이은서
(Eunseo Lee)
1aiD
오승수
(Seungsoo Oh)
1biD
김현우
(Hyunwoo Kim)
1ciD
김세윤
(Seyoon Kim)
1diD
김나래
(Narae Kim)
1eiD
박정안
(Jeong-Ann Park)
1f,†iD
-
강원대학교 환경공학과
(Department of Environmental Engineering, Kangwon University)
Copyright © KOREAN SOCIETY ON WATER ENVIRONMENT
Key words
Algae, Cyanobacteria, Gongji Stream, Seasonal variation, Uiam Lake
1. Introduction
부영양화는 담수 생태계의 대표적인 수질오염 문제 중 하나로, 외부 기원의 과도한 영양염 부하로 인해 발생하여 조류(algae)의 대량 증식, 용존산소
고갈 및 수생태계 붕괴를 초래한다(Carpenter et al., 1998). 특히 남세균(cyanobacteria)은 고수온 및 영양염 조건에서 번성하며, microcystins과 anatoxins 등의 독소를 생성하여
수생태계 및 상수원 안전에 심각한 위해를 가한다(Jeon et al., 2015). 국내 하천형 저수지에서는 하절기에 남세균 대발생이 빈번하게 보고되는데, 이는 지속적인 외부 오염 부하와 긴 체류시간을 갖는 환경적 특성에 의한다(Hwang et al., 2017;
Jung and Kim, 2017). 녹조 및 남세균 발생을 조기에 확인하고 확산을 방지하기 위해, 국내에서는 2005년부터 조류경보제를 도입하여 주요 호소를 대상으로 세포 밀도와
독성물질을 종합적으로 평가하고 있다.
강원도 춘천시에 위치한 의암호는 대표적인 하천형 저수지로 수질 민감도가 높아 2016년부터 조류경보제의 중점 관리대상으로 지정되었다(ME, 2022). 이는 지역 상수원으로서, 그 수질 악화는 춘천 및 하류 취수원 안전에 직결된다. 그러나 유입되는 여러 지류가 도심을 관통하며 하수 및 비점오염원의
영향을 받기에 부영양화에 취약한 것으로 알려져 있다. 공지천은 의암호의 주요 지류 중 하나로, 과거 남세균 발생의 주요 기원으로 지목되어 왔다(Lee et al., 2016;
You et al., 2013). 이에 따라 2016년 이후 공지천에서는 비점오염 저감, 하수처리 고도화, 수변 정비 등의 수질개선 사업이 지속적으로 추진되어 남세균 발생이 감소하는
경향이 보고되었다(Gangwon Special Self-Governing Province, 2023;
Jeong and Hong, 2020). 하지만 이러한 관리에 따른 수질 상태와 조류 군집에 대한 최신 연구는 여전히 부족한 상황이다.
이에 본 연구는 2025년 3-8월에 의암호와 공지천에서 수질특성 및 조류 군집 변화를 분석하여 변화된 수계를 확인하고자 하였다. 또한, 남세균 특이
색소인 phycocyanin을 측정하여 그 출현 양상을 함께 평가하였다. 조사한 데이터를 바탕으로 통계분석을 수행하여 복합적 수질 인자 간 상관관계와
영향력을 정량적으로 해석하였으며(Lee et al., 2022), Carlson (1977)의 부영양화 지수를 산정하여 수체의 영양상태를 종합적으로 평가하였다.
2. Materials and Methods
2.1 조사 지점 및 시기
Fig. 1. Sampling site for Uiam Lake and Gongji Stream in Chuncheon, South Korea.
본 연구는 강원도 춘천시에 위치한 의암호와 그 지류인 공지천을 대상으로 수행하였다. 의암호는 공지천 합류를 기준으로 상류(S1, S2) 및 하류(S3)로
구분하였고, 공지천은 3개 지점(S4, S5, S6)으로 하여 총 6개 지점을 선정하였다. 각 지점에 대한 정보는 Fig. 1 및 Table 1에 제시하였다.
조사는 2025년 3-8월 동안 매달 1회 실시하였으며, 3월을 제외하고 강우가 없는 건기일을 기준으로 하여 조사 시점을 선정하였다. 이는 강우 요인의
영향을 최소화하여 관찰하기 위함이다.
Table 1. Characteristics of sampling sites in Uiam Lake and Gongji Stream.
|
Sampling site
|
Coordinate
|
Site features
|
|
S1
|
N 37.8841°, E 127.7103°
|
Uiam Lake uppermost point
|
|
S2
|
N 37.8796°, E 127.7084°
|
Uiam Lake after effluent sewage treatment plant effluent flows
|
|
S3
|
N 37.8749°, E 127.7058°
|
Gongji Stream joining mainstream of Uiam Lake
|
|
S4
|
N 37.8748°, E 127.7095°
|
Stagnanting Gongji Stream lower reaches
|
|
S5
|
N 37.8707°, E 127.7206°
|
Gongji Stream after Yaksa Stream joins
|
|
S6
|
N 37.8691°, E 127.7237°
|
Gongji Stream before Yaksa Stream joins
|
2.2 분석항목 및 방법
2.2.1 수질 분석
시료는 채수 후 즉시 햇빛을 차단한 상태로 실험실로 운반하여 항목별 전처리를 수행하였다. 실험 수행 전까지 4 ℃ 이하로 냉장 보관하였으며, 분석은
모두 3회 반복하였다.
용존산소(dissolved oxygen, DO) 및 pH는 다항목 수질 측정기(Multilab 4010-2w, Yellow Springs Instruments,
USA)를 사용하여 측정하였으며, 전기전도도(electrical conductivity, EC)는 전기전도도 측정기(ST300C, Ohaus, USA)를
이용하였다. 생물학적 산소요구량(biochemical oxygen demand, BOD5)과 총질소(total nitrogen, T-N) 및 총인(total phosphorus, T-P), chlorophyll-a (Chl-a)는 수질오염공정시험기준(ME, 2024)에 규정된 절차에 따라 측정하였다. 기준이 제시된 일부 항목 (DO, pH, BOD5, T-P)에 대하여 춘천시 하천 호소 수질기준(Gangwon Special Self-Governing Province, 2023)을 적용하여 등급을 산정하였다.
Phycocyanin (PC) 농도의 측정은 Ha et al. (2016)의 방법론을 참고하여 남세균의 출현이 활발한 6-8월에 한해 추가적으로 수행하였다. 시료는 균질화 및 원심분리 후 상등액을 제거하고 남은 펠릿(pellet)을
사용하였다. 시료에 버퍼(buffer)를 첨가한 후 동결⋅해동 과정을 반복하여 세포벽을 파괴하였다. 이를 원심분리하여 상등액의 흡광도를 측정하고,
Bennett and Bogorad (1973)에서 제안된 식 (1)을 이용하여 농도를 산출하였다.
2.2.2 조류 분석
수체의 조류 발생 양상을 분석하기 위해 조류 세포 정량 및 정성 분석을 수행하였다. 편의상 본 연구에서는 조류를 남세균을 포함한 광합성 미세생물 전체로
정의하여 분석하였다. 정량 분석을 위한 시료는 현장에서 채수하여 즉시 Lugol 용액(1.5%)으로 고정하고 실험실로 운반하였다. 시료 1 mL를
Sedgwick-Rafter chamber에 채우고 15분간 방치하여 침전 후 광학현미경(DM500, Leica, DEU)으로 100-1000 배율로
분석하였다. 계수는 chamber 내 30-50개의 격자(grid square)에서 세포 수를 센 뒤, 다음 식을 적용하여 세포 밀도(algal cell
density, ACD)를 정량하였다(ME, 2024).
정성 분석을 위한 시료는 플랑크톤네트(CL-NP2520, ChemLab, KOR)를 이용하여 농축하였다. 각 지점에서 출현한 조류들은 선행문헌들(Cho et al., 2020;
Chung, 1993;
Jeon and Kim, 2011)을 참고하여 속 수준에서 분류하였다.
2.3 문헌 조사
대상 유역의 강수량(precipitation, PR)과 유량(discharge, Q)은 국가 수자원 관리 종합 시스템(WAMIS)의 자료를 활용하였다(ME and K-water, 2025). 강수량은 의암호 상류에 위치한 소양 2교에서 측정된 직전 14일간의 누적값을 사용하였으며, 이는 수질특성의 계절적 변화 관찰에 적합한 것으로 알려져
있다(Lee et al., 2015). 유량은 의암호 하류의 강촌교와 공지천 효자교에서의 당일 관측값을 사용하였고, 수위(water level, WL)는 물환경정보시스템의 수리⋅수문⋅기상
자료에서 소양 2교 및 효자교의 월별 평균값을 사용하였다(ME, 2025). 기상은 기온(air temperature, AT)과 일조시간(sunshine duration, SD), 일사량(solar radiation, SR)을
분석 항목으로 하여 기상청 기상자료 개방 포털의 춘천시 관측지점 자료를 사용하였다(KMA, 2025). 조류는 세대 시간이 짧기에 환경 변화에 대한 생장 반응이 빠르게 나타난다. 이들에게 제공되는 환경 변화를 충분히 반영하기 위하여 조사일을 포함한
직전 일주일의 평균값을 사용하였다(Gangl et al., 2015;
Novosel et al., 2022).
2.4 통계분석
조사한 수계에 영향을 미치는 수질 및 조류 인자를 평가하고 그 특성을 설명하고자 통계분석을 수행하였다. 실험실에서 측정한 8가지 수질 인자(DO,
pH, EC, BOD5, T-N, T-P, Chl-a, PC)와 세포 밀도, 문헌 조사를 통해 수집한 6가지의 수리⋅수문⋅기상 인자(PR, Q, WL, AT, SD, SR)를
포함하여, 총 15가지 인자를 분석 변수로 사용하였다.
상관분석(correlation analysis)은 정규성 검정 결과에 따라 Spearman's rank correlation analysis를 수행하였다.
이는 통계분석 프로그램 SPSS Statistics version 30.0.0.0 (SPSS Inc., USA)를 이용하여 식 (3)으로 진행하였다(Kim et al., 2018). 본 연구에서는 상관분석을 수행하여 변수 간 선형 관계를 정량적으로 평가하고, 조류 인자(Chl-a, PC, ACD)를 중심으로 유의미한 상관계수를
보인 변수 간 상관성을 해석하였다. 상관계수의 해석은 |$\rho$| $\ge$ 0.7 을 강한 상관관계, 0.5 < |$\rho$| < 0.7 을
유의한 상관관계, |$\rho$| $\le$ 0.3 은 상관관계 무시 가능으로 정의하는 기준을 따랐다(Miot, 2018).
또한, 데이터의 차원 축소를 통해 대상을 새로운 변수로 설명하는 주성분분석(Principal Component Analysis, PCA)를 수행하여,
공지천 및 의암호의 특성을 설명하는 주요 요인을 도출하였다. 분석은 Kim et al. (2018)의 방법을 참고하여 SPSS로 수행하였다. PCA는 변수들 간 상호 의존도를 분석하기 위한 다차원 해석 기법으로, 수학적으로 정규화된 자료로부터 선정된
공분산 행렬과 고유벡터의 구성을 설명한다.
2.5 영양상태 평가
수체의 영양상태를 평가하기 위해 부영양화 지수(Trophic State Index, TSI)를 사용하였다. 해당 평가에서 사용되는 두 변수 T-P
및 Chl-a는 조류 생물량을 독립적으로 추정할 수 있음을 시사하여, 본 연구에서는 TSI를 이용하여 대상의 계절별 영양단계 변화를 정량적으로 평가하였다(Carlson and Havens, 2005). 계산은 식 (4)-(5)로 진행하였고, TSI 산정을 위한 범위와 호수 상태의 구분은 Table 2에 나타내었다(Carlson, 1977;
Grochowska et al., 2017).
Table 2. Trophic State Index values and classification of lakes.
|
TSI values
|
Trophic Status
|
Attributes
|
|
< 40
|
Oligotrophic (O)
|
Clear water, oxygen throughout the year in the hypolimnion. Some shallower lakes will
become anoxic during the summer.
|
|
40-49
|
Mesotrophic (M)
|
Water moderately clear but increasing probability of anoxia during the summer.
|
|
50-69
|
Eutrophic (E)
|
Lower boundary of classical eutrophy: Decreased transparency, warm-water fisheries
only. Dominance of cyanobacteria, algal scum probable, extensive macrophyte problems.
|
|
$\ge$ 70
|
Hypertrophic (H)
|
Heavy algal blooms possible throughout the summer, often hypereutrophic.
|
3. Results and Discussion
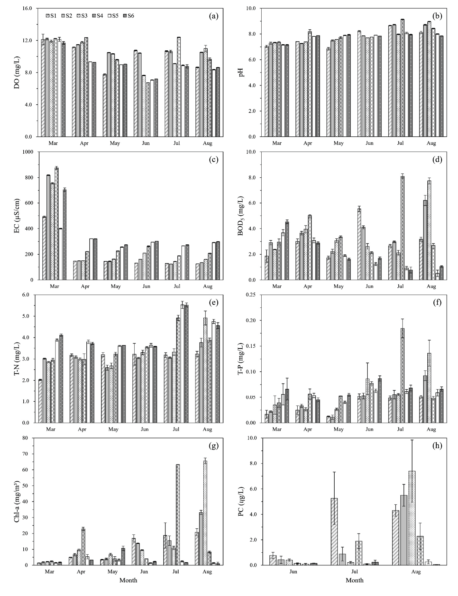
3.1 수질 분석
의암호 및 공지천의 수질 분석 결과를 Fig. 2에 제시하였다. 조사 기간 동안 DO는 6.5 mg/L 이상의 Ib 등급이 유지되어, 수생태계에 양호한 산소 조건이 제공됨을 시사하였다(Fig. 2a). 3-4월에는 높은 농도로 측정되었는데, 이는 수체가 낮은 온도 조건에서 높은 산소 용해도를 가짐에 기인한다. 또한 하절기 (6-8월)로 접어들며
값이 점차 감소하는 양상이 나타났다. 산소 용해도의 감소와 함께 조류와 같은 미생물과 수생생물의 활동 증가로 산소소비량이 증가하였을 것으로 판단되며(Hasan et al., 2023), 이는 3.2절에 제시된 실험 결과와 일치한다.
pH는 7.0-9.1의 안정적인 약알칼리성 상태를 유지하였다(Fig. 2b). 전반적인 양상은 봄에서 여름으로 갈수록 값이 증가하여, 기온 상승과 조류 광합성에 의한 CO2 감소가 영향을 미친 것으로 판단된다(Kwak et al., 2017).
EC는 4-8월에 전체 지점에서 125-321 $\mu$S/cm 범위의 일관된 양상을 유지하였으나(Fig. 2c), 3월에는 모든 조사 지점에서 EC값이 높게 측정되었으며, 특히 S4에서는 다른 시점의 4배 수준인 875.1 $\mu$S/cm를 기록하였다.
이는 3월에 겨울동안 얼어있던 눈이 녹으면서, 제설제 및 오염물질들이 수역으로 유입된 결과로 예상되며, Shin et al. (2001)의 연구에서도 유사한 결과가 관찰된 바 있다.
BOD5는 춘기 (3-5월)에 모든 지점에서 III 등급 이하로 나타났다(Fig. 2d). 그러나 하절기에 진입하며 일부 지점에서 IV 등급 이상으로 평가되어 계절 변화에 따른 유기물 부하의 증가를 시사하였다. 한편 공지천 상류 (S5,
S6)에서는 값이 점차 감소하는 양상을 확인하였다. 이는 하절기에 접어들며 강수량 증가로 유속이 상승함에 따라 유기물질이 희석된 결과로 추정된다(Kim et al., 2014).
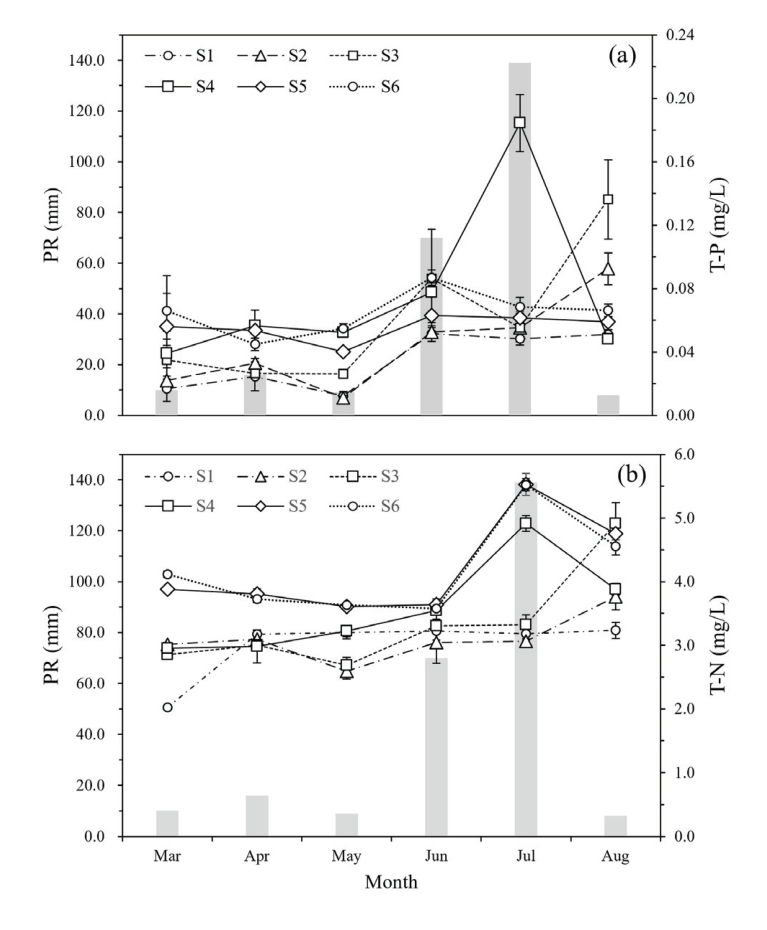
조사 기간동안 T-N은 2.0 mg/L 이상의 높은 농도를 유지하여 지속적인 질소 부하를 시사하였다(Fig. 2e). 특히 7월에 공지천에서 4.9 mg/L 이상의 높은 농도로 측정되어 강수량 증가에 따른 비점오염원의 유입이 의심되었다.
T-P는 춘기에 전 지점에서 0.066 mg/L 이하의 농도를 유지하여, 평균 Ib 등급으로 나타났다 (Fig. 2f). 하지만 하절기에 들어서며 평균 II 등급으로 악화되었는데 특히 7월에 S4, 8월에 S2와 S3에서 급증하였고, S4에서 춘기 최댓값의 약 2배에
달하는 0.184 mg/L로 측정되었다. 한편 두 영양염 인자(T-N, T-P)와 강수량의 비교 결과, 강수량이 최댓값을 보일 때 영양염 농도 또한
같은 양상으로 나타나 이들이 비점오염원의 유입에 기인한 것으로 판단하였다(Fig. 3).
Chl-a는 3월에 2.5 mg/m3 이하의 매우 낮은 농도를 보였으나, 점차 증가하여 8월 S3에서 65.6 mg/m3의 최댓값을 나타내었다(Fig. 2g). 하절기에 공지천보다 의암호의 Chl-a농도가 높았기에 공지천보다 의암호에서 전반적으로 조류 증식이 더 활발하였을 것으로 사료된다. 이에 대한
주요 원인 분석은 3.3절에 상관분석 결과를 통해 제시하였다.
PC는 전 지점에서 6월에 0.77 $\mu$g/L 이하의 낮은 농도로 측정되었으며, 7-8월에 걸쳐 S1-S4에서 값이 크게 증가하여 최댓값(7.40
$\mu$g/L)을 보였다(Fig. 2h). 이는 하절기 기온 상승에 따른 남세균 대량 증식을 의미한다. 7월 조사 결과 S1에서 농도가 가장 높았고 S2-S3가 순차적으로 높게 나타난
반면, 8월에는 이러한 경향이 반전되었다. 이는 의암호 수체의 흐름이 S1에서 S3 방향으로 진행됨에 따라 상류에서 대량 증식한 남세균이 하류로 이동한
것으로 사료된다. 또한 전반적으로 의암호에서의 PC 농도가 더 높게 나타나 남세균 발생 빈도는 공지천보다 의암호에서 빈번함을 판단하였다. 한편 공지천
상류에서는 조사 기간동안 큰 변화가 없었으나 7-8월에 하류(S4)에서 6월 측정값의 약 14배가 증가하였다. 이에 따라 공지천의 남세균은 그 상류보다
하류에서 더 번성하였음을 판단하였다.
Fig. 2. Monthly variations of water quality parameters from March to August 2025 in
Uiam Lake and Gongji Stream: (a)
dissolved oxygen, (b) potential of hydrogen, (c) electrical conductivity, (d) biochemical
oxygen demand, (e) total nitrogen, (f) total phosphorus, (g) chlorophyll-a, and (h)
phycocyanin.
Fig. 3. Monthly average variations of (a) total phosphorus and (b) total nitrogen
(line graphs) with precipitation (bar graph) from March to August 2025 in Uiam Lake
and Gongji Stream.
3.2 조류 분석
3.2.1 정량 분석
조류 정량 분석 결과, 세포 밀도는 조류 색소농도(Chl-a, PC)와 유사한 양상으로 변화하였다(Fig. 4). 3월에 27,047 cells/mL 이하의 최솟값이 확인되었고, 기온 상승에 따라 대부분의 의암호 지점에서 값이 점차 증가하는 양상을 확인할
수 있었다. 의암호의 긴 체류시간에 따라 안정적인 수온층이 형성되어 조류가 원활히 증식한 것으로 사료된다. 한편 공지천 수역에서는 4월에 이례적으로
큰 값이 나타나 조류가 일시적으로 번성하였음을 확인하였으나, 계절 변화에 따라 뚜렷한 증가 양상은 보이지 않았다.
Fig. 4. Monthly variations of algal cell density, chlorophyll-a, and phycocyanin from
March to August 2025 in Uiam Lake and Gongji Stream.
3.2.2 정성 분석
조사 기간 동안 수체 내 조류를 정성 분석한 결과, 남세균 10속, 규조류 33속, 녹조류 49속, 편모조류 10속, 황녹조류 1속으로 총 103속이
출현하였다(Fig. 5). 춘기에는 규조류가 전체 군집 중 가장 많은 비율을 차지하였으나 하절기로 접어들며 환경 영향에 민감한 녹조류의 비율이 비슷하거나 우세한 것으로
확인되었다. 또한 공지천보다 의암호에서 더 많은 녹조류 속이 동정되었다. 이는 의암호 체류시간이 더 길기에 녹조류 생장에 더 적합했을 것으로 해석된다(Jeong and Hong, 2020). 하절기에는 남세균의 군집 다양성이 확연히 증가하였다. 이는 기온 및 일사량 증가에 따른 결과로 보이며, 선행 연구에서도 유사한 변화 양상이 보고되었다(Im et al., 2023;
Yu et al., 2014).
Fig. 5. Genus distribution from March to August 2025 in Uiam Lake and Gongji Stream.
3.2.3 영양상태에 따른 출현 조류
Yang (2020)의 연구에서 보고된 수역의 영양상태에 따른 조류 중 본 연구에서 출현한 속을 확인하였다 (Table 3). 그 결과 빈영양성보다 중영양성 조류가 더 많이 출현하였으며, 부영양성 조류는 등장하지 않았다. 따라서 의암호 및 공지천은 중영양성에 가까울 것으로
판단된다.
Table 3. The number of algal genera according to trophic level is indicated in parentheses
(Yang, 2020). Eutrophic algae include only one type of cyanobacteria, while the others (diatoms,
chlorophyta, and zygnematophyceae) are not included and are therefore marked as absent
(-).
|
Algae
|
Trophic level
|
|
Oligotrophic (genera)
|
Mesotrophic (genera)
|
Eutrophic (genera)
|
|
Cyanobacteria
|
0
|
3 (Oscillatoria sp., Microcystis sp., Anabaena sp.)
|
0
|
|
Diatoms
|
8 (Pinnularia sp., Cymbella sp., Diatoma sp., etc.)
|
9 (Melosira sp., Stephanodiscus sp., Asterionella sp. etc.)
|
-
|
|
Chlorophyta
|
2 (Ulothrix sp., Vaucheria sp.)
|
5 (Pediastrum sp., Scenedesmus sp. etc.)
|
-
|
|
Zygnematophyceae
|
2 (Closterium sp., Staurastrum sp.)
|
3 (Spirogyra sp., Cosmarium sp. etc.)
|
-
|
3.2.4 남세균 출현 현황
ME (2016) 지정 유해 남세균 4속의 출현 여부를 조사한 결과, Aphanizomenon sp.를 제외한 3개 속(Microcystis sp., Anabaena
sp., Oscillatoria sp.)이 하절기에 모든 지점에서 지속적으로 출현한 것을 확인하였다. 출현한 유해 남세균은 흙⋅곰팡이 냄새를 유발하며,
독성물질인 microcystins과 anatoxins을 분비하는 것으로 알려져 있다(Table 4). 이들 독소는 간독성과 신경독성을 나타내어 대발생시 수생생물 및 인체에 악영향을 미칠 가능성이 있다(Jeon et al., 2015).
계절 변화에 따른 남세균 발생 양상을 비교하기 위해 월별 남세균 출현 유무를 확인하였다(Table 5). Oscillatoria sp.와 Phormidium sp.는 조사 기간동안 모든 지점에서 꾸준히 출현하였고, Aphanocapsa sp. 또한
계절에 무관하게 높은 빈도로 출현하였다. 반면 Anabaena sp.와 Microcystis sp.는 기온이 상승하는 6월부터 출현하였다. 이는 다른
남세균 속과 비교하여 Oscillatoria sp.와 Phormidium sp., Aphanocapsa sp.가 온도 변화에 대해 상대적으로 민감하지
않음을 시사한다(Felisberto and Souza, 2014).
Table 4. Three harmful cyanobacteria genera.
Table 5. Monthly presence (indicated by ⋅) of cyanobacteria, identified at the genus
level.
|
Cyanobacteria
|
Mar
|
Apr
|
May
|
Jun
|
Jul
|
Aug
|
|
Anabaena sp.
|
|
|
|
⋅
|
⋅
|
⋅
|
|
Aphanocapsa sp.
|
⋅
|
⋅
|
⋅
|
⋅
|
⋅
|
⋅
|
|
Lyngbya sp.
|
|
⋅
|
⋅
|
|
|
⋅
|
|
Merismopedia sp.
|
|
|
⋅
|
|
|
⋅
|
|
Microcystis sp.
|
|
|
|
⋅
|
⋅
|
⋅
|
|
Nostoc sp.
|
|
|
|
|
⋅
|
⋅
|
|
Oscillatoria sp.
|
⋅
|
⋅
|
⋅
|
⋅
|
⋅
|
⋅
|
|
Phormidium sp.
|
⋅
|
⋅
|
⋅
|
⋅
|
⋅
|
|
|
Pseudanabaena sp.
|
⋅
|
⋅
|
⋅
|
|
⋅
|
|
|
Woronichinia sp.
|
|
|
|
|
⋅
|
|
의암호와 공지천의 남세균 출현 양상을 비교하기 위해 지점별 남세균 출현 여부를 Table 6에 나타내었다. Microsystis sp.와 Oscillatoria sp.는 모든 지점에서 출현하였고, Anabaena sp.는 S6를 제외한 모든
지점에서 출현하였다. S6가 약사천이 합류되기 전 지점이며, S4-S5가 약사천이 합류된 후의 수역이기에 공치전(S4, S5)에서 발견된 Anabaena
sp.는 약사천에서 유입된 것으로 판단된다. 의암호 상류와 공지천에서 출현한 남세균들은 그 합류지점인 S3에서 혼합된 양상으로 발견되었다. 의암호
상류에서는 6속이 출현하였고, 공지천 상류에서는 4-5속이 출현하였다. 이는 남세균이 공지천보다 의암호에서 번성함을 시사한다(Jeong and Hong, 2020;
Kim et al., 2003). 이는 앞서 언급되었던 PC 분석 결과와도 일치한다(Fig. 2h). 의암호는 공지천과 비교하여 체류시간이 길기에, 남세균 번성에 긍정적인 영향을 주었을 것으로 예상된다. 반면 공지천 상류는 유입수에 따른 환경
변화가 크고 의암호에 비해 유속이 빠른 하천형 수역이기에, 남세균 군집이 안정적으로 번성하기 어려웠을 것으로 예상하였다(Jeong and Hong, 2020;
Kim et al., 2003). 따라서 남세균 생장 조건에 공지천보다 의암호가 부합한 것으로 판단된다.
선행 연구에서는 의암호에서 발생하는 남세균의 주요 기원지로 공지천이 지목되어왔다(Lee et al., 2016;
You et al., 2013). 그러나 본 연구에 따르면 공지천에서 출현하지 않은 속이 의암호에서 발견되어 선행 연구와 상반되는 결과가 확인되었다. 공지천 수역은 2016년부터
시행한 수질 개선 사업에 의해 영양염이 꾸준히 감소하고 있다(Jeong and Hong, 2020). 이에 공지천의 남세균 발생이 억제된 것으로 예상되어, 의암호에서 발견되는 모든 남세균의 기원이 공지천은 아닌 것으로 판단된다.
Table 6. Presence of cyanobacteria at each site, identified at the genus level.
|
Cyanobacteria
|
S1
|
S2
|
S3
|
S4
|
S5
|
S6
|
|
Anabaena sp.
|
⋅
|
⋅
|
⋅
|
⋅
|
⋅
|
|
|
Aphanocapsa sp.
|
⋅
|
⋅
|
⋅
|
⋅
|
⋅
|
⋅
|
|
Lyngbya sp.
|
|
|
⋅
|
|
⋅
|
|
|
Merismopedia sp.
|
|
⋅
|
|
|
|
|
|
Microcystis sp.
|
⋅
|
⋅
|
⋅
|
⋅
|
⋅
|
⋅
|
|
Nostoc sp.
|
|
|
⋅
|
⋅
|
|
|
|
Oscillatoria sp.
|
⋅
|
⋅
|
⋅
|
⋅
|
⋅
|
⋅
|
|
Phormidium sp.
|
⋅
|
⋅
|
⋅
|
⋅
|
|
⋅
|
|
Pseudanabaena sp.
|
⋅
|
|
⋅
|
⋅
|
⋅
|
|
|
Woronichinia sp.
|
|
|
⋅
|
|
|
|
3.3 통계분석 결과
3.3.1 상관분석
상관분석 결과를 Table 7에 나타내었다. pH는 모든 조류 인자(Chl-a, PC, ACD)와 유의한 양의 상관관계를, 기온과는 강한 양의 상관관계를 보였다. 이에 따라 조사
기간 동안 pH 값의 증가는 기온 상승 및 조류 광합성에 의한 것임을 재확인하였다. 일반적으로 조류 증식에는 BOD, T-N, T-P, 유량 등이
관여하는 것으로 알려져 있다. 그러나 본 연구에서는 Chl-a가 BOD5와만 유의한 양의 상관관계를 보였으며($\rho$ = 0.64, p < 0.001), T-N, T-P, Q와는 유의한 상관관계가 나타나지 않았다.
이는 본 연구 대상 수역에서 유기물이 조류 증식의 주요 영향 인자임을 시사한다. 또한 세포 밀도와도 유의한 양의 상관관계를 보여 Chl-a 농도에
따라 조류 세포 활성을 유추할 수 있음을 시사하였다. PC와도 강한 양의 상관관계를 보였는데, 이에 따라 PC 측정이 수행된 하절기의 Chl-a 농도에
남세균 발생의 영향이 크게 반영된 것으로 예상된다. PC는 DO, BOD5와 강한 양의 상관관계를 나타내었다. 이에 따라 하절기 수체는 남세균의 광합성에 따른 산소 발생과 유기물 부하가 복합적으로 작용하였을 것으로 예상된다.
또한 기온과도 유의한 양의 상관관계를 보여 기온 상승에 따른 남세균 대량 증식을 재확인하였다. 세포 밀도는 T-P와 $\rho$ = 0.56 의 유의한
양의 상관관계를 보였으나, 조사된 수체의 T-P 농도가 조류 생장을 제한할 정도의 미량은 아닌 것으로 나타났다(Table 2f). 따라서 T-P가 조류 생장에 영향을 미치나, 제한 인자로 기능한다고 단정하기는 어려운 것으로 사료된다. T-N과 T-P는 서로 강한 양의 상관관계를
나타내어 함께 유입되었을 가능성이 제시되었으며, 이들 인자는 모두 강수량과 양의 상관관계를 나타내어 영양염이 강우에 의해 유입되었을 가능성을 재확인하였다.
Table 7. Spearman correlation among the water quality parameters.
|
|
DO
|
pH
|
EC
|
BOD5
|
T-N
|
T-P
|
Chl-a
|
PC
|
ACD
|
PR
|
Q
|
WL
|
AT
|
SD
|
SR
|
|
DO
|
1
|
|
|
|
|
|
|
|
|
|
|
|
|
|
|
|
pH
|
-0.146
|
1
|
|
|
|
|
|
|
|
|
|
|
|
|
|
|
EC
|
0.071
|
-0.462**
|
1
|
|
|
|
|
|
|
|
|
|
|
|
|
|
BOD5
|
0.651***
|
0.119
|
-0.302
|
1
|
|
|
|
|
|
|
|
|
|
|
|
|
T-N
|
-0.383*
|
0.441**
|
0.157
|
-0.147
|
1
|
|
|
|
|
|
|
|
|
|
|
|
T-P
|
-0.292
|
0.532***
|
0.065
|
0.045
|
0.718***
|
1
|
|
|
|
|
|
|
|
|
|
|
Chl-a
|
0.214
|
0.581***
|
-0.738***
|
0.636***
|
-0.108
|
0.141
|
1
|
|
|
|
|
|
|
|
|
|
PC
|
0.717***
|
0.748***
|
-0.750***
|
0.775***
|
-0.195
|
-0.112
|
0.853***
|
1
|
|
|
|
|
|
|
|
|
ACD
|
-0.281
|
0.740***
|
-0.391*
|
0.131
|
0.356*
|
0.556***
|
0.609***
|
0.447
|
1
|
|
|
|
|
|
|
|
PR
|
-0.462**
|
0.799***
|
-0.546***
|
-0.197
|
0.485**
|
0.539***
|
0.366*
|
0.210
|
0.629***
|
1
|
|
|
|
|
|
|
Q
|
-0.012
|
0.017
|
-0.706***
|
0.074
|
-0.411*
|
-0.301
|
0.363*
|
0.486*
|
-0.004
|
0.311
|
1
|
|
|
|
|
|
WL
|
0.191
|
-0.204
|
-0.418*
|
0.016
|
-0.550***
|
-0.535***
|
0.145
|
0.486*
|
-0.284
|
-0.014
|
0.832**
|
1
|
|
|
|
|
AT
|
-0.507**
|
0.777***
|
-0.509**
|
-0.142
|
0.547***
|
0.566***
|
0.339*
|
0.420
|
0.557***
|
0.938***
|
0.256
|
-0.040
|
1
|
|
|
|
SD
|
-0.173
|
-0.172
|
-0.174
|
0.208
|
-0.074
|
-0.154
|
0.175
|
-0.210
|
0.107
|
-0.281
|
-0.086
|
-0.115
|
-0.204
|
1
|
|
|
SR
|
-0.635***
|
0.123
|
-0.279
|
-0.071
|
0.064
|
0.186
|
0.166
|
-0.210
|
0.257
|
0.205
|
0.171
|
-0.066
|
0.337*
|
0.526***
|
1
|
*: p < 0.05, **: p < 0.01, ***: p < 0.001
3.3.2 PCA
공지천 및 의암호의 수질특성을 종합적으로 해석하기 위해 PCA를 수행하였다. 먼저 eigenvalues $\ge$ 1 인 성분을 추출하여 4개 주성분을
결정하였다(Kim et al., 2007). 추출된 성분 중 제1 주성분은 데이터의 41.4%를 설명한다. 제2 주성분은 데이터의 25.1%를, 제3 주성분과 제4 주성분은 각각 데이터의
15.8%와 7.9%를 설명한다. 이에 따라 4개 주성분을 통해 수집한 데이터의 90.2%를 설명할 수 있었다.
제1 주성분은 DO, pH, EC, BOD5, Chl-a, PC, 세포 밀도가 주요 요인으로 나타났으며, T-P가 제3 주성분과 함께 높은 loading 값을 보였다(Table 8). 이를 통해 수체는 조류 생물량에 따른 변수 및 유기물 부하, 물리⋅화학적 요인의 종합적 영향이 가장 크게 나타난 것으로 해석되었다. 제2 주성분은
T-N, SD, SR, WL, Q가 주요 요인으로 나타나, 기상 및 수문학적 요인과 질소 부하가 함께 작용함을 시사하였다. 제3 주성분은 PR이 주요
요인으로 나타났으며, T-P가 추가적으로 영향을 미치는 것으로 확인되었다. 제4 주성분은 AT가 주요 요인으로 나타났다.
Table 8. Component loadings for the four principal components derived from PCA.
|
Variable
|
Principal Component
|
|
No. 1
|
No. 2
|
No. 3
|
No. 4
|
|
DO
|
0.873
|
-0.046
|
-0.079
|
-0.066
|
|
pH
|
0.909
|
-0.22
|
0.13
|
-0.058
|
|
EC
|
-0.766
|
-0.485
|
0.333
|
0.167
|
|
BOD5
|
0.84
|
0.221
|
0.379
|
0.204
|
|
T-N
|
0.014
|
-0.832
|
0.3
|
-0.053
|
|
T-P
|
0.539
|
-0.322
|
0.543
|
0.497
|
|
Chl-a
|
0.899
|
-0.027
|
0.377
|
0.15
|
|
PC
|
0.747
|
0.144
|
0.289
|
-0.373
|
|
ACD
|
0.709
|
-0.064
|
-0.051
|
0.432
|
|
PR
|
0.144
|
-0.344
|
-0.737
|
0.542
|
|
Q
|
0.365
|
0.786
|
-0.371
|
0.051
|
|
WL
|
0.553
|
0.7
|
-0.332
|
-0.143
|
|
AT
|
0.424
|
-0.492
|
0.05
|
-0.728
|
|
SD
|
-0.446
|
0.667
|
0.583
|
0.1
|
|
SR
|
-0.437
|
0.66
|
0.603
|
0.064
|
3.4 영양상태 평가
TSI를 이용하여 의암호 및 공지천의 영양상태를 평가하였다(Table 9). 조사 기간동안 TSI 평균값은 전 지점에서 45-60 범위로 분포하여, 대부분 중영양(mesotrophic, M)-부영양(eutrophic,
E) 상태로 평가되었다. TSI는 계절에 따라 뚜렷한 변화 양상을 보였는데 춘기에는 대부분의 지점에서 빈영양(oligotrophic, O) 혹은 중영양
상태였으나, 하절기에 접어드는 6월 이후 모든 지점에서 값이 급증하는 양상을 보이며 부영양 상태로 전환되었다.
의암호는 8월에 TSI 값이 모두 60.0을 초과하였고, 특히 공지천이 유입된 지점 (S3)에서 TSI $\ge$ 70.0 의 과영양(hypertrophic,
H) 상태가 나타났다. 공지천은 의암호 상류와 비교하여 TSI(T-P) 값이 상대적으로 높았다. 이에 따라 앞서 언급된 수질개선 사업으로 공지천의
남세균 발생은 억제되었으나 여전히 의암호에 영양물질을 공급할 수 있는 것으로 판단된다. 특히 하류는 7월에 과영양 상태로 평가되어 공지천에서 의암호로
유입되는 오염 부하가 공지천 최하류 구간에 있음을 시사하였다. 또한 전반적으로 TSI(T-P)가 TSI(Chl-a)보다 높게 평가된 것을 확인하였는데,
이는 의암호 및 공지천 수체에 존재하는 인(phosphorus)이 높은 농도로 존재하기 때문으로 예상된다. 이에 따라 조류 발생 제한 인자가 유기물
혹은 질소 등 인이 아닌 다른 요인으로 판단된다.
빈영양 상태로 평가된 춘기에는 주로 Cyclotella sp. 등의 빈영양성 조류가 출현하여 TSI와 조류 군집 양상이 일치함을 확인하였다. 그러나
하절기에 부영양 상태로 평가된 지점에서는 주로 Microcystis sp. 등의 중영양성 남세균이 출현하였다. 이는 조류 생장의 필수 성분 중 제한
인자가 존재하여 대발생하지 않음을 나타내며, 향후 제한 인자의 농도가 충분히 높게 증가할 경우 대발생할 가능성이 확인되었다.
Table 9. Trophic State Index results (T-P and Chl-a) by site from March to August.
|
Month
|
Site
|
Trophic State Index
|
|
TSI(T-P)
|
TSI(Chl-a)
|
|
Mar
|
S1
|
44.81 M
|
33.55 O
|
|
S2
|
48.83 M
|
36.29 O
|
|
S3
|
55.41 E
|
38.14 O
|
|
S4
|
57.02 E
|
39.74 O
|
|
S5
|
62.21 E
|
34.94 O
|
|
S6
|
64.60 E
|
36.55 O
|
|
Apr
|
S1
|
50.36 E
|
46.27 M
|
|
S2
|
54.60 E
|
49.14 M
|
|
S3
|
51.47 E
|
52.72 E
|
|
S4
|
62.34 E
|
61.27 E
|
|
S5
|
61.58 E
|
47.03 M
|
|
S6
|
59.01 E
|
42.28 M
|
|
May
|
S1
|
40.47 M
|
42.76 M
|
|
S2
|
38.78 O
|
43.94 M
|
|
S3
|
51.28 E
|
49.34 M
|
|
S4
|
61.25 E
|
44.17 M
|
|
S5
|
57.39 E
|
42.16 M
|
|
S6
|
61.89 E
|
53.78 E
|
|
Jun
|
S1
|
61.04 E
|
58.31 E
|
|
S2
|
61.32 E
|
56.27 E
|
|
S3
|
68.48 E
|
52.63 E
|
|
S4
|
66.95 E
|
44.24 M
|
|
S5
|
63.91 E
|
33.86 O
|
|
S6
|
68.57 E
|
38.52 O
|
|
Jul
|
S1
|
60.13 E
|
59.32 E
|
|
S2
|
62.03 E
|
57.45 E
|
|
S3
|
62.05 E
|
54.01 E
|
|
S4
|
79.42 H
|
71.25 H
|
|
S5
|
63.59 E
|
39.11 O
|
|
S6
|
65.13 E
|
35.37 O
|
|
Aug
|
S1
|
60.87 E
|
60.31 E
|
|
S2
|
69.46 E
|
64.92 E
|
|
S3
|
75.05 H
|
71.61 H
|
|
S4
|
60.05 E
|
51.34 E
|
|
S5
|
63.00 E
|
33.21 O
|
|
S6
|
64.63 E
|
30.32 O
|
4. Conclusion
본 연구는 의암호와 공지천을 대상으로 2025년에 수질 및 조류의 시공간적 특성을 조사하고 그 특성을 해석하였다. 조사 기간(3–8월) 동안 수질은
전반적으로 II-III 등급으로 나타났으며, 수체는 양호한 용존산소 조건을 갖춘 약알칼리성 상태를 유지하였다. DO와 pH는 조류 활성의 영향을 받아
계절적으로 유의미한 변동을 보였다. 하절기에는 기온 상승에 따른 조류 증식이 세포 밀도와 조류색소농도의 증가를 통해 확인되었다, 남세균의 경우 의암호에서
더 높은 군집 다양성을 보였으며, 이는 의암호에서 발견되는 남세균의 기원이 공지천보다는 의암호 상류에 기인함을 시사한다. 이러한 결과는 공지천 수질개선
사업의 효과로 판단된다. 하지만 공지천 지류는 여전히 의암호의 주요 영양염 유입원으로 작용하고 있음이 확인되었다. 의암호의 경우 인 이외의 성장 제한
인자가 존재하여 조류 대발생이 억제된 것으로 나타났으므로, 의암호와 공지천에 지속적인 수질개선 사업이 필요하다고 판단된다. 상관분석 결과, 조류 관련
변수와 유기물 및 영양염 간 유의미한 양의 상관관계가 확인되어 유기물이 조류 생장의 필수 기질임을 재확인하였다. 유기물 및 영양염 부하는 하절기에
증가하여 강수량 증가에 따른 비점오염원 유입에 의한 결과로 판단되며, 강우시 비점오염원 관리의 필요성을 시사한다. 본 연구 결과를 바탕으로 의암호에서
발생하는 남세균에 대한 지속적인 조사와 함께 공지천 유역 영양염 부하의 통합적 관리가 필요할 것으로 판단된다.
Acknowledgements
본 연구는 정부(교육부)의 재원으로 한국연구재단의 지원을 받아 수행되었습니다. (과제번호: 2021R1I1A3046581)
References
Bennett A., Bogorad L., 1973, Complementary chromatic adaptation in a filamentous
blue-green alga, The Journal of Cell Biology, Vol. 58, No. 2, pp. 419-435

Carlson R. E., 1977, A trophic state index for lake, Limnology and Oceanography, Vol.
22, No. 2, pp. 361-369

Carlson R. E., Havens K. E., 2005, Simple graphical methods for the interpretation
of relationships between trophic state variables, Lake and Reservoir Management, Vol.
21, No. 1, pp. 107-118

Carpenter S. R., Caraco N. F., Correll D. L., Howarth R. W., Sharpley A. N., Smith
V. H., 1998, Nonpoint pollution of surface waters with phosphorus and nitrogen, Ecological
Applications, Vol. 8, No. 3, pp. 559-568

Cho K. J., Lee H. Y., Lee J. H., Kim H. S., Lee U. M., Kim M. R., Jung S. W., Lee
S. D., Yoon S. M., Nam S. W., 2020, Phytoplankton: Species inhabiting major rivers
in Korea

Chung J., 1993, Illustrated flora of freshwater algae of Korea

Felisberto S. A., Souza D. B., 2014, Characteristics and diversity of cyanobacteria
in periphyton from lentic tropical ecosystem, Brazil, Advances in Microbiology, Vol.
4, No. 15, pp. 1076-87

Gangl D., Zedler J. A., Rajakumar P. D., Martinez E. M. R., Riseley A., Włodarczyk
A., Purton S., Sakuragi Y., Howe C. J., Jensen P. E., Robinson C., 2015, Biotechnological
exploitation of microalgae, Journal of Experimental Botany, Vol. 66, No. 22, pp. 6975-6990

2023, Water quality standards for rivers and lakes

Grochowska J., Brzozowska R., Parszuto K., Tandyrak R., 2017, Modifications in the
trophic state of an urban lake, restored by different methods, Journal of Elementology,
Vol. 22, No. 1, pp. 43-53

Ha R., Shin H., Nam G., Park S., Kang T., Song H., Lee H., 2016, A study on comparison
of phycocyanin extraction methods for hyperspectral remote sensing of cyanobacteria
in turbid inland waters, Journal of Korean Society on Water Environment, Vol. 32,
No. 6, pp. 520-527

Hasan B. R., Islam M. S., Kundu P., Mallick U. K., 2023, Modeling the effects of algal
bloom on dissolved oxygen in eutrophic water bodies, Journal of Mathematics, Vol.
2023, No. 1, pp. 2335570

Hwang S., Sim Y. B., Choi B., Kim K., Park C., Seo W., Park M., Lee S., Shin J., 2017,
Rainfall and hydrological comparative analysis of water quality variability in Euiam
Reservoir, the North-Han River, Korea, Korean Journal of Ecology and Environment,
Vol. 50, No. 1, pp. 29-45

Im J. K., Sim Y. B., Hwang S. J., Byeon M. S., Kang T. G., 2023, Temporal and seasonal
variations in a phytoplankton community structure in artificial Lake Uiam, South Korea,
Water, Vol. 15, No. 23, pp. 4118

Jeon B. S., Han J., Kim S. K., Ahn J. H., Oh H. C., Park H. D., 2015, An overview
of problems cyanotoxins produced by cyanobacteria and the solutions thereby, Journal
of Korean Society of Environmental Engineers, Vol. 37, No. 12, pp. 657-667

Jeon M. S., Kim B. C., 2011, Freshwater plankton: A handbook

Jeong D. S., Hong E. M., 2020, Analysis of eutrophication patterns of mid- and downstream
regions of the urban Gongji Stream during the dry season, Journal of Agricultural
Life and Environmental Research, Vol. 32, No. 3, pp. 332-344

Jung S. Y., Kim I. K., 2017, Analysis of water quality factor and correlation between
water quality and Chl-a in middle and downstream weir section of Nakdong River, Journal
of Korean Society of Environmental Engineers, Vol. 39, No. 2, pp. 89-96

Kim G. H., Jung K. Y., Lee I. J., Lee K. L., Cheon S. U., Im T. H., Yoon J. S., 2014,
A study on instream flow for water quality improvement in lower watershed of Nam River
Dam, Journal of Korean Society on Water Environment, Vol. 30, No. 1, pp. 44-59

Kim J. H., Kim B. J., Jung H. W., Shin S. R., 2018, Environmental statistics and data
analysis: A self-directed learning guide using R and SPSS

Kim J. M., Heo S. N., Noh H. R., Yang H. J., Han M. S., 2003, Relationship between
limnological characteristics and algal bloom in lake-type and river-type reservoirs,
Korea, Korean Journal of Ecology and Environment, Vol. 36, No. 2, pp. 124-138

Kim M. A., Lee J. K., Zoh K. D., 2007, Evaluation of the Geum River by multivariate
analysis: Principal component analysis and factor analysis, Journal of Korean Society
on Water Environment, Vol. 23, No. 1, pp. 161-168

2025, Monthly meteorological data (March-August 2025)

Kwak S. H., Lee K. S., Seo Y. J., Lyu S. W., 2017, Distribution of algae in a large
River in relation to hydraulic and water quality characteristics

Lee D. H., Kang E. T., Joo J. C., Go H. W., Ahn C. M., Bae Y. H., Song K. D., 2022,
Water quality analysis and Chl-a prediction of 15 large-scale freshwater lakes in
Korea by multivariate statistical analysis, Journal of Korean Society of Environmental
Engineers, Vol. 44, No. 12, pp. 589-602

Lee H. J., Chun K. W., Shope C. L., Park J. H., 2015, Multiple time-scale monitoring
to address dynamic seasonality and storm pulses of stream water quality in mountainous
watersheds, Water, Vol. 7, No. 11, pp. 6117-6138

Lee S. J., Lim B. C., Lee G. H., Jeong W. G., Hur B. N., Hur I. R., 2016, Long term
monitoring for the control of cyanobacterial blooms in Lake Uiam, Journal of Environmental
Analysis, Health and Toxicology, Vol. 19, No. 2, pp. 109-118

2016, What is algal bloom (green tide)?

2022, Annual report on algal bloom occurrence and response

2024, Standard methods for water pollution analysis

2025, Hydraulic, hydrological, and meteorological data

2025, Hydrological data

Miot H. A., 2018, Correlation analysis in clinical and experimental studies, Jornal
vascular brasileiro, Vol. 17, pp. 275-279

Novosel N., Mišić Radić T., Zemla J., Lekka M., Čačković A., Kasum D., Legović T.,
Žutinić P., Gligora Udovič M., Ivošević DeNardis N., 2022, Temperature-induced response
in algal cell surface properties and behaviour: An experimental approach, Journal
of Applied Phycology, Vol. 34, No. 1, pp. 243-259

Shin J. H., Heo H. R., Shin J. S., Kim M. Y., Shin J. Y., 2001, A study of effects
on environment from road deicings, Journal of Environmental and Sanitary Engineering,
Vol. 16, No. 4, pp. 31-37

Yang J. H., 2020, Status and causes of occurrence for water bloom in Nakdong River:
Focused on Dalseung Weir

You K. A., Byeon M. S., Youn S. J., Hwang S. J., Rhew D. H., 2013, Growth characteristics
of blue-green Algae (Anabaena spiroides) causing tastes and odors in the North-Han
River, Korea, Korean Journal of Ecology and Environment, Vol. 46, No. 1, pp. 135-144

Yu J. J., Lee H. J., Lee K., Lee I. J., Jung G. Y., Cheon S. U., 2014, Effects of
environmental factors on algal communities in the Nakdong River, Journal of Korean
Society on Water Environment, Vol. 30, No. 5, pp. 539-548
