권유진
(U-Jin Kwon)
1
백종하
(Jong-Ha Paik)
2
백은림
(Eun-Rim Baek)
3
이상호
(Sang-Ho Lee)
4†
-
정회원, 부산대학교 건축공학과 대학원생
-
비회원, 부산대학교 건축공학과 대학원생
-
정회원, 부산대학교 지진방재연구센터 연구교수
-
정회원, 부산대학교 건축공학과 교수, 교신저자
Copyright © The Korea Institute for Structural Maintenance and Inspection
키워드
강성중심, 비선형 정적해석, 비틀림 비정형, 비틀림 모멘트, 필로티 구조물
Key words
Center of rigidity, Nonlinear static analysis, Torsional irregularity, Torsional moment, Piloti buildings
1. 서 론
국내에서는 주차공간 및 보행 통로 확보 등의 이유로 필로티 구조물이 많이 있으며, 현재도 계속해서 시공되고 있다. 필로티 구조물의 수직 비정형성에
대한 취약성 연구는 다수 수행되어 왔으나(Kwon et al., 2017; Moon et al., 2018), 비틀림 비정형(평면 비정형)이 함께 존재하는 경우, 구조물의 응답에 대한 연구는 상대적으로 부족하다. 비틀림 비정형을 가지는 필로티 구조물은 강성중심과
질량중심간의 편심으로 인해 비틀림 모멘트가 발생하여 약측 기둥에 층 변위 이상으로 변형이 집중되어 손상이 집중되는 경향이 있다(Kim et al., 2019). 실제로 2017년 포항지진 당시, 내진설계가 적용되었음에도 불구하고 다수의 필로티 구조물에서 1층이 연약층 거동을 보였으며, 이로 인해 기둥의
전단파괴 및 비틀림 파괴가 발생한 사례가 다수 보고 되었다(Kim et al., 2018).
현행 국내 내진설계기준(MOLIT, 2021)에서는 수평 비정형 중 비틀림 비정형은 층 최대변위가 층 평균변위의 1.2배 이상인 경우로 판정한다. 비틀림 비정형의 판정법은 국가별로 다소 상이하지만
한국, 미국, 캐나다, 유럽, 일본에서는 공통적으로 우발편심과 비틀림 증폭계수를 반영하여 비틀림 모멘트를 산정한다. 일부 연구자들은 이미 정적편심이
큰 구조물에 대해 우발편심과 비틀림 증폭계수를 적용하는 것이 과도하게 보수적이라고 지적하고 있다(De la Llear and Chopra, 1994; Stathopoulos and Anagnostopoulos, 2010). 편심거리가 큰 구조물은 필연적으로 비틀림 모멘트가 커지는데, 비틀림 증폭계수는 비틀림 응답에 비례하여 증가하므로 이를 중복 적용할 경우 구조적
효율성과 경제성에 불리하다는 것이다. 또한 구조물의 비틀림 거동은 평면상 강성중심뿐만 아니라, 강도중심의 영향도 크게 받는다는 연구 결과도 보고되고
있다(Mohamed and Mehana, 2020; Moghadam and Tso, 2000; De Stefano and Pintucchi, 2008). 이에 따라 비틀림 모멘트의 산정에 대한 연구가 이루어지고 있으며, 비틀림 증폭계수의 적절성, 적용 범위에 대한 재검토가 필요하다는 의견이 제시되고
있다(Mrdak et al., 2024; Anagnostopoulos and Stathopoulos, 2000). 그러나 저층 필로티 구조물에 허용되고 있는 등가정적해석 기반의 현행 설계 방법은 탄성상태의 강성을 기준으로 편심을 산정하므로, 지진하중으로 인한
비탄성 거동시 발생하는 강성중심의 이동과 그에 따른 비틀림 거동의 변화를 충분히 반영하지 못하는 한계를 가진다.
본 연구에서는 2017년 포항지진 피해 조사 보고서(MOIS, 2018)를 참고하여, 비틀림 비정형이 없는 필로티 구조물을 설계한 후 벽체 위치를 모서리로 이동시킨 비틀림 비정형 모델을 구성한다. 이후 강성과 강도는 비틀림
비정형이 없는 정형 구조물과 동일하게 유지하되, 기둥과 벽체간 강성비 및 강도비를 조절하여 다양한 비틀림 비정형 모델을 구성한다. 따라서 본 연구에서는
다양한 비틀림 비정형 모델에 대해 비선형 정적해석(Push-over analysis)을 수행하고자 하며, 특히 비탄성 거동에 따른 강성중심의 이동이
비틀림 거동에 미치는 영향에 초점을 맞춰 분석함으로써, 현행 기준의 비틀림 비정형 판정법과 비틀림 모멘트의 산정방식의 합리성을 검토하고자 한다.
2. 현행 비틀림 비정형 구조물 판정 및 설계 기준
2.1 KDS 41 17 00
필로티 구조물은 일반적으로 수직 강성 및 강도 비정형을 가지며, 최하층이 편심 코어로 계획될 경우 비틀림 비정형을 동반하는 특성이 있다. 국내 내진설계기준은
우발편심을 고려하여 1차해석에서 얻어진 한 층의 최대변위가 층 평균변위의 1.2배를 초과하면 비틀림 비정형으로 판정한다. 비틀림 비정형 구조물은 5층
이상일 경우 동적해석법을 적용해야 하지만, 5층 미만의 저층 구조물은 등가정적해석법이 허용되어 주로 이 방법으로 설계가 이루어진다. 등가정적해석법을
통한 설계에서는 동적해석과의 차이를 반영하기 위해 식 (4)의 비틀림 증폭계수($A_{x}$)를 적용하여 식 (1)에 따라 설계 비틀림 모멘트($M_{T}$)를 산정한다.
$\delta_{\max}$ : 해당 층 최대 변위 (mm)
$\delta_{avg}$ : 해당 층 구조물 각 모서리의 평균 변위 (mm)
$V_{i}$ : 해당 층 전단력 (kN)
$e$ : 강성중심과 질량중심의 거리 (mm)
$L$ : 지진력 작용방향에 직각인 평면 길이 (mm)
KBC 2006(AIK, 2006)에서는 비틀림 증폭계수($A_{x}$)를 정적편심과 우발편심에 동시에 적용함으로써 설계편심이 과대 산정되고, 그 결과 비정형을 띄는 구조물이 지나치게
보강되는 경향이 있었다. 이러한 한계를 보완하기 위해 KBC 2009(AIK, 2009)에서는 비틀림 증폭계수를 우발편심에만 적용하도록 개정하여 설계편심이 상대적으로 감소하게 되었다. 또한 2017년 포항지진 당시 필로티 구조물이 상당한
피해를 입고 이에 대한 피해조사가 이루어졌으며, 그 결과를 토대로 2018년에 국토부에서 필로티 건축물 구조설계 가이드라인(MOLIT, 2017)을 재정하였다. 이 가이드라인은 가능한 한 중심코어를 채택하도록 하고 있으며, 중심코어가 아닌 경우 대칭성을 확보하기 위한 충분한 길이의 전단벽 또는
날개벽을 설치한 후, 수직재량비$(V_{ratio})$를 만족하게 하도록 하고 있다. 이 가이드라인에서 제시하는 수직재량비는 지역별로 식 (5)와 식 (6)으로 필로티층의 연면적 대비 벽체와 기둥의 단면적 합의 비율로 산정된다.
i) 지진구역 1, 2 를 제외한 지역
ii) 강원북부 및 제주
$W_{i}$ ;벽체면적비, 필로티층 벽체단면적의 합/연면적
$C_{i}$ ;기둥면적비, 필로티층 기둥단면적의 합/연면적
2.2 ASCE 7-22
ASCE 7-22(ASCE, 2022)의 비틀림 판정기준은 국내기준과 유사하다. 우발편심을 고려한 해당층의 최대 변위가 평균 변위의 1.2배를 초과할 경우에 비틀림 비정형 구조물로 판정한다.
추가적으로 1.4배를 초과할 경우에는 심한 (severe) 비틀림 비정형 구조물로 판정하며, 저층건물이라도 응답 스펙트럼 해석법 또는 시간 이력 해석법을
통한 설계를 하도록 하고 있다. 또한 횡력 저항 시스템 강도의 75% 이상이 질량 중심을 기준으로 한쪽에 치중되어 있는 구조물도 비틀림 비정형 구조물로
판정한다. 최대변위비 또는 강도 편재 기준 중 하나라도 해당이 되면 등가정적해석법으로 설계시 비틀림 증폭계수를 적용하여야 한다.
2.3 NBCC 2020
NBCC 2020(NBCC, 2020)의 수평 비틀림 판정기준은 최대변위비 1.2기준으로 국내 기준 및 ASCE 7-22와 동일하다. 그러나 최대변위비가 1.7을 초과할 경우에는 심한
비틀림(severe) 비정형으로 분류하며, 이 경우 다음과 같은 차이점이 있다. 첫째, 우발편심을 평면길이의 10%로 상향 적용한다. 둘째, 비틀림
증폭계수의 상한을 3.0으로 두지 않고 설계자의 판단에 맡긴다. 또한 심한 비틀림 비정형으로 분류될 경우에는 응답 스펙트럼 해석법으로 설계를 하도록
한다.
2.4 AIJ
AIJ(AIJ, 2010)는 비틀림 비정형을 식 (7)의 편심율$(R_{e})$로 판정하고 있으며, 편심율이 0.15 이상이면 비틀림 비정형 구조로 판정한다. 비틀림 비정형으로 판정될 경우, 해석법을
동적해석(모드해석)을 하도록 권장하고 있으며, 해석법만 제한할 뿐만 아니라 구조물의 비틀림 강성을 보강하거나(Fig. 1), 편심을 줄이는 반복적인 설계 검토를 수행하도록 권고하는 것이 특징이다.
$e$ : 질량중심과 강성중심 사이의 거리 (mm)
$r$ : 탄력반경 (mm)
$K_{R}$ : 해당 층의 강심에 대한 비틀림 강성 (kN/mm)
$K_{H}$ : 해당 층의 수평 강성 (kN/mm)
Fig. 1 Examples of rigidity reinforcement of soft story
2.5 Eurocode 8
Eurocode 8(CEN, 2004)은 편심율$(R_{e})$ 0.3을 초과한 경우와 탄력반경($r$)이 회전반지름($l_{e}$)보다 큰 경우, 비틀림 비정형으로 판정하고 있다.
$l$ : 구조물 평면의 길이 (mm)
$b$ : 구조물 평면의 폭 (mm)
Eurocode 8은 비틀림 비정형 구조물에 대해 동적해석을 기본으로 요구하며, 특히 응답 스펙트럼 해석법을 권장한다. 또한, 비틀림 효과를 증폭시키기
위해 다른 기준의 비틀림 증폭계수와 유사한 역할을 하는 식 (11)의 δ계수를 적용하는 차이가 있다.
비틀림 비정형 판정기준은 설계기준마다 다소 차이를 보이며, KDS, ASCE, NBCC 기준은 우발편심을 적용한 1차 해석결과에 따른 최대변위비로
판정하는 사후 검토 방식을 사용하고 있다. AIJ, Eurocode 기준은 구조물의 기하학적 특성인 편심률에 기반한 사전 평가 방식을 사용하고 있다.
각 기준의 판정기준은 최대변위비, 편심률에 대한 수치적 차이는 있으나, 공통적으로 우발편심과 동적증폭을 고려한 비틀림 증폭 계수를 적용하여 비틀림
모멘트에 대한 안전성을 확보하도록 요구하고 있다.
3. 변수해석
3.1 변수해석 개요
국내 저층 RC 필로티 구조물의 약층 내 수직부재의 강도 및 강성 분포에 따른 응답특성을 파악하기 위해 강측벽체와 약측기둥(벽체와 원거리를 가지는
기둥)의 강성비, 강도비를 변수로 하는 변수해석을 계획한다.
본 연구의 기본 설계 모델(Baseic design model)은 4개의 기둥과 1개의 1방향 벽체를 가지는 4층 RC 필로티 구조물이다. 평면은
국내 저층 필로티 구조물을 참고하여 경간과 폭을 각각 6,000 mm(형상비 1:1), 높이 3,000 mm로 설정한다. 이 기본 설계 모델(Fig. 2(a))은 비틀림 비정형이 없는 정형 구조물이며, 층간변형각 1/200 rad에서 기둥이 항복하도록 강성을 계획한다. 벽체-기둥간 강도비와 강성비는 포항지진
피해조사 자료를 참고하여, 중간값으로 설정하며, Table 1 에 나타낸다. 강도는 국내 내진설계기준의 등가정적해석법에 따라 산정한다. 설계 모델은 4층 구조물로 설계하나 필로티 구조물은 연약층 즉 최하층에
손상 및 변형이 집중되는 것으로 가정하여 상부 3개 층은 질량 요소로만 고려한다. 변수해석 모델(Variable analytical model, Fig. 2(b))은 기본 모델에서 벽체의 위치를 모서리로 이동하여 비틀림 비정형을 발생시킨 구조물이다. 이때, 층 전체의 강성과 강도는 기본 모델과 동일하게 유지하며,
기둥 4개의 강도 및 강성값은 동일하다. 해석 변수는 기둥 1개의 강도 및 강성에 대한 벽체의 상대적인 비율로, 강성비(K)와 강도비(S)로 설정한다.
강성비(K)는 약측기둥(C,weak)에 대한 벽체(W)의 횡강성비로 1, 10, 20, 30, 40, 50배, 강도비(S)도 강성비와 마찬가지로 약측기둥에
대한 벽체의 휨강도비로 1, 2, 4, 6, 8, 10배로 설정하며, 각 변수별 강도와 강성값을 Table 2에 나타낸다. 이 변수 범위는 포항지진 당시 피해를 입은 필로티 건축물의 피해 조사 자료(MOIS, 2018)를 참고하여 결정한다. 해당 조사에서는 피해를 입은 9개 필로티 구조물을 대상으로 조사를 하였으며, 약측기둥에 대한 벽체의 휨강도비는 2∼13배,
횡강성비는 3∼60배의 범위에 분포하는 것으로 나타났다. 횡강성은 전단강성과 휨강성의 병렬합으로 산정하며, 강도는 휨강도로 산정한다. 전단강도, 축강도는
설계모델과 동일하게 설정한다.
Table 1 Rigidity and Strength ratios
|
Paramter
|
Value
|
|
Rigidity ratio (W/C)
|
36.7
|
|
Strength ratio (W/C)
|
5.6
|
Table 2 Strength and rigidity properties of member
|
K
(Rigidity ratio)
|
Member
|
Lateral stiffness
(kNmm2)
|
S
(Strength ratio)
|
Member
|
Flexural strength
(kNmm)
|
|
1
|
Column
|
2.90e+11
|
1
|
Column
|
2.91e+5
|
|
Wall
|
2.90e+11
|
Wall
|
2.91e+5
|
|
10
|
Column
|
1.01e+11
|
2
|
Column
|
4.85e+5
|
|
Wall
|
1.16e+15
|
Wall
|
2.43e+5
|
|
20
|
Column
|
5.92e+10
|
4
|
Column
|
1.82e+5
|
|
Wall
|
1.35+12
|
Wall
|
7.28e+5
|
|
30
|
Column
|
4.09e+10
|
6
|
Column
|
1.46e+5
|
|
Wall
|
1.43e+12
|
Wall
|
8.73e+5
|
|
40
|
Column
|
3.20e+10
|
8
|
Column
|
1.21e+5
|
|
Wall
|
1.48e+12
|
Wall
|
9.70e+5
|
|
50
|
Column
|
2.64e+10
|
10
|
Column
|
1.04e+5
|
|
Wall
|
1.51e+12
|
Wall
|
1.04e+6
|
3.2 해석 방법
변수해석 모델에 대한 비선형정적해석은 3차원 비선형 해석 범용프로그램인 CANNY(Li, 2009)를 이용하여 1방향(Y-dir.) 푸쉬오버(Push-over)를 수행한다. 해석은 구조물 높이(h) 3,000 mm에 대한 층의 평균변위가 층간변형각
1/50 rad(60 mm)에 도달시 종료한다.
3.3 해석 모델
해석 모델의 각 부재는 비선형 거동을 나타내는 스프링(Spring) 부재로 모델화한다. 기둥과 벽체는 부재의 양단부에서 휨 스프링에 의하여 휨 거동을
하며, 중앙부에서 전단 및 축, 비틀림 스프링에 의하여 전단 및 축, 비틀림 거동을 모사하며, 슬래브는 강한격막(Rigid diaphragm)으로
가정한다. 보는 강성 및 강도 저하가 발생하지 않도록 탄성 스프링으로 모델링한다. 각 부재의 휨, 전단, 축 및 비틀림 거동을 나타내는 이력모델의
상세 계수를 Table 3, 하중-변위 응답을 Fig. 3에 나타낸다. 이력모델 계수는 (Jeon et al., 2020)이 비틀림 비정형을 갖는 RC 구조물 대상으로 수행한 진동대 실험 결과와 CANNY를 이용한 시간이력해석 결과를 비교한 연구를 참고하여 설정한다.
Fig. 3 Definitions of backbone curve parameter
Table 3 Degradation model coefficients
|
Degradation models
|
Column/Wall
|
Column
|
Beam
|
|
Flexure
(Tri-
linear)
|
Shear
(Tri-
linear)
|
Axial
|
Torsion
(Tri-
linear)
|
Flexure
/Shear
(Elastic)
|
|
Comp.
(Elastic)
|
Tens.
(Bi-
linear)
|
|
Rigidity
|
$\alpha$
|
0.25
|
0.1
|
1.0
|
0.5
|
1.0
|
1.0
|
|
$\beta$
|
0.001
|
0.002
|
-
|
0.01
|
-
|
-
|
4. 해석 결과
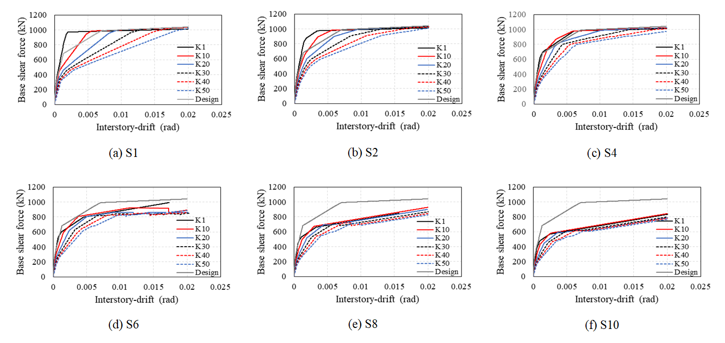
4.1 하중-변위 관계
설계 기본 모델과 변수 해석 모델별 수평 하중-변위 관계 그래프를 Fig. 4에 나타낸다. 강도비 1배, 2배 모델은 강성비가 증가함에 따라 강성은 저하되었지만 비틀림 비정형을 띄지 않는 설계 기본 모델과 최대내력이 유사한
수준을 나타내었다. 강도비 4배 모델은 강성비가 증가함에 따라 최대내력이 다소 감소하였다. 강도비 6배 이상 모델은 강성비와는 관계없이 유사한 수준의
최대내력을 나타냈으나, 기본 모델과 비교하여 20∼30% 저하된 수준의 최대내력을 나타내었다. 이는 강도비가 클수록, 즉 벽체와 기둥간의 강도 차이가
커짐에 따라 약측 기둥부재에서 먼저 항복이 발생하였다. Fig. 5(b)는 강도비가 큰 K30S10 모델에서 약측기둥이 소성률 3($\delta /\delta_{yielding}=3$)에 도달했을 때 벽체의 소성률을 함께
나타낸 것으로, 벽체는 소성률은 0.51을 보여 아직 항복에 도달하지 않았음을 확인하였다. 이때 벽체는 탄성 범위 내에서 변형에 비례한 저항력을 발현하지만,
기둥과 비교하여 항복이 지연되므로 구조물 전체의 내력 발현은 주로 기둥에 의존하게 된다. 따라서 결과적으로 시스템의 최대내력이 제한되는 양상을 보인다.
또한 기본 모델과 유사한 강성비, 강도비를 나타내는 강성비 30배, 강도비 6배(K30S6)의 모델을 비교하면 동일한 강성비 및 강도비를 갖더라도
비틀림 비정형으로 인해 강성 및 최대내력이 약 25% 저하됨을 확인할 수 있었다. 이처럼 강성비, 강도비가 증가할수록 초기강성과 2차 강성이 더욱
감소하였으며 최대내력이 저하되는 경향을 나타내었다.
Fig. 4 Load-displacement relationships
Fig. 5 Examples of damage state
4.2 최대변위비
강성비, 강도비별 평균변위에 대한 최대변위를 Fig. 6에 나타낸다. 기준 KDS, ASCE, NBCC 공통의 비틀림 비정형 판정 기준인 최대변위비 1.2를 회색 파선으로 나타내며, 추가적인 기준인 Severe
기준을 각각 회색 실선으로 나타낸다. 평균변위는 질량중심 의 변위로 하였으며 최대변위는 가력방향으로의 변위가 가장 큰 값으로 산정하였다. 이는 벽체와
가장 멀리 떨어진 약측기둥의 변위로 나타났다. 강도비 4배 이하의 변수해석 모델은 최대변위비 1.5 미만의 값을 나타냈고, 강성비가 증가할수록 최대변위비가
증가하는 경향을 보였다. 강도비 6배 이하의 해석 모델은 강성비와 관계없이 NBCC의 심각한 비틀림 비정형 수준보다 큰 값의 최대변위비를 나타냈다.
이는 평균 변위가 최대층간변형각 1/50 rad(60 mm)만큼 발생했을 때 최대변위는 1/30 rad(100 mm) 이상 발생하였음을 의미한다.
Fig. 6 Maximum displacement ratios
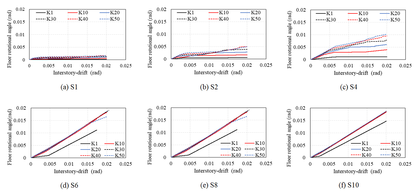
4.3 평면회전각
강도비 및 강성비에 따른 평면회전각 그래프를 Fig. 7에 나타낸다. 강도비 및 강성비가 증가할수록 평면회전각이 증가하였다. 강도비가 1인 해석 모델은 강성비와 관계없이 평면회전각이 0.001 rad 미만
수준으로 회전각은 거의 발생하지 않았으며, 하중을 가한 방향으로의 수평 변위만 발생하였지만 강도비 4배까지 강도비가 증가할수록 회전각도 비례적으로
증가하였다. 강도비 6배 이상의 해석 모델은 평면 회전각 0.02 rad 수준에 도달하였고 강성비 및 강도비가 증가하더라도 평면회전각 응답은 유사하게
나타났다.
Fig. 7 Floor rotational angles
4.4 소성률
벽체와 약측기둥(벽체와 이격거리가 큰 기둥)의 소성률이 1에 도달할 시점($\delta /\delta_{yielding}=1$)의 층간 변형각 그래프를
Fig. 8에 나타낸다. 기둥부재는 강성비 가 증가할수록 큰 층간변형각에서 항복에 도달하였다. 강성비 1배 해석모델의 경우는 강도비 1배를 제외한 모든 해석모델의
기둥이 항복에 먼저 도달하였고, 강성비 10배 이상인 해석모델 중 강도비 4배 모델은 벽체와 기둥이 유사한 층간변형각에서 항복하였으며, 강도비 6배
이상 해석모델은 기둥이 먼저 항복하였다. 이러한 항복 순서는 4.2절에서 기술한 최대변위비 결과와 직접적으로 연관되며, 강성이 큰 벽체에 하중이 우선
집중된다. 강도비가 작은 경우에는 벽체가 충분히 저항한 후 먼저 항복하게 되며 기둥은 여력이 남아있어 비틀림 거동이 억제된다. 반면, 강도비가 큰
모델(강도비 6배 이상)은 기둥의 강도가 벽체와 비교하여 현저히 작아 기둥 부재가 낮은 하중 수준에서 항복에 먼저 도달하고 변형이 집중되어 비틀림
거동이 심화되고 최대변위비가 크게 나타난다. 결국 최대변위비는 선항복 부재가 기둥인지, 벽체인지에 따라 크게 달라짐을 확인하였다. 부재별 항복 유형에
따른 이력 거동의 예시를 Fig. 9에 나타낸다.
Fig. 8 Interstory drifts at member plastic ratio of 1 (yielding state)
Fig. 9 Examples of hysteresis curve according to the initially yielding member
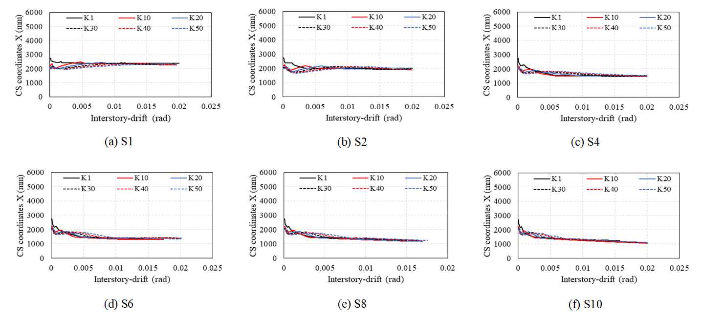
4.5 강도중심
Fig. 10은 층간변형각이 증가함에 따른 강도중심(Center of Strength, CS)의 X좌표 이동 경로를 나타낸다. 층간변형각 0.0025rad 미만의
초기 탄성 구간을 지나 비탄성 구간에 진입하면, 모든 강성비 곡선들이 유사한 형태를 나타내어 강성비에 따른 영향이 미미함을 확인하였다. 반면, 강도비는
증가할수록 최종 강도중심의 위치는 벽체방향(X=0)으로 더 가깝게 이동하는 뚜렷한 경향을 나타내었다.
Fig. 10 Movements of the center of strength
4.6 강성중심 이동에 따른 비틀림 모멘트
강성비 30배 해석모델의 강도비별 강성중심(Center of Rigidity, CR) 이동경로와 정적 강성중심, 벽체 및 기둥 부재의 균열시점과 항복시점을
Fig. 11에 나타낸다. 정적편심은 부재의 강성을 이용하여 산정하므로 정적 강성중심은 강도비 1배부터 10배 모델 모두 동일하였다.
Fig. 11 Movements of the center of rigidity (K30 series)
4.6.1 저강도비 모델(벽체 선균열/항복 모델)
강도비 1배, 2배 모델은 강도비가 낮은 모델로 벽체 균열, 기둥 균열, 벽체 항복, 기둥 항복 순으로 손상이 발생하였으며 벽체가 먼저 손상되어 강성이
저하되므로 강성중심이 구조물의 질량 중심 쪽(편심거리 감소)으로 이동한다(Fig. 12 참조). 이로 인해 실제 발생하는 비틀림 모멘트는 탄성 강성으로만 계산한 값보다 현저히 작게 나타났다. 강도비 4배 모델은 1배, 2배 모델과 비교하여
기둥 항복 전까지 강성중심이 질량중심쪽(편심거리 감소)으로 이동하였으나, 벽체는 균열상태에 머무르고 있어 기둥 항복 이후 곧바로 위험측으로 이동하였다.
저강도비 모델의 파괴모드에서 고강도비 모델의 파괴모드로 전환되는 과정을 파악할 수 있다. 강성중심 이동을 고려하여 산정한 비틀림 모멘트 및 탄성상태의
강성중심을 이용하여 산정한 비틀림 모멘트, KDS 기준으로 산정한 비틀림 모멘트의 비교를 Fig. 13에 나타낸다. 그래프에서 강성중심 이동(Translation of center of rigidity)은 편의상 TCR로 나타내었다. TCR을 고려한
비틀림 모멘트는 입력되는 전단력과 층간변형각 증가에 따라 변화하는 편심을 곱하여 산정하였으며 TCR을 미고려한 비틀림 모멘트는 입력되는 전단력과 탄성상태에서의
정적 편심을 곱하여 산정하였다. 여기서 KDS 기준에 따른 비틀림 모멘트는 등가정적해석법으로 산정하였으며, 지진구역 1, 중요도 Ⅱ의 조건으로 반응수정계수(R)는
적용하지 않고 밑면전단력을 계산한 뒤, 5%의 우발편심과 비틀림 비정형 판정 여부에 따른 비틀림 증폭계수를 고려하여 비틀림 모멘트를 산정하였다.
Fig. 12 Positions of CM and CR (K30 series)
Fig. 13 Comparisons of torsional moments with and without TCR consideration
4.6.2 고강도비 모델(기둥 선균열/항복 모델)
강도비 6배, 8배, 10배 모델에서는 기둥이 먼저 손상되면서 강성중심이 질량중심으로부터 더 멀어지는 방향으로 이동하여 편심이 증가하였다. 그 결과
강성중심 이동을 고려한 모멘트는 이를 고려하지 않은경우보다 약 10% 큰 값을 나타내었다. 이는 탄성 상태의 정적 편심만으로 비틀림 모멘트를 평가할
경우, 과소평가의 가능성이 있음을 의미한다. 한편, KDS 기준으로 산정한 값은 강도비별로 다소 차이가 있으나 강성중심 이동을 고려한 비틀림 모멘트와
유사한 수준을 나타내어 강도 측면에서는 안전측으로 평가된다.
5. 결 론
본 연구에서는 비틀림 비정형을 동반하는 저층 필로티형 RC 구조물에 지진과 같은 횡하중이 작용할시 비틀림 비정형 정도에 따른 탄성 상태 이후의 강성중심
위치의 이동을 고려하여 변화하는 편심거리와 비틀림 모멘트를 정량적으로 파악하기 위해 연약층의 수직부재인 벽체, 기둥 부재간 강성비 및 강도비를 변수로
하는 1방향 비선형정적해석을 수행하였으며, 다음과 같은 결론을 얻었다.
1) 구조물의 초기강성과 내력은 탄성 구간에서는 벽체, 기둥간의 강성비가 구조물의 초기강성과 내력에 주요한 영향을 미치나, 비탄성 구간에서는 강도비가
지배적인 영향이 나타났다.
2) 강도비가 작은 모델(1, 2배)에서는 벽체가 선항복하여 구조물의 비틀림 거동을 억제하였으나, 강도비가 큰 모델(6배 이상)에서는 기둥이 선항복하여
비틀림 거동과 횡변위가 증폭되었다.
3) 최대변위비는 강도비가 증가할수록 증가하였으며, 강도비 4배부터 비틀림 비정형 판정기준(최대변위비 1.2)을 초과하는 경우가 다수 확인되었으며,
강도비 6배 이상의 경우는 강성비와 관계없이 1.7 이상의 값을 나타내었다.
4) 필로티 연약층의 부재간 강도비는 구조물의 파괴모드, 즉 선항복 부재의 결정에 큰 영향을 미치며 비탄성 거동에 따라 이동하는 강성중심으로 인해
비틀림 모멘트가 변화하였다.
5) 강성중심 이동을 고려한 비틀림 모멘트는 이를 고려하지 않은 경우와 비교하여 약 10% 정도의 차이를 보였으며, 강도비가 작은 경우에는 현행 기준값이
과도하게 보수적이고, 강도비가 큰 경우에는 유사한 수준을 나타내었다.
이러한 연구결과를 통해 비틀림 비정형을 가지는 필로티 구조물의 내진설계시 벽체와 기둥의 강성비 뿐만 아니라, 강도비가 구조물의 선항복 부재와 파괴모드에
미치는 영향을 파악하였다. 본 연구에서는 평면형상비 1:1을 가지는 1경간 구조물에 대한 해석연구로 향후, 평면 형상비가 커짐에 따른 구조물의 비틀림
거동을 파악할 필요가 있다.
감사의 글
이 과제는 부산대학교 기본연구지원사업(2년)에 의하여 연구되었음.
References
Kwon, U. J., Baek, E. R., and Lee, S. H. (2017), Structural Behaviour Characteristics
of Low-rised Piloti Type Reinforced Concrete Building According to Stiffness and Strength
Ratios of Inter-story, Journal of the Architectural Institute of Korea Structure &
Construction, 19(1), 201-209.

Moon, E. C., Baek, E. R., and Lee, S. H. (2018), Influence of Inter-story Strength
and Stiffness Ratios on the Seismic Performance of RC Pilotis Type Building, Journal
of the Korea Concrete Institute, 30(6), 633-640.

Kim, J. C., Shin, S. H., and Oh, S. H. (2019), Damage Investigation of Pilotis Structures
and Analysis of Damage Causes by Pohang Earthquake, Journal of the Architectural Institute
of Korea Structure & Construction, 35(3), 3-10.

Kim, T. W., Chu, Y. R., Kim, S. R., and Bhandari, D. (2018), Seismic Behavior of Domestic
Piloti-type Buildings Damaged by 2017 Pohang Earthquake, Journal of the Earthquake
Engineering Society of Korea, 22(3), 161-168.

Jeon, H. K., Baek, E. R., and Lee, S. H. (2021), Shaking Table Test on the Piloti-type
RC Frames with Horizontal Irregularity, Journal of the Architectural Institute of
Korea, 37(8), 177-188.

De la Llera, J. C., and Chopra, A. K. (1994), Evaluation of Code Accidental-Torsion
Provisions from Building Records, Journal of Structural Engineering, 120(2), 597-616.

Stathopoulos, K., and Anagnostopoulos, S. A. (2010), Accidental Design Eccentricity:
Is It Important for the Inelastic Response of Buildings to Strong Earthquakes, Soil
Dynamics and Earthquake Engineering, 30(9), 782-797.

Mohamed, O. A., and Mehana, M. S. (2020), Assessment of Accidental Torsion in Building
Structures Using Static and Dynamic Analysis Procedures, Applied Sciences, 10(16),
5509.

Moghadam, A. S., and Tso, W. K. (2000), Pushover Analysis for Asymmetric and Set-back
Buildings, Proceedings of the 12th World Conference on Earthquake Engineering.

De Stefano, M., and Pintucchi, B. (2008), A Review of Research on Seismic Behaviour
of Irregular Building Structures Since 2000, Bulletin of Earthquake Engineering, 6(2),
285-308.

Mrdak, I., Rakocevic, M., and Ladinovic, D. (2024), Assessment of Torsional Irregularity
Provisions for Buildings in Accordance with Eurocode8, Journal of Applied Engineering
Science, 22(2), 310-315.

Anagnostopoulos, S. A., and Stathopoulos, K. (2000), Inelastic Earthquake Response
of Buildings Subjected to Torsion, Proceedings of the 12th World Conference on Earthquake
Engineering.

Ministry of the Interior and Safety(MOIS). (2018), Investigation and Analysis Report
on the 2017 Pohang Earthquake Damage, National Disaster Management Research Institute.

Architectural Institute of Korea (AIK). (2006), Korean Building Code(KBC 2006), Architectural
Institute of Korea.

Architectural Institute of Korea (AIK). (2009), Korean Building Code(KBC 2009), Architectural
Institute of Korea.

Ministry of Land, Infrastructure and Transport (MOLIT). (2017), Structural Design
Guidelines for Piloti-type Buildings, Ministry of Land, Infrastructure and Transport.

American Society of Civil Engineers (ASCE). (2022), Minimum Design Loads and Associated
Criteria for Buildings and Other Structures (ASCE/SEI 7-22).

Canadian Commission on Building and Fire Codes (2020), National Building Code of Canada
2020 (NBCC 2020), National Research Council of Canada.

Architectural Institute of Japan (AIJ). (2010), AIJ Standard for Structural Calculation
of Reinforced Concrete Structures.

European Committee for Standardization (CEN). (2004), Eurocode 8: Design of Structures
for Earthquake Resistance – Part 1: General Rules, Seismic Actions and Rules for buildings
(EN 1998-1:2004).

Li, K. (2009), Canny User’s Manual.

Jeon, H. K., Baek, E. R., and Lee, S. H. (2021), Shaking Table Test on the Piloti-type
RC Frames with Horizontal Irregularity, Journal of the Architectural Institute of
Korea, 37(8), 177-188.
