The Journal of
the Korean Society on Water Environment

The Journal of
the Korean Society on Water Environment

Bimonthly
  • ISSN : 2289-0971 (Print)
  • ISSN : 2289-098X (Online)
  • KCI Accredited Journal

Editorial Office





EMCs, Irrigation water reduction, NPS pollution, System of rice intensification, SRI

1. Introduction

๊ฐ•์šฐ ์‹œ ์ง€ํ‘œ์œ ์ถœ์ˆ˜์™€ ํ•จ๊ป˜ ์œ ์ถœ๋˜๋Š” ๋น„์ ์˜ค์—ผ์›์€ ๊ฐ•์šฐ ๊ฐ•๋„๋‚˜ ์ง€์†์‹œ๊ฐ„๊ณผ ๊ฐ™์€ ๊ฐ•์šฐํŠน์„ฑ๊ณผ ์ง€ํ‘œ์ˆ˜์˜ ์ˆ˜๋ฆฌ ์ˆ˜๋ฌธํ•™์  ํŠน์„ฑ๊ณผ ์—ฐ๊ณ„๋˜์–ด ์žˆ๊ณ , ์˜ˆ์ธก๊ณผ ์ •๋Ÿ‰ํ™” ๊ทธ๋ฆฌ๊ณ  ์ธ์œ„์ ์ธ ์กฐ์ ˆ์ด ์–ด๋ ต๊ธฐ ๋•Œ๋ฌธ์— ํ•˜์ฒœ์ˆ˜์งˆ์— ํฐ ์˜ํ–ฅ์„ ๋ฏธ์นœ๋‹ค(Kwon et al., 2014). ํŠนํžˆ ๋†๊ฒฝ์ง€๋กœ๋ถ€ํ„ฐ ๊ฐ•์šฐ ์‹œ ์œ ์ถœ๋˜๋Š” ๋†์—…๋น„์ ์˜ค์—ผ์€ ์˜ค์—ผ ๋ฐฐ์ถœ ํŠน์„ฑ์— ๋Œ€ํ•œ ํŒŒ์•…์ด ์–ด๋ ต๊ณ  ๋งค์šฐ ๋ถˆ๊ทœ์น™ํ•˜๊ฒŒ ๋ฐœ์ƒํ•˜๋ฉฐ, ์˜๋†๋ฐฉ๋ฒ•, ์ง€๋ฆฌ์  ์กฐ๊ฑด ๋“ฑ์— ๋”ฐ๋ผ ์˜ํ–ฅ์„ ๋งŽ์ด ๋ฐ›๋Š”๋‹ค(Choi et al., 2009; Jung et al., 2008; Jung et al., 2012; Yoon, Cho et al., 2002b). ํŠนํžˆ ๊ด‘๋ฒ”์œ„ํ•œ ํ† ์ง€์—์„œ ๋ฐœ์ƒํ•˜๋Š” ๋†์—…๋น„์ ์˜ค์—ผ์€ ์ƒ๋Œ€์ ์œผ๋กœ ๋‚ฎ์€ ๋†๋„๋กœ ๋„“๊ฒŒ ๋ถ„ํฌํ•˜๋ฉด์„œ๋„ ๊ฐ•์šฐ ์œ ์ถœ๊ณผ ํ•จ๊ป˜ ๊ฑฐ๋™ํ•˜์—ฌ ๋†์ดŒ์œ ์—ญ์˜ ์˜ค์—ผ ๋ถ€ํ•˜๋Ÿ‰์— ํฐ ๋น„์ค‘์„ ์ฐจ์ง€ํ•˜๊ณ  ์žˆ์œผ๋ฏ€๋กœ(Yoon, Kim et al., 2002a) ํ•˜์ฒœ์ด๋‚˜ ํ˜ธ์†Œ ๋“ฑ์˜ ์ˆ˜์งˆ ๊ด€๋ฆฌ๋ฅผ ์œ„ํ•ด์„œ๋Š” ๋†์—…๋น„์ ์˜ค์—ผ์›์˜ ํšจ์œจ์ ์ธ ๊ด€๋ฆฌ๊ฐ€ ํ•„์š”ํ•˜๋‹ค. ํŠนํžˆ ์šฐ๋ฆฌ๋‚˜๋ผ์˜ ๊ฒฝ์šฐ ํ† ์ง€์ด์šฉ ์ค‘ ์ž์—ฐ ์ƒํƒœ์ธ ์‚ฐ๋ฆผ์„ ์ œ์™ธํ•˜๊ณ , ๋‹จ์ผ ์ง€๋ชฉ ์ค‘ ๋…ผ์ด ์ฐจ์ง€ํ•˜๋Š” ๋น„์œจ์ด 15%๋กœ ๊ฐ€์žฅ ๋†’์€ ๋น„์ค‘์ž„์„ ๊ฐ์•ˆํ•  ๋•Œ(Choi et al., 2012; Jeon, 2012), ๋…ผ์€ ๊ฐ•์šฐ์™€ ์žฌ๋ฐฐํ˜•ํƒœ, ๋ฌผ๊ด€๋ฆฌ ๋ฐฉ๋ฒ• ๋“ฑ์— ๋”ฐ๋ผ ๋‹ค์–‘ํ•œ ๋น„์ ์˜ค์—ผ์› ๋ฐฐ์ถœ ํŠน์„ฑ์„ ๊ฐ–๊ณ  ์žˆ๊ธฐ ๋•Œ๋ฌธ์—(Jeon et al., 2005) ์‹ค์šฉ์ ์ธ ๋…ผ์˜ ์ตœ์ ๊ด€๋ฆฌ ๊ธฐ๋ฒ•์„ ๋„์ถœํ•˜๊ธฐ ์œ„ํ•ด์„œ๋Š” ๋น„์ ์˜ค์—ผ์— ๋Œ€ํ•œ ์ •๋Ÿ‰ํ™”๊ฐ€ ํ•„์š”ํ•˜๋‹ค. ๋น„์ ์˜ค์—ผ์›์€ ๊ฐ•์šฐ ๋ฐ ์œ ์ถœ์— ์˜ํ•ด ์˜ํ–ฅ์„ ๋ฐ›๊ธฐ ๋•Œ๋ฌธ์— ์œ ์ถœ์— ์˜ํ–ฅ์„ ์ฃผ๋Š” ๊ด€๊ฐœ์šฉ์ˆ˜๋Ÿ‰์„ ์ €๊ฐํ•˜๊ฒŒ ๋˜๋ฉด ๋น„์ ์˜ค์—ผ์›์„ ์ €๊ฐํ•  ์ˆ˜ ์žˆ๋‹ค(Choi et al., 2013).

์ด์— ๋น„์ ์˜ค์—ผ์ €๊ฐ ๋ฐ ๊ด€๊ฐœ์šฉ์ˆ˜ ์‚ฌ์šฉ๋Ÿ‰์„ ์ค„์ผ ์ˆ˜ ์žˆ๋Š” ์ƒˆ๋กœ์šด ๋ฒผ ์žฌ๋ฐฐ ๋ฐฉ๋ฒ•์ธ SRI(System of Rice Intensification)๊ฐ€ ์„ธ๊ณ„์ ์œผ๋กœ ์ด์šฉ๋˜๊ณ  ์žˆ๋‹ค(Park et al., 2011). SRI๋ฐฉ๋ฒ•์€ 1980๋…„๋Œ€ ๋งˆ๋‹ค๊ฐ€์Šค์นด๋ฅด์—์„œ ์‹œ์ž‘์ด ๋˜์—ˆ์œผ๋ฉฐ, ์˜์–‘์—ผ๋ฅ˜ ์ €๊ฐํšจ๊ณผ, ๊ด€๊ฐœ์šฉ์ˆ˜ ํšจ์œจ์„ฑ ์ฆ๋Œ€, ํ™˜๊ฒฝ ์นœํ™”์  ์žฌ๋ฐฐ๊ธฐ์ˆ , ๊ธฐํ›„๋ณ€ํ™” ๋Œ€์‘, ์Œ€์˜ ํ’ˆ์งˆ๊ฐœ์„  ๋“ฑ์„ ํ•  ์ˆ˜ ์žˆ๋Š” ๊ธฐ์ˆ ๋กœ ํ‰๊ฐ€๋ฐ›๊ณ  ์žˆ๋‹ค(Zhao et al., 2010). SRI๋Š” Wet-dry ์žฌ๋ฐฐ๊ธฐ๋ฒ•์œผ๋กœ ๊ฐ•์šฐ ์‹œ ๋ฌผ์„ ์ €๋ฅ˜์‹œํ‚ค๊ณ  ๊ด€ํ–‰๋Œ€๋น„ ์ž‘๋ฌผ์˜ ์˜์–‘์—ผ๋ฅ˜ ํก์ฐฉ์— ํšจ๊ณผ์ ์œผ๋กœ ์ด๋กœ ์ธํ•ด ์ˆ˜์งˆ์ด ๊ฐ์†Œ๋˜๋Š” ํšจ๊ณผ๊ฐ€ ์žˆ๋‹ค(Zhao et al., 2011). Choi et al. (2015)์€ SRI ์ ์šฉ ์‹œ ๊ด€ํ–‰๋Œ€๋น„ ์ˆ˜์งˆ์ด 18.6~42.3%, ๋น„์ ์˜ค์—ผ๋ถ€ํ•˜๋Ÿ‰์ด 16.5~53.9% ์ €๊ฐ๋˜์—ˆ๋‹ค๊ณ  ํ•˜์˜€์œผ๋ฉฐ, ์—ฐ๊ตฌ๊ฒฐ๊ณผ์— ๋”ฐ๋ฅด๋ฉด SRI๋ฅผ ์ ์šฉ ์‹œ ๊ด€ํ–‰๋Œ€๋น„ ์•ฝ 40~67% ์šฉ์ˆ˜ ์ €๊ฐ ํšจ๊ณผ๋ฅผ ๋‚˜ํƒ€๋‚ธ๋‹ค๊ณ  ๋ณด๊ณ ํ•˜์˜€๋‹ค(Li et al., 2005; Park et al., 2011; Sato and Uphoof, 2007).

๊ทธ๋Ÿฐ๋ฐ ์œ„์˜ ์—ฐ๊ตฌ๋Š” SRI์™€ ๊ด€ํ–‰ ๋…ผ์„ ์‹œํ—˜ํฌ ๋‹จ์œ„๋กœ ์กฐ์„ฑํ•˜์—ฌ ์ง„ํ–‰๋œ ์—ฐ๊ตฌ๋กœ ๊ตญํ•œ๋˜๋ฉฐ, ์‹ค์ œ ์˜๋†์„ ์ˆ˜ํ–‰ํ•˜๋Š” ์œ ์—ญ๋‹จ์œ„์˜ ๊ด€ํ–‰ ๋…ผ๊ณผ ๋น„๊ตํ•œ ์ž๋ฃŒ๋Š” ์—†๋‹ค. ๋”ฐ๋ผ์„œ ๋ณธ ์—ฐ๊ตฌ๋Š” SRI ๋ฒผ ์žฌ๋ฐฐ๋ฐฉ๋ฒ•๊ณผ ์‹ค์ œ ์˜๋†์ด ์ง„ํ–‰๋˜๊ณ  ์žˆ๋Š” ์˜์‚ฐ๊ฐ•์˜ ๋…ผ ์ง€์—ญ์ค‘ ์‹ค์ธก๋œ 2๊ณณ์˜ ๋…ผ์˜ ์ž๋ฃŒ๋ฅผ ๋น„๊ตํ•˜์—ฌ ๊ฐ•์šฐ ์‹œ ์ˆ˜์งˆ ๋ฐ ์˜ค์—ผ๋ถ€ํ•˜๋Ÿ‰ ์ €๊ฐํšจ๊ณผ์™€ ๊ด€๊ฐœ ์šฉ์ˆ˜๋Ÿ‰ ์ €๊ฐ ํšจ๊ณผ๋ฅผ ์‚ดํŽด๋ณด์•˜๋‹ค. ๋ณธ ์—ฐ๊ตฌ์—์„œ๋Š” ๋†์—… ๋น„์ ์˜ค์—ผ์› ์ €๊ฐ๋Œ€์ฑ… ๋ฐฉ์•ˆ ์ˆ˜๋ฆฝ์„ ์œ„ํ•œ ๊ธฐ์ดˆ์ž๋ฃŒ๋กœ ํ™œ์šฉ ๊ฐ€๋Šฅ์„ฑ์„ ๊ฒ€ํ† ํ•˜๊ณ ์ž ํ•˜์˜€๋‹ค.

2. Materials and Methods

2.1. ์—ฐ๊ตฌ๋Œ€์ƒ์ง€์—ญ

๋ณธ ์—ฐ๊ตฌ๋Š” ๊ฐ•์›๋„์™€ ์ „๋ผ๋‚จ๋„์˜ ๋…ผ ์‹œํ—˜ํฌ์—์„œ ๊ด€์ธกํ•œ ์ž๋ฃŒ๋ฅผ ์‚ฌ์šฉํ•˜์˜€๋‹ค. ๊ฐ•์›๋„ ์‹œํ—˜ํฌ ์ง€๊ตฌ์˜ ์ž๋ฃŒ๋Š” ์ถ˜์ฒœ์‹œ ์‹ ๋ถ์ ์ฒœ์ „๋ฆฌ ๊ฐ•์›๋Œ€ํ•™๊ต ๋†์žฅ์— 5 m ร— 15 m์˜ ๋…ผ ์‹œํ—˜ํฌ๋ฅผ ์กฐ์„ฑํ•˜๊ณ  3๋…„ ๋™์•ˆ(2010๋…„~2012๋…„) ์‹ค์ธกํ•œ ์ž๋ฃŒ์ด๋‹ค(Fig. 1). ์‹œํ—˜ํฌ์˜ ์‹คํ—˜์ฒ˜๋ฆฌ๋Š” ์ƒ์‹œ๋‹ด์ˆ˜์žฌ๋ฐฐ(Conventional (CT))์™€ Wet-dry๋ฅผ ๋ฐ˜๋ณตํ•˜๋Š” SRI ๋ฌผ๊ด€๋ฆฌ ๋ฐฉ๋ฒ•(System of rice intensification(SRI))์ด์—ˆ๋‹ค. ์‹œํ—˜ํฌ์˜ ๊ด€๊ฐœ์šฉ์ˆ˜๋Š” ์ธ๊ทผ์˜ ์ €์ˆ˜์ง€์—์„œ ๊ณต๊ธ‰๋ฐ›์•˜๋‹ค. ์ „๋ผ๋‚จ๋„ ์ž๋ฃŒ(๋Œ€์กฐ๊ตฐ)๋Š” ํ™˜๊ฒฝ๋ถ€ ํ™˜๊ฒฝ๊ธฐ์ดˆ์กฐ์‚ฌ์‚ฌ์—… ์ฃผ์š”๋น„์ ์˜ค์—ผ์› ์žฅ๊ธฐ๋ชจ๋‹ˆํ„ฐ๋ง ์กฐ์‚ฌ์—ฐ๊ตฌ์‚ฌ์—…์—์„œ ์ˆ˜์ง‘ํ•œ ์ž๋ฃŒ์ด๋‹ค. ์ „๋ผ๋‚จ๋„์˜ ์ž๋ฃŒ๋Š” ์˜์‚ฐ๊ฐ• ์œ ์—ญ์˜ ์ˆœ์ฐฝ ์ ์„ฑ์ง€๊ตฌ(Sunchang District (SD))์™€ ์„ฌ์ง„๊ฐ• ์œ ์—ญ์˜ ํ•จํ‰ ํ•™์•ผ์ง€๊ตฌ(Hampyeong District (HD))์—์„œ ๋ชจ๋‹ˆํ„ฐ๋ง ๋œ ์ž๋ฃŒ์ด๋‹ค(Yeongsan River, the Seomjin River water systems management committee, 2012). ํ•™์•ผ์ง€๊ตฌ(HD)๋Š” 13.69 ha์˜ ๋…ผ ์ง€๊ตฌ๋กœ ๊ด€๊ฐœ์›์€ ๋†์—…๊ธฐ๋ฐ˜๊ณต์‚ฌ ํ•จํ‰์ง€์‚ฌ์—์„œ ๊ด€๋ฆฌํ•˜๋Š” ๋Œ€๋™์ €์ˆ˜์ง€์ด๋‹ค. ์ ์„ฑ์ง€๊ตฌ(SD)๋Š” 8.09 ha์˜ ๋…ผ ์ง€๊ตฌ๋กœ ๊ด€๊ฐœ์›์€ ์—ฐ๊ตฌ ์œ ์—ญ์—์„œ ์•ฝ 2.5 km ๋–จ์–ด์ง„ ๋‚ด์›”์–‘์ˆ˜์žฅ ๋ฐ ์ ์ดŒ ์–‘์ˆ˜์žฅ์ด๋‹ค. ์—ฐ๊ตฌ๊ธฐ๊ฐ„๋™์•ˆ์˜ ํ‰๊ท ์˜จ๋„, ๊ฐ•์ˆ˜๋Ÿ‰ ๋ฐ ์ผ์กฐ์‹œ๊ฐ„์€ Table 1๊ณผ ๊ฐ™๋‹ค.

Fig. 1.

Location of the study sites SRIยทCT, SD and HD.

../../Resources/kswe/32-2/images/SJBJB8_2016_v32n2_183_f001.jpg
Table 1.

Monthly rainfall, sunshin duration, average air temperature and relative humidity of site in 2010 to 2012

../../Resources/kswe/32-2/images/SJBJB8_2016_v32n2_183_t001.jpg

2.2. ๋ฒผ ์žฌ๋ฐฐ ์‹คํ—˜์„ค๊ณ„

์‹คํ—˜์ฒ˜๋ฆฌ๋Š” ๊ด€ํ–‰ ๋‹ด์ˆ˜์žฌ๋ฐฐ(CT) 1์ฒ˜๋ฆฌ์™€ SRI์žฌ๋ฐฐ ์‹œํ—˜ํฌ๋ฅผ ์กฐ์„ฑํ•˜์˜€๋‹ค. ๊ด€ํ–‰์žฌ๋ฐฐ์˜ ์‹œ๋น„์™€ ์ œ์ดˆ ๋“ฑ์˜ ํฌ์žฅ๊ด€๋ฆฌ๋Š” ํ‘œ์ค€์žฌ๋ฐฐ๋ฒ•์— ์ค€ํ•˜์—ฌ ์ง„ํ–‰ํ•˜์˜€์œผ๋ฉฐ, SRI ์žฌ๋ฐฐ์˜ ๊ฒฝ์šฐ ๋ฌผ๊ด€๋ฆฌ๋ฅผ ์ œ์™ธํ•˜๊ณ  ๊ด€ํ–‰์žฌ๋ฐฐ์™€ ๋™์ผํ•˜๊ฒŒ ์˜๋†๊ด€๋ฆฌ๋ฅผ ์ˆ˜ํ–‰ํ•˜์˜€๋‹ค. ๊ทธ๋ฆฌ๊ณ  ๊ฐ ์‹œํ—˜ํฌ์—๋Š” ๊ฐ•์šฐ๋Ÿ‰, ๊ด€๊ฐœ๋Ÿ‰ ๋“ฑ์„ ์ธก์ •ํ•  ์ˆ˜ ์žˆ๋Š” ๊ฐ•์šฐ๋Ÿ‰๊ณ„, ์ˆ˜๋„๊ณ„๋Ÿ‰๊ธฐ ๋ฐ ์ˆ˜์œ„๊ณ„ ๋“ฑ์˜ ์žฅ๋น„๋ฅผ ์„ค์น˜ํ•˜์˜€๋‹ค. ๊ด€ํ–‰์žฌ๋ฐฐ์˜ ์‹œ๋น„, ์ œ์ดˆ, ๋ณ‘์ถฉํ•ด ๋ฐฉ์ œ ๋“ฑ์˜ ํฌ์žฅ ๊ด€๋ฆฌ๋Š” ๋†์ดŒ์ง„ํฅ์ฒญ ํ‘œ์ค€ ์žฌ๋ฐฐ๋ฒ•์— ์ค€ํ•˜์—ฌ ์ง„ํ–‰๋˜์—ˆ์œผ๋ฉฐ(Rural Development Administration, 2000), SRI ์žฌ๋ฐฐ์˜ ๊ฒฝ์šฐ ์ œ์ดˆ์ž‘์—…์€ ์ธ๋ ฅ์œผ๋กœ, ๋‚˜๋จธ์ง€๋Š” ๊ด€ํ–‰์žฌ๋ฐฐ์™€ ๋™์ผํ•œ ๊ธฐ์ค€์œผ๋กœ ์˜๋†๊ด€๋ฆฌ๋ฅผ ์ˆ˜ํ–‰ํ•˜์˜€๋‹ค. ์‹œ๋น„๋Ÿ‰์€ ํ‘œ์ค€์‹œ๋น„๋Ÿ‰์„ ๊ธฐ์ค€(N-P2O5-K2O : 110-45-57 kg/ha)์œผ๋กœ ๊ฐ ์‹œํ—˜ํฌ์— ์‹œ๋น„ํ•˜์˜€๋‹ค. ๋Œ€์กฐ๊ตฐ์œผ๋กœ SD์™€ HD์€ ํ‘œ์ค€์žฌ๋ฐฐ๋ฒ•์— ์ค€ํ•˜์—ฌ ์žฌ๋ฐฐ๋˜์—ˆ์œผ๋ฉฐ ๋น„์Šทํ•œ ์‹œ๊ธฐ์— ์˜๋†๊ด€๋ฆฌ๊ฐ€ ์ˆ˜ํ–‰๋˜์—ˆ๋‹ค(Table 2). ์ˆ˜์œ„ ๋ฐ ์œ ๋Ÿ‰์€ ์šฉ์ˆ˜๋กœ์™€ ๋ฐฐ์ˆ˜๋กœ ๋ง๋‹จ๋ถ€๋ถ„์— ์œ ๋Ÿ‰๊ณ„ ๋ฐ ์ƒ˜ํ”Œ๋Ÿฌ๋ฅผ ์„ค์น˜ํ•˜์˜€๋‹ค. ์‹œ๋น„๋Ÿ‰์€ ํ‘œ์ค€์‹œ๋น„๋Ÿ‰์„ ๊ธฐ์ค€์œผ๋กœ ๊ธฐ๋น„์™€ ๋ถ„์–ผ๋น„, ์ˆ˜๋น„๋ฅผ ๋‚˜๋ˆ ์„œ ์‹œ๋น„ํ•˜์˜€๋‹ค(N-P2O5-K2O : 55.5-45-45 kg/ha, ๋ถ„์–ผ๋น„ : 59.2 N kg/ha, ์ˆ˜๋น„ : 23.2 N kg/ha).

Table 2.

Comparison between SRI and conventional practices

../../Resources/kswe/32-2/images/SJBJB8_2016_v32n2_183_t002.jpg

2.3. ์‹œํ—˜ํฌ ๋ฌผ๊ด€๋ฆฌ ๋ฐ ๋ถ„์„๋ฐฉ๋ฒ•

๊ด€ํ–‰ ์‹œํ—˜ํฌ(CT)์™€ ๋Œ€์กฐ๊ตฐ ์‹œํ—˜ํฌ(SD, HD)์˜ ๋ฌผ ๊ด€๋ฆฌ๋Š” ์ด์•™๊ธฐ๋ถ€ํ„ฐ ๋‚™์ˆ˜๊ธฐ๊นŒ์ง€ ๊ธฐ์กด ๋ฌผ๊ด€๋ฆฌ ๋ฐฉ๋ฒ•์— ์˜๊ฑฐํ•˜์—ฌ ์‹œ๊ธฐ๋ณ„๋กœ ์ด๋ฃจ์–ด์กŒ๋‹ค(Korea Rural Community Corporation, 2012). SRI์˜ ๋ฌผ ๊ด€๋ฆฌ ๋ฐฉ๋ฒ•์€ ๋ฏธ๊ตญ ์ฝ”๋„ฌ๋Œ€ํ•™๊ต Norman Uphoff ๊ต์ˆ˜๊ฐ€ ์ค‘๊ตญ์˜ ๋…ผ ๋†์—…์ง€์—ญ์„ ๋ฐฉ๋ฌธํ•˜๊ณ  ์กฐ์‚ฌํ•œ ๊ธฐ๋ก์„ ์ฐธ๊ณ ํ•˜์—ฌ SRI ์›์น™์— ๋ถ€ํ•ฉํ•  ์ˆ˜ ์žˆ๋Š” ๋ฌผ๊ด€๋ฆฌ ๋ฐฉ๋ฒ•์„ ์ˆ˜ํ–‰ํ•˜์˜€๋‹ค(CIIFAD, 2010). SRI๋Š” ์‚ฌ์งˆ์–‘ํ† ์—์„œ ๊ฐ€์žฅ ํšจ๊ณผ์ ์ด๋ฉฐ, ํ† ์–‘์˜ ์ƒ๋ฌผํ•™์  ํ™œ์„ฑ๋„๋ฅผ ์ฆ๊ฐ€์‹œํ‚ค๊ธฐ ์œ„ํ•ด ๋ฐฐ์ˆ˜๊ฐ€ ์ข‹์œผ๋ฉฐ ํ† ์–‘ํ†ต๊ธฐ์„ฑ์ด ์œ ์ง€๋  ์ˆ˜ ์žˆ๋„๋ก ๋ฌผ ๊ด€๋ฆฌ๋ฅผ ํ•ด์•ผ ํ•œ๋‹ค(Hameed et al., 2011). ๋ณธ ์—ฐ๊ตฌ์—์„œ๋Š” ์ด๋Ÿฌํ•œ ๋‚ด์šฉ์„ ๊ธฐ์ดˆ๋กœ ๋ชจ๋‚ด๊ธฐ ํ›„ ๊ฐ„๋‹จ๊ด€๊ฐœ๋กœ ์•ฝ 1 cm ๊นŠ์ด๋กœ ๋ฌผ์„ ๋Œ€๊ณ  3~4์ผ ๊ฐ„๊ฒฉ ๋˜๋Š” ๊ธฐ์ƒ์กฐ๊ฑด์— ๋”ฐ๋ผ 1~2์ผ ๊ฐ„๊ฒฉ์œผ๋กœ ๋ฌผ ๊ด€๋ฆฌ๋ฅผ ์ˆ˜ํ–‰ํ•˜์˜€๋‹ค.

ํ† ์–‘์€ ๋ฌผ์ˆ˜์ง€, ์˜์–‘๋ฌผ์งˆ ์ˆ˜์ง€ ๋ฐ ๋ฒผ์˜ ์ƒ์œก๊ณผ ์ˆ˜ํ™•๋Ÿ‰์— ๋งŽ์€ ์˜ํ–ฅ์„ ๋ฏธ์น˜๋Š” ๊ฒƒ์œผ๋กœ ์•Œ๋ ค์ ธ ์žˆ๋‹ค. ์—ฐ๊ตฌ์˜ ํ† ์„ฑ์„ ์กฐ์‚ฌํ•˜๊ธฐ ์œ„ํ•˜์—ฌ CT, SRI, SD, HD์˜ ํ† ์–‘์‹œ๋ฃŒ(ํ‘œํ† )๋ฅผ ์ฑ„์ทจํ•˜์˜€์œผ๋ฉฐ ์ž…๋„๋ถ„์„์„ ํ†ตํ•ด ๋ฏธ๊ตญ ๋†๋ฌด์„ฑ ์‚ผ๊ฐ์ขŒํ‘œ๋ฒ•์„ ์ด์šฉํ•˜์—ฌ ํ† ์„ฑ์„ ๋ถ„๋ฅ˜ํ•˜์˜€๋‹ค. ๊ทธ๋ฆฌ๊ณ  ๊ด€๊ฐœ์— ์ด์šฉ๋˜๋Š” ๋†์—…์šฉ์ˆ˜(์ €์ˆ˜์ง€)๋ฅผ ์ฑ„์ˆ˜ํ•˜์—ฌ ์ˆ˜์งˆ๋ถ„์„์„ ์ˆ˜ํ–‰ํ•˜์˜€์œผ๋ฉฐ 2010๋…„๋ถ€ํ„ฐ 2012๋…„๊นŒ์ง€ ๊ด€๊ฐœ๊ธฐ๊ฐ„๋™์•ˆ(5์›”~ 9์›”) ๊ฐ•์šฐ๋Ÿ‰, ๊ด€๊ฐœ๋Ÿ‰ ๋“ฑ์„ ์ธก์ •ํ•˜๊ณ  ์ˆ˜์งˆ์‹œ๋ฃŒ๋ฅผ ์ฑ„์ˆ˜ํ•˜์—ฌ ์ˆ˜์งˆ์˜ค์—ผ๊ณต์ •์‹œํ—˜๋ฐฉ๋ฒ•(MOE. 2011) ๋ฐ Standard Method(APHA, 2012)์— ์ค€ํ•˜์—ฌ ์ˆ˜์งˆ๋ถ„์„์„ ์ˆ˜ํ–‰ํ•˜์˜€๋‹ค.

2.4. EMCs ์‚ฐ์ • ๋ฐ ํ†ต๊ณ„๋ถ„์„

๊ฐ•์šฐ ์‚ฌ์ƒ๋ณ„๋กœ ์œ ์ถœ๋˜๋Š” ๋น„์ ์˜ค์—ผ ๋ถ€ํ•˜๋Š” ํ•˜์ฒœ ์œ ๋Ÿ‰์— ์˜ค์—ผ๋ฌผ์งˆ ๋†๋„๋ฅผ ๊ณฑํ•˜์—ฌ ์‚ฐ์ •ํ•˜์˜€๋‹ค. ์ด ๊ฐ•์šฐ์‚ฌ์ƒ ์œ ์ถœ๋ถ€ํ•˜๋ฅผ ์ด ์œ ์ถœ๋Ÿ‰์œผ๋กœ ๋‚˜๋ˆ„๋ฉด ์œ ๋Ÿ‰๊ฐ€์ค‘ํ‰๊ท ๋†๋„, ์ฆ‰ EMCs (Event Mean Concentration)๋ฅผ ์‚ฐ์ •ํ•  ์ˆ˜ ์žˆ์œผ๋ฉฐ, ์ˆ˜์‹์œผ๋กœ ๋‚˜ํƒ€๋‚ด๋ฉด ์‹ (1)๊ณผ ๊ฐ™๋‹ค.

../../Resources/kswe/32-2/images/SJBJB8_2016_v32n2_183_e901.jpg

์—ฌ๊ธฐ์„œ, Qi๋Š” ๊ฐ ๊ฐ•์šฐ์‚ฌ์ƒ์—์„œ i๋ฒˆ์งธ ๊ด€์ธก๋œ ์œ ์ถœ๋Ÿ‰(m3/hr), Ci๋Š” ๊ฐ ๊ฐ•์šฐ์‚ฌ์ƒ์—์„œ i๋ฒˆ์งธ ๊ด€์ธก๋œ ์˜ค์—ผ๋ฌผ์งˆ ๋†๋„(mg/L)์ด๋‹ค. ๊ฐ•์šฐ์‚ฌ์ƒ๋ณ„๋กœ ์‚ฐ์ •๋œ ์œ ๋Ÿ‰๊ฐ€์ค‘ํ‰๊ท ๋†๋„๋Š” ๊ฐ•์šฐ๋กœ ์ธํ•ด ๋ฐœ์ƒ๋˜๋Š” ์œ ์ถœ์ˆ˜์˜ ์ˆ˜์งˆ์„ ์ง์ ‘ ํ‰๊ฐ€ํ•  ์ˆ˜ ์žˆ๋‹ค๋Š” ์ธก๋ฉด์—์„œ ๋งค์šฐ ์œ ์šฉํ•˜๊ฒŒ ์‚ฌ์šฉ๋˜๊ณ  ์žˆ๋‹ค(Jeong et al., 2007). ๊ทธ๋ฆฌ๊ณ  ๊ฐ•์šฐํŠน์„ฑ๊ณผ ์‚ฐ์ •๋œ EMCs ์‚ฌ์ด์˜ ์ƒ๊ด€์„ฑ์„ ์•Œ์•„๋ณด๊ธฐ ์œ„ํ•ด SPSS ํ†ต๊ณ„ ํ”„๋กœ๊ทธ๋žจ์„ ์ด์šฉํ•˜์—ฌ ์ƒ๊ด€๋ถ„์„์„ ์‹ค์‹œํ•˜์˜€๋‹ค.

3. Results and Discussion

3.1. ๊ด€๊ฐœ์šฉ์ˆ˜ ์ˆ˜์งˆ ๋ฐ ํ† ์„ฑ

๋ณธ ์—ฐ๊ตฌ์— ์‚ฌ์šฉ๋œ ๋†์—…์šฉ์ˆ˜์˜ ์ˆ˜์งˆ ๊ธฐ์ค€ ์ ํ•ฉ์„ฑ์„ ํ‰๊ฐ€ํ•˜๊ธฐ ์œ„ํ•ด ์—ฐ๊ตฌ๊ธฐ๊ฐ๋™์•ˆ ์ˆœ๋ณ„๋กœ ์‹œ๋ฃŒ๋ฅผ ์ฑ„์ˆ˜ํ•˜์—ฌ ์ˆ˜์งˆ์„ ๋ถ„์„ํ•˜์˜€๋‹ค. ๋†์—…์šฉ์ˆ˜ ์ˆ˜์งˆ ์ธก์ •๊ฒฐ๊ณผ CT, SRI, SD, HD์— ์‚ฌ์šฉ๋˜์—ˆ๋˜ ๋†์—…์šฉ์ˆ˜ ๋ชจ๋‘ ๊ตญ๋‚ด ๋†์—…์šฉ์ˆ˜ ๊ธฐ์ค€์— ์ ํ•ฉํ•œ ๊ฒƒ์œผ๋กœ ๋‚˜ํƒ€๋‚ฌ๋‹ค(Table 3).

Table 3.

Irrigation water quality standard and measured average irrigation water quality during the study period between 2010 to and 2012

../../Resources/kswe/32-2/images/SJBJB8_2016_v32n2_183_t003.jpg

SRIยทCT, SD, HD์˜ ํ† ์„ฑ ๋ถ„๋ฅ˜๋Š” Table 4์™€ ๊ฐ™๋‹ค. ์ผ๋ฐ˜์ ์ธ ์šฐ๋ฆฌ๋‚˜๋ผ ๋…ผํ† ์–‘ ์ž…๊ฒฝ๋ถ„ํฌ๋Š” ๋ชจ๋ž˜ 34.8%, ์‹คํŠธ 45.4%, ์ ํ†  20.2%๋กœ ๋‚˜ํƒ€๋‚˜๋Š”๋ฐ ์ž…๋„์‹œํ—˜๊ฒฐ๊ณผ SRIยทCT, SD์˜ ๊ฒฝ์šฐ ๋ชจ๋ž˜์„ฑ๋ถ„์ด ์•ฝ 10% ์ด์ƒ ๋†’์€ ๊ฒƒ์œผ๋กœ ์กฐ์‚ฌ๋˜์—ˆ๊ณ  HD๋Š” ์•ฝ 20% ์ดํ•˜ ๋‚ฎ์€ ๊ฒƒ์œผ๋กœ ์กฐ์‚ฌ๋˜์—ˆ๋‹ค.

Table 4.

Results of particle size and soil texture analyseis of the study sites

../../Resources/kswe/32-2/images/SJBJB8_2016_v32n2_183_t004.jpg

3.2. ๊ด€๊ฐœ์šฉ์ˆ˜ ์‚ฌ์šฉ๋Ÿ‰

๊ด€๊ฐœ๋Š” ์ง€์—ญ๋ณ„, ์‹œ๊ธฐ๋ณ„๋กœ ๋‹ค์†Œ ์ฐจ์ด๋ฅผ ๋ณด์ด๊ณ  ์žˆ์œผ๋‚˜ ๋Œ€์ฒด์ ์œผ๋กœ 4์›” ์ค‘์ˆœ๋ถ€ํ„ฐ ์‹œ์ž‘ํ•˜์—ฌ 9์›” ๋ง๊ฒฝ์— ์ข…๋ฃŒํ•˜๊ฒŒ ๋œ๋‹ค. ๋ณธ ์—ฐ๊ตฌ์—์„œ๋Š” 5์›”๋ถ€ํ„ฐ 9์›”๊นŒ์ง€ ์šฉ์ˆ˜๋Ÿ‰์„ ์ธก์ •ํ•˜์˜€์œผ๋ฉฐ, ๊ฐ๊ฐ์˜ ํ‰๊ท  ๊ด€๊ฐœ์šฉ์ˆ˜ ์‚ฌ์šฉ๋Ÿ‰์€ Table 5์™€ ๊ฐ™๋‹ค. ๊ฐ•์ˆ˜๋Ÿ‰์˜ ๊ฒฝ์šฐ ์—ฐ๋„๋ณ„, ์ง€์—ญ์  ์ฐจ์ด๋กœ ์ธํ•ด SRIยทCT ์ง€๊ตฌ๊ฐ€ ๋†’์•˜์ง€๋งŒ ๋น„์Šทํ•œ ๊ฐ•์šฐํŒจํ„ด์„ ๋ณด์—ฌ์คฌ๋‹ค(Fig. 2). CT, HD, SD ๋ฐ SRI์˜ 3๋…„ ํ‰๊ท  ๊ด€๊ฐœ์šฉ์ˆ˜ ์‚ฌ์šฉ๋Ÿ‰์€ ๊ฐ๊ฐ 693.1 mm, 655.62 mm, 612.41 mm ๊ทธ๋ฆฌ๊ณ  336.4 mm๋กœ ์ธก์ •๋˜์—ˆ๋‹ค. ๊ด€ํ–‰๋ฐฉ๋ฒ•๋Œ€๋น„ SRI ๋ฌผ๊ด€๋ฆฌ ๋ฐฉ๋ฒ•์˜ ํ‰๊ท  ๊ด€๊ฐœ์šฉ์ˆ˜ ์ €๊ฐ๋ฅ ์€ ์•ฝ 51.6%๋กœ ๋งค์šฐ ๋†’๊ฒŒ ๋‚˜ํƒ€๋‚ฌ๋‹ค. ๋ณธ ๊ฒฐ๊ณผ๋Š” Zhao et al. (2010)์™€ Satyanarayana et al. (2007)์˜ ์—ฐ๊ตฌ๊ฒฐ๊ณผ (์ €๊ฐ์œจ 57.2%, 50.0%)์™€ ์œ ์‚ฌํ•˜๋‹ค. SRI ๋ฌผ ๊ด€๋ฆฌ ๋ฐฉ๋ฒ•์€ SRI ์—ฐ๊ตฌ๊ฐ€ ์ˆ˜ํ–‰๋œ ํ•œ๊ฐ• ์ƒ๋ฅ˜๋ฟ๋งŒ ์•„๋‹ˆ๋ผ ์ „๋ผ๋‚จ๋„ ์˜์‚ฐ๊ฐ•๊ณผ ์„ฌ์ง„๊ฐ•์˜ ๊ณก์ฐฝ์ง€๋Œ€์—์„œ๋„ ๋งค์šฐ ๋†’์€ ๋ฌผ ์ ˆ์•ฝํšจ๊ณผ๊ฐ€ ์žˆ๋Š” ๊ฒƒ์œผ๋กœ ๋‚˜ํƒ€๋‚˜ ๊ธฐํ›„๋ณ€ํ™”๋กœ ๋‚˜ํƒ€๋‚˜๋Š” ์‹ฌ๊ฐํ•œ ๊ฐ€๋ญ„๊ณผ ์šฉ์ˆ˜๊ด€๋ฆฌ์— ๋งค์šฐ ํšจ์œจ์ ์ธ ๊ด€๊ฐœ๋ฐฉ๋ฒ•์œผ๋กœ ํŒ๋‹จ๋˜์—ˆ๋‹ค.

Table 5.

Three-year average irrigation depth of for each treatment and irrigation reduction effect by from SRI

../../Resources/kswe/32-2/images/SJBJB8_2016_v32n2_183_t005.jpg
Fig. 2.

Three-year average monthly rainfall of at the study sites during cropping season between May.

../../Resources/kswe/32-2/images/SJBJB8_2016_v32n2_183_f002.jpg

Hwang et al. (2004)๊ณผ Jeon et al. (2005)์€ ๊ตญ๋‚ด ๋…ผ ์—ฐ๊ตฌ๋ฅผ ์ข…ํ•ฉํ•˜์—ฌ ๊ด€๊ฐœ์ˆ˜๋ฅผ ์ค„์ด๋ฉด ๋…ผ ์‹œ์Šคํ…œ ๋‚ด ์ €๋ฅ˜ ๊ณต๊ฐ„ ํ™•๋ณด๋กœ ๊ฐ•์šฐ์— ๋”ฐ๋ฅธ ์˜ค์—ผ๋ฌผ์งˆ ์œ ์ถœ์„ ๊ฐ์†Œํ•  ์ˆ˜ ์žˆ๋‹ค๊ณ  ๋ณด๊ณ ํ•œ๋ฐ” ์žˆ๋‹ค. SRI๋Š” wet-dry ์žฌ๋ฐฐ๋ฅผ ์›์น™์œผ๋กœ ์ด๋ฅผ ๊ด€ํ–‰ ๋…ผ์— ์ ์šฉํ•  ๊ฒฝ์šฐ ๊ฐ•์šฐ ์‹œ ๋งŽ์€ ๋ฌผ์„ ์ €๋ฅ˜ ์‹œํ‚ฌ ์ˆ˜ ์žˆ์„ ๊ฒƒ์œผ๋กœ ์‚ฌ๋ฃŒ๋˜๋ฉฐ, ์ด์— ๋”ฐ๋ฅธ ๋น„์ ์˜ค์—ผ์˜ ๊ฐ์†Œํšจ๊ณผ๋ฅผ ๊ธฐ๋Œ€ํ•  ์ˆ˜ ์žˆ์„ ๊ฒƒ์œผ๋กœ ํŒ๋‹จ๋œ๋‹ค.

3.3. EMCs

2010๋…„ 5์›”๋ถ€ํ„ฐ 2012๋…„ 9์›”๊นŒ์ง€ ๊ฐ ์ง€์ ์—์„œ 20~23ํšŒ์˜ ๊ฐ•์šฐ์‚ฌ์ƒ์— ๋Œ€ํ•˜์—ฌ ๋ชจ๋‹ˆํ„ฐ๋ง์„ ์ˆ˜ํ–‰ํ•˜์˜€๋‹ค. ๋…ผ์˜ ์œ ์ถœ์ˆ˜๋Š” ๊ด€๊ฐœ๋Ÿ‰์ด ํฌ์ง€ ์•Š์„ ๊ฒฝ์šฐ ๊ฐ•์šฐ๋Ÿ‰์— ๋งŽ์€ ์˜ํ–ฅ์„ ๋ฐ›์œผ๋ฉฐ(Yoon et al., 2000), ์ด๋ฅผ ๋ฐ”ํƒ•์œผ๋กœ ์‹ค์ธกํ•œ ์ˆ˜์งˆ๊ณผ ์œ ๋Ÿ‰์ž๋ฃŒ๋Š” ๊ตญ๋ฆฝํ™˜๊ฒฝ๊ณผํ•™์› ๊ฐ•์šฐ์œ ์ถœ์ˆ˜ ์กฐ์‚ฌ๋ฐฉ๋ฒ•(2012)์— ๋”ฐ๋ผ ๊ฐ•์šฐ๊ณ„๊ธ‰์„ ๊ณ ๋ คํ•œ ํ›„ ๋Œ€ํ‘œ EMCs๋ฅผ ์‚ฐ์ •ํ•˜์˜€๋‹ค(Table 6).

Table 6.

Three-year average event mean concentration (EMC) of at the study sites (mg/L)

../../Resources/kswe/32-2/images/SJBJB8_2016_v32n2_183_t006.jpg

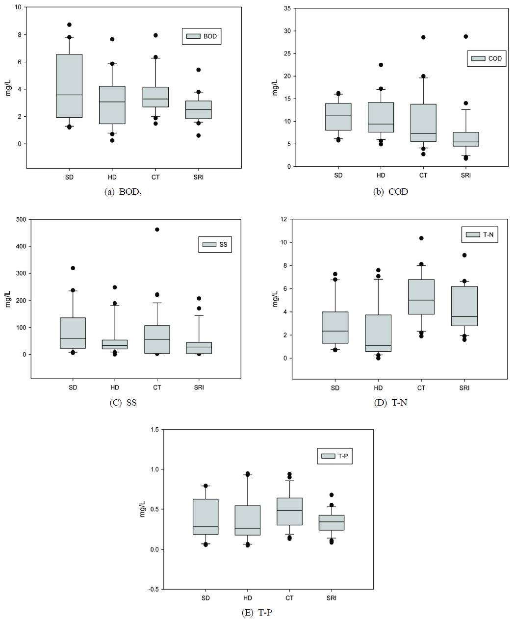
๊ด€ํ–‰๋…ผ์˜ ๊ฒฝ์šฐ CT, SD, HD์˜ ๊ฒฝ์šฐ ๋น„์Šทํ•œ ์ˆ˜์ค€์˜ ๋†๋„๊ฐ€ ๋ฐฐ์ถœ๋˜์—ˆ๊ณ  ๋น„๋‹ด์ˆ˜ ์žฌ๋ฐฐ์ธ SRI ์˜๋†๋ฐฉ๋ฒ•์€ ๊ด€ํ–‰์˜๋†๋ฐฉ๋ฒ•์— ๋น„ํ•˜์—ฌ ํ‰๊ท ์ ์œผ๋กœ BOD5 35%, COD 44%, SS 47%, T-N 19%, T-P 38%์˜ ๋†๋„์ €๊ฐํšจ๊ณผ๊ฐ€ ์žˆ๋Š” ๊ฒƒ์œผ๋กœ ๋‚˜ํƒ€๋‚ฌ๋‹ค.

๋˜ํ•œ ๊ฐ ๊ด€์ธก์ง€๊ตฌ์—์„œ ์ธก์ •๋œ ๊ฐ•์šฐ์‚ฌ์ƒ๋ณ„ EMCs์˜ Box ๊ทธ๋ž˜ํ”„๋Š” Fig. 3๊ณผ ๊ฐ™๋‹ค. Box ๊ทธ๋ž˜ํ”„์˜ ์ตœํ•˜๋‹จ์€ ๋ฐฑ๋ถ„์œ„ 25% ๊ฐ’ ๊ทธ๋ฆฌ๊ณ  ์ตœ์ƒ๋‹จ์€ ๋ฐฑ๋ถ„์œ„ 75% ๊ฐ’์„ ์˜๋ฏธํ•œ๋‹ค. ๊ฐ ์ง€๊ตฌ๋ณ„ ๋น„์ ์˜ค์—ผ์›์˜ EMCs์˜ ๋ฒ”์œ„๋Š” SS 1.79~462.00 mg/L, T-N 0.26~10.35 mg/L, T-P 0.005~0.947 mg/L, BOD5 0.24~8.74 mg/L, COD 1.76~28.75 mg/L๋กœ ๋ณ€ํ™”ํญ์ด ์ƒ๋‹นํžˆ ํฐ ๊ฒƒ์œผ๋กœ ๋‚˜ํƒ€๋‚ฌ๋‹ค. EMCs ๋ฐฑ๋ถ„์œ„ 25~75% ๋†๋„๋ฒ”์œ„๋Š” ๊ด€ํ–‰์žฌ๋ฐฐ๋ณด๋‹ค SRI ๋ฌผ๊ด€๋ฆฌ์—์„œ ๋น„๊ต์  ๋‚ฎ๊ฒŒ ๋‚˜ํƒ€๋‚ฌ๋‹ค. ๋†๋„์˜ ๋ณ€ํ™”ํญ์ด ํฌ๋‹ค๋Š” ์ ์€ ๋น„์ ์˜ค์—ผ์›์˜ ๋Œ€ํ‘œ์ ์ธ ํŠน์„ฑ์œผ๋กœ ๋ณผ ์ˆ˜ ์žˆ๋‹ค. SRI์˜ ๋†๋„๋ณ€ํ™”๊ฐ€ ์ƒ๋Œ€์ ์œผ๋กœ ์ž‘์€ ์ด์œ ๋Š” ๋น„๋‹ด์ˆ˜ ์žฌ๋ฐฐ๋กœ ๊ฐ•์šฐ ์‹œ ๋…ผ ์ €๋ฅ˜๋Ÿ‰์ด ํฌ๊ธฐ ๋•Œ๋ฌธ์— ์œ ์ถœ๋Ÿ‰์˜ ๋ณ€๋™ ํญ์ด ์ƒ๋Œ€์ ์œผ๋กœ ์ž‘๊ธฐ ๋•Œ๋ฌธ์ธ ๊ฒƒ์œผ๋กœ ํŒ๋‹จ๋œ๋‹ค. ๋ฐ˜๋ฉด์— ์šฉํ•ด์„ฑ์ด ๋†’์€ ์งˆ์‚ฐ์—ผ ๋“ฑ์ด ํฌํ•จ๋˜๋Š” T-N EMCs๋Š” ๊ด€ํ–‰์ด๋‚˜ SRI์—์„œ ์ฐจ์ด๋ฅผ ๋ณด์ด์ง€ ์•Š์•˜๋‹ค. ์ด์™€ ๊ฐ™์€ ์ด์œ ๋กœ ์งˆ์†Œ์— ์˜ํ•œ ์ง€ํ‘œ ๋ฐ ์ง€ํ•˜์ˆ˜์˜ ์˜ค์—ผ์€ ์šฐ๋ฆฌ๋‚˜๋ผ ๋†์—…์œ ์—ญ์—์„œ ๊ฐ€์žฅ ํ”ํžˆ ๋ฐœ์ƒ๋˜๋Š” ๋ฌธ์ œ์ด๋‹ค(Choi et al., 2001). ๋…ผ ์œ ์ถœ์ˆ˜์˜ ๋น„์ ์˜ค์—ผ์› ๋†๋„๋Š” ์ผ๋ฐ˜์ ์œผ๋กœ ๋†’์ง€ ์•Š๋‹ค. ๊ทธ๋Ÿฌ๋‚˜ ๋…ผ์˜ ์œ ์ถœ๋Ÿ‰์ด ๋งŽ๊ธฐ ๋•Œ๋ฌธ์— ๋น„์ ์˜ค์—ผ์› ๋ถ€ํ•˜๋Š” ์ƒ๋‹นํžˆ ํด ์ˆ˜ ์žˆ๋‹ค. ๋”ฐ๋ผ์„œ ๋…ผ์˜ ๋น„์ ์˜ค์—ผ๋ถ€ํ•˜๋Š” ๊ฐ•์šฐ๋ฟ๋งŒ ์•„๋‹ˆ๋ผ ๋ฌผ ๊ด€๋ฆฌ์™€ ์‹œ๋น„๊ด€๋ฆฌ ๋“ฑ๊ณผ ๊ฐ™์€ ์ธ์œ„์ ์ธ ์š”์ธ์— ํฌ๊ฒŒ ์ขŒ์šฐ๋œ๋‹ค. ์ด์™€ ๊ฐ™์€ ์ด์œ ๋กœ ๊ด€๊ฐœ์šฉ์ˆ˜ ๊ณต๊ธ‰๋Ÿ‰์ด ์ž‘์€ SRI ๋ฌผ๊ด€๋ฆฌ ๋ฐฉ๋ฒ•์„ ์ฑ„ํƒํ•˜๋ฉด ๊ด€๊ฐœ์šฉ์ˆ˜์˜ ์ €๊ฐ ๋ฟ๋งŒ ์•„๋‹ˆ๋ผ ๋น„์ ์˜ค์—ผ๋ถ€ํ•˜๋„ ํ•จ๊ป˜ ์ €๊ฐ๋˜์–ด ์ˆ˜๊ณ„์˜ ์ˆ˜์งˆ๊ฐœ์„ ์— ํฌ๊ฒŒ ๊ธฐ์—ฌํ•  ์ˆ˜ ์žˆ์„ ๊ฒƒ์œผ๋กœ ํŒ๋‹จ๋œ๋‹ค.

Fig. 3.

Variation of EMCs of at the study sites.

../../Resources/kswe/32-2/images/SJBJB8_2016_v32n2_183_f003.jpg

3.4. ์ƒ๊ด€๋„ ๋ถ„์„

Table 6์€ ์œ ๋Ÿ‰๊ณผ ๋น„์ ์˜ค์—ผ๋ถ€ํ•˜ ์‚ฌ์ด์˜ ์ƒ๊ด€๊ด€๊ณ„๋ฅผ ๋ณด์—ฌ ์ค€๋‹ค. ์ƒ๊ด€๊ณ„์ˆ˜๋Š” -1์—์„œ +1๊นŒ์ง€์˜ ๊ฐ’์„ ๊ฐ–๋Š”๋ฐ, -1 ๋˜๋Š” +1์˜ ๊ด€๊ณ„๋ฅผ ๊ฐ–๋Š” ๊ฒฝ์šฐ ์™„์ „ ์ƒ๊ด€์ด๋ผ๊ณ  ํ•˜๋ฉฐ 0์ธ ๊ฒฝ์šฐ๋Š” ๋ฌด์ƒ๊ด€์ด๋ผ๊ณ  ํ•œ๋‹ค. Won et al. (2009)์— ์˜ํ•˜๋ฉด ์ƒ๊ด€๊ณ„์ˆ˜์˜ ์ ˆ๋Œ€๊ฐ’์ด 0.6 ์ด์ƒ์ผ ๊ฒฝ์šฐ ์ƒ๊ด€๊ด€๊ณ„๊ฐ€ ๋†’๋‹ค๊ณ  ๋งํ•˜๋ฉฐ 0.3 ์ดํ•˜๋Š” ์ƒ๊ด€๊ด€๊ณ„๊ฐ€ ๋‚ฎ๋‹ค๊ณ  ํ•˜์˜€๋‹ค.

์œ ๋Ÿ‰๊ณผ ๋น„์ ์˜ค์—ผ๋ถ€ํ•˜์˜ ์ƒ๊ด€๋„๋Š” CT์—์„œ๋Š” BOD5๋ฅผ ์ œ์™ธํ•œ ๋ชจ๋“  ํ•ญ๋ชฉ, SD์™€ SRI์—์„œ๋Š” SS๋ฅผ ์ œ์™ธํ•œ ๋ชจ๋“  ํ•ญ๋ชฉ, HD์—์„œ๋Š” ๋ชจ๋“  ํ•ญ๋ชฉ์—์„œ ์œ ์˜์ˆ˜์ค€ 1% (p=0.01)์—์„œ ๋†’๊ฒŒ ๋‚˜ํƒ€๋‚ฌ๋‹ค. SS์™€ COD๋Š” ๋‹ค๋ฅธ ์˜ค์—ผ๋ถ€ํ•˜์™€์˜ ์‚ฌ์ด์—์„œ ์œ ์˜ ์ˆ˜์ค€ 5%(p=0.05)์—์„œ ์–‘์˜ ์ƒ๊ด€๊ด€๊ณ„์— ์žˆ์—ˆ๋‹ค. ๊ทธ๋ฆฌ๊ณ  T-N๊ณผ T-P๋Š” ์œ ๋Ÿ‰๊ณผ ๋‹ค๋ฅธ ์˜ค์—ผ๋ถ€ํ•˜ ์‚ฌ์ด์—์„œ ์œ ์˜์ˆ˜์ค€ 1% (p=0.01)์—์„œ ๋†’์€ ์ƒ๊ด€๊ด€๊ณ„๊ฐ€ ์žˆ๋Š” ๊ฒƒ์œผ๋กœ ๋‚˜ํƒ€๋‚ฌ๋‹ค. ๋…ผ์˜ ๋น„์ ์˜ค์—ผ๋ถ€ํ•˜๋Š” ๊ฐ•์šฐ๋‚˜ ๋ฌผ ๊ด€๋ฆฌ ๋“ฑ ์œ ์ถœ๊ธฐ์ž‘์— ์˜ํ–ฅ์„ ์ฃผ๋Š” ์ธ์ž๋“ค๊ณผ ๋†’์€ ์ƒ๊ด€๊ด€๊ณ„๊ฐ€ ์žˆ๋‹ค. ๋”ฐ๋ผ์„œ ์ด๋“ค ์ธ์ž๋ฅผ ํšจ์œจ์ ์œผ๋กœ ์ œ์–ดํ•  ์ˆ˜ ์žˆ์œผ๋ฉด ๋…ผ์˜ ๋น„์ ์˜ค์—ผ์›์„ ํšจ์œจ์ ์œผ๋กœ ์ €๊ฐํ•  ์ˆ˜ ์žˆ์„ ๊ฒƒ์œผ๋กœ ํŒ๋‹จ๋œ๋‹ค.

Table 7.

Correlation analysis results between for flow and pollutant load of at the study sites

../../Resources/kswe/32-2/images/SJBJB8_2016_v32n2_183_t007.jpg

* and ** mean that the values are different significantly different at p<0.01 (**) and at p<0.05 (*), respectively

4. Conclusions

๋ณธ ์—ฐ๊ตฌ๋Š” ํ•œ๊ฐ•์œ ์—ญ์—์„œ SRI ๋ฌผ ๊ด€๋ฆฌ ๋…ผ๋ฒผ ์žฌ๋ฐฐ ์‹คํ—˜ ์‹œ ์ธก์ •ํ•œ ์ˆ˜๋Ÿ‰๊ณผ ์ˆ˜์งˆ์ž๋ฃŒ ๊ทธ๋ฆฌ๊ณ  ์˜์‚ฐ๊ฐ•๊ณผ ์„ฌ์ง„๊ฐ•์˜ 2๊ฐœ ๋…ผ ์ง€๊ตฌ์—์„œ ์ธก์ •ํ•œ ์œ ๋Ÿ‰๊ณผ ์ˆ˜์งˆ์ž๋ฃŒ๋ฅผ ๋น„๊ตํ•˜์—ฌ SRI ๋ฌผ ๊ด€๋ฆฌ ๋ฐฉ๋ฒ•์ด ๊ด€๊ฐœ์ˆ˜๋Ÿ‰๊ณผ ๋…ผ ๋น„์ ์˜ค์—ผ์›์— ๋ฏธ์น˜๋Š” ์˜ํ–ฅ์„ ๋ถ„์„ํ•˜์—ฌ ๋‹ค์Œ์˜ ๊ฒฐ๊ณผ๋ฅผ ๊ตฌํ•  ์ˆ˜ ์žˆ์—ˆ๋‹ค.

  • 1) SRI, CT ๊ทธ๋ฆฌ๊ณ  SD ์ง€๊ตฌ์˜ ํ† ์–‘์˜ ๋ชจ๋ž˜ํ•จ๋Ÿ‰์€ ์šฐ๋ฆฌ๋‚˜๋ผ์˜ ํ‰๊ท ํ•จ๋Ÿ‰๋ณด๋‹ค ์•ฝ 10% ์ด์ƒ ๋†’์•˜๊ณ , HD ์ง€๊ตฌ๋Š” ๋ชจ๋ž˜๊ฐ€ ์•ฝ 20% ์ดํ•˜ ๋‚ฎ์•˜๋‹ค. SRI ๋ฌผ๊ด€๋ฆฌ ๋ฐฉ๋ฒ•์€ ๋ฐฐ์ˆ˜๊ฐ€ ์ž˜ ๋˜๋Š” ์ง€์—ญ์—์„œ ํšจ๊ณผ์ ์ด๋ฏ€๋กœ ๋ฏธ์‚ฌ์งˆ ์–‘ํ† ์˜ HD ์ง€๊ตฌ๋ณด๋‹ค๋Š” ์‚ฌ์งˆ์–‘ํ† ์˜ SD ์ง€๊ตฌ์— ์ ์šฉํ•˜๋Š” ๊ฒƒ์ด ํšจ๊ณผ์ ์ผ ๊ฒƒ์œผ๋กœ ํŒ๋‹จ๋œ๋‹ค.

  • 2) SRI ๋ฌผ๊ด€๋ฆฌ ๋ฐฉ๋ฒ•์˜ 3๋…„ ํ‰๊ท  ๊ด€๊ฐœ์šฉ์ˆ˜ ์ €๊ฐ๋ฅ ์€ CT, SD ๊ทธ๋ฆฌ๊ณ  SD์— ๋น„ํ•˜์—ฌ ๊ฐ๊ฐ 49%, 51% ๊ทธ๋ฆฌ๊ณ  55%๋กœ ๋งค์šฐ ๋†’๊ฒŒ ๋‚˜ํƒ€๋‚ฌ๋‹ค. SRI ๋ฌผ๊ด€๋ฆฌ ๋ฒผ ์žฌ๋ฐฐ๋ฐฉ๋ฒ•์€ ๊ธฐํ›„๋ณ€ํ™” ๋“ฑ์œผ๋กœ ์˜ˆ์ƒ๋˜๋Š” ๊ด€๊ฐœ์šฉ์ˆ˜ ๋ถ€์กฑ์— ๋Œ€์‘ํ•  ์ˆ˜ ์žˆ๋Š” ๋งค์šฐ ํšจ๊ณผ์ ์ธ ๋ฐฉ๋ฒ•์œผ๋กœ ๋‚˜ํƒ€๋‚ฌ๋‹ค.

  • 3) ๊ด€ํ–‰์žฌ๋ฐฉ๋ฒ•์ธ CT, SD ๊ทธ๋ฆฌ๊ณ  HD์—์„œ ์œ ์ถœ์ˆ˜์˜ ํ‰๊ท  ๋น„์ ์˜ค์—ผ์› EMCs๋Š” ๋น„์Šทํ•˜์˜€๋‹ค. ๊ทธ๋Ÿฌ๋‚˜ SRI ๋ฌผ๊ด€๋ฆฌ ๋ฐฉ๋ฒ•์€ CT, SD ๊ทธ๋ฆฌ๊ณ  HD์— ๋น„ํ•˜์—ฌ ํ‰๊ท ์ ์œผ๋กœ BOD5 35%, COD 44%, SS 47%, T-N 19%, T-P 38%์˜ EMCs ์ €๊ฐ ํšจ๊ณผ๊ฐ€ ์žˆ์—ˆ๋‹ค.

  • 4) ์œ ๋Ÿ‰๊ณผ ๋น„์ ์˜ค์—ผ๋ถ€ํ•˜ ์‚ฌ์ด์˜ ์ƒ๊ด€๊ด€๊ณ„๋Š” CT์—์„œ BOD5๋ฅผ ์ œ์™ธํ•œ ๋ชจ๋“  ํ•ญ๋ชฉ, SD์™€ SRI์—์„œ๋Š” SS๋ฅผ ์ œ์™ธํ•œ ๋ชจ๋“  ํ•ญ๋ชฉ, HD๋Š” ๋ชจ๋“  ํ•ญ๋ชฉ์—์„œ ์œ ์˜์ˆ˜์ค€ 1% (p=0.01)์—์„œ ๋†’์€ ์ƒ๊ด€๊ด€๊ณ„๊ฐ€ ์žˆ๋Š” ๊ฒƒ์œผ๋กœ ๋‚˜ํƒ€๋‚ฌ๋‹ค. ๋…ผ์—์„œ์˜ ๋น„์  ์˜ค์—ผ์› ๋ฐฐ์ถœ์€ ๊ฐ•์šฐ์™€ ๋ฌผ ๊ด€๋ฆฌ ๋“ฑ ์œ ์ถœ์„ ์œ ๋ฐœ์‹œํ‚ค๋Š” ์ธ์ž์™€ ๋†’์€ ์ƒ๊ด€๊ด€๊ณ„๊ฐ€ ์žˆ์œผ๋ฉฐ ์ด๋“ค ์ธ์ž๋ฅผ ์ œ์–ดํ•˜๋ฉด ํšจ๊ณผ์ ์œผ๋กœ ๋น„์ ์˜ค์—ผ์›์„ ์ €๊ฐ์‹œํ‚ฌ ์ˆ˜ ์žˆ์„ ๊ฒƒ์œผ๋กœ ํŒ๋‹จ๋œ๋‹ค.

  • 5) ๋ณธ ์—ฐ๊ตฌ๋Š” 2010๋…„๋ถ€ํ„ฐ 2012๋…„๊นŒ์ง€ 3๋…„ ๋™์•ˆ ๊ฒฝ์ง€๋‹จ์œ„์—์„œ ๊ฐ•์šฐ์œ ์ถœ์ˆ˜๋ฅผ ์กฐ์‚ฌํ•œ ๊ฒฐ๊ณผ๋กœ์„œ ๊ด€๊ฐœ์ง€๊ตฌ๋‹จ์œ„์˜ ๊ฐ•์šฐ ์œ ์ถœ์ˆ˜์™€ ์ˆ˜์งˆ๊ณผ๋Š” ๋‹ค๋ฅผ ์ˆ˜ ์žˆ๋‹ค. ๋”ฐ๋ผ์„œ ๊ฒฝ์ง€๋‹จ์œ„์™€ ์ง€๊ตฌ๋‹จ์œ„์—์„œ SRI ๋ฌผ ๊ด€๋ฆฌ ๋ฐฉ๋ฒ•์˜ ํšจ๊ณผ๋ฅผ ์ถ”๊ฐ€์ ์œผ๋กœ ์ธก์ •ํ•˜๊ณ , ๋‹ค์–‘ํ•œ ์ง€๊ตฌ์˜ ์ž๋ฃŒ์™€ ๋น„๊ตํ•˜์—ฌ ๋ฒ”์šฉํ™” ํ•  ์ˆ˜ ์žˆ๋Š” ์ž๋ฃŒ๋ฅผ ์ƒ์„ฑํ•  ํ•„์š”๊ฐ€ ์žˆ๋‹ค. ๋ฒ”์šฉํ™” ๋œ ์ž๋ฃŒ๋Š” ํ–ฅํ›„ ๊ฐ€๋ญ„๋Œ€๋น„ ์šฉ์ˆ˜์ ˆ์•ฝ๋ฟ๋งŒ ์•„๋‹ˆ๋ผ ๋…ผ์˜ ๋น„์ ์˜ค์—ผ์›์„ ํšจ๊ณผ์ ์œผ๋กœ ์ œ์–ดํ•˜์—ฌ ์œ ์—ญ์˜ ์ˆ˜์งˆ๊ด€๋ฆฌ์— ์œ ์šฉํ•œ ์ž๋ฃŒ๋กœ ํ™œ์šฉํ•  ์ˆ˜ ์žˆ์„ ๊ฒƒ์ด๋‹ค.

References

1 
(2012), Standard Methods for Examination of water and Wastewater, American Public Health Association. and American Water Works Association. (2012). Standard Methods for Examination of water and Wastewater, American Public Health Association, Washington, D.C.Google Search
2 
(2012), Water Quality and Load Charateristics of Irrigation Water from Agricultural Reservoir, Koream National Committee on Irrigation and Drainage, Choi, D. H., Yoon, K. S., Jung, J. W., Choi, W. J., Lee, K. S., Lim, S. S., and Lim, B. J. (2012). Water Quality and Load Charateristics of Irrigation Water from Agricultural Reservoir, Koream National Committee on Irrigation and Drainage, 19(2). pp. 71-80. [Korean Literature], Vol. 19, No. 2, pp. 71-80Google Search
3 
(2014), Effect of SRI Water Management on Water Quality and Greenhouse GAS Emissions in Korea, Journal of Irrigation and Drainage Engineering, Choi, J. D., Kim, G. Y., Park, W. J., Shin, M. H., Choi, Y. H., Lee, S. I., Kim, U. J., and Yun, D. K. (2014). Effect of SRI Water Management on Water Quality and Greenhouse GAS Emissions in Korea, Journal of Irrigation and Drainage Engineering, 63, pp. 263-270., Vol. 63, pp. 263-270DOI
4 
(2015), Effect of SRI Methods on Water Use, NPS Pollution Discharge, and GHG Emission in Korean Trials, Paddy Water Environment, Choi, J. D., Kim, G. Y., Park, W. J., Shin, M. H., Choi, Y. H., Lee, S. I., Lee, D. B., and Yun, D. K. (2015). Effect of SRI Methods on Water Use, NPS Pollution Discharge, and GHG Emission in Korean Trials, Paddy Water Environment, 13, pp. 205-213., Vol. 13, pp. 205-213DOI
5 
(2001), Nutrient Balance and Runoff Loading During Cropping Period from a Paddy Plot in Maryeong Irrigation Distict, Journal of the Korean Society of Agricultural Engineers, Choi, J. K., Koo, J. W., Son, J. G., Yoon, K. S., and Cho, J. Y. (2001). Nutrient Balance and Runoff Loading During Cropping Period from a Paddy Plot in Maryeong Irrigation Distict, Journal of the Korean Society of Agricultural Engineers, 43(5), pp. 153-162. [Korean Literature], Vol. 43, No. 5, pp. 153-162Google Search
6 
(2013), Feasibility of SRI Methods for Reduction of Irrigation and NPS Pollution in Korea, Paddy Water Environment, Choi, J. D., Park, W. J., Park, K. W., and Lim, K. J. (2013). Feasibility of SRI Methods for Reduction of Irrigation and NPS Pollution in Korea, Paddy Water Environment, 11, pp. 241-248., Vol. 11, pp. 241-248DOI
7 
(2009), Analysis and Comparison about NPS of Plane Field and Alpine Field, Journal of Korean Society on Water Environment, Choi, Y. H., Won, C. H., Seo, J. Y., Shin, M. H., Yang, H. J., Lim, K. J., and Choi, J. D. (2009). Analysis and Comparison about NPS of Plane Field and Alpine Field, Journal of Korean Society on Water Environment, 25(5), pp. 682-688. [Korean Literature], Vol. 25, No. 5, pp. 682-688Google Search
8 
(2010), Cornell University College of Agriculture and Life Sciences, Cornell International Institute for Food, Agriculture and Development (CIIFAD). (2010). Cornell University College of Agriculture and Life Sciences, http://sri.ca;s.cornell.edu/aboutsri/origin/index.html (accessed Jan. 2016).Google Search
9 
(2011), Irrigation Water Rreduction Using System of Rice Intensification Compared with Conventional Cultivation Methods in Iraq, Paddy Water Environment, Hameed, K. A., Mosa, A. K. J., and Jaber, F. A. (2011). Irrigation Water Rreduction Using System of Rice Intensification Compared with Conventional Cultivation Methods in Iraq, Paddy Water Environment, 9, pp. 121-127., Vol. 9, pp. 121-127DOI
10 
(2004), Characteristics of Nutrient Export from Paddy Fields with Irrigation Practices, Journal of Korean Society on Water Environment, Hwang, H. S., Kong, D. S., Shin, D. S., and Jeon, J. H. (2004). Characteristics of Nutrient Export from Paddy Fields with Irrigation Practices, Journal of Korean Society on Water Environment, 20(6), pp. 597-602. [Korean Literature], Vol. 20, No. 6, pp. 597-602Google Search
11 
(2012), Paddy in LIDMOD2 Model for Predicting NPS Pollution, Rural Resources, Jeon, J. H. (2012). Paddy in LIDMOD2 Model for Predicting NPS Pollution, Rural Resources, 54(1), pp. 26-33. [Korean Literature], Vol. 54, No. 1, pp. 26-33Google Search
12 
(2005), The Comparison of Water Budget and Nutrient Loading from Paddy Field According to the Irrigation Methods, Korean Journal of Limnology, Jeon, J. H., Yoon, C. G., Choi, J. K., and Yoon, K. S. (2005). The Comparison of Water Budget and Nutrient Loading from Paddy Field According to the Irrigation Methods, Korean Journal of Limnology, 38(1), pp. 118-127. [Korean Literature], Vol. 38, No. 1, pp. 118-127Google Search
13 
(2011), Effect of Green Manure Hairy vetch on Rice Growth and Saving of Irrigation Water, Korean Society of Soil Science and Fertilizer, Jeon, W. T., Hur, S. O., Seong, K. Y., OH, I. S., Kim, M. T., and Kang, U. G. (2011). Effect of Green Manure Hairy vetch on Rice Growth and Saving of Irrigation Water, Korean Society of Soil Science and Fertilizer, 44(2), pp. 181-186. [Korean Literature], Vol. 44, No. 2, pp. 181-186DOI
14 
(2007), Stormwater Runoff Characteristics of Non-Point Source Pollutants according to Landuse of Urban Area, Environment Impact Assessment, Jeong, D. H., Shin, D. S., Rhew, D. H., and Jung, D. I. (2007). Stormwater Runoff Characteristics of Non-Point Source Pollutants according to Landuse of Urban Area, Environment Impact Assessment, 16(6), pp. 525-532. [Korean Literature], Vol. 16, No. 6, pp. 525-532Google Search
15 
(2012), Water Management Practices and SCS Curve Numbers of Paddy Fields Equipped with Surface Drainage Pipes, Journal of Agricultural Water Management, Jung, J. W., Yoon, K. S., Choi, D. H., Lim, S. S., Choi, W. J., Choi, S. M., and Lim, B. J. (2012) Water Management Practices and SCS Curve Numbers of Paddy Fields Equipped with Surface Drainage Pipes, Journal of Agricultural Water Management, 110, pp. 78-83., Vol. 110, pp. 78-83DOI
16 
(2008), Improvement Measures of Pollutants Unit-Loads Estimation for Paddy Fields, Journal of Korean Society on Water Environment, Jung, J. W., Yoon, K. S., Choi, W. J., Choi, W. Y., Joo. S. H., Lim, S. S., Kwak, J. H., Lee, S. H., Kim, D. H., and Chang, N. I. (2008). Improvement Measures of Pollutants Unit-Loads Estimation for Paddy Fields, Journal of Korean Society on Water Environment, 24(3), pp. 291-296. [Korean Literature], Vol. 24, No. 3, pp. 291-296Google Search
17 
(2012), Paddy Cultivation using SRI Technology for Irrigation Water Saving (III), 11-1541000-001612-01, Korea Rural Community Corporation. (2012). Paddy Cultivation using SRI Technology for Irrigation Water Saving (III), 11-1541000-001612-01, Korea Rural Community Corporation, pp. 69. [Korean Literature], pp. 69Google Search
18 
(2014), Verification of Nonpoint Sources Runoff Estimation Model Equations for the Orchard Area, Journal of Korean Society on Water Environment, Kwon, H. G., Lee, J. W., Yi, Y. J., and Cheon, S. U. (2014). Verification of Nonpoint Sources Runoff Estimation Model Equations for the Orchard Area, Journal of Korean Society on Water Environment, 30(1), pp. 8-15. [Korean Literature], Vol. 30, No. 1, pp. 8-15DOI
19 
(2005), Cornell University College of Agriculture and Life Sciences, USA., Li, X., Xu, X., and Li, H. (2005). Cornell University College of Agriculture and Life Sciences, USA.http://sri.cals.cornell.edu/countries/china/cnciadeng.pdf (accessed Jan. 2016).Google Search
20 
(2011), Official Testing Method with Respect to Water Pollution Process., Ministry of Environment (MOE). (2011). Official Testing Method with Respect to Water Pollution Process. [Korean Literature]Google Search
21 
(2011), Evaluation on Feasibility of System of Rice Intensification(SRI) for Reduction of Irrigation Water in South Korea, Journal of the Korean Society of Agricultural Engineers, Park, W. J., Choi, Y. H., Shin, M. H., Won, C. H., Park, K. W., and Choi, J. D. (2011). Evaluation on Feasibility of System of Rice Intensification(SRI) for Reduction of Irrigation Water in South Korea, Journal of the Korean Society of Agricultural Engineers, 53(4), pp. 1-9. [Korean Literature], Vol. 53, No. 4, pp. 1-9DOI
22 
(2000), Rice Labor Saving Culture, 11-1390000-000754-01, Rural Development Administration. (2000). Rice Labor Saving Culture, 11-1390000-000754-01, Rural Development Administration. [Korean Literature]Google Search
23 
(2007), A Review of on-farm Evaluation of System of Rice Intensification (SRI) Methods in Eastern Indonesia. Commonwealth Agricultural Bureau Intl (CABI) Review, Sato, S. and Uphoof, N. (2007). A Review of on-farm Evaluation of System of Rice Intensification (SRI) Methods in Eastern Indonesia. Commonwealth Agricultural Bureau Intl (CABI) Review, Wallingford, UK, 2, pp.1-12., pp. 1-12Google Search
24 
(2007), Opportunities for Water Saving with Higher Yield from the System of Rice Intensification, Irrigation Science, Satyanatayana, A., Thiyagarajan, T. M., and Uphoff, N. (2007). Opportunities for Water Saving with Higher Yield from the System of Rice Intensification, Irrigation Science, 25(2), pp. 99-115., Vol. 25, No. 2, pp. 99-115DOI
25 
(2009), Determination of EMC and Unit Loading of Rainfall Runoff from Forestry-Crops Field, Journal of Korean Society on Water Environment, Won, C. H., Choi, Y. H., Seo, J. Y., Kim, K. C., Shin, M. H., and Choi, J. D. (2009). Determination of EMC and Unit Loading of Rainfall Runoff from Forestry-Crops Field, Journal of Korean Society on Water Environment, 25(4), pp. 615-623. [Korean Literature], Vol. 25, No. 4, pp. 615-623Google Search
26 
(2012), Research on Long Term Monitoring for the Nonpoint Source Pollution Report, Yeongsan River, the Seomjin River Water Systems Management Committee. (2012). Research on Long Term Monitoring for the Nonpoint Source Pollution Report, 11-B551192-000016-01, Yeongsan River, the Seomjin River Water Systems Management Committee. [Korean Literature]Google Search
27 
(2002a), Charateristics of Pollutant Loading reom Paddy Field Area with Croundwater Irrigation, Journal of the Korean Society of Agricultural Engineers, Yoon, C. K., Kim, B. H., Jeon, J. H., and Hwang, H. S. (2002a). Charateristics of Pollutant Loading reom Paddy Field Area with Croundwater Irrigation, Journal of the Korean Society of Agricultural Engineers, 44(5), pp. 116-126. [Korean Literature], Vol. 44, No. 5, pp. 116-126Google Search
28 
(2002b), Sediment Losses from a Paddy Plot during Cropping Period, Korean Society of Rural Planning, Yoon, K. S., Cho, J. G., Han, K. H., Choi, J. K., Son, J. G., and Cho, J. Y. (2002b). Sediment Losses from a Paddy Plot during Cropping Period, Korean Society of Rural Planning, 8(1), pp. 69-76. [Korean Literature], Vol. 8, No. 1, pp. 69-76Google Search
29 
(2000), Comparison of Initial and Mean Concentrations of Nitrogen and Phosphorus in Runoff Reom a Paddy Field, Korean National Committee of Irrigation and Drainage, Yoon, K. S., Choi, J. K., Cho, J. Y., Son, J. G., and Koo, J. W. (2000). Comparison of Initial and Mean Concentrations of Nitrogen and Phosphorus in Runoff Reom a Paddy Field, Korean National Committee of Irrigation and Drainage, 7(1), pp. 27-35. [Korean Literature], Vol. 7, No. 1, pp. 27-35Google Search
30 
(2011), Nutrient Uptake and Water Use Efficiency as Affected by Modified Rice Cultivation Methods with Reduced Irrigation, Paddy Water Environment, Zhao, L., Wu, L., Wu, M., and Li, Y. (2011). Nutrient Uptake and Water Use Efficiency as Affected by Modified Rice Cultivation Methods with Reduced Irrigation, Paddy Water Environment, 9, pp. 25-32., Vol. 9, pp. 25-32DOI
31 
(2010), Comparisons of Yield, Water Use Efficiency, and Soil Microbial Biomass as Affected by the System of Rice Intensification, Communications in Soil Science and Plant Analysis, Zhao, L., Wu., L., Li., Y., Animesh., S., Zhu., D., and Uphoff, N. (2010). Comparisons of Yield, Water Use Efficiency, and Soil Microbial Biomass as Affected by the System of Rice Intensification, Communications in Soil Science and Plant Analysis, 41(1), pp. 1-12., Vol. 41, No. 1, pp. 1-12DOI