김종겸
(Jong-Gyeum Kim)
†iD
Copyright © The Korea Institute for Structural Maintenance and Inspection
Key words
Efficiency, Induction motor, Starting Current, Transformer Capacity, Voltage Drop
1. 서 론
전 세계적으로 생산된 전력의 약 60%는 전동기에 의해 소비되고 있다. 이에 따라 전동기의 에너지 효율 향상은 에너지 절약과 탄소 배출량 저감 측면에서
매우 중요한 과제로 주목받고 있다[1]. 그래서 전동기의 고효율화를 위한 국제 효율 등급(IE)의 상향이 지속적으로 추진되고 있으며, 이는 지속 가능한 에너지 시스템 구축으로 한정된 에너지를
효율적으로 사용하여 미래 세대를 위한 지속 가능한 에너지 시스템 구축에 이바지하기 위함이다. 나아가 전동기 효율 개선은 에너지 비용 절감과 생산성
향상으로 기업의 원가 경쟁력을 높이고, 친환경 기술 확보로 글로벌 기후 변화 대응과 국제경쟁력을 높이는 데 긍정적인 역할을 할 것이다[1,2].
유도전동기의 효율을 높이기 위한 설계는 누설리액턴스 감소로 무효전력을 줄이고, 역률을 높이는 한편으로 전체 임피던스를 낮게 하여 기동전류(돌입전류)를
증가하게 하는 특징을 갖고 있다[3-10].
유도전동기는 기동 시 큰 전류가 흘러 전압강하가 높게 발생하며, 지나친 경우 간선에 연결된 다른 설비의 안정적인 운전에 영향을 미칠 수 있다. 기동전류의
증가에 대해 변압기 용량이 낮은 경우에 전압강하는 커질 수 있다. 따라서 변압기 용량을 선정할 때 유도전동기의 고효율화로 인한 기동전류의 증가 때문에
발생할 수 있는 전압강하가 간선에서 허용할 수 있는 범위 안에 들어갈 수 있도록 변압기 용량을 산정하는 것이 중요하다.
본 연구는 유도전동기의 고효율화로 증가하게 된 기동전류에 의한 전압강하가 전기품질의 허용할 수 있는 범위 내로 유지할 수 있는 적정한 크기의 변압기
용량을 찾는 것이다. 이를 위해 기동전류 배율에 따라 변압기 용량을 약식으로 계산하여 구한 것과 실제로 기동전류의 배율을 고려하여 전동기의 파라미터를
각각 구한 다음 이들을 이용하여 전압강하율이 허용범위 안에 들어갈 수 있는 적정 용량의 변압기를 서로 비교 분석하였다.
2. 유도전동기와 변압기 용량
2.1 유도전동기
유도전동기는 전기에너지를 기계적인 회전력으로 변환하는 대표적인 회전기기이다. 유도전동기의 고정자에 전원을 인가하면 회전자계가 형성되고, 자속의 형성에
관여하는 코일의 인덕턴스 성분과 전력 손실을 일으키는 저항 성분도 존재한다. 최근 고효율 유도전동기의 개발에 따라 인덕턴스 및 저항 성분의 값이 기존
전동기 대비 약간씩 변화하고 있다.
그림 1은 유도전동기의 특성을 파악하기 위해 사용하는 단상 등가 회로도이다. 이 전동기의 고정자에 흐르는 전류($I_{s}$)는 다음과 같다. 고정자의 전류는
슬립의 크기에 영향을 크게 받는다.
그림 1. 유도전동기의 등가회로도
Fig. 1. Equivalent circuit diagram of an induction motor
여기서, ${R}_{{s}},\: {R}_{{r}}$은 고정자와 회전자의 저항이고, ${L}_{{ls}},\: {L}_{{lr}}$은 고정자와 회전자의
누설인덕턴스이다. ${L}_{{m}}$은 자화 인덕턴스이고. ${s}$는 슬립이다.
최근 유도전동기의 효율 향상을 위해 누설인덕턴스를 줄이는 방향으로 설계가 진행되고 있다. 이러한 인덕턴스의 변화는 전동기 기동 시 인가 전류 특성에
영향을 미치게 된다.
유도전동기는 기동(${s}=1$)해서 정격속도에 도달하기 전까지 정격전류의 수배에 해당하는 큰 기동전류가 흐른다. 이러한 기동전류로 인해 일시적인
전압강하가 발생하게 되며, 이 전압강하는 전동기의 안정적인 운전에 영향을 미칠 수 있다[4-16]. 따라서 전압강하를 허용할 수 있는 범위 내로 유지할 수 있도록 적정 용량의 변압기를 선정하는 것은 전압품질 측면에서 매우 중요하다.
2.2 변압기 용량 산정
변압기를 안전하게 운용하기 위해서는 부하의 운전조건에 적합한 용량을 정확히 산정하는 것이 매우 중요하다. 일반적으로 변압기의 용량은 정격 운전 기준으로
결정되지만, 유도전동기와 같은 기동 부하는 기동 시 큰 전류가 흐르므로 전압강하를 고려한 별도의 용량 산정이 요구된다. 특히, 변압기가 이러한 기동전류를
충분히 감당하지 못하는 경우 과부하로 과열 및 수명 저하를 일으킬 수 있다[5-7]. 따라서 기동특성을 반영한 적절한 용량 확보가 필수적이며, 전압강하를 고려한 합리적인 용량 산정은 변압기 설계의 핵심 요소 중 하나로 작용한다.
그림 2는 변압기에 유도전동기가 연결된 단선 결선도이다.
그림 2. 유도전동기 연결 단선도
Fig. 2. Induction motor connection diagram
유도전동기 직입 기동(DOL; Direct on Line starting)으로 큰 돌입전류가 흐를 때 변압기 2차 측에서 전동기에 공급하는 전력에
해당하는 피상전력의 변압기 용량(${S}_{{t}1}$)은 다음과 같다.
변압기 용량을 결정할 때 중요한 요소 중 하나는 유도전동기 기동 시 최대 전류가 흐를 경우, 간선에서의 전압강하(${VD}$ ; Voltage Drop)가
10% 이하가 되도록 설계하는 것이다[11-17]. 이는 전동기의 기동전류가 변압기의 정격전류에 비해 상대적으로 크기 때문이며, 이러한 전압강하를 고려한 변압기 용량($S_{t2}$)은 다음과 같이
근사적으로 산정할 수 있다.
여기서, ${P}_{{out}}$는 유도전동기 정격출력이고, $\eta$과 ${pf}$는 각각 효율과 역률이다. ${I}_{{n}}$은 정격전류이고,
$%{VD}$는 전압강하율이며, $K$는 여유율로 부하 증가와 운전조건 등을 고려하여 10%로 산정한다.
유도전동기의 기동 계급은 출력 1kW당 기동 시 필요한 입력의 크기를 기준으로 분류한 것으로, 출력당 입력전력(kVA/kW)을 기준으로 A부터 V까지
총 19종으로 구분된다
[4]. 유도전동기의 기동 계급은 다음과 같이 1kW당 입력전력[kVA]으로 산정할 수 있다.
해당 값에 전동기의 출력을 곱하면, 전압강하 허용범위 내에서 운전이 가능한 변압기의 용량을 산정할 수 있다.
식
(2),
(3),
(4)로부터 산출한 변압기의 용량은 동일한 값을 갖는다.
2.3 전압강하
전동기 용량이 결정되면, 이에 상응하는 변압기 용량을 산정하여 전압강하를 예측할 수 있다. 유도전동기는 기동 시 정격전류에 비해 높은 돌입전류가 발생하며,
이러한 전류가 순간적으로 흐르는 경우 간선에 연결된 다른 부하에 영향을 줄 수 있다. 따라서 전압강하를 허용할 수 있는 범위 내로 유지하기 위해서는
전동기 기동 시 요구하는 최대 용량과 변압기의 단락용량을 정확히 파악하는 것이 매우 중요하다.
변압기의 단락용량(${S}_{{sc}}$)은 다음과 같이 산정된다.
여기서, ${I}_{{tr}}$은 변압기 2차 전류이고, $%{Z}$는 변압기의 퍼센트 임피던스이다.
유도전동기의 돌입전류에 의해 발생하는 변압기 2차 측의 전압강하율은 변압기 용량(${S}_{{t}}$)과 단락용량(${S}_{{sc}}$)으로 산정된다.
3. 해석 및 결과 분석
본 연구에 적용한 유도전동기는 표 1과 같은 것을 선택하였다. 기동하는 동안 발생한 돌입전류와 전압강하의 변화를 모의하기 위해 전자계 과도해석 프로그램(EMTP)[18]을 이용하였다.
표 1 유도전동기의 사양
Table 1 Specifications of induction motor
|
Item
|
Values
|
|
Rated power [kW]/[㏋]
|
75/100
|
|
Number of pole
|
4
|
|
Voltage [V]
|
380
|
|
Full load current [A]
|
150
|
|
Efficiency [%]
|
95
|
|
Power factor [%]
|
80
|
|
Rated speed [r.p.m]
|
1770
|
최근의 유도전동기는 같은 용량이라도 에너지 효율 규제 강화로 더 높은 효율을 추구하기 위해 고정자와 회전자의 저항을 낮추고, 자기회로의 손실을 줄이는
방법으로 설계함에 따라 누설리액턴스가 줄어들어 정상 운전 시 역률이 개선되어 전압강하는 줄어들게 되지만, 기동할 때는 전체 임피던스가 줄어들어 기동전류가
증가하게 된다. 이같이 기동 시 증가하는 추세를 반영하여 높은 기동전류에서도 전압강하를 일정한 범위에서 전압을 안정적으로 제공할 수 있는 적정한 크기의
변압기 용량 선정은 매우 중요하다.
변압기의 퍼센트 임피던스는 용량이 크면 높고, 용량이 작은 경우 낮은 값을 적용하는데 본 연구에 사용되는 변압기의 경우는 용량을 고려하여 5%로 선정하였다[16]. 적용한 변압기의 고효율로 용량에 따라 97~98% 정도이다.
앞서 수(2)~(4)에서 전개한 공식으로 표 1에서 제시한 전동기와 변압기 용량으로부터 전압강하를 계산하면 다음 표 2와 같다.
표 2 기동전류와 변압기 용량에 따른 전압강하율
Table 2 Voltage drop ratio according to starting current and transformer capacity
|
TR capacity
[kVA]
|
$I_{st}/I_{n}$
|
|
4
|
5
|
6
|
7
|
8
|
|
300
|
6.58
|
8.22
|
9.87
|
11.51
|
13.16
|
|
400
|
4.93
|
6.17
|
7.40
|
8.63
|
9.87
|
|
500
|
3.95
|
4.93
|
5.92
|
6.91
|
7.89
|
|
600
|
3.29
|
4.11
|
4.93
|
5.76
|
6.58
|
|
750
|
2.63
|
3.29
|
3.95
|
4.60
|
5.26
|
표 2에서와 같이 같은 변압기에서도 정격전류에 대한 기동전류의 배율이 높아지면 전압강하율이 높아지고, 같은 기동전류의 배율에 대해서는 변압기 용량이 크게
하면 전압강하는 줄어든다. 이는 모두 선로와 변압기의 내부 요소를 고려하지 않은 이상적인 상황에서 구한 결과이다. 변압기 용량이 300kVA에서 기동전류의
배율이 7배 이상이 되면 전압강하 허용범위 10%를 초과하고, 변압기 용량이 400kVA 이상인 경우에서는 전압강하가 허용범위 10% 이내임을 알
수 있다. 표 2와 같은 간이 계산 결과에서 유도전동기를 10%의 전압강하율 범위에서 운전하기 위해서는 변압기의 용량은 전동기 정격출력(75kW)의 약 4배 이상이
되어야 하는 것을 알 수 있다.
전동기 효율 향상을 위한 연구에서는 임피던스 중 누설리액턴스 값을 줄이는 방향으로 설계가 진행되고 있으며, 이에 따라 기동 시 상대적으로 낮아진 임피던스에
의한 높은 전류가 발생하게 된다. 따라서 이런 변화를 반영하여 변압기 2차 측에서 발생하는 전압강하를 줄일 수 있는 적정한 크기의 변압기 선정에 대한
분석이 필요하다.
표 3은 표 1에서 제시한 유도전동기의 효율과 역률을 일정하게 두고서 기동전류의 배율에 따라 달라지는 유도전동기의 고정자와 회전자에 대한 저항과 인덕턴스를 EMTP
프로그램의 Induction machine fitting[19]을 이용하여 구한 것이다. 표 3에 나타낸 바와 같이 효율과 역률 등이 같은 조건에서 기동전류의 배율이 증가하면 저항과 자화 리액턴스는 거의 변화가 없고, 누설인덕턴스는 약간씩 줄어드는
것을 알 수 있다.
표 3 유도전동기의 저항 및 인덕턴스
Table 3 Resistance and inductance of induction motor
|
Parameters
|
Values
|
|
Starting current ratio [p.u]
|
4
|
5
|
6
|
7
|
8
|
|
Stator
Resistance [mΩ]
|
9.974
|
9.974
|
9.974
|
9.974
|
9.974
|
|
Stator leakage
inductance [mH]
|
0.3879
|
0.3092
|
0.2566
|
0.2188
|
0.1904
|
|
Magnetizing
inductance [mH]
|
6.492
|
6.48
|
6.474
|
6.47
|
6.467
|
|
Rotor
resistance [Ω]
|
0.03
|
0.03
|
0.03
|
0.03
|
0.03
|
|
Rotor leakage inductance [mH]
|
0.5818
|
0.4638
|
0.3849
|
0.3292
|
0.2855
|
기동 시 전압강하를 고려하여 변압기를 선정하면 무부하 운전이나 경부하 운전에서 손실이 커서 현장에서는 경험적으로 변압기 용량은 전동기 입력전력의 3배
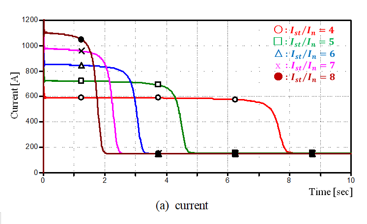
범위에서 크기를 결정하고 있다[5,9]. 이런 경우 표 1에서 제시한 전동기에 해당하는 변압기의 용량은 300kVA이다.
그림 3은 변압기 용량을 300kVA로 설정한 다음 기동전류 배율($I_{st}/I_{n}$= 5~8배)에 따라 기동해서 정격속도에 도달하기까지 전류 및
전압의 변화를 모의한 결과이다. 그림 3에서와 같이 기동전류 배율이 낮을수록 돌입전류의 크기와 이에 따른 전압강하는 줄어들지만, 전압강하가 지속되는 시간이 길어지는 특성을 나타낸다. 반면,
기동전류 배율이 높은 경우 전압강하는 증가하지만, 그 지속시간은 상대적으로 짧아진다.
그림 3. 구속 회전자 전류 배율에 따른 기동 시 전류와 전압
Fig. 3. Start-up current and voltage with locked rotor current multiplication factor(TR
300kVA)
표 4는 퍼센트 임피던스 5%, 300kVA로 설정한 변압기를 대상으로 표 1에 제시한 유도전동기를 대상으로 기동전류 배율($I_{st}/I_{n}$= 5~8배)이 서로 다른 경우에 기동 과정에서 발생한 전류의 크기와 전압강하
그리고 그 지속시간을 비교한 것이다.
표 4 300kVA TR 적용 시 기동전류 배율에 따른 전압강하와 지속시간
Table 4 Voltage drop and duration according to starting current ratio when applying
300kVA TR
|
Starting current ratio [p.u]
|
4
|
5
|
6
|
7
|
8
|
|
$I_{st}$[A]
|
562
|
679.7
|
791.87
|
898.4
|
1002.4
|
|
$I_{n}$[A]
|
159.6
|
156.29
|
154.24
|
152.95
|
151.96
|
|
$I_{st}/I_{n}$[p.u]
|
3.52
|
4.35
|
5.13
|
5.87
|
6.59
|
|
Volt [V]
|
기동
|
340.76
|
332.66
|
325.0
|
317.77
|
310.8
|
|
정상
|
371.8
|
372.24
|
372.46
|
372.6
|
372.71
|
|
Voltage drop rate [%]
|
8.37
|
10.6
|
12.74
|
14.7
|
16.6
|
|
Voltage drop duration [sec]
|
9.1
|
5.8
|
3.8
|
3.0
|
2.48
|
표 4에 나타낸 바와 같이, 유도전동기의 기동전류 배수가 증가할수록 전압강하의 크기와 그 지속 기간이 함께 증가하는 것을 확인할 수 있다. 특히, 기동전류의
배율이 4배일 경우에만 전압강하율이 10% 이내로 유지되고, 기동전류 배율이 4배 이상에서는 전압강하율의 허용 기준(10%)을 초과하게 하므로 변압기
용량의 추가가 필요하다. 앞서 간이 계산에서 구한 것과 차이 나는 이유는 효율 향상에 따른 전동기의 파라미터 값을 정확하게 고려하지 못하기 때문이다.
그래서 이것보다 약간 더 높은 변압기 용량을 대상으로 기동전류 배율 증가에 따른 전압강하와 그 지속시간에 대해 모의하였다.
그림 4는 변압기 용량을 500kVA로 설정한 다음 표 1에 제시한 유도전동기의 기동전류 배율($I_{st}/I_{n}$= 5~8배) 변화에 따라 기동해서 정격속도에 도달하기까지 전류 및 전압의 변화를 모의한
결과를 나타낸 것이다.
그림 4. 구속 회전자 전류 배율에 따른 기동 시 전류와 전압
Fig. 4. Start-up current and voltage with locked rotor current multiplication factor(TR
500kVA)
표 5는 변압기 용량 500kVA, 퍼센트 임피던스 5% 조건에서, 표 1에서 제시한 유도전동기를 대상으로 기동전류 배율($I_{st}/I_{n}$= 5~8배)이 서로 다른 경우 기동 시 발생한 전압강하와 그 지속시간을
비교한 결과를 나타낸 것이다.
표 5 500kVA TR 적용 시 기동전류 배율에 따른 전압강하와 지속시간
Table 5 Voltage drop and duration according to starting current ratio when applying
500kVA TR
|
Starting current ratio [p.u]
|
4
|
5
|
6
|
7
|
8
|
|
$I_{st}$[A]
|
587.57
|
717.25
|
843.12
|
963.31
|
1078.2
|
|
$I_{n}$[A]
|
158.86
|
155.62
|
153.81
|
152.51
|
151.56
|
|
$I_{st}/I_{n}$[p.u]
|
3.69
|
4.6
|
5.4
|
6.3
|
7.1
|
|
Volt [V]
|
기동
|
355.67
|
350.36
|
345.28
|
340.46
|
335.62
|
|
정상
|
375.2
|
375.42
|
375.54
|
375.62
|
375.69
|
|
Voltage drop rate [%]
|
5.2
|
6.7
|
8.0
|
9.3
|
10.7
|
|
Voltage drop duration [sec]
|
8.28
|
5.0
|
3.45
|
2.7
|
2.1
|
표 5에 나타낸 바와 같이, 동일한 유도전동기에 대해 변압기 용량을 500kVA로 소폭 증가시킬 때 기동전류 증가에 따른 전압강하는 감소하는 경향을 보인다.
그러나 기동전류가 8배에 이르는 경우는 전압강하율이 10%를 약간 초과하는 것으로 확인되었다. 따라서 표 1에 제시된 유도전동기의 경우, 기동전류가 8배에 달할 때 전압강하 범위를 만족시키기 위해 보다 더 큰 용량의 변압기 적용이 필요하다. 이에 따라 해당
유도전동기의 돌입전류 조건을 모두 만족할 수 있도록 한 단계 상위 표준 용량의 변압기에 대한 전압강하 특성을 추가로 검토할 필요가 있다.
그림 5는 변압기 용량을 600kVA로 설정한 다음 표 1에 제시한 유도전동기의 기동전류 배율($I_{st}/I_{n}$= 5~8배) 변화에 따라 정격속도에 도달하기까지 전류 및 전압의 변화를 모의한 결과를
나타낸 것이다.
그림 5. 구속 회전자 전류 배율에 따른 기동 시 전류와 전압
Fig. 5. Start-up current and voltage with locked rotor current multiplication factor(TR
600kVA)
표 6은 변압기 용량 600kVA, 퍼센트 임피던스 5% 조건에서, 기동전류 배율($I_{st}/I_{n}$= 5~8배)이 서로 다른 유도전동기를 대상으로
기동 시 발생한 전압강하 및 그 지속시간을 비교한 결과를 나타낸 것이다.
표 6 600kVA TR 적용 시 기동전류 배율에 따른 전압강하와 지속시간
Table 6 Voltage drop and duration according to starting current ratio when applying
60kVA TR
|
Starting current ratio [p.u]
|
4
|
5
|
6
|
7
|
8
|
|
$I_{st}$[A]
|
593.18
|
725.52
|
855.63
|
979.32
|
1102.4
|
|
$I_{n}$ [A]
|
158.75
|
155.63
|
153.7
|
152.52
|
151.47
|
|
$I_{st}/I_{n}$[p.u]
|
3.7
|
4.66
|
5.56
|
6.42
|
7.28
|
|
Volt
[V]
|
기동
|
359.33
|
354.79
|
350.38
|
346.22
|
342.1
|
|
정상
|
375.99
|
376.16
|
376.26
|
376.33
|
376.38
|
|
Voltage drop rate [%]
|
4.4
|
5.68
|
6.87
|
8.0
|
9.1
|
|
Voltage drop duration [sec]
|
8.0
|
4.86
|
3.42
|
2.62
|
2.1
|
기동전류가 정격의 8배에 이를 때에도 전압강하율이 10% 이내로 유지되기 위해서는 이에 상응하는 변압기 용량이 요구된다. 본 연구에서는 이 조건을
만족하는 용량을 600kVA로 선정하면 기동전류의 배율이 8배가 되어도 전압강하율을 10% 이내로 유지하는 것이 필요하다. 이는 간이로 구한 변압기
용량(400kVA)보다 2배가 넘는 크기에 해당한다.
4. 결 론
본 연구에서는 유도전동기의 고효율화로 증가한 기동전류 증가가 전력 계통 내에서 미치는 전압강하의 영향을 분석하고, 이를 바탕으로 허용할 수 있는 전압강하를
만족시키는 적정 변압기 용량을 도출하였다. 고효율 전동기의 도입은 누설리액턴스 감소로 기동전류가 증가하는 결과를 초래하며, 이에 따라 전압강하가 심화하여
2차 측 전압품질 확보를 위해 변압기 용량의 확대가 필수적임을 본 연구를 통해 확인하였다.
기동전류의 배율과 변압기 용량 간 관계를 분석한 결과, 변압기 용량이 작을수록 전압강하는 커지고, 기동전류가 일정 비율을 초과하는 경우는 전압강하율이
10%를 넘어설 수 있어 더욱더 큰 용량의 변압기 적용이 필요함을 알 수 있었다.
단순하게 기동전류 배수와 변압기의 퍼센트 임피던스만으로 계산한 값보다 실제 전동기의 고정자와 회전자 파라미터를 고려한 구한 변압기에서 전압강하가 더
큰 것을 확인하였다. 따라서 고효율 유도전동기를 적용하여 현장에서는 전동기 기동 조건에 따른 전압강하 허용 기준을 충족할 수 있도록 충분한 여유를
갖는 변압기 용량을 선정하는 것이 바람직하며, 전기품질 유지를 위한 중요한 설계 요소로 반영되어야 할 것이다.
References
KEEi Research Papers, Evaluation of Motor Save Program in Industry Sector, 2003.12.

IEC 60034-1, “Rotating Electrical Machines–Part 30-1 : Efficiency Classes of Line
Operated AC motors(IE code),” 2014.

Chengliu Ai et al., “A Hybrid Methodology for Analyzing the Performance of Induction
Motors with Efficiency Improvement by Specific Commercial Measures,” MDPI, vol. 12,
no, 23, Nov. 2019. https://doi.org/10.3390/en12234497

IEC 60034-12, Rotating Electrical Machines–Part 12 : Starting Performance of Single-speed
Three-phase Cage Induction Motors, 2007.

Theodore Wildi, Electrical Machines, Drives, and Power Systems, Prentice Hall 5th
2002.

S. Chapman, Electric Machinery Fundamentals, 4th ed. New York, NY: McGraw-Hill Education,
2005.

Fitzgerald & Kingsley, Umans, Electric Machinery-7th, McGraw, ISBN 978-0-07-338046-9,
2003.

IEEE Std 112, IEEE Standard Test Procedure for Polyphase Induction Motors and Generators,
2018. https://doi.org/10.1109/IEEESTD.2018.8291810

P.C. Sen, Principles of Electric Machines and Power Electronics, Wiley, 2021.

Paul L. Cochran, Poly-phase Induction Motors-Analysis, Design, and Application, CRC
Press 1989.

IEEE Std 3002.7-2018, IEEE Recommended Practice for Conducting Motor-Starting Studies
and Analysis of Industrial and Commercial Power Systems, pp. 32-62, 2018. https://doi.org/10.1109/IEEESTD.2019.8700700

Frank M. Bruce et al., “Reduced-Voltage Starting of Squirrel-Cage Induction Motors,”
IEEE Trans on I.A, vol. 20, no. 1, pp. 46-55, Jan/Feb. 1984. https://doi.org/10.1109/TIA.1984.4504374

IEEE Std 141, IEEE Recommended Practice for Electric Power Distribution for Industrial
Plants, 1993. https://doi.org/10.1109/IEEESTD.1994.121642

Jong-Gyeum Kim, “Study on Voltage Drop, Transformer Capacity and Impedance During
Induction Motor Starting,” Trans on the KIEE, vol. 71, no. 4, pp. 669-674, 2022.04.
https://doi.org/10.5370/KIEE.2022.71.4.669

IEEE Std C57.12, IEEE Standard for General Requirements for Dry-Type Distribution
and Power Transformers, 2020. https://ieeexplore.ieee.org/document/9269795

IEC 60076-5, Power transformer- Ability to withstand short circuit, 2006.

NFPA 70, Standard for Portable Fire Extinguishers, 2023.

Alternative Transients Programs, ATP-EMTP, ATP User Group, 2007. [Online] Available
: http://www.emtp.org

H. K. Lauw and W. S. Meyer, “Universal Machine Modeling for the Representation of
Rotating Electric Machinery in an Electromagnetic Transients Program,” in IEEE Transactions
on Power Apparatus and Systems, vol. PAS-101, no. 6, pp. 1342-1351, June 1982. http://doi.org/10.1109/TPAS.1982.317181

저자소개
Jong‑Gyeum Kim received his B.S. degree in Electrical Engineering from Dong-A University,
Busan, Korea, in 1984, and M.S, and Ph.D. in Electrical Engineering from Chungnam
National University in 1991 and 1996, respectively.
In 1987, he worked at KT, and from 1988 to 1996, he worked at K-water.
He was a Visiting Professor at the University of Wisconsin-Madison from 2013 to 2014
and the University of Idaho from 2022 to 2023.
He has been working at Gangneung-Wonju National University since 1996. His research
interests include the design and implementation of Energy conversion system and power
quality. He is a fellow member of the KIEE.