The Journal of
the Korean Society on Water Environment

The Journal of
the Korean Society on Water Environment

Bimonthly
  • ISSN : 2289-0971 (Print)
  • ISSN : 2289-098X (Online)
  • KCI Accredited Journal

Editorial Office





GPS-equipped drifter, Lagrangian particle tracking, Mitigation plan, Oil spill, Sensitive analysis

1. Introduction

우리나라에서는 크고 작은 수질오염사고가 빈번하게 발생하고 있으며 특히, 낙동강의 경우 중·하류 지역에 대규모산업단지가 조성되어 있고, 하류에 위치한 대부분의 도시가 낙동강을 상수원으로 이용하고 있어 수질오염사고에 취약하다. 1991년 페놀 유출사고, 1994년 벤젠·톨루엔 검출, 2004년과 2009년의 1,4-다이옥산 검출 등 다양한 수질오염사고가 낙동강에서 발생하였다(MOE, 2013; Mun et al., 2013). 또한 유류저장탱크로부터의 유출, 유류 운반차량 및 폐준설선 전복 등 유류 유출사고도 매년 10여건씩 발생하고 있는데(Mun et al., 2013) 이는 4대강 중 가장 많은 것으로 낙동강의 상수원과 하천생태계가 심각하게 위협받고 있다.

유류오염사고 발생 시 하류 취수장에서의 대응조치와 하천생태계의 오염피해 최소화를 위해서는 유출된 오염물질의 도달시간과 확산범위의 정확한 예측이 중요하다. 국립환경과학원은 EFDC(Environmental Fluid Dynamics Code) 모형으로 4대강 본류에서 수질오염사고 시 도달시간과 농도예측 및 댐과 다기능보의 연계운영을 통한 방제시나리오 모델링이 가능한 수질오염사고대응예측시스템(Water pollution Accident Response Management System: WARMS)을 개발하였다(Mun et al., 2012; NIER, 2010). 본 시스템을 활용하여 유류오염물질의 정확한 이송·확산 특성을 해석하기 위해서는 현장 실험자료와의 비교·검증을 통한 모형의 예측 정확도 향상이 필수적이다.

일반적으로 유류의 이송·확산 모의는 라그랑지안 입자추적(Lagrangian particle tracking: LPT)기법을 이용하며, 해양의 유출유 확산 모델링에 관한 연구가 주로 진행되어 왔다(Dunsbergen and Stalling, 1993; Dynamic Solutions-International, 2009; Wang et al., 2008). 모의결과 검증에는 인공위성 원격탐사자료(Carracedo et al., 2006; Yang et al., 2009) 또는 표면부자를 이용한 추적자 실험(Furnans et al., 2008)이 주로 활용되었다. 국내에서는 용존성 오염물질의 이송·확산 검증을 위하여 상대적으로 규모가 작은 지류를 대상으로 방사성 동위원소나 Rhodamine WT와 같은 염료를 이용한 추적자 실험이 수행된 바 있다(NIER, 2013; Seoet al., 2004).

그러나 대하천의 경우 다량의 추적자 주입 및 계측장비의 설치가 곤란하여 직접적으로 추적물질을 투입하는 실험은 쉽지 않다. 이러한 제약 때문에 일부 연구에서는 자연추적자로서 전기전도도를 측정하거나(NIER, 2008) 실제 오염사고 시의 수질분석 결과를 이용하여 예측모형의 검증에 활용하였다(Mun et al., 2012). 하지만 자연추적자의 경우에는 유입원이 명확하지 않고 유입시간을 정할 수 없어 도달시간 검증이 어렵고, 실제 오염사고의 경우에는 대부분 사고 당시의 오염물질 농도와 수리특성에 관한 관측자료가 모형을 검증하기에는 충분치 않다. 이러한 문제 때문에 최근 GPS를 장착한 표면부자를 이용한 추적자 실험방법을 하천에 적용하는 연구가 새롭게 시도되고 있다(Lee et al., 2009; NIER, 2013). GPS 부자를 이용한 추적자 실험은 수표면을 따라 움직이는 물질의 이동 궤적을 연속적으로 관측할 수 있고, 다량의 부자를 동시에 사용할 경우 물질의 확산에 관한 정보를 얻을 수 있는 장점이 있어 유류와 같이 수표면에 부유하는 물질의 거동 해석에 활용가능성이 크다. 다량의 GPS 부자를 이용한 추적자 실험 결과로부터 Stevens (2010)Swick and MacMahan (2009)은 각각 내만과 하천에서의 수평확산계수를 산정하였으며, Seo et al. (2013)은 농도장으로 변환하여 부유성 오염물질 뿐만 아니라 용존성 오염물질의 혼합해석에도 활용하였다.

본 연구에서는 GPS 부자 실험과 수치해석기법을 적용하여 유류오염물질의 도달시간 및 확산범위 예측의 정확도를 검증하고자 한다. 이를 위해 낙동강의 칠곡보에서 강정고령보까지의 구간을 대상으로 EFDC 모형을 구축하고 수리검증을 수행하였으며, 라그랑지안 입자추적기법을 적용하여 유류오염물질의 이송·확산에 관련된 주요 인자인 수층의 수, 바람의 세기 및 수평확산계수의 영향을 분석하였다. 또한 GPS 부자 실험결과에서 획득한 부자의 확산분포를 이용하여 수평확산계수를 산정하고, 이 값을 입자추적기법에 적용하여 유류 오염물질의 이송·확산 모의결과와 비교·검토하였다. 수질오염사고대응을 위해 개발한 가동보 모듈을 적용하여 유황 및 다기능보의 운영조건을 고려한 방제 시나리오별 도달시간 예측을 아울러 수행하였다.

2. Material and Methods

2.1. EFDC 모형의 라그랑지안 입자추적기법

EFDC 모델은 연안, 하구, 호소, 하천 등에서의 유동 및 물질수송을 모의하는 3차원 수치모형이다(Tetra Tech, Inc., 2007). 수직·수평적으로 2·3차원화가 가능하며, 수리구조물의 해석이 용이한 장점이 있다. 또한 해수와 담수체계에 적용할 수 있도록 다양한 밀도장에서의 3차원 수직 정역학, 자유표면, 와동 평균된 경압과 순압 방정식의 해를 구하며, 조간대에 적용하기 위한 젖음과 마름 해석(Wet & Dry scheme)기능을 포함하고 있다.

EFDC 모델의 지배방정식은 연속방정식과 종·횡 및 수직방향 운동방정식, 물질보존 방정식들로 구성되어 있다(Ji, 2007). 수직방향으로 같은 수의 층을 가지는 σ-좌표계를 사용하며, staggered 또는 C grid 상에서 공간적으로 2차 정확도를 가지는 수치해석법을 사용한다. 시간적으로는 2차 정확도의 3단계 시간계산(three time level)의 내부모드와 외부모드를 분리하는 모드 분리법을 사용한다.

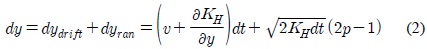
EFDC 모형의 라그랑지안 입자추적 모듈(LPT)은 Dunsbergen and Stalling (1993)의 random walk 접근법을 바탕으로 한다. 아래 식 (1) ∼ (2)의 라그랑지안 입자추적 방정식(DynamicSolutions-International, 2009)에서 각 식의 우변에 있는 p는 평균이 0.5인 균등분포 상에서 추출한 임의의 수(randomnumber)로서, 2p-1을 이용하여 변환하면 random 항은 평균이 0이고, -1에서 1의 범위에서 하나의 값을 갖게 된다. 변환된 random 항을 통해 유속에 의해 이송된 입자의 위치로부터 확산항에 따른 입자의 분포를 계산할 수 있으며, 본 연구에서는 수평확산계수에 의한 입자의 확산에 대한 영향을 분석하였다.

../../Resources/kswe/32-3/images/SJBJB8_2016_v32n3_243_e901.jpg

../../Resources/kswe/32-3/images/SJBJB8_2016_v32n3_243_e902.jpg

여기서, dx, dy는 직교좌표계, u, v는 x, y 방향으로의 유속, dt는 시간간격, KH는 수평확산계수이다.

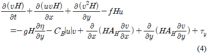
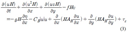
또한 본 연구에서는 바람에 의한 표면유속과 입자의 거동에 대한 영향을 주의깊게 분석하였다. 아래 식 (3)∼(4)의 운동방정식에서 각 식의 우변 마지막 항은 바람응력(Windstress)이며, 바람응력은 식 (5)∼(6)과 같이 풍향과 풍속에 의해 계산된다(Ji, 2007). 표층에 가해지는 바람은 수체의 동수역학(Hydrodynamic)에 영향을 미치는 주요 외력으로서 바람의 강도에 따라 입자의 이송을 조절할 수 있다.

../../Resources/kswe/32-3/images/SJBJB8_2016_v32n3_243_e903.jpg

../../Resources/kswe/32-3/images/SJBJB8_2016_v32n3_243_e904.jpg

../../Resources/kswe/32-3/images/SJBJB8_2016_v32n3_243_e905.jpg

../../Resources/kswe/32-3/images/SJBJB8_2016_v32n3_243_e906.jpg

여기서, H는 전체 물기둥 깊이, f는 Coriolis 가속도, AH는 수평난류점성계수, g는 중력가속도, CB는 바닥 마찰계수, |u|는 유속../../Resources/kswe/32-3/images/SJBJB8_2016_v32n3_243_e101.jpg τx, τy는 x, y 방향의 바람응력, Uw, Vw는 수표면으로부터 10 m 높이에서의 x, y 방향 풍속이다.

2.2. 연구대상 지역 및 EFDC 모형 구축

연구대상 지역은 산업단지가 위치하여 수질오염사고에 취약한 구미보에서부터 강정고령보까지의 낙동강 본류 중·상류 지역으로 선정하였다(Fig. 1). 칠곡보와 강정고령보 구간의 길이는 각각 27.3 km, 25.2 km이며, 수심은 각각 4.0 ∼ 11.8 m (평균 7.9 m), 6.0 ∼ 14.4 m (평균 9.3 m)이다.

Fig. 1.

Study river section of Nakdong river for oil spill simulation and GPS drifter experiments.

../../Resources/kswe/32-3/images/SJBJB8_2016_v32n3_243_f001.jpg

칠곡보 구간에서 수행한 GPS 부자 실험결과와 비교·검증하고, 다기능보의 연계운영에 따른 시나리오 모델링을 위하여 가동보 모듈(NIER, 2010)을 적용한 EFDC 모형을 구축하였다. EFDC 모형은 종방향 60 ∼ 100 m, 횡방향 40 ∼ 70 m의 수평방향 8,867개 격자로 구성하였으며, 수직방향 수층의 수는 목적에 따라 1 ∼ 10개로 조절하였다. EFDC 수리모형의 상류 경계조건은 구미보의 방류량, 하천유량(감천, 한천, 백천), 하수처리장 방류량(원평, 구미), 취수량(해평, 문산, 매곡)이며, 하류 경계조건은 강정고령보의 수위로 설정하였다. 또한 다기능보 수리구조물의 주요 제원과 관리수위를 내부 경계조건으로 하였다.

구미 및 왜관 수위관측소의 수위자료를 국가수자원관리종합정보시스템(MOLIT, 2013b)에서 수집하였으며, 같은 지점의 단면평균 유속자료는 한국수문조사연보(MOLIT, 2013a)으로부터 수집하여 EFDC 모형의 수리특성을 검증하였다. 다기능보의 운영이 정상화된 이후인 2013년의 구미보 유량과 유입하천의 유량 자료를 이용하여 풍·평·저·갈수량을 산정하고, 라그랑지안 입자추적기법의 민감도 분석과 시나리오 모델링에 적용하였다.

2.3. 라그랑지안 입자추적기법의 민감도 분석

구축된 EFDC 모형에 라그랑지안 입자추적기법을 적용하여 유류입자의 거동에 영향을 미치는 주요 인자의 민감도를 분석하였다. 주요 인자로 수층의 수, 바람의 세기, 수평확산계수를 선정하고, Table 1과 같이 모형의 구동조건을 변경시키면서 유류입자의 도달거리, 이송속도, 이송방향, 확산범위 등에 대한 영향을 분석하였다.

Table 1.

Constituents of sensitive analysis for EFDC Lagrangian particle tracking

../../Resources/kswe/32-3/images/SJBJB8_2016_v32n3_243_t001.jpg

수층의 수에 대한 민감도 분석에서는 변동성이 큰 관측유량을 적용할 경우 수위가 상승 또는 하강하는 시기에 따라 수층별 유속변동이 크게 나타날 수 있으므로 구미보 및 유입하천으로부터의 유량 경계조건을 평수기의 일정 유량조건으로 하였으며, 바람의 세기와 수평확산계수의 민감도분석에서는 GPS부자 실험을 했던 2013년 10월 11일의 관측 유량조건으로 하였다.

2.4. GPS 부자 실험 및 라그랑지안 입자추적기법 검증

다량의 부자를 이용한 확산 실험은 표면흐름에 따른 혼합특성을 파악할 수 있기 때문에 주로 수표면으로 확산되는 유류오염사고를 분석할 수 있는 장점이 있어(Seo et al., 2013), 낙동강 본류의 칠곡보 구간인 한천 합류부(Fig. 1)에서 GPS 부자 실험을 실시하였다.

하천의 표면흐름에 따라 이동하는 GPS 부자는 Fig. 2(a)와 같이 지름 10 cm의 구체에 GPS 수신기와 부자의 흘수(draft)를 조절하기 위한 추를 넣어 제작하였다(Seo et al., 2013). GPS 수신기의 Chipset은 위치 정확도(Position accuracy)가 2.5 m 2D-RMS, 속도 정확도(Velocity accuracy)는 0.05 m/s이다. 2013년 10월 11일에 실험구간 상류지점의 하천 중앙부에 30개의 GPS 부자를 동시에 투입하고(Fig. 2(b)), 일정시간이 경과한 후에 수거하여 위치정보를 획득하였다. GPS 부자의 위치정보는 위도와 경도로 저장되어 있기 때문에 EFDC 라그랑지안 입자추적기법의 검증에 적용하기 위해 TM 좌표로 변환하였다.

Fig. 2.

Schematic of GPS-equipped drifter and deployment in the river.

../../Resources/kswe/32-3/images/SJBJB8_2016_v32n3_243_f002.jpg

30개의 GPS 부자를 동시에 투입한 실험결과를 이용하여 식 (7) ∼ (8)과 같이 부자 집단(Cluster)의 중심점으로부터 각 부자의 거리(Di)와 거리 편차에 대한 분산(σ2)을 계산하고, 식 (9)와 같이 수평확산계수(KH)를 산정하였다(Messias et al., 2008; Stevens, 2010).

../../Resources/kswe/32-3/images/SJBJB8_2016_v32n3_243_e907.jpg

../../Resources/kswe/32-3/images/SJBJB8_2016_v32n3_243_e908.jpg

../../Resources/kswe/32-3/images/SJBJB8_2016_v32n3_243_e909.jpg

여기서, xi, yi는 각 부자의 좌표, xm, ym은 부자 집단의 중심점 좌표, Δt는 경과시간이다.

또한 라그랑지안 입자추적기법의 검증을 위하여 GPS 부자 실험 당시의 수리 및 기상조건과 식 (9)에 의해 산정된 수평확산계수를 3차원 EFDC 모형에 적용하여 입자의 이송거리와 확산분포에 대하여 GPS 부자 현장 실험결과와 비교·검증하였다.

2.5. 다기능보 운영조건을 고려한 시나리오 모델링

수질오염사고 발생 시 하류 취·정수장의 사전 대응을 위해서는 오염물질의 현장 관측자료와 더불어 도달시간과 확산범위 예측결과의 제공이 중요하다. 낙동강의 다기능보는 하천의 수위 및 유량을 조절하는 인공구조물로서 가동보, 고정보, 소수력발전소, 어도 등의 수리구조물로 구성되어 있다. 모델에서 하천의 흐름 특성을 현실적으로 모의하기 위해서는 실제 운영 상황과 동일한 방법으로 가동보의 작동을 고려하면서 하천수의 유출을 계산해야 한다. 유류 오염사고 시 가동보의 운영을 적절히 조절하여 오염물질의 차단 또는 배출이 가능하므로 이에 대한 효과를 예측하는 것이 필요하다. 가동보 운영을 통한 유류방제 시나리오는 대규모 수질오염사고 위기대응실무매뉴얼(MOE, 2013)의 댐·보 인근 수질오염사고 방제흐름도에 따라 구성할 수 있다. 본 연구에서는 다양한 형태의 다기능보 제원과 운영조건을 동시에 고려하여 보 연계운영을 모델링할 수 있도록 개발한 2차원 EFDC 가동보 모듈(NIER, 2010)을 적용하여, 유황 변동과 상·하류 가동보의 방류조건을 조절하는 다기능보 연계운영에 따른 시나리오 모델링을 수행하였다.

유류오염 사고는 칠곡보 상류 3.0 km 지점에서 발생한 것으로 가정하고, Table 2와 같이 구미보와 감천 및 한천으로부터의 유입유량 변동과 칠곡보의 수위 조절에 따른 시나리오를 구성하였다. 시나리오 A 그룹은 4가지 유황조건(Q95, Q185, Q285, Q355)에서 칠곡보의 수위를 양수가능수위로 유지하는 것이고, 시나리오 B 그룹은 칠곡보의 수위를 양수가능수위보다 1 m 높게 유지하여 방류를 일시적으로 중단하는 것으로 하였다.

Table 2.

Composition of scenarios

../../Resources/kswe/32-3/images/SJBJB8_2016_v32n3_243_t002.jpg

3. Results and Discussion

3.1. EFDC 수리모형 검증

EFDC 모형의 수리특성 재현성 검증을 위하여 GPS 부자 실험기간이 포함되도록 2013년 7월부터 10월까지 4개월간의 구미와 왜관 수위관측소의 수위 및 유속 모의결과를 비교하였다. 수위 검증결과는 Fig. 3과 같으며, 구미 수위관측소에서는 수위 계산치의 절대평균오차(AME)가 0.096 m, 평균제곱근오차(RMSE)가 0.121 m로 나타났으며, 왜관 수위관측소에서는 절대평균오차가 0.204 m, 평균제곱근오차가 0.272 m로서 전체적으로 검증기간 동안의 수위변동을 잘 재현하고 있다.

Fig. 3.

Validation of simulated water level.

../../Resources/kswe/32-3/images/SJBJB8_2016_v32n3_243_f003.jpg

수위 검증과 같은 기간의 유속 검증결과는 Fig. 4와 같으며, 구미 수위관측소에서 단면평균 유속 계산치의 절대평균오차가 0.014 m/sec, 평균제곱근오차가 0.017 m/sec로 나타났으며, 왜관 수위관측소에서 절대평균오차가 0.011 m/sec, 평균제곱근오차가 0.014 m/sec로서 유황에 따른 유속변화를 적절히 재현하고 있다.

Fig. 4.

Validation of simulated flow velocity.

../../Resources/kswe/32-3/images/SJBJB8_2016_v32n3_243_f004.jpg

3.2. 라그랑지안 입자추적기법의 민감도분석 결과

3.2.1. 수층 수의 영향

모형의 수층 수에 따른 영향을 파악하기 위하여 수평확산계수를 0.005 m2/sec로 고정하고, 평수기 유량 조건에서 입자의 이송 속도를 비교하였다(Fig. 5). 수층의 수를 1개, 2개, 3개, 5개, 10개로 변화시켰을 경우, 20시간 동안의 이송거리는 각각 3.44 km, 3.60 km, 3.68 km, 3.74 km, 3.76 km였으며, 각각의 이송 속도는 0.048 m/sec, 0.050 m/sec, 0.051m/sec, 0.052 m/sec 그리고 0.052 m/sec로 계산되어 수층의 수가 증가함에 따라 입자의 이송속도가 빨라지는 것으로 나타났다. Fig. 6은 수층의 수에 따른 연직 유속분포로서, 수층의 수가 증가함에 따라 표층 유속이 증가하는 경향을 나타내고 있다. 수층의 수가 증가하면 각 수층의 두께가 감소하고, 표층 유속에 대한 바닥층 마찰력의 영향이 감소하여(Ji, 2007) 상대적으로 표층의 유속이 증가하기 때문에 표층을 따라 이동하는 입자의 이송속도에 차이가 발생하는 것으로 판단된다.

Fig. 5.

Effect of the number of vertical layer on travel distance of particles after 20 hours.

../../Resources/kswe/32-3/images/SJBJB8_2016_v32n3_243_f005.jpg
Fig. 6.

Effect of the number of vertical layers on flow velocity : simulation results from five representative points along model center line.

../../Resources/kswe/32-3/images/SJBJB8_2016_v32n3_243_f006.jpg

수평방향 2차원이나 수층의 수가 적은 3차원 조건에 비해서 수층의 수가 많은 3차원 조건에서 연직 유속분포를 잘 재현하는 경향이 있다(Shen and Diplas, 2008). 그러나 수층의 수가 5개와 10개일 경우에 입자의 이송속도 차이가 거의 없기 때문에 수질오염사고대응시스템에 3차원 모형을 적용하고자 한다면 계산시간 단축을 위해서 수층의 수를 5개 정도로 하는 것이 적절할 것으로 판단된다.

3.2.2. 2차원 및 3차원 모형의 바람 영향

2차원 및 3차원 모형에서의 바람에 의한 영향을 파악하기 위하여 2013년 10월 11일 GPS 부자 실험 당시의 수리조건에서 수평확산계수를 0.005 m2/sec로 고정하고, 풍속을 조절하여 모의하였다. GPS 부자 실험당시 인근 구미 자동기상관측소(AWS)의 풍향·풍속 자료를 참조하여 풍향을 북서풍으로 하고, 풍속의 변화에 따른 영향을 분석하였다.

Fig. 7은 2차원 조건과 5개의 수층으로 나눈 3차원 조건에서 0 ∼ 10 m/sec의 바람이 불 경우에 2시간 동안 입자의 궤적을 나타낸 것이다. 2차원 조건에서는 바람이 거의 없는 경우와 마찬가지로 지속적인 북서풍이 불 경우에도 입자의 이송속도나 경로가 거의 변경되는 않는 것으로 나타났으며(Fig. 7의 상), 약 35 m/sec 이상의 풍속에서 이송경로가 변경되는 것으로 확인되었다. 2차원 조건에서는 수심적분된 유속장에 의해서 입자의 이송이 계산되므로(TetraTech, Inc., 2007) 바람의 영향을 반영하기에는 한계가 있는 것으로 판단된다.

Fig. 7.

Effect of wind strength on particle trajectories in two and three dimensional conditions.

../../Resources/kswe/32-3/images/SJBJB8_2016_v32n3_243_f007.jpg

반면 3차원 조건에서는 풍속이 증가함에 따라 입자의 이송속도가 증가하였으며, 10 m/sec의 풍속에서는 입자 투입시간으로부터 약 50 분이 지난 후에 이송경로가 바뀌어 하천변 쪽으로 향하는 것으로 나타났다(Fig. 7의 하).

따라서 바람의 영향이 큰 상황에서 유류오염물질의 이송속도 및 확산범위를 예측하기 위해서는 수직적으로 적절한 해상도를 가진 3차원 모형을 적용하거나, 2차원 모형을 적용할 경우에는 바람에 의한 표면 이송효과를 반영할 수 있는 라그랑지안 입자추적기법 계산 모듈의 개선이 요구된다.

3.2.3. 수평확산계수의 영향

수평확산계수에 따른 입자의 확산분포에 대한 영향을 파악하기 위하여 GPS 부자 실험 당시와 같은 수리조건에서 수평확산계수의 범위를 조절하여 모의하였다. 수평확산계수 0.1 m2/sec를 기준으로 0.05, 0.1, 0.5, 1.0, 2.0, 5.0배의 값인 0.005, 0.01, 0.05, 0.1, 0.2, 0.5 m2/sec을 적용하여, 60분 경과 후 중심점 좌표로부터 각 입자의 평균거리와 거리 편차에 대한 분산을 Fig. 8에 나타내었다. 수평확산계수가 증가함에 따라 중심점 좌표로부터 각 입자의 평균거리는 6.5 ∼ 51.7 m의 범위에서 대수적로 증가하지만, 거리 편차에 대한 분산은 455.8 ∼ 3255.0 m2의 범위에서 선형적으로 증가하는 것으로 나타났으며, 이는 입자들의 확산 면적(Messias, 2008)이 선형적으로 증가함을 나타낸다.

Fig. 8.

Effect of horizontal diffusivity on particle distribution.

../../Resources/kswe/32-3/images/SJBJB8_2016_v32n3_243_f008.jpg

향후 하천이나 호소 구간의 다양한 지형과 수리조건에서의 입자의 확산에 관련된 실험결과를 축적하고, 시간 및 공간의 범위와 수평확산계수와의 관계에 대한 추가적인 분석이 요구된다.

3.3. GPS 부자 실험결과를 이용한 라그랑지안 입자추적기법 검증

GPS 부자의 이송속도는 유속에 의해 조절되고, 확산에 의한 분산정도는 Random walk에 의해서 결정되므로(Dynamic Solutions-International, 2009), 칠곡보 한천 합류부에서의 GPS 부자 실험결과를 이용하여 수평확산계수를 산정하고, EFDC 라그랑지안 입자추적기법에 적용하여 검증하였다. GPS 부자 투입 후 60분 경과한 시각의 확산분포로부터 식 (9)와 같은 수평확산계수 산정식에 적용한 결과, 수평확산계수는 0.096 m2/sec의 값으로 산정되었으며, 수층의 수를 5개로 한 3차원 EFDC 모형에 산정된 수평확산계수를 적용하였다.

GPS 부자 실험결과와 GPS 부자 실험 당시의 수리조건으로 EFDC 라그랑지안 입자추적기법을 적용한 결과는 각각 Fig. 9(a) 및 (b)와 같다. 중심점 좌표를 기준으로 GPS 부자 실험에서는 1시간 동안 662 m 유하하였으며, 모의된 입자의 총 이송거리는 625 m로서 각 구간마다 다소의 차이는 있었으나 유사한 모의 결과를 나타내었다. 각 구간별 이송거리의 상대오차는 1.8 ∼ 35.4 %의 범위로 평균 16.6 %로 나타났다(Table 3). 수평확산분포를 살펴보면, 중심점 좌표로부터 각 입자의 평균거리에 대한 상대오차는 4.4 ∼ 16.4 %의 범위로 평균 10.0 %로 나타났다(Table 3). 그러나 하천의 흐름방향 확산분포는 실험결과보다 다소 좁은 범위를 보이고 있으며, 횡방향 확산분포는 실험결과보다 넓은 범위를 보였다(Fig. 9(a)와 (b)). 종방향 확산에 비해 횡방향 확산이 상대적으로 작게 일어나는 현상을 수치모델링에서 반영하지 못하는 것은 EFDC 모형이 수평확산계수를 x 방향과 y 방향으로 구분하지 않고(Tetra Tech, Inc., 2007) 모의하기 때문인 것으로 판단되며, 향후 종·횡 방향 확산에 대한 보다 면밀한 모의기법 검토가 요구된다.

Fig. 9.

Distribution of particle cluster.

../../Resources/kswe/32-3/images/SJBJB8_2016_v32n3_243_f009.jpg
Table 3.

Results of Lagrangian paticle tracking simulation

../../Resources/kswe/32-3/images/SJBJB8_2016_v32n3_243_t003.jpg

3.4. 다기능보의 운영조건을 고려한 시나리오 모델링

칠곡보 상류 3.0 km 지점에서 유류오염사고가 발생한 것으로 가정하고, 평수량 조건에서 유류오염물질 입자의 거동을 모델링한 결과를 Fig. 10에 제시하였다. 이때 수평확산계수는 GPS 부자 실험결과로부터 산출한 값인 0.096 m2/sec를 적용하였다. 시나리오 A-Q185의 경우에는 입자가 약 27시간 후에 칠곡보를 통과하여 강정고령보 상류로 유입되며, 시나리오 B-Q185의 경우에는 칠곡보를 통한 방류가 약 34시간 후에 일어나게 되어(Table 4) 입자는 약 58시간 후에 강정고령보 상류에 유입되고, 확산 범위는 증가하는 것으로 나타났다.

Fig. 10.

Particle trajectories of connected weir operation scenario with Q185 flow condition.

../../Resources/kswe/32-3/images/SJBJB8_2016_v32n3_243_f010.jpg
Table 4.

Results of scenario modeling

../../Resources/kswe/32-3/images/SJBJB8_2016_v32n3_243_t004.jpg

각각의 유황조건에서 보 연계운영 시나리오별 입자의 도달시간과 이송속도는 Table 4와 같이 나타났다. 이와 같이 다기능보의 수위조절에 따른 방류 지연을 통하여 본류구간의 유속 감소와 오염물질 이송의 지체를 예상할 수 있어 유류오염물질이 하류 보에 유입되기 전에 오일펜스 설치, 회수 등의 유류방제 작업 시간을 확보할 수 있을 것으로 판단된다. 또한 수치모형의 수평 확산범위 예측정보는 오일펜스의 효과를 높이기 위한 설치방법을 결정하는데 과학적 근거로 활용이 가능하다.

4. Conclusion

유류오염물질 유출시 효율적인 방제를 위해서는 수표면흐름에 의한 이송·확산 특성 파악이 중요하므로 본 연구에서는 GPS 부자 실험과 라그랑지안 입자추적기법을 적용하여 유류오염물질의 거동해석 모델링을 수행하였다.

EFDC 모형의 하천 수리특성 재현성 검증을 위해 구미와 왜관 수위관측소의 관측자료와 비교한 결과, 유황에 따른 수위와 유속 변동을 적절히 모의하고 있는 것으로 나타났다. 수층의 수가 증가함에 따라 입자의 이송속도가 빨라지는 것으로 나타났으나, 수층의 수가 5개 이상의 경우에는 이송속도의 차이가 거의 없기 때문에 수질오염사고대응시스템의 계산시간 단축을 위해서는 최소의 수층을 이용하는것이 바람직한 것으로 판단된다. 바람에 의한 입자의 이송속도와 경로에 미치는 영향은 2차원 모형보다 3차원 모형에서 민감하게 나타났으며, 바람의 영향이 큰 상황에서는 수직적으로 적절한 해상도를 가진 3차원 모형을 적용하거나, 2차원 모형을 적용할 경우에는 바람에 의한 표면 이송효과를 반영할 수 있는 라그랑지안 입자추적기법 계산 모듈의 개선이 요구된다. 수평확산계수를 0.005 ∼ 0.5 m2/sec범위에서 단계적으로 증가시켜 입자 확산에 대한 민감도분석 결과, 수평확산계수가 증가함에 따라 각 입자의 평균거리는 대수적로 증가하지만, 입자들의 확산 면적은 선형적으로 증가하였다. 칠곡보 한천 합류부에서의 GPS 부자 실험결과를 이용한 수평확산계수는 0.096 m2/sec로 산정되었으며, 이 값을 라그랑지안 입자추적기법에 적용하여 모의한 결과 이송거리의 상대오차는 평균 16.6 %, 각 입자의 평균거리에 대한 상대오차는 평균 10.0 %로 나타나 입자의 이송과 확산 모의에 적합한 것으로 판단된다. 그러나 하천의 종·횡방향 확산 분포에는 다소 차이가 있었다. 보 구간에서 유류오염사고 시 가동보의 방류를 일시적으로 중단하는 시나리오의 경우 입자의 이송속도 감소로 오일펜스 설치 등의 방제시간 확보가 가능한 것으로 모의되었다.

본 연구를 통하여 GPS 부자를 활용한 표면 입자추적 실험 결과가 라그랑지안 입자추적 모델링 검증에 활용 가능함을 확인하였고, 가동보 운영 조절을 통해 오염물질 이송 제어 시나리오 예측이 가능함을 보였다. 본 연구의 결과는 향후 지속적인 모델 예측 정확도 향상을 위한 실험과 모델 검증에 활용될 수 있을 것으로 기대된다.

References

1 
(2006), Improvement of Pollutant Drift Forecast system Applied to the Prestige Oil Spills in Galicia Coast (NW of Spain): Development of an Operational System, Marine Pollution Bulletin, Carracedo, P., Torres-Lóez, S., Barreiro, M., Montero, P., Balseiro, C. F., Penabad, E., Leitao, P. C., and Pérez-Muñuzuri, V. (2006). Improvement of Pollutant Drift Forecast system Applied to the Prestige Oil Spills in Galicia Coast (NW of Spain): Development of an Operational System, Marine Pollution Bulletin, 53, pp. 350-360., Vol. 53, pp. 350-360DOI
2 
(1993), The Combination of Random Walk Method and a Hydrodynamic Model for the Simulation of Dispersion of Dissolved Matter in Water, Transactions on Ecology and the Environment, Dunsbergen, D. W. and Stalling, G. S. (1993). The Combination of Random Walk Method and a Hydrodynamic Model for the Simulation of Dispersion of Dissolved Matter in Water, Transactions on Ecology and the Environment, 2, pp. 235-242., Vol. 2, pp. 235-242Google Search
3 
(2009), Implementation of a Lagrangian Particle Tracking Sub-Model for the Environmental Fluid Dynamics Code, Dynamic Solutions-International. (2009). Implementation of a Lagrangian Particle Tracking Sub-Model for the Environmental Fluid Dynamics Code, pp. 475-482., pp. 475-482Google Search
4 
(2008), Including Drag and Inertia in Drifter Modelling, Environmental Modeling & Software, Furnans, J., Imberger, J., and Hodges, B. R. (2008). Including Drag and Inertia in Drifter Modelling, Environmental Modeling & Software, 23, pp. 714-728., Vol. 23, pp. 714-728DOI
5 
(2007), Hydrodynamics and Water Quality: Modeling Rivers, Lakes, and Estuaries, Ji, Z. G. (2007). Hydrodynamics and Water Quality: Modeling Rivers, Lakes, and Estuaries, pp. 1-670., pp. 1-670Google Search
6 
(2009), Measurement of Velocity and Discharge in Natural Stream with the Electronic Float System, Journal of the Korean Society of Civil Engineers, Lee, C. J., Kim, W., Kim, C. Y., and Kim, D. G. (2009). Measurement of Velocity and Discharge in Natural Stream with the Electronic Float System, Journal of the Korean Society of Civil Engineers, 29(4B), pp. 329-337. [Korean Literature], Vol. 29, No. 4B, pp. 329-337Google Search
7 
(2008), The Greenland Sea tracer experiment 1996-2002: Horizontal mixing and Transport of Greenland Sea Intermediate Water, Progress in Oceanography, Messias, M. J., Watson, A. J., Johannessen, T., Oliver, K. I. C., Olsson, K. A., Fogelqvist. E., Olafsson, J., Bacon, S., Balle, J., Bergman, N., Budéus, G., Danielsen, M., Gascard, J. C., Jeansson, E., Olafsdottir, S. R., Simonsen, K., Tanhua, T., Van Scoy, K., and Ledwell, J. R. (2008). The Greenland Sea tracer experiment 1996-2002: Horizontal mixing and Transport of Greenland Sea Intermediate Water, Progress in Oceanography, 78, pp. 85-105., Vol. 78, pp. 85-105DOI
8 
(2013), Response Manual for Large Scale Water Quality Pollution Accident, Ministry of Environment (MOE). (2013). Response Manual for Large Scale Water Quality Pollution Accident, Ministry of Environment. [Korean Literature]Google Search
9 
(2013a), Korea Annual Hydrological Report, Ministry of Land, Infrastructure and Transport Environment (MOLIT). (2013a). Korea Annual Hydrological Report, Ministry of Land, Infrastructure and Transport Environment. [Korean Literature]Google Search
10 
(2013b), Water Resources Management Information System (WAMIS), Ministry of Land, Infrastructure and Transport Environment (MOLIT). (2013b). Water Resources Management Information System (WAMIS), http://www.wamis.go.kr/ (accessed 2015).Google Search
11 
(2012), Development of Web Based Realtime Water Pollution Accident Response Management System in Rivers, Journal of Korean Society of Hazard Mitigation, Mun, H. Y., Jang, J. H., Ryu, I. G., and Kim, J. Y. (2012). Development of Web Based Realtime Water Pollution Accident Response Management System in Rivers, Journal of Korean Society of Hazard Mitigation, 12(2), pp. 145-150. [Korean Literature], Vol. 12, No. 2, pp. 145-150DOI
12 
(2013), Transport and scenario modeling of oil spill in the Nakdong River, Mun, H. Y., Kang, T. G., Lee, S. W., Na, E. H., Lee, H., Park, S. Y., Jang, J. H., and Jong, J. H. (2013). Transport and scenario modeling of oil spill in the Nakdong River, NIER-RP2013-299, National Institute of Environmental Research, pp. 1-30. [Korean Literature], pp. 1-30Google Search
13 
(2008), Multidimensional Analysis on Material Transport in Lake Paldang (II), National Institute of Environmental Research (NIER). (2008) Multidimensional Analysis on Material Transport in Lake Paldang (II), National Institute of Environmental Research, pp. 1-130. [Korean Literature], pp. 1-130Google Search
14 
(2010), Construction of Integrated Water Quality Management System, National Institute of Environmental Research (NIER). (2010) Construction of Integrated Water Quality Management System, National Institute of Environmental Research, pp. 1-182. [Korean Literature], pp. 1-182Google Search
15 
(2013), Development and Validation of Simulation Technique of Advection-Dispersion of Water Pollutants Using Field Measurement (III), National Institute of Environmental Research (NIER). (2013) Development and Validation of Simulation Technique of Advection-Dispersion of Water Pollutants Using Field Measurement (III), National Institute of Environmental Research, pp. 1-323. [Korean Literature], pp. 1-323Google Search
16 
(2004), Development and Application of Tracer Tests for 2-D Mixing Analysis in Natural Streams, Seo, I, W., Baek, K. O., Jeon, T. M., Lee, D. H., and Jung, S. H. (2004). Development and Application of Tracer Tests for 2-D Mixing Analysis in Natural Streams, SWRRC Techinal Report TR 2004-02, Sustainable Water Resources Research Center, pp. 1-63. [Korean Literature], pp. 1-63Google Search
17 
(2013), Mixing Analysis of Floating Pollutant Using Lagrangian Particle Tracking Model, Journal of Korean Society on Water Environment, Seo, I. W., Park, I. H., Kim, Y. D., Han, E. J., Choo, M. H., and Mun, H. S. (2013). Mixing Analysis of Floating Pollutant Using Lagrangian Particle Tracking Model, Journal of Korean Society on Water Environment, 29(3), pp. 393-399. [Korean Literature], Vol. 29, No. 3, pp. 393-399Google Search
18 
(2008), Application of Two- and Threedimensional Computational Fluid Dynamics Models to Complex Ecological Stream Flows, Journal of Hydrology, Shen, Y. and Diplas, P. (2008). Application of Two- and Threedimensional Computational Fluid Dynamics Models to Complex Ecological Stream Flows, Journal of Hydrology, 348, pp. 195-214., Vol. 348, pp. 195-214DOI
19 
(2010), Short-term Dispersion and Turbulence in a Complex-shaped Embayment, Continental Shelf Research, Stevens, C. (2010). Short-term Dispersion and Turbulence in a Complex-shaped Embayment, Continental Shelf Research, 30, pp. 393-402., Vol. 30, pp. 393-402DOI
20 
, The Use of Position-Tracking Drifters in Riverine Environments, Swick, W. and MacMahan, J. (2009). The Use of Position-Tracking Drifters in Riverine Environments, OCEANS 2009, MTS/IEEE Biloxi-Marine Technology for Our Future: Global and Local Challenges, Biloxi, pp. 1-10., pp. 1-10Google Search
21 
(2007), The Environmental Fluid Dynamics Code User Manual, Tetra Tech, Inc. (2007). The Environmental Fluid Dynamics Code User Manual, pp. 1-231., pp. 1-231Google Search
22 
(2008), Three-dimensional Numerical Simulation for Transport of Oil Spills in Seas, Ocean Engineering, Wang, S. D., Shen, Y. M., Guo, Y. K., and Tang, J. (2008). Three-dimensional Numerical Simulation for Transport of Oil Spills in Seas, Ocean Engineering, 35, pp. 503-510., Vol. 35, pp. 503-510DOI
23 
(2009), Study on Improvement of Oil Spill Prediction Using Satellite Data and Oil-spill Model: Hebei Spirit Oil Spill, Korean Journal of Remote Sensing, Yang, C. S., Kim, D. Y., and Oh J. H. (2009). Study on Improvement of Oil Spill Prediction Using Satellite Data and Oil-spill Model: Hebei Spirit Oil Spill, Korean Journal of Remote Sensing, 25(5), pp. 435-444. [Korean Literature], Vol. 25, No. 5, pp. 435-444Google Search