 qi는 i번째 유량을 의미한다. ti는 i번째 샘플로서 표현되는 시간 구간으로 ../../Resources/kswe/32-2/images/SJBJB8_2016_v32n2_149_e104.jpg이다.

NI방법을 이용한 하천 오염부하량 산정은 실측 수질 샘플링 이전 및 이후 기간 사이의 중간지점의 기점이 실측 농도로 이용되어 오염부하가 산정된다. NI방법은 유량 및 수질의 관측빈도가 적으면 오염부하량 산정의 정확도에 영향을 받을 수 있다는 단점이 있다. 또한 이 방법은 일단 유량이 가변적이고 농도와 유량 모두 함께 증가한다는 가정 하에서 이루어진다(Jang et al., 2011).

따라서 NI방법을 통한 오염부하량을 정확도 높게 산정하기 위해서는 관측빈도수를 높여 충분한 수의 실측 수질 샘플링을 보유하고 있어야 한다. 여기에서 NI방법은 Fig. 6과 같이 S1 ~ S4는 Section1 ~ Section4까지의 대표농도로, 오염 부하를 산정하는데 실측 농도로 이용된다(Choi et al., 2015).

Fig. 6.

Estimation of pollutant loading using the NI (Choi et al., 2015).

../../Resources/kswe/32-2/images/SJBJB8_2016_v32n2_149_f006.jpg

3. Results and Discussion

3.1. SWAT 모형 보정 결과

본 연구에서는 유출량과 유사량에 대한 보정을 수행하였다. 보정에는 물환경정보시스템에서 제공하는 2009년부터 2012년까지의 총량 8일 유량/수질자료를 사용하였고, 유출량과 유사량에 관련된 21개의 매개변수를 이용하였다. 보정에 사용된 매개변수와 보정 값은 Table 5와 같으며 섬강 A유역의 유출량에 대한 NSE, R2는 각각 0.53, 0.73, 유사량에 대한 NSE, R2는 각각 0.72, 0.73으로 나타났다. 미천A 유역의 유출량에 대한 NSE, R2는 각각 0.92, 0.92, 유사량에 대한 NSE, R2는 각각 0.79, 0.96이며, 금본A 유역의 유출량에 대한 NSE, R2는 각각 0.69, 0.83, 유사량에 대한 NSE, R2는 각각 0.95, 0.96으로 모두 높은 적용성을 보이는 것으로 나타났다(Table 4). Fig. 7 유출량 및 유사량 보정 결과 Donigian and Love (2003)가 제시한 기준을 만족하였고, 이를 통해 본 연구의 SWAT 모형의 모의 결과가 자연 현상을 잘 모의하는 것으로 사료된다. 본 연구의 결과에서 보이는 바와 같이 SWAT 모형이 각 유역의 유출량과 유사량을 정확히 평가할 수 있을 것으로 판단되었으며 이를 1일 실측 자료로 가정하여 활용하였다.

Table 4.

NSE and R2 from SWAT calibration for flow and sediment estimation

../../Resources/kswe/32-2/images/SJBJB8_2016_v32n2_149_t004.jpg
Table 5.

Twenty one used in calibration for outflow and Sediment estimation

../../Resources/kswe/32-2/images/SJBJB8_2016_v32n2_149_t005.jpg
Fig. 7.

NSE and R2 from SWAT calibration for flow and Sediment estimation.

../../Resources/kswe/32-2/images/SJBJB8_2016_v32n2_149_f007.jpg

3.2. 오염부하량 산정 결과 비교

본 연구에서는 SWAT모형을 활용하여 총량 8일 간격 유량/수질자료를 1일 간격으로 확장하고, 1일 간격 유량/수질 자료를 통해 산정된 SS 오염부하량과 1일 간격으로 확장된 수질자료를 다시 실제 현장 조사 일자로 정리한 8일 간격 수질자료를 NI 방법에 적용하여 산정한 SS 오염부하량을 비교/분석하였다. 2009년부터 2012년까지 NI방법을 이용해 산정된 각 유역의 SS 오염부하량과 SWAT 모형을 이용해 산정된 각 유역의 SS 오염부하량 비교 결과는 Table 6과 같다. Table 6에서 두 값의 차이는 백분율로 나타내었으며, 식 (4)와 같이 계산하였다.

../../Resources/kswe/32-2/images/SJBJB8_2016_v32n2_149_e904.jpg
Table 6.

The total sediment load from SWAT and NI

../../Resources/kswe/32-2/images/SJBJB8_2016_v32n2_149_t006.jpg

섬강A, 미천A, 금본A 유역에서, NI방법으로 산정된 SS 오염부하량보다 SWAT 모형으로부터 산정된 SS 오염부하량이 각각 5,887ton, 6,398ton, 30,586ton 더 높게 나타났다. 이와 같이 NI방법으로 산정된 SS 오염부하량이 SWAT 모형의 SS 오염부하량 보다 최대 55.5% 작게 산정되었다. 이는 모니터링 일자 사이에 수질 농도 값을 동일한 값으로 가정하고 부하량을 산정하는 NI방법의 산정방식 때문으로 판단된다. 특히 강우로 인해 첨두유출이 발생하는 시점을 기준으로 첨두 유출이 발생한 시점과 현장 조사가 이루어지는 시점이 비슷한 경우 NI방법으로 산정한 SS 오염부하량과 SWAT모형을 통해 산정한 SS 오염부하량의 차이가 적게 발생하지만, 첨두 유출 발생시점과 관측 시점의 차이가 크면 NI방법은 SS 오염부하량의 불확실성이 커지게 된다. 실제 첨두 유출 발생 시점과 관측 시점이 유사한 경우가 많았던 섬강A의 경우 다른 두 유역에 비해 SS 오염부하량 차이가 가장 적게 나타났으며, 첨두 유출 발생 시점과 관측 시점의 차이가 큰 경우가 많았던 금본A 유역의 경우 SS 오염부하량의 차이가 55.5%로 세 유역 중 가장 크게 나타났다.

Fig. 8.

The total sediment load from SWAT and NI.

../../Resources/kswe/32-2/images/SJBJB8_2016_v32n2_149_f008.jpg

이를 좀 더 세부적으로 나누어 NI방법과 SWAT 모형을 통한 각 계절별, 연도별 SS 오염부하량을 산정하고(Table 7), SWAT 모형을 통해 산정한 SS 오염부하량을 기준으로 하고 NI방법을 이용해 산정한 SS 오염부하량과의 차이를 비교해보았다. 계절은 3~5월은 봄, 6~8월은 여름, 9~11월은 가을, 12~2월은 겨울로 보았다.

Table 7.

sediment load of each watershed from SWAT and NI

../../Resources/kswe/32-2/images/SJBJB8_2016_v32n2_149_t007.jpg

S-A : Seomgang A, M-A: Micheon A, G-A : Geumbon A

2009년 SWAT 모형의 결과 값과 NI방법의 결과 값의 차이는 섬강A 유역의 경우 봄 54ton, 여름 297ton, 가을 79ton, 겨울 5ton이고, 미천A 유역은 봄 361ton, 여름 -407ton, 가을 146ton, 겨울 25ton이고, 금본A 유역은 봄 1,140ton, 여름 4,240ton, 가을 37ton, 겨울 191ton이다. 2010년 섬강A 유역의 경우에 봄 31ton, 여름 93ton, 가을 813ton, 겨울 52ton이고, 미천A 유역은 봄 218ton, 여름 575ton, 가을 81ton, 겨울 87ton이고, 금본A 유역은 봄 135ton, 여름 2,122ton, 가을 373ton, 겨울 688ton이다. 2011년 섬강A 유역의 경우에 봄 135ton, 여름 2,239ton, 가을 86ton, 겨울 44ton이고, 미천A 유역은 봄 946ton, 여름 2,691ton, 가을 218ton, 겨울 214ton이고, 금본A 유역은 봄 2,611ton, 여름 9,602ton, 가을 361ton, 겨울 621ton이다. 2012년 섬강 A 유역의 경우에 봄 0.4ton, 여름 2,130ton, 가을 11ton, 겨울 75ton이고, 미천A 유역은 봄 357ton, 여름 142ton, 가을 614ton, 겨울 289ton이고, 금본A 유역은 봄 240ton, 여름 5,555ton, 가을 2,477ton, 겨울 -1,739ton이다. 이를 요약하여 유열별로 각각 표와 그래프로 나타내었다(Table 8~10, Fig. 9).

Table 8.

Difference between the values of sediment load from SWAT and NI in Seomgang A

../../Resources/kswe/32-2/images/SJBJB8_2016_v32n2_149_t008.jpg
Table 9.

Difference between the values of sediment load from SWAT and NI in Micheon A

../../Resources/kswe/32-2/images/SJBJB8_2016_v32n2_149_t009.jpg
Table 10.

Difference between the values of sediment load from SWAT and NI in Geumbon A

../../Resources/kswe/32-2/images/SJBJB8_2016_v32n2_149_t010.jpg
Fig. 9.

Difference between sediment load from SWAT and NI.

../../Resources/kswe/32-2/images/SJBJB8_2016_v32n2_149_f009.jpg

Table 8~10과 같이 각 유역의 연도별-계절별 SS 오염부하량 차이는 세 유역 모두 여름철에 대부분 가장 차이가 크게 났으며, 겨울철은 다른 계절에 비해 비교적 적게 나타났다. 이렇듯 여름철에 차이가 크게 나타나는 이유는 총량 8일 유량 수질자료로는 여름철 빈번한 강우와 이로 인해 발생하는 첨두유출을 반영하기에는 한계가 있으므로 다른 계절에 비해 여름철 SWAT 모형에서 산정된 SS 오염부하량과 NI방법으로 산정된 SS 오염부하량의 차이도 크게 나타나는 것으로 사료된다. 이를 통해 정확한 오염부하량 산정을 위해 보다 많은 수질 측정 자료의 확보의 필요성과 특히, 강우시 오염원 측정에 대한 필요성을 확인하였다.

4. Conclusion

본 연구에서는 총량 8일 유량 수질자료를 사용하여 섬강A, 미천A, 금본A 유역을 대상으로 SWAT 모형을 보정하였다. 본 연구에서 수행된 보정은 저평수기 위주에 측정된 8일 간격 유량/수질자료이기 때문에 홍수기 시 측정되지 않은 모든 실측치에 대해 보정할 수 없다는 한계점이 발생하였다. 하지만 SWAT 모형은 유량 및 수질에 민감한 일 강우자료를 비롯한 기상자료와 공간자료를 이용하여 일단위 유역평가 할 수 있으므로 물환경정보시스템에서 제공되는 실측값만을 이용하여 보정 후 이를 실측값으로 가정하였다. 이를 물환경정보시스템에서 제공하는 수질자료를 NI 방법에 적용하여 산정된 SS 오염부하량과 비교분석하였다.

NI방법을 통해 총량 8일 간격 유량/수질자료를 활용하여 산정한 SS 오염부하량을 SWAT 모형에서 산정한 SS 오염부하량과 비교분석한 결과 섬강A, 미천A, 금본A 각각 14.8%, 37.5%, 55.5%의 차이가 나타났다. 따라서 현재 총량 8일 유량 수질 자료는 오염부하량을 산정하기에는 자료의 양이 부족하므로 SS 오염부하량 산정의 정확도를 높이기 위해 보다 많은 양의 모니터링이 필요할 것으로 판단된다. 특히 여름철의 경우에는 강우가 집중되어 봄, 가을, 겨울에 비해 강우시 오염원 발생량과 유출량이 더욱 많이 증가하게 된다. 따라서 여름철의 경우에는 강우에 따른 오염원의 증감을 타계절 보다 민감하게 고려할 수 있도록 수질측정 빈도수를 늘려야 할 필요성이 있는 것으로 판단되며, 이에 실시간으로 강우시 오염원을 측정할 수 있도록 자동측정소 운영이 필요할 것으로 사료된다.

본 연구에서는 현재 운영되고 있는 8일 간격 측정망의 한계점을 규명하고, 비점오염원 관리를 위한 수질 측정 빈도수 증가 및 전국 단위 측정망 구축을 제안하였다. 이를 통해 정확하고 충분한 양의 비점오염원 측정 자료의 확보가 가능할 것으로 기대된다.

Acknowledgements

본 연구는 국토교통부 물관리사업의 연구비지원(14AWMPB082564-01)과 한국환경산업기술원 GAIA Project (No:2014000540003) “한국형 표토 침식 조사 평가 기술개발”의 지원을 받아 수행되었으며, 이에 감사드립니다.

References

1 
(1994), Integration of a Basin-Scale Water Quality Model with GIS, Water Resources Bulletin, Arnold, J. G. and Srinivasan, R. (1994). Integration of a Basin-Scale Water Quality Model with GIS, Water Resources Bulletin, pp. 453-462. [Korean Literature], pp. 453-462Google Search
2 
(2011), Evaluation of Treatment Efficencies of Pollutants in Bongsan Constructed Wetlands for Treating Non-point Source Pollution, Korean Journal of Soil Science and Fertilizer, Choi, I. W., Moon, S. D., Seo, D. C., Kang, S. W., Lim, B. J., Park, J. H., Kim, K. S., Lee, J. B., Heo, J. S., and Cho, J. S. (2011). Evaluation of Treatment Efficencies of Pollutants in Bongsan Constructed Wetlands for Treating Non-point Source Pollution, Korean Journal of Soil Science and Fertilizer, 44(6), pp. 1089-1094. [Korean Literature], Vol. 44, No. 6, pp. 1089-1094DOI
3 
(2015), A Study of Total Nitrogen Pollutant Load through Baseflow Analysis at the Watershed, Journal of Korean Society on Water Environment, Choi, Y. H., Kum, D. H., Ryu, J. C., Jung, Y. H., Kim, Y. S., Jeon, J. H., Kim, K. S., and Lim, K. J. (2015). A Study of Total Nitrogen Pollutant Load through Baseflow Analysis at the Watershed, Journal of Korean Society on Water Environment, 31(1), pp. 55-66. [Korean Literature], Vol. 31, No. 1, pp. 55-66DOI
4 
, Sediment Calibration Procedures and Guidelines for Watershed Modeling, Donigian, A. S. and Love, J. T. (2003). Sediment Calibration Procedures and Guidelines for Watershed Modeling, WEF-TMDL 2003, November 16-19, WEF Specialty Conference Proceedings on CD-ROM, Illinois, Chicago, pp. 1-20., pp. 1-20Google Search
5 
(2000), Environmental and Ecological Studies on the Water Quality and Eutrophication of Drinking Water Resources in Seoul Metropolitan City Area, Hong, S. S. (2000). Environmental and Ecological Studies on the Water Quality and Eutrophication of Drinking Water Resources in Seoul Metropolitan City Area, Han-yang University, pp. 1-3. [Korean Literature], pp. 1-3Google Search
6 
(2011), Application and Evaluation of the NI, ESTIMATOR, LOADEST to Estimate Efficiently Pollutant Loadings from a Stream, Journal of Agricultural, Life and Environmental Sciences, Jang, W. S., Ryu, J. C., Kang, H. W., Lee, J. W., Kim, K. S., and Lim, K. J. (2011). Application and Evaluation of the NI, ESTIMATOR, LOADEST to Estimate Efficiently Pollutant Loadings from a Stream, Journal of Agricultural, Life and Environmental Sciences, 23(21), pp. 1-10. [Korean Literature], Vol. 23, No. 21, pp. 1-10Google Search
7 
(2014), Estimation Method of Pollution Sources and Loads for Management of Total Maximum Daily Load, Jung, J. P. (2014). Estimation Method of Pollution Sources and Loads for Management of Total Maximum Daily Load, Chonbuk National University. pp. 65-88. [Korean Literature], pp. 65-88Google Search
8 
(2008), Evaluation for Actual Discharge Data for TMDL in Nakdong River Basin, Magazine of Korea Water Resources Association, Kim, G. H. (2008). Evaluation for Actual Discharge Data for TMDL in Nakdong River Basin, Magazine of Korea Water Resources Association, 41(12), pp. 90-95. [Korean Literature], Vol. 41, No. 12, pp. 90-95Google Search
9 
(2007), Runoff Characteristics of Nonpoint Pollution Source in Dryland and Forest using SWAT Model, Kim, G. Y. (2007). Runoff Characteristics of Nonpoint Pollution Source in Dryland and Forest using SWAT Model, Hanbat National University, pp. 1-9. [Korean Literature], pp. 1-9Google Search
10 
(2013), Uncertainty Analysis on the Simulations of Runoff and Sediment Using SWAT-CUP, Journal of Korean Society on Water Environment, Kim, M. H., Heo, T. Y., and Chung, S. W. (2013). Uncertainty Analysis on the Simulations of Runoff and Sediment Using SWAT-CUP, Journal of Korean Society on Water Environment, 29(5), pp. 681-690. [Korean Literature], Vol. 29, No. 5, pp. 681-690Google Search
11 
(1997), A study on Characteristics of Water Pollutants Releasing from Sediments in Keum River Estuary Reservoir, Journal of Korean Society on Water Environment, Kim, T. E. and Lim, B. S. (1997). A study on Characteristics of Water Pollutants Releasing from Sediments in Keum River Estuary Reservoir, Journal of Korean Society on Water Environment, 13(3), pp. 245-253. [Korean Literature], Vol. 13, No. 3, pp. 245-253Google Search
12 
(2007), Water Quality Monitoring and Estimation of Pollutant Loadings using SWAT Model in Dowoncheon Watershed of the Dongjin River Basin, Kim, Y. J. (2007). Water Quality Monitoring and Estimation of Pollutant Loadings using SWAT Model in Dowoncheon Watershed of the Dongjin River Basin, Chonbuk National University. pp. 1-27. [Korean Literature], pp. 1-27Google Search
13 
(2013), Analysis of Domestic Water Pollution Accident and Response Management, Journal of Korean Wetlands Society, Lee, J. K., Kim, T. O., and Jung, Y. J. (2013). Analysis of Domestic Water Pollution Accident and Response Management, Journal of Korean Wetlands Society, 15(4), pp. 529-534. [Korean Literature], Vol. 15, No. 4, pp. 529-534Google Search
14 
(2012), Supersaturation of Eutrophic Streams with Oxygen in Korea and Its Physiological Effects on Fish, Magazine of Korea Water Resources Association, Lee, S. R. M., Ju, J. C., Song, H. M., Kim, B. C., An, H. S., and An, C. H. (2012). Supersaturation of Eutrophic Streams with Oxygen in Korea and Its Physiological Effects on Fish, Magazine of Korea Water Resources Association, 45(11), pp. 33-38. [Korean Literature], Vol. 45, No. 11, pp. 33-38Google Search
15 
(2012), Water Quality Monitoring Network Operations Planning, Ministry of Environment (MOE). (2012). Water Quality Monitoring Network Operations Planning, pp. 1-275. [Korean Literature], pp. 1-275Google Search
16 
(1999), Load factor of Nonpoint Source Pollutant owing to Land Use in Bangdong Reservoir Watershed, Journal of Agricultural Science, Moon, J. P., Kim, T. C., and Ahn, B. G. (1999). Load factor of Nonpoint Source Pollutant owing to Land Use in Bangdong Reservoir Watershed, Journal of Agricultural Science, 26(2), pp. 61-69. [Korean Literature], Vol. 26, No. 2, pp. 61-69Google Search
17 
(1970), RiverFlow Forecasting Through Conceptual Models Part I, A Discussion of Principles, Journal of hydrology, Nash, J. E. and Sutcliffe, J. V. (1970). RiverFlow Forecasting Through Conceptual Models Part I, A Discussion of Principles, Journal of hydrology, 10(3), pp. 282-290., Vol. 10, No. 3, pp. 282-290DOI
18 
(2011), Soil and Water Assessment Tool; Theoretical Documentation; User’s Manual (version 2009), Neitsch, S. L., Arnold, J. G., Kiniry, J. R., and Williams, J. R. (2011). Soil and Water Assessment Tool; Theoretical Documentation; User’s Manual (version 2009), Texas Water Resources Institute Technical Report, TR-406.Google Search
19 
, Using APEX to Identfy Alternative Practices for Animal Waste Management, Ramanarayanan, T. S., Williams, J. R., Dugas, W. A., Hauck, L. M., and McFarland, A. M. S. (1997). Using APEX to Identfy Alternative Practices for Animal Waste Management, ASAE International Meeting, Minneapolis, pp. 97-2209., pp. 97-2209Google Search
20 
(2012), Application of SWAT_CUP for Streamflow Auto-calibration at Soyang-gang Dam Watershed, Journal of Korean Society on Water Environment, Ryu, J. D., Kang, H. W., Choi, J. W., Kong, D. S., Kum, D. H., Jang, C. H., and Lim, K. J. (2012). Application of SWAT_CUP for Streamflow Auto-calibration at Soyang-gang Dam Watershed, Journal of Korean Society on Water Environment, 28(3), pp. 347-358. [Korean Literature], Vol. 28, No. 3, pp. 347-358Google Search
21 
(2000), Eutrophication and Water Pollution Characteristics of the Kyongan Stream to Paltang Reservoir, Korean Journal of Limnology, Shin, J. K., Cho, J. L., Hwang, S. J., and Cho, K. J. (2000). Eutrophication and Water Pollution Characteristics of the Kyongan Stream to Paltang Reservoir, Korean Journal of Limnology, 33(4), pp. 387-394. [Korean Literature], Vol. 33, No. 4, pp. 387-394Google Search
22 
, Runoff Characteristics of NPS in small watershed, Magazine of Korea water resources association, Shin, M. H., Choi, J. W., Lee, J. J., Lee, J. A., and Choi, J. D. (2010). Runoff Characteristics of NPS in small watershed, Magazine of Korea water resources association, Proceedings of the Korea Water Resources Association Conference, pp. 1134-1138. [Korean Literature], pp. 1134-1138Google Search
23 
(2007), Estimation of Streamflow Discharges using Kajiyama Equation and SWAT Model, Journal of Korean National Committee on Irrigation and Drainage, Shin, Y. C., Shin, M. H., Kim, W. K., Lim, K. J., and Choi, J. D. (2007). Estimation of Streamflow Discharges using Kajiyama Equation and SWAT Model, Journal of Korean National Committee on Irrigation and Drainage, 14(1), pp. 41-49. [Korean Literature], Vol. 14, No. 1, pp. 41-49Google Search
24 
(2014), Improvement on Management of Non-point Source Pollution for Reasonable Implementation of TMDL- Focusing on Selection of Non-point Source Pollution Management Region and Management of Non-point Source Pollutant, Journal of Korean Society of Environmental Engineers, Yit, S. J. and Kim, Y. L. (2014). Improvement on Management of Non-point Source Pollution for Reasonable Implementation of TMDL- Focusing on Selection of Non-point Source Pollution Management Region and Management of Non-point Source Pollutant, Journal of Korean Society of Environmental Engineers, 36(10), pp. 719-723. [Korean Literature], Vol. 36, No. 10, pp. 719-723DOI