손예지
(Yeji Shon)
1iD
이채림
(Chaelim Lee)
2aiD
김상단
(Sangdan Kim)
2b,†iD
-
부경대학교 지구환경시스템과학부
(Division of Earth Environmental System Science, Pukyong National University)
-
부경대학교 지구환경시스템과학부 환경공학전공
(Division of Earth Environmental System Science (Major of Environmental Engineering),
Pukyong National University)
Copyright © KOREAN SOCIETY ON WATER ENVIRONMENT
Key words
Conditional exceedance probability, Copula model, Extreme river temperature, Low flow, Risk assessment
1. Introduction
하천의 저유량은 수생태계에 심각한 스트레스를 유발하는 사건으로, 생태학적 요구를 만족시키기 위한 유량뿐만 아니라 전반적인 수자원 이용 가능성에도 영향을
미칠 수 있다(Daigle et al., 2011). 한편, 수온 상승은 향후 냉수성 어종의 개체군 감소를 유발하는 지배적인 요인이 될 수 있으며(Wenger et al., 2011), 생태학적 영향을 넘어 수질 악화, 침입종 확산, 냉각수 활용 저하, 수질 관리 비용 증가 등 다양한 사회⋅경제적 부담으로 이어질 수 있다(Jastram and Rice, 2015). 이러한 하천 수온의 변화는 수생태계의 구조와 기능에 직접적인 영향을 미치므로, 수온의 변화 경향을 정확히 평가하는 것이 중요하다(Ficklin et al., 2014). 저유량과 고수온은 서로 밀접하게 연관되어 있다. 유량이 줄어들면 수온이 상승한다는 직접적인 관계를 실증적으로 제시한 바 있다(Gu et al., 1999). 이러한 유량-수온 상호 의존성은 특히 저유량 시기에 두드러진다. 유량이 적어지면 하천의 열용량이 낮아져 수온이 기온의 변화에 더욱 민감하게 반응하기
때문이다(van Vliet et al., 2011). 저유량의 영향이 수온 상승 및 수질 악화 등의 복합적 상호작용으로 이어지며, 이는 생태계뿐만 아니라 사회⋅경제적 수자원 이용에도 중대한 영향을
미치는 요인으로 제시되고 있다(Satzinger and Bachmann, 2025). 하천의 저유량과 고수온은 각각 독립적으로도 위협적이지만, 동시에 발생하면 그 복합적인 영향은 생태계뿐만 아니라 사회 전반에 걸쳐서 더 큰 부담과
위험을 초래할 수 있다. 따라서 하천 관리 시 단순히 유량이나 수온 하나만 고려할 것이 아니라, 이 두 가지 요소의 복합적인 상호작용을 통합적으로
이해하고 관리하는 것이 중요하다.
최근 하천의 저유량과 고수온의 동시에 발생하는 위험성을 평가하려는 연구가 이루어지고 있으며, copula 기반 이변량 확률모형을 활용해 저유량-고수온의
동시 발생 가능성과 결합 재현기간을 추정한 연구가 진행된 바 있다(Latif et al., 2023). 그러나 이 연구는 연간 최대 수온과 최소 유량에 국한되어 있어, 월별 또는 계절별로 변화하는 조건부 구조를 상세히 반영하기에는 한계가 있다. 기상학적
가뭄지수를 활용해 수온 스트레스와 민감도를 평가한 연구도 있으나 사용된 표준강수지수(SPI)는 유량을 간접적으로 반영하는 지표이기 때문에 수질 스트레스에
직접적인 영향을 미치는 유량을 조건변수로 활용하지 못했다는 한계가 있다(Seo et al., 2022). 유량과 수온 사이의 관계를 회귀 분석을 통해 정량화한 연구도 있으나, 변수 사이의 비선형적 의존성이나 꼬리에서의 상호작용까지 포착하기에는 분석
기법상 제약이 있었다(Booker and Whitehead, 2022). 단변량 분석의 한계가 뚜렷하게 나타나는 여러 연구 사례도 확인할 수 있다. 예를 들어, 극한 수온의 빈도 특성을 정량화하였지만, 유량 조건을 고려하지
않아 수온과 유량 사이의 결합 발생 구조나 특정 유량 조건에서 수온의 조건부 위험도를 평가할 수 없는 한계가 있었다(Souaissi et al., 2021). 또한 수문학적 가뭄의 재현 기간을 단변량 통계 빈도분포 함수를 이용해 산정한 연구도 존재하지만, 가뭄 특성들 사이의 중요한 상호 관계를 무시하는
한계를 가진다(Ryu et al., 2011). 이렇듯 확률변수를 개별적으로 분석하는 방식으로는 관련 변수들 사이의 중요한 관계를 파악하기 어렵다(Latif et al., 2023).
최근에는 극한 수문 사상을 분석할 때 여러 종속 변수 간의 결합 특성을 반영한 접근법이 점차 확대되고 있다(Latif and Simonovic, 2022). 따라서 본 연구는 다변량 통계 모델 중 하나인 copula 이론을 활용하여, 유량과 수온 사이의 결합 확률 구조를 정량적으로 모델링하고자 하였다.
Copula는 각 변수의 한계 분포 형태와 무관하게 의존 구조를 유연하게 구성할 수 있는 장점이 있으며, 특히 극한 조건에서의 결합 발생 확률 분석에도
매우 적합한 도구로 널리 인정되고 있다(Cammalleri et al., 2024;
Favre et al., 2004;
Tootoonchi et al., 2022). 연구 대상은 낙동강 유역 상류이며, 월별 유량 및 수온 자료를 기반으로 분석을 수행하였다. 구체적으로, 각 변수에는 Normal, Log-Normal,
Gamma, Weibull, Log-Logistic, GEV, Gumbel 등 7종의 이론 한계 분포를 적용하였으며, Kolmogorov–Smirnov
(K–S) 검정을 통해 각 변수별 최적의 한계 분포를 선정하였다. 이후 copula 함수를 기반으로 유량–수온 사이의 결합 확률 구조를 구성하고,
Akaike Information Criterion (AIC)을 기준으로 월별⋅지점별 최적 copula 모델을 도출하였다. 이후에 저유량 조건에서
수온이 특정 기준값을 초과할 조건부 확률을 산정함으로써, 고수온 발생 위험을 정량적으로 평가하였다. 이러한 분석 결과는 향후 기후 변화에 따른 고수온
위험을 계절별로 예측하고, 어느 유역에서 수온 스트레스가 더욱 민감하게 나타나는지를 식별하는 데 활용될 수 있다. 나아가, 본 연구에서 제시한 조건부
초과확률 기반의 고수온 위험 진단 프레임워크는 수생태계 보호 및 하천 수온 관리 정책 수립에 유용한 과학적 기초 자료를 제공할 수 있을 것이다.
2. Materials and Methods
2.1 자료
본 연구는 낙동강 수질오염총량관리 단위 유역을 기준으로 수행되기 때문에 월별 수온과 유량 자료를 단위 유역별로 수집하였다. 특히, 40개의 단위 유역
중에서도 상류에 해당하는 17개의 A 지점의 자료를 활용하였는데, 상류는 인간에 의한 영향 또는 간섭이 다른 지점보다 적으며 자연 상태가 비교적 잘
보존되어 있다(Ahn, 1997). 하천의 수온 자료와 유량 자료는 환경부에서 운영하는 물환경정보시스템(https://water.nier.go.kr/web)의 낙동강 총량 측정망
측정소에서 획득하여 사용하였다. 수질 관측 자료들은 월평균 3회 정도로 관측되었고, 분석 기간은 2005년부터 2024년까지 총 20개년이다. 수온은
섭씨온도(℃)로 관측되었으며, 각 월별로 최고 수온을 추출하여 활용하였다. 유량 자료는 월 최대 수온 값이 나타난 같은 날짜의 유량 값을 대응시켜
정의하였다. 이때 수온 관측일에 유량 값이 존재하지 않을 경우, 해당 월 내 다음으로 수온이 높은 날을 기준으로 유량 값을 추출하였다. 이와 같은
방식으로 동일한 일자에 관측된 수온과 유량 데이터를 사용할 경우, 월별로 하나의 수온–유량 데이터 쌍이 구축된다. 이렇게 동일 시점의 자료를 짝지어
사용한 이유는, 두 변수의 실질적인 상호작용을 정확하게 반영하기 위함이다. 이후에 각 변수의 분포 특성을 고려하여 로그 변환 후, 아래와 같은 식을
통해 0에서 1 사이의 범위로 정규화하였다. 수온과 유량은 대체로 음의 상관성을 보이기 때문에(Webb et al., 2003), 분석의 용이성을 위하여 수온 자료는 정규화, 유량 자료는 역 정규화 과정을 거쳐서 양의 상관성을 갖도록 변형한 후 분석에 활용하였다.
여기서 $w_{i,j}$는 $j$월의 $i$년도 수온 관측값, $q_{i,j}$는 $j$월의 $i$년도 유량 관측값을 의미한다. $w_j^m$, $w_j^M$는
각각 $j$월의 수온 최솟값과 최댓값, $q_j^m$, $q_j^M$는 각각 $j$월의 유량 최솟값과 최댓값이다. 또한 $x_{i,j}$는 수온 관측값($w_{i,j}$)을
0에서 1 사이의 범위로 정규화한 변수이며, $z_{i,j}$는 유량 관측값($q_{i,j}$)을 0에서 1 사이의 범위로 역 정규화한 변수이다.
스피어만 순위 상관계수는 극값과 이상치에 덜 민감하다는 특징이 있기 때문에(Croux and Dehon, 2010), 변환된 자료를 대상으로 스피어만 상관계수를 사용하여 상관분석을 진행하였다(Table 1). 분석 결과를 바탕으로, 낙동강 수계 상류의 17개 지점 중 상관성이 가장 높은 지점(Wicheon-A), 중간인 지점(Nakbon-A), 가장
낮은 지점(Miryang-A)으로 총 3개의 지점을 선정하였다(Fig. 1). 또한, 조건부 초과확률 분석을 위한 기준값은 각 변수의 분포 특성을 반영하여 월별 분위수 기반으로 설정하였다. Expert Team on Climate
Change Detection and Indices (ETCCDI)에서 제안한 표준화된 극한 지수의 정의(WMO, 2009)에 따라, 상위 90번째 백분위수가 고수온 또는 저유량을 정의하는데 활용되었다(Alexander et al., 2006). 특히, 유량 자료의 경우 역 정규화 과정을 거쳐 분석에 활용하였으므로, 저유량 조건은 수온과 동일하게 상위 90번째 백분위수로 정의되었다.
Fig. 1. Location of the study sites within the sub-basins of the Nakdong River: NB-A
(Nakbon-A), WC-A (Wicheon-A), and MY-A (Miryang-A).
Table 1. Monthly Spearman correlation coefficients among the upstream sub-basins of
the Nakdong River.
|
Subbasin
|
Jan
|
Feb
|
Mar
|
Apr
|
May
|
Jun
|
Jul
|
Aug
|
Sep
|
Oct
|
Nov
|
Dec
|
|
Wicheon-A
|
0.51
|
0.17
|
0.43
|
0.36
|
0.19
|
0.37
|
0.30
|
0.27
|
0.33
|
0.31
|
0.32
|
0.21
|
|
Micheon-A
|
0.44
|
0.27
|
0.41
|
0.34
|
0.52
|
0.29
|
0.12
|
0.58
|
0.44
|
-0.25
|
0.26
|
0.14
|
|
Byeongseong-A
|
-0.11
|
0.18
|
0.58
|
0.17
|
0.35
|
0.33
|
0.37
|
0.22
|
0.30
|
0.13
|
0.21
|
0.01
|
|
Yongjeon-A
|
-0.27
|
0.29
|
0.61
|
0.27
|
0.40
|
0.37
|
0.20
|
0.30
|
0.55
|
0.10
|
0.32
|
-0.52
|
|
Namgang-A
|
-0.01
|
0.17
|
0.45
|
0.18
|
0.32
|
0.45
|
0.24
|
0.35
|
0.25
|
0.22
|
0.18
|
-0.45
|
|
Yeonggang-A
|
0.11
|
-0.06
|
0.38
|
0.17
|
0.43
|
0.06
|
0.51
|
0.40
|
0.34
|
-0.06
|
0.03
|
0.02
|
|
Banbyeon-A
|
0.38
|
-0.05
|
0.33
|
0.30
|
0.34
|
0.04
|
0.33
|
0.19
|
0.42
|
-0.25
|
0.46
|
-0.32
|
|
Hwanggang-A
|
0.08
|
0.24
|
0.07
|
0.14
|
0.16
|
0.44
|
0.46
|
0.47
|
0.02
|
-0.11
|
0.28
|
-0.20
|
|
Nakbon-A
|
-0.13
|
0.00
|
0.32
|
0.38
|
0.18
|
0.38
|
0.60
|
0.23
|
0.33
|
-0.19
|
0.01
|
-0.18
|
|
Gilan-A
|
0.10
|
0.17
|
0.15
|
0.29
|
0.29
|
-0.06
|
0.34
|
0.37
|
0.47
|
-0.28
|
0.20
|
-0.32
|
|
Ian-A
|
0.28
|
-0.18
|
0.04
|
-0.26
|
0.19
|
-0.08
|
0.31
|
0.07
|
0.37
|
-0.06
|
0.26
|
0.42
|
|
Gamcheon-A
|
0.10
|
-0.14
|
0.30
|
0.00
|
-0.01
|
0.19
|
0.28
|
0.12
|
-0.13
|
0.03
|
0.56
|
-0.19
|
|
Naeseong-A
|
0.00
|
-0.09
|
0.23
|
0.23
|
-0.06
|
-0.20
|
0.24
|
0.10
|
0.15
|
-0.17
|
0.29
|
0.27
|
|
Geumcheon-A
|
-0.08
|
-0.01
|
0.37
|
0.16
|
-0.05
|
-0.12
|
0.42
|
0.47
|
-0.08
|
-0.11
|
-0.04
|
-0.28
|
|
Geumho-A
|
0.10
|
0.15
|
0.11
|
0.20
|
0.03
|
0.23
|
0.02
|
0.24
|
-0.14
|
-0.24
|
0.05
|
-0.14
|
|
Hoecheon-A
|
0.31
|
0.16
|
-0.04
|
0.13
|
0.07
|
-0.13
|
0.31
|
0.07
|
0.08
|
-0.03
|
-0.08
|
-0.60
|
|
Miryang-A
|
0.18
|
-0.07
|
-0.19
|
0.14
|
-0.28
|
-0.07
|
0.35
|
0.25
|
0.17
|
-0.10
|
-0.21
|
-0.17
|
2.2 조건부 초과확률 산정
하천의 수온과 유량의 이변량 결합 누가 확률 분포는 Sklar의 정리에 따라 다음과 같이 나타낼 수 있다(Sklar, 1959).
여기서 $C(\cdot)$는 Sklar 정리에 따라 두 변수의 의존 구조를 나타내는 Copula 함수이다. $F(x, z)$는 정규화된 하천 수온
$X$와 역 정규화된 하천 유량 $Z$의 결합 누가 확률분포이며, $F_X(x)$과 $F_Z(z)$는 각각 $X$와 $Z$의 한계 누가 확률 분포이다.
이에 따라 정의되는 $u = F_X(x), v = F_Z(z)$는 Copula 함수의 입력변수가 된다. Copula 함수는 Eq. (3)에서 볼 수 있듯이 확률 분포를 연결하여 결합 확률 분포를 산정하기 때문에, 하천의 수온과 유량의 확률 분포를 적합 시키는 과정이 필요하다.
최적의 한계 분포를 선택하기 위해서 Normal 분포, Log-Normal 분포, Gamma 분포, Gumbel 분포, Weibull 분포, Log-Logistic
분포, GEV 분포 등 일반적으로 사용되는 7개의 이론적 확률 분포를 비교하였다. 분포의 매개변수는 최대우도법(Maximum Likelihood Estimation)을
통해 추정하며, Kolmogorov-Smirnov 적합도 검정을 활용하여 최적의 확률 분포를 선택하였다.
Copula는 크게 elliptical copula 군과 Archimedean copula 군으로 구분된다. Elliptical copula 군에는
대표적으로 Gaussian copula와 t copula가 있으며, Archimedean copula 군에는 Clayton, Frank, Gumbel
등이 속한다(Nelsen, 2006). Gaussian copula는 대칭적 상관 구조를 잘 표현하는 반면, Archimedean copula는 꼬리 의존성을 효과적으로 반영할 수 있는
특징이 있다(Nelsen, 2006). 본 연구에서는 두 copula 군을 모두 고려하여, elliptical copula에서는 Gaussian copula를, Archimedean
copula에서는 Clayton, Frank, Gumbel을 후보군으로 설정하였다. 최적 모형은 Akaike Information Criterion
(AIC)을 활용하여 가장 작은 값을 나타내는 copula 함수를 채택하고, 매개변수는 최대우도법을 통해 추정하였다. 이때 우도함수의 구성을 위해
필요한 이변량 경험적 누가 확률 분포는 plotting-position 공식을 적용하여 산정하였다(Zhang and Singh, 2006).
한계 분포와 최적 copula 함수를 바탕으로, 하천의 유량 조건에 따른 하천 수온의 조건부 초과 확률 분포를 도출해 낼 수 있다. 연속형 확률변수의
경우, 결합분포로부터 조건부 분포를 도출하는 한 가지 단순한 방법은 copula 함수를 한 변수에 대해 편미분하는 것이다(Trivedi and Zimmer, 2005). 특정 유량($Z = z$) 조건에서 $X \ge x$의 조건부 초과확률은 아래와 같이 표현된다.
식 (4)는 특정 유량 분위수($v$) 조건에서 수온이 특정 값($u$) 이상이 될 조건부 초과확률을 정량적으로 추정하기 위해 사용된다. 특히, 극한 유량
조건에서 수온이 기준 수온을 초과할 확률을 계산함으로써, 저유량-고수온 결합 위험도를 정량적으로 평가할 수 있다. 만약 수온과 유량이 서로 독립이라면,
이 조건부 확률은 단순히 수온의 한계 분포에서의 초과확률로서 0.1로 수렴하므로 copula 기반 접근이 필요하지 않게 된다.
3. Results and Discussion
3.1 하천 수온과 유량의 이변량 copula 모형
하천 수온과 유량에 대해 7가지 후보 한계 분포형을 검토한 결과, 각 변수별로 최적의 분포형이 선정되었으며, 다섯 가지 copula 함수 중에서는
두 변수 사이의 의존 구조를 가장 잘 설명하는 copula가 결정되었다. 이를 기반으로 수온-유량의 결합확률분포 모형을 구축하였고, 이를 통해 저유량
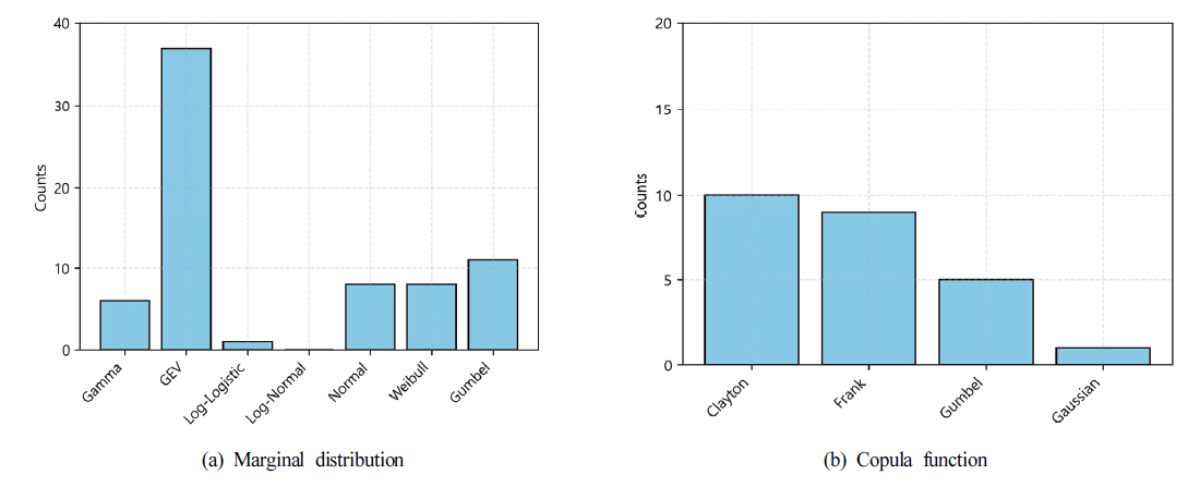
조건에서 고수온 발생에 대한 조건부 초과확률을 산정할 수 있었다. Fig. 2는 선정된 분포형과 copula 함수의 결과를 히스토그램으로 정리한 것으로, Fig. 2(a)에서는 대부분의 입력변수에서 GEV 분포가 최적 분포로 선택된 것을 확인할 수 있으며, Fig. 2(b)에서는 Clayton copula가 가장 빈번하게 선택되었고, 그 다음으로는 Frank copula가 선택된 것으로 나타났다.
Fig. 2. Histograms of selection frequencies for marginal distributions and bivariate
copula families.
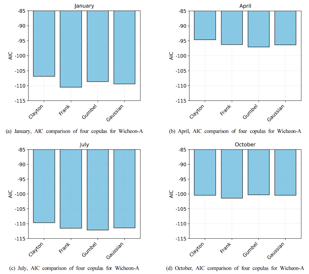
위천-A에서는 월평균 스피어만 상관계수가 다른 두 지점보다 높게 나타났기에 본 연구에서는 위천-A를 대표 지점으로 선정하여 분석 결과를 제시하였다.
Fig. 3는 위천-A에서 1월, 4월, 7월, 10월에 대해 AIC 기준으로 선정된 copula 함수를 나타내며, Fig. 4는 각 최적 copula 함수에 대한 Q-Q plot을 도시한 것이다. 분석 결과, Fig. 3에서 확인할 수 있듯이 1월과 10월에는 Frank copula가, 4월과 7월에는 Gumbel copula가 각각 최적 모형으로 선택되었다. 특히
Gumbel copula는 상단 꼬리에 대한 양의 의존성(positive upper-tail dependence)을 가지는 것으로 알려져 있으며(Serinaldi, 2015), 이러한 특성으로 인해 극단적인 큰 값이 동시에 발생하는 상황을 분석하는 데 적합하다. 이 결과는 월별로 서로 다른 copula 함수가 최적 모형으로
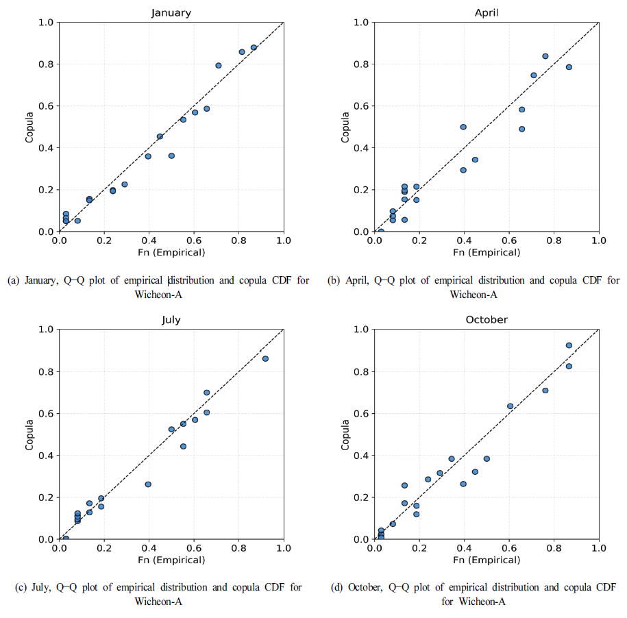
채택됨을 보여주며, 월별 또는 계절별로 구분한 분석이 필요함을 시사한다. 또한 Fig. 4의 Q-Q plot은 이론적 결합분포와 추정된 copula 모형을 비교함으로써 모형의 적합성을 검증하는 근거를 제공한다.
Fig. 3. AIC values of four copulas.
Fig. 4. Q-Q plot using the best-fitted copula.
3.2 저유량 조건에서 고수온 발생 확률 분석
자료 변환을 거친 이후에도, 수온과 역 유량이 음의 상관을 보이는 경우에는 두 변수가 서로 독립이라는 가정하에 해당 월은 단변량 분석을 시행하였다.
이후에 조건부 초과확률로 계산된 다른 지점⋅월의 확률과 구분하기 위해 확률값에 ‘*’를 추가하였다. 본 연구에서는 단변량 분석과 copula 기반
조건부 초과확률 분석 모두 동일한 분위수 기준을 사용하였으며, 고수온 임계값은 수온 분포의 90번째 분위수, 저유량 임계값은 역 정규화된 유량의 90번째
분위수로 설정하였다. 제안된 조건부 초과확률 공식을 통해 우리는 저유량 조건 발생 시 하천의 고수온 발생 확률을 계산할 수 있으며, Table 2에서 지점별, 월별로 계산된 확률값을 확인할 수 있다. 예를 들어, 위천-A 지점에서는 봄(4월)에 고수온 초과확률이 0.22로, 단변량 분석에서의
초과확률인 0.1 대비 2배 이상 높은 것으로 나타났다. 또한 낙본-A 지점의 여름철(6월, 7월, 8월) 월평균 초과확률이 0.19로 약 두 배
정도 높은 것으로 나타났다. 반면, 상관계수가 낮은 밀양-A 지점에서는 독립으로 가정하고 단변량 분석을 시행한 월이 다른 지점보다 많이 있어서 평균적인
확률 증가 폭이 상대적으로 작게 나타났다.
앞선 분석에서 도출된 조건부 초과확률 값을 직관적으로 파악하기 위해 Fig. 5에서 고수온 발생 확률을 시각화하였다. 이를 통해 고수온 발생 확률의 변화를 월별로 비교해 볼 수 있다. 3개 지점 모두 7월의 고수온 초과확률이
다른 월보다 높게 나타났으며, 11월과 12월에는 확률값이 크지 않음을 확인할 수 있다. 이러한 결과는 유량이 수온에 미치는 영향이 지점별, 계절별로
상이하다다는 점을 시사하며, 유량 조건에 따른 수온 반응의 민감도 차이를 고려할 필요가 있음을 보여준다.
Table 2. Monthly conditional exceedance probabilities of high water temperature under
90th percentile low-flow conditions.
|
Subbasin
|
Jan
|
Feb
|
Mar
|
Apr
|
May
|
Jun
|
Jul
|
Aug
|
Sep
|
Oct
|
Nov
|
Dec
|
|
Nakbon-A
|
0.10*
|
0.10*
|
0.18
|
0.21
|
0.16
|
0.16
|
0.28
|
0.13
|
0.20
|
0.10*
|
0.10
|
0.10*
|
|
Wicheon-A
|
0.24
|
0.17
|
0.16
|
0.22
|
0.13
|
0.15
|
0.19
|
0.14
|
0.21
|
0.15
|
0.15
|
0.13
|
|
Miryang-A
|
0.15
|
0.10*
|
0.10*
|
0.11
|
0.10*
|
0.10*
|
0.19
|
0.13
|
0.13
|
0.10*
|
0.10*
|
0.10*
|
Fig. 5. Heatmap of monthly conditional exceedance probabilities of high water temperature
under low-flow conditions.
3.3 토론
본 연구는 상관성 비교를 기준으로 3개 지점만을 대표로 선정해 공간적인 일반화에 제약이 있으며, 일부 시기에는 수온과 유량 사이의 음의 상관이 약하거나
상관을 보이지 않아 단변량 분석으로 단순화됨에 따라 copula 기반 조건부 분포 추정에 한계가 있었다. 한편, 연구 분석 대상이 하천의 최상류 유역이기
때문에, 유량 자료를 구축하는 과정에서 댐의 영향을 고려하지 않았다. 또한 농업용 저수지와 인공 저류 구조물의 경우, 유량에 미치는 영향이 상대적으로
크지 않다고 판단하여 본 연구에서는 반영하지 않았다. 그럼에도 불구하고, 저류 구조물의 운영 방식과 시기별 방류 특성에 따라 유출량이 변동하여 유량
자료에 영향을 줄 가능성이 존재한다. 따라서 향후 연구에서는 유역 내 저류 구조물의 운영 현황, 방류량 등의 여러 영향 요인을 함께 고려하여 분석
모형을 정교하게 구성할 필요가 있다.
본 연구에서는 수온과 유량 사이의 상관성을 고려하여 이변량 결합 확률모델을 구성하였다. 다만 하천 수온은 하천의 유량 조건 외에도 기후 요인, 특히
대기의 온도에 의해서도 큰 영향을 받게 된다(Morrill et al., 2005). 일반적으로 여름철에는 잦은 강우 발생으로 인해 하천 유량이 증가하더라도, 동시에 높은 기온이 유지되기 때문에 수온 상승에 대한 기온의 영향이 크게
작용한다. 반면 겨울철에는 유량이 감소하더라도 기온 값 자체가 낮기 때문에 수온 증가로 이어지는 영향은 제한적이다. 이러한 계절적인 차이와 기후 요인을
고려하여 향후 연구에서는 유량 뿐만 아니라 하천 수온 변동에 기여하는 다른 변수들을 함께 검토해 보는 것이 필요할 것이다.
4. Conclusion
본 연구는 하천에서 유량이 일정 수준으로 감소할 때 고수온 위험도를 정량화하기 위해 이변량 copula 결합 모형을 구축하고, 낙동강 상류의 3개
단위 유역을 대상으로 우리나라의 뚜렷한 계절성을 반영하여 월 단위로 분석하였다. 수온과 유량의 최적 한계 분포 및 copula 함수 선택 결과를 통해
유역별⋅월별로 의존 구조가 상이함을 확인할 수 있었다. 조건부 초과확률을 이용한 결과, 어떤 지점의 어떤 월에서 저유량 조건에 의해 고수온 위험이
크게 증가하는지 식별할 수 있었다. 계절적으로는 봄과 여름에 위험이 상대적으로 높게 나타나 지점별⋅계절별로 유량 관리가 필요함을 제안하였다. 이러한
결과는 하천 유지용수 확보, 수온 기반 생태계 보호 등 정책 의사결정에 직접 활용될 수 있고, 향후 지점 수를 확대하거나 전국 단위로 확장하여 위험도
지도로 시각화함으로써 관리 우선순위를 도출하는 연구로 발전시킬 수 있다.
Acknowledgements
본 결과물은 정부(과학기술정보통신부)의 재원으로 한국연구재단의 지원을 받아 수행되었습니다. (RS-2025-00563294)
References
Ahn H. K., 1997, A study on the analysis of the riparian vegetation naturality and
viewscape in urstream, Journal of Korean institute of landscape architecture, Vol.
25, No. 3, pp. 222-233

Alexander L. V., Zhang X., Peterson T. C., Caesar J., Gleason B., Klein Tank A. M.
G., Haylock M., Collins D., Trewin B., Rahimzadeh F., Tagipour A., Rupa Kumar K.,
Revadekar J., Griffiths G., Vincent L., Stephenson D. B., Burn J., Aguilar E., Brunet
M., Taylor M., New M., Zhai P., Rusticucci M., Vazquez-Aguirre J. L., 2006, Global
observed changes in daily climate extremes of temperature and precipitation, Journal
of Geophysical Research, AGU, Vol. 111, No. D5, pp. D05109

Booker D. J., Whitehead A. L., 2022, River water temperatures are higher during lower
flows after accounting for meteorological variability, River Research and Applications,
Vol. 38, No. 1, pp. 3-22

Cammalleri C., De Michele C., Toreti A., 2024, Exploring the joint probability of
precipitation and soil moisture over Europe using copulas, Hydrology and Earth System
Sciences, Vol. 28, No. 1, pp. 103-115

Croux C., Dehon C., 2010, Influence functions of the Spearman and Kendall correlation
measures, Statistical Methods and Applications, Vol. 19, No. 4, pp. 497-515

Daigle A., St-Hilaire A., Beveridge D., Caissie D., Benyahya L., 2011, Multivariate
analysis of the low-flow regimes in eastern Canadian rivers, Hydrological Sciences
Journal, Vol. 56, No. 1, pp. 51-67

Favre A. C., El Adlouni S., Perreault L., Thiémonge N., Bobée B., 2004, Multivariate
hydrological frequency analysis using copulas, Water Resources Research, Vol. 40,
No. 1, pp. W01101

Ficklin D. L., Barnhart B. L., Knouft J. H., Stewart I. T., Maurer E. P., Letsinger
S. L., Whittaker G. W., 2014, Climate change and stream temperature projections in
the Columbia River basin: Habitat implications of spatial variation in hydrologic
drivers, Hydrology and Earth System Sciences, Vol. 18, No. 12, pp. 4897-4912

Gu R., McCutcheon S., Chen C. J., 1999, Development of weather-dependent flow requirements
for river temperature control, Environmental Management, Vol. 24, No. 4, pp. 529-540

Jastram J. D., Rice K. C., 2015, Air- and streamwater temperature trends in the Chesapeake
Bay region, 1960–2014

Latif S., Simonovic S. P., 2022, Parametric vine copula framework in the trivariate
probability analysis of compound flooding events, Water, Vol. 14, No. 14, pp. 2214

Latif S., Souaissi Z., Ouarda T. B. M. J., St-Hilaire A., 2023, Copula-based joint
modelling of extreme river temperature and low flow characteristics in the risk assessment
of aquatic life, Weather and Climate Extremes, Vol. 41, pp. 100586

Morrill J. C., Bales R. C., Conklin M. H., 2005, Estimating stream temperature from
air temperature: Implications for future water quality, Journal of Environmental Engineering,
Vol. 131, No. 1, pp. 139-146

Nelsen R. B., 2006, An introduction to copulas

Ryu J., Lee J. H., Jeong S., Park S. K., Han K., 2011, The impacts of climate change
on local hydrology and low flow frequency in the Geum River Basin, Korea, Hydrological
Processes, Vol. 25, No. 22, pp. 3437-3447

Satzinger U., Bachmann D., 2025, The role of high water temperature in the context
of low-flow risk analysis, Water, Vol. 17, No. 9, pp. 1247

Seo J., Won J., Choi J., Lee J., Kim S., 2022, A copula model to identify the risk
of river water temperature stress for meteorological drought, Journal of Environmental
Management, Vol. 311, pp. 114861

Serinaldi F., Bárdossy A., Kilsby C. G., 2015, Upper tail dependence in rainfall extremes:
would we know it if we saw it?, Stochastic Environmental Research and Risk Assessment,
Vol. 29, No. 4, pp. 1211-1233

Sklar A., 1959, Fonctions de répartition à n dimensions et leurs marges, Publications
de l'Institut Statistique de l’Université de Paris, Vol. 8, pp. 229-231

Souaissi Z., Ouarda T. B. M. J., St-Hilaire A., 2021, River water temperature quantiles
as thermal stress indicators: Case study in Switzerland, Ecological Indicators, Vol.
131, pp. 108234

Tootoonchi F., Sadegh M., Haerter J. O., Raty O., Grabs T., Teutschbein C., 2022,
Copulas for hydroclimatic analysis: A practice‑oriented overview, WIREs Water, Vol.
9, No. 2, pp. 1579

Trivedi P. K., Zimmer D. M., 2005, Copula modeling: An introduction for practitioners,
Foundations and Trends in Econometrics, Vol. 1, No. 1, pp. 1-111

van Vliet M. T. H., Ludwig F., Zwolsman J. J. G., Weedon G. P., Kabat P., 2011, Global
river temperatures and sensitivity to atmospheric warming and changes in river flow,
Water Resources Research, Vol. 47, No. 2, pp. W02544

Webb B. W., Clack P. D., Walling D. E., 2003, Water–air temperature relationships
in a Devon river system and the role of flow, Hydrological Processes, Vol. 17, No.
15, pp. 3069-3084

Wenger S. J., Isaak D. J., Luce C. H., Neville H. M., Fausch K. D., Dunham J. B.,
Dauwalter D. C., Young M. K., Elsner M. M., Rieman B. E., Hamlet A. F., Williams J.
E., 2011, Flow regime, temperature, and biotic interactions drive differential declines
of trout species under climate change, Proceedings of the National Academy of Sciences
of the United States of America, Vol. 108, No. 34, pp. 14175-14180

2009, Guidelines on analysis of extremes in a changing climate in support of informed
decisions for adaptation, pp. 17–19

Zhang L., Singh V. P., 2006, Bivariate flood frequency analysis using the copula method,
Journal of Hydrologic Engineering, Vol. 11, No. 2, pp. 150-164
