The Journal of
the Korean Society on Water Environment

The Journal of
the Korean Society on Water Environment

Bimonthly
  • ISSN : 2289-0971 (Print)
  • ISSN : 2289-098X (Online)
  • KCI Accredited Journal

Editorial Office


  1. 경기대학교 생명과학과 (Department of Life Science, Kyonggi University)



Benthic macroinvertebrates, Community index, Habitat carrying capacity, Habitat heterogeneity, Mesohabitat, Probability distribution model, Sample size, Survey area

1. Introduction

저서성 대형무척추동물의 군집지수 값은 표본크기(조사면적 또는 채집횟수)에 따라 민감하게 반응하기 때문에(Duggan and Collier, 2002; Kong et al., 2015b; Vlek et al., 2006), 조사면적은 생태학적 분석에서 오류를 일으키는 가장 중요한 요인으로 작용할 수 있으며(Kim et al., 2013; Morin, 1997), 이에 따라 종 다양성 및 풍부도와 유사성은 물론 먹이망 구조에 대한 해석이 달라질 수 있다(Bagon et al., 1986; Cao et al., 2002).

특히 하도 내에서 패치(patch)를 이루고 있는 중서식처(mesohabitat)인 여울(riffle), 흐름(run), 소(pool), 수변(riparian)은 물흐름과 하상재질 등의 환경특성이 상이하기 때문에 중서식처 간에 종의 풍부도 및 조성이 다를 수 있다.

중서식처 규모에서의 저서성 대형무척추동물 군집에 관한 국외의 연구사례는 여울과 소에서의 우점 생물군과 섭식기능군(feeding fuzznctional group), 생체량 현존량 및 개체수 현존량의 차이를 비교한 것이 주를 이룬다(Brown and Brussock, 1991; Herbst et al., 2018; McCulloch, 1986).

국내에서는 Yoon et al. (1998)이 조사면적에 따른 출현종수와 종다양도의 변화, 출현종수와 개체수의 상관관계를 분석한 바 있으나 다양한 군집지수와의 관계에 대한 검토는 이루어지지 않았다. 이후 Kim et al. (2013)이 강원도의 한계천을 대상으로 조사면적에 따른 군집지수의 변화 경향을 분석한 바 있으며, Kong and Kim (2015a)은 경기도 가평천과 오산천의 여울에서 수학적 모형으로 종수-면적 관계를 분석하였고, Kong and Kim (2015b)은 오산천에서 와이블 모형으로 군집지수-면적 관계를 해석하였으나 이는 모두 여울을 중심으로 조사된 자료에 기반한 것이었다.

Kong et al. (2025)은 경기도 조종천의 본류와 지류에 위치한 4개 지점에서 여울, 흐름, 소, 수변을 대상으로 각각 10회씩 총 160개의 방형구 조사를 실시하였다. 이 조사 결과를 바탕으로 20개의 수학적 모형을 적용하여 종수와 면적 간의 관계를 분석하였으며, 서식처의 이질성 평가지표로 미분엔트로피(differential entropy)를 제안하였다. 하지만 이 연구에서는 중서식처별 군집구조에 대한 구체적인 해석이나, 종수 외의 군집지수-면적 관계에 대한 분석은 이루어지지 않았다

본 연구는 Kong et al. (2025)의 자료를 기반으로, 4개의 비확률분포모형과 15개의 확률분포모형을 적용하여 중서식처별로 다양한 군집지수와 조사면적 간의 관계를 분석한 것이다. 이 연구는 하천 내 저서성 대형무척추동물의 공간적 분포를 보다 정밀하게 이해하고, 이를 바탕으로 하천생태계의 건강성을 평가할 때 고려해야 할 공간적 요소를 규명하기 위해 수행되었다.

2. Materials and Methods

2.1 조사 지점

조사 지점은 경기도 가평군에 위치한 조종천 본류의 상류(MU)와 하류(MD), 지류인 십이탄천의 상류(TU)와 하류(TD)의 총 4개였다(Fig. 1). 대상 지점은 대체로 유역 내에 오염원이 적어 환경상태가 양호하고 하상은 전반적으로 조립질이었다(Kong et al., 2025). 각 조사 지점의 규모와 관련이 있는 유역면적은 지류보다는 본류, 상류보다는 하류에서 더 넓었다(Table 1).

본류 지점은 2020년 5월 22일, 지류 지점은 2020년 5월 29일에 조사되었다. 각 지점에서 4개의 중서식처(여울, 흐름, 소, 수변)로 구분하여 D-frame net (30 cm × 30 cm, mesh size: 1 mm)로 각각 10회씩 총 40회 채집하였다. 전체 조사지점의 총 방형구 수는 4개 지점 × 4개 중서식처 × 10회로 총 160개였다.

Fig. 1. Locations of the survey sites.

../../Resources/kswe/KSWE.2025.41.5.386/fig1.png

Table 1 Spatial scale characteristics of the survey sites

Sites

Code

Watershed area

(km2)

Tributary

upstream

TU

10.4

downstream

TD

31.1

Main

stream

upstream

MU

32.8

downstream

MD

91.0

2.2 데이터의 조합

각 지점의 방형구에서 출현한 종과 개체수 목록을 방형구별로 정리한 뒤, 방형구 수에 따라 종별 개체수를 누적하였다. 그러나 방형구를 누적하여 종별 개체수 합을 계산할 경우, 가능한 조합의 수가 매우 방대해진다. 예를 들어, 각 지점에서 40개의 방형구 중 면적합이 0.9 m2가 되는 10개 방형구를 조합할 경우 약 8.5 × 108개의 경우의 수가 발생하며, 면적합이 1.8 m2가 되는 20개 방형구를 조합할 경우에는 약 1.4 × 1011개의 경우의 수가 생긴다. 이러한 계산의 복잡성을 고려하여, 연산 속도가 빠른 Fortran 90 언어를 활용해 각 방형구 조합에 따른 군집지수 값을 계산하고, 그 평균과 표준편차를 산출하였다.

2.3 군집 분석

분석대상 군집지수는 군집구조의 해석 또는 환경상태를 평가하기 위해 흔히 이용되고 있는 종다양도지수 등 6가지였다(Table 2).

Table 2 Community indices used in this study

Indices

Equation

(reference)

Component

Species diversity index

$H'= -\sum_{i=1}^{S}p_{i}\log_{2}p_{i}$

(Shannon-Weiner, 1949)

$S$ : Total number of species

$i$ : Number assigned to the species

$p_{i}$ : Proportional abundance of th species($n_{i}/N$)

$N$ : Total abundance

$n_{i}$ : Abundance in species

$n_{1}$ : Abundance in 1st dominant species

$n_{2}$ : Abundance in 2nd dominant species

Dominance index

$DI=\dfrac{n_{1}+n_{2}}{N}$

(McNaughton, 1967)

Species richness index

$R_{1}=\dfrac{S-1}{\ln N}$

(Margalef, 1958)

$R_{2}=\dfrac{S}{\sqrt{N}}$

(Menhinick, 1964)

Species evenness index

$J=\dfrac{H'}{\log_{2}S}$

(Pielou, 1975)

Benthic macroinvertebrate index

$BMI=\left(4-\dfrac{\sum_{i=1}^{n}s_{i}h_{i}g_{i}}{\sum_{i=1}^{n}h_{i}g_{i}}\right)\times 25$

(Kong et al., 2018)

ReferencesReferences$n$ : Number of indicator taxa

$s_{i}$ : Saprobic value of th taxon

$h_{i}$ : Frequency of th taxon

$g_{i}$ : Indicator weight value of th taxon

2.4 모형 선정

본 연구에서는 Kong et al. (2025)이 사용한 모형 가운데 적합도가 낮았던 사인함수(sine function)를 제외하고, 총 4개의 비확률분포모형와 15개의 확률분포모형을 적용하였다. 비확률분포모형은 멱함수(power equation, P), 이동멱함수(shifted power function, PS), 로그함수(logarithmic function, L), 이동로그함수(shifted logarithmic function, LS)였다.

확률분포모형은 역치값을 포함한 2 인자 분포[지수(exponential, E), 역지수(inverse exponential, IE), 모나드(monad, M)], 3 인자 절단분포[정규(normal, N), 로지스틱(logistic, LG), 굼벨(Gumbel, GU)], 역치값을 포함한 3 인자 분포 [일반지수(generalized exponential, GE), 와이블(Weibull, W), 역와이블(inverse Weibull, IW), 대수정규(lognormal, LN), 로지스틱멱함수(logistic power, LP), 감마(gamma, GA), 사인멱함수(sine power, SP)], 역치값을 포함한 4 인자 분포[일반로지스틱멱함수(generalized logistic power, GLP), 베타(beta, B)]였다.

각 모형의 원시함수 또는 누적분포함수(cumulative distribution function, CDF), 미분함수 또는 확률밀도함수(probability density function, PDF), 확률분포 모형의 중앙값(median)과 미분엔트로피 함수식은 Table 3과 같다.

Table 3 Cumulative distribution function (CDF), probability density function (PDF), and model statistics

../../Resources/kswe/KSWE.2025.41.5.386/tb3.png $e$, $\gamma$: Euler constant; $\psi$: digamma; ${Ei}$: Exponential integral, Ci: Cosine integral

2.5 조사면적-지수 분석

2.5.1 종수

종풍부도를 평가하는데 흔히 사용되는 종수는 표본크기(조사면적)에 따라 그 값의 변동이 크다(Boyle et al. 1990; Kong and Kim, 2015b). 서로 다른 조사면적을 가진 해양 저서생물 군집에서 종풍부도를 비교하기 위하여 Sanders (1968)는 희박화(rarefaction) 곡선을 도입하였다. Hurlbert (1971)는 Sanders의 희박화 곡선에 의한 방법이 실제보다 더 많은 종수를 예측하는 경향이 있다는 점을 지적하며, 초기하분포(hypergeometric distribution)를 기반으로 한 기대종수의 식을 제안하였다(식 1). 이 식은 총 개체수가 $N$인 집단에서 $n$개의 표본을 뽑았을 때 $i$번째 종이 전혀 선택되지 않을 확률의 여값(complementary probability) 즉, $i$번째 종이 적어도 1개 이상 선택될 확률을 모든 종에 대해 더한 값이다. 본 연구에서는 확률분포모형의 적용에 앞서 식 1에 따라 기대 종수를 구하여 실측값과 비교함으로써 희박화 기법의 적용성을 평가하였다.

식 1
$E(S_{n})=\sum_{i=1}^{S}\left[1-\dfrac{\left(\begin{aligned}N-N_{i}\\n\end{aligned}\right)}{(\begin{aligned}N\\n\end{aligned})}\right]$

확률분포모형을 적용한 종수 $S$는 Kong et al. (2025)의 방법에 따라 이론적인 최대종수 $S_{m}$과 조사면적 $x$에 대한 종수의 누적분포함수 $F_{S}(x)$의 곱(식 2)으로 해석하였다.

식 2
$S=S_{m}F_{S}(x)$

2.5.2 종풍부도지수

방형구별로 개체수 밀도 $\rho$가 일정하다고 가정하면 확률분포모형 기반의 Margalef 지수 $R_{1}$에서 총 개체수 $N$은 밀도와 조사면적 $x$의 곱이 되며, 이에 식 2의 종수 관계식을 대입하면 $R_{1}$은 식 3으로 정리된다(식 3).

식 3
$R_{1}=\dfrac{S-1}{\ln N}=\dfrac{S_{m}F_{S}(x)-1}{\ln(\rho x)}$

일반적으로 개체수 밀도가 매우 작은 조건이 아니라면 $R_{1}$ 값은 조사면적이 클수록 증가하지만(Kong and Kim, 2015b), 이론적으로 종수가 포화에 이른 후에는 감소할 수 있다. $R_{1}$이 최대가 되는 조건은 식 3의 미분 값이 0이 되는($d R_{1}/dx=0$) 식 4와 같으며 그때의 $R_{1}$값은 식 5가 된다.

식 4
$x=\dfrac{F_{S}(x)-1/S_{m}}{f_{S}(x)\ln(\rho x)}$
식 5
$R_{1,\: \max}=S_{m}xf_{S}(x)$

일반적으로 종수-면적의 멱함수 관계에서 조사면적의 승수(exponent)는 0.5보다 낮은 값을 보이기 때문에, Menhinick 지수 $R_{2}$는 조사면적이 증가할 때 감소하는 경향을 보인다(Kong and Kim, 2015b). 그러나 조사면적이 작은 구간에서 $R_{2}$는 최대값을 보일 수 있으며 이 조건은 식 6의 미분 값이 0이 되는($d R_{2}/dx=0$) 식 7과 같고 그때의 $R_{2}$값은 식 8이 된다.

식 6
$R_{2}=\dfrac{S}{\sqrt{N}}=\dfrac{S_{m}F_{S}(x)}{\sqrt{\rho x}}$
식 7
$x=\dfrac{1}{2}\dfrac{F_{S}(x)}{f_{S}(x)}$
식 8
$R_{2,\: \max}=2S_{m}\sqrt{\dfrac{x}{\rho}}f_{S}(x)$

2.5.3 종다양도지수

Dufrene and Legendre (1997)은 희소종(rare species)의 수가 많을 때 종다양도지수의 적용성에 문제가 있음을 지적한 바 있다. Kim et al. (2013)Kong and Kim (2015a)은 Shannon 종다양도가 조사면적이 커질수록 증가하지만, 일정 면적 이상에서는 그 증가 폭이 둔화된다고 보고하였다. 조사면적이 작을 경우, 면적이 늘어남에 따라 중간 수준의 개체수 비율을 가진 보편종이 추가되어 종다양도가 증가하지만, 일정 면적 이상에서는 주로 개체수 비율이 작은 희소종이 가입되면서 종다양도 증가율은 점차 둔화되는 것으로 해석된다. 이러한 경향을 고려하여, 본 연구에서는 조사면적이 무한대로 확장될 때 종다양도 값이 이론적인 최대값에 수렴하는 것으로 설정하였다(식 9).

식 9
$H'=H'_{m}F_{H'}(x)$

2.5.4 균등도지수

균등도지수는 $J$는 식 10과 같이 정리된다. $J$가 최대가 되는 조건은 식 10의 미분 값이 0이 되는($d J/dx=0$) 식 11과 같으며 그때의 $J$값은 식 12가 된다. 또한 조사면적이 무한히 증가할 때 균등도는 식 13으로 수렴한다.

식 10
$J=\dfrac{H'_{m}}{\log_{2}^{S}}=\dfrac{H'_{m}F_{H'}(x)}{\log_{2}^{S_{m}F_{S}(x)}}$
식 11
$\ln[S_{m}F_{S}(x)]=\dfrac{F_{H'}(x)f_{S}(x)}{f_{H'}(x)F_{S}(x)}$
식 12
$J_{\max}=\ln 2H'_{m}f_{H'(x)}\dfrac{F_{S}(x)}{f_{S}(x)}$
식 13
$J_{\min}=\dfrac{H'_{m}}{\log_{2}^{S_{m}}}$

2.5.5 우점도지수

Kong and Kim (2015b)은 조사면적이 증가할 때, 우점도지수 값이 전반적으로 감소하며 이는 다양한 미소서식처가 추가되면서 우세종 외의 종들이 가입되어 특정 우세종의 비율을 감소시키기 때문인 것으로 추정하였다. 극히 작은 조사면적에서 특정 종이 단 한 개체만 출현할 때 $DI$ 값은 1이 되므로, 조사면적에 따른 $DI$는 식 14와 같이 표현할 수 있다. $DI$ 값은 1에서 시작해 조사면적이 무한히 증가함에 따라 최소값으로 수렴하게 된다.

식 14
$DI=1-c F_{DI}(x)$

2.5.6 저서동물지수

Kong and Kim (2015b)은 BMI가 조사면적에 따라 진동하지만 그 변동은 매우 작은 수준이라고 보고하였다. 조사면적이 증가하여도 유사한 내성치를 가지는 분류군이 가입되는 경우 지수 값의 변동이 작게 나타날 수 있다(Kim et al., 2013). 그러나 환경특성이 매우 이질적인 중서식처를 복합하여 조사한 경우에는 조사면적에 따른 BMI 값의 변동이 커질 수 있다. 내성치가 큰 종의 개체수가 상대적으로 적을 경우, 조사면적이 커질수록 이들의 영향력이 줄어들면서 BMI 값은 증가하게 된다(식 15). 반면 내성치가 큰 종의 개체수가 많을 경우, 조사면적이 커질수록 BMI 값은 감소하게 된다(식 16).

식 15
$BMI=BMI_{m}F_{H'}(x)$
식 16
$BMI=BMI_{m}\left[1-c F_{BMI}(x)\right]$

2.5.7 적합도 검정

조사면적에 따른 군집지수의 관측값에 대하여 모델값의 적합도는 표준화 평균제곱근오차(normalized root mean squared error, NRMSE)로 평가하였다(식 17). 또한 NRMSE의 값이 최소가 되게 하는 확률분포 모형의 모수를 Microsoft Excel 프로그램의 해 찾기 기능을 이용하여 도출하였다.

식 17

$NR MSE(\%)=\dfrac{\sqrt{\dfrac{1}{n}\sum_{i=1}^{n}(S_{oi}-S_{ci})^{2}}}{\dfrac{1}{n}\sum_{i=1}^{n}S_{oi}}\times 100$

$n$: Number of fitted points

$S_{oi}$: Observed community index values

$S_{ci}$: Calculated community index values

2.5.8 서식처 수용력과 이질성

멱함수($\lambda x^{k}$) 모형에서 계수 $\lambda$와 로그함수($k\ln x+\lambda$)의 절편 $k$는 종 다양성에 대한 지리적인 변이를 반영하는 것으로 생물군 또는 조사지역마다 다르며, 특정 조사면적에서의 생물다양성에 대한 서식처의 수용력과 관계된 값이다(Kong and Kim, 2015a). 멱함수 모형에서 조사면적의 승수 $k$는 군집을 구성하는 분류군의 다양성과 이동성 및 서식처의 이질성에 따라 달라진다(Vreugdenhil et al., 2003). 멱함수의 승수 $k$나 로그함수의 계수 $\lambda$는 같은 조사면적 구간에서는 서식처의 이질성을 비교하는데 이용가능한 지표가 될 수 있다. 또한 서식처의 이질성을 판단하는 지표로 Kong and Kim (2015a)은 식 2의 반포화면적[half saturation area $z_{m}=F_{s}^{-1}(1/2)$]을, Kong et al. (2025)은 종수에 대한 확률분포의 미분엔트로피를 제안한 바 있다.

본 연구에서는 종다양성에 대한 서식처의 수용력 평가를 위한 지표로 종다양도-면적 간 멱함수의 면적계수, 로그함수의 절편, 식 9의 $H'_{m}$을 고려하였다. 이질성 평가를 위한 지표로는 종다양도-면적 간 멱함수의 면적승수, 로그함수의 계수, 식 9의 반포화면적[$z_{m}=F_{H'}^{-1}(1/2)$]과 미분엔트로피를 적용하여 비교하였다.

Kong et al. (2025)은 종수-면적의 관계에서 이상의 지표를 검토하여 서식처의 이질성을 판단하였다. 그러나 서식처의 수용력과 이질성을 평가하는데 있어 종수-면적 관계는 적용상 제한점이 있다. 일반적으로 작은 조사면적에서는 종수가 수렴하지 않아 외삽으로 최대종수를 추정하는 과정에 불확실성이 야기된다. 또한 종수-면적 관계에서는 종수만 고려되기 때문에 개체수 조성에 기반한 종의 다양성이 평가되지 않는다. 반면 Shannon 다양도는 작은 조사면적에서도 수렴하는 정도가 커서(Kim et al., 2013; Kong and Kim, 2015b) 최대종다양도나 반포화면적의 추정에 불확실성이 적으며, 개별 종의 개체수 비율을 기반으로 군집의 종 구성을 고려하는 지수이므로 서식처의 수용력과 이질성을 평가하는데 보다 적합하다고 할 수 있다. 이때 각 조사면적에서 Shannon 다양도는 이산 엔트로피이며, 조사면적에 따른 미분엔트로피는 이산 엔트로피의 연속 엔트로피가 된다.

3. Results and Discussion

3.1 Rarefaction

각 조사지점의 총 조사면적에서 출현한 개체수 $N$과 방형구 조합에 따른 각 조사면적의 평균개체수 $n_{i}$를 식 1에 적용하여 희박화 기대종수를 계산하였다. 각 조합별 조사면적에 따른 출현 종수의 평균과 표준편차, 희박화 기대종수의 관계는 Fig. 2와 같다. 조사면적이 작은 구간에서 계산된 희박화 기대종수는 모든 조사지점에서 실측종수에 비해 큰 차이를 보였다. 따라서 희박화를 통해 추정된 종수와 개체수로 특정 조사면적의 군집지수를 계산하는 방법은 왜곡된 결과를 도출할 가능성이 높다고 할 수 있다.

Fig. 2. Observed and rarefied number of species by sampling site.

../../Resources/kswe/KSWE.2025.41.5.386/fig2.png

3.2 중서식처 조사면적-군집지수 관계

3.2.1 방형구별 결과

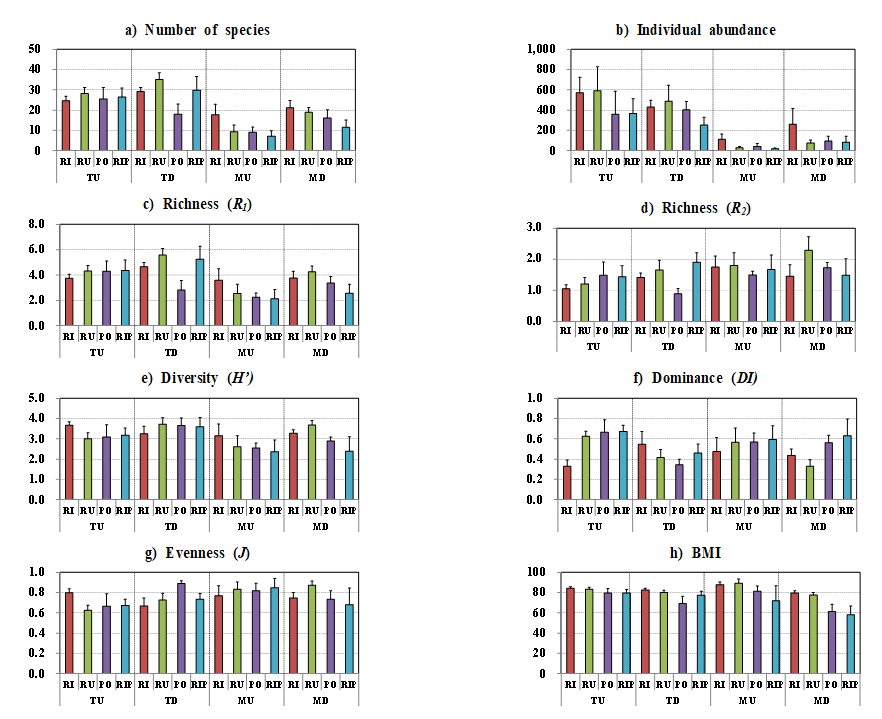
각 지점의 중서식처별로 10개의 방형구(0.3 m $\times$ 0.3 m) 조사에서 나타난 군집지수의 산술평균과 표준편차는 Fig. 3과 같다.

본류에서는 지류에 비해 종수와 단위면적당 개체수가 현저히 적었는데, 이는 서식처 규모가 커짐에 따라 종과 개체들이 넓은 공간에 분산되면서 집중도가 낮아진 결과로 해석된다. 종풍부도 $R_{1}$은 종수의 변동과 거의 같은 양상을 보였지만, 종풍부도 $R_{2}$는 개체수가 적은 본류 구간에서 상대적으로 높게 나타났다. 동일한 종수에서 개체수가 감소할 때 $R_{1}$의 비증가율(specific increase rate)에 대한 $R_{2}$의 비증가율의 상대적인 비 $R$은 식 18과 같으며 $R$ 값이 1보다 커지는 조건은 식 19와 같다.

식 18
$R=\dfrac{(d R_{2}/d N)/R_{2}}{(d R_{1}/d N)/R_{1}}=\dfrac{\ln N}{2}$
식 19
$N>e^{2}$

즉 개체수가 8 이상의 조건에서는 개체수가 감소하면 $R_{2}$의 비증가율이 $R_{1}$의 비증가율에 비하여 커지며, 개체수가 7 이하의 조건에서는 $R_{1}$의 비증가율이 $R_{2}$의 비증가율에 비하여 커진다. 일반적으로 저서성 대형무척추동물의 출현개체수는 8보다 많기 때문에, 개체수 감소 시 $R_{2}$의 증가가 $R_{1}$에 비해 상대적으로 크게 나타나며 본 연구의 결과도 이에 해당하는 것이다.

중서식처별 종다양도 $H'$과 우점도 $DI$는 서로 교호적인 반대 경향을 보였으며, 균등도 $J$의 변동은 종다양도와 비슷한 양상을 보였으나 종 출현도 대비 우점도가 높았던 MU 지점에서는 전반적으로 낮은 값을 보였다.

BMI는 모든 지점에 걸쳐 여울과 흐름에 비해 소와 수변에서 상대적으로 낮았다. 이는 소와 수변에서 유속이 상대적으로 느려 하상이 세립화되고 유기물이 축적되는 경향에 따른 것으로 해석된다. BMI의 변동계수(coefficient of variation, CV)는 모든 지점에서 소와 수변에서 크게 나타났으며, 특히 본류 상류의 수변이나 하류의 소와 수변에서 그 정도가 더욱 뚜렷하였다(Fig. 4). 이는 소와 수변이 여울과 흐름에 비해 방형구 단위로 보았을 때 환경상태가 보다 이질적임을 시사하는 것이다.

Fig. 3. Community index per quadrat (0.09 m²) by mesohabitat type at sampling sites in the Jojong stream (error bars indicate standard deviation)

../../Resources/kswe/KSWE.2025.41.5.386/fig3.png

Fig. 4. Coefficient of variation (CV) of benthic macroinvertebrate index (BMI) by mesohabitat type at each site in the Jojong stream.

../../Resources/kswe/KSWE.2025.41.5.386/fig4.png

3.2.2 모형의 적합도

각 지점의 중서식처별로 군집지수-면적 관계에 최적의 적합도를 보이는 모형과 NRMSE 값은 Table 4와 같다. 종수-면적에 적합한 모형은 일반로지스틱멱함수(GLP)와 베타(B) 모형이었으며, 그 외에 역와이블(IW), 사인멱함수(SP), 와이블(W), 대수정규(LN) 모형도 일부 서식처에서 적합도가 높았다. 종다양도-면적에서는 GLP와 LN 모형의 적합도가 가장 높았으며 와이블(W)과 IW 모형도 일부 서식처에서 적합하였다. 우점도-면적에서는 GLP와 IW 모형의 적합도가 높았고 그 외 B, 일반지수(GE) 모형과 이동멱함수(PS)도 경우에 따라 적합도가 높았다. BMI-면적에서는 GE와 GLP 모형의 적합도가 가장 높았고 그 외 감마(GA), SP, 지수(E), IW 모형과 PS도 일부 서식처에서 적합하였다.

Table 4 Best-fit models and NRMSE (%) for community indices by survey area in each mesohabitat

Sites

Meso-

habitats

Number of species

Diversity (H’)

Dominance (DI)

BMI

Model

NRMSE

Model

NRMSE

Model

NRMSE

Model

NRMSE

TU

Riffle

SP

0.05

LN

0.00

GLP

0.23

GE

0.03

Run

IW

0.11

LN

0.00

GLP

0.03

GA

0.02

Pool

IW

0.09

GLP

0.00

B

0.12

GLP

0.03

Riparian

GLP

0.14

GLP

0.00

GLP

0.03

GLP

0.02

TD

Riffle

B

0.11

GLP

0.00

GLP

0.00

PS

0.16

Run

GLP

0.03

LN

0.00

PS

0.21

GE

0.08

Pool

GLP

0.02

W

0.00

GLP

0.04

GE

0.02

Riparian

GLP

0.05

GLP

0.00

IW

0.08

GA

0.04

MU

Riffle

GLP

0.02

GLP

0.00

GE

0.09

GE

0.08

Run

B

0.22

IW

0.01

GLP

0.20

SP

0.06

Pool

B

0.11

GLP

0.00

GLP

0.06

E

0.54

Riparian

B

0.17

LN

0.00

IW

0.06

GE

0.20

MD

Riffle

W

0.01

LN

0.00

GLP

0.14

GLP

0.01

Run

GLP

0.01

W

0.00

GE

0.07

GE

0.09

Pool

B

0.05

GLP

0.00

IW

0.33

IW

0.26

Riparian

LN

0.26

GLP

0.01

GLP

0.15

PS

0.51

PS: Power (shifted), GE: Generalized exponential, W: Weibull, E: Exponential, IW: Inverse Weibull,

LN: Lognormal, GLP: Generalized logistic power, GA: Gamma, B: Beta, SP: Sine power

선정된 모형 중 4인자 모형인 GLP와 B는 모수가 많아 과적합(overfitting)으로 인한 일반화의 오류를 야기할 수 있고, 미분엔트로피 등의 통계량 산정 시 수치해석이 필요하며, GLP 모형에서는 $k$ 값이 작은 경우 평균이나 분산의 해가 없다(Kong et al., 2015). 따라서 적합도에 큰 차이가 없는 한 이들 모형을 제외한 3인자 모형이 더욱 실용적이며 효율성이 높을 수 있다. 3인자 모형 중 종수-면적에서 가장 적합도가 높은 모형은 GA, SP, GE, W 모형이었고, 종다양도-면적에서는 W, LN이었으며, 우점도-면적과 BMI-면적에서는 GE와 GA 모형이었다.

3.2.3 종수

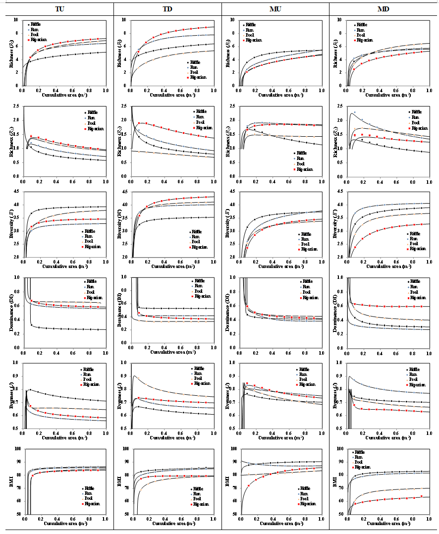
각 지점의 중서식처에서 누적면적에 따른 종수와 Table 4의 최적 모델로 적합시킨 추세선은 Fig. 5와 같다. 모든 지점의 모든 중서식처에서 방형구 10회의 조사로는 종수가 수렴되지 않고 조사면적에 따라 증가하는 양상을 보였다. 이는 Kim et al. (2013)의 강원도 한계천, Kong and Kim (2015a)의 경기도 가평천과 오산천의 여울에서 15회 방형구 조사에서 나타난 결과와 같다. 본 연구에서는 여울뿐만 아니라 다른 모든 중서식처에서도 작은 조사면적으로는 종수가 수렴되지 않음을 확인할 수 있었다.

여울의 조사면적에 따른 종수의 변화율은 다른 중서식처에 비해 작았는데, 여울의 형태가 횡방향 선형으로서 같은 지점 내의 다른 중서식처에 비하여 서식처의 규모가 작아 이질성이 낮기 때문인 것으로 추정된다. 흐름 및 수변의 조사면적에 따른 종수의 변화율은 전반적으로 높았다. 반면 소의 종수 변화율은 지류와 본류의 상류지점(TU, MU)에서는 흐름과 수변의 양상과 유사하였으나, 지류 하류지점(TD)에서는 낮았고 본류 하류지점(MD)에서는 높아 일관성이 없었다. 이러한 결과로 볼 때 본 조사구역에서는 소의 규모나 특성이 하천 규모와 크게 관련이 없다고 유추할 수 있다.

Fig. 5. Species-area curves of the best-fit models. Dots represent observed values, lines represent calculated values, and error bars indicate standard deviation.

../../Resources/kswe/KSWE.2025.41.5.386/fig5.png

3.2.4 종풍부도

종풍부도는 총 개체수에 대한 총 종수로 평가하는 지수이기 때문에 조사면적이 늘어남에 따라 변동되는 종수와 개체수에 의해 지수 값이 변하게 된다(Ludwig and James, 1988). 또한 Margalef의 종풍부도지수($R_{1}$)는 개체수의 대수치를, Menhinick의 종풍부도지수($R_{2}$)는 개체수의 제곱근을 적용하기 때문에 조사면적에 따른 지수 값의 변화 경향이 차이가 있다(Kong and Kim, 2015b).

종풍부도-면적 관계는 종수-면적 관계에서 도출된 종수를 각각 식 3과 식 6에 대입하여 도출하였는데, $R_{1}$은 관측값과 모델값의 차이가 크지 않았으나 $R_{2}$는 방형구 조합 수가 작은 구간에서 다소 차이를 보였다(Fig. 6). 특히 개체수가 적었던 본류 하류지점(MD)에서는 방형구 조합수가 1∼3인 경우에 모델값이 관측값보다 작았다. 이는 개체수의 영향을 크게 받는 $R_{2}$값이 특정 방형구에서 높게 나타나 그 값들이 정적편포(positively skewed distribution)함으로써, 조합별 평균종수와 일정밀도를 식 6에 적용하여 계산된 값에 비해 산술평균치가 더 크게 나타난 결과로 해석된다.

비록 다소의 차이는 있지만 조사면적에 따른 종풍부도의 변화에 대한 모델 결과는 그 경향을 잘 재현하였다. 조사된 면적구간에서 $R_{1}$값은 식 4의 조건에 부합되지 않고 조사면적에 따라 지속적으로 증가하였다, $R_{2}$값에 대하여 식 7의 조건에 해당하는 조사면적은 개체수가 가장 적었던 MU지점의 수변에서 약 0.5 m2였다. 다른 중서식처는 모두 0.5 m2 이하의 조사면적에서 최대값을 보이고 감소하거나 최대값 없이 조사면적에 따라 지속적으로 감소하였다.

이러한 결과는 Kong and Kim (2015b)이 오산천에서 와이블 모형을 적용하여 분석한 결과와 일치한다. Kong and Kim (2015b)은 종수가 조사면적에 따라 멱함수를 따를 때 조사면적 1 m2의 조건에서 $R_{1}$ 값이 감소하려면 출현종수는 극단적으로 작지 않고 조사면적의 승수 $\lambda$의 값과 밀도가 매우 작은 조건이어야 하는데, 일반적인 하천에서 나타나는 결과는 이상의 조건에 부합되지 않는다고 보고하였다. 또한 Menhinick의 종풍부도지수($R_{2}$)와 조사면적의 멱함수 관계에서는 일반적으로 조사면적의 승수가 음의 값이 되므로 조사면적의 증가에 따라 $R_{2}$ 값은 감소한다고 보고하였다.

이처럼 종풍부도는 조사면적에 영향을 크게 받으며 중서식처별로 양상도 달리 나타난다. 따라서 현행 하천생태계 건강성 조사에서 규정하고 있는 여울에서의 3회 조사로 종풍부도를 평가하는 것은 한계가 뚜렷하다. 여울에서의 종풍부도 평가 결과는 다른 중서식처의 양상을 반영할 수 없을 뿐만 아니라 같은 여울이라도 지점 간에 조사면적에 따른 종풍부도의 변화율이 다르기 때문에 작은 조사면적에 의한 평가결과는 왜곡될 수 있다.

Fig. 6. Community index–area curves showing observed values (dots) with standard deviations (error bars) and modeled values (line).

../../Resources/kswe/KSWE.2025.41.5.386/fig6.png

3.2.5 종다양도지수

종다양도지수 $H'$의 값은 조사면적에 따라 증가하였으나 종수나 종풍부도에 비하여 작은 조사면적에서도 수렴하는 정도가 컸다. Kim et al. (2013)은 청정하천인 한계천에서 채집횟수 5∼6회에 해당하는 면적보다 조사면적이 커지면 종다양도지수의 값이 거의 변화되지 않았다고 하였으며, Kong and Kim (2015b)은 오산천에서 채집횟수 6회에 해당하는 누적조사면적에 이를 경우 $H'$가 최대치에 가까운 수준에 달하고 그 이상의 면적에서는 비교적 일정한 값으로 유지되었다고 하였다.

본 연구의 여울에서 나타난 결과는 상기한 여울에서의 연구결과와 큰 차이가 없었으나, 특정 지점의 다른 중서식처에서는 조사면적에 따른 종다양도의 변화 경향이 다소 다르게 나타났다. 지류 상류지점(TU)에서는 소, 지류 하류지점(TD)에서는 소와 수변, 본류 상류지점(MU)에서는 여울을 제외한 모든 중서식처, 본류 하류지점(MD)에서는 소와 수변에서 조사면적에 따른 종다양도의 변화율이 높았다. 특히 본류상류의 흐름(MURU)에서는 조사면적이 증가할 때 다른 중서식처에 비하여 종다양도의 증가가 뚜렷하였다.

3.2.6 우점도지수

우점도지수 $DI$ 값은 대부분의 중서식처에서 조사면적에 따라 감소하였으며 종다양도에 비해서도 작은 조사면적에서 수렴하는 정도가 컸다. Kong and Kim (2015a)Kong and Kim (2015b)은 우점도 값이 조사면적이 증가할 때 감소 또는 증가하였으나, 채집횟수 6회에 해당하는 조사면적 이상의 조사면적에서는 거의 일정하게 유지되었다고 보고하였으며, 조사면적이 증가하면 다양한 미소서식처가 추가되면서 우세종 외의 종들이 가입되어 특정 우세종의 비율을 감소시키고 우점도가 낮아지는 것으로 분석하였다.

본 연구의 여울에서 나타난 결과도 상기한 여울에서의 연구결과와 큰 차이가 없었으나, 종다양도와 달리 다른 모든 중서식처에서도 최소값에 수렴하는 정도가 큰 것을 확인할 수 있었다. 다만 본류 하류지점(MD)의 소에서 조사면적에 따른 우점도의 변화율이 상대적으로 다소 높게 나타났는데, 이는 우세종의 개체수가 다른 지점 또는 다른 중서식처에 비하여 적어 조사면적이 증가할 때 가입종의 영향이 상대적으로 크기 때문인 것으로 보인다.

3.2.7 균등도지수

종균등도-면적 관계는 종다양도-면적 관계에서 도출된 종다양도와 종수-면적 관계에서 도출된 종수를 식 10에 대입하여 도출하였는데, 방형구 조합 수가 작은 구간에서 관측값과 모델값 간에 다소 차이가 있었다. 종풍부도의 경우와 마찬가지로 관측값의 평균은 방형구의 각 조합에서 도출된 종다양도와 종수로부터 개별적으로 계산된 균등도 값을 산술평균한 것인 반면, 모델값은 종다양도와 종수의 평균값을 적용하여 계산된 것이다. 이러한 계산방식에 따른 차이로 작은 조사면적의 구간에서 관측값과 모델값이 다소 달리 나타나지만 그 경향성에는 큰 차이가 없었다.

균등도지수 값은 모든 중서식처에서 조사면적에 따라 계속하여 감소하는 경향을 보였다. 식 12의 최대값 조건이 1회의 방형구 조사면적보다도 작은 조사면적에서 나타남에 따라 전체 조사면적 구간에서 균등도는 지속적으로 감소하는 것이다. 균등도지수 값의 수렴도는 중서식처별로 많이 달랐다. Kong and Kim (2015a)Kong and Kim (2015b)은 여울에서 균등도지수 값이 조사면적에 따라 계속하여 감소하는 경향을 보였다고 하였다. Kong and Kim (2015b)은 이러한 결과가 조사면적이 증가하여 개체수비율이 작은 희소종들이 가입될 때 균등도지수의 분모에 해당되는 출현종수의 증가율은 크지만 분자에 해당하는 종다양도 값의 증가율은 낮은데 따른 것으로 해석하였다. 즉 조사면적이 증가하면서 개체수가 적은 희소종이 가입될 때 종수의 변화에 대한 영향도는 크지만, 희소종은 개체수 비율이 낮기 때문에 종다양도의 변화에 미치는 영향도는 상대적으로 작게 된다.

3.2.8 BMI

모든 지점의 여울에서 BMI는 조사면적에 따라 거의 일정한 수준을 보였다. 이는 Kim et al. (2013)Kong and Kim (2015b)의 결과와 같은 것이다. 여울에서 BMI는 조사면적이 증가함에 따라 새로이 가입되는 분류군이 유사한 내성치를 가짐에 따라 지수 값의 변동이 적은 것으로 판단된다(Kim et al., 2013).

흐름에서 BMI는 본류 상류지점(MU)의 경우 조사면적에 따라 약간 감소하는 경향을 보였으나 여울의 BMI와 큰 차이가 없었고, 다른 모든 지점에서는 여울에서의 변화 양상과 같았다. 이러한 결과로 볼 때, 적어도 여울에 한해서는 BMI가 조사면적의 규모에 비의존적이며 흐름 영역에서도 면적의 차이에 따른 평가결과의 왜곡이 적다고 할 수 있다. 따라서 현행 하천수생태계 건강성 평가에서 여울부 3회의 조사정점의 결과로 BMI를 산출하여 건강성을 평가하고 시공간적인 변화를 진단하고 있는 것은 적합한 것으로 평가할 수 있다.

반면 지류 하류지점(TD)의 소와 본류 상류지점(MU)의 수변에서는 조사면적에 따라 BMI가 계속 증가하는 양상을 보였다. 조사면적에 따른 BMI의 증감은 전체 출현종 중 내성종들의 개체수 비율에 따라 달라진다. 군집 내에 내성종들의 개체수비가 비내성종들에 비해 작은 경우, 조사면적이 커지면 개별 방형구의 결과가 뭉쳐지고 개체수가 작은 내성종들의 영향이 희석되면서 BMI 값이 높아진다. 반대로 내성종들의 개체수비가 큰 경우, 조사면적에 따라 개체수가 큰 내성종들의 영향이 집중되면서 BMI 값이 낮아진다. 중서식처 중에서 소와 수변은 여울과 흐름에 비하여 유속이 상대적으로 느리고 하상이 세립질이면서 유기물의 축적도가 높을 수 있어 내성종들이 출현하는데, 본 조사지역에서 이러한 내성종의 개체수비가 상대적으로 작았기 때문에 조사면적에 따라 BMI 값이 높아진 것으로 판단된다.

3.2.9 서식처 수용력과 이질성

종다양도-면적 관계에 대하여 일부 지점에서 GLP 모형이 최적의 적합도를 보였으나 과적합으로 인한 일반화의 오류 가능성을 배제하고 일관성 있는 비교를 위하여 3인자 모형인 LN 모형을 적용하여 서식처의 수용력과 이질성을 평가하였다.

조사면적에 따른 Shannon 종다양도의 변화에서 도출된 서식처의 수용력과 이질성 평가지표의 관계는 Fig. 7과 같다. 여기에서 수용력은 각 지점별 종다양도-면적 관계에서 이동멱함수의 면적계수($\lambda$) 값을 X축으로 하고, 이동로그함수의 절편($k$)과 LN 모형의 최대종다양도 값($H'_{m}$)을 Y축으로 도시한 것이다. 이질성은 이동멱함수의 면적승수($k$) 값을 X축으로 하고, 이동로그함수의 면적계수($\lambda$)와 LN 모형의 반포화면적 및 미분엔트로피 값을 Y축으로 도시한 것이다.

수용력과 관련한 지표들은 서로 높은 상관성을 보였으나 최대다양도는 이상치로 나타났다. MURU에서 1 m2의 조사면적에 해당하는 이동멱함수나 이동로그함수의 $H'$ 값은 다른 중서식처에 비하여 유의하게 크지 않았으나, 조사면적에 따른 종다양도의 증가율이 상대적으로 현저히 높아 이와 같은 결과가 도출된 것이다. 전반적으로 지류 상류지점(TU)에서는 여울의 수용력이 상대적으로 컸고 지류 하류지점(TD)은 수변과 소의 수용력이 크게 나타나 중서식처별로 경향성이 뚜렷하지 않았다. 본류에서는 흐름과 여울의 수용력이 소와 수변보다 컸다. 하천 규모가 큰 본류에서는 선형의 수변이나 국부적인 소보다 흐름과 여울의 패치가 상대적으로 커지면서 수용력이 높아지는 것으로 추정된다.

이질성과 관련한 지표들은 전반적으로 서로 높은 상관성을 보였으나, 반포화면적은 다른 지표와 상관성이 낮았다. Preston (1962)은 종수와 개체수 간의 대수정규칙으로부터 종수-면적의 멱함수식을 도출하였으며 이론적인 면적승수를 0.262로 제안하였는데 이를 대략 1/4로 간주한 것이 4승근 법칙(the fourth root law)이다. Preston (1962)은 멱함수의 면적승수 0.262를 기준으로 서식처의 복잡성 또는 이질성을 판단할 수 있다고 하였다. 그러나 실제 조사결과는 지수 값이 0.262보다 큰 경우가 많은데, MacArthur and Wilson (1967)은 그 이유를 서식처의 이질성보다는 조사면적이 커지면 지세가 복잡해지고 격리된 군집의 종 분화가 커지기 때문인 것으로 해석하였다. 본 연구에서 나타난 종수-면적의 이동멱함수에서 면적승수 값은 최소 0.207에서 최대 0.457의 범위였으며 중앙값은 0.254, 평균은 0.296이었다. 또한 종다양도-면적의 이동멱함수 관계에서 면적승수 값은 최소 0.01에서 최대 0.10의 범위였으며 중앙값과 평균은 약 0.04였다. 종수-면적 관계의 면적승수 0.262에 해당하는 종다양도-면적 관계의 면적승수는 약 0.04 정도이며, 이는 서식처의 이질성을 평가하기 위한 기준이 될 수 있다. 그러나 종수-면적의 멱함수 관계는 조사면적 구간에 의존적이므로 대표적인 이질성 지표로 적용하기는 어렵다(Kong and Kim, 2025).

Kong and Kim (2015a)은 반포화면적(식 3)을 서식처 이질성의 지표로 제시한 바 있다. 서식처의 이질성이 클수록 조사면적의 증가에 따라 종 다양성이 증가(Benton et al., 2003; MacArthur and Wilson, 1967)하기 때문에 반포화면적이 클수록 최대종수에 달하는 조사면적이 커지게 되며 그만큼 서식처의 이질성이 높은 곳으로 평가할 수 있다(Kong and Kim, 2015a). 그러나 같은 반포화면적을 갖는 경우에도 환경용량의 차이로 인해 최대 종수가 다른 경우에는 조사면적에 따른 종수의 변화 경향이 달라지기 때문에 반포화면적만을 가지고는 서로 다른 하천들 간의 서식처 이질성을 객관적으로 비교하기 어렵다(Kong and Kim, 2015b).

이처럼 멱함수의 면적승수나 확률분포모형에서 나타나는 반포화면적의 한계점을 고려하여 본 연구에서는 확률분포모형의 미분엔트로피로 이질성을 평가하였다. 그 결과 이질성은 예외적인 본류 하류지점의 흐름(MDRU)과 지류 하류지점의 소(TDPO)를 제외할 때, 지류보다는 본류에서 높고 여울보다는 수변과 흐름에서 높으며 소는 중간 수준의 경향을 보였다. 이러한 결과에 비추어 볼 때, 하천 규모가 커지면서 서식처의 이질성이 커지며, 하상이 조립질로 균질한 여울보다는 흐름 구간의 하상 상태가 불균질하고 수변은 식생의 여부 등으로 이질성이 큰 것으로 해석된다. 또한 서식처의 규모에 비해 MURU의 최대다양도가 크게 나타난 것은 해당 중서식처의 이질성이 높은 것과 관련이 있는 것으로 보인다. 이를 종합하면 종다양성에 대한 수용력은 서식처의 규모와 이질성이 복합적으로 영향을 주는 것으로 판단된다.

Fig. 7. Mesohabitat-scale relationships among habitat heterogeneity indicators derived from species diversity–area relationships.

../../Resources/kswe/KSWE.2025.41.5.386/fig7.png

3.3 지점단위 조사면적-군집지수 관계

3.3.1 모형의 적합도

중서식처를 구분하지 않고 각 지점의 40개 방형구 자료를 기반으로 분석된 군집지수-면적 관계에 대한 각 모형의 적합도는 Table 5와 같다.

종수-면적 관계에 적합한 모형은 GLP, IW, LN 모형이었다(Table 6). 종풍부도-면적에서는 GLP와 IW 모형의 적합도가 가장 높았으며 LN과 로지스틱멱함수(LP)도 일부 지점에서 다소 적합하였다. 종다양도-면적에서는 GLP와 LN 모형의 적합도가 높았다. 우점도-면적에서는 GLP와 W 모형의 적합도가 높았으며, 일부 지점에서는 IW 모형의 적합도가 높았다. BMI-면적에서는 IW, W, GLP 모형의 적합도가 가장 높았고 일부 지점에서 LN 모형의 적합도도 다소 높았다.

이상의 모형 중 과적합의 가능성이 높은 4인자 모형인 GLP를 제외할 때, 3인자 모형 중 종수-면적에서 가장 적합도가 높은 모형은 IW와 LN 모형이었고, 종풍부도-면적에서는 IW와 LN 및 LP, 종다양도-면적에서는 LN, 우점도-면적에서는 W와 IW, BMI-면적에서는 IW와 W 및 LN이었다.

Table 5 NRMSE (%) between measured and modeled community indices by survey area across all mesohabitats

Model

Number of species

Diversity (H’)

Dominance (DI)

BMI

Mean

TU

TD

MU

MD

TU

TD

MU

MD

TU

TD

MU

MD

TU

TD

MU

MD

Power

3.33

3.41

3.45

4.65

1.90

2.26

3.91

3.12

2.87

2.11

7.14

3.33

0.55

0.69

0.35

1.13

2.76

Power (shifted)

1.38

1.56

1.96

2.83

0.81

0.96

1.83

1.46

1.47

0.53

3.12

2.02

0.20

0.25

0.13

0.37

1.31

Logarithmic

1.22

0.71

2.77

1.23

1.80

2.16

3.47

2.76

2.99

2.26

8.46

5.91

0.54

0.67

0.34

1.10

2.40

Logarithmic (shifted)

0.52

0.42

0.17

1.23

0.77

0.92

1.62

1.30

1.51

0.59

3.62

3.01

0.19

0.24

0.12

0.36

1.04

Generalized exponential

0.73

0.46

0.37

0.51

0.12

0.14

0.25

0.19

0.20

0.29

0.42

0.26

0.11

0.03

0.04

0.19

0.27

Weibull

0.56

0.27

0.21

0.28

0.03

0.04

0.06

0.04

0.15

0.19

0.05

0.13

0.09

0.01

0.02

0.13

0.14

Exponential

6.19

5.99

4.49

4.34

2.71

2.43

4.19

4.57

2.80

3.57

5.95

13.34

0.77

1.50

1.38

2.79

4.19

Inverse Weibull

0.44

0.12

0.13

0.36

0.08

0.10

0.19

0.21

0.48

0.17

0.33

0.82

0.09

0.01

0.02

0.12

0.23

Inverse exponential

5.04

5.50

6.78

5.06

0.69

0.34

1.31

1.67

0.47

0.99

0.33

5.83

0.17

0.52

0.64

0.37

2.23

Normal

6.22

6.06

4.55

4.44

2.76

2.46

4.30

4.64

2.86

3.62

9.28

16.79

0.78

1.51

1.39

2.79

4.65

Lognormal

0.48

0.16

0.04

0.07

0.01

0.02

0.01

0.01

0.30

0.18

0.11

0.44

0.09

0.01

0.02

0.13

0.13

Logistic

6.12

5.92

4.44

4.29

0.77

0.77

1.49

1.25

0.54

1.46

2.74

2.83

0.28

0.38

0.29

0.62

2.14

Generalized logistic power

0.45

0.12

0.00

0.03

0.00

0.01

0.00

0.02

0.07

0.17

0.08

0.21

0.09

0.01

0.02

0.12

0.09

Logistic power

0.49

0.18

0.10

0.08

0.05

0.06

0.05

0.11

0.44

0.17

0.21

0.61

0.09

0.01

0.03

0.12

0.18

Monad

2.62

2.55

2.14

1.25

0.51

0.15

0.47

1.01

0.46

0.86

0.33

4.12

0.16

0.48

0.62

0.33

1.13

Gamma

0.72

0.44

0.35

0.48

0.11

0.13

0.21

0.16

0.17

0.28

0.34

0.21

0.11

0.03

0.04

0.18

0.25

Gumbel

6.12

5.94

4.59

4.35

2.71

2.43

4.19

4.57

2.80

3.57

5.95

13.34

0.77

1.50

1.38

1.60

4.11

Beta

0.72

0.44

0.36

0.49

0.82

0.96

1.82

1.45

1.54

0.63

3.85

3.43

0.19

0.25

0.04

0.18

1.07

Sine power

0.61

0.35

0.31

0.49

0.11

0.16

0.28

0.20

0.34

0.23

0.60

0.25

0.10

0.02

0.03

0.16

0.27

Table 6 Best-fit models and NRMSE (%) for community indices by survey area across all mesohabitats

TU

TD

MU

MD

Model

NRMSE

Model

NRMSE

Model

NRMSE

Model

NRMSE

Number of species

IW

GLP

0.44

0.45

IW

GLP

0.12

0.12

GLP

LN

0.00

0.04

GLP

LN

0.03

0.07

Richness

($R_{1}$)

IW

GLP

0.42

0.43

IW

GLP

0.13

0.13

GLP

LN

0.01

0.05

GLP

LP

0.03

0.07

Richness

($R_{2}$)

IW

GLP

0.46

0.47

IW

GLP

0.14

0.15

GLP

LN

0.01

0.04

GLP

LP

0.04

0.08

Diversity

($H'$)

GLP

LN

0.00

0.01

GLP

LN

0.01

0.02

GLP

LN

0.00

0.01

LN

GLP

0.01

0.02

Evenness

($J$)

GE

GA

0.01

0.02

GLP

LN

0.01

0.01

W

GLP

0.01

0.01

GA

W

0.01

0.01

Dominance

($DI$)

GLP

W

0.07

0.15

IW

GLP

0.17

0.17

W

GLP

0.05

0.08

W

GLP

0.13

0.21

BMI

IW

GLP

0.09

0.09

W

LN

0.01

0.01

GLP

LN

0.02

0.02

IW

GLP

0.12

0.12

3.3.2 종풍부도지수

최적의 적합도를 보이는 모형을 적용하여 식 5로부터 도출된 $R_{1}$의 최대값에 해당하는 조사면적은 MU (65 m2), TD (17 m2), TU (13 m2), MD (7 m2)의 순으로 컸다(Fig. 8). $R_{1}$은 0.09∼0.27 m2의 작은 조사면적에서는 TD>TU>MD>MU의 순으로 컸지만 외삽 구간에서는 MU>TD>MD>TU의 순이었다. $R_{2}$의 최대값은 조사면적이 0.1∼0.5 m2의 범위에서 나타났으며 그 값은 MU>MD>TU>TD 순으로, 0.09∼0.27 m2의 작은 조사면적에서 $R_{1}$의 크기에 따른 지점 순위와 반대였다. 이러한 차이는 하천 규모가 큰 본류에서 상대적으로 출현개체수가 적었기 때문이며, 그 관계는 3.2.4절에서 설명된 바와 같다.

Fig. 8. Community indices by survey area across all mesohabitats in the Jojong stream (observed: dots, model estimates: solid lines, standard deviation: error bars)

../../Resources/kswe/KSWE.2025.41.5.386/fig8.png

3.3.4 종다양도지수

종다양도지수 $H'$의 값은 0.09 m2의 작은 조사면적에서 TD>TU>MD>MU의 순이었으나 수렴구간의 최대 종다양도는 MD(4.81)>MU(4.61)$\approx$TD(4.55)>TU(4.11)의 순으로 대체로 반대의 경향을 보였다. 즉 $H'$은 조사면적이 작은 구간에서는 지류에 비해 본류에서 더 작지만, 조사면적이 커지면 하천 규모의 크기 순으로 증가하는 결과를 보였다. 이는 하천 규모가 클수록 종과 개체수 수준에서의 집중도 감소와 분산으로 단위면적 당 다양성은 낮지만 하천 전체 규모에서 다양성은 높아지는 것으로 해석할 수 있다. 또한 MD 지점의 수변은 식생이 발달하여 갑각류의 새뱅이류(Caridina denticulata denticulata) 등 식생에서 서식하는 종들이 가입된 것도 영향을 준 것으로 판단된다.

3.3.5 우점도지수

우점도지수 $DI$는 종다양도지수와 반대로 작은 조사면적에서 MU>TU$\approx$MD>TD의 순이었으나 최소 우점도는 TU(0.39)>TD(0.32)>MU(0.29)>MD(0.22)의 순이었다. 하천 규모가 커질수록 조사면적이 증가할 때 우세종 이외의 새로운 종이 가입되면서 우점도가 감소하는 것으로 추정된다.

3.3.6 균등도지수

균등도지수 $J$는 조사면적이 작은 구간에서는 MU>MD>TD>TU의 순이었으나 최대 균등도는 MD(0.73)>MU(0.69)>TU(0.61)$\approx$TD(0.59)의 순으로 컸다. 하천 규모가 커질수록 균등도가 커지는데 이는 같은 종수에서도 특정 종의 개체수 집중도가 높지 않음을 의미한다.

3.3.7 BMI

다른 지수와 달리 지점별 BMI 값의 순위는 모든 조사면적 구간에서 유지되었으며 최대 BMI는 MU(91.9)>TU(87.3)> TD(85.9)>>MD(79.9)의 순으로 컸다. 이로 볼 때 대체로 상류 구간의 환경상태가 상대적으로 더 양호하다고 볼 수 있다. 조사면적이 커질 때 BMI 값이 증가하는 것은 군집 내에 내성종들의 개체수비가 비내성종들에 비해 작기 때문이다. 특히 같은 중서식처에서 BMI 값은 조사면적에 따라 변화가 크지 않았으며 특히 여울에서는 거의 일정하였던 반면, 모든 중서식처를 포함하였을 때 BMI 값은 조사면적에 따른 변화율이 더욱 크게 나타났다. 또한 조사면적이 작을 때 BMI는 방형구의 조합별로 변동이 크게 나타났다(Fig. 9).

이처럼 환경상태가 이질적인 중서식처들을 모두 포괄하여 건강성을 평가하는 경우에는 조사면적에 따라 BMI의 변화가 크며, 또한 조사면적이 작은 경우 BMI의 변동이 크게 나타나기 때문에 정확한 평가를 위해서는 조사면적을 크게 늘려야 함을 알 수 있다.

Fig. 9. Coefficient of variation (CV) of benthic macroinvertebrate index (BMI) across all mesohabitats at each site in the Jojong stream.

../../Resources/kswe/KSWE.2025.41.5.386/fig9.png

3.3.8 서식처 수용력과 이질성

종다양도-면적 관계에 대하여 일부 지점에서 GLP 모형이 높은 적합도를 보였지만, 과적합 우려를 피하고 비교의 일관성을 위해 LN 모형을 적용해 서식처의 수용력과 이질성을 평가하였다.

서식처 수용력 평가에서 멱함수의 면적계수와 로그함수의 절편은 상관성이 높았지만, 최대종다양도와는 낮은 상관을 보였다(Fig. 10). 멱함수와 로그함수는 조사면적에 따라 종다양도 값이 달리 나타날 수 있으므로, 본 연구는 최대종다양도를 기준으로 수용력을 평가하였으며, 그 결과는 MD > MU > TD > TU 순이었다. 이는 하천 규모가 클수록 종다양성에 대한 수용력이 높다는 것을 시사한다.

서식처의 이질성 평가에서 멱함수의 면적승수는 이동로그함수의 절편과 대수정규분포의 미분엔트로피와 높은 상관성을 보였으나 반포화면적과는 상관성이 다소 낮았다. 지류와 본류 간 서식처의 이질성은 뚜렷하게 구별되었으며, 그 순서는 MU>MD>>>TD$\approx$TU의 순이었다. Kong et al. (2025)은 본 연구와 같은 자료를 기반으로 종수-면적 분포의 미분엔트로피 값에 따라 서식처의 이질성을 MU>TU$\approx$TD>MD의 순으로 평가하였는데, 본 연구의 결과는 이와 약간의 차이가 있다. 즉 본류의 하류지점인 MD 지점이 조사면적에 따른 종수 변화로는 이질성이 낮은 것으로 평가되지만 종다양도의 변화로는 이질성이 높은 것으로 평가되는 것이다. 종다양도-면적 확률분포의 수렴성과 개체수 조성을 반영한 다양성 고려 측면에서, 종풍부도를 대변하는 종수-면적의 미분엔트로피와 더불어 종다양도-면적의 미분엔트로피를 함께 고려하여 서식처의 이질성을 평가하는 것이 적절할 것으로 판단된다.

또한 MU 지점의 모든 중서식처의 종다양도는 다른 지점의 동일한 유형의 중서식처의 종다양도에 비하여 낮지만 서식처 수용력의 지표인 최대다양도는 상대적으로 높다. 이는 MU 지점의 서식처 이질성이 높은데 따른 것으로 보이며, 이를 종합할 때 종다양성에 대한 서식처의 수용력은 하천 규모와 이질성이 커질수록 증가하며, 하나의 서식처에서 종의 다양성은 공간적인 이질성이 클수록 커진다는 것을 시사한다.

Fig. 10. Habitat-scale relationships among capacity (a) and heterogeneity (b) indicators derived from species diversity–area relationships.

../../Resources/kswe/KSWE.2025.41.5.386/fig10.png

4. Conclusion

경기도에 위치한 조종천의 중서식처에서 저서성 대형무척추동물의 군집지수-면적 관계를 4개의 비확률분포 모형과 15개의 확률분포 모형을 적용하여 분석하고, 이를 통해 종다양성에 대한 서식처의 수용력을 평가한 결과로부터 도출된 결론은 다음과 같다.

표본크기(조사면적)가 작을 때, 희박화(rarefaction)를 통해 추정된 기대종수는 실제 출현종수보다 차이가 컸다. 따라서 이 방법으로 산출된 군집지수 값은 실제 생태적 특성을 충분히 반영하지 못하고 왜곡된 결과를 초래할 가능성이 높다.

대부분의 군집지수(종수, 종풍부도, 종다양도, 우점도, 균등도, BMI)는 조사면적에 따라 변화하며, 특히 종수와 종풍부도는 면적 증가에 따라 지속적으로 증가하거나 감소하는 경향을 보였다. 종다양도와 우점도는 비교적 작은 면적에서도 수렴하는 경향이 강했으며, BMI는 여울에서 조사면적에 비의존적인 특성을 보여 현행 하천수생태계 건강성 조사 방식의 타당성을 뒷받침하였다.

4인자 모형인 일반로지스틱멱함수분포는 군집지수-면적 관계에 대하여 전반적으로 높은 적합도를 보였으나 과적합 위험과 통계량 산출 시 요구되는 수치해석의 복잡성으로 인해 실용성이 낮다. 역치값을 포함한 대수정규분포, 와이블분포, 역와이블분포, 감마분포, 일반지수분포 등 3인자 모형은 4인자 모형에 비해 적합도가 크게 낮지 않으므로, 중서식처와 군집지수 유형에 따라 효율성과 안정성을 고려해 적절한 모형을 선택하는 것이 합리적이다.

종다양성에 대한 서식처의 수용력은 모형으로부터 추정된 최대종다양도로 평가되었는데, 하천 규모가 큰 본류의 흐름과 여울에서 높았다. 특정 중서식처의 이질성은 미분엔트로피를 통해 평가되었는데, 본류의 흐름과 수변에서 높게 나타났다. 이는 하상이 불균질하고 식생 등 환경요인이 복합적으로 작용한 결과로 해석된다.

중서식처 간 환경특성 차이로 인해 지점단위 평가 시 조사면적에 따른 군집지수의 변동성이 커지므로, 모든 중서식처를 복합한 지점 단위에서 군집지수-면적 관계와 종다양도 기반 서식처 수용력을 정확히 평가하려면 표본크기를 확대할 필요가 있다. 지점 단위에서 종다양도-면적 관계에 대하여 가장 높은 정확도를 보인 3인자 모형은 대수정규분포였으며, 이를 기반으로 평가하였을 때 하천 규모가 클수록 종다양성에 대한 서식처의 수용력이 높았다. 특히 본류의 상류지점은 단일 방형구 기준으로 한 개별 중서식처의 종다양도는 낮지만, 전체 서식처의 수용력은 높았는데 이는 공간적 이질성이 종다양성 증진에 기여함을 시사한다.

이러한 결과는 하천 내 저서성 대형무척추동물의 군집구조에 대한 이해는 물론, 생태계 건강성 평가를 위한 효율적인 조사계획 수립에도 기여할 수 있을 것으로 기대된다. 다만 본 연구는 특정지역에서 1회 조사라는 한계점을 내포하고 있으므로 향후 다양한 시공간적 규모에서 추가적인 검증이 필요할 것으로 보인다.

References

1 
Bagon, M., Harper, J. L., and Townsend, C. R. (1986). Ecology: Individuals, populations and communities, Blackwell Science, Oxford, 876.Google Search
2 
Benton, T. G., Vickery, J. A., and Wilson, J. D. (2003). Farmland biodiversity: Is habitat heterogeneity the key?, Trends in Ecology & Evolution, 18(4), 182-188. https://doi.org/10.1016/S0169-5347(03)00011-9DOI
3 
Boyle, T. P., Smillie, G. M., Anderson, J. C., and Beeson, D. R. (1990). A sensitivity analysis of nine diversity and seven similarity indices, Research Journal of the Water Pollution Control Federation, 62(6), 749-762.Google Search
4 
Brown, A. V. and Brussock, P. P. (1991). Comparisons of benthic invertebrates between riffles and pools, Hydrobiologia, 220(2), 99-108. https://doi.org/10.1007/BF00006542DOI
5 
Cao, Y., Williams, D. D., and Larsen, D. P. (2002). Comparison of ecological communities: The problem of sample representativeness, Ecological Monographs, 72(1), 41-56. https://doi.org/10.2307/3100084DOI
6 
Dufrene, M. and Legendre, P. (1997). Species assemblages and indicator species: The need for a flexible asymmetrical approach, Ecological Monographs, 67(3), 345-366. https://doi.org/10.2307/2963459DOI
7 
Duggan, I. C. and Coller, K. J. (2002). Evaluation of invertebrate biometrics and the influence of subsample size using data from some westland, New Zealand, Lowland Streams, New Zealand Journal of Marine and Freshwater Research, 36, 117-128. https://doi.org/10.1080/00288330.2002.9517075DOI
8 
Herbst, D. B., Cooper, S. D., Medhurst, R. B., Wiseman, S. W., and Hunsaker, C. T. (2018). A comparison of the taxonomic and trait structure of macroinvertebrate communities between the riffles and pools of montane headwater streams, Hydrobiologia, 820(1), 115-133. https://doi.org/10.1007/s10750-018-3646-4DOI
9 
Hurlbert, S. H. (1971). The nonconcept of species diversity: A critique and alternative parameters, Ecology, 52(4), 577-586. https://doi.org/10.2307/1934145DOI
10 
Kim, A. R., Oh. M. W., and Kong, D. S. (2013). The influence of sample size on environment assessment using benthic macroinvertebrates, Journal of Korean Society on Water Environment, 29(6), 790-798. [Korean Literature]Google Search
11 
Kong, D. S. and Kim A. R., (2015a). Analysis on the relationship between number of species and survey area of benthic macroinvertebrates using weibull distribution function, Journal of Korean Society on Water Environment, 31(2), 142-150. [Korean Literature]Google Search
12 
Kong, D. S. and Kim A. R., (2015b). Analysis on the relationship between biological indices and survey area of benthic macroinvertebrates using mathematical model, Journal of Korean Society on Water Environment, 31(6), 610-618. [Korean Literature]Google Search
13 
Kong, D. S., Son, S. H., Hwang S. J., Won, D. H., Kim, M. C., Park, J. H., Jeon, T. S., Lee, J. E., Kim, J. H., Kim, J. S., Park J., Kwak, I. S., Jun, Y. C., Park, Y. S., Ham, S. A., Lee, J. K., Lee, S. W., Park, C. H., Moon, J. S., Kim, J. Y., Park, H. K., Park, S. J., Kwon Y., Kim P., and Kim, A. R. (2018). Development of benthic macroinvertebrates index (BMI) for biological assessment on stream environment, Journal of Korean Society on Water Environment, 34(2), 183-201. [Korean Literature] https://doi.org/10.15681/KSWE.2018.34.2.183DOI
14 
Kong, D., Kwon, Y., Kim, Y. J., Kim, M. C., Jun, Y. C., Kwon, S. J., and Jeon, Y. L. (2025). Analysis on the species-area relationship of benthic macroinvertebrates using probability distribution models, Journal of Korean Society on Water Environment, 41(3), 199-213. [Korean Literature] https://doi.org/10.15681/KSWE.2025.41.3.199DOI
15 
Ludwig, J. A. and James F. R. (1988). Statistical ecology: A primer on methods and computing, Wiley-Interscience Publication, New York, 86.Google Search
16 
MacArthur, R. H. and Wilson, E. O. (1967). The theory of island biogeography, Princeton University Press, Princeton, New Jersey.Google Search
17 
Margalef, R. (1958). Information theory in ecology, General Systems, 3, 36-71.Google Search
18 
McCulloch, D. L. (1986). Benthic macroinvertebrate distributions in the riffle-pool communities of two east Texas streams, Hydrobiologia, 135(1), 61–70. https://doi.org/10.1007/BF00006459DOI
19 
McNaughton, S. J. (1967). Relationship among functional properties of California grassland, Nature, 216, 168-169. https://doi.org/10.1038/216168b0DOI
20 
Menhinick, E. F. (1964). A comparison of some species-individuals diversity indices applied to samples of field insects, Ecology, 45(4), 859-861. https://doi.org/10.2307/1934933DOI
21 
Morin, A. (1997). Empirical models predicting population abundance and productivity in lotic systems, Journal of the North American Benthological Society, 16(2), 319-337. https://doi.org/10.2307/1468021DOI
22 
Pielou, E. C. (1975). Ecological diversity, Wiley-Interscience Publication, 165.Google Search
23 
Preston, F. W. (1962). The canonical distribution of commonness and rarity: Part I, Ecology, 43(2), 185–215. https://doi.org/10.2307/1931976DOI
24 
Sanders, H. L. (1968). Marine benthic diversity: A comparative study, The American Naturalist, 102(925), 243-282. http://www.jstor.org/stable/2459027Google Search
25 
Shannon, C. E. and Weaver, W. (1949). The mathematical theory of communication, University of Illinois Press, Urbana.Google Search
26 
Vlek, H. E., Sporka, F., and Krno, I. (2006). Influence of macroinvertebrates sample size on bioassessment of streams, Hydrobiologia, 566(1), 523-542.DOI
27 
Vreugdenhil, D., Terborgh, J., Cleef, A. M., Sinitsyn, M., Boere, G. C., Archaga, V. L., and Prins, H. H. T. (2003). Comprehensive protected areas system composition and monitoring, Shepherdstown (WV): World Institute for Conservation and Environment.Google Search
28 
Yoon, I. B., Bae, Y. J., Ro, T. H., Lee, S. J., and Park, J. H. (1998). Determination on the optimal sample size in the aquatic insect community analysis–Pangtae creek model, The Korean Journal of Ecology, 21(5), 409-418. [Korean Literature]Google Search