권유진
(U-Jin Kwon)
1
백종하
(Jong-Ha Paik)
2
이상호
(Sang-Ho Lee)
3
백은림
(Eun-Rim Baek)
4†
-
학생회원, 부산대학교 건축공학과 대학원생
-
비회원, 부산대학교 건축공학과 대학원생
-
정회원, 부산대학교 건축공학과 교수
-
정회원, 부산대학교 지진방재연구센터 연구교수, 교신저자
Copyright © The Korea Institute for Structural Maintenance and Inspection
키워드
강도중심, 비선형 정적해석, RC 필로티 구조물, 비틀림 비정형, 비틀림 모멘트
Key words
Center of strength, Non-linear static analysis, RC piloti buildings, Torsional irregularity, Torsional moment
1. 서 론
2017년 포항지진으로 국내 내진설계 기준이 적용되었음에도 불구하고 다수의 저층 RC 필로티 구조물이 1층 연약층의 최외곽 약측기둥이 비틀림 파괴로
인해 심각한 손상을 입은 사례가 보고되었으며(MOIS, 2018), 이는 필로티 구조물의 취약성이 단순히 수직 비정형성뿐만 아니라 코어 벽체의 편심 배치로 인한 평면 비정형성과 결합 될 때 그 위험이 극대화됨을
확인하였다(Kim et al., 2019; Kim et al., 2018). 여러 연구들에 따르면, 필로티 구조물과 같은 비정형 구조물의 파괴모드는 단순히 탄성상태에서의 강성중심이나 편심률로만 설명하기 어렵다. 지진하중
작용 시 부재들이 순차적으로 균열상태와 항복에 도달하면서 저항중심(강성중심, 강도중심)이 이동하고, 이에 따라 비틀림 모멘트도 변하게 된다. 또한,
탄성상태에서는 강성분포가 구조물의 거동을 지배하지만 비탄성상태에서는 강도분포와 부재의 항복 순서가 파괴모드에 지배적인 영향을 미치는 것을 파악하였다.
이러한 연구결과는 비틀림 모멘트를 평가하는 기존 방식의 한계를 지적하였다(Paulay, 2001; Moghadam and Tso, 2000). 일본의 내진설계지침(AIJ, 2010) 및 유럽의 내진설계기준(CEN, 2004)은 정적 편심률을 비틀림 비정형 구조물 판단 기준으로 사용하며, 이 방법은 설계 초기단계에서 평면 계획의 취약성을 직관적으로 판단할 수 있다는 장점은
있지만, 모든 부재가 탄성상태에 있다는 가정에 기반하므로 비탄성 구간에서의 저항중심 이동 현상을 반영하지 못하는 한계를 가진다(Chandler and Duan, 1993). 이에 본 연구는 편심률과 같은 정적 지표의 한계를 보완하기 위해 비탄성 거동에서의 중요한 변수로 작용하는 벽체-기둥간 강도비와 평면 형상비를 주요
변수로 3차원 비선형 정적해석(Push-over)을 수행한다. 이 연구의 결과는 향후 저층 RC 필로티 구조물의 내진성능 향상을 위한 설계 가이드라인
마련에 기초 자료로 활용될 수 있을 것이다.
2. 편심률과 비틀림 비정형 판정 기준
2.1 편심률 산정
편심률 산정에 사용되는 편심은 질량중심(Center of Mass, CM)과 강성중심(Center of Rigidity, CR) 사이의 상대적인 위치
관계를 통해 결정된다(Chopra, 2012). 편심률은 비틀림 취약성을 평가하는 지표로, 질량중심과 강성중심 사이의 $X$방향, $Y$방향 최소 길이인 편심거리($e_{x},\: e_{y}$)를
강성 곡률반경($r_{e X},\: r_{e Y}$)으로 무차원화한 값이다. 이는 편심거리($e$)를 평면상의 건물 길이($L$)로 나눈 편심거리율($e/L$)과
달리, 구조물의 비틀림 저항능력을 반영하여 비틀림 거동을 보다 정확히 예측할 수 있다. 질량중심은 해당 층 질량 분포의 기하학적 중심이자, 1차 모멘트
합이 ‘0’이 되는 지점으로 슬래브의 질량이 평면상 균일하게 분포한다고 가정하면 평면의 기하학적 중심과 일치한다. 강성중심($R_{X},\: R_{Y}$)은
기둥, 벽체 모든 수직 부재의 횡강성이 평형을 이루는 지점으로 식 (1)에 따라 산정된다. 여기서, $K_{X},\: K_{Y}$는 수직 부재의 $X,\: Y$방향 횡강성이고, $X,\: Y$는 좌표 원점으로부터
수직부재까지의 거리이다. 만약 외부 횡력이 강성중심에 작용한다면 구조물은 회전 변형 없이 이상적인 병진 거동만을 나타내지만, 질량중심과 강성중심이
일치하지 않을 경우 편심이 발생하여 비틀림 모멘트가 유발된다. 이 비틀림 모멘트로 인해 발생하는 추가적인 변위와 부재력은 특히 강성중심에서 멀리 떨어진
부재일수록 크게 증가하여 손상 집중이 발생한다. 그러나 편심거리만으로는 구조물 규모에 따른 비틀림 취약성을 설명하기 어려우므로 강성 요소들이 강성중심으로부터
어떻게 분포되어 있는지를 나타내는 강성 곡률반경($r_{e X},\: r_{e Y}$)이 도입된다. 강성 곡률반경은 식 (3)에 따라 산정한다. 여기서 비틀림 강성($K_{R}$)은 각 부재의 횡강성에 강성중심으로부터의 거리 제곱을 곱한 값들의 합으로, 식 (2)에 따라 산정한다. 이는 비틀림 모멘트에 저항하는 구조물의 전체 능력을 의미하며 강성 곡률반경이 클수록 강성 요소들이 외곽에 효과적으로 배치되어 비틀림
모멘트에 대한 저항 성능이 뛰어남을 의미한다. 최종적으로 편심률($R_{e X},\: R_{e Y}$)은 편심거리를 강성 곡률반경으로 나눈 값으로
식 (4)에 따라 산정되며, 이 값은 비틀림 모멘트를 유발하는 정도와 비틀림 모멘트에 저항하는 능력을 직접적으로 비교한다.
2.2 내진설계 기준의 비틀림 비정형 판정기준
비틀림 비정형 판정기준은 설계기준마다 다소 차이를 보이며, 크게 해석 결과에 기반한 사후 검토 방식과 구조물의 기하학적 특성에 기반한 사전 평가 방식으로
구분할 수 있다. 각 국가별 비틀림 비정형 판정 기준을 Table 1에 요약하여 나타낸다. 현행 국내 내진설계기준(MOLIT, 2021) 및 미국기준(ASCE, 2021), 캐나다 기준(NBCC, 2020)은 우발편심을 고려하여 1차 해석에서 얻어진 층의 최대변위와 평균변위의 비를 통해 비틀림 비정형 여부를 판정한다. 비정형으로 판정되면 층수, 중요도
계수, 지진 스펙트럴 응답가속도 등에 따라 내진설계범주가 정해지며, 해석법이 결정된다. 각 기준은 차이가 있으나 변위비 기반 판정 이후 내진설계범주에
따른 해석법이 결정되는 동일한 절차를 따른다. 이는 구조물에 대한 해석이 선행되어야만 비틀림 비정형성을 판단할 수 있는 사후 검토 방식에 해당한다.
반면, 유럽(Eurocode)과 일본(AIJ)의 기준은 구조물의 기하학적, 구조적 특성인 편심률로 설계 초기단계에 비틀림 비정형성을 사전에 평가하고
있다. AIJ의 내진설계기준에서는 편심률 자체를 구조물의 비틀림 성능을 나타내는 중요한 지표 로 사용한다. 일본 기준의 편심률은 2.1절에서 기술한
방법으로 산정하며, 이 값이 0.15를 초과할 경우 비틀림 비정형 구조물로 판단하고 설계 과정에서 더 큰 수평력을 부담하도록 추가적인 검토를 통해
비틀림에 대한 안전성을 확보하도록 요구한다. 편심률이 작은 구조물이라도 비틀림 증폭으로 인해 큰 피해를 유발할 수 있다는 점을 고려한 규정이다. Eurocode
8에서는 일본보다는 2배 큰 편심률 0.3을 비틀림 비정형 판정 기준으로 규정하고 있다. 이는 비틀림을 유발하는 편심이 구조물의 비틀림 저항 능력을
초과하지 않도록 하여 구조물의 안정성을 확보하려는 규정이다. 이 조건을 만족하지 못할 경우, 구조물은 비틀림 비정형으로 간주되어 3차원 동적해석과
같은 더 정밀한 해석법을 통해 설계하도록 한다. 일본과 유럽의 기준은 각각 편심률 0.15 및 0.3을 비정형 구조물 판정 기준으로 제시하고 있는
반면, 포항지진 피해 조사 보고서에 기술되어 있는 다수의 국내 필로티 구조물은 이 기준을 수 배에서 많게는 10배 이상 초과하는 1.0∼3.0 범위의
편심률을 나타낸다.
Table 1 Torsional irregularity criteria in seismic design code
|
Standard
|
Judge method
|
Index
|
Criteria
|
|
KDS
|
Post analysis check
(Displacement-based)
|
Max. displ.
/Avg. displ.
|
>1.2
|
|
ASCE
|
>1.2
>1.4 (severe)
|
|
NBCC
|
>1.7 (severe)
|
|
AIJ
|
Pre-analysis check
(Eccentricity-based)
|
Eccentricity ratio
($e/r$)
|
>0.15
|
|
Eurocode
|
>0.3
|
3. 변수해석
3.1 변수해석 개요
국내 저층 RC 필로티 구조물에서 약층을 구성하는 수직부재의 강도 분포와 건물의 평면 형상비가 구조물의 파괴모드에 미치는 영향을 정량적으로 파악하는
것을 목표로 한다. 이를 위해 두 가지 변수 약측기둥 강도에 대한 강측벽체 강도비(S)와 평면 형상비(AR)를 변수로 하는 해석을 계획한다. 본 연구의
기본 설계 모델(Fig. 1(a))은 동일한 강성과 강도를 가지는 4개의 기둥과 중앙에 1방향 코어 벽체를 가지는 평면상 비틀림 비정형이 없는 4층 RC 필로티 구조물이다. 평면은
국내 저층 필로티 구조물을 참고하여 경간과 폭을 각 6,000 mm, 높이 3,000 mm로 설정한다. 필로티 구조물은 연약층에 손상과 변형이 집중하므로
상부층은 강체로 거동하는 것으로 고려하여 해석모델은 1층 구조물로 계획한다. 층 강도는 내진설계기준의 등가정적해석법에 따라 선정하였고, 기둥은 1/200
rad에서 항복하도록 강성을 계획하였다. 기둥 1개에 대한 벽체의 휨강성비는 36.7이고, 휨강도비는 5.6이다. 기본 설계 모델을 바탕으로 변수해석에서
사용될 모델(Fig. 1(b) 참조)을 구성한다. 변수해석 모델은 기본 설계 모델에서 코어 벽체의 위치를 평면의 모서리로 이동시켜 의도적으로 비틀림 비정형을 발생시킨 구조물이다.
이때, 층 전체의 강성과 강도는 기본 설계 모델과 동일하게 유지하며 기둥 1개의 강도에 대한 벽체 강도의 상대적인 비율로 강도비(S)를 설정한다.
강도비(S)는 연약층 내 강측벽체와 약측기둥 강도 분포의 영향을 분석하기 위한 변수로 약측기둥 1개의 휨강도에 대한 강측벽체의 휨강도비로 S1, S2,
S4, S6, S8, S10의 총 6개 수준으로 설정한다. 벽체는 취성적인 전단파괴가 발생하지 않도록 충분한 전단강도를 확보하고, 휨거동이 지배하도록
가정한다. 기둥과 벽체 모두 축파괴가 발생하지 않도록 충분한 축강도를 확보하도록 설계한다. 평면 형상비는 구조물 평면의 폭에 대한 길이의 비로 정의하고,
폭은 동일하며 길이만 증가시킨다. 국내 저층 RC 필로티 구조물의 평면계획 특성상 구조물의 규모가 커지더라도 코어 벽체의 단면은 동일하게 유지한 채
기둥 개수와 경간을 증가시켜 평면을 확장하는 방식을 적용한다. 이에 따라 평면 형상비는 AR1.0, AR1.5, AR2.0, AR2.5, AR3.0의
총 5개 수준으로 설정하며, 형상을 Fig. 2에 나타낸다. 강성비와 평면 형상비에 따른 해석모델의 편심률을 Table 2에 나타낸다. 본 연구에서 구성한 해석 모델들은 일본 및 유럽의 비틀림 비정형 판정 기준 0.15, 0.3을 크게 상회하는 초기 편심률을 가진다.
이는 국내 다수 비틀림 비정형 필로티 구조물을 대표한 것으로 이처럼 비정형성이 심한 구조물의 거동을 파악하고자 한다.
Fig. 2 Models of aspect ratio(AR)
Table 2 Characteristics of the AR model
|
|
AR1.0
|
AR1.5
|
AR2.0
|
AR2.5
|
AR3.0
|
|
Rigidity ratio
(Wall/Column,weak)
|
30
|
30
|
30
|
30
|
30
|
|
Rigidity ratio
(Wall/Column total)
|
7.5
|
5
|
5
|
3.75
|
3.75
|
|
Eccentricity ratio
|
1.68
|
1.51
|
1.71
|
1.43
|
1.58
|
3.2 해석 방법
각 변수 해석 모델의 비탄성 거동과 내진성능을 평가하기 위해 3차원 비선형 해석 범용프로그램인 CANNY(Li, 2009)를 사용하여 비선형 정적해석(Push-over)을 수행한다. 횡력은 1방향(Y-dir.)으로 가하며, 목표 변위에 도달할 때까지 단계적으로 변위를
증가시키는 변위 제어법을 적용한다. 변위는 구조물 높이(h) 3,000 mm에 대한 층의 평균변위가 층간변형각 1/50 rad에 해당하는 60 mm로
설정하고, 변위 증분은 0.1 mm를 적용한다. 최종 목표 변위인 1/50 rad은 구조물이 심각한 손상을 입는 한계상태로 정의한다.
3.3 해석 모델
해석 모델의 각 부재는 비선형 거동을 나타내는 집중 소성 힌지 모델(Lumped Plasticity Hinge Model)을 적용한다. 기둥과 벽체는
부재의 양단부에서 휨 스프링에 의해 휨거동을 모사하고, 중앙부에서 전단 및 축 스프링에 의해 전단 및 축 거동을 모사하도록 한다. 기둥 부재는 추가로
중앙부에 비틀림 스프링에 의해 비틀림 거동을 모사하도록 한다. 슬래브는 강한 격막(Rigid diaphragm)으로 가정하여 모든 수직 부재가 일체로
수평 거동하도록 한다. 보는 연약층의 기둥 및 벽체의 파괴 거동에 집중하기 위해 강성 및 강도 저하가 발생하지 않도록 탄성 스프링으로 모델링한다.
기둥의 축, 비틀림 스프링은 선형 탄성으로 가정하며, 휨과 전단 거동은 삼선형(Tri-linear) 이력 모델을 사용하며 하중-변위 이력 특성을 Fig. 3에 나타낸다. 각 부재의 휨, 전단, 축 및 비틀림 거동을 나타내는 이력 모델의 매개변수는 Table 3에 나타낸다. 이력 모델 계수는 (Jeon et al., 2020)이 수행한 비틀림 비정형 RC 구조물의 진동대 실험 연구를 참조하여, 실제 실험결과와
유사한 거동을 모사할 수 있도록 검증된 값을 사용한다.
Fig. 3 Force-displacement relationship of members
Table 3 Parameters of the analysis model
|
Degradation models
|
Column/Wall
|
Column
|
Beam
|
|
Flexure
(Tri-
linear)
|
Shear
(Tri-
linear)
|
Axial
|
Torsion
(Elastic)
|
Flexure
/Shear
(Elastic)
|
|
Comp.
(Elastic)
|
Tens.
(Bi-
linear)
|
|
Rigidity
|
$\alpha$
|
0.25
|
0.1
|
1.0
|
0.5
|
1.0
|
1.0
|
|
$\beta$
|
0.001
|
0.002
|
-
|
0.01
|
-
|
-
|
4. 해석 결과
4.1 하중-변위 관계
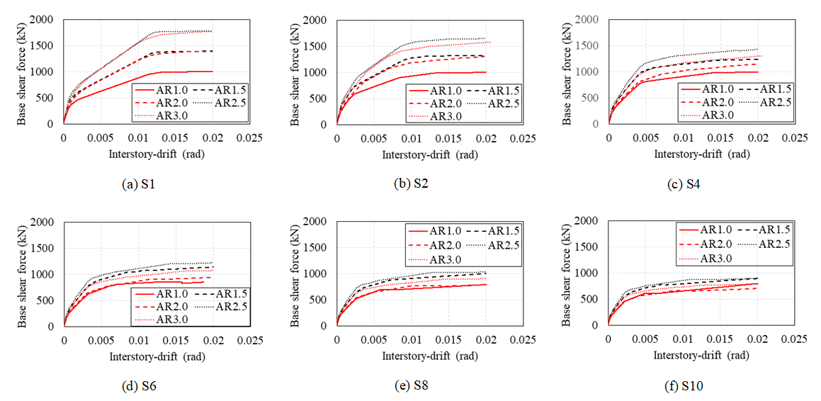
변수 해석 모델별 수평 하중-변위 관계 그래프를 Fig. 4에 나타낸다. 본 연구의 모든 모델은 기둥에 대한 벽체의 초기 강성비는 기본 설계 모델과 동일한 36.7(벽체 횡강성비/기둥 횡강성비)로 고정하였으므로,
그래프에서 보듯이 모든 모델의 초기 강성은 유사하게 나타났다. 강도비가 높은 S6, S8, S10 모델은 뚜렷한 항복점 없이 초기 변위 단계부터 점진적인
강성 저하를 보이며, 결국 낮은 수준의 최대 내력을 나타내었다. 이는 강도비가 커질수록 벽체와 기둥 간의 강도 불균형의 심화로 상대적으로 약한 약측기둥들이
조기에 항복하는 동안 벽체는 탄성상태 또는 균열상태로 강도를 모두 발휘하지 못하기 때문이다. 이러한 손상의 집중과 비효율적인 저항 메커니즘으로 인해
구조물 전체의 내력 저하로 이어졌다. 반면 강도비가 낮은 S1, S2 모델은 형상비(AR)가 증가함에 따라 추가된 기둥들이 효과적으로 저항에 기여하여
전체 내력이 비례적으로 증가하는 경향을 나타냈으나, 강도비가 4배 이상인 모델에서는 이러한 비례 관계가 사라지고, 형상비 증가에 따른 내력 증가 폭이
크게 감소하여 형상비 및 추가된 기둥의 영향력이 제한적임을 확인하였다. 또한, 높은 강도비 조건에서 편심률이 작은 AR1.5, AR2.5 모델이 편심률이
큰 AR2.0, AR3.0 모델에 비해 상대적으로 높은 내력을 나타내었다. 이는 초기 편심률이 하중 분배에 긍정적인 영향을 미칠 수 있음을 보여주었다.
이러한 결과는 단순히 형상비를 증가시키고 기둥 개수를 늘려 편심률을 제어하는 설계만으로는 비틀림비정형 구조물의 내력 확보는 한계가 있으며, 그보다
벽체와 약측기둥간의 강도 분배(강도비 제어)가 구조물 전체의 내력에 큰 영향을 미치는 것을 파악하였다.
Fig. 4 Load-displacement relationships
4.2 비틀림 모멘트-회전각 관계
AR2.0 모델의 강도비 변화에 따른 비틀림 모멘트-평면회전각 관계를 Fig. 5에 나타낸다. 여기서 편의상 강성중심 이동(Translation of Center of Rigidity)은 TCR로 표기하였다. 빨간색 실선은 비탄성
거동시에 강성중심 이동을 고려하여 변화되는 편심에 따라 산정한 비틀림 모멘트를 나타냈으며(TCR considered), 검정색 파선은 탄성상태의 정적편심으로
산정된 비틀림 모멘트를 나타내었다(TCR ignored). 강도비가 클수록 작은 비틀림 모멘트에서도 회전각이 크게 발생했으며, 이는 구조물의 비틀림
저항 성능이 저하됨을 의미한다. 강도비가 작은 S1, S2 모델에서는 비탄성 거동을 고려한 실제 비틀림 모멘트가 정적편심으로 산정한 비틀림 모멘트보다
작게 나타났으며, 회전각이 최대 0.005 rad 수준을 보였다. 이는 4.1절에서 파악한 바와 같이 작은 강도비에서는 벽체에 하중이 집중되어 선항복하고
그 이후 강성중심이 질량중심(안전측)쪽으로 이동하여 편심이 감소하기 때문이다. 하지만 정적편심으로 산정된 비틀림 모멘트는 편심이 감소하는 것을 반영하지
못하여 크게 나타났다. 강도비가 큰 S6, S8, S10 모델은 최대 0.01 rad의 비틀림각을 나타냈으며, TCR 고려 모델의 비틀림모멘트가 TCR
미고려모델과 비교하여 약 10% 정도 크게 나타났다. 이는 약측기둥이 선항복하여 비틀림 저항성능이 저하되었고, 강성중심이 아직 탄성상태에 있는 벽체쪽(위험측)으로
이동하며 편심이 증가했기 때문이다.
Fig. 5 Torsional moment-torsional rotation angle relationships (AR2.0 series)
4.3 최대변위비 및 평면회전각
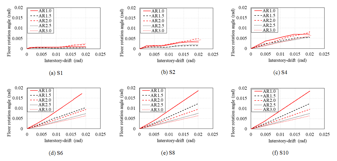
구조물의 평면회전각을 강도비와 형상비에 따라 Fig. 6에 나타낸다. 강도비가 증가할수록 동일 층간변형각에서 발생하는 평면회전각이 크게 증폭되었다. 강도비 1배(S1)모델의 회전각은 최대 0.002 rad
수준이지만 강도비 6배 이상의 모델(S6, S8, S10)에서는 최대 0.018 rad 수준으로 약 9배 증가하였다. 이는 강도비가 클수록 구조물의
비틀림 저항 능력이 저하됨을 나타내었다. 반면, 모든 강도비 조건에서 형상비(AR)가 커질수록 평면 회전각은 감소하였다. 이 결과만 본다면 형상비가
큰 건물이 비틀림에 안정적인 것으로 해석될 수 있다. 그러나 Fig. 7에 나타낸 최대변위비는 평면회전각과 상반된 결과를 보여주었다. 강도비 6배 이상의 모델(S6, S8, S10)은 형상비가 증가할수록 최대 변위비가
2.0에 근접하는 수준까지 증가하였다. 최대 변위비 2.0은 질량중심에서 1/50 rad(약 60 mm)의 변위가 발생할 때, 약측기둥의 변위는 1/25
rad(약 120 mm)의 심각한 변위 집중이 발생함을 의미한다. 또한, AR2.0, AR3.0 모델과 비교하여 상대적으로 편심률이 작은 AR1.5,
AR2.5 모델은 보다 작은 최대변위비를 나타내었고 강도비가 커지면 유사한 수준의 최대변위비를 나타내었다. 이러한 결과로 형상비가 증가하면 구조물
전체 시스템은 비틀림 강성이 증가하여 비틀림에 강한 구조물의 거동을 보였으나 필로티 구조물의 특성상 건물 단부의 약측기둥은 작은 회전각이지만 길어진
구조물의 길이로 인해 더 큰 변형이 발생하였다.
Fig. 6 Floor rotation angles
Fig. 7 Maximum displacement ratios
4.4 항복 순서 및 파괴모드
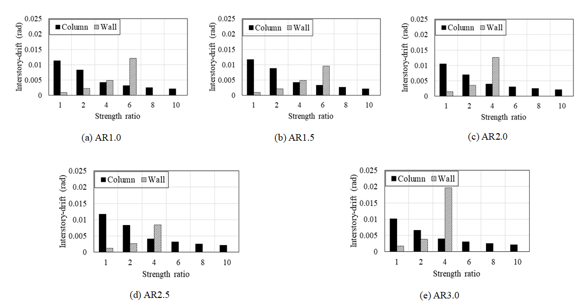
앞선 절에서 관찰된 하중-변위의 관계 및 비틀림 거동의 차이는 결국 어떤 부재가 먼저 항복하는가에 따라 결정되었다. Fig. 8은 강도비의 변화에 따른 강측벽체와 약측기둥이 각각 항복($\delta /\delta_{yielding}=1$)에 도달하는 시점의 층간변형각을 나타낸다.
그래프에서 Column, Wall 두 막대그래프 중 더 낮은 층간 변형각에서 항복하는 부재가 그 모델의 붕괴를 지배하는 선항복 부재가 된다. 그래프
중 벽체의 막대그래프가 표현되지 않은 모델은 강측벽체가 해석종료시까지 탄성상태에 있었음을 의미한다.
Fig. 8 Comparisons of yielding point
4.4.1 벽체 선항복 (강도비 2 이하)
강도비 2 이하인 모델은 상대적으로 강도가 낮은 강측벽체가 약측기둥보다 작은 층간변형각에서 먼저 항복하였다. 이는 구조물의 강한 부재가 먼저 휨 항복하여
에너지를 흡수하는 상대적으로 안정적인 파괴모드를 나타낸다. 강한 벽체가 비틀림 거동을 효과적으로 억제하여 4.3절에서 확인했듯이 최대변위비가 낮은
수준으로 나타났다.
4.4.2 전이영역 (강도비 4)
강도비 4의 모델은 모든 형상비에서 기둥 선항복이 관찰되었으나, 우세성이 뚜렷하지 않았다. 작은 평면 형상비에서는 항복시점이 유사하였고 평면 형상비가
클수록 비틀림 모멘트 팔길이로 인해 약측기둥의 변위 증폭이 커져 기둥이 선항복되며 벽체 항복시점은 지연되었다.
4.4.3 기둥 선항복 (강도비 6 이상)
반면, 강도비가 6 이상인 모델에서는 약측기둥이 강측벽체보다 작은 층간변형각에서 먼저 항복하였다. 이는 구조물의 가장 약한 기둥이 먼저 파괴되는 불안정한
파괴모드이다. 선행 연구에서 밝힌 바와 같이 약측기둥이 먼저 항복하면 강성중심이 비틀림을 증폭시키는 방향으로 이동하게 되고, 탄성 또는 균열 상태인
벽체는 항복에 도달하지 못한 채 기둥의 변형만 가속된다. 이로 인해 4.2절에서 본 것처럼 최대변위비가 2.0에 근접하는 수준까지 증폭되는 것이다.
이러한 항복 순서에 따른 경향으로 강도비가 저층 필로티 구조물의 파괴모드를 결정하는 중요한요인 임을 파악하였으며, 부재간 강도 불균형을 제어하여 기둥
선항복 보다는 벽체 선항복 모델이 최대변위비가 낮은 수준을 보였으며 안정적인 파괴모드를 나타내었다.
4.5 강도중심
Fig. 9는 층간 변위가 증가함에 따른 강도중심(Center of Strength, CS)의 이동경로를 나타낸다.
강도중심은 모든 수직 부재의 강도가 힘의 평형을 이루는 지점으로 정의된다. 기둥과 벽의 휨 항복 모멘트를 각 부재의 항복강도로 설정하였으며, 이를
부재 위치 좌표와 곱하여 1차 모멘트를 산정하고 전체 항복강도의 합으로 나누어 강도중심 좌표를 산정하였다. 항복강도. 초기 상태의 강도중심은 벽체의
영향으로 평면 중앙보다 벽체 쪽에 가깝게 형성되었지만 부재가 항복하기 시작하면서 강도비에 따라 그 이동 방향이 명확히 구분되었다. 강도비가 낮은 모델은
벽체가 먼저 항복하면서 더이상 강도 증가에 기여하지 못하므로, 아직 항복하지 않은 기둥들의 강도 기여도가 상대적으로 커진다. 그 결과 강도중심(CS)은
질량중심(CM) 방향(Fig. 10 참조)으로 이동하며 효과적인 강도 재분배를 통해 구조물의 안정성을 유지하였다. 반면, 강도비가 높은 모델에서는 약측기둥이 먼저 항복에 도달하여 아직
항복하지 않은 벽체의 강도 기여도가 지배적으로 되고 결과적으로 강도중심은 벽체쪽으로 치우치며 초기 강도 불균형을 심화시켰다. 모든 부재가 항복 강도에
도달함을 가정한 이론적 강도중심의 위치를 Fig. 11에 나타내고, Fig. 12에 이론값에 대한 해석에서 나타난 강도중심 위치의 비를 나타낸다. 강도비가 클수록 벽체의 상대적 강도가 크므로 이론적 강도중심은 벽체 방향에 가깝게
위치하였다. 한편 형상비가 증가할수록 추가된 기둥들의 영향으로 강도중심은 건물의 질량중심(중앙부)에 가까워지는 경향을 보였다. 이는 모든 부재가 설계
강도를 100% 발휘하는 이상적인 상태를 가정한 결과이다. Fig. 12에서는 형상비가 작고 강도비가 낮은 모델들은 설계단계에서 의도한 대로 부재들이 강도를 효과적으로 발현하지만, 형상비가 크고 강도비가 높은 모델들은
이론적으로 기대했던 강도중심 위치와는 상당한 차이를 보였다. 강도비 10배(S10), 평면 형상비 3.0(AR3.0) 모델의 강도중심 해석값은 이론값의
1.7배를 나타내었다. 이는 설계시 기대했던 내력에 도달하기 이전에 비틀림에 취약한 약측기둥이 조기항복하여 구조물이 보유하고 있는 내력에 도달하지
못하였음을 의미한다. 결론적으로 실제 강도중심의 위치가 이론값보다 질량중심에 가깝게 형성되었다는 것은 부재간 강도 불균형으로 가장 약한 부재가 먼저
파괴되는 것으로 이해할 수 있다.
Fig. 9 Movements of the center of strength
Fig. 10 Definitions for CR, CM and CS
Fig. 11 Calculated centers of strength
Fig. 12 Ratios of analytical to calculated CS
5. 결 론
본 연구는 저층 RC 필로티형 RC 구조물의 파괴모드에 연약층 내 수직부재 간 강도비 및 구조물의 기하학적 특성인 편심률이 미치는 영향을 파악하기
위해 약층의 벽체-기둥간 강도비(S)와 구조물 평면 형상비(AR)를 변수로 1방향 비선형 정적해석(Push-over)을 수행하였으며, 다음과 같은
결론을 얻었다.
1) 벽체-기둥간 강도비는 구조물의 파괴모드에 큰 영향을 미치는 변수임을 파악하였으며, 강도비가 2 이하인 경우, 벽체가 선항복하며 비틀림 거동을
억제하였으나, 강도비가 6 이상인 경우 약측기둥이 선항복하여 비틀림 거동이 탁월하였다.
2) 강도비 4의 모델은 전이 영역으로 구분되며, 모든 형상비에서 기둥 선항복이 관찰되었으나 벽체와 기둥의 항복시점 차이가 크지 않아 우세성이 뚜렷하지
않았으며, 형상비가 커질수록 기둥 선항복 경향이 뚜렷하였다.
3) 강도비가 2 이하일 때는 강성중심 이동을 고려하지 않은 비틀림 모멘트가 고려한 경우와 비교하여 50% 이상 컸으며, 강도비가 6 이상일 때는
약 10% 작게 산정되었다.
4) 구조물의 평면 형상비가 증가하면 평면 비틀림각은 감소하지만, 길어진 평면 길이로 약측기둥의 최대변위비는 증가하였다.
5) 평면 형상비가 증가하여 편심률이 감소된 모델은 강도비가 4 이하인 경우, 평면 비틀림각 및 최대변위비가 낮은 수준을 나타내었으나 강도비가 6
이상인 경우에는 편심률과 관계없이 유사한 변형 수준을 나타내었다.
6) 강도비와 평면 형상비가 큰 모델은 부재간 강도 불균형과 약측기둥의 변형집중으로 조기항복하였으며, 설계 내력수준에 도달하지 못하였다.
본 연구는 저층 RC 필로티 구조물을 대상으로 1방향 비선형 정적해석을 통해, 주요 변수들이 파괴모드에 미치는 영향, 구조물의 최대변위비를 파악하였다.
향후 본 연구결과를 바탕으로 약측기둥의 변형을 제어하기 위한 간편 설계 절차를 제안하고, 비선형 시간이력해석을 수행하여 정적해석 결과와 비교⋅검증할
예정이다.
감사의 글
이 논문은 2021년도 정부(교육부)의 재원으로 한국연구재단의 지원을 받아 수행된 기초연구사업임(No. 2021R1I1A3060321).
References
Ministry of the Interior and Safety (MOIS). (2018), Investigation and Analysis Report
on the 2017 Pohang Earthquake Damage, National Disaster Management Research Institute.

Kim, J. C., Shin, S. H., and Oh, S. H. (2019), Damage Investigation of Pilotis Structures
and Analysis of Damage Causes by Pohang Earthquake, Journal of the Architectural Institute
of Korea Structure & Construction, 35(2), 3-10.

Kim, T. W., Chu, Y. R., Kim, S. R., and Bhandari, D. (2018), Seismic Behavior of Domestic
Piloti-type Buildings Damaged by 2017 Pohang Earthquake, Journal of the Earthquake
Engineering Society of Korea, 22(3), 161-168.

Paulay, T. (2001), Some Design Principles Relevant to Torsional Phenomena in Ductile
Buildings, Journal of Earthquake Engineering, 5(3), 273-308.

Moghadam, A. S., and Tso, W. K. (2000), Pushover Analysis for Asymmetric and Set-back
Buildings, Proceedings of the 12th World Conference on Earthquake Engineering (12WCEE).

Architectural Institute of Japan (AIJ). (2010), AIJ Standard for Structural Calculation
of Reinforced Concrete Structures.

European Committee for Standardization (CEN). (2004), Eurocode 8: Design of Structures
for Earthquake Resistance – Part 1: General Rules, Seismic Actions and Rules for Buildings
(EN 1998-1:2004).

Chandler, A. M., and Duan, X. N. (1993), A Modified Static Procedure for the Design
of Torsionally Unbalanced Multistorey Frame Buildings, Earthquake Engineering & Structural
Dynamics, 22(5), 447-462.

Chopra, A. K. (2012), Dynamics of Structures: Theory and Applications to Earthquake
Engineering (4th edition).

Ministry of Land, Infrastructure and Transport (MOLIT). (2021), KDS 41 17 00; Seismic
Design Criteria for Buildings, National Standard Center, Korea.

American Society of Civil Engineers (ASCE). (2022), Minimum Design Loads and Associated
Criteria for Buildings and Other Structures (ASCE/SEI 7-22).

Canadian Commission on Building and Fire Codes. (2020), National Building Code of
Canada 2020 (NBCC 2020), National Research Council of Canada.

Li, K. (2009), Canny User’s Manual.
