곽재원
(Jae Won Kwak)
한희찬
(Heechan Han)
*†
이민정
(Minjung Lee)
**
김형수
(Hung Soo Kim)
*
문장원
(Jangwon Mun)
***
Copyright © 2015, Korean Society on Water Environment
Key words
Annual precipitation, NARX, Neural network, Tree-ring
1. Introduction
일반적으로 수문현상(강우, 홍수, 가뭄 등) 분석을 위해서는 최대한 장기간의 자료를 수집하는 것이 바람직하나(Kim et al., 1998), 이러한 자료의 수집에는 시공간적인 한계가 있다. 특히 우리나라의 경우에는 측우기를 이용한 강우량자료가 1700년대부터 존재하고 있으나 관측방식과
지점, 기간의 불확실성으로 인하여 적용이 어려우며, 대부분 1970년대부터 관측된 자료를 이용하여야 하는 한계가 있다(Mun and Lee, 2011). 이에 대한 대안으로서 오랜 기간의 자료를 획득할 수 있는 기후적 지표를 활용하려는 연구가 진행되고 있으며 특히, 500년 이상의 자료를 확보할
수 있는 Tree-ring 을 이용하여 실측치 이전의 자료를 추정하는 연구(Kim et al., 1998)는 수문자료에 대한 통계적인 분석 측면에서 의미가 있다.
이에 따라서 Tree-ring을 이용하여 과거의 시계열을 재현하려는 연구가 활발하게 이루어졌다. Ferguson (1968)이 캘리포니아 지역의 나이테 자료를 이용하여 과거의 시계열 자료를 분석하여 적용 가능성을 제시한 이후에, Fritts (1969)이 Tree-ring 분석을 통하여 수자원 분야 연구에 활용할 수 있음을 보이고 기후와의 연관관계를 심도 있게 분석하기도 하였다(Fritts, 1976). 또한, Blasing and Duvick (1984)가 연 강우량 자료를 재생성하는 등 Tree-ring 자료를 통하여 직접적인 기후 인자를 재생성하는 연구들이 수행되기도 하였다(Cleaveland et al., 2003; Díaz et al., 2001; Gray et al., 2004; Hughes et al., 1994). 이와 같이 Tree-ring 자료가 기후요소와 큰 상관성을 가지고 있기 때문에(Fritts, 1965), 수문기상 분야에서 Tree-ring을 관심 있게 다루고 있다. Meko et al. (1980)은 Tree-ring 자료를 이용하여 1700년대의 PDSI (Palmer Drought Severity Index; Palmer, 1965)를 다중회귀분석을 통하여 재생성하고 가뭄 분석을 수행하는 등, 가뭄과 같이 직접적으로 영향을 받는 분야에서 관련 연구가 수행되었다(Cook and Jacoby, 1977; Stahle and Cleaveland, 1988). 또한, Park and Yadav (1998)는 한국 중서부의 5월 강수량을 소나무 연륜을 이용하여 복원하여 한국의 기후자료 복원에 나이테를 이용하는 가능성을 보였다. 특징적으로, Tree-ring과
수문현상에 대한 연구는 년 단위의 수문현상에 대해서 주로 수행되어 왔다(Li et al., 2006; Li et al., 2007; Meko et al., 1995; Raffalli-Delerce et al., 2004;Stahle et al., 2000; Stahle et al., 2007; Tian et al., 2007;Till and Guiot, 1990; Woodhouse and Overpeck, 1998). 이는 Tree-ring 자료를 통하여 연 단위의 자료가 재생성되기 때문에 짧은 지속기간을 가지는 수문현상을 분석하기에는 어려움이 있기 때문이다.
그러나, 최근에는 계절적 특성을 가지는 지역의 Tree-ring을 이용하여 계절단위의 자료와 연관짓는 연구도 수행중이다(Esper et al., 2002; Leavitt, 2002; Liu, Ma et al., 2004; Liu, Shi et al., 2004).
Fig. 1.
Research diagram.
그러나, 지금까지 이루어진 연구에서는 주로 Tree-ring과 기후 자료를 주로 선형적인 상관관계에 있는 것으로 간주하여 재생성하는 문제가 존재한다.
기존의 연구에서 Tree-ring 자료가 가지는 비선형 추계학적 특징이 제시되었으므로(Grassberger, 1986; Kim, 1997) 자료의 비선형성・추계학적 특성을 반영하는 재생성이 필요하다. 그에 따라서, 최근에는 추계학적 특성을 반영할 수 있는 Tree-ring 연구가 이루어지기도
하였으나(Devineni et al., 2013; Gray et al., 2004; Raffalli-Delerce et al., 2004; Stoffel and Bollschweiler, 2009), 최근까지도 선형적인 가정에 기반을 둔 재생성 기법이 많이 사용되었다(Akkemik et al., 2005; Brázdil et al., 2002; Salzer and Kipfmueller, 2005; Woodhouse, 2001;Wilson and Luckman, 2002; Xuemei and Xiangding, 1997). 이에 본 연구에서는 설악산지역의 Tree-ring 자료를 사용하여 강릉 유역의 연 강우량 자료를 비선형 추계학적 특성을 모의할 수 있는 인공신경망과
인공신경망에 전진 전파 알고리즘을 적용한 NARX를 이용하여 재생성하고 그 통계적인 특성을 검토하여 Tree-ring 자료를 이용한 재생성 방법론을
제시하고자 하였다.
2. Materials annd Methods
2.1. 신경망 및 NARX 모형
신경망 이론(Neural network theory)은 인간의 기억이 신경(Neuron)들의 망으로 구성되고 노드(node) 사이의 연결강도를 바탕으로
기억이 구성되는 구조를 모사하는 이론(Hopfield, 1982)으로서, 미국의 Rosenblatt(1958)가 패턴의 분류를 위하여 퍼셉트론(perceptron)을 제시한 이후에 비선형 또는 비정형 정보를 처리하기 위한 방법으로 널리 사용되고 있다. 신경망
모형에서의 학습은 입력층(input layer), 출력층(output layer), 은닉층(hidden layer)으로 구성된 다층 신경망의 노드(node)의
연결강도를 최적의 상태로 적응시키는 것을 의미하며, 이 과정에서 오차 역전파 알고리즘(error back propagaton algorithm)을
통하여 입력과 출력에 대하여 전달함수를 이용하여 순방향 처리를 수행하고, 발생한 오차를 역방향으로 전달하면서 오차가 최소화 되도록 층과 층의 연결강도를
조정하게 된다(Battiti, 1989). 역전파 알고리즘 및 전달함수의 선택이 중요하며, 본 연구에서는 기존의 수문자료에 대한 연구에서 좋은 결과를 나타낸 Lovenberg-Marquardt-QNBP
역전파 알고리즘 및 Sigmoid 전달함수를 적용하였다(Battiti, 1989, Giill et al., 1981).
Fig. 2.
Simple neural network diagram.
또한, 본 연구에서는 일반적인 인공신경망과 더불어서 오차 전진전파 알고리즘(error forward-propagation; FP)을 적용한 Nonlinear
AutoRegressive eXogeneous input(NARX) 신경망을 적용하였다. NARX는 입・출력 시계열 간의 비선형성을 고려하여 비선형
시계열에 대해서 신경망을 효율적으로 적용할 수 있게 하는 모형으로서 chaos 또는 fractal 시계열에 대하여 좋은 결과를 내는 것으로 알려져
있다(Diaconescu, 2008). NARX는 크게 open loop와 close loop로 구분되며, 본 연구에서는 close loop로 구성하였다(Menezes Jr. et al., 2008).
Fig. 3에서의 u(n) 과 yA(n)은 각각 시간 n에서의 입력 시계열과 출력 시계열을 나타내며, p와 q는 각각 입력과 출력 시계열의 memory order이다. NARX close loop 모형은 신경망을 통하여 출력되는 값을 입력요소로서 적용하기
때문에 과거 시계열에 의존적인 자료에 대해서 좋은 성능을 얻을 수 있으며, 따라서, 출력치의 시계열적 특성을 반영하는 신경망으로 유추할 수 있다.
그러나, close loop 형 NARX 모형의 경우, 학습시간이 과다하게 소요되는 단점이 있다(Tsungnan et al., 1996). 본 연구에서는
ANN과의 비교를 위하여 동일한 Lovenberg - Marquardt - QNBP 역전파 알고리즘을 적용하였다.
Fig. 3.
Closed loop NARX network (Jose, et al., 2008).
2.2. BDS Statistics
BDS(Brock-Dechert-Scheinkman) 검정은 시계열 자료가 무작위한 분포를 따른다는 가설을 상관적분을 토대로 검증하는 방법으로서,
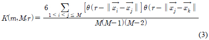
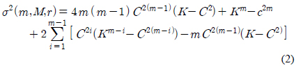
무작위한 시계열 자료와 비선형 카오스 시스템 혹은 비선형 추계학적 시스템을 구분하는데 매우 유용하다(Brock et al., 1991; Brock et al., 1996; Kim et al., 2003). 시계열 자료가 무작위한 분포를 따른다는 가설 하에 m>1 인 경우의 BDS 검정은 다음과 같은 식 (1)으로 나타낼 수 있다.
BDS 검정을 이용하여 시계열 자료를 무작위(Random) 자료인지 아니면 비선형 시스템(카오스, 비선형 추계학) 자료인지 구분할 수 있다. BDS
통계를 사용하기 위해서는 m 및 r 값의 선택이 중요한데, 본 연구에서는 Kanzler(1999)의 연구를 기반으로 2 ≤ m ≤ 5 의 m값과 0.5σ ≤ r ≤ 1.5σ (σ ; 표준편차)의 r값을 사용하였다.
2.3. 자료의 무작위성 검증방법
BDS 검정 이외에도 자료의 무작위성을 판단하기 위한 여러 통계적인 기법이 있으나, 일반적으로 널리 이용되는 방법으로는 Anderson Correlogram,
Run Test, Spearman Rank. Correlation Coefficient, Turning point test 등이 있다(Salas et al., 1993).
2.3.1. Anderson’s Correlogram Test
자료의 수 N이 증가함에 따라, 자기상관계수(ρk)는 평균(mean)이 0 이고 분산(variance)이 1/N 인 정규분포(normal distribution)를 따르게 된다(Anderson, 1942). 이러한 경우 대립가설, ρk ≠ 0 에 대한 귀무가설 ρk = 0 을 식 (4)을 이용하여 확인할 수 있다.
여기서, N은 전체자료의 개수이며, −u1−a/2는 표준정규분포의 1−a/2 분위의 수이다. 또한 a는 유의수준을 의미한다. 따라서 자기상관계수(ρk)가 식의 구간 내에서 위치하게 되면 해당 시계열은 무작위성을 나타내는 것으로 검정할 수 있다.
2.3.2. Run Test
주어진 계열 자료에 대하여 자료의 평균값보다 클 때를 1, 같거나 작을 때를 0으로 각각 정의하고 이를 다음과 같은 일련의 계열로 나타낼 수 있다.
여기서 i는 자료의 계열이며 는 자료의 평균값이다. 만약 ‘m’을 run의 “1”의 개수이고, ‘n’을 “0”의 개수라고 가정하면, 총 개수는 ‘R=m+n’이 된다. Run Test는 어떤 계열이 독립성을 가지고 있다면, 총 run의 개수(R)의
기댓값과 분산은 식 (6)과 같다는 가정에 기초한다.
여기서, Rc는 확률변수이며, R1−a/2는 표준정규분포의 1−a/2 분위의 수이며, 이를 이용하여 시계열 자료 무작위성을 검정할 수 있다.
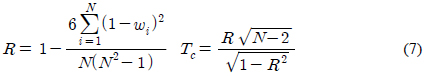
2.3.3. Spearman’s Rank Correlation Coefficient Test
N개의 자료 x1,x2,....,xn 에 대하여 오름차순으로 정리한 계열을 ωi라 정의할 때, Spearman’s Rank Correlation Coefficient Test (Keeping, 1966)는 i와 ωi에 대한 rank 상관계수에 기초하며 다음과 같이 정의된다.
여기서, R은 근사적인 정규분포이며, 1−R2은 자유도가 (N−2) 인 χ2분포 (Chi-square distribution), 검정 통계량 Tc는 자유도가 (N−2)인 근사적 t분포로, 시계열 자료의 무작위성을 검정할 수 있다.
2.3.4. Turning Point Test
N개의 자료 x1,x2,....,xn 의 시계열에 대하여 Peak는 xi−i < xi > xi+1, trough는 xi−i > xi < xi+1과 같이 나타낼 수 있다. 자료가 무작위성을 가지고 있을 경우, peak 와 trough 의 총 수 M은 근사적으로 표준정규분포를 따르게되므로, 이를
이용하여 자료의 무작위성을 검정할 수 있다. 이 경우 검정통계량(uc)은 식 (8)로 나타낼 수 있다.
3. Results and Discussion
3.1. 자료의 특성
본 연구에서는 기존의 연구(Blasing and Stahle, 1988; Brienen and Zuidema, 2005; Worbes, 1999; Xuemei et al., 2005)에서 강우량과 관계가 있는 것으로 제시된 Tree-ring 자료를 이용하여 연강우량의 재생성을 수행하였으며, 이를 위하여 강릉 지역의 기상관측소와
설악산 지점의 Tree-ring 자료를 사용하였다.
강릉 기상관측소는 강원도 강릉시 용강동에 위치하고 있으며, 1911년 10월경부터 관측자료가 존재하고 있다. 또한, Tree-ring 자료는 미국
국립해양대기청(National Oceanic and Atmospheric Administration, NOAA)에서 수집한 고기후학정보(http://www.ncdc.noaa.gov/data-access/paleoclimatology-data/datasets/tree-ring)에서 제공하고 있다. 본 연구에서는 강릉 기상관측소 인근 설악산 관측지점 1개소에 대하여 잣나무(Pinus koraiensis)의 342개1657년
~ 1998년) Tree-ring 지표를 수집하였다.
Fig. 4.
Locations of annual precipitation and tree-ring gaging stations
수집한 강릉 기상관측소의 연 강우량에 대한 자기상관함수(Fig. 5(b))를 보면 시간의 흐름에 따른 상관관계가 전혀 없는 무작위한 시계열의 특성을 나타내고 있다. 그러나, 설악산 지역의 나이테자료에 대한 자기상관함수(Fig. 5(a))를 보면 전형적인 시계열의 특성을 보인다. 따라서, 나이테 자료를 통한 연 강수량 자료의 재생성을 위해서는 나이테의 시계열적 특성을 반영할 수 있는
모형을 적용하여야 할 것으로 판단된다.
Fig. 5.
Autocorrelation function (ACF) of annual precipitation and tree-ring data.
3.2. 나이테 자료의 검증
지금까지 나이테를 이용하여 다양한 자료를 재생성하기위한 연구가 수행되어 왔다. 이러한 연구 중에 일부는 회귀분석을 이용하여 재생성(Akkemik et al., 2005; Brázdil et al., 2002; Salzer and Kipfmueller, 2005; Wilson and Luckman, 2002; Woodhouse, 2001; Xuemei and Xiangding, 1997)을 수행하는 과정에서 자료의 시간적인 진행은 고려되지 않았다. 그러나, 수집된 나이테 자료는 자기상관함수를 기준으로 판단하여 볼 때 시계열적인 특성을
지닐 가능성이 있는 것으로 판단되므로, 시계열적인 모의가 필요한 자료인지에 대한 검증이 요구된다. 따라서, 수집된 나이테 자료에 대하여 무작위성 및
비선형성에 대한 검정을 수행하였으며, 본 연구에서는 Anderson Correlogram, Run Test, Spearman Rank. Correlation
Coefficient, Turning point test의 4가지 비모수 통계기법(Salas et al, 1993)과 BDS 검정을 이용하였다.
Table 1의 통계검정을 보면 Spearman‘s correlogram 검정의 경우에만 나이테를 무작위 자료로서 판단하고 있으나, 나머지 3개의 검정기법의 경우에는
무작위 자료가 아닌 것으로 판정하고 있다. 또한, BDS(m) 검정치의 경우에 모든 차원에서 유의수준인 ± 1.96을 벗어나고 있어서 무작위 시계열
자료로 판정하고 있다. 이미 시계열 자료에 대해서 BDS 통계치의 설명력이 있는 것으로 제시되었으므로(Choi et al., 2009; Kim et al., 2003) 나이테 자료가 비선형 추계학적 또는 카오스 시계열의 특성을 가지고 있는 것으로 판단할 수 있다. 또한, 기존의 Tree-ring과 관련된 연구(Grassberger, 1986)에서 상관차원 분석을 통하여 비선형 계열임이 제시되었고, Kim (1997)의 연구에서도 비선형 불규칙 시계열임을 재차 확인한 바 있다. 따라서, 한국 설악산 지역의 나이테 자료는 비선형 추계학 또는 카오스 시계열로 판단되며,
나이테를 이용한 연 강수량의 재생성 시에는 비선형 시계열의 특성을 반영하는 재생성 방법이 필요할 것으로 판단된다.
Table 1.
Test statistics of tree-ring data
3.3. 연강우량 자료의 재생성 및 적용성 검증
본 연구에서는 나이테 자료를 통하여 강릉 기상관측소의 연 강우량자료를 신경망, NARX을 통하여 재생성 하였다. 신경망과 NARX의 경우 Tree-ring을
입력층 자료로, 연 강수량을 출력치로 구성하였으며, 그 사이에 14개의 은닉층을 적용하였다. 또한, NARX의 시간지연(Time delay)는 Fig. 5(a)의 자기상관함수를 기반으로 1년으로 설정하였다. 신경망과 NARX의 입력자료로는 강원도 설악산 지점의 1912년부터 1998년까지의 설악산 지역 Tree-ring
자료를 적용하였으며, 강릉 기상관측소의 동일 기간 강우량 실측자료를 이용하여 구성하였다. 연 강수량 자료의 재생성 및 비교 결과는 Table 2 및 Fig. 5와 같다.
Table 2.
Basic statistics of reconstruction data (1912 to 1998)
실측 자료와 재생성된 자료간의 결정계수(coefficient of determination)가 상당히 낮기 때문에 생성된 자료의 통계적인 특성치와
NRMSE(Normalized Root Mean Square Error; Anderson and Woessner, 1992)을 사용하여 비교 하였다. Table 2에 따르면 인공신경망 보다 NARX 기법이 실측 유량자료와 유사한 기본 통계치를 지니고 있는 것으로 나타났다. 특히, Skewness 의 경우에는
자료의 분포와 관련이 있으므로 NARX가 실측 유량자료와 유사한 Skewness를 가지는 것에 의미가 있다 하겠다.
또한, Fig. 6에서의 재생성 된 자료의 CDF를 보면 직관적으로 NARX으로 재생성된 연강우량의 분포가 매우 유사함을 알 수 있다. 연 강우량의 분포 유사성을 검증하기
위하여 이표본 콜모고로프-스미르노프 검정(이하 이표본 K-S 검정; Justel et al., 1997)을 수행하였다. 이표본 K-S검정은 두 개의 표본이 동일한 분포에서 나온 것인지 확인하기 위한 방법론으로서 다음과 같이 정의될 수 있다.
Fig. 6.
Annual precipitation reconstruction with tree-ring (1912 to 1998).
F(x)는 m의 표본갯수를 지닌 첫 번째 표본의 누적분포함수이며, G(x)는 n개의 표본개수를 지닌 두 번쨰 표본의 누적분포함수이다. 이때 Dm,m > Dm,n,a라면 귀무가설 h0를 기각할 수 있으며, Dm,n,a는 다음과 같이 정의할 수 있다.
Fig. 7.
CDF of observed and reconstruction data (1912 to 1998).
c(a)는 유의수준 a에서의 콜모고로프 분포 값이다. 검증 결과 신경망에 의한 재생성 결과는 동일 분포가 아닌 것으로 검정되었으나(p-value 0.0628, test stat. 0.1954), NARX를 통하여 재생성된 연강우량 자료의 분포는 동일한 분포를 지니는 것으로 검정되었다(p-value 0.964, test stat.0.067). 따라서, 나이테 자료를 이용하여 연강우량 자료를 재생성할 경우에는 NARX기법을 이용하는
것이 가장 설득력을 가질 것으로 판단된다
3.4. 나이테자료를 이용한 연 강수량 재생성
실측 강우량이 존재하는 기간(1912 to 1998)에 대해서 검정을 수행한 결과, NARX을 통하여 강우량을 재생성하는 것이 가장 좋은 결과를 나타내는
것으로 나타났다. 따라서 본 연구에서는 1657년부터 1911년까지의 강우량을 NARX을 통하여 재생성 하였다. 재생성한 강우량 계열은 Fig. 8과 같으며 강우량 계열의 CDF는 Fig. 9와 같다. 다만, NARX의 경우에는 재생성 초기 10%의 자료는 안정화를 위하여 초기 30년의 자료는 분석에서 제외하였다.
Fig. 8.
Reconstructed annual precipitation using tree-ring data (1657 to 1911).
Fig. 9.
CDF of reconstruction data (1687 to 1911).
재생성된 자료의 CDF를 보면 재생성된 강우량에 대해서도 전진 전파 알고리즘을 적용한 NARX이 관측기간의 CDF와 유사한 것으로 판단된다. 95%의
유의수준을 지니는 이 표본 콜모고로프-스미르노프 검정에서도 인공신경망(p-value 0.002, test stat. 0.232)은 동일 분포가 아닌 것으로 검정되었으나, NARX를 통하여 재생성된 강우량 자료의 분포는
동일한 분포를 지니는 것으로 검정되었다(p-value 0.423, test stat. 0.097). 따라서, 나이테 자료와 NARX을 이용하여 재생성된 강우량 자료는 동일성을 지니고 있는
것으로 판단된다.
최근에 국외에서 수행된 나이테와 연 단위 기후요소 및 수문요소에 대한 연구(Kim et al., 1998; Li et al., 2006; Li et al., 2007; Raffalli-Delerce et al., 2004; Stahle et al., 2000; Stahle et al., 2007; Tian et al., 2007)를 볼 때 나이테와 수문요소 사이에 양의 상관관계가 존재하는 것은 설득력이 있는 주장으로 보인다. 그러나, 재생성된 강우량 자료에 대하여 실측 기간을
포함한 기간에 대한 검증결과, 모의정도가 낮은 것으로(결정계수 R2, NRMSE 0.15 이하) 나타났다. 따라서, 나이테 자료를 이용하여 특정 시간대에 대한 모의를 바탕으로 기후 및 홍수와 가뭄과 같은 자연재해를 분석하는 등의
활용은 어렵다고 판단된다. 이는 여러 가지 원인이 있을 수 있겠으나, 국내의 나이테를 이용한 기존 연구(Mun and Lee, 2011)를 기준으로 판단하여 보면 설악산 지역에서 수집된 잣나무(Pinus koraiensis)의 Tree-ring 자료가 상대적으로 강우와의 관계에서
많은 변동성을 가지고 있는 것으로 판단된다. 또한, 기존에 신경망을 이용한 나이테 관련 연구(Briene and Zuidema, 2005; Liu et al., 2004; Therrel et al., 2006)에서 이미 그 적용성이 검증되었음에도 불구하고 상이한 결과를 보여주고 있다. 재생성된 자료에 대해서 추가적 검정통계량(Table 3)을 보면, NARX을 통하여 재생성된 자료가 다소 원자료와 유사한 지표를 나타내는 것으로 판단된다. 또한, 신경망에 의한 재생성 자료를 관측자료와
비교한 결과 BDS (m)의 지표차이 이외에도 평균(약 30mm), 표준편차(약 49mm) 등의 차이가 발생하고 있다(Table 2). 생성된 자료에 대한 Table 2 및 3의 지표를 기준으로 판단할 때 Lovenberg-Marquardt-QNBP 역전파 알고리즘을 적용한 신경망의 경우에는 underfitting 현상이
나타나는 것으로 판단된다. 따라서, 설악산 지점에 대해서 제공되는 Tree-ring 자료에 대해서는 신경망을 통한 재생성은 오차 발생이 예상된다.
이와 반대로 전진 전파 알고리즘을 적용한 신경망인 NARX의 경우 통계적인 분포를 잘 모의하는 것으로 나타나고 있으므로 연 강우량 자료의 통계적인
모의에서 의미가 있을 것으로 판단된다. 일반적으로 홍수와 가뭄과 같은 수문현상에 대해서 장기간의 자료를 통계적으로 분석하게 된다. 이러한 경우에 본
연구에서 재생성된 자료를 적용할 수 있을 것으로 판단된다. 자료의 절대량이 부족한 한국의 상황에서 Tree-ring을 이용한 자료 확충이 의미를 지닐
수 있을 것으로 사료된다.
Table 3.
Test statistics for reconstruction data
4. Conclusion
본 연구에서는 강릉 유역의 Tree-ring과 연 강우량 자료를 이용하여 1687-1911년 사이의 연 강우량 자료를 재생성하였다. 이를 위하여 각각의
Tree-ring과 연 강우량 자료에 대하여 BDS 검정을 포함한 통계적 검토를 통하여 비선형 추계학적 시계열임을 제시하였으며, 이를 모의하기 위하여
신경망과 전진 전파 알고리즘을 적용한 신경망인 NARX을 이용하여 연 강우량 자료를 재생성하고 그 효율을 비교 검증한 결과 NARX이 Tree-ring을
이용하여 강우량을 재생성하기에 강점을 지니고 있는 것으로 제시하였다. Tree-ring 자료를 이용할 경우 가장 큰 장점은 통계적으로 신뢰할 수 있는
재생성 방법을 통하여 장기간(약 3-400년 이상)의 자료를 확보할 수 있다는 점이다. 장기간의 자료를 통계적으로 분석하는 수문현상 분석기법에 대해서
이러한 자료의 재생성 기법은 그 적용성이 높을 것으로 판단된다.
Acknowledgements
This research was conducted with financial subsidy from MEST(NRF-2009- 220-D00104)
and I really appreciate for the generosity.
References
Akkemik Ü., Dağdeviren N., Aras A., 2005, A Preliminary Reconstruction (AD 1635-2000)
of Spring Precipitation Using Oak Tree Rings in the Western Black Sea Region of Turkey,
International Journal of Biometeorology, Akkemik, Ü., Dağdeviren, N., and Aras, A.
(2005). A Preliminary Reconstruction (AD 1635-2000) of Spring Precipitation Using
Oak Tree Rings in the Western Black Sea Region of Turkey, International Journal of
Biometeorology, 49(5), pp. 297-302, Vol. 49, No. 5, pp. 297-302

Anderson M. P., Woessner W. W., 1992, Applied Groundwater Modeling: Simulation of
Flow and Advective Transport, Anderson, M. P. and Woessner, W. W. (1992). Applied
Groundwater Modeling: Simulation of Flow and Advective Transport (2nd Edition ed.),
Academic Press.

Anderson R. L., 1942, Distribution of the Serial Correlation Coefficient, The Annals
of Mathematical Statistics, Anderson, R. L. (1942). Distribution of the Serial Correlation
Coefficient, The Annals of Mathematical Statistics, 13(1), pp. 1-13., Vol. 13, No.
1, pp. 1-13

Battiti R., 1989, Accelerated Backpropagation Learning: Two Optimization Methods,
Complex systems, Battiti, R. (1989). Accelerated Backpropagation Learning: Two Optimization
Methods, Complex systems, 3(4), pp. 331-342., Vol. 3, No. 4, pp. 331-342

Blasing T. T., Duvick D., 1984, Reconstruction of Precipitation History in North American
Corn Belt Using Tree Rings, Nature, Blasing, T. T. and Duvick, D. (1984). Reconstruction
of Precipitation History in North American Corn Belt Using Tree Rings, Nature, 307,
pp. 143-145., Vol. 307, pp. 143-145

Blasing T. J., Stahle D. W., Duvick D. N., 1988, Tree Ring-Based Reconstruction of
Annual Precipitation in the South-central United States from 1750 to 1980, Water Resources
Research, Blasing, T. J., Stahle, D. W., and Duvick, D. N. (1988). Tree Ring-Based
Reconstruction of Annual Precipitation in the South-central United States from 1750
to 1980, Water Resources Research, 24(1), pp. 163-171., Vol. 24, No. 1, pp. 163-171

Brázdil R., Stepánková P., Kyncl T., Kyncl J., 2002, Fir Tree-Ring Reconstruction
of March-July Precipitation in Southern Moravia (Czech Republic), 1376-1996, Climate
Research, Brázdil, R., Stepánková, P., Kyncl, T., and Kyncl, J. (2002). Fir Tree-Ring
Reconstruction of March-July Precipitation in Southern Moravia (Czech Republic), 1376-1996,
Climate Research, 20(3), pp. 223-239., Vol. 20, No. 3, pp. 223-239

Brienen R. J., Zuidema P. A., 2005, Relating Tree Growth to Rainfall in Bolivian Rain
Forests: A Test for Six Species Using Tree Ring Analysis, Oecologia, Brienen, R. J.
and Zuidema, P. A. (2005). Relating Tree Growth to Rainfall in Bolivian Rain Forests:
A Test for Six Species Using Tree Ring Analysis, Oecologia, 146(1), pp. 1-12., Vol.
146, No. 1, pp. 1-12

Brock W. A., Dechert W. D., Scheinkman J. A., Lebaron B., 1996, A Test for Independence
Based on the Correlation Dimension, Econometric Reviews, Brock, W. A., Dechert, W.
D., Scheinkman, J. A., and Lebaron, B. (1996). A Test for Independence Based on the
Correlation Dimension, Econometric Reviews, 15(3), pp. 197-235., Vol. 15, No. 3, pp.
197-235

Brock W. A., Heish D. A., Lebaron B., 1991, Nonlinear Dynamics, Chaos, and Instability:
Statiscal Theory and Economic Evidence, Brock, W. A., Heish, D. A., and Lebaron, B.
(1991). Nonlinear Dynamics, Chaos, and Instability: Statiscal Theory and Economic
Evidence, The MIT Press, Massachusetts (USA).

Choi K. S., Kyoung M. S., Kim S. J., and Kim H. S., 2009, Detecting Nonlinearity of
Hydrologic Time Series by BDS Statistic and DVS Algorithm, Journal of Korea Society
of Civil Engineers, Choi, K. S., Kyoung, M. S., Kim, S. J., and Kim, H. S. (2009).
Detecting Nonlinearity of Hydrologic Time Series by BDS Statistic and DVS Algorithm,
Journal of Korea Society of Civil Engineers, 29(2B), pp. 163-171., Vol. 29, No. 2B,
pp. 163-171

Cleaveland M. K., Stahle D. W., Therrell M. D., Villanueva-Diaz J., Burns B. T., 2003,
Tree-Ring Reconstructed Winter Precipitation and Tropical Teleconnections in Durango,
Mexico, Climatic Change, Cleaveland, M. K., Stahle, D. W., Therrell, M. D., Villanueva-Diaz,
J., and Burns, B. T. (2003). Tree-Ring Reconstructed Winter Precipitation and Tropical
Teleconnections in Durango, Mexico, Climatic Change, 59(3), pp. 369-388., Vol. 59,
No. 3, pp. 369-388

Cook E. R., Jacoby G. C., 1977, Tree-Ring-Drought Relationships in the Hudson Valley,
New York, Science, Cook, E. R. and Jacoby, G. C. (1977). Tree-Ring-Drought Relationships
in the Hudson Valley, New York, Science, 198(4315), pp. 399-401., Vol. 198, No. 4315,
pp. 399-401

Devineni N., Lall U., Pederson N., Cook E., 2013, A Tree Ring Based Reconstruction
of Delaware River Basin Streamflow using Hierarchical Bayesian Regression, Journal
of Climate, Devineni, N., Lall, U., Pederson, N., and Cook, E. (2013). A Tree Ring
Based Reconstruction of Delaware River Basin Streamflow using Hierarchical Bayesian
Regression, Journal of Climate, 26(12), pp. 4357-4374., Vol. 26, No. 12, pp. 4357-4374

Díaz S. C., Touchan R., Swetnam T. W, 2001, A Tree-Ring Reconstruction of Past Precipitation
for Baja California Sur, Mexico, International Journal of Climatology, Díaz, S. C.,
Touchan, R., and Swetnam, T. W. (2001). A Tree-Ring Reconstruction of Past Precipitation
for Baja California Sur, Mexico, International Journal of Climatology, 21(8), pp.
1007-1019., Vol. 21, No. 8, pp. 1007-1019

Diaconescu E., 2008, The Use of NARX Neural Networks to Predict Chaotic Time Series,
WSEAS Transactions on Computer Research, Diaconescu, E. (2008). The Use of NARX Neural
Networks to Predict Chaotic Time Series, WSEAS Transactions on Computer Research,
3(3), pp. 182-191., Vol. 3, No. 3, pp. 182-191

Esper J., Cook E. R., Schweingruber F. H., 2002, Low-Frequency Signals in Long Tree-Ring
Chronologies for Reconstructing Past Temperature Variability, Science, Esper, J.,
Cook, E. R., and Schweingruber, F. H. (2002). Low-Frequency Signals in Long Tree-Ring
Chronologies for Reconstructing Past Temperature Variability, Science, 295(5563),
pp. 2250-2253., Vol. 295, No. 5563, pp. 2250-2253

Ferguson C. W., 1968, Bristlecone Pine: Science and Esthetics A 7100-year Tree-Ring
Chronology Aids Scientists; Old Trees Draw Visitors to California Mountains, Science,
Ferguson, C. W. (1968). Bristlecone Pine: Science and Esthetics A 7100-year Tree-Ring
Chronology Aids Scientists; Old Trees Draw Visitors to California Mountains, Science,
159(3817), pp. 839-846., Vol. 159, No. 3817, pp. 839-846

Fritts H. C., 1965, Tree-ring Evidence for Climatic Changes in Western North America,
Monthly Weather Review, Fritts, H. C. (1965). Tree-ring Evidence for Climatic Changes
in Western North America, Monthly Weather Review, 93(7), pp. 421-443., Vol. 93, No.
7, pp. 421-443

Fritts H. C., 1969, Tree-ring analysis: A Tool for Water Resources Research, Eos,
Transactions American Geophysical Union, Fritts, H. C. (1969). Tree-ring analysis:
A Tool for Water Resources Research, Eos, Transactions American Geophysical Union,
50(1), pp. 22-29., Vol. 50, No. 1, pp. 22-29

Fritts H. C., 1976, Tree rings and climate, Fritts, H. C. (1976). Tree rings and climate,
Academic press, Elsevier.

Gill P. E., Murray W., Wright M. H., 1981, Practical Optimization, Gill, P. E., Murray,
W., and Wright, M. H. (1981). Practical Optimization, Academic Press, NY.

Grassberger P., 1986, Do Climatic Attractors Exist?, Nature, Grassberger, P. (1986).
Do Climatic Attractors Exist?, Nature, 323(6089), pp. 609-612., Vol. 323, No. 6089,
pp. 609-612

Gray S. T., Fastie C. L., Jackson S. T., Betancourt J. L., 2004, Tree-Ring-Based Reconstruction
of Precipitation in the Bighorn Basin, Wyoming, since 1260 AD, Journal of Climate,
Gray, S. T., Fastie, C. L., Jackson, S. T., and Betancourt, J. L. (2004). Tree-Ring-Based
Reconstruction of Precipitation in the Bighorn Basin, Wyoming, since 1260 AD, Journal
of Climate, 17(19), pp. 3855-3865., Vol. 17, No. 19, pp. 3855-3865

Hopfield J. J., 1982, Neural Networks and Physical Systems with Emergent Collective
Computational Abilities, Proceedings of the National Academy of Sciences, Hopfield,
J. J. (1982). Neural Networks and Physical Systems with Emergent Collective Computational
Abilities, Proceedings of the National Academy of Sciences, 79(8), pp. 2554-2558.,
Vol. 79, No. 8, pp. 2554-2558

Hughes M. K., Xiangding W., Xuemei S., Garfin G. M., 1994, A Preliminary Reconstruction
of Rainfall in North-Central China Since AD 1600 from Tree-Ring Density and Width,
Quaternary Research, Hughes, M. K., Xiangding, W., Xuemei, S., and Garfin, G. M. (1994).
A Preliminary Reconstruction of Rainfall in North-Central China Since AD 1600 from
Tree-Ring Density and Width, Quaternary Research, 42(1), pp. 88-99., Vol. 42, No.
1, pp. 88-99

Justel A., Peña D., Zamar R., 1997, A Multivariate Kolmogorov-Smirnov Test of Goodness
of Fit, Statistics & Probability Letters, Justel, A., Peña, D., and Zamar, R. (1997)
A Multivariate Kolmogorov-Smirnov Test of Goodness of Fit, Statistics & Probability
Letters, 35(3), pp. 251-259., Vol. 35, No. 3, pp. 251-259

Kanzler L., 1999, Very fast and Correctly Sized Estimation of the BDS Statistic, Kanzler,
L. (1999). Very fast and Correctly Sized Estimation of the BDS Statistic, Manuscript,
Christ Church and Department of Economics, University of Oxford.

Keeping E. S., 1966, Distribution Free Methods in Statistics, Keeping, E. S. (1966).
Distribution Free Methods in Statistics, in Proceedings of Hydrology Symposium, McGill
University, Canada.

Kim H. S., 1997, Applicability of Chaotic System in Hydrologic Time Series, Ph.D.
Dissertation, Kim, H. S. (1997). Applicability of Chaotic System in Hydrologic Time
Series, Ph.D. Dissertation, University of Colorado State, Fort Collins, Colorado.

Kim H. S., Hwang S. H., Kim J. H., 1998, Reconstruction of River Flows Using Tree-Ring
Series and Neural Network, Journal of Korean Society of Civil Engineers, Kim, H. S.,
Hwang, S. H., and Kim, J. H. (1998). Reconstruction of River Flows Using Tree-Ring
Series and Neural Network, Journal of Korean Society of Civil Engineers, 18(6), pp.
583-589., Vol. 18, No. 6, pp. 583-589

Kim H. S., Kang D. S., Kim J. H., 2003, The BDS Statistic and Residual Test, Stochastic
Environmental Research and Risk Assessment, Kim, H. S., Kang, D. S., and Kim, J. H.
(2003). The BDS Statistic and Residual Test, Stochastic Environmental Research and
Risk Assessment, 17(2), pp. 104-115., Vol. 17, No. 2, pp. 104-115

Leavitt S. W., 2002, Prospects for Reconstruction of Seasonal Environment from Tree-Ring
δ13C: Baseline Findings from the Great Lakes Area, USA, Chemical Geology, Leavitt,
S. W. (2002). Prospects for Reconstruction of Seasonal Environment from Tree-Ring
δ13C: Baseline Findings from the Great Lakes Area, USA, Chemical Geology, 192(1),
pp. 47-58., Vol. 192, No. 1, pp. 47-58

Li J., Gou X., Cook E. R., Chen F, 2006, Tree-Ring Based Drought Reconstruction for
the Central Tien Shan Area in Northwest China, Geophysical Research Letters, Li, J.,
Gou, X., Cook, E. R., and Chen, F. (2006). Tree-Ring Based Drought Reconstruction
for the Central Tien Shan Area in Northwest China, Geophysical Research Letters, 33(7),
LO 7715., Vol. 33, No. 7, pp. LO 7715

Li J., Chen F., Cook E. R., Gou X., Zhang Y., 2007, Drought Reconstruction for North
Central China from Tree Rings: the Value of the Palmer Drought Severity Index, International
Journal of Climatology, Li, J., Chen, F., Cook, E. R., Gou, X., and Zhang, Y. (2007).
Drought Reconstruction for North Central China from Tree Rings: the Value of the Palmer
Drought Severity Index, International Journal of Climatology, 27(7), pp. 903-909.,
Vol. 27, No. 7, pp. 903-909

Lin T., Horne B. G., Tino P., Giles C. L., 1996, Learning Long-Term Dependencies in
NARX Recurrent Neural Networks, Neural Networks, IEEE Transactions on, Lin, T., Horne,
B. G., Tino, P., and Giles, C. L. (1996). Learning Long-Term Dependencies in NARX
Recurrent Neural Networks, Neural Networks, IEEE Transactions on, 7(6), pp. 1329-1338.,
Vol. 7, No. 6, pp. 1329-1338

Liu Y., Ma L., Leavitt S. W., Cai Q., Liu W., 2004, A Preliminary Seasonal Precipitation
Reconstruction from Tree-Ring Stable Carbon Isotopes at Mt. Helan, China, since AD
1804, Global and Planetary Change, Liu, Y., Ma, L., Leavitt, S. W., Cai, Q., and Liu,
W. (2004). A Preliminary Seasonal Precipitation Reconstruction from Tree-Ring Stable
Carbon Isotopes at Mt. Helan, China, since AD 1804, Global and Planetary Change, 41(3),
pp. 229-239., Vol. 41, No. 3, pp. 229-239

Liu Y., Cai Q., Shi J., Hughes M. K., Kutzbach J. E., Liu Z., An Z., 2005, Seasonal
Precipitation in the South-Central Helan Mountain region, China, Reconstructed from
Tree-Ring Width for the Past 224 Years, Canadian Journal of Forest Research, Liu,
Y., Cai, Q., Shi, J., Hughes, M. K., Kutzbach, J. E., Liu, Z., and An, Z. (2005).
Seasonal Precipitation in the South-Central Helan Mountain region, China, Reconstructed
from Tree-Ring Width for the Past 224 Years, Canadian Journal of Forest Research,
35(10), pp. 2403-2412., Vol. 35, No. 10, pp. 2403-2412

Liu Y., Shi J., Shishov V., Vaganov E., Yang Y., Cai Q., Djanseitov I., 2004, Reconstruction
of May-July Precipitation in the North Helan Mountain, Inner Mongolia since AD 1726
from tree-ring late-wood widths, Chinese Science Bulletin, Liu, Y., Shi, J., Shishov,
V., Vaganov, E., Yang, Y., Cai, Q., and Djanseitov, I. (2004). Reconstruction of May-July
Precipitation in the North Helan Mountain, Inner Mongolia since AD 1726 from tree-ring
late-wood widths, Chinese Science Bulletin, 49(4), pp. 405-409., Vol. 49, No. 4, pp.
405-409

Meko D. M., Stockton C. W., Boggess W. R., 1980, A tree-ring Reconstruction of Drought
in Southern Calufornia, Journal of the American Water Resources Association, Meko,
D. M., Stockton, C. W., and Boggess, W. R. (1980). A tree-ring Reconstruction of Drought
in Southern Calufornia, Journal of the American Water Resources Association, 16(4),
pp. 594-600., Vol. 16, No. 4, pp. 594-600

Meko D., Stockton C. W., Boggess W. R., 1995, The Tree-Ring Record of Severe Sustained
Drought, Journal of the American Water Resources Association, Meko, D., Stockton,
C. W., and Boggess, W. R. (1995). The Tree-Ring Record of Severe Sustained Drought,
Journal of the American Water Resources Association, 31(5), pp. 789-801., Vol. 31,
No. 5, pp. 789-801

Menezes J. M. P., Barreto G. A., 2008, Long-Term Time Series Prediction with the NARX
Network: An Empirical Evaluation, Neurocomputing, Menezes Jr, J. M. P. and Barreto,
G. A. (2008). Long-Term Time Series Prediction with the NARX Network: An Empirical
Evaluation, Neurocomputing, 71(16), pp. 3335-3343., Vol. 71, No. 16, pp. 3335-3343

Mun J. W., Lee D. Y., 2011, Tree-Ring Data Application for Drought Mitigation, Journal
of Korean society of hazard mitigation, Mun, J. W. and Lee, D. Y. (2011). Tree-Ring
Data Application for Drought Mitigation, Journal of Korean society of hazard mitigation,
11(1), pp. 70-78., Vol. 11, No. 1, pp. 70-78

Palmer W. C., 1965, Meteorologic Drought, Palmer, W. C. (1965). Meteorologic Drought,
U.S. Weather Bureau.

Park W. K., Yadav R. R., 1998, Reconstruction of May Precipitation (AD 1731-1995)
in West-Central Korea from Tree Rings of Korean Red Pine, Journal of Korean Meteorological
Society, Park, W. K. and Yadav, R. R. (1998). Reconstruction of May Precipitation
(AD 1731-1995) in West-Central Korea from Tree Rings of Korean Red Pine, Journal of
Korean Meteorological Society, pp. 459-465., pp. 459-465

Raffalli-Delerce G., Masson-Delmotte V., Dupouey J. L., Stievenard M., Breda N., Moisselin
J. M., 2004, Reconstruction of Summer Droughts Using Tree-Ring Cellulose Isotopes:
A Calibration Study with Living Oaks from Brittany (Western France), Tellus B, Raffalli-Delerce,
G., Masson-Delmotte, V., Dupouey, J. L., Stievenard, M., Breda, N., and Moisselin,
J. M. (2004). Reconstruction of Summer Droughts Using Tree-Ring Cellulose Isotopes:
A Calibration Study with Living Oaks from Brittany (Western France), Tellus B, 56(2),
pp. 160-174., Vol. 56, No. 2, pp. 160-174

Rosenblatt F., 1958, The Perceptron: A Probabilistic Model for Information Storage
and Organization in the Brain, Psychological Review, Rosenblatt, F. (1958). The Perceptron:
A Probabilistic Model for Information Storage and Organization in the Brain, Psychological
Review, 65(6), pp. 386., Vol. 65, No. 6, pp. 386

Salas J. D., Smith R. A., Tabios G. Q. III, Heo J. H., 1993, Statistical Computer
Techniques in Hydrology and Water Resources, Salas, J. D., Smith, R. A., Tabios, G.
Q. III, and Heo, J. H. (1993). Statistical Computer Techniques in Hydrology and Water
Resources, Unpublished text book un CE 622, Colorado State University.

Salzer M. W., Kipfmueller K. F, 2005, Reconstructed Temperature and Precipitation
on a Millennial Timescale from Tree-Rings in the Southern Colorado Plateau, USA, Climatic
Change, Salzer, M. W. and Kipfmueller, K. F. (2005). Reconstructed Temperature and
Precipitation on a Millennial Timescale from Tree-Rings in the Southern Colorado Plateau,
USA, Climatic Change, 70(3), pp. 465-487., Vol. 70, No. 3, pp. 465-487

Stahle D. W., Cleaveland M. K., 1988, Texas Drought History Reconstructed and Analyzed
from 1698 to 1980, Journal of Climate, Stahle, D. W. and Cleaveland, M. K. (1988).
Texas Drought History Reconstructed and Analyzed from 1698 to 1980, Journal of Climate,
1(1), pp. 59-74., Vol. 1, No. 1, pp. 59-74

Stahle D. W., Cook E. R., Cleaveland M. K., Therrell M. D., Meko D. M., Grissino-Mayer
H. D., Luckman B. H., 2000, Tree-Ring Data Document 16th Century Megadrought Over
North America, EOS, Transactions American Geophysical Union, Stahle, D. W., Cook,
E. R., Cleaveland, M. K., Therrell, M. D., Meko, D. M., Grissino-Mayer, H. D., and
Luckman, B. H. (2000). Tree-Ring Data Document 16th Century Megadrought Over North
America, EOS, Transactions American Geophysical Union, 81(12), pp. 121-125., Vol.
81, No. 12, pp. 121-125

Stahle D. W., Fye F. K., Cook E. R., Griffin R. D., 2007, Tree-Ring Reconstructed
Megadroughts Over North America Since AD 1300, Climatic Change, Stahle, D. W., Fye,
F. K., Cook, E. R., and Griffin, R. D. (2007). Tree-Ring Reconstructed Megadroughts
Over North America Since AD 1300, Climatic Change, 83(1-2), pp. 133-149., Vol. 83,
No. 1-2, pp. 133-149

Stoffel M., Bollschweiler M., 2009, Tree-Ring Reconstruction of Past Debris Flows
Based on a Small Number of Samples-Possibilities and Limitations, Landslides, Stoffel,
M. and Bollschweiler, M. (2009). Tree-Ring Reconstruction of Past Debris Flows Based
on a Small Number of Samples-Possibilities and Limitations, Landslides, 6(3), pp.
225-230., Vol. 6, No. 3, pp. 225-230

Therrell M. D., Stahle D. W., Ries L. P., Shugart H. H., 2006, Tree-ring Reconstructed
Rainfall Variability in Zimbabwe, Climate Dynamics, Therrell, M. D., Stahle, D. W.,
Ries, L. P., and Shugart, H. H. (2006). Tree-ring Reconstructed Rainfall Variability
in Zimbabwe, Climate Dynamics, 26(7-8), pp. 677-685., Vol. 26, No. 7-8, pp. 677-685

Tian Q., Gou X., Zhang Y., Peng J., Wang J., Chen T., 2007, Tree-Ring Based Drought
Reconstruction (AD 1855-2001) for the Qilian Mountains, Northwestern China, Tree-Ring
Research, Tian, Q., Gou, X., Zhang, Y., Peng, J., Wang, J., and Chen, T. (2007). Tree-Ring
Based Drought Reconstruction (AD 1855-2001) for the Qilian Mountains, Northwestern
China, Tree-Ring Research, 63(1), pp. 27-36., Vol. 63, No. 1, pp. 27-36

Till C., Guiot J., 1990, Reconstruction of Precipitation in Morocco Since 1100 AD
Based on Cedrus Atlantica Tree-Ring Widths, Quaternary Research, Till, C. and Guiot,
J. (1990). Reconstruction of Precipitation in Morocco Since 1100 AD Based on Cedrus
Atlantica Tree-Ring Widths, Quaternary Research, 33(3), pp. 337-351., Vol. 33, No.
3, pp. 337-351

Wilson R. J. S., Luckman B. H., 2002, Tree-Ring Reconstruction of Maximum and Minimum
Temperatures and the Diurnal Temperature Range in British Columbia, Canada, Dendrochronologia,
Wilson, R. J. S. and Luckman, B. H. (2002). Tree-Ring Reconstruction of Maximum and
Minimum Temperatures and the Diurnal Temperature Range in British Columbia, Canada,
Dendrochronologia, 20(3) pp. 257-268., Vol. 20, pp. 3257-3268

Woodhouse C. A., Overpeck J. T., 1998, 2000 Years of Drought Variability in the Central
United States, Bulletin of the American Meteorological Society, Woodhouse, C. A. and
Overpeck, J. T. (1998). 2000 Years of Drought Variability in the Central United States,
Bulletin of the American Meteorological Society, 79(12), pp. 2693-2714., Vol. 79,
No. 12, pp. 2693-2714

Woodhouse C. A., 2001, A Tree-Ring Reconstruction of Streamflow for the Colorado Frint
Range, Journal of the American Water Resources Association, Woodhouse, C. A. (2001).
A Tree-Ring Reconstruction of Streamflow for the Colorado Frint Range, Journal of
the American Water Resources Association, 37(3), pp. 561-569., Vol. 37, No. 3, pp.
561-569

Worbes M., 1999, Annual Growth Rings, Rainfall-Dependent Growth and Long-Term Growth
Patterns of Tropical Trees from the Caparo Forest Reserve in Venezuela, Journal of
ecology, Worbes, M. (1999). Annual Growth Rings, Rainfall-Dependent Growth and Long-Term
Growth Patterns of Tropical Trees from the Caparo Forest Reserve in Venezuela, Journal
of ecology, 87(3), pp. 391-403., Vol. 87, No. 3, pp. 391-403

Xuemei S., Xiangding W., 1997, Reconstruction of Climate Change on Changbai Mountain,
Northeast China Using Tree-Ring Data, Quaternary Sciences, Xuemei, S. and Xiangding,
W. (1997). Reconstruction of Climate Change on Changbai Mountain, Northeast China
Using Tree-Ring Data, Quaternary Sciences, 1, pp. 76-85., Vol. 1, pp. 76-85

Xuemei S., Huang L., Hongbin L., Eryuan L., Xiuqi F., Lili W., 2005, Reconstruction
of Precipitation Variation from Tree Rings in Recent 1000 Years in Delingha, Qinghai,
中國科學 D 辑, Xuemei, S., Huang, L., Hongbin, L., Eryuan, L., Xiuqi, F., and Lili, W.
(2005). Reconstruction of Precipitation Variation from Tree Rings in Recent 1000 Years
in Delingha, Qinghai, 中國科學 D 辑, 48(7), pp. 127-141., Vol. 48, No. 7, pp. 127-141
