박정수
(Jungsu Park)
1†iD
-
국립한밭대학교 건설환경공학과
(Department of Civil and Environmental Engineering, Hanbat National University)
Copyright © KOREAN SOCIETY ON WATER ENVIRONMENT
Key words
Algal bloom, Deep learning, Transfer learning, Water quality management
1. Introduction
하천 조류 발생은 오염의 유입 및 유역 내 다양한 환경에 영향을 받게 되며, 오염의 심화 및 기후 변화 등에 따른 과다한 조류 발생은 하천 수질의
악화와 수생태계 건전성 등에 부정적인 영향을 줄 수 있어 국내뿐 아니라 전 세계적으로 적극적인 조류 발생 관리에 대한 관심이 지속되고 있다(Feng et al., 2024; McDowell et al 2025). 우리나라는 조류 경보제 등 과도한 조류 발생에 따른 취수원 및 하천 수질 영향을 저감하기 위한 정부 차원의 관리를 수행하고 있으며, 효율적 조류
관리를 위해 조류 발생 수준에 따른 적절한 대응을 위한 조류 발생 예측 기술 개발의 필요성이 커지고 있다(ME, 2023; NIER, 2020). 우리나라에서는 Environmental Fluid Dyanmic Code (EFDC) 등 하천 수질 모의를 위한 수치모형 기반의 예측 시스템을
구축하여 주간 단위 조류 발생 예측 결과를 환경부 국립환경과학원이 운영하는 물환경정보시스템에 제공하는 등 적극적 조류 예측 및 관리 노력을 지속하고
있다(ME, 2023; NIER, 2025).
조류 발생은 영양염류 등 조류 성장에 필요한 인자와 하천의 수리적 특성 및 기후 조건 등 다양한 인위적 및 자연적 환경 특성의 복합적인 영향을 받게
되어 정확한 예측이 쉽지 않다. 머신러닝 모형은 다양한 영향 인자의 복합적인 비선형 관계 등에 대한 분석을 기반으로 우수한 예측 성능을 보여 사회
각 분야에서 활용이 늘고 있으며, 이러한 머신러닝 모형을 조류 발생 등 수질관리에 활용하기 위한 관심과 연구가 전 세계적으로 계속되고 있다(Park et al., 2024; Sheik et al., 2024). Fan et al. (2022)는 이미지 분석 등에 널리 사용되는 convolutional neural network (CNN)을 1차원 데이터에 적용할 수 있도록 구축된 one-dimensional
CNN (1D CNN)과 전통적 머신러닝 모형중 하나인 support vector regressor를 합친 CNN-SVR을 이용하여 해양의 chlorophyll-a
(Chl-a) 농도를 예측하는 모형을 제시하였으며, R2=0.874로 기존에 널리 사용되는 전통적인 머신러닝 모형인 random forest 및 support
vector regressor 만을 이용하는 모형에 비해 1∼2% 정도 향상된 성능을 얻을 수 있음을 확인하였다. 또한 Kim et al. (2025)는 1D CNN과 시계열 예측에 널리 활용되는 대표적인 순환신경망(recurrent neural network, RNN) 기반 알고리즘인 long
short-term memory (LSTM)을 결합한 CNN-LSTM 모형을 구축하여 하천의 Chl-a 발생 수준을 예측하는 분류 모형을 구축하고,
데이터 불균형의 해소에 따른 성능 향상이 가능함을 제시하였다.
머신러닝 모형은 모형구축에 사용된 데이터의 특성과 패턴을 학습하여 구현되며, 모형의 구축에 활용되는 입력변수가 예측 대상에 미치는 영향 특성에 대한
사전 분석 및 실험 등을 최소화하면서도 우수한 성능을 확보할 수 있는 장점이 있다. 데이터 기반 모형의 특성상 모형의 구축에 활용되는 입력자료의 특성이
모형의 성능에 많은 영향을 미치게 되며 인공신경망(artificial neural network) 등 비교적 복잡도가 낮은 초기 단계의 모형부터 복잡한
내부 알고리즘을 가지는 고도화된 딥러닝 모형까지 다양한 모형이 조류 발생의 예측에 적용되고 있다(Park et al., 2024). 데이터 기반 모형인 머신러닝 모형은 변수 간 인과관계에 대한 직접적인 정보를 적용하는 것이 아니라 데이터의 내부 패턴을 학습하는 방식으로 구축되므로
안정적인 모형 성능의 확보를 위해서는 다양한 특성을 반영할 수 있는 충분한 양의 자료 확보가 필요하다. 하지만 조류 발생에 영향을 미치는 수질 인자의
측정은 현장의 채수, 분석 등 많은 시간과 비용이 소요되며 고도화된 머신러닝 모형의 구축에 필요한 충분한 자료의 확보가 쉽지 않은 경우가 많다.
전이 학습(transfer learning)은 예측 대상과는 다른 대상, 지역, 또는 시기에 수집된 데이터로 사전 학습된 모형의 정보를 예측하고자
하는 대상의 학습에 적용하여 성능을 향상시키는 기법으로, 입력 자료가 충분하지 않은 경우 머신러닝 모형이 성능 개선을 위한 효과적인 대안이 될 수
있다(Ben-David et al., 2010; Pan and Yang, 2009). 전이 학습의 개념은 2000년 이전부터 제안되어 왔으며, 특히 이미지 분석과 자연어 처리처럼 대규모 학습 자료가 필요한 분야에서 이를 적용하는
연구가 최근까지도 활발히 이어지고 있다(Ayter and Zisserman 2011; Kim et al., 2022; Su et al., 2014). 다양한 시계열 자료를 활용하는 하천 수질예측에 전이 학습을 적용하는 연구에 대한 관심도 커지고 있다. Chen et al. (2021)은 전이 학습을 이용하여 하천 현장에서 측정된 용존산소농도 (DO)의 결측값을 보간하는 딥러닝 LSTM 알고리즘 기반 보간 모형을 구축하였다. 이
연구에서는 전이 학습 모형의 구축을 위해 대상 유역의 다른 지점의 측정 자료를 이용하여 사전 학습을 수행하고 그 결과를 보간을 수행하고자 하는 대상
지점의 모형 구축에 적용하여 보간성능을 분석하였다. 분석 결과, 시계열 모형의 구축에 적용된 과거 시점의 길이(sequence length)와 결측값
비율에 따라 RMSE가 0.30–0.51의 범위로 다양하게 나타났으며, sequence length가 6이고 결측률이 0.3일 때 RMSE가 0.30으로
가장 우수한 성능을 보이는 것으로 분석되었다. Ni et al. (2022)는 현장 호수에서 2016년 6월–9월 약 3개월간 30분 간격으로 측정된 수질자료를 이용하여 조류 발생의 정량 지표중 하나인 Chl-a 농도를 예측하는
딥러닝 모형을 구축하였으며 전이 학습의 적용에 따라 RMSE가 약 11–15% 정도 개선되는 것을 보여주었다. 보다 최근에 Wai et al. (2025)는 1D CNN과 LSTM을 합친 CNN-LSTM 알고리즘을 이용하여 말레이시아 하천 현장의 생화학적산소요구량(BOD), 화학적산소요구량(COD)
및 DO 등 수질 조건을 기반으로 산정된 수질 지수(water quality index, WQI)를 예측하는 모형을 구축하였으며, 전이 학습의 적용을
통해 모형의 예측 성능 향상이 가능함을 제시하였다.
전이 학습은 현장 측정 자료의 확보가 중요한 수질관리 효율을 높이기 위해 활용도가 높은 연구 분야이나 물환경관리에 전이 학습을 적용하는 연구는 아직
사례가 많지 않다. 본 연구에서는 시계열 데이터 예측에 널리 활용되는 딥러닝 알고리즘인 LSTM과 1D CNN을 활용하여, 하천 조류 발생을 예측하는
딥러닝 모형을 구축하였다. 또한 예측 대상 지역의 상류 지역 측정 자료로 사전 학습(pre-training)된 정보를 예측 대상 지역의 학습에 활용하는
전이 학습을 적용하고, 이에 따른 딥러닝 모형의 성능변화를 분석 분석하였다.
2. Materials and Methods
2.1 측정자료
본 연구에서는 낙동강 중류에 위치한 도개 지점(DG, Site No: S02021) 및 도개 지점 하류 약 25 km에 위치한 칠곡 지점(CG, Site
No: S02015)에서 각각 2014년부터 2022년 및 2021년에서 2024년까지 측정되어 환경부 국립환경과학원 물환경정보시스템 자동측정망에
공개된 일일 수질 측정자료를 분석에 활용하였다(Fig. 1)(NIER, 2025).
낙동강은 강원도에서 발원하여 부산 낙동강하구까지 이르며 약 23,384 km2의 유역면적을 가지고 있는 하천으로 구미, 대구, 창원 및 부산 등 여러 대도시와 다양한 산업 및 농축산 시설이 위치하고 있다. 낙동강은 유역내 필요한
생활, 공업 및 농업용수를 공급하고 시민들의 친수공간으로 활용되는 하천이며, 특히 연구 대상 지역인 칠곡 지점은 하류 약 30 km 지점에 대구 및
인근 지역의 주요 취수원으로 활용되는 문산 취수장이 위치하고 있는 등 지속적인 수질관리가 중요한 지역이다(NRMC, 2023).
2.2 모형 구축
2.2.1 LSTM
본 연구에서는 머신러닝 모형 중 시계열 자료의 예측 및 분석에 널리 사용되는 대표적인 RNN 알고리즘인 LSTM을 모형 구축에 활용하였다. RNN은
이전 단계의 출력을 현재 단계의 입력에 반영함으로써 시간 흐름에 따른 데이터 간 종속성을 학습할 수 있도록 설계된 구조를 가지며, 이러한 특성 덕분에
시계열 데이터의 예측 및 분석에 폭넓게 사용되어 왔다(Greff et al., 2016; Hochreiter and Schmidhuber, 1997). 그러나 전통적인 RNN은 긴 시계열을 처리할 때 과거 정보가 점차 소실되는 정보의 장기 의존성 문제를 가지고 있으며, 이를 해결하기 위해 제안된
LSTM은 내부에 세 가지 연산 구조를 포함하고 있어, 정보를 선택적으로 기억하거나 잊을 수 있도록 설계되었다(Greff et al., 2016). 이러한 구조를 통해 LSTM은 중요한 정보를 장기간 보존하면서도 불필요한 정보는 제거하여, 기존 RNN보다 안정적이고 효과적으로 시계열 데이터를
예측할 수 있다(Staudemeyer and Morris, 2019).
LSTM 알고리즘은 forget gate (FG), input gate (IG) 및 output gate (OG)의 3개의 연산 구조로 이루어진 셀
(cell) 단위로 이루어져 있다(Eq. 1– 3)(Greff et al., 2016; Olah, 2015; Staudemeyer and Morris, 2019). FG는 Eq. 1에 제시된 바와 같이 현시점의 입력 자료($x_{t}$)와 이전 시점의 연산 결과로 얻어진 hidden state ($h_{t-1}$)에 각각 가중치
($W_{f,\: 1}$ 및 $W_{f,\: 2}$)를 적용하여, 현재 단계의 연산에 반영할 정보를 선택적으로 결정하고 활성화 함수 (σ)를 통해
결과를 출력하는 역할을 한다. 각 연산 gate의 편향값 (bias) $b$는 입력 자료와 이전 hidden state의 선형 결합 결과에 적용되어,
활성화 함수의 최종 출력값을 조절한다(Olah, 2015; Zhang et al., 2023). IG 및 OG도 유사한 방식으로 가중치의 적용을 통해 단계별로 전달되는 정보를 선택적으로 결정하게 된다. IG는 현재 시점의 입력과 이전 hidden
state의 결과에 대해 각각 가중치를 적용하여, 현 셀 상태의 연산에 새롭게 반영할 정보를 선택적으로 결정하는 단계이며, OG는 업데이트된 셀 상태
중에서 어느 정보를 최종 hidden state로 출력할지를 결정하는 단계이다. LSTM은 이러한 내부 연산 구조를 통해 각 단계별로 단기 및 장기적으로
활용할 정보를 선택적으로 조절하고, 학습을 통해 가중치 등을 최적화하여 과거의 정보를 효율적으로 활용함으로써 모형 성능을 향상시킬 수 있도록 구성되었다(Olah, 2015; Zhang et al., 2023).
2.2.2 Convolutional neural network
CNN은 kernel로 정의되는 메트릭스 형태의 벡터를 이용하여 이전 단계의 정보를 추출하는 convolution 연산과, 추출된 정보를 요약하는
pooling 연산을 반복함으로써 입력 자료의 특징을 학습하는 방식으로, 이미지 분석 및 분류 분야에서 최근까지도 가장 널리 활용되는 알고리즘 중
하나이다(Goodfellow et al., 2016).
Convolutional 연산은 모형에서 정의된 n×n 크기의 정방형 행렬 형태의 kernel을 이용한 순차적 연산을 통해 입력 변수의 특성을 추출하게
된다. Convolutional 연산은 Eq. 4와 같이 정의되며, 주어진 식과 같이 변수 $x$에 가중치 $w$를 연속으로 곱하고 이를 모두 합하여 다음 단계의 결과를 출력하게 된다(Goodfellow et al., 2016).
1D CNN은 이러한 CNN 구조를 1차원 형태의 데이터에 적용할 수 있도록 응용한 알고리즘이다. 기존의 CNN과 달리 kernel이 시간 축을 따라
1차원의 convolutional 연산을 수행하는 방식으로 시계열 데이터에서 시간 축을 따라 과거 정보를 포함한 패턴을 효과적으로 포착할 수 있으며,
이러한 특성으로 다양한 시계열 예측 및 분석에 우수한 성능을 보이는 장점을 가지고 있다(Kiranyaz et al., 2021; Kiranyaz et al., 2015). 1D convolutional 연산의 개념을 Fig. 2에 제시하였다(Goodfellow et al., 2016).
Fig. 2. Conceptual diagram of the 1D convolutional operation.
2.2.3 전이 학습
데이터 기반 모형인 머신러닝 모형의 성능 확보를 위해서는 충분한 양질의 데이터가 필요하나 현실적으로 데이터의 확보가 쉽지 않은 경우가 많으며 이는
머신러닝 모형의 현장 적용을 제한하는 중요한 요인 중 하나이다. 전이 학습은 학습에 사용되는 데이터가 실제 적용 대상과 다른 분포를 가질 수 있음을
허용함으로써, 머신러닝 모형의 학습 범위를 확장하고 데이터 부족의 한계를 극복할 수 있는 방법으로, 머신러닝 모형의 성능 향상에 기여할 수 있어 최근까지
관련 연구가 활발히 진행되고 있다(Gholizade et al., 2025; Pan and Yang, 2009). 전이 학습은 분석 대상인 target domain의 자료가 아닌, source domain의 자료를 활용하여 사전 학습(pre-training)된
정보를 target domain의 학습에 적용함으로써 최종적인 예측 모형을 구축하게 된다 (Fig. 3).
Fig. 3. Conceptual diagram of transfer learning.
2.3 모형 구성
본 연구에서는 상류 DG 지점을 source domain, 하류 CG 지점을 target domain으로 설정하여, 전이 학습을 통한 모형 성능 개선
가능성을 평가하였다. 전이 학습 모형(Model 1)을 구축하기 위해, DG 지점에서 2014년 1월 1일부터 2022년 12월 31일까지 측정된
일일 자료를 활용하여 사전 학습을 수행하고, 그 결과를 CG 지점의 학습시 미세조정(fine-tuning)에 적용하였다. 예측 대상인 CG 지점의
학습에는 2021년 1월 1일부터 2022년 12월 31일까지의 일일 측정자료를 활용하였다.
전이 학습의 효과를 평가하기 위해, 2021년 1월 1일부터 2022년 12월 31일간 측정된 CG 지점의 측정자료만을 이용하여 전이 학습 없이 학습된
모형(Model 2)을 별도로 구축하였다. 전이 학습을 적용한 Model 1과 적용하지 않은 Model 2의 성능을 비교하기 위해 모형의 학습에 활용하지
않은 2023년 1월 1일부터 2024년 12월 31일까지 CG 지점에서 측정된 자료를 활용하여 각 모형의 성능을 평가(testing)하였다. 모형의
학습을 위해 현장 수질 항목인 수온(TEMP), pH (PH), 전기전도도(EC), DO, 탁도(TURB) 및 Chl-a (CHLA)를 활용하였으며,
t+1 시점의 CHLA를 예측 대상인 종속변수로 사용하였다. Model 1의 사전 학습과 미세조정, 그리고 Model 2의 학습을 통한 최적화는 Python
open-source library인 Optuna를 사용하여 수행하였으며, 각각의 최적화에 활용되는 데이터중 후반 20%는 최적화를 위한 검증(validation)에
사용하였다(Akiba et al., 2019).
딥러닝 모형은 과거 시계열 자료의 패턴을 학습하여 미래 값을 예측하며, 이를 위해 입력 자료에 포함되는 과거 시점의 수를 다양하게 설정할 수 있다(Chen et al., 2021; Zivot and Wang, 2006). 본 연구에서도 현시점 t부터 지정된 과거 시점까지의 자료를 사용하는 시계열 입력 구조를 설정하였다. LSTM 모형의 경우 입력 자료에 포함되는
과거 시점의 수를 나타내는 sequence length (Seq)를 1, 3, 5, 7, 9로 구성하였으며, CNN의 경우에는 커널 크기를 고려하여
입력 Seq을 3, 5, 7, 9로 설정하였다. 예를 들어, Seq가 3인 경우, 모형은 t–2, t–1, t 시점의 입력 자료를 이용하여 t+1
시점의 값을 예측하도록 학습된다.
현장 측정자료(raw data)의 시계열 분포 및 모형 구축 개념도를 Fig. 4에 제시하였다. 본 연구에 사용된 raw data는 각각 약 9% 및 15%의 결측치를 포함하고 있다. 모형의 성능 평가(testing)시 보간에
따른 영향을 배제하기 위해 평가에 사용된 2023년부터 2024년의 자료의 경우 7일 이상의 결측이 있는 구간의 자료는 분석에서 제외하였으며, 이후
선형 보간을 통해 결측값에 대한 보간을 수행하였다. 결측치 보간후 실제 모형의 구축에 사용된 자료의 기초 통계값은 Table 1과 같다. DG와 CG 지점의 평균 기온은 각각 16.2℃와 16.8℃였으며 최대 기온이 33℃ 정도로 유사한 수온 조건을 가지고 있으며, 예측 대상인
CHLA 농도의 평균 농도도 각각 18.6 mg/m3 및 17.6 mg/m3로 유사한 수준을 보였다. 또한 전이 학습의 source domain인 상류 DC 지점의 최대 조류 농도는 106.8 mg/m3로 target domain인 CG 지점의 68.7 mg/m3보다 높았으며, 시기별로 차이는 있으나 DG 지점의 CHLA 최대값은 CG 지점보다 다소 높거나 유사한 수준으로 전이 학습의 적용을 통해 조류 농도가
높은 상황 등에 대한 사전 학습 효과 등을 기대할 수 있는 조건을 확인할 수 있었다.
본 연구의 전이 학습 구현을 위한 모형의 구축, 데이터 분석, 보간, 시각화 등은 Pytorch, Numpy, Pandas, Scikit-learn,
및 Matplotlib 등 Python open source library를 활용하였다(Harris et al., 2020; Hunter, 2007; McKinney, 2010; Paszke et al., 2019; Pedregosa et al., 2011).
Fig. 4. Time series distribution of CHLA in the raw dataset used for model development.
Table 1 Basic statistics of the data used for model development.
|
Water quality parameter
|
DC (2014–2022, 3,287 data points)
|
CG (2021–2024, 1,324 data points)
|
|
Average
|
Standard deviation
|
Min
|
Max
|
Average
|
Standard deviation
|
Min
|
Max
|
|
TEMP (℃)
|
16.2
|
9.0
|
1.7
|
33.5
|
16.8
|
8.8
|
1.5
|
32.8
|
|
PH
|
8.0
|
0.6
|
6.2
|
9.5
|
7.7
|
0.6
|
6.0
|
9.3
|
|
EC (μS/cm)
|
242.5
|
37.9
|
113.0
|
372.0
|
312.4
|
82.2
|
131.0
|
602.0
|
|
DO (mg/L)
|
10.4
|
2.4
|
4.3
|
18.6
|
10.1
|
2.1
|
5.4
|
16.2
|
|
TURB (NTU)
|
7.8
|
11.3
|
0.3
|
163.4
|
8.1
|
9.4
|
0.5
|
86.9
|
|
CHLA (mg/m3)
|
18.6
|
12.9
|
0.5
|
106.8
|
17.6
|
11.3
|
0.5
|
68.7
|
2.4 성능평가
구축된 모형 성능의 정량 평가를 위해 root mean squared error (RMSE), Nash-sutcliffe efficiency (NSE)
및 RMSE-to-standard deviation ratio (RSR)의 3개 지표를 활용하였다(Eq. 5–7).
평가 지표에서 $y_{o,\: t}$와 $y_{m,\: t}$는 각각 해당 시점 t에서의 실측값과 모형의 예측값을 나타내며, n은 평가에 사용된 측정값의
수를 의미한다. NSE은 -∞에서 1, RMSE는 0에서 ∞의 값을 가질 수 있으며 NSE는 1에 가까울수록, RMSE는 0에 가까울수록 모형의 성능이
우수함을 의미한다. RSR은 0에서 ∞의 값을 가지며 0에 가까울수록 모형의 성능이 좋은 것을 나타내며 RSR ≤ 0.7인 경우 모형이 실측값을 만족스러운
수준으로 예측한 것으로 판단할 수 있다(Bennett et al., 2013, Moriasi et al., 2007).
3. Results and Discussion
3.1 전이 학습 적용에 따른 모형 성능 비교
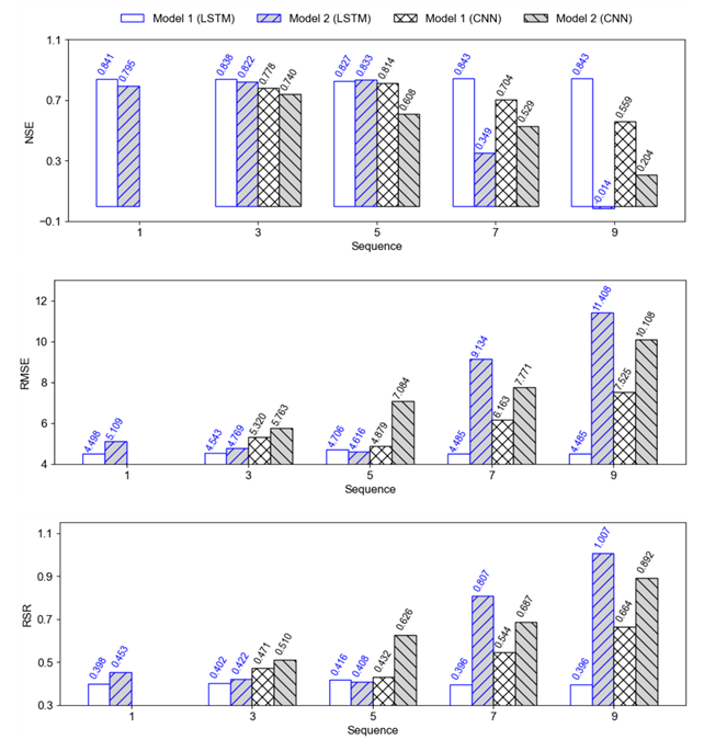
전이 학습 적용에 따른 모형 성능 변화 분석 결과 모형 종류 및 입력 자료의 Seq에 따라 차이가 있으나 전체적으로 전이 학습을 적용함에 따라 모형의
성능이 향상되는 것으로 나타났으며, 전이 학습을 적용한 LSTM 모형인 Model 1(LSTM)이 Seq 7 및 9인 경우 NSE 0.843으로 가장
좋은 성능을 보이는 것으로 확인되었다 (Fig. 5). 반면 해당 Seq에서 전이 학습을 사용하지 않은 Model 2의 NSE는 Seq 7 및 9에서 각각 0.349 및 –0.014로 성능이 현저하게
저하되는 것을 확인할 수 있었다. 1D CNN의 경우 Seq가 5인 경우 Model 1의 NSE가 0.814로 가장 좋은 성능을 보였으며, 해당 Seq에서
Model 2의 NSE는 0.608로 성능 차이가 크게 나타났다. LSTM의 경우 Seq가 5인 경우에는 Model 1과 Model 2의 NSE가
각각 0.827 및 0.833으로 전이 학습을 적용한 경우에 오히려 모형의 성능이 다소 저하되는 경향을 보였으나, 1D CNN의 경우 모든 Seq에서
Model 1의 성능이 Model 2보다 우수함을 확인할 수 있었다. 이러한 경향은 다른 성능 평가 지표인 RMSE 및 RSR에서도 일관되게 확인되었다.
모형별로는 1D CNN 모형의 경우 Model 1 및 2 모두 Seq 3 및 5에 비해 7 및 9로 Seq가 커짐에 따라 성능이 저하되는 경향을 확인할
수 있었다. 반면 LSTM 모형의 경우 전이 학습을 적용하지 않은 Model 2의 경우 Seq가 7 및 9로 증가하는 경우 성능의 저하가 크게 나타나는
경향을 보였으나 전이 학습을 적용한 Model 1의 경우 NSE 0.827–0.843, RMSE 4.485–4.706, RSR 0.396–0.416으로
분석되어 상대적으로 Seq별 성능 차이가 크지 않고 모형이 안정적인 성능을 보이는 것을 확인할 수 있었다(Fig. 5).
이러한 경향은 testing 자료에 대한 LSTM과 1D CNN 모형의 실측값(observed)과 모형 예측값의 시계열 자료를 비교한 Fig. 6 및 7에서도 확인할 수 있다. LSTM의 경우 전이 학습을 적용한 Model 1은 전체적으로 실측값을 잘 예측하는 경향을 보이나 전이 학습을 적용하지
않은 Model 2는 Seq 7 및 9에서 실측값과 모형 예측값이 큰 차이를 보이는 것을 알 수 있다. 1D CNN이 경우 모든 Seq에서 Model
1이 Model 2에 비해 실측값을 잘 예측하는 것을 볼 수 있다.
Fig. 5. Comparison of model evaluation results.
Fig. 6. Comparison of observed values and predictions from the LSTM model.
3.2 사전 학습 기간에 따른 성능 영향 분석
본 연구에서는 상류 DG 지점에서 2014–2022년의 9년간 측정된 자료로 사전 학습된 결과를 적용하여 Model 1을 구축하고 전이 학습의 적용에
따른 딥러닝 모형 성능 변화를 비교하였다. 이러한 전이 학습에 적용한 사전 학습 기간에 따른 모형 성능을 비교하기 위해 상대적으로 안정적인 성능을
보인 LSTM 모형에 대하여 상류 DG 지점의 사전 학습 기간을 8년(2015–2022년), 6년(2017–2022년), 4년 (2019–2022),
2년(2021–2022)으로 줄여서 각각 CG 지점의 fine-tuning에 적용하여 Model 1 (8yr), Model 1 (6yr), Model
1 (4yr) 및 Model 1 (2yr)를 구축하고 성능 차이를 비교하였다. LSTM의 경우 Seq 7 이후에는 전이 학습을 적용하지 않은 Model
2의 성능이 급격히 저하되는 것을 고려하여 비교 대상인 Model 2가 안정적인 성능을 유지하는 Seq 1–5에 대해서 분석을 수행하였다.
일반적으로 학습 데이터가 많을수록 다양한 패턴을 학습할 수 있어 성능 향상에 도움이 될 수 있으나, 데이터의 대표성 부족이나 과적합 등 여러 요인이
영향을 줄 수 있어 항상 좋은 성능을 보장하는 것은 아니며, 데이터의 특성에 따라 결과가 달라질 수 있다(Ngiam et al., 2018). 본 연구의 분석 결과 Seq 1의 경우 전체 자료를 사전 학습에 적용한 Model 1이 NSE 0.841로 가장 우수한 성능을 보였으며, 사전
학습 기간이 8년, 6년, 4년, 2년으로 감소 함에 따라 각각 NSE가 0.829, 0.835, 0.817, 0.819로 분석되어, 학습 기간에
정비례하지는 않지만 사전 학습 기간이 짧아짐에 따라 성능 개선 정도가 감소하는 경향을 볼 수 있었다(Fig. 8). 또한 2년의 상대적으로 짧은 사전 학습 기간을 적용한 경우에도 사전 학습을 적용하지 않은 Model 2의 0.795에 비해 뚜렷한 성능 개선
효과를 확인할 수 있었다. Seq 3인 경우 사전 학습 기간이 6년인 Model 1 (6yr)의 NSE가 0.837로 가장 우수한 성능을 보이고,
Seq 5인 경우 Model 1 (8yr)이 NSE 0.853으로 가장 우수한 성능을 보여 사전 학습 기간이 긴 모형이 항상 좋은 성능을 보이는 것은
아님을 확인할 수 있었다.
다양한 사전 학습 기간 및 Seq에 따른 모형 성능 변화의 분석결과 사전 학습 기간에 따른 증감은 있으나, 사전 학습 기간이 6–9년으로 긴 경우
2-4년으로 상대적으로 짧은 경우에 비해 우수한 성능을 보이는 경향을 볼 수 있었다.
Fig. 7. Comparison of observed values and predictions from the 1D CNN model.
Fig. 8. Effect of the pre-training period on model performance.
3.3 전이 학습 활용성 확대 방향 고찰
일반적으로 머신러닝 모형의 성능을 높이기 위해서는 대상 유역의 특성을 반영할 수 있는 충분한 자료의 확보가 중요하다. 예를 들어 조류 발생이 심화되는
경우에 대한 예측 성능을 높이기 위해서는 발생이 심화되는 기간에 대한 충분한 자료를 이용한 학습이 필요하다. 하지만 실제 현장에서는 대상 유역 및
분석 기간에 따라 이러한 극한 상황에 대한 자료가 충분하지 않은 데이터 불균형이 심한 경우가 많이 있으며(Kim et al., 2025), 상류의 수질이 하류의 수질에 영향을 미치는 유역환경의 특성상 대상유역의 자료만으로는 예측을 위해 필요한 모든 정보를 확보하기 어려울 수도 있다.
전이 학습은 source domain으로부터 사전 학습된 다양한 환경 정보를 반영하여 대상 target 유역의 학습 효과를 향상시킬 수 있으며, 데이터가
상대적으로 부족한 경우에도 머신러닝의 적용 효율을 높여 머신러닝의 현장 활용성을 높이는데 기여할 수 있을 것으로 판단된다(Pan and Yang, 2009; Weiss et al., 2016).
본 연구에서는 시계열 분석에 널리 사용되는 대표적인 딥러닝 모형인 LSTM과 1D CNN을 이용하여, 다양한 입력 Seq 조건에서 전이 학습의 활용에
따른 모형 성능 변화를 비교하였으며, 이를 통해 데이터 확보가 제한적인 하천 현장 관리 등에 전이 학습 모형을 적용함으로써 모형의 성능 향상이 가능함을
확인하였다. 또한 수온, pH, DO 등 비교적 측정이 용이한 센서 기반 항목을 중심으로 모형을 구축하였으며, 이러한 제한적인 변수만으로도 안정적인
성능 확보가 가능함을 보여주었다. 데이터 기반 모형의 특성상, 모형의 성능은 입력 자료의 특성에 다양한 영향을 받기 때문에 복잡한 모형을 사용하는
것이 항상 더 우수한 성능을 보장하지는 않는다(Park et al., 2024). 또한 현장 데이터 취득에 많은 시간과 비용이 소요되는 수질 자료의 특성을 고려할 때, 모형 구축에 필요한 변수를 간소화함으로써 머신러닝 기반 모형의
현장 실무 적용 효율성을 높일 수 있다.
본 연구의 분석 결과를 통해 전이 학습을 물환경 관리 분야에 적용할 수 있는 가능성을 확인하였다. 본 연구에서 제시된 결과와 모형의 최적화 조건 등은
분석에 사용된 현장 측정 데이터의 특성이 반영된 것으로 이를 다른 지역이나 시기의 자료에 대하여 일관되게 적용하는 것은 한계가 있으며, 이는 데이터
기반 모형인 머신러닝 모형의 중요한 특징 중 하나이다. 향후 다양한 유역에서 데이터를 취득하고 대상 유역의 환경 특성을 고려한 입력 자료 구성 및
적정 모형의 선정을 통한 지속적인 연구를 통해 머신러닝 기술의 현장 적용 확대를 통한 물환경 관리 효율 향상에 기여할 수 있을 것으로 생각된다.
4. Conclusion
본 연구에서는 전이 학습의 적용이 하천 조류 발생 예측 머신러닝 모형의 성능에 미치는 영향을 분석하였다. 이를 위해 시계열 분석에 널리 활용되는 대표적인
딥러닝 모형인 LSTM과 1D CNN을 활용하여 모형을 구축하고, 상류 지점의 사전 학습 결과를 예측 대상 지점 모형의 학습에 적용하였다. 모형의
구축을 위해 LSTM 및 1D CNN의 입력 자료 Seq를 각각 1, 3, 5, 7, 9 및 3, 5, 7, 9로 적용하였다.
전이 학습의 적용을 위해 source domain인 상류 지점에서 2014–2022년 9년간 측정된 자료로 사전 학습을 수행한 결과를 예측 대상인
target domain의 학습 시 fine-tuning에 적용하였다. 예측 대상 지점에 대해서는 2021–2022년의 자료로 학습을 수행하고, 2023–2024년의
자료를 모형의 성능 평가에 활용하였으며, 동일한 기간의 자료를 사용하여 사전 학습 모형을 적용하지 않은 별도의 모형을 구축하여 전이 학습의 적용 효과를
비교하였다.
분석 결과 입력 자료의 Seq 및 모형의 종류에 따라 차이는 있으나 전이 학습의 적용에 따른 딥러닝 모형의 성능 향상이 가능함을 확인하였다. 또한
전이 학습의 사전 학습 기간이 모형의 성능에 미치는 영향을 분석한 결과 6–9년의 긴 사전 학습 기간을 적용한 경우 2–4년으로 짧은 사전 학습 기간을
적용한 경우에 비해 우수한 성능을 보이는 것을 알 수 있었다.
본 연구의 결과는 분석에 사용한 데이터의 특성이 반영된 것이며, 향후 보다 다양한 지점 및 기간에서 측정된 데이터를 활용한 지속적인 연구로 전이 학습을
이용하여 데이터가 제한적인 현장 등에서 머신러닝 모형의 활용성을 향상시켜 현장 수질관리 효율을 높일 수 있을 것으로 판단된다.
Acknowledgement
이 논문은 2024학년도 국립한밭대학교 대학회계 연구비를 지원받아 작성되었습니다.
References
Akiba, T., Sano, S., Yanase, T., Ohta, T., and Koyama, M. (2019). Optuna: A next-generation
hyperparameter optimization framework, In Proceedings of the 25th ACM SIGKDD International
Conference on Knowledge Discovery and Data Mining, 2623–2631. https://doi.org/10.1145/3292500.333070

Aytar, Y. and Zisserman, A. (2011). Tabula rasa: Model transfer for object category
detection, 2011 International Conference on Computer Vision, Barcelona, 2252-2259.
https://doi.org/10.1109/ICCV.2011.6126504

Ben-David, S., Blitzer, J., Crammer, K., Kulesza, A., Pereira, F., and Vaughan, J.
W. (2010). A theory of learning from different domains, Machine Learning, 79(1), 151-175.
https://doi.org/10.1007/s10994-009-5152-4

Bennett, N. D., Croke, B. F. W., Guariso, G., Guillaume, J. H. A., Hamilton, S. H.,
Jakeman, A. J., Marsili-Libelli, S., Newham, L. T. H., Norton, J., Perrin, C., Pierce,
S. A., Robson, B., Seppelt, R., Voinov, A., Fath, B. D., and Andreassian, V. (2013).
Characterising performance of environmental models, Environmental Modelling & Software,
40, 1-20. https://doi.org/10.1016/j.envsoft.2012.09.011

Chen, Z., Xu, H., Jiang, P., Yu, S., Lin, G., Bychkov, I., Hmelnov, A., Ruzhnikov,
G., Zhu, N., and Liu, Z. (2021). A transfer learning-based LSTM strategy for imputing
large-scale consecutive missing data and its application in a water quality prediction
system, Journal of Hydrology, 602, 126573. https://doi.org/10.1016/j.jhydrol.2021.126573

Fan, D., He, H., Wang, R., Zeng, Y., Fu, B., Xiong, Y., Liu, L., Xu, Y., and Gao,
E. (2022). CHLNET: A novel hybrid 1D CNN-SVR algorithm for estimating ocean surface
chlorophyll-a, Frontiers in Marine Science, 9, 934536. https://doi.org/10.3389/fmars.2022.934536

Feng, L., Wang, Y., Hou, X., Qin, B., Kutser, T., Qu, F., Chen, N., Paerl, H. W.,
and Zheng, C. (2024). Harmful algal blooms in inland waters, Nature Reviews Earth
and Environment, 5(9), 631-644. https://doi.org/10.1038/s43017-024-00578-2

Gholizade, M., Soltanizadeh, H., Rahmanimanesh, M., and Sana, S. S. (2025). A review
of recent advances and strategies in transfer learning, International Journal of System
Assurance Engineering and Management, 16, 1123-1621. https://doi.org/10.1007/s13198-024-02684-2

Goodfellow, I., Bengio, Y., and Courville, A. (2016). Deep learning, MIT Press, chapter
9.1, 327.

Greff, K., Srivastava, R. K., Koutník, J., Steunebrink, B. R., and Schmidhuber, J.
(2016). LSTM: A search space odyssey, IEEE Transactions on Neural Networks and Learning
Systems, 28(10), 2222–2232. https://doi.org/10.1109/TNNLS.2016.2582924

Harris, C. R., Millman, K. J., Van Der Walt, S. J., Gommers, R., Virtanen, P., Cournapeau,
D., Wieser, E., Taylor, J., Berg, S., Smith, N. J., Kern, R., Picus, M., Hoyer, S.,
van Kerkwijk, M. H., Brett, M., Haldane, A., Fernández del Río, J., Wiebe, M., Peterson,
P., Gérard-Marchant, P., Sheppard, K., Reddy, T., Weckesser, W., Abbasi, H., Gohlke,
C., and Oliphant, T. E. (2020). Array programming with NumPy, Nature, 585(7825), 357-362.
https://doi.org/10.1038/s41586-020-2649-2

Hochreiter, S. and Schmidhuber, J. (1997). Long short-term memory, Neural Computation,
9(8), 1735–1780. https://doi.org/10.1162/neco.1997.9.8.1735

Hunter, J. D. (2007). Matplotlib: A 2D graphics environment, Computing in Science
and Engineering, 9(3), 90-95. https://doi.org/10.1109/MCSE.2007.55

Kim, H. E., Cosa-Linan, A., Santhanam, N., Jannesari, M., Maros, M. E., and Ganslandt,
T. (2022). Transfer learning for medical image classification: A literature review,
BMC Medical Imaging, 22(1), 69. https://doi.org/10.1186/s12880-022-00793-7

Kim, J., Lee, W. H., and Park, J. (2025). Improvement of deep learning model performance
for algal bloom prediction by resolving data imbalance in field observations, Environmental
Earth Sciences, 84(14), 1-16. https://doi.org/10.1007/s12665-025-12420-z

Kiranyaz, S., Avci, O., Abdeljaber, O., Ince, T., Gabbouj, M., and Inman, D. J. (2021).
1D convolutional neural networks and applications: A survey, Mechanical Systems and
Signal Processing, 151, 107398. https://doi.org/10.1016/j.ymssp.2020.107398

Kiranyaz, S., Ince, T., and Gabbouj, M. (2015). Real-time patient-specific ECG classification
by 1-D convolutional neural networks, IEEE Transactions on Biomedical Engineering,
63(3), 664–675. https://doi.org/10.1109/TBME.2015.2468589

McDowell, R. W., Luo, D., Pletnyakov, P., Upsdell, M., and Dodds, W. K. (2025). Anthropogenic
nutrient inputs cause excessive algal growth for nearly half the world's population,
Nature Communications, 16(1), 1830. https://doi.org/10.1038/s41467-025-57054-8

McKinney, W. (2010). Data structures for statistical computing in Python, Proceedings
of the 9th Python in Science Conference, Austin, 445(1), 51-56. https://doi.org/10.25080/Majora-92bf1922-00a

Ministry of Environment (ME). (2023). Annual report on algal bloom occurrence and
response, Ministry of Environment, Republic of Korea.

Moriasi, D. N., Arnold, J. G., Van Liew, M. W., Bingner, R. L., Harmel, R. D., and
Veith, T. L. (2007). Model evaluation guidelines for systematic quantification of
accuracy in watershed simulations, Transactions of the ASABE, 50(3), 885-900. https://doi.org/10.13031/2013.23153

Nakdong River Basin Management Commission (NRMC). (2023). Master plan for water management
in the nakdong river basin (2021–2030), Nakdong River Basin Management Commission,
Report No. 11-1480000-001901-14.

National Institute of Environmental Research (NIER). (2020). Manual for operating
the algae warning system, National Institute of Environmental Research, Incheon, Republic
of Korea.

National Institute of Environmental Research (NIER). (2025). Water Environment Information
System (WEIS), https://water.nier.go.kr (last accessed July 30, 2025)

Ngiam, J., Peng, D., Vasudevan, V., Kornblith, S., Le, Q. V., and Pang, R. (2018).
Domain adaptive transfer learning with specialist models, arXiv preprint arXiv:1811.07056.
https://doi.org/10.48550/arXiv.1811.07056

Ni, J., Liu, R., Li, Y., Tang, G., and Shi, P. (2022). An improved transfer learning
model for cyanobacterial bloom concentration prediction, Water, 14(8), 1300. https://doi.org/10.3390/w14081300

Olah, C. (2015). Understanding LSTM networks, https://colah.github.io/posts/2015-08-Understanding-LSTMs/
(last accessed July 20, 2025).

Pan, S. J. and Yang, Q. (2009). A survey on transfer learning, IEEE Transactions on
Knowledge and Data Engineering, 22(10), 1345–1359. https://doi.org/10.1109/TKDE.2009.191

Park, J., Patel, K., and Lee, W. H. (2024). Recent advances in algal bloom detection
and prediction technology using machine learning, Science of The Total Environment,
938, 173546. https://doi.org/10.1016/j.scitotenv.2024.173546

Paszke, A., Gross, S., Massa, F., Lerer, A., Bradbury, J., Chanan, G., Killeen, T.,
Lin, Z., Gimelshein, N., Antiga, L., Desmaison, A., Köpf, A., Yang, E., DeVito, Z.,
Raison, M., Tejani, A., Chilamkurthy, S., Steiner, B., Fang, L., Bai, J., and Chintala,
S. (2019). PyTorch: An imperative style, high-performance deep learning library, Advances
in Neural Information Processing Systems, 32, 8024-8035. https://doi.org/10.48550/arXiv.1912.01703

Pedregosa, F., Varoquaux, G., Gramfort, A., Michel, V., Thirion, B., Grisel, O., Blondel,
M., Prettenhofer, P., Weiss, R., and Dubourg, V. (2011). Scikit-learn: Machine learning
in Python, Journal of Machine Learning Research, 12, 2825-2830.

Sheik, A. G., Kumar, A., Patnaik, R., Kumari, S., and Bux, F. (2024). Machine learning-based
design and monitoring of algae blooms: Recent trends and future perspectives – A short
review, Critical Reviews in Environmental Science and Technology, 54(7), 509–532.
https://doi.org/10.3390/hydrology12060130

Staudemeyer, R. C. and Morris, E. R. (2019). Understanding LSTM–a tutorial into long
short-term memory recurrent neural networks, arXiv, preprint. https://doi.org/10.48550/arXiv.1909.09586

Su, Y. C., Chiu, T. H., Yeh, C. Y., Huang, H. F., and Hsu, W. H. (2014). Transfer
learning for video recognition with scarce training data for deep convolutional neural
network. arXiv, preprint. https://doi.org/10.48550/arXiv.1409.4127

Wai, K. P., Koo, C. H., Huang, Y. F., Chong, W. C., El-Shafie, A., Sherif, M., and
Ahmed, A. N. (2025). A practical temporal transfer learning model for multi-step water
quality index forecasting using A CNN-coupled dual-path LSTM network, Journal of Hydrology:
Regional Studies, 60, 102553. https://doi.org/10.1016/j.ejrh.2025.102553

Weiss, K., Khoshgoftaar, T. M., and Wang, D. (2016). A survey of transfer learning,
Journal of Big Data, 3(1), 9. https://doi.org/10.1186/s40537-016-0043-6

Zhang, A., Lipton, Z. C., Li, M., and Smola, A. J. (2023). Dive into deep learning,
Cambridge University Press. https://d2l.ai/chapter_recurrent-modern/lstm.html

Zivot, E., and Wang, J. (2006). Modeling financial time series with S-Plus®, Springer,
New York, NY.
