장서진
(Seojin Jang)
1aiD
이승연
(Seungyeon Lee)
1biD
강민석
(Minseok Kang)
1ciD
이승기
(Seunggi Lee)
1d,2aiD
서유진
(Yu-Jin Seo)
3a
신재돈
(Jaedon Shin)
3b,†iD
윤영건
(Younggun Yoon)
1e,†iD
조민
(Min Cho)
1f,†iD
-
전북대학교 환경생명자원대학 생명공학부, SELS연구소
(Division of Biotechnology, SELS center, College of Environmental and Bioresource Sciences,
Jeonbuk National University)
-
광주과학기술원 환경⋅에너지공학과
(School of Environment and Energy Engineering, Gwangju Institute of Science and Technology
(GIST))
-
국립군산대학교 융합과학공학대학 토목환경공학부 환경공학과
(Department of Environmental Engineering, Kunsan National University)
Copyright © KOREAN SOCIETY ON WATER ENVIRONMENT
Key words
Agriculture, Disinfection, Foodborne pathogen, Hydrophilization, Interfacial
1. Introduction
수계 내 병원성 미생물은 전 세계적으로 공중보건을 위협하는 주요 환경 문제로 인식되고 있다. 세계보건기구(WHO)에 따르면, 안전하지 않은 물, 위생환경,
개인위생으로 인해 발생하는 설사병으로 매년 약 80만 명이 사망하는 것으로 보고된다(Augustine et al., 2020;
Li et al., 2020). 이러한 병원성 미생물은 의료폐수, 인간 및 동물의 배설물, 식품 가공 공정, 농업 폐수 등 다양한 경로를 통해 도시 수계로 유입되며, 상하수도
시스템, 자연수계 및 농업용수를 포함한 물순환 전반에서 (재)오염과 확산/전파의 우려를 야기한다(Esser et al., 2023;
Winward et al., 2009;
Yesilay et al., 2023).
최근 농업 환경은 전통적인 노지 재배(outdoor cultivation)에서 벗어나 스마트팜 및 시설재배 중심의 고도화된 형태로 빠르게 변화하고
있다(Aarif et al., 2025). 이러한 집적화된 농업 시스템에서는 작물 생장, 세척, 냉각 등의 공정에 농업용수가 다량 사용되며, 수질의 안전성은 생산물의 위생과 직결된다. 과거에는
오염도가 낮은 지하수가 주요 용수원이었지만, 지하수 내 미생물 및 화학적 오염이 심화함에 따라 수질 안전 확보가 어려워지고 있다(Wu and Sun, 2016). 특히, 일부 시설농업에서는 하천수와 같은 지표수를 작물 생산에 이용하는 사례가 증가하면서, 신선 채소류에 병원성 미생물이 직접 접촉할 가능성이
커지고 있다(Douti et al., 2021;
Xiao et al., 2018).
실제 국내에서는 새싹보리 및 인삼 등 신선 농산물에서 감염성 대장균(Escherichia coli) 검출 사례가 보고되었으며, 이는 생산 과정 내
위생 관리 미흡에 따른 감염 위험을 시사한다(KCA, 2020;
Shim et al., 2013). 그중에서 E. coli O157:H7은 shiga 독소를 생성하는 유전형(STEC)에 속하며, 높은 생존력과 내성 특성, 낮은 감염 역치 등으로
인해 식품 제조 환경에서 주요한 위해 인자로 분류된다(Ahmed and Shimamoto, 2015;
Large et al., 2005). 국외 사례로는 미국 질병통제예방센터(CDC) 및 식품의약국(FDA)의 보고에 따라, 한국산 팽이버섯 섭취로 인해 리스테리아 모노사이토제네스(Listeria
monocytogenes)에 감염된 식중독 환자가 총 36명 발생하였고, 이 중 4명이 사망, 2명의 임산부가 유산하는 중대한 피해가 확인되었다(Pereira et al., 2023). 리스테리아 균은 저온에서도 생존 가능하며 면역력이 약한 인체에 치명적인 영향을 미치는 고위험 병원균으로, 생식 식품의 위생 관리 중요성을 뒷받침하는
사례로 평가된다. 그 외, 황색포도상구균(Staphylococcus aureus)은 장독소(staphylococcal enterotoxins, SEs)를
생성하는 대표적 식중독 병원균으로, 이 독소는 열과 위장관 단백질 분해효소에 높은 내성을 보여 조리 및 소화 과정에서도 안정성을 유지한다. 특히 메티실린을
포함한 베타락탐계 항생제에 내성을 지닌 메티실린 내성 황색포도상구균(Methicillin-resistant Staphylococcus aureus,
MRSA)은 식중독 발생과 공중보건 위해성 측면에서 더욱 중요한 관리 대상이다(Elshebrawy et al., 2025). 이와 같이 병원성 미생물은 물 환경을 통해 식품 제조 및 농업 현장에 유입될 수 있으며, 이를 통해 인체 위해로 이어질 가능성이 존재한다. 따라서
수질 안전성 확보와 식품 공정 내 미생물 제어를 위한 효율적 대응 기술의 개발은 물 환경 및 공중보건 분야에서 시급한 과제이며, 소독 처리 기술의
과학적 타당성과 실효성에 대한 체계적인 평가가 요구된다.
농업 및 식품 제조 시설의 용수 내 미생물은 단순히 수중에 부유하는 형태뿐만 아니라, 입자성 물질 표면 또는 플라스틱 계열의 고체 표면에 부착되거나
바이오필름 형태로 고착되어 존재하는 경우가 많다(Catão et al., 2021;
Stanimirova et al., 2008). 부착형 미생물은 산화제와의 직접적인 접촉이 구조적으로 제한되기 때문에 소독 효율이 현저히 저하된다. 특히 (초)미세플라스틱 표면에 형성된 바이오필름은
두 가지 요인이 결합되어 산화제 작용을 저해한다. 첫째, 플라스틱의 고유한 소수성 특성은 액체상–고체상 계면에서 안정적인 분리층(interfacial
barrier)을 형성하여 산화제가 표면 내부 미생물까지 확산⋅도달하는 것을 방해한다. 둘째, 바이오필름 외층의 세포 외 고분자 물질(Extracellular
Polymeric Substances, EPS)은 산화제를 우선적으로 소모하거나 반응 지연층(diffusion-limiting layer)을 형성하여
표면 내 미생물에 대한 실제 산화력을 현저히 감소시킨다. 이러한 요인들은 기존 염소 소독과 같은 단일 산화제 기반 공정의 효율을 구조적으로 제약하는
근본적 한계로 작용한다(Fernandes et al., 2024;
Tang et al., 2022).
농업⋅식품 위생 현장에서는 경제성, 작업 편의성, 광범위한 살균력 등의 이유로 염소계 소독제(free available chlorine, FAC)가
여전히 표준적 수단으로 널리 사용되고 있다. 신선 농산물 세척 공정에서는 교차오염 억제를 위해 차아염소산나트륨이 투입되며, 일반적으로 유리염소 50-200
mg/L 수준이 1-2분 적용된다(Gao et al., 2025). 최근 연구에서는 일부 품목에 대해 유리염소 10-20 mg/L 수준만으로도 충분한 제어 효과가 보고되어, 품질 보전(변색⋅연화⋅풍미 변화 방지)
및 부산물(예: 트리할로메탄) 최소화를 위한 최적화 필요성이 강조되고 있다(López-Gálvez et al., 2021;
Tudela et al., 2019). 또한, 시설 장비와 같은 식품 접촉 표면(Food Contact Surfaces, FCS) 소독에서도 염소계 소독제가 활용되며, 미국 FDA Food
Code는 식품 접촉 표면 소독 시 차아염소산계 유리염소의 최대 허용 농도를 200 ppm으로 규정하고 있다(McGlynn, 2016;
Torres, 2025).
현재 자외선(UV), FAC, 오존, 촉매 기반 고도산화 처리 공정(예: 하이드록실 라디칼 등)은 실제 수처리 및 환경위생 현장에 광범위하게 활용되고
있으나(He et al., 2019), 대부분 수용액 상 부유 미생물을 대상으로 한 평가가 중심이며, 실제 환경의 고체 표면 소독 성능 평가는 부족하다. FAC는 수중에서 주로 차아염소산(HOCl)과
차아염소산 이온(OCl⁻) 형태로 존재하며, 세포막 인지질 및 단백질을 산화하여 미생물을 불활성화한다(Dodd, 2012;
Yoon et al., 2024). 이러한 반응은 친수성 환경에서 효과적으로 진행되지만, 소수성 표면에서는 소독제의 확산과 접근이 제한되어 살균 효율이 저하되는 것으로 알려져 있다(DeFlorio et al., 2021;
Faille et al., 2018). 이러한 한계를 극복하기 위해 물리적 또는 화학적 전처리를 통해 소독제와 표면 미생물 간 반응성을 향상시키는 전략이 요구된다. 대표적인 물리적 접근법인
초음파 처리는 공동현상(cavitation)을 유도하여 소수성 표면 부착 유기물의 탈착을 촉진하거나 표면의 친수성을 증가시켜 소독제 접근을 개선한다(Xia et al., 2025;
Zupanc et al., 2019). 화학적 접근법으로는 계면활성제를 활용하여 소수성 표면을 부분적으로 수화(hydrophilization)시킴으로써 산화제 접근성을 개선할 수 있다.
더불어, 계면활성제는 미생물 세포막의 지질 이중층에 삽입⋅변형을 유도하여 세포 투과성을 높이고, FAC와 같은 산화제가 세포 내부 표적(효소, 단백질,
지질)에 효과적으로 작용할 수 있는 경로를 확장한다. 따라서 계면활성제는 단순한 물리적 보조제가 아니라, 표면 소독 공정에서 산화제와 상호 보완적으로
작용하여 불활성화 효율을 증폭시키는 기능성 보조제(functional adjuvant)로 활용될 수 있다(Kawai et al., 2025;
Zhang et al., 2025).
시설재배 농업 현장에서 사용되는 벨크로(Velcro)는 복잡한 구조와 높은 소수성으로 인해, 작물의 생장 및 수확 공정 중 병원성 미생물의 잔류 및
전파 매개체로 지목되고 있다(Rodríguez-Hermida et al., 2017). 실제 현장에서는 벨크로의 물리적 세척과 염소계 소독제가 적용되고 있으나, 소독 효율에 대한 체계적인 평가는 미비한 상황이다. 특히 공중보건 기준에서
요구되는 미생물 제거 수준인 4-log(99.99%) 이상에 도달하지 못하는 경우가 빈번히 발생하는 것으로 추정된다(Kim et al., 2017;
Mathieu et al., 2014).
종합적으로, 본 연구는 실제 시설재배 환경에서 발생할 수 있는 감염성 병원성 미생물인 장출혈성 대장균(Escherichia coli O157:H7)과
메티실린 내성 황색포도상구균(MRSA)을 대상으로, 소수성 벨크로(Velcro) 표면에 잔류하는 상황을 모사한 인위적 오염 및 회수(harvesting)
방법을 구축하였다. 미생물의 배양 가능한 활성(culturable viability)을 지표로 하기 위해 고체배지를 이용한 plate counting과
식품공전 기준의 건조 필름법(EasyPlate)을 병행하여 분석법을 확립⋅최적화하였다. 이후, 수용액 상 조건과 비교하여, 소수성 표면에서 일반적으로
적용 가능한 처리 기술인 저주파 초음파(low frequency ultrasound, LF-US, <40 kHz), 국내 식품첨가물로 등록된 비이온성
계면활성제 트윈 80(Tween 80), 그리고 보편적인 산화제인 유리염소(free available chlorine, FAC)를 단독 및 복합 처리
방식으로 적용하고, 각 소독 효율을 체계적으로 비교⋅평가하였다. 더불어, 접촉각(contact angle) 측정과 퓨리에 변환 적외선 분광기(Fourier-transform
infrared spectroscopy, FTIR) 분석을 통해 미생물 제어 과정에서 발생하는 표면 반응 기작을 규명하였다(Fig. 1).
본 연구의 궁극적 목적은 소수성 표면에서 병원성 미생물 불활성화 효율을 제한하는 기존 염소 소독 공정의 구조적⋅화학적 한계를 규명하고, 이를 극복하기
위한 물리⋅화학적 전처리 기반 복합 소독 전략을 제안하는 것이다. 나아가, 이러한 접근을 통해 실제 농업 및 식품 위생 환경에서 적용 가능한 과학적
근거를 마련하고, 향후 맞춤형 소독 프로토콜 설계에 기초자료를 제공하고자 하였다.
Fig. 1. Diagram illustrating the selected microorganisms, the disinfection process,
and the optimized method for assessing bacterial viability.
2. Materials and Methods
2.1. 표준물질 및 시약
모든 시약은 특별한 전처리 없이 제조사에서 공급받은 상태 그대로 사용하였다. 미생물 배양용 등급의 sodium hypochlorite solution(4.00–4.99%),
sodium phosphate dibasic(≥99.0%), potassium phosphate monobasic(≥99.0%), sodium thiosulfate
(99.0%), 트윈 80(Tween 80, oleic acid≥58.0 %)은 Sigma Aldrich (USA)에서 구매하여 사용하였다. 미생물
배양을 위한 배지로는 nutrient broth (Difco, USA), LB broth, Miller (Difco, USA), BHI (Difco,
USA) 그리고 agar powder (Daejung, Korea)를 사용하였다. 모든 시약의 stock 용액은 초순수 발생 장치인 Aqua Max-Ultra
370(YL Instruments, Anyang, Korea)에서 생산된 초순수(resistivity ≥18.2 MΩ⋅cm)를 사용하여 제조하였다.
실험에 활용한 초자류(glassware)는 초순수로 세척한 후, 121 °C에서 15분간 고압증기멸균(autoclave)하여 사용하였다.
2.2. 미생물 스탁 준비
Escherichia coli O157:H7 (ATCC 43888)과 MRSA (ATCC BAA-1556)를 포함한 모든 병원성 미생물 실험은 생물안전
2등급(BSL-2) 시설에서 수행하였다. 배양 및 분석 과정은 Class II 생물안전 작업대(JSR, JSCB-1500SB, Korea) 내에서
진행하였으며, 연구자는 개인보호장비를 착용하고, 모든 오염 가능 물질은 고압멸균을 포함한 표준 멸균 절차에 따라 처리하였다. 이와 같은 조치는 관련
생물안전 지침을 철저히 준수하기 위한 것이다.
본 연구에서는 모델 미생물로 장출혈성 대장균(Escherichia coli O157:H7, ATCC 43888) 및 메티실린 내성 황색포도상구균(MRSA,
ATCC BAA-1556)을 사용하였다. 모든 실험은 –80 ℃에 보관된 스탁균주(90% 글리세롤)를 기반으로 매 실험 시 신규 배양하여 수행하였다.
요약하여, 동결 보존된 균주를 영양 평판배지에 획선도말(streaking)하여 37 ℃에서 24시간 동안 배양한 후, 형성된 단일 콜로니를 선별하였다.
선택된 콜로니는 미생물종에 따라 각각 멸균된 액체배지에 접종하였다. E. coli의 경우 Luria-Bertani (LB) broth, MRSA의
경우 Brain Heart Infusion (BHI) broth 10 mL에 접종한 후, 37 ℃, 220 rpm 조건에서 12시간 동안 배양하였다.
준비된 종균배양(pre-culture) 1 mL를 멸균된 LB 액체배지에 접종하여 동일 조건하에 약 2시간 배양하였고, 동시에 배양액의 흡광도(OD600nm)가
1.0–1.5 범위에 도달할 때까지 관찰하였다. OD600nm 측정은 UV-Vis 분광광도계(Agilent 8453, USA)를 사용하였다. 배양이
완료된 균주는 3,500 rpm에서 15분간 원심 분리하여 상등액을 제거한 후, pH 7.0의 10 mM 인산완충용액(phosphate buffer
solution, PBS)으로 펠렛(pellet)을 재현탁하였다. 이 과정을 여러 차례 반복하여 잔류 배지 물질을 제거하고 최종 실험용 균주스탁을
확보하였다. 최종 OD600nm 값은 약 2.0이었으며, 이에 대응하는 초기 균 농도는 약 1×109 CFU/mL로 확인되었다.
2.3. 미생물 불활성화 평가
미생물 불활성화 실험은 수용액상(liquid phase)과 고체상(solid phase) 조건에서 각각 수행하여, 동일한 소독 조건에서 상(phase)에
따른 처리 효율 차이를 비교하였다. 모든 실험은 pH 7.0의 10 mM 인산완충용액을 반응 매트릭스로 사용하였으며, 소독제 처리는 저주파 초음파(<40
kHz), 비이온성 계면활성제 트윈 80(0.01, 0.1, 1%), 및 유리염소(1–20 μM)를 단독 또는 복합 방식으로 적용하였다(Fig. 2). 소독제 반응 후 채취한 시료는 티오황산나트륨(sodium thiosulfate)으로 잔류 소독제를 불활성화하여 생균 정량의 정확성을 확보하였다.
모든 조건은 위양성(false positive) 방지를 위해 무처리 대조군을 포함하였으며, 도출된 데이터는 SigmaPlot (v.14.0, Systat
Software Inc., San Jose, CA, USA), Microsoft Excel (Microsoft Corp., Redmond, WA,
USA), 및 GraphPad Prism (v.9.0, GraphPad Software Inc., San Diego, CA, USA)을 활용하여 통계
분석과 그래프 작성에 사용하였다.
Fig. 2. Schematic illustration of (a) liquid-phase and (b) solid-phase disinfection
processes; (c) culture-based viability assessment using plate counting and/or EasyPlate
methods; and (d) data analysis based on experimentally determined values.
2.3.1 수용액상(liquid phase)
수용액상 실험에서는 멸균된 50 mL 비커에 10 mM 인산완충용액 30 mL와 멸균 마그네틱 바를 넣고, OD600nm 기준 0.01(약 106 CFU/mL)에 해당하는 농도의 미생물 배양액을 접종하였다. 이후 자력 교반기에서 220 rpm으로 충분히 교반한 뒤, 초기 농도 확인을 위한 시료를
채취하여 멸균 튜브에 저장하였다. 그 후 각 실험군에 사전 설정된 농도의 트윈 80 또는 유리염소 용액을 주입하여 반응을 개시하였다. 반응은 실온
조건에서 진행되었으며, 정해진 시간 간격에 따라 시료를 채취하여 미생물의 생존력을 평가하였다(Fig. 2a).
2.3.2 고체상(solid phase)
고체상 실험에는 국내 시중(경인 지역)에서 구입한 상용 벨크로 제품을 사용하였으며, 해당 제품은 제조사가 명시되지 않았으나 일반적으로 사용되는 합성섬유
기반 제품이다. 주요 재질은 나일론/폴리우레탄으로 구성된 루프(loop) 형태이며, 이를 1.5 × 2.5 cm2 크기의 쿠폰으로 절단하여 실험에 사용하였다(Fig. 2b). 쿠폰은 UV254nm 램프를 30초간 조사하여 표면 소독을 사전에 시행한 후, 종균 배양된 미생물 단일 콜로니를 벨크로 표면과 내부에 고르게
문질러 미생물을 인위적으로 접종하였다. 접종된 쿠폰을 이용해 트윈 80과 유리염소 용액을 적용한 단독 및 복합 처리를 진행했다. 단독 처리의 경우,
10 mM 인산완충용액 기반으로 제조된 트윈 80 또는 유리염소 용액 20 mL가 주입된 50 ml 멸균 튜브에 쿠폰을 주입 후 정해진 처리 시간만큼
회전 교반기를 이용해 10 rpm으로 처리했다.
복합 처리의 경우, 쿠폰의 소수성 표면을 친수성으로 개선시키기 위한 전처리 방법으로 트윈 80(화학적)과 초음파(물리적)를 적용했다. 트윈 80은
사전 설정 농도로 제조된 용액 20 ml가 주입된 반응조에 쿠폰을 침지하는 형식으로 진행했고, 초음파는 인산완충용액 20 ml가 주입된 반응기에 쿠폰을
넣고 정해진 시간만큼 처리하여 전처리를 진행했다. 두 처리 방법을 복합적으로 사용한 전처리의 경우, 초음파 처리를 먼저 진행한 후 트윈 80 용액을
주입해 진행했다. 트윈 80 용액을 이용한 전처리 조건의 경우, 염소 용액을 주입하기 전 쿠폰 내 잔류 트윈 80을 제거하기 위해 용액 일부를 제거하고
동일한 양만큼 채워주는 과정을 3회 반복했다. 이어서 염소 용액을 주입한 후 정해진 시간만큼 회전 교반했다. 단독 및 복합 처리 후 쿠폰은 생존한
균주 정량 분석 정확도를 확보하기 위해 티오황산나트륨(sodium thiosulfate)이 포함된 인산완충용액 10 ml가 주입된 멸균 튜브에 넣어
균질화 후 3분 동안 초음파 처리하여 쿠폰 내부 균주를 회수했고, 시료를 100배 이상 희석했다.
2.4. 고체상 표면 특성 분석
고체상(벨크로) 표면 내 미생물 유⋅무 또는 표면 소독 처리 전⋅후에 따른 물리적 및 화학적 특성 변화를 확인하기 위해 접촉각 측정과 FTIR 분석을
수행하였다. 특히, 접촉각 측정은 표면의 소수성(hydrophobicity) 변화를 통해 공정 처리(예: 저주파 초음파, 계면활성제, 유리염소)에
따른 표면 개질(surface modification) 변화를 평가하기 위한 것으로, 증류수 또는 평가 용액 20 μL를 벨크로 쿠폰 표면에 점적하고
표면장력 분석기(Biolin Scientific, Attension Theta Flex, Sweden)를 이용하여 접촉각을 계산하였다. 각 조건당
5회 이상 반복 측정하여 평균값과 표준편차를 산출하였으며, 접촉각 증가 여부를 통해 표면 소수성 변화 경향을 파악하였다. 화학적 특성 평가는 FTIR
분석기(Agilent Cary 630, USA)를 이용하여 3999–650 cm⁻¹ 파장 범위에서 수행되었으며, 쿠폰 절단 후 건조 과정을 거쳐 ATR
(accessory) 모드를 활용해 표면의 주요 작용기(-CH, -OH, -C=O 등)의 스펙트럼 변화를 관찰하였다. 이를 통해 소독 처리 조건에
따른 표면 기능기 변화를 비교하고, 반응 메커니즘과의 연관성을 평가하였다.
3. Results and Discussion
3.1 수용액 상 E. coli 및 MRSA에 대한 트윈 80과 염소의 단독 소독효과
본 연구에서는 선정된 소독 공정의 개별 처리 효과를 원리적으로 평가하기 위해, 대표적인 병원성 미생물인 E. coli (Gram-negative)와
MRSA (Gram-positive)를 인산완충용액 내 약 5×106 CFU/mL로 현탁한 뒤, 트윈 80 및 유리염소를 단독 적용하여 소독 효율을 비교하였다. 트윈 80 처리 결과(Fig. 3a, b), 0.01%, 0.1%, 1%의 농도로 각각 0, 60, 300초 처리한 모든 조건에서 두 균주의 CFU 수 변화가 거의 없었다. 이는 트윈 80이
식품⋅제약 분야에서 주로 유화제(emulsifier)로 사용되며 세포막에 대한 직접적인 살균 작용을 가지지 않는다는 기존 보고와 일치한다Brandl and Huynh, 2014;
Gomes et al., 2018. 따라서 트윈 80 단독 처리는 표적 미생물의 불활성화 효과가 미미하며, 소독 공정에서 살균제가 아닌 보조제 역할이 주효할 것으로 판단된다(섹션
3.3에 자세히 기술). 반면 유리염소 단독 처리(Fig. 3c, d)는 농도 및 반응 시간에 따라 현저한 불활성화 효과를 나타냈다. E. coli의 경우, 1 μM 유리염소 처리 시 6초 이내에 약 2-log(99%)
감소가 관찰되었으며, 약 20초 후에는 4-log(99.99%) 제거가 달성되었다. 유리염소 농도를 2–4 μM로 높이면 반응 시간이 단축되어, 3–4
μM 조건에서는 6초 만에 6-log 이상(완전 불활성화)에 도달하였다. MRSA 또한 유리염소에 감수성을 보였으나, 동일한 불활성화를 달성하기 위해
더 높은 농도(8–11 μM)가 요구되었다.
특이하게도 MRSA는 모든 농도 조건에서 6초 이내에 2-log 감소가 이루어졌으나, 4-log 불활성화까지는 12–15초가 필요했다. 또한 8–10
μM 유리염소 처리 시 일부 조건에서 반응 후반부(15–21초) 동안 CFU 수가 일정하게 유지되거나 일시적으로 증가하는 경향이 나타났다. 이러한
비선형 반응 패턴은 포도상구균 특유의 군집(clustering) 형태와 두꺼운 펩티도글리칸층으로 인한 유리염소 침투 지연, 그리고 세포 집합체 내부
미생물의 방어적 기작(defensive mechanism)에 기인할 가능성이 높다Chen et al., 2023;
Maillard and Pascoe, 2024. 이는 군집 내부의 세포가 외부 세포벽을 일종의 보호막으로 활용함으로써 소독제 확산을 국소적으로 차단하는 기작과 연관될 수 있다. 구체적으로, 이러한
차이는 세포벽 구조적 특성과 유리염소 작용 기작의 상호작용으로 설명할 수 있다. E. coli는 외막(lipopolysaccharide)과 얇은 펩티도글리칸층을
가진 그람음성균으로, FAC의 산화 손상(단백질 변성, 지질 과산화, 효소 불활성화)에 빠르게 노출된다. 반면 MRSA는 두꺼운 펩티도글리칸층과 테이코산(teichoic
acids) 구조를 갖춘 그람양성균으로, 유리염소의 확산을 물리적으로 지연시키며 산화 손상에 대한 내성을 나타낸다.
Fig. 3. Cultivability of E. coli and MRSA following treatment with Tween 80 or FAC
in the liquid phase. Viability (CFU/mL) of (a) E. coli and (b) MRSA after exposure
to Tween 80 (0.01–1%) for up to 300 s in 10 mM phosphate buffer (pH 7.0). Viability
(CFU/mL, left y-axis) and log reduction (log(C/C0), right y-axis) of (c) E. coli and
(d) MRSA after treatment with FAC (1–11 μM) for up to 21 s. The purple horizontal
dashed line in panels (c) and (d) indicates a 4-log reduction. The cyan square box
highlights an abnormal pattern of bacterial viability, potentially corresponding to
a ‘lag phase’ during the disinfection process. Data are presented as mean ± standard
deviation from three independent experiments. “N.D.” indicates no viable cells detected.
특히 MRSA의 세포벽 두께는 일반 S. aureus보다 두껍다는 보고가 있어, 단시간⋅저농도 처리 시 생존율이 더 높게 유지되는 경향이 있다Chen et al., 2023. MRSA에서 관찰된 tailing 현상은 단순한 소독 효율 저하를 넘어, 소독 후 잔존 집락의 장기 생존 가능성을 시사한다. 이는 불완전 소독
시 환경 내 재증식(regrowth) 및 교차 오염(cross-contamination) 위험을 증대시키며, 지속성 아집단(persistent subpopulation)
형성 가능성을 뒷받침한다. 또한 이러한 패턴은 소독제 투입량이 충분하더라도 미생물 집단의 비균질적 반응(heterogeneity)이 장기 생존율 차이를
유발할 수 있음을 보여준다. 생화학적 관점에서, 유리염소 처리 중 생성⋅작용하는 활성산소종(reactive oxygen species, ROS) 및
라디칼의 소거(radical quenching)가 세포벽 외층에서 우선적으로 발생하거나, 세포 내 항산화 효소(예: catalase, superoxide
dismutase)의 차등 발현에 의해 집단 간 반응 편차가 발생할 수 있다. 이러한 불균질적 산화 스트레스 분포는 일부 아집단의 손상 회복(repair)
또는 일시적 내성(조건부 내성) 확보로 이어져 tailing을 유발할 가능성이 있다. 따라서 향후 연구에서는 (i) MRSA의 세포벽⋅군집 구조에서
산화 스트레스 전달/완화 경로를 분자 수준에서 규명하고, (ii) persistence-like 아집단의 대사⋅유전자 발현 특성을 정밀 분석할 필요가
있다. 더 나아가, 이러한 지식을 바탕으로 초음파 및 계면활성제 전처리의 최적화와 필요시, 다중 소독제 병용 등의 복합 공정 설계를 통해 실환경에서의
tailing 최소화 전략을 개발하는 것이 중요하다.
종합적으로, 본 결과는 유리염소 단독 처리의 효율이 미생물종에 따라 상이하며, 이는 세포벽 구조⋅배열 형태⋅군집 형성 및 효소적⋅대사적 방어와 같은
고유 특성에 크게 의존함을 시사한다. 따라서 실환경 적용 시 농도–접촉시간의 표적 특성 맞춤 최적화가 요구되며, MRSA와 같이 방어 기작이 강한
병원성 균주에는 물리⋅화학적 전처리(예: 초음파, 계면활성제)와의 병합 전략이 필수적일 수 있다.
3.2 고체상 벨크로 쿠폰 표면 내 E. coli 및 MRSA에 대한 저주파 초음파와 유리염소의 단독 소독효과
수용액상 실험(Section 3.1)과 달리, 표면 소독은 실제 환경에서 병원성 미생물의 잔존 및 전파를 효과적으로 제어하기 위한 핵심 과제로, 재질
특성과 표면 구조에 따라 소독 효율이 크게 달라질 수 있다. 이에 본 3.2 섹션에서는 고체 표면 조건에서의 소독 효율을 정량적으로 평가하고자, 위해성
미생물이 인위적으로 오염된 벨크로 쿠폰 루프(loop-side)에 E. coli와 MRSA를 접종하였다. 이후, 저주파 초음파를 이용한 부착 세균
회수율과 유리염소 단독 처리에 따른 불활성화 효율을 비교⋅분석하였다.
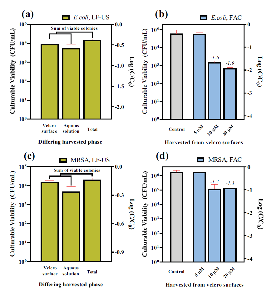
먼저, 40 kHz 미만의 LF-US를 3분간 적용한 결과(Fig. 4a, c), 두 균주 모두 쿠폰 표면뿐 아니라 쿠폰이 잠긴 인산완충용액에서도 회수되었으며, 총 회수량은 약 104 CFU/mL 수준으로 나타났다. 쿠폰과 주변 완충용액에서 회수된 균주의 총합은 쿠폰 표면에서 직접 회수된 농도와 통계적으로 유의한 차이가 없어,
초음파 처리가 벨크로 표면의 미세 틈에 잔존하던 세균을 효과적으로 탈착(desorption)시킨 것으로 해석된다. 이는 LF-US의 물리적 전단력(shear
force)과 공동현상(cavitation)이 표면 부착 세균의 부착력을 약화시키는 기작에 부합하며, 복잡한 표면 구조에서의 균주 회수에 있어 초음파
기반 물리적 처리법이 유효함을 시사한다. 이러한 특성은 향후 식품 가공 장비, 의료기기, 섬유 소재 등 비평탄⋅다공성 표면의 미생물 오염 평가 시
표준화된 회수 방법으로 적용 가능성이 높다. 이후 동일한 회수법을 적용하여, 벨크로 표면에 부착된 균주에 대한 유리염소 단독 처리의 소독 효율을 평가하였다(Fig. 4b, d). 처리 결과, 두 균주 모두 농도 증가에 따라 불활성화율이 증가하는 경향을 보였으나, E. coli는 20 μM에서 최대 1.9-log 감소를
보인 반면 MRSA는 1.1-log 감소에 그쳐, E. coli가 상대적으로 높은 감수성을 나타냈다. 관찰된 경향은 수용액 상 실험(Fig. 3c, d)과 일치하며, 이는 그람양성균인 MRSA가 가지는 두꺼운 펩티도글리칸 층과 테이코산(teichoic acids) 기반의 세포벽 구조가 유리염소(HOCl)의
침투와 반응을 물리⋅화학적으로 저해하기 때문으로 보고된다Choi et al., 2021;
He et al., 2019;
Nikolic and Mudgil, 2023.
그러나 고체상 벨크로 표면에서의 불활성화 효율은 수용액 조건과 비교해 전반적으로 현저히 낮았다. 수용액에서는 1–10 μM 염소 농도에서 수초(few
seconds) 내에 2–4 log 제거율을 달성한 반면, 고체상 조건에서는 모든 처리 조건에서 2 log 이상의 감소가 나타나지 않았다. 이는 벨크로
표면의 복잡한 3차원 구조와 소수성 특성이 소독제의 침투와 균주와의 직접 접촉을 물리적으로 제한했기 때문으로 판단된다. 특히 섬유 다발의 불규칙한
배열은 유리염소 분자의 확산 경로를 길게 만들고, 미세공극 내부에서는 잔류 유기물이나 미세 기포가 존재해 소독제의 반응성을 저하시키는 미세환경(microenvironment)을
형성할 수 있다. 이러한 구조적 장벽은 소독제의 표면 확산과 반응 속도를 동시에 저해함으로써, 실제 표면 내부에 도달하는 유효 염소 농도를 현저히
감소시키는 것으로 보고된다Maillard and Centeleghe, 2023;
Pidot et al., 2018;
Wang et al., 2022.
이러한 결과는 복잡⋅소수성 표면에서 단일 화학 소독제 처리만으로는 충분한 살균 효과를 확보하기 어렵다는 점을 시사한다. 특히 식품 가공, 의료용 섬유,
환경 표면 등 실제 현장에서는 표면의 기하학적 복잡성, 미세 틈새, 소수성 피막, 단백질/지질성 유기 오염물 등이 복합적으로 작용하여 소독 효율을
저하시킬 수 있다. 따라서 이러한 환경에서 효과적인 미생물 제어를 위해서는, 물리적 전처리(LF-US, 고압 세척 등)를 통해 표면 부착 세균을 탈착⋅분산시킨
후, 화학적 소독제를 적용하는 복합 처리 전략이 필요하다. 또한 표면 특성(친수성 vs. 소수성, 평탄 vs. 다공성)에 따른 소독제의 침투성 및
반응성 차이를 정량적으로 규명하고, 그에 맞춘 맞춤형 소독 프로토콜 개발이 요구된다. 나아가, 본 연구의 결과는 표면 구조적 장벽이 화학 소독 효율에
미치는 영향을 실험적으로 검증함으로써, 향후 고위험 산업 현장에서의 표면 위생 관리 전략 수립에 중요한 기초 자료를 제공한다.
Fig. 4. Cultivability of (a, b) E. coli and (c, d) MRSA recovered from Velcro coupon
surfaces or surrounding solutions during treatment with low-frequency ultrasound (<40
kHz, 3 min) followed by FAC exposure (5–20 μM, 3 min). Bar graphs show viable cells
recovered from the surface, surrounding solution, and their total in panels (a) and
(c), as well as disinfection efficacy after FAC treatment in panels (b) and (d), expressed
as CFU/mL (left y-axis) and log(C/C0) (right y-axis). Error bars indicate standard
deviations from three independent experiments.
3.3 고체상 벨크로 표면에서의 저주파 초음파-트윈 80 전처리 및 유리염소 복합 소독효과
앞선 벨크로 표면 내 단독 처리에서는 제한적인 소독 효과(<2-log, 99%)만이 관찰되었다. 이는 벨크로와 같은 구조적 복잡성과 강한 소수성을
가진 표면에서는 소독제가 표면 내부 깊숙이 침투하기 어렵고, 미생물과 소독제 간 직접적인 접촉이 제한되기 때문으로 판단된다. 따라서 본 연구에서는
보다 높은 수준의 불활성화(≥4-log, 99.99%)를 달성하기 위해 계면활성제 트윈 80과 저주파 초음파를 단독 또는 복합 전처리한 뒤 유리염소를
적용하여 소독 효율 변화를 비교하였다.
E. coli의 경우, 트윈 80(0.1%, 5초) 전처리 후 10 μM 유리염소(3분)를 적용했을 때 약 2.6-log 감소가 나타나, 유리염소
단독 처리(약 1.6-log) 대비 소독 효율이 약 1-log 향상되었다. 이는 트윈 80이 표면 소수성을 일시적으로 친수화하여 소독제의 확산과 침투를
촉진한 결과로 해석된다. 초음파(<40 kHz, 10초) 전처리 역시 농도 의존적으로 소독 효율을 증가시켜 10 μM과 20 μM 조건에서 각각 3.3-log와
3.7-log 감소를 보였다. 초음파에 의한 미세진동과 공동현상(cavitation)은 부착 표면 경계층을 교란해 소독제 침투 경로를 확대시킨 것으로
판단된다. 특히 트윈 80과 초음파를 복합 적용한 후 유리염소 처리 시에는 4.6-log 이상의 감소가 관찰되어 검출한계 미만 수준까지 불활성화가
달성되었다.
반면 MRSA의 경우 동일 조건에서 최대 2.0-log 감소에 그쳤으며, 복합 전처리 후에도 1.6-log 수준에 머물렀다. 흥미롭게도 트윈 80/염소
단독 처리보다 복합 처리에서 오히려 불활성화율이 소폭 낮아지는 역전 현상이 관찰되었다. 이는 몇 가지 기전적 요인으로 설명될 수 있다. 첫째, 트윈
80의 불포화 지방산 사슬이 HOCl과 직접 반응해 유효 잔류염소 농도를 감소시켰을 가능성이 있다. 둘째, 일정 농도 이상에서 형성된 미셀층이 세포를
부분적으로 포장(encapsulation)해 소독제 확산을 지연시킬 수 있다. 셋째, 전처리 과정에서 방출된 EPS나 유기물이 추가적인 염소 수요를
유발하여 실제 산화력이 저하되었을 수 있다. 마지막으로, 전처리 자극이 MRSA의 스트레스 반응 유도하여 catalase, superoxide dismutase
(SOD) 등 항산화 효소 활성이 일시적으로 증가했을 가능성도 있다. 이러한 현상은 학문적⋅실무적으로 중요한 함의를 가진다. 단순한 복합 전처리–염소
소독 공정이 항상 시너지 효과를 보장하는 것은 아니며, 특정 조건에서는 오히려 길항적(antagonistic) 상호작용이 발생할 수 있음을 시사한다.
특히 MRSA와 같은 고내성 병원균은 구조적 방어(두꺼운 펩티도글리칸, 군집화)뿐 아니라, 화학적⋅대사적 적응(항산화 효소 발현, 손상 회복 기작)을
통해 복합 처리에도 생존할 수 있는 잠재력이 있음을 보여준다. 이는 불완전 소독 시 소수 아집단이 잔존하면서 장기적으로 biofilm 형성 및 내성
강화로 이어질 수 있다는 점에서 공중보건적 위험성을 내포한다Kadirvelu et al., 2024;
Wang et al., 2020. 따라서 실환경 적용에서는 몇 가지 보완 전략이 요구된다. (i) 계면활성제와 염소의 동시 적용이 아닌, 전처리–린스–염소의 순차 공정(sequential
mode)으로의 전환, (ii) Tween 80 농도 및 접촉 시간의 최적화를 통해 염소 소요(chlorine demand)를 최소화, (iii)
초음파와 같은 물리적 전처리를 우선 적용해 화학적 길항 작용을 줄이는 방법, (iv) 염소와 반응성이 낮은 대체 계면활성제군(예: 저반응성 zwitterion
이온형) 탐색, (v) 다중 산화제(O3, H2O2, Fe(VI) 등) 병용 전략 등이 고려될 수 있다.
종합적으로, 본 결과는 MRSA와 같은 고내성 병원성 균주에 대해 단순 병용 공정이 충분하지 않음을 보여주며, 향후 연구에서는 (a) 계면활성제–염소
간 반응성 정량평가, (b) MRSA 아집단의 항산화 효소 및 내성 관련 유전자 발현 분석, (c) 실제 농업⋅식품 위생 환경에서의 장기 운영 실험이
필요하다. 이를 통해 복합 소독 공정에서 관찰된 길항 효과의 분자적⋅환경적 원인을 규명하고, 최적화된 다중 소독 전략을 설계하는 것이 중요하다.
Fig. 5. Culturable viability of (a) E. coli and (b) MRSA on Velcro coupon surfaces
following sequential pretreatment with Tween 80 and/or low-frequency ultrasound (LF-US)
prior to free available chlorine (FAC) disinfection. Bars represent viable counts
(CFU/mL, left y-axis) and log reduction (log(C/C0), right y-axis) under the following
conditions: Tween 80 (0.1%, 5 s) followed by FAC (10 μM, 3 min); LF-US (<40 kHz, 10
s) followed by FAC (10 or 20 μM, 3 min); and combined pretreatment with LF-US and
Tween 80 prior to FAC (10 μM, 3 min). Gray bars indicate untreated controls. Error
bars represent standard deviations from three independent experiments.
3.4 벨크로 쿠폰 표면 특성 변화 및 소독제 침투 향상 기작 분석
앞선 실험 결과에서 확인한 바와 같이, 트윈 80과 저주파 초음파 전처리는 벨크로 쿠폰 내부로의 소독제 침투를 촉진하여 소독 효율을 유의미하게 증가시켰다.
본 절에서는 이러한 전처리들이 벨크로 표면에 미치는 물리화학적 변화를 시각적 관찰, 접촉각 측정, 그리고 분광학적 분석을 통해 종합적으로 평가함으로써,
소독제 침투 향상의 근본 메커니즘을 규명하고자 하였다.
우선, 시각적 관찰 결과(Fig. 6a–d)는 증류수 대조군에서 벨크로 표면에 형성된 두터운 공기층이 명확히 확인되었으며, 이는 벨크로의 고유한 소수성 및 섬유 배열에 의해 수용액이 섬유
내부로 침투하지 못하고 공기층이 잔존함을 의미한다. 반면 트윈 80 처리에 따른 농도별 공기층 감소 및 초음파 전처리에 의한 유사한 공기층 감소는
각각 화학적⋅물리적 수화 메커니즘에 기반하여 표면 친수성을 증대시키는 효과로 해석된다. 특히, 트윈 80의 계면활성 작용으로 인한 용액 표면장력 저하는
표면과 용액 간의 상호작용을 강화해 소독제의 확산과 침투를 용이하게 한다. 초음파는 미세진동과 공동현상(cavitation)을 통해 표면의 경계층을
교란, 수분 분자가 섬유 내부로 깊이 침투할 수 있는 환경을 조성한다.
이러한 결과는 표면 접촉각 측정(Fig. 6e–f)에서도 뒷받침된다. 트윈 80 처리 후 접촉각이 약 33°에서 29°로 감소하며, 표면의 소수성이 완화되어 수용액의 확산과 표면 접촉이 개선되었음을
정량적으로 확인하였다. 이는 소독제의 표면 확산과 균주 접촉률 증가에 직접적으로 기여하는 요인으로, 복잡하고 다공성인 벨크로 섬유 내 소독제 전달
효율을 높이는 데 핵심 역할을 한다고 볼 수 있다.
한편, FTIR 분석(Fig. 6g)에서는 전처리 및 소독 조건에 따른 벨크로 쿠폰 표면의 화학적 조성 변화가 거의 관찰되지 않아, 본 연구에서 활용한 전처리들이 물리적 표면 특성
변화에 국한되고, 고분자 구조 변형을 유발하지 않음을 확인하였다. 이는 실질적인 소독제 침투 증진이 표면 화학변화가 아닌 친수성 증가 및 물리적 교란에
의한 것임을 의미한다. 더불어, 앞서 관찰된 MRSA의 제한적인 불활성화 효과는 본 절의 표면 특성 변화와 밀접한 관련이 있다. MRSA는 두꺼운
펩티도글리칸 층과 군집화된 형태로 인해, 설사 소독제가 침투하더라도 내부 세포에 대한 접근성이 현저히 낮고, 소독제와의 직접적인 접촉 시간이 짧다.
게다가, MRSA 군집 내 미세환경은 소독제의 산화능을 감소시키는 잔류 유기물, 세포 분비물 및 미세 기포 등으로 인해 국소적 저항성을 보일 수 있다.
따라서 표면 친수성 증진과 물리적 전처리만으로는 MRSA 군집 내까지 소독제를 효과적으로 전달하고 작용시키는 데 한계가 있다. 이러한 점은 고내성
병원성 균주에 대해선 보다 복합적이고 다층적인 접근법이 요구됨을 시사한다. 예를 들어, 표면 특성 개선과 더불어, 소독제 농도 및 처리 시간의 증가,
산화 스트레스 보조제 병용, 혹은 생물학적 교란(예: 박테리오파지 이용)과 같은 다중 치료 전략이 필요할 것이다. 또한, 실제 환경 조건에서 벨크로와
유사한 복잡 표면을 가진 장비나 도구에 대한 맞춤형 소독 프로토콜 개발이 필수적임을 보여준다.
Fig. 6. Evaluation of Velcro surface hydration and property changes following treatment
with Tween 80 and/or ultrasound. Visual assessment of air layer formation on Velcro
surfaces immersed in distilled water, Tween 80 (0.01% and 0.1%), or subjected to ultrasound
(a–d); contact angle measurements of droplets on Velcro with and without Tween 80
(e–f); and FTIR spectra of Velcro surfaces before and after treatment with ultrasound,
FAC, Tween 80, or their combination (g).
결론적으로, 트윈 80과 저주파 초음파 기반 전처리는 복잡한 소수성 표면 내 소독제 침투성을 크게 향상시켜 표면 소독 효율 개선에 중요한 역할을 수행한다.
그러나 MRSA와 같이 내성 및 군집화 특성이 강한 균주에 대해선 전처리만으로는 한계가 있으며, 이를 극복하기 위한 추가 연구와 통합적 소독 전략
개발이 필요하다. 이러한 연구는 식품가공, 의료기기, 공공 위생 분야에서의 미생물 관리 및 교차오염 방지에 핵심적인 실용적 함의를 가진다.
4. Conclusion
본 연구에서는 저주파 초음파, 계면활성제 트윈 80, 및 유리염소를 활용하여 수용액 및 벨크로 쿠폰 표면 내 병원성 미생물인 E. coli와 MRSA의
불활성화 효율을 체계적으로 평가하였다. 주요 결론은 다음과 같다.
1) 수용액 상에서는 트윈 80 단독 처리 시 미생물 생존율에 큰 변화가 없었으나, 유리염소는 농도 및 반응 시간에 따라 두 균주 모두에서 유의미한
불활성화를 보였다. 특히 E. coli는 낮은 농도와 짧은 반응 시간 내에 4-log 이상의 제거가 가능했으나, MRSA는 상대적으로 높은 농도와
긴 반응 시간이 요구되었다. 이는 세포벽 구조 및 군집 형성 특성 등 균주별 물리⋅화학적 차이에 기인한 것으로 해석된다.
2) 벨크로 쿠폰과 같은 복잡하고 소수성이 강한 고체 표면에서는 단독 유리염소 처리에 의한 불활성화가 제한적이었다(최대 약 2-log 감소). 이는
표면의 3차원 미세구조와 소수성으로 인해 소독제의 침투 및 균주와의 직접 접촉이 물리적으로 제한되었기 때문으로 판단된다.
3) 계면활성제 트윈 80 및 저주파 초음파를 이용한 물리⋅화학적 전처리는 벨크로 쿠폰 내 소독제의 침투성과 미생물과의 접촉률을 현저히 향상시켜 불활성화
효율을 크게 증가시켰다. 특히 트윈 80과 초음파 복합 전처리 후 유리염소 처리 시, E. coli는 검출 한계 미만 수준까지 불활성화되었으나, MRSA는
여전히 상대적으로 낮은 불활성화 수준에 머무르는 한계가 확인되었다.
4) 벨크로 표면에서의 전처리에 따른 소독제 침투 증가는 표면 접촉각 감소 및 표면 내 공기층 제거와 같은 물리 화학적 표면 특성 변화와 밀접한 관련이
있으며, FTIR 분석 결과 화학적 변성 없이 물리적 수화 효과가 주요 작용 기작임이 확인되었다.
또한, 본 연구에서 확인된 바와 같이 MRSA와 같이 구조적⋅화학적 내성이 강한 병원성 균주는 장기간 소독 공정이 반복 적용될 경우 biofilm
형성, 활성종(radical) 소거, 세포막 재건과 같은 기작을 통해 소독제에 대한 저항성을 획득할 가능성이 존재한다. 따라서 이러한 장기적 내성
발생 위험을 고려한 대응 전략이 필요하다. 단순히 고농도 소독제의 반복 적용보다는 ▲전처리 조건의 최적화, ▲다중 소독제의 병용, ▲주기적 소독 방식
변경(cycling), ▲표면 재질 특성을 반영한 맞춤형 처리 전략과 같은 보완적 접근이 요구된다. 이에 따라 본 연구는 복잡한 소수성 표면에서의
병원성 미생물 제어를 위해 물리⋅화학적 복합 전처리 전략이 필수적임을 제시하며, 향후 실제 환경 적용 및 확산 가능성을 고려한 소독 공정 설계와 장기적
내성 메커니즘에 대한 심층 연구가 필요함을 시사한다.
Acknowledgements
본 과제는 한국식품산업클러스터진흥원 2005 공동기술개발사업(기술사업지원)과 농촌진흥청 농업정책지원기술개발사업(RS-2023-00230820)의 지원으로
진행되었습니다.
References
Aarif K. O. M., Alam A., Hotak Y., 2025, Smart sensor technologies shaping the future
of precision agriculture: Recent advances and future outlooks, Journal of Sensors,
Vol. 2025, No. 1, pp. 2460098

Ahmed A. M., Shimamoto T., 2015, Molecular analysis of multidrug resistance in Shiga
toxin-producing Escherichia coli O157: H7 isolated from meat and dairy products, International
Journal of Food Microbiology, Vol. 193, pp. 68-73

Augustine S. J., Eason T. N., Griffin S. M., Simmons K. J., Sams E. A., Oshima K.
H., Wade T. J., 2020, Linking human health effects to water quality using a rapid,
noninvasive salivary-IgG antibody multiplex immunoassay, The Journal of Immunology,
Vol. 204, No. 1_Supplement, pp. 86-38

Brandl M. T., Huynh S., 2014, Effect of the surfactant tween 80 on the detachment
and dispersal of Salmonella enterica serovar Thompson single cells and aggregates
from cilantro leaves as revealed by image analysis, Applied and Environmental Microbiology,
Vol. 80, No. 16, pp. 5037-5042

Catão C P E., Pollet T., Garnier C., Barry-Martinet R., Rehel K., Linossier I., Tunin-Ley
A., Turquet J., Briand J. F., 2021, Temperate and tropical coastal waters share relatively
similar microbial biofilm communities while free living or particle-attached communities
are distinct, Molecular Ecology, Vol. 30, No. 12, pp. 2891-2904

Chen X., Chen Z., Ngo H. H., Mao Y., Cao K., Shi Q., Lu Y., Hu H. Y., 2023, Comparison
of inactivation characteristics between Gram-positive and Gram-negative bacteria in
water by synergistic UV and chlorine disinfection, Environmental Pollution, Vol. 333,
pp. 122007

Choi Y., He H., Dodd M. C., Lee Y., 2021, Degradation kinetics of antibiotic resistance
gene mecA of methicillin- resistant Staphylococcus aureus (MRSA) during water disinfection
with chlorine, ozone, and ultraviolet light, Environmental Science & Technology, Vol.
55, No. 4, pp. 2541-2552

DeFlorio W., Liu S., White A. R., Taylor T. M., Cisneros-Zevallos L., Min Y., Scholar
E. M., 2021, Recent developments in antimicrobial and antifouling coatings to reduce
or prevent contamination and cross-contamination of food contact surfaces by bacteria,
Comprehensive Reviews in Food Science and Food Safety, Vol. 20, No. 3, pp. 3093-3134

Dodd M. C., 2012, Potential impacts of disinfection processes on elimination and deactivation
of antibiotic resistance genes during water and wastewater treatment, Journal of Environmental
Monitoring, Vol. 14, No. 7, pp. 1754-1771

Douti N. B., Amuah E. E. Y., Abanyie S. K., Amanin-Ennin P., 2021, Irrigation water
quality and its impact on the physicochemical and microbiological contamination of
vegetables produced from market gardening: A case of the Vea Irrigation Dam, U. E.
R., Ghana, Journal of Water and Health, Vol. 19, No. 2, pp. 203-215

Elshebrawy H. A., Kasem N. G., Sallam K. I., 2025, Methicillin-and vancomycin-resistant
Staphylococcus aureus in chicken carcasses, ready-to-eat chicken meat sandwiches,
and buffalo milk, International Journal of Food Microbiology, Vol. 427, pp. 110968

Esser M., Hoggarth C., Baulch H., Challis J. K., Xie Y., Giesy J. P., Hecker M., Brinkmann
M., 2023, Wastewater discharges alter microbial community composition in surface waters
of the canadian prairies, Chemosphere, Vol. 334, pp. 138991

Faille C., Cunault C., Dubois T., Benezech T., 2018, Hygienic design of food processing
lines to mitigate the risk of bacterial food contamination with respect to environmental
concerns, Innovative Food Science & Emerging Technologies, Vol. 46, pp. 65-73

Fernandes S., Gomes I. B., Simões M., Simões L. C., 2024, Novel chemical-based approaches
for biofilm cleaning and disinfection, Current Opinion in Food Science, Vol. 55, pp.
101124

Gao Z., Jha A., Hudson C. L., Hopper A. L., Critzer F. J., Micallef S. A., Schaffner
D. W., Tikekar R. V., 2025, Efficacy of sodium hypochlorite and peracetic acid in
reducing cross-contamination during washing of baby spinach at different water quality
levels, Journal of Food Science, Vol. 90, No. 1, pp. e17657

Gomes A., Costa A. L. R., Cunha R. L., 2018, Impact of oil type and WPI/Tween 80 ratio
at the oil-water interface: Adsorption, interfacial rheology and emulsion features,
Colloids and Surfaces B: Biointerfaces, Vol. 164, pp. 272-280

He H., Zhou P., Shimabuku K. K., Fang X., Li S., Lee Y., Dodd M. C., 2019, Degradation
and deactivation of bacterial antibiotic resistance genes during exposure to free
chlorine, monochloramine, chlorine dioxide, ozone, ultraviolet light, and hydroxyl
radical, Environmental Science & Technology, Vol. 53, No. 4, pp. 2013-2026

Kadirvelu L., Sivaramalingam S. S., Jothivel D., Chithiraiselvan D. D., Karaiyagowder
Govindarajan D., Kandaswamy K., 2024, A review on antimicrobial strategies in mitigating
biofilm-associated infections on medical implants, Current Research in Microbial Sciences,
Vol. 6, pp. 100231

Kawai R., Furuichi A., Yada S., Kanematsu H., Yoshimura T., 2025, Antibacterial activity
and interfacial adsorption properties of quaternary-ammonium-salt-based gemini and
trimeric surfactants, Colloid and Interface Science Communications, Vol. 67, pp. 100850

Kim C. Y., Ryu G. J., Park H. Y., Ryu K., 2017, Resistance of Staphylococcus aureus
on food contact surfaces with different surface characteristics to chemical sanitizers,
Journal of Food Safety, Vol. 37, No. 4, pp. e12354

2020, https://www.kca.go.kr/home/sub.do?menukey=4002&mode=view&no=1002948292

Large T. M., Walk S. T., Whittam T. S., 2005, Variation in acid resistance among Shiga
toxin-producing clones of pathogenic Escherichia coli, Applied and Environmental Microbiology,
Vol. 71, No. 5, pp. 2493-2500

Li J., Zhu Y., Wu X., Hoffmann M. R., 2020, Rapid detection methods for bacterial
pathogens in ambient waters at the point of sample collection: A brief review, Clinical
Infectious Diseases, Vol. 71, No. Supplement_2, pp. S84-S90

López-Gálvez F., Allende A., Gil M. I., 2021, Recent progress on the management of
the industrial washing of fresh produce with a focus on microbiological risks, Current
Opinion in Food Science, Vol. 38, pp. 46-51

Maillard J. Y., Centeleghe I., 2023, How biofilm changes our understanding of cleaning
and disinfection, Antimicrobial Resistance & Infection Control, Vol. 12, No. 1, pp.
95

Maillard J. Y., Pascoe M., 2024, Disinfectants and antiseptics: Mechanisms of action
and resistance, Nature Reviews Microbiology, Vol. 22, No. 1, pp. 4-17

Mathieu L., Bertrand I., Abe Y., Angel E., Block J. C., Skali-Lami S., Francius G.,
2014, Drinking water biofilm cohesiveness changes under chlorination or hydrodynamic
stress, Water Research, Vol. 55, pp. 175-184

McGlynn W., 2016, Guidelines for the use of chlorine bleach as a sanitizer in food
processing operations

Nikolic P., Mudgil P., 2023, The cell wall, cell membrane and virulence factors of
Staphylococcus aureus and their role in antibiotic resistance, Microorganisms, Vol.
11, No. 2, pp. 259

Pereira E., Conrad A., Tesfai A., Palacios A., Kandar R., Kearney A., Locas A., Jamieson
F., Elliot E., Otto M., Kurdilla K., Tijerina M., Son I., Pettengill J. B., Chen Y.,
Fox T., Lane C., Aguillon R., Huffman J., Sheau Fong Low M., Wise M., Edward L., Bidol
S., Blankenship H. M., Rosen H. E., Leclercq A., Lecuit M., Tourdjman M., Herber H.,
Singleton L. S., Viazis S., Bazaco M. C., 2023, Multinational outbreak of Listeria
monocytogenes infections linked to enoki mushrooms imported from the Republic of Korea
2016–2020, Journal of food protection, Vol. 86, No. 7, pp. 100101

Pidot S. J., Gao W., Buultjens A. H., Monk I. R., Guerillot R., Carter G. P., Lee
J. Y. H., Lam M. M. C., Grayson M. L., Ballard S. A., Mahony A. A., Grabsch E. A.,
Kotsanas D., Korman T. M., Coombs G. W., Robinson J. O., Gonçalves da Silva A., Seemann
T., Howden B. P., Johnson P. D., Stinear T. P., 2018, Increasing tolerance of hospital
Enterococcus faecium to handwash alcohols, Science translational medicine, Vol. 10,
No. 452, pp. eaar6115

Rodríguez-Hermida S., Evangelio E., Rubio-Martínez M., Imaz I., Verdaguer A., Juanhuix
J., Maspoch D., 2017, Leucine zipper motif inspiration: A two-dimensional leucine
Velcro-like array in peptide coordination polymers generates hydrophobicity, Dalton
Transactions, Vol. 46, No. 34, pp. 11166-11170

Shim W. B., Kim J. S., Kim S. R., Park K. H., Chung D. H., 2013, Microbial contamination
levels of ginseng and ginseng products distributed in Korean markets, Journal of Food
Hygiene and Safety, Vol. 28, No. 4, pp. 319-323

Stanimirova I., Kubik A., Walczak B., Einax J. W., 2008, Discrimination of biofilm
samples using pattern recognition techniques, Analytical and Bioanalytical Chemistry,
Vol. 390, No. 5, pp. 1273-1282

Tang A., Bi X., Du J., Rao L., Hu Y. B., Fu M. L., Sun W., Yuan B., 2022, The effect
of polyethylene microplastics on the disinfection of Escherichia coli by sodium hypochlorite,
Science of The Total Environment, Vol. 834, pp. 155322

Torres L. S., 2025, Evaluating Food Safety Interventions: Salmonella serovar variation
in response to antimicrobial treatments and FSMA Capacity Building for Latin American
Companies, pp. 25

Tudela J. A., López-Gálvez F., Allende A., Hernández N., Andújar S., Marín A., Garrido
Y., Gil M. I., 2019, Operational limits of sodium hypochlorite for different fresh
produce wash water based on microbial inactivation and disinfection by-products (DBPs),
Food Control, Vol. 104, pp. 300-307

Wang H., Wang J., Li S., Ding G., Wang K., Zhuang T., Huang X., Wang X., 2020, Synergistic
effect of UV/chlorine in bacterial inactivation, resistance gene removal, and gene
conjugative transfer blocking, Water Research, Vol. 185, pp. 116290

Wang J., Bu L., Wu Y., Sun J., Li G., Zhou S., 2022, Disinfection profiles and mechanisms
of E. coli, S. aureus, and B. subtilis in UV365/chlorine process: Inactivation, reactivation,
and DBP formation, Separation and Purification Technology, Vol. 287, pp. 120584

Winward G. P., Avery L. M., Stephenson T., Jeffrey P., Le Corre K. S., Fewtrell L.,
Jefferson B., 2009, Pathogens in urban wastewaters suitable for reuse, Urban Water
Journal, Vol. 6, No. 4, pp. 291-301

Wu J., Sun Z., 2016, Evaluation of shallow groundwater contamination and associated
human health risk in an alluvial plain impacted by agricultural and industrial activities,
mid-west China, Exposure and Health, Vol. 8, No. 3, pp. 311-329

Xia W., Cai Q., Wu H., Li J., Zhou Z., Huang C., Cheng B., 2025, Improve anti-biofilm
efficacy of ultrasound by modulating the phase transition of exopolysaccharides, Ultrasonics
Sonochemistry, Vol. 112, pp. 107100

Xiao S., Hu S., Zhang Y., Zhao X., Pan W., 2018, Influence of sewage treatment plant
effluent discharge into multipurpose river on its water quality: A quantitative health
risk assessment of Cryptosporidium and Giardia, Environmental Pollution, Vol. 233,
pp. 797-805

Yesilay G., Dos Santos O. A. L., Hazeem L. J., Backx B. P., Kamel A. H., Bououdina
M., 2023, Impact of pathogenic bacterial communities present in wastewater on aquatic
organisms: Application of nanomaterials for the removal of these pathogens, Aquatic
Toxicology, Vol. 261, pp. 106620

Yoon Y., Seo Y. S., Cho M., 2024, Effect of phytic acid and free available chlorine
on the inactivation of antibiotic-resistant and foodborne pathogenic Bacillus spores
during combinational disinfection, Journal of Water Process Engineering, Vol. 58,
pp. 104798

Zhang T., Villalba M. I., Gao R., Kasas S., von Gunten U., 2025, Effect of surfactants
on inactivation of Bacillus subtilis spores by chlorine, Water Research, Vol. 272,
pp. 122944

Zupanc M., Pandur Ž., Perdih T. S., Stopar D., Petkovšek M., Dular M., 2019, Effects
of cavitation on different microorganisms: The current understanding of the mechanisms
taking place behind the phenomenon. A review and proposals for further research, Ultrasonics
sonochemistry, Vol. 57, pp. 147-165
