전환돈
(Hwandon Jun)
*
이지호
(Jiho Lee)
*
김수전
(Soojun Kim)
**†
Copyright © 2016, Korean Society on Water Environment
Key words
Artificial neural network, Automatic weather station, Mud-debris flow, Radar rainfall
1. Introduction
토석류란 유역 내 다수의 산사태로 발생한 토석 및 유목이 빗물과 함께 섞여 계곡하류로 빠르게 이동하는 현상이다. 따라서 대규모 토석류의 발생은 비단
인명 및 재산피해 뿐만 아니라 유역의 물 관리에 심각한 영향을 미칠 수 있다. 다량의 토사가 유출됨에 따라 저수지 퇴사의 문제는 가용수자원의 감소를
의미하며 이외에도 상류하천의 하상 상승, 하천수질 및 생태학적 변화, 하류하상의 변화, 준설토 처리 등과 같은 문제점을 유발한다(Ahn et al., 2006). 특히 최근에는 토지이용의 고도화라는 명목하에 산지의 무분별한 개발을 통한 산림면적의 감소는 1980년대 산사태 발생면적 약 231 ha에서 2000년대
약 713 ha로 약 3배 이상 증가하였다(KFRI, 2014). 그리고 2000년에 산불이 발생한 강원도 고성(토사량 약 14 ton/ha)에서는 일반 숲(1.6 ton/ha)에 비하여 9배나 많은 양이 발생한
것으로 보고되고 있다(KFRI, 2014). 이와 같은 토석류의 발생에 가장 큰 영향을 미치는 인자는 강우량이다. 지구온난화에 따른 기후변화는 과거보다 큰 강우량 또는 강우강도를 가진 극한사상을
빈번하게 유발시킬 것으로 예상된다. 따라서 앞으로는 토석류에 대한 영향으로 유역에서 물 관리에 더욱 큰 어려움이 발생할 것임은 자명하다. 따라서 토석류가
발생할 것으로 예상되는 지역을 중점적으로 관리하는 방안이 필요하다. 이러한 개념의 연장선상에서 토석류를 발생시키는 강우량을 정확히 추정하는 것은 유역
물 관리의 첫걸음이다. 토석류를 유발하는 강우와 관련하여 다양한 연구가 국내외에서 진행되어 왔다.
Liao et al. (2011)은 미국지질조사국(USGS)의 산사태 예측 모형인 TRIGRS (Transient Rainfall Infiltration and Grid-based
Regional Slope-stability analysis)를 이용하여 고해상도 DEM (Digital Elevation Model)과 1시간 단위의
시간해상도와 4km의 공간해상도를 갖는 레이더 영상을 입력자료로 산사태 예경보에 대한 연구를 수행하여 미국 남동부 지역을 대상으로 TRIGRS의 적용성을
확인한 바 있다. Ren et al. (2011)은 토석류 유발강우를 모니터링하고 예측할 수 있는 SEGMENT (Scalable and Extensible Geofluid Model of the
EnvironmeNT) 모형을 통하여 미래 지구 온난화가 토석류 발생에 미치는 영향을 분석하고자 기후모형 자료인 Community Climate System
Model, version 3 (CCSM3, A1b 시나리오)를 이용하여 미국 캘리포니아 남부 지역을 대상으로 분석하였다. Remaitre et al. (2013)은 토석류 유발을 일으키는 강우에 대하여 다양한 시간영역(연강우, 월강우, 일강우, 시간강우)에서 분석하였으며 산사태 및 토석류 등의 발생과 어떠한
관련이 있는지에 대하여 프랑스와 오스트리아 지역을 대상으로 분석하였다. Reid et al. (2008) 필드 센서 기반의 실시간 산사태 모니터링 시스템을 개발하여 slow-moving landslides에 대한 적용성이 우수함을 제시한 바 있다.
국내에서 Kim (2008)은 재현빈도 2년-5년의 강우에서도 토석류가 발생할 수 있으며 그 규모는 동일 유역이라도 강우강도 및 누적강우 특성에 따라 달라질 수 있음을 제시하였고
Yune et al. (2010)은 강원도 지역의 사면재해를 유발하는 강우의 특성 분석을 통하여 사면재해를 유발하는 강우는 재해발생일의 강우보다 선행강우가 더욱 중요한 역할을 함을
제시하였다. Yoo and Kim (2010)은 산사태에 의한 토사의 발생에는 강우사상 전반에 전체적인 강우강도와 강우의 시간적 군집상태가 결정적인 영향을 미침을 제시하였고 Kim et al. (2011)은 경남지역 산사태 발생지의 강우 및 지형특성을 분석하여 산사태를 유발하는 한계강우량을 추정하였고 Lee et al. (2012)은 산사태 발생 강우량 임계치 1일 202 mm 및 3일 누적 449 mm로 적용하여 강원도 인제 덕적리 지역의 산사태 취약성도 및 미래 위험도를
작성 및 검증하였다. Ham and Hwang (2014)은 단시간 기록적인 폭우로 인한 산사태 및 복합호우로 인한 산사태 등을 모두 고려하기 위해서는 기존의 1일 강우량 기준은 다소 미흡한 점이 있으며
특히 호우양상이 복합호우 형태를 가지는 경우 연속강우량 기준으로 판단하는 것이 보다 효과임을 제시하였다. Oh and Park (2014)은 강우를 활용한 산사태 위험예측은 강우관측소의 밀집도에 따라 신뢰성이 크게 좌우되며, 강우를 활용한 위험성 분석은 산사태 발생 시간의 예측에 더욱
큰 의미가 있음을 제시하였다. Son et al. (2015)은 초생대를 이용하여 산지유역의 토사유출을 저감하기 위한 방법론을 연구하였다.
위와 같이 강우가 토석류의 발생에 미치는 영향에 대한 연구는 국내외에서 지속적으로 수행되어 왔다. 하지만 우리나라의 경우 토석 유발강우에 대한 다양한
연구가 시도되었지만 대부분의 연구는 산사태의 발생과 강우량의 상관관계 또는 토사유출량의 추정(Park and Kim, 2006)에 대한 분석에 초점이 맞추어져 왔었다. 특히 최근에는 국지성 집중호우의 빈번한 발생으로 인하여 기상관측소와 강우관측소로부터 획득된 강우자료는 지역의
강우특성을 대표하는 데는 한계가 있는 것이 사실이다. 강우의 공간분포를 모사하는데 우수한 성능을 보이는 레이더 영상을 산사태 예측을 위하여 적용하여
실험분석한 사례(Choi et al., 2013)도 있기는 하지만 해외에서와 같이 첨단영상자료를 적극적으로 토석류 연구와 실무에 활용하는 것이 필요하다. 일례로 미국에서는 레이더 영상과 지점강우관측소의
강우량을 함께 활용하여 산사태 예경보에 활용(NOAA and USGS, 2005)하고 있으며 EU에서는 위성영상 및 기후모형(GCM)의 모의자료를 통하여 토석류의 발생을 예측(EU, 2011)하고 있기도 하다. 따라서 토석류의 발생을 예측하기 위하여 첨단 장비를 적극 활용한다면 지점강우관측망의 낮은 해상도로 인하여 강우관측에 큰 편차가
발생하는 문제를 개선할 수 있을 것이다.
본 연구에서는 토석류 발생에 영향을 미치는 강우량의 추정을 위하여 토석류의 발생지점으로부터 가장 가까운 자동기상관측관측소(Automatic Weather
Station, AWS)에서 측정한 강우량을 이용하는 기존 연구의 문제점을 개선하고자 강우의 시공간적 분해능이 우수한 레이더 강우의 적용성을 검토하고자
하였다. 기존 물 관리 분야에서 레이더 강우의 연구가 유역의 면적평균강우량을 산정하기 위한 연구였다면 본 연구는 특정 미계측 지점에서 토석류의 유발
강우를 보다 정확하게 예측하기 위한 방법론에 중점을 두고자 한다. 따라서 토석류 유발강우를 추정하기 위한 기존방법론과 함께 레이더 강우를 활용하는
방법을 비교하고 실제 토석류의 발생지역에 적용하여 비교 평가하고자 한다. 이를 위하여 2장에서는 레이더 강우의 활용을 위한 방법론을 소개하고 3장에서는
각 방법을 비교 분석하는 방법론과 실제 대상적역에 적용한 결과를 토의하며 4장에서는 연구에 대한 결론을 제시하였다.
2. Basic Theory and Methods
2.1. 레이더 강우와 보정기법
레이더는 일정 기간 동안(5-10분) 안테나를 관측 전략에 따라 움직이며 대기를 스캔하여 강우의 시공간 분포를 빠르게 관측한다. 레이더 관측방식에는
다양한 방법들이 있지만 가장 일반적인 방법은 3차원 볼륨관측으로 그 결과 원시 볼륨 자료가 생성된다. 이렇게 생성된 레이더 강우의 장점은 강우의 공간적
정보 즉, 공간적 변동성을 알 수 있다는 점이며, 이러한 강우의 공간적 정보는 현재 보편적으로 이용되고 있는 지상 강우관측이 지니고 있는 단점이기도
하다. 그러나 반대로 레이데 강우의 단점은 지상강우관측의 장점인 지점에서의 정확한 정량적 강우 즉, 강우량을 산정하지 못한다는 점이다. 그러므로 최선의
해결책은 기존에 설치되어 있는 지상강우 관측망과 강우레이더 관측망을 조합하여 지상강우레이더에 의해 보정된 레이더 강우 추정치(gauge adjusted
radar rainfall estimate)를 이용하는 것이다. 지상강우에 의한 보정(gauge adjustment)은 레이더 강우 추정치(radar
rainfall estimate)의 정확성을 향상시키기 위해 널리 이용되고 있는 방법이다(Kim et al., 2007). 이를 위하여 평균오차를 줄이기 위한 방법이 적용될 수 있으며, 즉 주어진 기간 동안 지점관측소의 위치에서 지점강우량의 평균과 레이더 추정 강우량의
평균을 줄이기 위한 방법이다. 이를 위한 대표적인 방법으로 레이더 강우의 보정 방법은 G/R(Gauge to Radar)기법 (Barbosa, 1994), Kalman-Filter 보정기법(Ahnert et al., 1986), 신경망에 의한 보정기법(Liu and Chandrasekar, 2001) 등이 있다. 본 연구에서는 해당지점의 지점강우량과 레이더 강우의 관계 뿐만 아니라 타지점의 강우정보까지 유용하게 활용할 수 있어 확장성이 우수하다고
판단되는 신경망에 의한 보정기법을 이용하였다.
2.2. 퍼셉트론에 의한 신경망 기법
퍼셉트론(perceptron)은 미국의 Rosenblatt (1958)가 패턴을 분류하기 위하여 제안했던 신경망 모형으로 하나의 뉴런, 즉 처리소자를 의미하며 후에 다층퍼셉트론(multi-layer perceptron)으로
발전하였다. 다층퍼셉트론은 여러 개의 처리소자를 각 계층에 모형을 구성한 것으로서 Fig. 1과 같이 입력자료를 받아들이는 입력층(input layer), 결과를 나타내는 출력층(output layer)으로 구성되며 두 개의 층 사이에는 중간층(hidden
layer)을 두어 각 패턴마다 필요한 정보를 학습시킬 수 있도록 한 것이다. 입력층은 대상패턴인 각 입력값을 입력층과 중간층간의 연결강도를 곱해서
중간층으로 전달한다. 중간층은 입력층으로부터 받은 값들을 모두 합하여 전달함수를 통하여 출력하게 되고 이 값들은 다시 중간층과 출력층 사이의 결합강도와
곱해 출력층으로 보내진다.
Fig. 1.
Structure of multi-layer neural perceptron.
오차역전파 알고리즘(error back propagation algorithm)은 다층퍼셉트론에서 입력패턴과 출력패턴에 대하여 오차를 줄여가는 과정,
즉 학습(learning)과정이다. 실제값과 계산값과의 차이를 역으로 진행시키면서 오차가 최소가 되도록 층과 층사이의 연결강도를 변화, 조절해 나가는
역방향처리(feedback)이다. 이러한 학습규칙은 결국 오차를 최소화하기 위한 규칙이므로 연결강도와 오차공간에서의 오차를 최소로 하여 연결강도를
구하는 최급강하법이 된다. 입력층, 중간층 그리고 출력층에서 각 연결강도의 계산은 다음과 같은 과정으로 진행된다. 신경망의 목적함수를 제곱오차라고
하는 경우, 이것은 출력층에서 출력되는 값 O와 실제값 Y와의 제곱오차의 합으로 표시되는 오차함수로 식 (1) 또는 식 (2)와 같이 표현할 수 있다(Kim et al., 2011).
여기서, p는 다층퍼셉트론의 패턴번호, Ypk를 p번째 입력 패턴에 대한 k번째 처리소자의 실측값, Opk를 p번째 입력 패턴에 대한 출력층의 k번째 처리소자의 출력값, Ep는 p에 대한 오차, Et는 모든 패턴에 대한 총오차이다.
오차함수 Et가 0에 접근할수록 더욱 적절한 신경망이 완성되는 것이며, 역전파 알고리즘에서는 이를 위하여 경사하강(gradient descent) 알고리즘을 이용한다.
경사하강 알고리즘은 오차함수의 최소화를 위하여 가장 널리 쓰이는 방법으로써 오차 함수의 경사(gradient)에 비례하여 변수를 조절해 나가게 된다.
2.3. 모형의 구성 및 평가 방법론
기상청은 전국 95개소의 종관기상관측장비와 기상관측소가 없는 곳에 설치되어 무인으로 운영되는 477개소의 자동기상관측장비(AWS)를 이용하여 지상기상관측업무를
수행하고 있다(기상청, http://web.kma.go.kr/). 따라서 유인 기상관측소 보다는 무인 AWS의 밀도가 더욱 높기 때문에 토석류의 유발강우의 연구를 위하여 AWS가 주로 활용되어 왔다. 하지만
토석류의 발생(또는 예상되는) 지점에서 가장 가까이 위치하고 있는 AWS를 선택하여 강우량을 취득할 경우 지점간 거리에 비례하여 추정 강우량의 정확성은
떨어진다고 할 수 있다. 특히 우리나라의 경우 약 70% 이상이 산간지역으로 강우의 공간적 편차가 크다. 더욱이 우리나라의 경우 긴시간 동안 넓은
지역에 강우가 발생하는 장마 보다는 짧은 시간에 좁은 지역을 중심으로 강우를 유발하는 집중호우의 특성이 강화되고 있기 때문에 기존 AWS를 활용하는
방법으로는 미계측지점에서 정확하게 강우량을 추정하는데 한계가 있다. 따라서 본 연구에서는 AWS를 활용하는 기존 방법론과 더불어 레이더 강우를 활용하는
방법론을 구성하여 그 적용성을 비교 평가하고자 하였다. 이를 위하여 AWS만을 활용하는 방법(Model I), 레이더 강우를 활용하는 방법(Model
II), 레이더 강우와 AWS를 동시에 활용하는 방법(Model III)를 비교‧평가하고자 하였으며, 각 모델들의 평가 방법론을 도식적으로 표현하면
Fig. 2와 같다. 하지만 토석류 발생지점의 경우, 강우의 관측기록이 없는 미계측 지점이기 때문에 각 모형의 결과를 직접적으로 평가할 수 있는 방법이 부재하다.
본 연구에서는 이러한 문제를 극복하기 위하여 AWS 보다 관측소의 밀도가 낮은 유인 기상관측소 지점(KMA 지점)을 토석류의 발생 지점으로 가정하고
각 모형을 평가하는 방법론을 활용하였다. 따라서 각 모형을 KMA 지점을 대상으로 적용하여 강우량을 모의한 후 실제 KMA 지점의 강우량과 비교함으로써
가장 우수한 방법론이 무엇인지 평가하고자 하였다.
Fig. 2.
Schematic methods for the assessment of the models.
3. Application and Results
3.1. 대상지역에 대한 자료의 수집
수도권 지역(서울, 인천, 경기)을 대상으로 기상관측소 지점 및 AWS 지점의 자료를 수집하였다. 수도권 내에는 2013년 12월을 기준으로 유인
기상관측소 9개소(동두천, 파주, 백령도, 서울, 인천, 수원, 강화, 양평, 이천)와 약 106개의 AWS가 Fig. 3과 같이 위치하고 있다. 우선적으로 본 연구에서는 앞서 구성한 3개의 모형에 대한 평가를 위하여 기상관측소 9개 지점을 토석류의 발생지점으로 가정(미계측
지점)하고 기상관측소와 가장 가까운 AWS 관측소를 ArcMap의 tools을 이용하여 추출하였으며 그 결과는 Table 1과 같다. 서울관측소(KMA code 108)의 경우 약 2.2 km의 직선 거리에 코드번호 412의 AWS가 위치하여 있으며, 이천관측소(KMA
code 204)의 경우 약 13 km의 거리에 코드번호 545의 AWS가 위치하여, 관측소별로 최대 6배 이상의 거리차가 있는 것으로 분석되었다.
Fig. 3.
Spatial locations of KMA stations and AWS sites.
Table 1.
KMA stations and the nearest AWS sites
위의 지점관측 자료와 더불어 수도권 지역을 가장 잘 대표하고 있다고 판단되는 관악산 기상레이더(관측반경 240 km, 공간해상도 1 km, 시간해상도
10분)를 선정하여 2010년부터 2012년 까지 주요 강우사상 4개에 대한 레이더 강우 자료도 수집(Fig. 4 참고)하였다. 따라서 Table 2와 같이 해당 이벤트기간에 대한 기상관측소(1시간 단위), AWS(1시간 단위), 레이더(10분 단위) 자료를 수집하였다. 여기에서 레이더 자료는
10분 자료이지만 1시간 누적자료로 변환하여 적용하였다.
Fig. 4.
Raw radar images of the four rainfall events.
Table 2.
Information of collected rainfall data in each event
3.2. 신경망의 적용 및 결과
본 연구에서는 토석류 발생지점의 강우량을 추정하기 위하여 3개의 모형을 구성하였다. 따라서 추정지점(KMA 지점으로 가정)과 가장 가까운 거리의 AWS
지점의 강우정보를 그대로 활용하는 Model I을 제외한 Model II와 Model III의 경우는 레이더 자료를 활용하기 때문에 원시 이미지 정보를
강우량으로 변환하기 위한 방법론이 필요하다. 대상지역내 관악산 레이더와 AWS와의 관계를 이용하여 KMA 지점의 강우량을 추정하기 위한 방법으로 다층
신경망을 적용하였다.
입력자료로 레이더 강우만을 활용하는 Model II의 입력층은 지체시간을 고려한 3개의 레이더 강우 Radark-2, Radark-1, Radark로 구성하였다. 그리고 AWS와 레이더 강우를 함께 활용하는 Model III는 레이더 강우 Radark-2, Radark-1, Radark와 더불어 KMA 지점에서 가장 가까운 AWS의 계열을 지체시간을 고려하여 AWSk-2, AWSk-1, AWSk로 구성하였다. Kim (1993)은 신경망의 중간층 처리소자는 입력층의 개수가 D개일 때 2D 또는 2D+1개로 구성할 것을 제안한 바 있다. 본 연구에서는 Kim (1993)의 연구를 바탕으로 3개의 입력자료를 활용하는 Model II는 7개, 6개의 입력자료를 활용하는 Model III는 13개로 중간층을 구성하였다.
그리고 출력층은 대상지점에 대한 강우량만을 추정하는 것이기 때문에 1개로 구성하여 다층 신경망 모형을 구축하였다. 그 구성을 요약하면 Table 3과 같다.
Table 3.
Structure of neural network models
앞서 구축한 모형들을 이용하여 대상지역에 발생한 4개의 강우이벤트(Table 2와 Fig. 4 참고)를 대상으로 적용하였다. 각 모형별로 KMA 기상관측소 지점에 대하여 강우량을 추정하였으며, 그 결과를 누적강우량으로 변환하여 Fig. 5와 같이 도시하였다(총 9개 관측소 중 서울과 인천 기상관측소 지점만을 표시함). 모형별로 약간의 차이는 있지만 전체적으로 모든 모형이 KMA의 관측강우량의
패턴을 잘 모의하고 있는 것으로 나타났다. 하지만 서울관측소의 경우 Event 4에서 AWS 강우가 과소추정되었으며, 인천관측소의 경우는 Event
1에서 AWS 강우가 최대 2.5배 이상 강우를 과대추정하였다. 레이더는 서울지점의 강우를 과소 추정(Event 2)하기도 하였지만 AWS 보다는
우수한 결과를 보이는 것으로 판단되었다.
Fig. 5.
Comparison of cumulative rainfall depths from the results of each model.
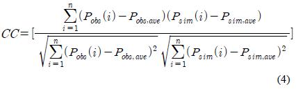
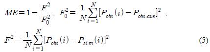
각 모형에 의하여 모의된 강우량과 관측된 강우량(KMA 관측소)의 적합도를 평가하기 위해 RMSE (Root Mean Square Error), 상관계수(Correlation
Coefficient, CC), 모형 효율성 계수(Model Efficiency coefficient, ME, Nash and Sutcliffe, 1970)는 각각 식 (3)-(5)와 같이 표현된다.
여기에서, n은 자료수, Pobs는 관측 강우량, Psim는 모의 강우량, Pobs (i) 는 시간 i에서 관측 강우량, Psim (i) 는 시간 i에 대한 모의 강우량, Pobs, ave 및 Psim, ave는 각각 n개 자료에 대한 Pobs 및 Psim의 평균이다.
RMSE의 경우 작게 산정될수록 모형의 결과가 우수하며, CC의 값은 0∼1의 범위를 가지는데 1에 가까운 값을 가지는 경우 상관성이 우수하다고 판정한다.
그리고 ME의 경우 -1∼1의 값을 가지며 0 보다 클 경우 모형의 효율성이 있다고 판정한다. 위의 평가함수들을 통하여 각 모형에서 추정된 강우량과
KMA 지점의 관측 강우량을 평가한 결과는 Table 4와 같다. 각 관측소에서 3개의 모형에 대하여 적용한 평가 결과가 가장 우수할 경우 음영과 볼드체, 두 번째로 우수할 경우 볼드체로만 표시하였다.
그 결과 레이더 강우와 가장 인접한 AWS의 관측 강우를 함께 활용한 Model III이 전체적으로 가장 우수하게 강우량을 추정(RMSE 0.62-8.17,
CC 0.67-0.96, ME 0.53-0.85)하는 것으로 나타났다. 그리고 레이더 강우를 신경망을 이용하여 보정한 Model II가 비교적 우수한
결과를 나타내는 것으로 나타났으며, 인접한 지점의 AWS 관측 강우량만을 활용하는 Model I(RMSE 0.59-12.37, CC 0.50-0.96,
ME 0.34-0.76)의 경우 상대적으로 적용성이 떨어지는 것으로 나타났다.
Table 4.
Evaluation results of each model in each station
3.3. 우면산 토석류 발생 사례의 평가
2011년 7월 27일, 서울특별시 서초구 우면산 지역에 대규모 토석류가 발생하여 시민의 생명과 재산피해가 크게 발생한 바 있다. 본 연구에서는 앞서
구축한 모형들을 이용하여 레이더 강우와 AWS에 의한 토석류 발생지점의 강우량을 추정하고자 하였다. 따라서 토석류의 발생에 영향을 미친 강우사상을
추출하였다. 그리고 해당 기간에 우면산 전역에 토석류가 발생하였지만 레이더 강우의 공간해상도(1 km × 1 km)를 고려하여 4개의 토석류 발생지점을
대상으로 하였다. 따라서 Fig. 6과 같이 4개의 지점에서 가장 가까운 위치에 있는 AWS(Gage_401)의 1시간 시간간격의 강우자료를 수집하였다.
Fig. 6.
Damaged sites by mud-debris flows in Mt. Woomyun.
관악산 기상레이더에 의한 강우자료도 1시간 단위로 수집하였으며 강우의 발생시점인 2011년 7월 26일 14:00 (2011/7/26)부터 토석류의
발생시점인 2011년 7월 27일 08:45을 포함하도록 09:00 (2011/7/27)까지 대상으로 하였다. 관악산 레이더에 의하여 강우의 공간분포를
확인한 결과 7월 27일 06:00 이후 강우가 긴 띠를 형성하면서 우면산 지역을 중심으로 집중호우가 발생한 것이 확인되었다(Fig. 7 참고).
Fig. 7.
Raw radar images of the rainfall event for July 26-27, 2011.
앞서 가장 우수한 강우량 추정 결과를 보인 Model III을 이용하여 우면산 토석류 발생지점(#1, #2, #3, #4 지점)을 대상으로 시간강우량을
추정하였으며 그 결과는 Fig. 8과 같다. AWS 401 지점에 대한 누적강우량은 317.4 mm, 최대 강우강도는 63.3 mm/hr인 것으로 나타났다. 토석류 발생지점들은 AWS_401
지점으로부터 약 1-3 km 떨어져 있는 비교적 가까운 지점들임에도 불구하고 총강우량이 최소 295 mm(#4), 최대 336 mm (#2)로 약
40 mm 정도의 차이가 있었으며, 강우강도도 최소 64 mm/hr (#4), 최대 75 mm/hr (#2)로 약 11 mm/hr의 차이가 있었다.
따라서 가까운 위치에 있는 지역이다 하더라도 강우의 발생 편차는 상당히 클 수 있음을 확인하였다. 그리고 해당 강우사상을 무강우가 있었던 0:00을
기준으로 두 개의 강우사상으로 구분한다면 AWS에서는 0:00 이전에 많은 강우가 발생한 것으로 나타났지만 레이더를 함께 이용(Model III)하여
모의한 결과에서는 0:00 이전에는 AWS 보다 적은 강우량을, 0:00 이후에는 AWS 보다 더욱 많은 강우량이 더욱 강하게 집중적으로 발생하였던
것으로 추정되었다. 따라서 토석류 발생지점의 강우량의 추정을 위하여 가장 인접한 AWS의 관측 강우량을 이용하기 보다는 레이더 강우량을 함께 이용한다면
강우의 발생 특성을 시공간적으로 더욱 정확하게 추정할 수 있을 것으로 판단되었다.
Fig. 8.
Estimated rainfall depth in the damaged sites of Mt. Woomyun.
4. Conclusion
본 연구에서는 토석류의 발생에 가장 큰 영향을 미치는 강우량을 정확하게 추정하기 위한 방법론을 제안하고자 하였다. 이를 위하여 토석류 발생지점으로
부터 가장 가까이 위치하고 있는 자동기상관측소(AWS)의 강우량 자료를 그대로 활용하는 기존 방법을 Model I로 구성하고, 레이더 강우를 활용하여
신경망으로 보정하는 방법을 Mdoel II로, Model I과 Model II를 통합하는 방법인 AWS와 레이더 강우를 함께 활용하여 신경망으로 보정하는
방법 Model III을 구성하였다. 유인 기상관측소로서 강우의 품질이 관리되고 있는 기상청관측소(KMA station)를 토석류 발생지점으로 가정하여
수도권 지역을 대상으로 Model I, II, III를 평가하였다. 그 결과 Model III가 가장 우수한 결과를 도출하였으며, Model III를
이용하여 2011년 우면산 토석류의 강우량을 재현한 결과 토석류 발생지점과 가까운 위치에 AWS 자료를 활용했음에도 불구하고 추정 지점마다(본 연구에서는
4개 지점을 추정) 강우량의 편차는 상당히 크게 나타남을 확인하였다. 그리고 토석류 발생지점의 강우량을 추정할 경우 가장 인접한 AWS의 관측 강우량을
이용하기 보다는 레이더 강우량을 함께 이용한다면 강우의 발생 특성을 시공간적으로 더욱 정확하게 추정할 수 있을 것으로 판단되었다.
이와 같이 토석류 해석에 있어 레이더 강우를 적극 활용한다면 향후 토석류의 유발강우를 보다 정확히 예측하는데 훌륭히 기여할 수 있을 것으로 기대된다.
Acknowledgements
본 연구는 국토교통부/국토교통과학기술진흥원 건설기술연구사업의 연구비지원(13건설연구S04)에 의해 수행되었습니다.
References
(2006), An Efficient Management of Sediment Deposit for Reservoir Long-Term Operation
(1) - Reservoir Sediment Estimation, Journal of Korean Society on Water Environment,
Ahn, J. H., Jang, S. H., Choi, W. S., and Yoon, Y. N. (2006). An Efficient Management
of Sediment Deposit for Reservoir Long-Term Operation (1) - Reservoir Sediment Estimation,
Journal of Korean Society on Water Environment, 22(6), pp. 1088-1093., Vol. 22, No.
6, pp. 1088-1093

, Kalman Filter Estimation of Radar-rainfall Mean Field Bias, Ahnert, P. R., Krajewski,
W. F., and Johnson, E. R. (1986) Kalman Filter Estimation of Radar-rainfall Mean Field
Bias, 23rd Radar Meteorology Conference, American Meteorological Society, pp. 33-37.,
pp. 33-37

(1994), Brief Review of Radar-Raingauge Adjustment Techniques, Advances in Radar Hydrology,
Barbosa, S. (1994). Brief Review of Radar-Raingauge Adjustment Techniques, Advances
in Radar Hydrology, pp. 148-169., pp. 148-169

(2013), Evaluation of the Application of Radar Data for Local Landslide Warning, Journal
of Wetlands Research, Choi, Y. S., Choi, C. K., Kim, K. T., and Kim, J. H. (2013).
Evaluation of the Application of Radar Data for Local Landslide Warning, Journal of
Wetlands Research, 15(2), pp. 191-201., Vol. 15, No. 2, pp. 191-201

(2011), Work Package WP 4.1-Short-term Weather Forecasting for Shallow Landslide Prediction,
Safe Land Project., European Union (EU). (2011). Work Package WP 4.1-Short-term Weather
Forecasting for Shallow Landslide Prediction, Safe Land Project.

(2014), Review of Landslide Forecast Standard Suitability by Analysing Landslide-inducing
Rainfall, Journal of Korean Society of Hazard Mitigation, Ham, D. H. and Hwang, S.
H. (2014). Review of Landslide Forecast Standard Suitability by Analysing Landslide-inducing
Rainfall, Journal of Korean Society of Hazard Mitigation, 14(3), pp. 299-310., Vol.
14, No. 3, pp. 299-310

(2007), Combining Radar and Rain Gauge Rainfall Estimates for Flood Forecasting Using
Conditional Merging Method, Journal of The Korean Society of Civil Engineers, Kim,
B. S., Hong, J. B., Kim, H. S., and Choi, K. H. (2007). Combining Radar and Rain Gauge
Rainfall Estimates for Flood Forecasting Using Conditional Merging Method, Journal
of The Korean Society of Civil Engineers, 27(3B), pp. 255-265., Vol. 27, No. 3B, pp.
255-265

(1993), A Study on Hydrological Forecast of Stream Flow Using Neural Network, Kim,
J. H. (1993). A Study on Hydrological Forecast of Stream Flow Using Neural Network,
Doctor's Dissertation, Inha University.

(2011), Analysis on Rainfall and Geographical Characteristics of Landslides in Gyeongnam
Province, Journal of the Korea Society of Environmental Restoration Technology, Kim,
K. H., Jung, H. R., Park, J. H., and Ma, H. S. (2011). Analysis on Rainfall and Geographical
Characteristics of Landslides in Gyeongnam Province, Journal of the Korea Society
of Environmental Restoration Technology, 14(2), pp. 33-45., Vol. 14, No. 2, pp. 33-45

(2008), Characteristics of Basin Topography and Rainfall Triggering Debris Flow, Journal
of Korean Society of Civil Engineers, Kim, K. S. (2008). Characteristics of Basin
Topography and Rainfall Triggering Debris Flow, Journal of Korean Society of Civil
Engineers, 28(5C), pp. 263-271., Vol. 28, No. 5C, pp. 263-271

(2014), Knowing Landslides Right, Korea Forest Research Institute (KFRI). (2014).
Knowing Landslides Right, Korea Forest Research Institute.

(2012), Landslide Hazard Mapping and Verification Using Probability Rainfall and Artificial
Neural Networks, Journal of the Korean Association of Geographic Information Studies,
Lee, M. J., Lee, S. R., and Jeon, S. W. (2012). Landslide Hazard Mapping and Verification
Using Probability Rainfall and Artificial Neural Networks, Journal of the Korean Association
of Geographic Information Studies, 15(2), pp. 57-70., Vol. 15, No. 2, pp. 57-70

(2011), Evaluation of TRIGRS (Transient Rainfall Infiltration and Grid-based Regional
Slope-stability analysis)'s Predictive Skill for Hurricane-triggered Landslides: a
Case Study in Macon County, North Carolina, Natural Hazards, Liao, Z., Hong, Y., Kirschbaum,
D., Adler, F. R., Gourley, J. J., and Wooten, R. (2011). Evaluation of TRIGRS (Transient
Rainfall Infiltration and Grid-based Regional Slope-stability analysis)'s Predictive
Skill for Hurricane-triggered Landslides: a Case Study in Macon County, North Carolina,
Natural Hazards, 58, pp. 325-39., Vol. 58, pp. 325-39

(2001), An Adaptive Neural Network Scheme for Radar Rainfall Estimation from WSR-88D
Observations, Journal of Applied Meteorology, Liu, H., Chandrasekar, V., and Xu, G.
(2001). An Adaptive Neural Network Scheme for Radar Rainfall Estimation from WSR-88D
Observations, Journal of Applied Meteorology, 40(11), pp. 2038-2050., Vol. 40, No.
11, pp. 2038-2050

(1970), River Flow Forecasting through Conceptual Models. Part I-A: Discussion of
Principles, Journal of Hydrology, Nash, J. E. and Sutcliffe, J. V. (1970). River Flow
Forecasting through Conceptual Models. Part I-A: Discussion of Principles, Journal
of Hydrology, 10, pp. 283-290., Vol. 10, pp. 283-290

(2005), NOAA-USGS Debris-Flow Warning System-Final Report, National Oceanic and Atmospheric
Administration and United States Geological Survey (NOAA and USGS). (2005) NOAA-USGS
Debris-Flow Warning System-Final Report, National Oceanic and Atmospheric Administration
and United States Geological Survey.

(2014), Analysis of Landslide Triggering Rainfall Threshold for Prediction of Landslide
Occurrence, Journal of Korean Society of Hazard Mitigation, Oh, J. and Park, H. J.
(2014). Analysis of Landslide Triggering Rainfall Threshold for Prediction of Landslide
Occurrence, Journal of Korean Society of Hazard Mitigation, 14(2), pp. 115-129., Vol.
14, No. 2, pp. 115-129

(2006), Estimation of Soil Loss by Land Use in the Geum River Basin using RUSLE Model,
Journal of Korean Society on Water Environment, Park, J. and Kim, G. (2006) Estimation
of Soil Loss by Land Use in the Geum River Basin using RUSLE Model, Journal of Korean
Society on Water Environment, 22(4), pp. 619-625., Vol. 22, No. 4, pp. 619-625

(2008), Capturing Landslide Dynamics and Hydrologic Triggers Using Near-real-time
Monitoring, Landslides and Engineered Slopes, Reid, M. E., Baum, R. L., LaHusen, R.
G., and Ellis, W. L. (2008). Capturing Landslide Dynamics and Hydrologic Triggers
Using Near-real-time Monitoring, Landslides and Engineered Slopes, pp. 179-191., pp.
179-191

(2013), Rainfall Characteristics Associated to the Triggering of Fast- and Slow-moving
Landslides - A Comparison between the South French Alps and Lower Austria, Geophysical
Research Abstracts, Remaitre, A., Wallner, S., Promper, C., Glade, T., and Malet,
J. P. (2013). Rainfall Characteristics Associated to the Triggering of Fast- and Slow-moving
Landslides - A Comparison between the South French Alps and Lower Austria, Geophysical
Research Abstracts, 15, EGU2013-4711., Vol. 15

(2011), Predicting storm-triggered landslides, Bulletin of the American Meteorological
Society, Ren, D., Fu, R., Leslie, L. M., and Dickinson, R. E. (2011). Predicting storm-triggered
landslides, Bulletin of the American Meteorological Society, 92(2), pp. 129-139.,
Vol. 92, No. 2, pp. 129-139

(1958), The Perceptron : A Probabilistic Model for Information Storage and Organization
in the Brain, Psychological Review, Rosenblatt, F. (1958). The Perceptron : A Probabilistic
Model for Information Storage and Organization in the Brain, Psychological Review,
65, pp. 386-408., Vol. 65, pp. 386-408

(2015), Study on Sediment Runoff Reduction using Vegetative Filter Strips in a Mountainous
Watershed, Journal of Korean Society on Water Environment, Son, K., Kim, H., Lim K.
J., and Jung, Y. (2015) Study on Sediment Runoff Reduction using Vegetative Filter
Strips in a Mountainous Watershed, Journal of Korean Society on Water Environment,
31(4), pp. 407-417., Vol. 31, No. 4, pp. 407-417

(2010), Analysis on Characteristics of Sediment Produce by Landslide in a Basin -2.
Rainfall Eventbased Analysis-, Journal of Korean Society of Hazard Mitigation, Yoo,
C. and Kim, K. (2010). Analysis on Characteristics of Sediment Produce by Landslide
in a Basin -2. Rainfall Eventbased Analysis-, Journal of Korean Society of Hazard
Mitigation, 10(3), pp. 147-154., Vol. 10, No. 3, pp. 147-154

(2010), Analysis of Slope Hazard-Triggering Rainfall Characteristics in Gangwon Province
by Database Construction, Journal of the Korean Geotechnical Society, Yune, C. Y.,
Jun, K. J., Kim, K. S., Kim, G. H., and Lee, S. W. (2010). Analysis of Slope Hazard-Triggering
Rainfall Characteristics in Gangwon Province by Database Construction, Journal of
the Korean Geotechnical Society, 26(10), pp. 27-38., Vol. 26, No. 10, pp. 27-38
