• ๋Œ€ํ•œ์ „๊ธฐํ•™ํšŒ
Mobile QR Code QR CODE : The Transactions of the Korean Institute of Electrical Engineers
  • COPE
  • kcse
  • ํ•œ๊ตญ๊ณผํ•™๊ธฐ์ˆ ๋‹จ์ฒด์ด์—ฐํ•ฉํšŒ
  • ํ•œ๊ตญํ•™์ˆ ์ง€์ธ์šฉ์ƒ‰์ธ
  • Scopus
  • crossref
  • orcid

  1. (Department of Electrical, Electronic and Computer Engineering, University of Ulsan, Republic of Korea.)



Finite element analysis, Genetic algorithm, Robust design, Surrogate model, Washing machine

1. ์„œ ๋ก 

ํ˜„๋Œ€ ์‚ฌํšŒ์—์„œ ์ „๊ธฐ์žฅ์น˜ ๋ฐ ์ œ์–ด ๊ธฐ์ˆ ์˜ ๋ฐœ์ „์— ๋”ฐ๋ผ, ๋†’์€ ํ† ํฌ ๋ฐ€๋„์™€ ์šฐ์ˆ˜ํ•œ ํšจ์œจ์„ ๊ฐ–์ถ˜ ๋งค์ž…ํ˜• ์˜๊ตฌ์ž์„ ๋™๊ธฐ ์ „๋™๊ธฐ(Interior Permanent Magnet Synchronous Motor, IPMSM)๋Š” ์‚ฐ์—… ์„ค๋น„๋ถ€ํ„ฐ ๊ฐ€์ „์ œํ’ˆ์— ์ด๋ฅด๊ธฐ๊นŒ์ง€ ๋‹ค์–‘ํ•œ ์‘์šฉ ๋ถ„์•ผ์—์„œ ๋„๋ฆฌ ์‚ฌ์šฉ๋˜๊ณ  ์žˆ๋‹ค[1]. ํŠนํžˆ ๊ฐ€์ „์ œํ’ˆ ์ค‘ ์„ธํƒ๊ธฐ ๊ตฌ๋™์šฉ ์ „๋™๊ธฐ๋Š” ์—๋„ˆ์ง€ ํšจ์œจ ํ–ฅ์ƒ์„ ์œ„ํ•ด ์ง์ ‘ ๊ตฌ๋™(Direct Drive) ์‹œ์Šคํ…œ์ด ์ ์šฉ๋˜๋ฉฐ, ์ด ์‹œ์Šคํ…œ์—์„œ๋Š” ์ „๋™๊ธฐ์—์„œ ๋ฐœ์ƒํ•œ ์ง„๋™์ด ๋ถ€ํ•˜์— ์ง์ ‘ ์ „๋‹ฌ๋˜๋ฏ€๋กœ ํ† ํฌ ๋ฆฌํ”Œ ์ €๊ฐ์ด ๋งค์šฐ ์ค‘์š”ํ•œ ์„ค๊ณ„ ์š”์†Œ๋กœ ์ž‘์šฉํ•œ๋‹ค[2].

๊ธฐ์กด ์ „๋™๊ธฐ ์„ค๊ณ„์—์„œ๋Š” ํ† ํฌ ๋ฆฌํ”Œ ์ €๊ฐ์„ ์œ„ํ•ด ์ด์ƒ์ ์ธ ์กฐ๊ฑด์„ ๊ธฐ์ค€์œผ๋กœ ๊ตฌ์กฐ์  ์„ค๊ณ„ ๋ณ€์ˆ˜์˜ ์ตœ์ ํ™”๊ฐ€ ์ˆ˜ํ–‰ ๋˜์–ด์™”๋‹ค[3,4]. ๊ทธ๋Ÿฌ๋‚˜ ์‹ค์ œ ์ œ์ž‘ ๊ณผ์ •์—์„œ ์ œ์ž‘ ๊ณต์ฐจ ๋ฐ ์กฐ๋ฆฝ ๊ณต์ฐจ์™€ ๊ฐ™์€ ๋‹ค์–‘ํ•œ ๋ถˆํ™•์‹ค์„ฑ์œผ๋กœ ์ธํ•ด ์ด์ƒ์ ์ธ ์กฐ๊ฑด์—์„œ ์„ค๊ณ„๋ฅผ ์ˆ˜ํ–‰ํ•œ ์ „๋™๊ธฐ์˜ ์„ฑ๋Šฅ๊ณผ ์‹ค์ œ ์ œ์ž‘๋œ ์ „๋™๊ธฐ์˜ ์„ฑ๋Šฅ ์‚ฌ์ด์— ์ฐจ์ด๊ฐ€ ๋ฐœ์ƒํ•  ์ˆ˜ ์žˆ๋‹ค[5].

์ด๋Ÿฌํ•œ ๋ถˆํ™•์‹ค์„ฑ์œผ๋กœ ์ธํ•œ ์„ฑ๋Šฅ ์ €ํ•˜๋ฅผ ๋ฐฉ์ง€ํ•˜๊ธฐ ์œ„ํ•ด์„œ ๊ณต์ฐจ๋ฅผ ๊ณ ๋ คํ•œ ๊ฐ•๊ฑด์„ค๊ณ„๊ฐ€ ์š”๊ตฌ๋œ๋‹ค. ๊ฐ•๊ฑด์„ค๊ณ„๋Š” ์ด์ƒ์ ์ธ ์„ค๊ณ„์•ˆ ์ฃผ๋ณ€์˜ ๊ณต์ฐจ ์‚ฐํฌ ๋ฒ”์œ„ ๋‚ด์—์„œ ๊ตฌ์กฐ์  ์„ค๊ณ„ ๋ณ€์ˆ˜๋ฅผ ๋ณ€ํ™”์‹œ์ผœ ์ด์— ๋”ฐ๋ฅธ ์ „์ž๊ณ„ ์„ฑ๋Šฅ ๋ณ€ํ™”๋ฅผ ์„ค๊ณ„ ๋‹จ๊ณ„์—์„œ ๊ณ ๋ คํ•œ๋‹ค. ํ•œ ๊ฐœ์˜ ์„ค๊ณ„์•ˆ์— ๋Œ€ํ•œ ๊ฐ•๊ฑด์„ฑ ํ‰๊ฐ€๋ฅผ ์ˆ˜ํ–‰ํ•˜๊ธฐ ์œ„ํ•ด์„œ ์ˆ˜๋งŽ์€ ์œ ํ•œ ์š”์†Œ ํ•ด์„(Finite Element Analysis, FEA)์ด ํ•„์š”ํ•˜๋ฉฐ, ์ด์— ๋”ฐ๋ผ ๋ง‰๋Œ€ํ•œ ํ•ด์„ ์‹œ๊ฐ„์ด ์†Œ์š”๋˜๋Š” ๋ฌธ์ œ๊ฐ€ ๋ฐœ์ƒํ•œ๋‹ค[6].

์ด ๋ฌธ์ œ๋ฅผ ํ•ด๊ฒฐํ•˜๊ธฐ ์œ„ํ•ด ์ตœ๊ทผ์—๋Š” ๋Œ€๋ฆฌ๋ชจ๋ธ(Surrogate Model)์„ ํ™œ์šฉํ•˜์—ฌ ๊ฐ•๊ฑด์„ฑ ํ‰๊ฐ€์˜ ํ•ด์„ ์‹œ๊ฐ„ ๋ถ€๋‹ด์„ ์ค„์ด๋Š” ์—ฐ๊ตฌ๊ฐ€ ์ง„ํ–‰๋˜๊ณ  ์žˆ๋‹ค[7,8]. ํ•˜์ง€๋งŒ ๋Œ€๋ฆฌ๋ชจ๋ธ์˜ ์˜ˆ์ธก ์„ฑ๋Šฅ์ด ๋–จ์–ด์ง„๋‹ค๋ฉด, ๊ฐ•๊ฑด์„ฑ ํ‰๊ฐ€์˜ ์‹ ๋ขฐ๋„๊ฐ€ ๋–จ์–ด์ง€๋Š” ๋ฌธ์ œ๊ฐ€ ๋ฐœ์ƒํ•œ๋‹ค. ๋”ฐ๋ผ์„œ ๋ณธ ๋…ผ๋ฌธ์—์„œ๋Š” ๊ฐ•๊ฑด์„ค๊ณ„ ์‹œ์— ๋Œ€๋ฆฌ๋ชจ๋ธ์˜ ์˜ˆ์ธก ์„ฑ๋Šฅ ํ–ฅ์ƒ์„ ์œ„ํ•ด์„œ ์œ ์ „ ์•Œ๊ณ ๋ฆฌ์ฆ˜(Genetic algorithm, GA)๊ณผ ๊ธฐ๊ณ„ํ•™์Šต ๊ธฐ๋ฐ˜์˜ ๋Œ€๋ฆฌ๋ชจ๋ธ์„ ํ™œ์šฉํ•˜๋Š” ๊ธฐ๋ฒ•์„ ์ œ์•ˆํ•œ๋‹ค.

๋ณธ ๋…ผ๋ฌธ์—์„œ ์ œ์•ˆํ•œ ๊ธฐ๋ฒ•์„ ํ†ตํ•ด์„œ ์„ธํƒ๊ธฐ์šฉ ์ง์ ‘ ๊ตฌ๋™ ์‹œ์Šคํ…œ์— ์‚ฌ์šฉ๋˜๋Š” IPMSM์˜ ํ† ํฌ ๋ฆฌํ”Œ์˜ ์ €๊ฐ๊ณผ ์ œ์ž‘ ๊ณต์ฐจ์— ๋”ฐ๋ฅธ ํ‰๊ท  ํ† ํฌ ๋ฐ ํ† ํฌ ๋ฆฌํ”Œ์˜ ๋ณ€๋™์„ฑ ์ €๊ฐ์„ ๋™์‹œ์— ๋‹ฌ์„ฑํ•˜๋Š” ๊ฒƒ์„ ๋ชฉํ‘œ๋กœ ํ•œ๋‹ค.

2. ์ œ์•ˆํ•˜๋Š” ๊ฐ•๊ฑด์„ค๊ณ„ ๊ธฐ๋ฒ•

๋ณธ ๋…ผ๋ฌธ์—์„œ๋Š” ์ œ์ž‘ ๊ณต์ฐจ๋กœ ์ธํ•œ ์ „์ž๊ณ„ ์„ฑ๋Šฅ์˜ ๋ณ€๋™์„ ํšจ๊ณผ์ ์œผ๋กœ ๊ณ ๋ คํ•˜๊ธฐ ์œ„ํ•ด, ๊ธฐ๊ณ„ํ•™์Šต ๊ธฐ๋ฐ˜์˜ ๋Œ€๋ฆฌ๋ชจ๋ธ๊ณผ GA๋ฅผ ๊ฒฐํ•ฉํ•œ ๊ฐ•๊ฑด์„ค๊ณ„ ๊ธฐ๋ฒ•์„ ์ œ์•ˆํ•œ๋‹ค. ์ œ์•ˆ๋œ ๊ธฐ๋ฒ•์€ ์ดˆ๊ธฐ ์ƒ˜ํ”Œ๋ง, ๋ฌธ์ œ์˜์—ญ ์ถ•์†Œ๋ฅผ ํฌํ•จํ•œ Step 1์™€ ๋Œ€๋ฆฌ๋ชจ๋ธ ์—…๋ฐ์ดํŠธ ๋ฐ ์ตœ์ ํ•ด ํƒ์ƒ‰์„ ํฌํ•จํ•œ Step 2๋กœ ๊ตฌ์„ฑ๋˜๋ฉฐ, ์ „์ฒด์ ์ธ ์ˆ˜ํ–‰ ์ ˆ์ฐจ๋Š” ๊ทธ๋ฆผ 1์— ๋„์‹œ๋œ ์ˆœ์„œ๋„์™€ ๊ฐ™๋‹ค.

๊ทธ๋ฆผ 1. ์ œ์•ˆํ•˜๋Š” ๊ธฐ๋ฒ•์˜ ์ˆœ์„œ๋„

Fig. 1. Flow chart of proposed methodology

../../Resources/kiee/KIEE.2025.74.9.1513/fig1.png

2.1 ์ดˆ๊ธฐ ์ƒ˜ํ”Œ๋ง ๋ฐ ๋Œ€๋ฆฌ๋ชจ๋ธ ์ƒ์„ฑ

๋จผ์ € ์ตœ์ ํ™”๋ฅผ ์ˆ˜ํ–‰ํ•  ๊ตฌ์กฐ์  ์„ค๊ณ„ ๋ณ€์ˆ˜์˜ ์ข…๋ฅ˜์™€ ๊ฐ ๋ณ€์ˆ˜์˜ ๋ฌธ์ œ์˜์—ญ์„ ์ •์˜ํ•œ๋‹ค. ๋ณธ ๋…ผ๋ฌธ์—์„œ๋Š” ์ดˆ๊ธฐ ํ•ด์˜ ๊ท ์ผ์„ฑ๊ณผ ๋ฌด์ž‘์œ„์„ฑ์„ ํ™•๋ณดํ•ด ๋Œ€๋ฆฌ๋ชจ๋ธ์˜ ์˜ˆ์ธก ์„ฑ๋Šฅ ํ–ฅ์ƒ์„ ์œ„ํ•ด, Latin Hypercube Sampling(LHS)์„ ํ™œ์šฉํ•˜์˜€๋‹ค[9].

๊ฐ ์ดˆ๊ธฐ ํ•ด์— ๋Œ€ํ•ด์„œ FEA๋ฅผ ์ˆ˜ํ–‰ํ•˜์—ฌ ํ‰๊ท  ํ† ํฌ, ํ† ํฌ ๋ฆฌํ”Œ ๋“ฑ ์ฃผ์š” ์ „์ž๊ณ„ ์„ฑ๋Šฅ์„ ํ™•๋ณดํ•˜๊ณ , ํ•ด๋‹น ๋ฐ์ดํ„ฐ์™€ ๊ธฐ๊ณ„ํ•™์Šต์„ ํ†ตํ•ด ๋Œ€๋ฆฌ๋ชจ๋ธ์„ ๊ตฌ์ถ•ํ•œ๋‹ค. ์ด๋•Œ, ๋Œ€๋ฆฌ๋ชจ๋ธ์€ ๊ธฐ๊ณ„ํ•™์Šต ๊ธฐ๋ฒ• ์ค‘ Random Forest(RF)๋ฅผ ํ™œ์šฉํ•œ๋‹ค.

2.2 ๋ฌธ์ œ์˜์—ญ ์ถ•์†Œ

๊ฐ•๊ฑด์„ฑ ํ‰๊ฐ€๋ฅผ ์œ„ํ•ด์„œ๋Š” ์ด์ƒ์ ์ธ ์ง€์ ์—์„œ ๊ณต์ฐจ ์‚ฐํฌ์— ๋”ฐ๋ฅธ ์„ฑ๋Šฅ ๋ณ€ํ™”์˜ ๋ถ„์„์ด ํ•„์š”ํ•˜๋‹ค. ๊ทธ๋Ÿฌ๋‚˜ ๊ณต์ฐจ๋ฅผ ๊ณ ๋ คํ•œ ๊ตฌ์กฐ์  ์„ค๊ณ„ ๋ณ€์ˆ˜ ๋ณ€ํ™”๊ฐ€ ๊ทธ๋ฆผ 2(a)์™€ ๊ฐ™์ด ๋ฌธ์ œ์˜์—ญ ๊ฒฝ๊ณ„ ๋ฐ–์œผ๋กœ ํ™•์žฅ๋˜๋Š” ๊ฒฝ์šฐ, ํ•ด๋‹น ๋ถ€๋ถ„์—์„œ๋Š” ์ดˆ๊ธฐ ํ•ด๋ฅผ ๋„์ถœํ•˜์ง€ ์•Š์•˜๊ธฐ ๋•Œ๋ฌธ์—, ํ•ด๋‹น ๋ถ€๋ถ„์—์„œ์˜ ๋Œ€๋ฆฌ๋ชจ๋ธ์˜ ์˜ˆ์ธก ์„ฑ๋Šฅ์ด ๊ธ‰๊ฒฉํžˆ ์ €ํ•˜๋  ์ˆ˜ ์žˆ๋‹ค.

์ด๋Ÿฌํ•œ ๋ฌธ์ œ๋ฅผ ๋ฐฉ์ง€ํ•˜๊ธฐ ์œ„ํ•ด, ๋ณธ ๋…ผ๋ฌธ์—์„œ๋Š” ๊ณต์ฐจ ์‚ฐํฌ๋„๋ฅผ ์‚ฌ์ „์— ๊ณ ๋ คํ•˜์—ฌ ๊ทธ๋ฆผ 2(b)์™€ ๊ฐ™์ด ๋ฌธ์ œ์˜์—ญ์„ ์ถ•์†Œํ•œ๋‹ค. ์ถ•์†Œ๋œ ๋ฌธ์ œ์˜์—ญ์—์„œ, ๊ฒฝ๊ณ„ ๋ถ€๋ถ„์—์„œ ๊ณต์ฐจ ์‚ฐํฌ๋ฅผ ๊ณ ๋ คํ•ด๋„ ๊ธฐ์กด ๋ฌธ์ œ์˜์—ญ์˜ ๊ฒฝ๊ณ„๋ฅผ ๋„˜์–ด์„œ์ง€ ์•Š๊ฒŒ ๋œ๋‹ค. ๋˜ํ•œ, ํ•ด๋‹น ๋ถ€๋ถ„์—์„œ๋Š” ๊ทธ๋ฆผ 3๊ณผ ๊ฐ™์ด ํ•ด๋“ค์ด ์กด์žฌํ•˜๊ธฐ ๋•Œ๋ฌธ์— ๋Œ€๋ฆฌ๋ชจ๋ธ์˜ ์˜ˆ์ธก ์„ฑ๋Šฅ์„ ์‹ ๋ขฐํ•  ์ˆ˜ ์žˆ๋‹ค. ๋”ฐ๋ผ์„œ ๋Œ€๋ฆฌ๋ชจ๋ธ ๊ธฐ๋ฐ˜ ๊ฐ•๊ฑด์„ฑ ํ‰๊ฐ€ ๊ฒฐ๊ณผ์˜ ์‹ ๋ขฐ์„ฑ์„ ํ™•๋ณดํ•  ์ˆ˜ ์žˆ๋‹ค.

๊ทธ๋ฆผ 2. ๋ฌธ์ œ์˜์—ญ์— ๋”ฐ๋ฅธ ๊ฐ•๊ฑด์„ฑ ํ‰๊ฐ€; (a) ๊ธฐ์กด์˜ ๋ฌธ์ œ์˜์—ญ, (b) ์ถ•์†Œ๋œ ๋ฌธ์ œ์˜์—ญ

Fig. 2. Robustness Evaluation According to the Problem Domain; (a) Original problem domain, (b) Reduced problem domain

../../Resources/kiee/KIEE.2025.74.9.1513/fig2.png

๊ทธ๋ฆผ 3. ๋ฌธ์ œ์˜์—ญ ๋น„๊ต

Fig. 3. Comparison of problem domain

../../Resources/kiee/KIEE.2025.74.9.1513/fig3.png

2.3 ๋Œ€๋ฆฌ๋ชจ๋ธ ์—…๋ฐ์ดํŠธ ๋ฐ ์ตœ์ ํ•ด ํƒ์ƒ‰

๊ทธ๋ฆผ 1์˜ Step 1์—์„œ ๋„์ถœ๋œ ์ดˆ๊ธฐ ํ•ด ์ค‘ ์ถ•์†Œ๋œ ๋ฌธ์ œ์˜์—ญ์— ํฌํ•จ๋˜๋Š” ํ•ด๋“ค์„ 1์„ธ๋Œ€ ๋ถ€๋ชจ ํ•ด๋กœ ์„ ์ •ํ•œ ๋’ค, GA์˜ ์„ ํƒ, ๊ต์ฐจ, ๋ณ€์ด, ๋Œ€์น˜ ๊ณผ์ •์„ ๋ฐ˜๋ณต์ ์œผ๋กœ ์ˆ˜ํ–‰ํ•˜์—ฌ ์ตœ์ ํ•ด๋ฅผ ํƒ์ƒ‰ํ•œ๋‹ค. ๊ฐ ๋ฐ˜๋ณต์—์„œ ์ƒ์„ฑ๋œ ์ž์‹ ํ•ด๋Š” FEA๋ฅผ ํ†ตํ•ด์„œ ์ „์ž๊ณ„ ์„ฑ๋Šฅ์„ ๋„์ถœํ•˜๋ฉฐ, ํ•ด๋‹น ๋ฐ์ดํ„ฐ๋Š” ๊ธฐ์กด์˜ ๋ฐ์ดํ„ฐ์™€ ํ•จ๊ป˜ ๋ˆ„์ ๋˜๊ฒŒ ๋œ๋‹ค. ์ด๋•Œ, GA์˜ ํŠน์„ฑ์ƒ ๋ฐ˜๋ณต์ด ์ง„ํ–‰๋ ์ˆ˜๋ก ๋ฐ์ดํ„ฐ๊ฐ€ ์ตœ์ ํ•ด ์ฃผ๋ณ€์œผ๋กœ ์ ์ฐจ ์ง‘์ค‘๋˜๊ธฐ ๋•Œ๋ฌธ์—, ๋ฐ˜๋ณต๋งˆ๋‹ค ๋ˆ„์ ๋œ ๋ฐ์ดํ„ฐ๋ฅผ ํ™œ์šฉํ•˜์—ฌ ๋Œ€๋ฆฌ๋ชจ๋ธ ์—…๋ฐ์ดํŠธ๋ฅผ ์ˆ˜ํ–‰ํ•œ๋‹ค. ํ•ด๋‹น ๋Œ€๋ฆฌ๋ชจ๋ธ์€ ์ตœ์ ํ•ด ์ฃผ๋ณ€์˜ ์˜์—ญ์˜ ์˜ˆ์ธก ์„ฑ๋Šฅ์ด ํ–ฅ์ƒ๋˜๊ฒŒ ๋œ๋‹ค. ๋”ฐ๋ผ์„œ ๋ฐ˜๋ณต ํšŸ์ˆ˜๊ฐ€ ์ฆ๊ฐ€ํ• ์ˆ˜๋ก ์ตœ์ ํ•ด ์ฃผ๋ณ€์˜ ์˜ˆ์ธก ์ •ํ™•๋„๋Š” ์šฐ์ˆ˜ํ•ด์ง€๋ฉฐ, ์ด๋Š” ๊ฐ•๊ฑด์„ฑ ํ‰๊ฐ€์˜ ์‹ ๋ขฐ๋„๋ฅผ ๋†’์ผ ์ˆ˜ ์žˆ๋‹ค.

์œ„์™€ ๊ฐ™์€ ๊ณผ์ •์„ ๊ฑฐ์ณ์„œ ์—…๋ฐ์ดํŠธ๋œ ๋Œ€๋ฆฌ๋ชจ๋ธ์„ ํ†ตํ•ด์„œ ์ตœ์ ํ•ด๋ฅผ ํƒ์ƒ‰ํ•  ๋•Œ, ๋ถˆํ•„์š”ํ•œ ๋ฐ˜๋ณต์„ ๋ฐฉ์ง€ํ•˜๊ธฐ ์œ„ํ•ด์„œ ๋ถ€๋ชจ ํ•ด๋“ค์˜ ์ ํ•ฉ๋„์˜ ํ‘œ์ค€ํŽธ์ฐจ๊ฐ€ 0.1 ์ดํ•˜๊ฐ€ ๋  ๋•Œ๊นŒ์ง€ ๋ฐ˜๋ณต์„ ์ˆ˜ํ–‰ํ•˜๋„๋ก ์„ค์ •ํ•˜์˜€๋‹ค.

3. ์ œ์•ˆํ•˜๋Š” ๊ฐ•๊ฑด์„ค๊ณ„ ๊ธฐ๋ฒ•์˜ ํƒ€๋‹น์„ฑ ๊ฒ€์ฆ

3.1 ์‹œํ—˜ํ•จ์ˆ˜

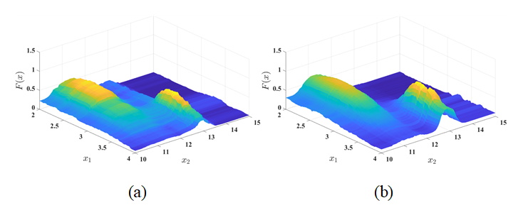
์ œ์•ˆ๋œ ๊ฐ•๊ฑด์„ค๊ณ„ ๊ธฐ๋ฒ•์˜ ํƒ€๋‹น์„ฑ์„ ์ •๋Ÿ‰์ ์œผ๋กœ ๊ฒ€์ฆํ•˜๊ธฐ ์œ„ํ•ด์„œ, ๋‘ ๊ฐœ์˜ ๊ฐ€์šฐ์‹œ์•ˆ ํ•ญ์œผ๋กœ ๊ตฌ์„ฑ๋œ ์‹œํ—˜ํ•จ์ˆ˜๋ฅผ ์„ค์ •ํ•˜์˜€๋‹ค. ํ•ด๋‹น ์‹œํ—˜ํ•จ์ˆ˜๋Š” ๋‹ค์Œ๊ณผ ๊ฐ™์ด ์ •์˜๋œ๋‹ค.

(1)
$F(X)=1.2e^{-5((X1-3.5)^{2}+(X2-13.5)^{2})}+0.8e^{-((X1-2.5)^{2}+(X2-11.5)^{2})}$

์ด ํ•จ์ˆ˜๋Š” ๊ฐ๊ฐ (X1, X2)๊ฐ€ (3.5, 13.5) ๋ฐ (2.5, 11.5) ์ง€์ ์—์„œ ๊ฐ๊ฐ ํ”ผํฌ๊ฐ’ 1.2์™€ 0.8์„ ๊ฐ€์ง€๋ฉฐ, ๊ธฐ์šธ๊ธฐ๋Š” ๊ฐ๊ฐ 5์™€ 1๋กœ ์„ค์ •๋˜์–ด ์žˆ๋‹ค. ์ด๋Š”, ๊ทธ๋ฆผ 4(a)์— 3์ฐจ์› ๊ทธ๋ž˜ํ”„๋กœ ์‹œ๊ฐํ™”๋˜์–ด ์žˆ๋‹ค.

์ „ํ†ต์ ์ธ ์ตœ์  ์„ค๊ณ„ ๊ธฐ๋ฒ•์€ ๋‹จ์ˆœํžˆ ๋ชฉ์ ํ•จ์ˆ˜์˜ ํฌ๊ธฐ๋ฅผ ๊ทน๋Œ€ํ™”ํ•˜๋Š” ์ง€์ ์„ ๋„์ถœํ•˜๋Š” ๊ฒƒ์ด ๋ชฉํ‘œ์ด๊ธฐ ๋•Œ๋ฌธ์—, ๊ทธ๋ฆผ 4์˜ ๋นจ๊ฐ„์ƒ‰ ์ง€์ ์„ ์ตœ์ ํ•ด๋กœ ๋„์ถœํ•œ๋‹ค. ๊ทธ๋Ÿฌ๋‚˜ ๊ฐ•๊ฑด์„ค๊ณ„ ๊ธฐ๋ฒ•์€ ๋‹จ์ˆœํ•œ ์„ฑ๋Šฅ ์ตœ๋Œ€ํ™”๋ฟ๋งŒ ์•„๋‹ˆ๋ผ, ํ•ด๋‹น ์ง€์ ์—์„œ ๊ณต์ฐจ๋กœ ์ธํ•ด ๊ตฌ์กฐ์  ์„ค๊ณ„ ๋ณ€์ˆ˜๊ฐ€ ๋ณ€๋™๋˜์—ˆ์„ ๋•Œ ์„ฑ๋Šฅ์ด ์–ผ๋งˆ๋‚˜ ์•ˆ์ •์ ์ธ์ง€๋ฅผ ํ•จ๊ป˜ ๊ณ ๋ คํ•œ๋‹ค. ๋”ฐ๋ผ์„œ ๋ชฉ์ ํ•จ์ˆ˜์˜ ํฌ๊ธฐ๊ฐ€ ๋†’์œผ๋ฉด์„œ๋„ ๋ถ„์‚ฐ์ด ๋‚ฎ์€ ์ง€์ ์ธ ํŒŒ๋ž€์ƒ‰ ์ง€์ ์„ ์ตœ์ ํ•ด๋กœ ๋„์ถœํ•œ๋‹ค. ๋”ฐ๋ผ์„œ ์ œ์•ˆํ•œ ๊ธฐ๋ฒ•์ด ํŒŒ๋ž€์ƒ‰ ์ง€์ ์œผ๋กœ ์ˆ˜๋ ดํ•˜๋Š”์ง€๋ฅผ ํ™•์ธํ•จ์œผ๋กœ์จ ๊ธฐ๋ฒ•์˜ ํƒ€๋‹น์„ฑ์„ ๊ฒ€์ฆํ•˜์˜€๋‹ค.

๊ทธ๋ฆผ 4. ์‹œํ—˜ํ•จ์ˆ˜ ๊ธฐ๋ฐ˜ ํƒ€๋‹น์„ฑ ๊ฒ€์ฆ ๊ฒฐ๊ณผ; (a) ์‹œํ—˜ํ•จ์ˆ˜ (b) ๊ฐ•๊ฑด์„ฑ ํ‰๊ฐ€ ๊ฒฐ๊ณผ

Fig. 4. Feasibility Validation results based on the test function (a) Test function (b) Result of robustness evaluation

../../Resources/kiee/KIEE.2025.74.9.1513/fig4.png

3.2 ๊ฐ•๊ฑด์„ค๊ณ„ ๊ฒ€์ฆ ์ ˆ์ฐจ ๋ฐ ์กฐ๊ฑด

์‹œํ—˜ํ•จ์ˆ˜์—์„œ ์ œ์•ˆํ•œ ๊ธฐ๋ฒ•์˜ ํƒ€๋‹น์„ฑ ๊ฒ€์ฆ์„ ์ˆ˜ํ–‰ํ•˜๊ธฐ ์œ„ํ•ด ๋ชจ๋“  ๋ณ€์ˆ˜์— ๋Œ€ํ•ด ยฑ3%์˜ ๊ณต์ฐจ ๋ฒ”์œ„๋ฅผ ๋ถ€์—ฌํ•˜์˜€๋‹ค. ํ•ด๋‹น ๊ณต์ฐจ ๋ฒ”์œ„์—์„œ Full Factorial Design(FFD) ๊ธฐ๋ฒ• ๊ธฐ๋ฐ˜์œผ๋กœ ๋ฐ์ดํ„ฐ๋ฅผ ์ถ”์ถœํ•ด ๊ฐ•๊ฑด์„ฑ ํ‰๊ฐ€๋ฅผ ์ˆ˜ํ–‰ํ•˜์˜€๋‹ค. ์ด๋•Œ, ๊ฐ ์„ค๊ณ„ ๋ณ€์ˆ˜์— ๋Œ€ํ•ด์„œ 0.5% ๊ฐ„๊ฒฉ์œผ๋กœ ๋ฐ์ดํ„ฐ๋ฅผ ์ถ”์ถœํ•˜์˜€๊ธฐ ๋•Œ๋ฌธ์— ํ‰๊ฐ€๋ฅผ ์œ„ํ•ด์„œ 169๊ฐœ์˜ ๋ฐ์ดํ„ฐ๋ฅผ ์ถ”์ถœํ•˜์˜€๋‹ค.

์ œ์•ˆํ•œ ๊ธฐ๋ฒ•์„ ํ†ตํ•ด ๋„์ถœํ•œ ์ตœ์ ํ•ด๋ฅผ ๊ทธ๋ฆผ 4(a)์— ์ดˆ๋ก์ƒ‰ ์ง€์ ์œผ๋กœ ์‹œ๊ฐํ™”ํ•˜์˜€์œผ๋ฉฐ, ํ•ด๋‹น ๊ฒฐ๊ณผ๋ฅผ ํ‘œ 1์— ์ •๋ฆฌํ•˜์˜€๋‹ค. ์ œ์•ˆํ•œ ๊ธฐ๋ฒ•์€ ๋Œ€๋ฆฌ๋ชจ๋ธ์„ ํ™œ์šฉํ•˜๊ธฐ ๋•Œ๋ฌธ์— ์ด์ƒ์ ์ธ ์ง€์ ๊ณผ ์•ฝ๊ฐ„์˜ ์˜ค์ฐจ๊ฐ€ ๋ฐœ์ƒํ•˜์ง€๋งŒ, ์œ ์‚ฌํ•œ ์œ„์น˜์— ์ˆ˜๋ ดํ•จ์„ ํ™•์ธํ•  ์ˆ˜ ์žˆ๋‹ค. ๋˜ํ•œ, ๋„์ถœ๋œ ์ตœ์ ํ•ด์™€ ์ „ํ†ต์ ์ธ ์ตœ์  ์„ค๊ณ„์‹œ ์ตœ์ ํ•ด์—์„œ ๊ฐ•๊ฑด์„ฑ ํ‰๊ฐ€๋ฅผ ์ˆ˜ํ–‰ํ•œ ๊ฒฐ๊ณผ ๊ทธ๋ฆผ 4(b)์™€ ๊ฐ™์ด ๋„์ถœ๋˜์—ˆ๋‹ค. ๋ฐ์ดํ„ฐ์˜ ๋ถ„์‚ฐ์„ ํ™•์ธํ•œ ๊ฒฐ๊ณผ, ๊ฐ•๊ฑด ์ตœ์  ์„ค๊ณ„ ๊ธฐ์ค€์ ๊ณผ ๋™์ผํ•œ ๋ถ„์‚ฐ์ด ๋„์ถœ๋˜์—ˆ๊ธฐ ๋•Œ๋ฌธ์— ์ œ์•ˆํ•œ ๊ธฐ๋ฒ•์˜ ํƒ€๋‹น์„ฑ์„ ํ™•๋ณดํ•˜์˜€๋‹ค.

ํ‘œ 1 ์‹œํ—˜ ํ•จ์ˆ˜๋ฅผ ์ด์šฉํ•œ ๊ฐ•๊ฑด ์ตœ์ ํ™” ๊ฒฐ๊ณผ

Table 1 The result of robust optimization using TF

Point

X=[X1, X2]

F(X)

ฯƒ

Traditional

[3.5, 13.5]

1.2

0.0083

Robust

[2.5, 11.5]

0.8

0.0011

Optimization

[2.48, 11.54]

0.7982

0.0011

3.3 ๋Œ€๋ฆฌ๋ชจ๋ธ ์˜ˆ์ธก ์„ฑ๋Šฅ ๊ฒ€์ฆ

์ œ์•ˆํ•œ ๊ธฐ๋ฒ•์ด ๋Œ€๋ฆฌ๋ชจ๋ธ์„ ์ˆœ์ฐจ์ ์œผ๋กœ ์—…๋ฐ์ดํŠธํ•˜๋Š” ๊ณผ์ •์—์„œ ์˜ˆ์ธก ์„ฑ๋Šฅ์ด ํ–ฅ์ƒ๋˜๋Š”์ง€๋ฅผ ๊ฒ€์ฆํ•˜์˜€๋‹ค. ์ด๋ฅผ ์œ„ํ•ด, ์ œ์•ˆํ•œ ๊ธฐ๋ฒ•์˜ ์•Œ๊ณ ๋ฆฌ์ฆ˜์— ๋”ฐ๋ผ Step 1์—์„œ ๋„์ถœ๋œ ์ดˆ๊ธฐ ๋ถ€๋ชจ ํ•ด ๊ธฐ๋ฐ˜์œผ๋กœ ํ•™์Šต๋œ ๋Œ€๋ฆฌ๋ชจ๋ธ๊ณผ, Step 2 ์ข…๋ฃŒ ์‹œ์ ๊นŒ์ง€ ๋ˆ„์  ๋ฐ์ดํ„ฐ๋ฅผ ํ™œ์šฉํ•œ ๋Œ€๋ฆฌ๋ชจ๋ธ์˜ ์„ฑ๋Šฅ์„ ๋น„๊ตํ•˜์˜€๋‹ค.

๊ฐ ๋‹จ๊ณ„์—์„œ ๊ตฌ์ถ•๋œ ๋Œ€๋ฆฌ๋ชจ๋ธ์€ ๊ทธ๋ฆผ 5(a)์™€ 5(b)์— ์‹œ๊ฐ์ ์œผ๋กœ ์ œ์‹œ๋˜์—ˆ์œผ๋ฉฐ, ๋Œ€๋ฆฌ๋ชจ๋ธ์˜ ์˜ˆ์ธก ์„ฑ๋Šฅ์€ ๊ฒฐ์ •๊ณ„์ˆ˜(Coefficient of determination, R2)๋ฅผ ์ง€ํ‘œ๋กœ ์‚ฌ์šฉํ•˜์—ฌ ํ‘œ 2์™€ ๊ฐ™์ด ๋„์ถœํ•˜์˜€๋‹ค. R2๋Š” ๋‹ค์Œ๊ณผ ๊ฐ™์€ ์ˆ˜์‹์œผ๋กœ ์ •์˜๋œ๋‹ค.

(2)
$R^{2}=1-\dfrac{SSE}{SST}=1-\dfrac{\sum_{i=1}^{n}(Y_{i}-\hat{Y_{i}})^{2}}{\sum_{i=1}^{n}(Y_{i}-\overline{Y})^{2}}$

์—ฌ๊ธฐ์„œ $\hat{Y_{i}}$๋Š” ๋Œ€๋ฆฌ๋ชจ๋ธ์„ ํ†ตํ•ด ๋„์ถœ๋œ ์˜ˆ์ธก๊ฐ’, $\overline{Y}$๋Š” ํ‰๊ท ๊ฐ’, $Y_{i}$๋Š” ์‹ค์ œ๊ฐ’์„ ์˜๋ฏธํ•œ๋‹ค.

ํ‘œ 2์˜ ๊ฒฐ๊ณผ๋ฅผ ํ†ตํ•ด, Step 2๊นŒ์ง€ ๋ˆ„์ ๋œ ๋ฐ์ดํ„ฐ๋ฅผ ํ™œ์šฉํ•œ ์ตœ์ข… ๋Œ€๋ฆฌ๋ชจ๋ธ์ด Step 1 ๋‹จ๊ณ„ ๋Œ€๋น„ ์œ ์˜๋ฏธํ•œ ์„ฑ๋Šฅ ํ–ฅ์ƒ์„ ๋ณด์ด๋ฉฐ, ๊ฒฐ์ •๊ณ„์ˆ˜ ๊ธฐ์ค€์œผ๋กœ๋„ 1์— ๊ทผ์ ‘ํ•œ ๋†’์€ ์˜ˆ์ธก ์„ฑ๋Šฅ์„ ๋ณด์˜€๋‹ค. ๋˜ํ•œ, ๊ทธ๋ฆผ 5(b)์—์„œ๋Š” ๋ฐ์ดํ„ฐ๊ฐ€ ๋ฐ˜๋ณต์ ์œผ๋กœ ๊ฐ•๊ฑด ์ตœ์ ์  ์ฃผ๋ณ€์— ๋ˆ„์ ๋˜๊ธฐ ๋•Œ๋ฌธ์—, ํ•ด๋‹น ์˜์—ญ์˜ ๋Œ€๋ฆฌ๋ชจ๋ธ์ด ๋ธ์ด ์‹ค์ œ ๋ชจ๋ธ์˜ ๊ฒฝํ–ฅ๊ณผ ๊ฑฐ์˜ ์ผ์น˜ํ•˜๋Š” ๊ฒƒ์„ ์‹œ๊ฐ์ ์œผ๋กœ ํ™•์ธํ•  ์ˆ˜ ์žˆ๋‹ค.

๋”ฐ๋ผ์„œ ์ œ์•ˆ๋œ ๊ฐ•๊ฑด์„ค๊ณ„ ๊ธฐ๋ฒ•์€ ์ˆœ์ฐจ์  ๋ฐ์ดํ„ฐ ๋ˆ„์ ์„ ํ†ตํ•ด ๋Œ€๋ฆฌ๋ชจ๋ธ์„ ๋ณด์ •ํ•˜๊ณ , ์„ค๊ณ„ ๊ณต๊ฐ„์˜ ๋ฏผ๊ฐ ์˜์—ญ์„ ์ •๋ฐ€ํ•˜๊ฒŒ ํ•™์Šตํ•  ์ˆ˜ ์žˆ๋Š” ๊ตฌ์กฐ๋ฅผ ๊ฐ–์ถ”๊ณ  ์žˆ์Œ์„ ํ™•์ธํ•˜์˜€๋‹ค. ์ด๋Š” ์•ž์„œ ์„ค๋ช…ํ•œ ์•Œ๊ณ ๋ฆฌ์ฆ˜์˜ ์„ค๊ณ„ ์›๋ฆฌ์™€ ์ผ์น˜ํ•œ๋‹ค.

ํ‘œ 2 ๊ฐ ๋Œ€๋ฆฌ๋ชจ๋ธ์˜ ์˜ˆ์ธก ์„ฑ๋Šฅ

Table 2 The prediction performance of each surrogate model

Value

After step 1

After step 2

R2

0.8742

0.9938

๊ทธ๋ฆผ 5. ๋ฐ์ดํ„ฐ์— ๋”ฐ๋ฅธ ๋Œ€๋ฆฌ๋ชจ๋ธ; (a) Step 1 ์ข…๋ฃŒ ํ›„ (b) Step 2 ์ข…๋ฃŒ ํ›„

Fig. 5. Meta model based on each data; (a) After step 1 (b) After step 2

../../Resources/kiee/KIEE.2025.74.9.1513/fig5.png

4. ์„ธํƒ๊ธฐ ๊ตฌ๋™์šฉ IPMSM์˜ ๊ฐ•๊ฑด์„ค๊ณ„

๋ณธ ๋…ผ๋ฌธ์—์„œ๋Š” ์ œ์•ˆํ•œ ๊ธฐ๋ฒ•์ด ์ „๋™๊ธฐ ์„ค๊ณ„์— ํ™œ์šฉ ๊ฐ€๋Šฅ์„ฑ์„ ๊ฒ€์ฆํ•˜๊ธฐ ์œ„ํ•ด, ์„ธํƒ๊ธฐ ๊ตฌ๋™์šฉ IPMSM์„ ๋Œ€์ƒ์œผ๋กœ ๊ฐ•๊ฑด์„ค๊ณ„๋ฅผ ์ˆ˜ํ–‰ํ•˜์˜€๋‹ค. ํ•ด๋‹น IPMSM์€ ์ง์ ‘ ๊ตฌ๋™ ๋ฐฉ์‹์˜ ์„ธํƒ๊ธฐ์— ์‚ฌ์šฉ๋˜๋ฉฐ, ๊ณ ํšจ์œจ ๋ฐ ์ €์†Œ์Œ ํŠน์„ฑ์ด ์š”๊ตฌ๋œ๋‹ค. ์ดˆ๊ธฐ ๋ชจ๋ธ์˜ ํ˜•์ƒ๊ณผ ๊ตฌ์กฐ์  ์„ค๊ณ„ ๋ณ€์ˆ˜๋Š” ๊ทธ๋ฆผ 6์—, ์ดˆ๊ธฐ ๋ชจ๋ธ์˜ ์„ฑ๋Šฅ ๋ฐ ์š”๊ตฌ ์„ฑ๋Šฅ ์‚ฌ์–‘์„ ํ‘œ 3๋ถ€ํ„ฐ 5์— ๊ฐ๊ฐ ์ •๋ฆฌ๋˜์–ด ์žˆ๋‹ค.

๊ทธ๋ฆผ 6. ์ดˆ๊ธฐ ๋ชจ๋ธ ๋ฐ ์„ค๊ณ„ ๋ณ€์ˆ˜

Fig. 6. Initial model and design parameter

../../Resources/kiee/KIEE.2025.74.9.1513/fig6.png

ํ‘œ 3 ์ดˆ๊ธฐ ๋ชจ๋ธ ์„ฑ๋Šฅ

Table 3 Performance of initial model

Parameter

Value

Average torque [Nm]

20.94

Torque ripple [%]

13.31

ํ‘œ 4 ์š”๊ตฌ ์„ฑ๋Šฅ

Table 4 Performance of requirements

Parameter

Value

Average torque [Nm]

20

Torque ripple [%]

10

Rated speed [RPM]

45

ํ‘œ 5 ๋ชฉํ‘œ ๋ชจํ„ฐ์˜ ์‚ฌ์–‘

Table 5 Specification of target motor

Parameter

Value

Pole / Slot

8 / 12

Stator inner / outer diameter [mm]

161.6 / 250

Rotor inner / outer diameter [mm]

120 / 160

Air gap [mm]

0.8

Stacking length [mm]

24

Core material

50JN1300

Permanent magnet material

N42SH

4.1 ์ดˆ๊ธฐ ๋ชจ๋ธ ์„ฑ๋Šฅ ๋ถ„์„ ๋ฐ ๋ฌธ์ œ์˜์—ญ ์„ค์ •

ํ‘œ 3๊ณผ ํ‘œ 4๋ฅผ ๋น„๊ตํ•˜๋ฉด, ์ดˆ๊ธฐ ๋ชจ๋ธ์˜ ํ‰๊ท  ํ† ํฌ ์„ฑ๋Šฅ์€ ์š”๊ตฌ ์‚ฌ์–‘์„ ์ดˆ๊ณผํ•œ 20.94Nm๋ฅผ ๋‹ฌ์„ฑํ•˜๊ณ  ์žˆ์ง€๋งŒ, ํ† ํฌ ๋ฆฌํ”Œ์€ 13.31%๋กœ ์š”๊ตฌ ์‚ฌ์–‘์„ ๋งŒ์กฑํ•˜์ง€ ๋ชปํ•˜๊ณ  ์žˆ๋‹ค. ์ง์ ‘ ๊ตฌ๋™ ์‹œ์Šคํ…œ ํŠน์„ฑ์ƒ, ์ด๋Š” ๊ธฐ๊ณ„์  ์ง„๋™๊ณผ ์†Œ์Œ์— ์ง์ ‘์ ์ธ ์˜ํ–ฅ์„ ๋ฏธ์น˜๊ธฐ ๋•Œ๋ฌธ์— ํ† ํฌ ๋ฆฌํ”Œ ์ €๊ฐ์ด ํ•„์ˆ˜์ ์ด๋‹ค.

๋”ฐ๋ผ์„œ, ํ‰๊ท  ํ† ํฌ ์„ฑ๋Šฅ์„ ์œ ์ง€ํ•˜๋ฉด์„œ ํ† ํฌ ๋ฆฌํ”Œ์„ ์ €๊ฐํ•˜๊ณ  ๋™์‹œ์— ๊ฐ•๊ฑด์„ค๊ณ„๋ฅผ ์ˆ˜ํ–‰ํ•˜๊ธฐ ์œ„ํ•ด์„œ ๊ฐ ์„ฑ๋Šฅ์˜ ๋ถ„์‚ฐ์„ ํฌํ•จํ•œ ๊ฐ€์ค‘๊ณ„์ˆ˜ ๊ธฐ๋ฐ˜์˜ ์‹์„ ์ด์šฉํ•˜์˜€๋‹ค. ํ•ด๋‹น ์‹์€ ๋‹ค์Œ๊ณผ ๊ฐ™์ด ์ •์˜๋œ๋‹ค.
(3)
$F(X)=0.3\dfrac{T_{ave}'}{T_{ave}(i)}+0.3\dfrac{T_{rip}(i)}{T_{rip}'}+0.2\dfrac{\sigma_{T_{ave}}(i)}{\sigma_{T_{ave}}'}+0.2\dfrac{\sigma_{T_{rip}}(i)}{\sigma_{T_{rip}}'}$

ํ•ด๋‹น ์‹์—์„œ Taveโ€™, Tripโ€™, ฮดTaveโ€™, ฮดTaveโ€™, ๋Š” ๊ฐ๊ฐ ์ดˆ๊ธฐ ๋ชจ๋ธ์˜ ํ‰๊ท  ํ† ํฌ, ํ† ํฌ ๋ฆฌํ”Œ, ํ‰๊ท  ํ† ํฌ ๋ฐ์ดํ„ฐ์˜ ๋ถ„์‚ฐ, ํ† ํฌ ๋ฆฌํ”Œ ๋ฐ์ดํ„ฐ์˜ ๋ถ„์‚ฐ์„ ์˜๋ฏธํ•˜๋ฉฐ, Tave(i), Trip(i), ฮดTave(i), ฮดTave(i)๋Š” i๋ฒˆ์งธ ์„ค๊ณ„ ๋ณ€์ˆ˜ ์กฐํ•ฉ์—์„œ์˜ ์„ฑ๋Šฅ์„ ์˜๋ฏธํ•œ๋‹ค.

์ด๋•Œ ๊ฐ€์ค‘๊ณ„์ˆ˜ ์„ ์ •๊ณผ ์ฃผ์š” ์„ค๊ณ„ ๋ณ€์ˆ˜๋งŒ์„ ์„ ์ •ํ•˜์—ฌ ํšจ์œจ์ ์œผ๋กœ ๊ฐ•๊ฑด์„ค๊ณ„๋ฅผ ์ˆ˜ํ–‰ํ•˜๊ธฐ ์œ„ํ•ด์„œ ๋ฏผ๊ฐ๋„ ๋ถ„์„์„ ์ˆ˜ํ–‰ํ•˜์˜€๋‹ค. ๋ฏผ๊ฐ๋„ ๋ถ„์„์„ ์ˆ˜ํ–‰ํ•œ ์„ค๊ณ„ ๋ณ€์ˆ˜๋Š” ๊ทธ๋ฆผ 6์— ๋„์‹œ๋œ ๋ฐ”์™€ ๊ฐ™์ด ์ด 6๊ฐœ๋กœ ๊ตฌ์„ฑ๋œ๋‹ค. ํšŒ์ „์ž ๊ทนํ˜ธ๋น„์— ํ•ด๋‹นํ•˜๋Š” ๋ณ€์ˆ˜ ap๋Š” ์ž์† ๋ฐฉ๋ฒฝ์˜ ๊ฐ๋„๋ฅผ ์กฐ์ ˆํ•˜๋ฉฐ, a1๊ณผ a2๋Š” ์˜๊ตฌ์ž์„ ์ƒยทํ•˜๋‹จ ๊ธฐ์šธ๊ธฐ๋ฅผ ์กฐ์ ˆํ•˜๋ฉฐ, a3๋Š” ์ž์† ํ†ต๋กœ ๊ธธ์ด๋ฅผ ์กฐ์ ˆํ•œ๋‹ค. ๊ณ ์ •์ž์—์„œ ch1๊ณผ ch2๋Š” ๊ฐ๊ฐ ์น˜ ๋๋‹จ์—์„œ ์ฑ”ํผ ํ˜•์ƒ์„ ์กฐ์ ˆํ•œ๋‹ค.

๋ฏผ๊ฐ๋„ ๋ถ„์„์„ ์ˆ˜ํ–‰ํ•˜๊ธฐ ์œ„ํ•ด, ๋Œ€ํ‘œ์ ์ธ ๋ฏผ๊ฐ๋„ ๋ถ„์„ ๋ฐฉ์‹์ธ Taguchi method์™€ Signal to Noise Ratio(SNR)๋ฅผ ํ™œ์šฉํ•˜์˜€๋‹ค[10]. ํ•ด๋‹น ๋ฏผ๊ฐ๋„ ๋ถ„์„์€ Taguchi method ๊ธฐ๋ฐ˜ ๋ฐ์ดํ„ฐ๋ฅผ ์ถ”์ถœํ•œ ํ›„ SNR ์ˆ˜์‹์„ ํ†ตํ•ด์„œ ๋ฏผ๊ฐ๋„๋ฅผ ๋„์ถœํ•˜๋Š” ๊ธฐ๋ฒ•์ด๋‹ค.

์ด๋•Œ, ํ‰๊ท  ํ† ํฌ์™€ ํ† ํฌ ๋ฆฌํ”Œ์˜ ๋ฏผ๊ฐ๋„๋ฅผ ํ•จ๊ป˜ ๊ณ ๋ คํ•˜๊ธฐ ์œ„ํ•ด์„œ ๊ฐ€์ค‘๊ณ„์ˆ˜ ๊ธฐ๋ฐ˜์˜ ์‹์„ ์‚ฌ์šฉํ•˜์˜€์œผ๋ฉฐ ๋‘ ๊ฐœ ์„ฑ๋Šฅ ๋ชจ๋‘ ์ค‘์š”ํ•˜๊ธฐ ๋•Œ๋ฌธ์— ๊ฐ€์ค‘๊ณ„์ˆ˜๋Š” 0.5๋กœ ์„ ์ •ํ•˜์˜€๋‹ค. ํ•ด๋‹น ์‹์€ ๋‹ค์Œ๊ณผ ๊ฐ™์ด ์ •์˜๋œ๋‹ค.

(4)
$Sen_{Total}=0.5Sen_{T_{ave}}+0.5Sen_{T_{rip}}$

ํ•ด๋‹น ์‹์—์„œ SenTave, SenTrip์€ ํ‰๊ท  ํ† ํฌ์™€ ํ† ํฌ ๋ฆฌํ”Œ์˜ ๋ฏผ๊ฐ๋„ ๋ถ„์„ ๊ฒฐ๊ณผ๋ฅผ ์˜๋ฏธํ•œ๋‹ค. ํ•ด๋‹น ๋ฏผ๊ฐ๋„ ๋ถ„์„์„ ํ†ตํ•ด์„œ ๋จผ์ € ๊ณต์ฐจ๊ฐ€ -3%, 0%, +3%๋กœ ๋ณ€ํ™”ํ•  ๋•Œ ๊ฐ ๋ณ€์ˆ˜๊ฐ€ ์„ฑ๋Šฅ์— ๋ฏธ์น˜๋Š” ์˜ํ–ฅ์„ ๊ทธ๋ฆผ 7์„ ํ†ตํ•ด์„œ ํ™•์ธ ํ•  ์ˆ˜ ์žˆ๋‹ค.

๊ทธ๋ฆผ 7. ๊ณต์ฐจ์— ๋”ฐ๋ฅธ ๊ฒฝํ–ฅ; (a) ํ‰๊ท  ํ† ํฌ (b) ํ† ํฌ ๋ฆฌํ”Œ

Fig. 7. Tolerance dependent trend (a) Torque (b) Ripple

../../Resources/kiee/KIEE.2025.74.9.1513/fig7.png

์ด๋•Œ, ๋ฏผ๊ฐ๋„๊ฐ€ ๊ฐ€์žฅ ํฐ ap๋Š” ํ† ํฌ์™€ ๋ฆฌํ”Œ์— ๋Œ€ํ•ด์„œ Trade-off ๊ด€๊ณ„๋ฅผ ์ง€๋‹ˆ๊ธฐ ๋•Œ๋ฌธ์—, ์‹ (3)์™€ ๊ฐ™์ด ํ‰๊ท  ํ† ํฌ์™€ ํ† ํฌ ๋ฆฌํ”Œ์— ๋Œ€ํ•ด์„œ ๊ฐ€์ค‘๊ณ„์ˆ˜๋ฅผ 0.3์œผ๋กœ ์‚ฌ์šฉํ•˜์˜€๋‹ค. ๋˜ํ•œ, ์‹ค์ œ ์„ฑ๋Šฅ์˜ ๊ฐœ์„ ์ด ์ค‘์š”ํ•˜๊ธฐ ๋•Œ๋ฌธ์— ๋ถ„์‚ฐ์˜ ๊ฐ€์ค‘๊ณ„์ˆ˜๋Š” 0.2๋กœ ์‚ฌ์šฉํ•˜์˜€๋‹ค.

์ตœ์ข…์ ์œผ๋กœ ๊ทธ๋ฆผ 8๊ณผ ๊ฐ™์ด ๋ฏผ๊ฐ๋„ ๋ถ„์„ ๊ฒฐ๊ณผ๋ฅผ ๋„์ถœํ•˜์˜€๋‹ค. ์ด๋ฅผ ํ†ตํ•ด์„œ ์„ฑ๋Šฅ์— ํฐ ์˜ํ–ฅ์„ ๋ฏธ์น˜๋Š” 4๊ฐœ์˜ ๋ณ€์ˆ˜์ธ ap, a3, ch1, ch2๋ฅผ ์„ ์ •ํ•˜์˜€์œผ๋ฉฐ, ์„ค๊ณ„ ๊ฐ€๋Šฅ์„ฑ์„ ๊ณ ๋ คํ•˜์—ฌ ํ‘œ 6๊ณผ ๊ฐ™์ด ๋ฌธ์ œ์˜์—ญ์„ ์„ ์ •ํ•˜์˜€๋‹ค.

๊ทธ๋ฆผ 8. ๋ฏผ๊ฐ๋„ ๋ถ„์„ ๊ฒฐ๊ณผ

Fig. 8. Result of sensitivity

../../Resources/kiee/KIEE.2025.74.9.1513/fig8.png

ํ‘œ 6 ์„ค๊ณ„ ๋ณ€์ˆ˜์˜ ๋ฌธ์ œ์˜์—ญ

Table 6 Problem domain of each design parameter

Parameter

Min

Max

Parameter

Min

Max

ap

0.54

0.72

ch1 [mm]

0.4

1.8

al [mm]

2

8

ch2 [mm]

2

20

4.2 ๊ฐ•๊ฑด์„ค๊ณ„ ์ˆ˜ํ–‰ ๋ฐ ๊ฒฐ๊ณผ ๋ถ„์„

๊ตฌ์กฐ์  ์„ค๊ณ„ ๋ณ€์ˆ˜์˜ ์ œ์ž‘ ๊ณต์ฐจ๋Š” ยฑ3%๋กœ ๊ฐ€์ •ํ•˜์˜€์œผ๋ฉฐ, ๊ณต์ฐจ์— ๋”ฐ๋ฅธ ์ „์ž๊ณ„ ์„ฑ๋Šฅ์„ ๋„์ถœํ•˜๊ธฐ ์œ„ํ•ด์„œ FFD ๊ธฐ๋ฒ•์„ ์ด์šฉํ•˜์˜€๋‹ค. ๊ฐ ๋ณ€์ˆ˜๋ฅผ 0.5% ๊ฐ„๊ฒฉ์œผ๋กœ ๋ถ„ํ• ํ•˜์—ฌ ๋ฐ์ดํ„ฐ๋ฅผ ์ถ”์ถœํ–ˆ๊ธฐ ๋•Œ๋ฌธ์— ํ•˜๋‚˜์˜ ์„ค๊ณ„์•ˆ์— ๋Œ€ํ•ด์„œ ์ด 28,561๊ฐœ์˜ ์ƒ˜ํ”Œ๋ง์„ ํ†ตํ•ด ๊ฐ•๊ฑด์„ฑ ํ‰๊ฐ€๋ฅผ ์ˆ˜ํ–‰ํ•˜์˜€๋‹ค. ๋˜ํ•œ, ์ œ์•ˆํ•œ ๊ธฐ๋ฒ•์— ์‚ฌ์šฉํ•œ RF๋ฅผ ์ƒ์„ฑํ•˜๊ธฐ ์œ„ํ•œ Hyperparameter๋Š” ํ‘œ 7๊ณผ ๊ฐ™์ด ์„ค์ •ํ•˜์˜€๋‹ค.

ํ‘œ 7 RF์˜ Hyperparameter

Table 7 Hyperparameter of RF

Parameter

Value

Mean

N_estimators

10

Decision Tree ๊ฐœ์ˆ˜

Max_splits

50

Tree์˜ ์ตœ๋Œ€ ๋ถ„ํ•  ํšŸ์ˆ˜

Min_samples_parents

10

Parents node๊ฐ€ ํ•„์š”ํ•œ ์ƒ˜ํ”Œ ๊ฐœ์ˆ˜

Min_samples_leaf

1

Leaf node๊ฐ€ ํ•„์š”ํ•œ ์ƒ˜ํ”Œ ๊ฐœ์ˆ˜

๋‹ค์Œ๊ณผ ๊ฐ™์ด ๊ฐ•๊ฑด์„ค๊ณ„๋ฅผ ์ˆ˜ํ–‰ํ•œ ๊ฒฐ๊ณผ, ํ‘œ 8๊ณผ ๊ฐ™์ด ์„ค๊ณ„ ๋ณ€์ˆ˜๊ฐ€ ๋„์ถœ๋˜์—ˆ์œผ๋ฉฐ, ํ•ด๋‹น ์ตœ์  ๋ชจ๋ธ์˜ ์„ฑ๋Šฅ์„ ์ดˆ๊ธฐ ๋ชจ๋ธ๊ณผ ๋น„๊ตํ–ˆ์„ ๋•Œ, ๊ทธ๋ฆผ 9์™€ ๊ฐ™์ด ๋™์ผํ•œ ์ „๋ฅ˜ ์กฐ๊ฑด์—์„œ ํ‰๊ท  ํ† ํฌ๋Š” 20.37 Nm๋กœ 2.72% ์ €๊ฐ๋˜์—ˆ์œผ๋‚˜, ํ† ํฌ ๋ฆฌํ”Œ์€ 7.63%๋กœ 42.67% ์ €๊ฐ๋˜์—ˆ๋‹ค. ๋˜ํ•œ, ๊ทธ๋ฆผ 10์„ ํ†ตํ•ด ๊ณ ์ •์ž ์š”ํฌ์™€ ์น˜์—์„œ์˜ ์ž์† ํฌํ™”๋„๊ฐ€ ์™„ํ™”๋จ์„ ํ™•์ธํ•˜์˜€์œผ๋ฉฐ, ์ด๋Š” ํ† ํฌ ๋ฆฌํ”Œ ๋ฐ ์ฒ ์† ์ €๊ฐ์— ์œ ๋ฆฌํ•˜๋‹ค[8].

ํ‘œ 8 ์ดˆ๊ธฐ ๋ชจ๋ธ ๋ฐ ์ตœ์  ๋ชจ๋ธ์˜ ์„ค๊ณ„ ๋ณ€์ˆ˜

Table 8 Design parameter for initial and optimal models

Design parameter

Initial

Optimal

ap

0.67

0.68

al [mm]

5.0

5.25

ch1 [mm]

1.0

1.61

ch2 [mm]

6.0

15.42

๊ทธ๋ฆผ 9. ์ตœ์  ๋ชจ๋ธ์˜ ๋ถ€ํ•˜ ํ•ด์„ ๊ฒฐ๊ณผ; (a) ์ž…๋ ฅ ์ „๋ฅ˜ (b) ์ถœ๋ ฅ ํ† ํฌ

Fig. 9. Load condition analysis result of the optimal model (a) Input current (b) Output torque

../../Resources/kiee/KIEE.2025.74.9.1513/fig9.png

๊ทธ๋ฆผ 10. ์ž์†๋ฐ€๋„ ๋ถ„ํฌ; (a) ์ดˆ๊ธฐ ๋ชจ๋ธ (b) ์ตœ์  ๋ชจ๋ธ

Fig. 10. Magnetic flux (a) Initial model (b) Optimal model

../../Resources/kiee/KIEE.2025.74.9.1513/fig10.png

๋‹ค์Œ์œผ๋กœ ๊ฐ•๊ฑด์„ฑ ํ‰๊ฐ€ ๊ฒฐ๊ณผ๋ฅผ ๋น„๊ตํ•œ ๊ฒฐ๊ณผ๋Š” ๊ทธ๋ฆผ 11์„ ํ†ตํ•ด์„œ ํ™•์ธํ•˜์˜€๋‹ค. 28,561๊ฐœ์˜ ๋ฐ์ดํ„ฐ๋ฅผ ํ†ตํ•ด์„œ ๋ถ„์‚ฐ์„ ์–ป์—ˆ์„ ๋•Œ ํ‰๊ท  ํ† ํฌ๋Š” ์ดˆ๊ธฐ ๋ชจ๋ธ ๋Œ€๋น„ 63.33% ์ €๊ฐ ๋˜์—ˆ์œผ๋ฉฐ, ํ† ํฌ ๋ฆฌํ”Œ์€ 83.0% ์ €๊ฐ์ด ๋˜์—ˆ๋‹ค. ๋˜ํ•œ, ๊ณต์ฐจ์— ๋”ฐ๋ฅธ ์„ฑ๋Šฅ ๋ณ€ํ™”๋ฅผ ๋ถ„์„ํ•œ ๊ฒฐ๊ณผ, ์ดˆ๊ธฐ ๋ชจ๋ธ์˜ ๊ฒฝ์šฐ์—๋Š” ํ† ํฌ ๋ฆฌํ”Œ์„ ์ „๋ถ€ ๋งŒ์กฑํ•˜์ง€ ๋ชปํ•˜์ง€๋งŒ, ์ตœ์  ๋ชจ๋ธ์€ ์ตœ์•…์˜ ๊ฒฝ์šฐ์—๋„ ํ‰๊ท  ํ† ํฌ๋Š” 20.22Nm, ํ† ํฌ ๋ฆฌํ”Œ์€ 8.25%๋ฅผ ๋งŒ์กฑํ•˜๊ธฐ ๋•Œ๋ฌธ์— ๊ฐ•๊ฑด์„ค๊ณ„๊ฐ€ ๋˜์—ˆ์Œ์„ ํ™•์ธํ•˜์˜€๋‹ค. ํ•ด๋‹น ๋‚ด์šฉ์„ ํ‘œ 9์— ์ •๋ฆฌ๋˜์–ด ์žˆ์œผ๋ฉฐ, ์ด๋ฅผ ํ†ตํ•ด์„œ ์š”๊ตฌ ์„ฑ๋Šฅ์„ ๋‹ฌ์„ฑํ•จ๊ณผ ๋™์‹œ์— ๊ฐ•๊ฑด์„ค๊ณ„๊ฐ€ ๋˜์—ˆ์Œ์„ ํ™•์ธํ•  ์ˆ˜ ์žˆ๋‹ค. ๋˜ํ•œ ํ•ด๋‹น ๊ฐ•๊ฑด์„ฑ ํ‰๊ฐ€ ๊ฒฐ๊ณผ์— ๋Œ€ํ•œ ํ†ต๊ณ„์  ์œ ์˜์„ฑ์„ ๊ฒ€์ฆํ•˜๊ธฐ ์œ„ํ•ด ๋…๋ฆฝํ‘œ๋ณธ t-test๋ฅผ ์ˆ˜ํ–‰ํ•˜์˜€๋‹ค. ๊ทธ ๊ฒฐ๊ณผ, ์ดˆ๊ธฐ ๋ชจ๋ธ๊ณผ ์ตœ์  ๋ชจ๋ธ์˜ ํ‰๊ท  ํ† ํฌ ๋ฐ ํ† ํฌ ๋ฆฌํ”Œ์— ๋Œ€ํ•œ p-value ๊ฐ’์ด ๋ชจ๋‘ 0.001 ์ดํ•˜๋กœ ๋„์ถœ๋˜์—ˆ๋‹ค. ๋”ฐ๋ผ์„œ ์ œ์•ˆํ•œ ๊ธฐ๋ฒ•์˜ ๊ฐ•๊ฑด์„ฑ ํ‰๊ฐ€๋Š” ํ†ต๊ณ„์ ์œผ๋กœ๋„ ์‹ ๋ขฐํ•  ์ˆ˜ ์žˆ๋Š” ๊ฒฐ๊ณผ์ž„์ด ์ž…์ฆ๋˜์—ˆ๋‹ค.

๊ทธ๋ฆผ 11. ๊ฐ•๊ฑด์„ฑ ํ‰๊ฐ€ ๊ฒฐ๊ณผ; (a) ํ‰๊ท  ํ† ํฌ (b) ํ† ํฌ ๋ฆฌํ”Œ

Fig. 11. Robustness evaluation results; (a) Average torque (b) Torque ripple

../../Resources/kiee/KIEE.2025.74.9.1513/fig11.png

ํ‘œ 9 ์ดˆ๊ธฐ ๋ชจ๋ธ ๋ฐ ์ตœ์  ๋ชจ๋ธ์˜ ์„ฑ๋Šฅ ๋น„๊ต

Table 9 Comparison of result of initial model and optimal model

Parameter

Initial

Optimal

Change [%]

Average torque [Nm]

20.94

20.37

-2.72

Torque ripple [%]

13.31

7.63

-42.67

ฯƒ_Average torque

0.0030

0.0011

-63.33

ฯƒ_Torque ripple

0.9040

0.1536

-83.01

๋ฐ˜๋ณต ์ตœ์ ํ™” ๊ณผ์ •์—์„œ ์ƒ์„ฑ๋œ ๋Œ€๋ฆฌ๋ชจ๋ธ์„ ์—…๋ฐ์ดํŠธํ•œ ๊ฒฐ๊ณผ, ์˜ˆ์ธก ์„ฑ๋Šฅ์ด ํ–ฅ์ƒ๋˜์—ˆ์Œ์„ ํ™•์ธํ•˜์˜€๋‹ค. ํ‘œ 10์— ์ œ์‹œ๋œ ๋ฐ”์™€ ๊ฐ™์ด ํ‰๊ท  ํ† ํฌ์— ๋Œ€ํ•œ ๋Œ€๋ฆฌ๋ชจ๋ธ์˜ ๊ฒฐ์ •๊ณ„์ˆ˜๋Š” 0.954์—์„œ 0.976์œผ๋กœ, ํ† ํฌ ๋ฆฌํ”Œ์— ๋Œ€ํ•œ ๋Œ€๋ฆฌ๋ชจ๋ธ์˜ ๊ฒฝ์šฐ์—๋Š” 0.902์—์„œ 0.953์œผ๋กœ ์ฆ๊ฐ€ํ•˜์—ฌ ๋Œ€๋ฆฌ๋ชจ๋ธ์˜ ์˜ˆ์ธก ์‹ ๋ขฐ๋„๊ฐ€ ๋ฐ˜๋ณต์„ ํ†ตํ•ด์„œ ๋†’์•„์กŒ์Œ์„ ํ™•์ธํ•˜์˜€๋‹ค.

ํ‘œ 10 ๊ฐ ๋ชฉ์ ํ•จ์ˆ˜์— ๋”ฐ๋ฅธ ์˜ˆ์ธก ์„ฑ๋Šฅ

Table 10 The prediction performance of each object function

Value

After step 1

After step 2

Average torque (R2)

0.954

0.976

Torque ripple (R2)

0.902

0.953

์ตœ์ข…์ ์œผ๋กœ ๋ณธ ๋…ผ๋ฌธ์—์„œ๋Š” ์ดˆ๊ธฐ ๋Œ€๋ฆฌ๋ชจ๋ธ์„ ์ƒ์„ฑํ•˜๊ธฐ ์œ„ํ•ด์„œ 500๊ฐœ์˜ ๋ฐ์ดํ„ฐ๋ฅผ ๋„์ถœํ•˜์˜€์œผ๋ฉฐ, GA๋ฅผ ์ˆ˜ํ–‰ํ•˜๋ฉด์„œ 2,000๊ฐœ์˜ ๋ฐ์ดํ„ฐ๋ฅผ ์ถ”๊ฐ€๋กœ ์ถ”์ถœํ•˜์˜€๋‹ค. ๋”ฐ๋ผ์„œ ์ œ์•ˆํ•œ ๊ธฐ๋ฒ•์€ ์ด 2,500๊ฐœ์˜ ๋ฐ์ดํ„ฐ๋ฅผ ํ™œ์šฉํ•˜์—ฌ ๊ฐ•๊ฑด์„ฑ ํ‰๊ฐ€๊นŒ์ง€ ์ˆ˜ํ–‰ํ•œ๋‹ค. ํ•˜์ง€๋งŒ, ๋Œ€๋ฆฌ๋ชจ๋ธ์„ ์‚ฌ์šฉํ•˜์ง€ ์•Š๊ณ  ๊ฐ•๊ฑด์„ค๊ณ„๋ฅผ ์ˆ˜ํ–‰ํ•  ๊ฒฝ์šฐ, 2,500๊ฐœ ์ง€์ ์—์„œ ๊ฐ•๊ฑด์„ฑ ํ‰๊ฐ€๋ฅผ ์œ„ํ•ด 28,561๊ฐœ์˜ ๋ฐ์ดํ„ฐ๋ฅผ ๊ฐ ์ง€์ ์—์„œ ์ถ”๊ฐ€๋กœ ์ถ”์ถœ์ด ํ•„์š”ํ•˜์—ฌ ์ด 71,405,000๊ฐœ์˜ ๋ฐ์ดํ„ฐ๋ฅผ ์ถ”์ถœํ•œ๋‹ค. ๋”ฐ๋ผ์„œ ์ œ์•ˆํ•œ ๊ธฐ๋ฒ•์„ ์‚ฌ์šฉํ•จ์œผ๋กœ์จ ๋งค์šฐ ํšจ์œจ์ ์ธ ๊ฐ•๊ฑด์„ค๊ณ„๊ฐ€ ๊ฐ€๋Šฅํ•จ์„ ํ™•์ธํ•˜์˜€๋‹ค.

4.3 ๊ฐ์ž ๋ฐ ์‘๋ ฅ ํ•ด์„ ๊ธฐ๋ฐ˜ ๋ชจ๋ธ ํƒ€๋‹น์„ฑ ๊ฒ€์ฆ

์ตœ์ข… ๋„์ถœ๋œ ์ตœ์  ๋ชจ๋ธ์˜ ๋‚ด๊ตฌ์„ฑ๊ณผ ์•ˆ์ •์„ฑ์„ ๊ฒ€์ฆํ•˜๊ธฐ ์œ„ํ•ด์„œ ์˜๊ตฌ์ž์„ ๊ฐ์žํ•ด์„๊ณผ ํšŒ์ „์ž ์‘๋ ฅํ•ด์„์„ ์ˆ˜ํ–‰ํ•˜์˜€๋‹ค.

๋„ค์˜ค๋””๋ฎด ๊ณ„์—ด์˜ ์˜๊ตฌ์ž์„์€ ๊ณ ์˜จ์ด ๋ ์ˆ˜๋ก ํ•ด๋‹น ์ž์„์˜ ์ž”๋ฅ˜์ž์†๋ฐ€๋„์™€ ๋ณด์ž๋ ฅ์ด ๊ฐ์†Œํ•˜๊ฒŒ ๋œ๋‹ค. ๋˜ํ•œ ๊ณ ์ •์ž์—์„œ ๋ฐœ์ƒํ•˜๋Š” ์—ญ์ž๊ณ„๋Š” ๋ถˆ๊ฐ€์—ญ ๊ฐ์žํ˜„์ƒ์„ ๋ฐœ์ƒ์‹œํ‚ค๊ฒŒ ๋œ๋‹ค. ๋”ฐ๋ผ์„œ ๋ณธ ๋…ผ๋ฌธ์—์„œ ๊ฐ์žํ•ด์„์„ ์ˆ˜ํ–‰ํ•˜๊ธฐ ์œ„ํ•ด์„œ ์˜จ๋„๋ฅผ 100ยฐC๋กœ ์„ค์ •ํ•˜๊ณ  ์ตœ๋Œ€ ์ „๋ฅ˜๋ฅผ ์ธ๊ฐ€ํ•˜์—ฌ ๊ฐ•ํ•œ ์—ญ์ž๊ณ„ ํ•˜์—์„œ ํ•ด์„์„ ์ˆ˜ํ–‰ํ•˜์˜€๋‹ค. ํ•ด๋‹น ์กฐ๊ฑด์—์„œ, ๋ฌด๋ถ€ํ•˜-๋ถ€ํ•˜-๋ฌด๋ถ€ํ•˜ ํ•ด์„์„ ์ˆœ์„œ๋Œ€๋กœ ํ•˜์—ฌ ์ฒ˜์Œ ๋ฌด๋ถ€ํ•˜ ํ•ด์„์—์„œ์˜ ์ƒ ์—ญ๊ธฐ์ „๋ ฅ๊ณผ ๋งˆ์ง€๋ง‰ ๋ฌด๋ถ€ํ•˜ ํ•ด์„์—์„œ์˜ ์ƒ ์—ญ๊ธฐ์ „๋ ฅ์˜ ๋ณ€ํ™”๋ฅผ ๋ถ„์„ํ•˜์˜€๋‹ค. ๊ทธ๋ฆผ 12(a)์™€ ๊ฐ™์ด ๊ฒฐ๊ณผ๊ฐ€ ๋„์ถœ๋˜์—ˆ์œผ๋ฉฐ, ํ•ด๋‹น ๊ฒฐ๊ณผ๋ฅผ ํ†ตํ•ด์„œ ์—ญ๊ธฐ์ „๋ ฅ ์ตœ๋Œ€์น˜์˜ ๋ณ€ํ™”์œจ์€ 0.01%, rms์น˜์˜ ๋ณ€ํ™”๋Š” 0.03%๋กœ ๋ฏธ๋ฏธํ•˜์—ฌ ๊ฐ์ž ๋ฐœ์ƒ ๊ฐ€๋Šฅ์„ฑ์ด ๋‚ฎ์Œ์„ ํ™•์ธํ•˜์˜€๋‹ค.

๊ทธ๋ฆผ 12. ์ตœ์  ๋ชจ๋ธ ํƒ€๋‹น์„ฑ ๊ฒ€์ฆ ๊ฒฐ๊ณผ; (a) ์˜๊ตฌ์ž์„ ๊ฐ์žํ•ด์„ ๊ฒฐ๊ณผ (b) ํšŒ์ „์ž ์‘๋ ฅํ•ด์„ ๊ฒฐ๊ณผ

Fig. 12. Validation of the optimal model; (a) Result of permanent magnet demagnetization analysis (b) Result of rotor stress analysis

../../Resources/kiee/KIEE.2025.74.9.1513/fig12.png

ํšŒ์ „์ž๊ฐ€ ๊ณ ์†์œผ๋กœ ํšŒ์ „ํ•˜๋Š” ๊ฒฝ์šฐ ์›์‹ฌ๋ ฅ์ด ๋ฐœ์ƒํ•˜๋ฉฐ, ์ด๋•Œ ํšŒ์ „์ž ๊ฐ•ํŒ ์žฌ์งˆ์˜ ํ•ญ๋ณต๊ฐ•๋„๋ฅผ ๋„˜์–ด์„œ๋Š” ์ˆœ๊ฐ„ ํšŒ์ „์ž์˜ ํŒŒ์†์ด ๋ฐœ์ƒํ•˜๊ฒŒ ๋œ๋‹ค. ๋˜ํ•œ, ์†Œํ˜• ์„ธํƒ๊ธฐ ๊ตฌ๋™์šฉ ๋ชจํ„ฐ์˜ ๊ฒฝ์šฐ ํƒˆ์ˆ˜ ์‹œ์— 800~1200 rpm์—์„œ ๋™์ž‘ํ•œ๋‹ค[11,12]. ๋”ฐ๋ผ์„œ ๋ณธ ๋…ผ๋ฌธ์—์„œ๋Š” ๋งˆ์ง„์„ ๊ณ ๋ คํ•˜์—ฌ 1,500 rpm์—์„œ ์‘๋ ฅํ•ด์„์„ ์ˆ˜ํ–‰ํ•˜์˜€์œผ๋ฉฐ, ๋‹ค์Œ๊ณผ ๊ฐ™์€ ์‹์„ ํ†ตํ•ด์„œ ์•ˆ์ „์œจ์„ ๋„์ถœํ•˜์˜€๋‹ค.

(5)
$Safety \;factor =\dfrac{Yield \;stress}{Max imu m \;stress}$

ํ•ด๋‹น ์‹์„ ์ด์šฉํ•˜์—ฌ ์ตœ์  ๋ชจ๋ธ์˜ ์•ˆ์ „์œจ์„ ๊ณ„์‚ฐํ•œ ๊ฒฐ๊ณผ, ํšŒ์ „์ž ์žฌ์งˆ์ธ 50JN1300์˜ ํ•ญ๋ณต๊ฐ•๋„(Yield Stress)์ธ 370 MPa๋ฅผ FEA๋ฅผ ํ†ตํ•ด ๋„์ถœ๋œ ์ตœ๋Œ€ ์‘๋ ฅ(Maximum Stress)์ธ 21.61 MPa๋กœ ๋‚˜๋ˆˆ ๊ฐ’์œผ๋กœ๋ถ€ํ„ฐ ์•ˆ์ „์œจ์€ 17.12๋กœ ๋„์ถœ๋˜์—ˆ๋‹ค. ์ผ๋ฐ˜์ ์œผ๋กœ ์•ˆ์ „์œจ์ด 1.2 ์ด์ƒ์ผ ๊ฒฝ์šฐ, ๊ตฌ์กฐ์  ํŒŒ์† ๊ฐ€๋Šฅ์„ฑ์ด ์—†๋Š” ๊ฒƒ์œผ๋กœ ํŒ๋‹จ๋œ๋‹ค[13]. ๋”ฐ๋ผ์„œ ํ•ด๋‹น ๋ชจ๋ธ์—์„œ ํšŒ์ „์ž ํŒŒ์† ๊ฐ€๋Šฅ์„ฑ์ด ๋‚ฎ์Œ์„ ํ™•์ธํ•˜์˜€๋‹ค.

์ด๋ฅผ ํ†ตํ•ด์„œ ์ œ์•ˆํ•œ ๊ธฐ๋ฒ•์ด ์‹ค์ œ ์„ธํƒ๊ธฐ ๊ตฌ๋™์šฉ IPMSM์— ์ ์šฉ์ด ๊ฐ€๋Šฅํ•œ ๊ฐ•๊ฑด ์ตœ์  ์„ค๊ณ„๋ฅผ ํšจ๊ณผ์ ์œผ๋กœ ์ˆ˜ํ–‰ํ•จ์„ ํ™•์ธํ•˜์˜€๋‹ค.

5. ๊ฒฐ ๋ก 

๋ณธ ๋…ผ๋ฌธ์—์„œ๋Š” ์ œ์ž‘ ๊ณต์ฐจ๋กœ ์ธํ•œ ์„ฑ๋Šฅ ์ €ํ•˜ ๋ฌธ์ œ๋ฅผ ๊ทน๋ณตํ•˜๊ณ , ์‹ค์ œ ์ œ์ž‘ ์‹œ ์‹ ๋ขฐํ•  ์ˆ˜ ์žˆ๋Š” ์ „๋™๊ธฐ ์„ฑ๋Šฅ์„ ํ™•๋ณดํ•˜๊ธฐ ์œ„ํ•ด ๊ธฐ๊ณ„ํ•™์Šต ๊ธฐ๋ฐ˜ ๋Œ€๋ฆฌ๋ชจ๋ธ๊ณผ ์œ ์ „ ์•Œ๊ณ ๋ฆฌ์ฆ˜์„ ๊ฒฐํ•ฉํ•œ ์ƒˆ๋กœ์šด ๊ฐ•๊ฑด์„ค๊ณ„ ๊ธฐ๋ฒ•์„ ์ œ์•ˆํ•˜์˜€๋‹ค. ์ œ์•ˆ๋œ ๊ธฐ๋ฒ•์€ ์ดˆ๊ธฐ ์ƒ˜ํ”Œ๋ง์„ ๊ธฐ๋ฐ˜์œผ๋กœ ๋Œ€๋ฆฌ๋ชจ๋ธ์„ ๊ตฌ์ถ•ํ•˜๊ณ , ๊ณต์ฐจ ์‚ฐํฌ๋ฅผ ๊ณ ๋ คํ•œ ๋ฌธ์ œ์˜์—ญ ์ถ•์†Œ ๊ธฐ๋ฒ•์„ ํ†ตํ•ด ๊ฐ•๊ฑด์„ฑ ํ‰๊ฐ€์˜ ์‹ ๋ขฐ๋„๋ฅผ ํ™•๋ณดํ•˜์˜€์œผ๋ฉฐ, ๋ฐ˜๋ณต ๊ณผ์ •์„ ํ†ตํ•ด์„œ ์ตœ์ ํ™”๋ฅผ ์ˆ˜ํ–‰ํ•˜๋ฉด์„œ ๋Œ€๋ฆฌ๋ชจ๋ธ์„ ์ง€์†์ ์œผ๋กœ ์—…๋ฐ์ดํŠธํ•˜์—ฌ ์˜ˆ์ธก ์„ฑ๋Šฅ์„ ํ–ฅ์ƒ์‹œ์ผฐ๋‹ค.

์„ธํƒ๊ธฐ ๊ตฌ๋™์šฉ IPMSM์„ ๋Œ€์ƒ์œผ๋กœ ํ•œ ์‹ค์ œ ์ ์šฉ ๊ฒฐ๊ณผ, ํ‰๊ท  ํ† ํฌ์™€ ํ† ํฌ ๋ฆฌํ”Œ์˜ ๋ถ„์‚ฐ์ด 60% ์ด์ƒ ๊ฐ์†Œํ•˜์˜€์œผ๋ฉฐ, ํ† ํฌ ๋ฆฌํ”Œ ๋˜ํ•œ 40% ์ด์ƒ ์ €๊ฐ๋˜๋Š” ๋“ฑ ์ •๋Ÿ‰์  ์„ฑ๋Šฅ ๊ฐœ์„ ์ด ๋ช…ํ™•ํ•˜๊ฒŒ ์ž…์ฆ๋˜์—ˆ๋‹ค. ํ‰๊ท  ํ† ํฌ๋Š” ์†Œํญ ๊ฐ์†Œํ•˜์˜€์œผ๋‚˜ ์š”๊ตฌ ์„ฑ๋Šฅ์„ ์ถฉ์กฑํ•˜์˜€์œผ๋ฉฐ, ์˜๊ตฌ์ž์„ ๊ฐ์žํ•ด์„ ๋ฐ ํšŒ์ „์ž ์‘๋ ฅํ•ด์„์„ ํ†ตํ•ด ์—ด์  ๋ฐ ๊ธฐ๊ณ„์  ์•ˆ์ •์„ฑ๊นŒ์ง€ ํ™•๋ณดํ•จ์œผ๋กœ์จ ์ œ์•ˆ๋œ ์„ค๊ณ„์•ˆ์˜ ์•ˆ์ •์„ฑ ๋˜ํ•œ ๊ฒ€์ฆ๋˜์—ˆ๋‹ค.

ํŠนํžˆ ๋ณธ ์—ฐ๊ตฌ๋Š” ๋ฐ˜๋ณต ์ตœ์ ํ™” ๊ณผ์ •์—์„œ ์ƒ์„ฑ๋˜๋Š” ๋ฐ์ดํ„ฐ๋ฅผ ํ™œ์šฉํ•˜์—ฌ ๋Œ€๋ฆฌ๋ชจ๋ธ์„ ๊ฐœ์„ ํ•จ์œผ๋กœ์จ, ์ดˆ๊ธฐ ๋ชจ๋ธ๋ณด๋‹ค ํ˜„์ €ํžˆ ํ–ฅ์ƒ๋œ ์˜ˆ์ธก ์„ฑ๋Šฅ์„ ํ™•๋ณดํ•˜์˜€๋‹ค. ์ด๋Ÿฌํ•œ ๊ณผ์ •์€ ๊ฐ•๊ฑด์„ค๊ณ„์˜ ๋ฐ˜๋ณต ํšจ์œจ์„ ๊ทน๋Œ€ํ™”ํ•˜๋ฉฐ, ์‹ค์ œ ์„ค๊ณ„ ๊ณผ์ •์—์„œ ์‹œ๊ฐ„์„ ์ ˆ๊ฐํ•  ์ˆ˜ ์žˆ์„ ๊ฒƒ์œผ๋กœ ๊ธฐ๋Œ€๋œ๋‹ค.

๋”ฐ๋ผ์„œ ๋ณธ ๋…ผ๋ฌธ์—์„œ ์ œ์•ˆํ•œ ๊ธฐ๋ฒ•์€ ์ •ํ•ด์ง„ ์„ฑ๋Šฅ์ง€ํ‘œ๋ฅผ ๋‹จ์ˆœํžˆ ๋งŒ์กฑํ•˜๋Š” ์ˆ˜์ค€์„ ๋„˜์–ด, ์ œ์ž‘ ๊ณต์ฐจ์™€ ๊ฐ™์€ ํ˜„์‹ค์  ๋ถˆํ™•์‹ค์„ฑ์„ ๊ณ ๋ คํ•œ ๊ฐ•๊ฑด ์ตœ์  ์„ค๊ณ„๋ฅผ ํšจ์œจ์ ์œผ๋กœ ๊ฐ€๋Šฅํ•˜๊ฒŒ ํ•œ๋‹ค๋Š” ์ ์—์„œ ๋†’์€ ์˜๋ฏธ๋ฅผ ์ง€๋‹Œ๋‹ค. ํ–ฅํ›„ ๋‹ค์–‘ํ•œ ํ˜•์ƒ, ๋™์ž‘ ์กฐ๊ฑด ๋“ฑ์„ ๊ณ ๋ คํ•  ์ˆ˜ ์žˆ์œผ๋ฉฐ, ์ „๊ธฐ์ฐจ ๊ตฌ๋™์šฉ ๋ชจํ„ฐ, ๋กœ๋ด‡ ๊ด€์ ˆ์šฉ ๋ชจํ„ฐ ๋“ฑ ๊ณ ์‹ ๋ขฐ์„ฑ ๋ชจํ„ฐ ์„ค๊ณ„ ์ „๋ฐ˜์— ํญ๋„“๊ฒŒ ์‘์šฉ๋  ์ˆ˜ ์žˆ์„ ๊ฒƒ์œผ๋กœ๋„ ๊ธฐ๋Œ€๋œ๋‹ค.

๊ฐ์‚ฌ์˜ ๊ธ€

์ด ๋…ผ๋ฌธ์€ 2025๋…„๋„ ์ •๋ถ€(์‚ฐ์—…ํ†ต์ƒ์ž์›๋ถ€)์˜ ์žฌ์›์œผ๋กœ ํ•œ๊ตญ์‚ฐ์—…๊ธฐ์ˆ ์ง„ํฅ์›์˜ ์ง€์›์„ ๋ฐ›์•„ ์ˆ˜ํ–‰๋œ ์—ฐ๊ตฌ์ž„(RS-2025-02263945, 2025๋…„ ์‚ฐ์—…ํ˜์‹ ์ธ์žฌ์„ฑ์žฅ์ง€์›์‚ฌ์—…)

References

1 
W. Ren, Q. Xu, Q. Li and L. Zhou, โ€œReduction of Cogging Torque and Torque Ripple in Interior PM Machines With Asymmetrical V-Type Rotor Design,โ€ in IEEE Transactions on Magnetics, vol. 52, no. 7, pp. 1-5, July 2016. DOI:10.1109/TMAG.2016.2530840DOI
2 
L. Hao, M. Lin, D. Xu, N. Li and W. Zhang, โ€œCogging Torque Reduction of Axial-Field Flux-Switching Permanent Magnet Machine by Rotor Tooth Notching,โ€ in IEEE Transactions on Magnetics, vol. 51, no. 11, pp. 1-4, Nov. 2015. DOI:10.1109/TMAG.2015.2453340DOI
3 
C. Ma and L. Qu, โ€œMultiobjective Optimization of Switched Reluctance Motors Based on Design of Experiments and Particle Swarm Optimization,โ€ in IEEE Transactions on Energy Conversion, vol. 30, no. 3, pp. 1144-1153, Sept. 2015. DOI:10.1109/TEC.2015.2411677DOI
4 
X. Zhao, Z. Sun and Y. Xu, โ€œMulti-Objective Optimization Design of Permanent Magnet Synchronous Motor Based on Genetic Algorithm,โ€ 2020 2nd International Conference on Machine Learning, Big Data and Business Intelligence (MLBDBI), pp. 405-409, 2020. DOI:10.1109/MLBDBI51377.2020.00086DOI
5 
J. Ou, Y. Liu, R. Qu and M. Doppelbauer, โ€œExperimental and Theoretical Research on Cogging Torque of PM Synchronous Motors Considering Manufacturing Tolerances,โ€ in IEEE Transactions on Industrial Electronics, vol. 65, no. 5, pp. 3772-3783, May 2018. DOI:10.1109/TIE.2017.2758760DOI
6 
D. -K. Lim, D. -K. Woo, I. -W. Kim, J. -S. Ro and H. -K. Jung, โ€œCogging Torque Minimization of a Dual-Type Axial-Flux Permanent Magnet Motor Using a Novel Optimization Algorithm,โ€ in IEEE Transactions on Magnetics, vol. 49, no. 9, pp. 5106-5111, Sept. 2013. DOI:10.1109/TMAG.2013.2256430DOI
7 
X. Sun, N. Xu and M. Yao, โ€œSequential Subspace Optimization Design of a Dual Three-Phase Permanent Magnet Synchronous Hub Motor Based on NSGA III,โ€ in IEEE Transactions on Transportation Electrification, vol. 9, no. 1, pp. 622-630, March 2023. DOI:10.1109/TTE.2022.3190536DOI
8 
Z. Pan and S. Fang, โ€œCombined Random Forest and NSGA-II for Optimal Design of Permanent Magnet Arc Motor,โ€ in IEEE Journal of Emerging and Selected Topics in Power Electronics, vol. 10, no. 2, pp. 1800-1812, April 2022. DOI:10.1109/JESTPE.2021.3049242DOI
9 
Q. Xu, Y. Yang, Y. Liu and X. Wang, โ€œAn Improved Latin Hypercube Sampling Method to Enhance Numerical Stability Considering the Correlation of Input Variables,โ€ in IEEE Access, vol. 5, pp. 15197-15205, 2017. DOI:10.1109/ACCESS.2017.2731992DOI
10 
D. -K. Lim, S. -Y. Jung, K. -P. Yi and H. -K. Jung, โ€œA Novel Sequential-Stage Optimization Strategy for an Interior Permanent Magnet Synchronous Generator Design,โ€ in IEEE Transactions on Industrial Electronics, vol. 65, no. 2, pp. 1781-1790, Feb. 2018. DOI:10.1109/TIE.2017.2739685DOI
11 
A. Bianchi and M. Valiani, โ€œDSP-Based and Microcontroller -Based Variable Frequency Drives for Domestic Washing Machine,โ€ 2007 IEEE Industry Applications Annual Meeting, pp. 1052-1055, 2007. DOI:10.1109/07IAS.2007.163DOI
12 
Won-Cheol Lee, S. -H. Park, Jung-Hyo Lee, Young-Ryul Kim and Chung-Yuen Won, โ€œControl of IPMSM drive system for drum washing machine,โ€ 2007 7th Internatonal Conference on Power Electronics, pp. 930-935, 2007. DOI:10.1109/ICPE.2007.4692520DOI
13 
F. Yang, N. Li, G. Du, M. Huang, and Z. Kang, โ€œElectromagnetic Optimization of a High-Speed Interior Permanent Magnet Motor Considering Rotor Stress,โ€ Applied Sciences, vol. 14, no. 14, pp. 6033, 2024. DOI:10.3390/app14146033.DOI

์ €์ž์†Œ๊ฐœ

์˜ค์Šนํ™˜(Seung-Hwan Oh)
../../Resources/kiee/KIEE.2025.74.9.1513/au1.png

He received the B.S. degree in Electrical, Electronics and Computer Engineering from the University of Ulsan, Republic of Korea, in 2024. He is currently pursuing the M.S. degree in the same department. His research interests include motor design and machine learningโ€“based optimization algorithms.

์ด๊ฒฝํ˜ธ(Kyung-Ho Lee)
../../Resources/kiee/KIEE.2025.74.9.1513/au2.png

He received the B.S. degree in Electrical and Electronic Control Engineering from Kongju National University, Republic of Korea, in 2024. He is currently pursuing the M.S. degree at the Graduate School of the University of Ulsan, Republic of Korea. His research interests include SSABT system control algorithm development and circuit breaker design for electric propulsion vessels.

์ž„๋™๊ตญ(Dong-Kuk Lim)
../../Resources/kiee/KIEE.2025.74.9.1513/au3.png

He received the B.S. degree in Electrical Engineering from Dongguk University, Republic of Korea, in 2010, and the integrated M.S. and Ph.D. degree in Electrical Engineering from Seoul National University, Republic of Korea, in 2017. In 2017, he served as a Principal Researcher with the Eco-Design Lab, Research & Development Division, Hyundai Mobis, Republic of Korea. He has been an Associate Professor with the Department of Electrical Engineering, University of Ulsan, Republic of Korea, since 2017. His research interests include electrical machine analysis and optimal design.