๊นํ์ฐ
(Hyung-Woo Kim)
1iD
๋ฐ์ธ์
(Seah Park)
1iD
์ก์ธ์
(In-Seok Song)
1iD
์งํํ
(Tae-Hyuk Ji)
1iD
์ ์์ฉ
(Sang-Yong Jung)
โ iD
-
(Dept. of Electrical and Computer Engineering, Sungkyunkwan University, Republic
of Korea.)
Copyright ยฉ The Korea Institute for Structural Maintenance and Inspection
Key words
Axial Flux Permanent Magnet Synchronous Motor (AFPMSM), CNC Machining, Quasi-3D Analysis Cogging Torque, Servo Motor, , Skew
1. ์ ๋ก
์ ๋ฐ ์์น์ ์ด๊ฐ ํ์์ ์ธ ๋ก๋ณดํฑ์ค, ๋ฐ๋์ฒดยท๋์คํ๋ ์ด ์ ์กฐ ๊ณต์ , ์ ๋ฐ CNC(Computerized Numerical Control) ๊ฐ๊ณต ๋ฑ
๊ณ ๋ถ๊ฐ๊ฐ์น ์ฐ์
๋ถ์ผ์์๋ ๋์ ํ ํฌ๋ฐ๋, ์ ์ํ ์๋ต์ฑ, ์ ์ง๋ยท์ ์์ ํน์ฑ์ ๋์์ ๋ง์กฑํ๋ ์๋ณด๋ชจํฐ์ ๋ํ ์๊ตฌ๊ฐ ๊พธ์คํ ์ฆ๊ฐํ๊ณ ์๋ค[1-2]. ์ด์ ๊ฐ์ ์๋ณด๋ชจํฐ๋ ๋ค์ํ ๋์ ํ๊ฒฝ์์ ์์ ์ ์ด๋ฉด์๋ ์ ๊ตํ ์ ์ด ์ฑ๋ฅ์ ๋ฐํํด์ผ ํ๋ฏ๋ก, ๋ฏธ์ ํ ํฌ ๋ณ๋๋ ๊ตฌ๋ ํ์ง๊ณผ ์๋ช
์ ํฐ ์ํฅ์
๋ฏธ์น๋ค. ์ด๋ฌํ ๋งฅ๋ฝ์์, ์ฝ๊น
ํ ํฌ ์ ๊ฐ์ ์๋ณด๋ชจํฐ ์ค๊ณ์์ ๋งค์ฐ ์ค์ํ ๊ณผ์ ๋ก ๋ถ๊ฐ๋๊ณ ์๋ค[3]. ์ฝ๊น
ํ ํฌ๋ ์ ์์ด ์ธ๊ฐ๋์ง ์์ ์ํ์์๋ ์๊ตฌ์์๊ณผ ์ฌ๋กฏ ๊ตฌ์กฐ๊ฐ ๋ง๋ค์ด๋ด๋ ๋น๊ท ์งํ ์์ ๊ฒฝ๋ก๋ก ์ธํด ํ์ ์ถ์ ๋งฅ๋ ํํ๋ก ์์ฉํ๋ ํ ํฌ๋ก์,
์ด๋ ๋ชจํฐ ์ง๋๊ณผ ์์ ๋ฐ์, ๊ทธ๋ฆฌ๊ณ ์์น ์ ์ด ์ ๋ฐ๋ ํ๋ฝ์ ์ง์ ์ ์ผ๋ก ์ผ๊ธฐํ๋ค. ํนํ, ์๋ณด์์คํ
๊ณผ ๊ฐ์ ๊ณ ์ ๋ฐ ๊ตฌ๋ํ๊ฒฝ์์๋ ์ฝ๊น
ํ ํฌ๋ก ์ธํ
๋ฏธ์ธ ์ง๋์ด ์ ์ฒด ์ฅ๋น์ ์ฑ๋ฅ ๋ฐ ์ ๋ขฐ์ฑ์ ์
์ํฅ์ ๋ฏธ์น๋ฏ๋ก, ๊ตฌ์กฐ์ ยท๊ทผ๋ณธ์ ์ ๊ฐ ๋ฐฉ๋ฒ๋ก ์ด ์ ์คํ๋ค.
๋ฐฉ์ฌ๋ฐฉํฅ ์์ํ(Radial Flux) ์๊ตฌ์์ ๋๊ธฐ์ ๋๊ธฐ(Radial Flux Permanent Magnet Synchronous Motor, RFPMSM)๋
์ด๋ฏธ ๋ค์ํ ์์ฉ๋ถ์ผ์์ ํญ๋๊ฒ ์ฌ์ฉ๋๊ณ ์์ผ๋ฉฐ, ์ ์กฐ๊ธฐ์ ๊ณผ ์ค๊ณ ๊ธฐ๋ฒ์ด ์๋นํ ์ถ์ ๋์ด ์๋ค[4]. ๊ทธ๋ฌ๋ RFPM์ ์ถ๋ฐฉํฅ ๋์ด์ ๋นํด ๋ฐ๊ฒฝ ๋ฐฉํฅ ์น์๊ฐ ํฐ ์ํตํ ํํ๋ฅผ ๊ฐ์ถ๊ณ ์์ด, ์ฌ๋กฏ ๋ฐ ํดยท์ฌ๋กฏ์ ์ต์ ํ, ์์ ๋ฐฐ์น ๋ฑ์ ํ์ ๋ณ๊ฒฝ
์ ์ ์ธต ๊ตฌ์กฐ์ ์ ์ฝ์ด ์๋์ ์ผ๋ก ํฌ๋ค. ๊ฒฐ๊ณผ์ ์ผ๋ก ๊ตฌ์กฐ์ ์์ ๋๊ฐ ํ์ ์ ์ด๋ฏ๋ก, ์ฝ๊น
ํ ํฌ ์ ๊ฐ์ ํ์ํ ๋ณต์กํ๊ณ ์ธ๋ฐํ ๊ธฐํํ์ ์์ ์ ์ ์ฉํ๊ธฐ๊ฐ
์ฝ์ง ์์ ๋ฌธ์ ์ ์ด ์กด์ฌํ๋ค. ์ด์ ๋ฐํด, ์ถ๋ฐฉํฅ ์์ํ ์๊ตฌ์์ ๋๊ธฐ์ ๋๊ธฐ(Axial Flux Permanent Magnet Synchronous
Motor, AFPMSM)๋ ์์ ๊ฒฝ๋ก๊ฐ ์ถ๋ฐฉํฅ์ผ๋ก ํ์ฑ๋์ด ์๊ธฐ๊ฒฝ๋ก๊ฐ ์งง์์ง๊ณ ์ ํจ ๊ณต๊ทน๋ฉด์ ์ด ๋์ด์ง๋ ํน์ง์ ์ง๋๋ค. ์ด๋ฌํ ๊ตฌ์กฐ์ ํน์ฑ์ ๊ทนยท์ฌ๋กฏ
์กฐํฉ, ์ฝ์ด ํ์, ์์ ๋ฐฐ์น, ์ฌ๋กฏ ์คํ๋ ๋ฑ ๋ค์ํ ์ค๊ณ ๋ณ์๋ฅผ ํญ๋๊ฒ ํ์ฉํ์ฌ, ์ฝ๊น
ํ ํฌ๋ฅผ ๊ฒฐ์ ์ง๋ ์์ ๋ถํฌ๋ฅผ ์ฌ์ธํ๊ฒ ์ ์ดํ ์ ์๋๋ก ํ๋ค.
ํนํ, AFPMSM์์ ํ์ฉ ๊ฐ๋ฅํ ๊ธฐ๋ฒ ์ค ๋ถ์์ฌ๋กฏ(fractional-slot) ๊ตฌ์กฐ๋ ๊ทน๋น ์๋น ์ฌ๋กฏ ์๋ฅผ 1 ์ดํ์ ๋ถ์ ํํ๋ก ์ค์ ํ์ฌ ์ฝ๊น
ํ ํฌ์
์ฃผํ์๋ฅผ ๋ถ์ฐ์ํฌ ์ ์๊ณ , ์ฌ๋กฏ ์คํ๋ ํ์์ ์ต์ ํ๋ ์๊ตฌ์์๊ณผ ์ฝ์ด ๊ฐ ์์ ๋ณํ๋ฅผ ์ ์ดํด ํ ํฌ ๋งฅ๋์ ํผํฌ๊ฐ์ ์ต์ ํ ์ ์๊ฒ ํด์ค๋ค. ์ฌ๊ธฐ์
์คํ(Skew) ๊ธฐ๋ฒ๊น์ง ์ ์ฉํ ๊ฒฝ์ฐ, ํ์ ๋ฐฉํฅ์ผ๋ก ์๊ตฌ์์ ๋๋ ์ฌ๋กฏ ๊ฒฝ๋ก๊ฐ ์ฝ๊ฐ์ฉ ๋นํ๋ ค ๋ฐฐ์น๋๋ฏ๋ก, ํ ์์น์์ ๋ฐ์ํ๋ ์์ ๊ฐ์ญ์ด ๊ณง๋ฐ๋ก
์ ์์น์ ์ค์ฒฉ๋์ง ์๋๋ก ํ์ฌ ์ฝ๊น
ํ ํฌ๋ฅผ ๋์ฑ ์ํํ ์ ์๋ค. ์ด์ ๊ฐ์ ๋ถ์์ฌ๋กฏยท์ฌ๋กฏ ์คํ๋ยท์คํ ๊ธฐ๋ฒ์ ์กฐํฉ์ ๋จ์ํ ์ฝ๊น
ํ ํฌ๋ง ์ค์ด๋ ๋ฐ
๊ตญํ๋์ง ์๊ณ , ์๋ณด๋ชจํฐ๊ฐ ์๊ตฌํ๋ ๊ณ ์ ๋ฐยท๊ณ ์ถ๋ ฅ ๊ตฌ๋ ํน์ฑ์ ์ต๋ํ ์ ์งํ ์ ์๋ค๋ ์ฅ์ ์ ์ง๋๋ค. ๋ค๋ง, ์ด๋ฌํ ๋ณตํฉ ๊ธฐ๋ฒ์ ์ฒด๊ณ์ ์ผ๋ก ์ค๊ณํ๊ธฐ
์ํด์๋ ๋ชจํฐ ๋ด๋ถ ์์ ๊ฒฝ๋ก๋ฅผ ์ ํํ ํด์ํด์ผ ํ๋ฏ๋ก, 3์ฐจ์ ์ ํ์์ํด์(Three Dimensional Finite Element Analysis,
3D FEA)์ด ์ฌ์ค์ ํ์์ ์ด๋ผ๋ ๋๊ด์ด ์กด์ฌํ๋ค[5].
์ถ๋ฐฉํฅ์ผ๋ก ์์์ด ํ๋ฅด๋ AFPMSM์ YASA(Yokeless And Segmented Armature) ํ์
, ์ด์ค ํ์ ์ ๊ตฌ์กฐ ๋ฑ ๋ค์ํ ์ธ๋ถ
์ค๊ณ๊ฐ ๊ฐ๋ฅํ๋, ์ด๋ ๋ฐฉ์ฌํ ๋ชจํฐ๋ณด๋ค ๊ตฌ์กฐ์ ๋ณต์ก์ฑ์ด ํจ์ฌ ํฌ๋ค๋ ์๋ฏธ์ด๊ธฐ๋ ํ๋ค. 3D-FEA๋ฅผ ํตํด ๋ถ์์ฌ๋กฏ ๋ฐฐ์น, ์ฌ๋กฏ ์คํ๋ ํฌ๊ธฐยทํ์,
์คํ ๊ฐ๋ ๋ฑ ํ์ ๋ณ์๋ฅผ ๋ชจ๋ ๊ณ ๋ คํ๋ฉด ํด์ ๋ชจ๋ธ์ด ๊ฑฐ๋ํด์ง๋ฉฐ, ํด์์ ์์๋๋ ์๊ฐ๊ณผ ๊ณ์ฐ์์์ด ๊ธฐํ๊ธ์์ ์ผ๋ก ์ฆ๊ฐํ๋ค. ๊ฒ๋ค๊ฐ ๋ค์ค ์ค๊ณ์์
๋น๊ตยทํ๊ฐํ๋ฉด์ ์ต์ ํด๋ฅผ ์ฐพ์ผ๋ ค๋ฉด ๋ฐ๋ณต ์๋ฎฌ๋ ์ด์
์ด ํ์์ ์ธ๋ฐ, ์ด๋ ์ฐ์
์ ์์ฉ ๋จ๊ณ์์ ์ ํ ๊ฐ๋ฐ ์ฃผ๊ธฐ๋ฅผ ํ์ ํ ์ง์ฐ์ํค๋ ์์ธ์ด ๋๋ค.
์ด๋ฌํ ๋ฐฐ๊ฒฝ์์, ๋ณธ ์ฐ๊ตฌ๋ Quasi-3D ํด์ ๊ธฐ๋ฒ์ ์ ์ฉํ์ฌ AFPMSM์ ์ถ๋ฐฉํฅ ์๊ธฐ ํน์ฑ์ 2์ฐจ์ ํด์์ผ๋ก ๊ฐ๋ตํํจ์ผ๋ก์จ, ๋์ ์ ํ๋์
์งง์ ํด์ ์๊ฐ์ด๋ผ๋ ๋ ๊ฐ์ง ๋ชฉํ๋ฅผ ๊ท ํ ์๊ฒ ์ถฉ์กฑํ๊ณ ์ ํ๋ค. Quasi-3D ๋ฐฉ์์ ์ถ๋ฐฉํฅ ๋ชจํฐ ๊ตฌ์กฐ๋ฅผ ๋จ์ ํฌ์ํ์ฌ ํด์ ๋จ๋ฉด์ ๊ตฌ์ฑํ๋,
์ค์ 3D ํน์ฑ์ ์๋น ๋ถ๋ถ ์ ์งํ ์ ์๋๋ก ์ฐ์์ ์ธ ํ๋ฉด์ ํ์์ผ๋ก ๋ถํ ํ์ฌ 2D ํด์์ ์ ์ฉํ๋ ๊ธฐ๋ฒ์ด๋ค. ์ด๋ฅผ ํตํด ๋ถ์์ฌ๋กฏยท์ฌ๋กฏ ์คํ๋ยท์คํ
๋ฑ ๋ณต์กํ ํ์ ์ธ์๋ฅผ ๋ค์ํ๊ฒ ๋ณ๊ฒฝํด๋, ํด์์ ์์๋๋ ๊ณ์ฐ ์์์ ํจ์จ์ ์ผ๋ก ์ด์ฉํ ์ ์๊ฒ ๋๋ค. ๊ฒฐ๊ณผ์ ์ผ๋ก, AFPMSM์์ ์ฝ๊น
ํ ํฌ ์ ๊ฐ๊ณผ
์ถ๋ ฅ์ฑ๋ฅ ์ ์ง๋ผ๋ ์๋ฐ๋ ๋ชฉํ๋ฅผ ๋ฌ์ฑํ๊ธฐ ์ํ ์ฌ๋ฌ ์ค๊ณ ์๋๋ฆฌ์ค๋ฅผ ๋น ๋ฅธ ์๋๋ก ๊ฒํ ํ ์ ์๋ค๋ ์ฅ์ ์ด ์๋ค[6-8]. ๋ค๋ง ๊ธฐ๋ณธ์ ์ธ Quasi-3D ํด์์ 3์ฐจ์ ๋ฐฉํฅ์ผ๋ก ์ง์ค๋๋ ์์ ํฌํํ์ ๋ฐ ๋์ค์์์ ์ํฅ์ผ๋ก ์ธํด 3D FEA ๋๋น ์ค์ฐจ๊ฐ ์กด์ฌํ๋ ํ๊ณ์ ์
์ง๋๋ค[9].
๋ณธ ๋
ผ๋ฌธ์์๋ ์ฒซ ๋ฒ์งธ๋ก YASA ํ์
AFPMSM์ ํต์ฌ๊ตฌ์กฐ๋ฅผ ๋ถ์ํ๋ค. ๊ตฌ์กฐ ๋ฐ ์ ์ ํน์ฑ์ ํต์ฌ ๊ธฐ์ ์ ๋ถ์ํ์ฌ ๋์ ํ ํฌ๋ฐ๋ ๋ฐ ๋งฅ๋ ์ ๊ฐ
ํน์ฑ์ ๊ณ ์ฐฐํ๋ค. ๋ ๋ฒ์งธ๋ก Quasi-3D ํด์ ๊ธฐ๋ฒ์ ๋์
ํ์ฌ 3D-FEA์ ๊ทผ์ ํ ์ ํ๋๋ฅผ ํ๋ณดํ๋ฉด์, ํด์ ์๊ฐ์ ๋จ์ถํ ์ ์๋ ๊ฐ์ข
์ค๊ณ
๊ธฐ๋ฒ ๋ฐ ํ๋ก์ธ์ค๋ฅผ ์ ์ํ๋ค. ๋ง์ง๋ง์ผ๋ก, ์ ์ํ๋ ์ค๊ณ ๊ธฐ๋ฒ์ ํตํด ๋์ถ๋ ์ต์ข
๋ชจ๋ธ์ ๋ํ 3D FEA๋ฅผ ํตํด ์ ์ํ ์ค๊ณ๊ธฐ๋ฒ์ ๋ํ ํ๋น์ฑ์ ๊ฒ์ฆํ๋ค.
2. ์๋ณด AFPMSM์ ๊ตฌ์กฐ
์๋ณด์์คํ
์ ์ ์ฉ๋๋ ๋ชจํฐ๋ ๋์ ์๋ต์ฑ, ์ ์ง๋, ๊ทธ๋ฆฌ๊ณ ๊ณ ์ ๋ฐ ์์น์ ์ด๋ฅผ ๊ฐ๋ฅํ๊ฒ ํด์ผ ํ๋ฉฐ, ๋์์ ์ํยท๊ฒฝ๋ ์ํ์์ ๋์ ์ถ๋ ฅ๋ฐ๋๋ฅผ ํ๋ณดํด์ผ
ํ๋ ๋ณตํฉ์ ์๊ตฌ ์ฌํญ์ ์ง๋๋ค. ์ ํต์ ์ผ๋ก๋ ๋ฐฉ์ฌํ ์์ํ ๋ชจํฐ๊ฐ ๊ฑฐ์ ๋ชจ๋ ๋ถ์ผ์์ ํ์ค์ ํด๋ฒ์ผ๋ก ์๋ฆฌ๋งค๊นํ์ผ๋, ์ต๊ทผ์๋ AFPMSM์ด ๊ณ ์ถ๋ ฅยท๊ณ ํจ์จ
๋ฌ์ฑ์ ์ํด ๊ฐ๊ด๋ฐ๊ณ ์๋ค. ํนํ YASAํ์
AFPMSM์ ๊ณ ์ ์ ์ํฌ๊ฐ ์๋ ๋
ํนํ ๊ตฌ์กฐ๋ก ๋ถํ ๋ ์ฝ์ด์ ๋
๋ฆฝ๋ ๊ถ์ ์ ์ ์ฉํจ์ผ๋ก์จ, ๊ธฐ์กด ๋ฐฉ์ฌํ
๋ชจํฐ ๋๋น ์งง์ ์๊ธฐ๊ฒฝ๋ก์ ๋์ ๊ณต๊ทน๋ฉด์ ์ ๊ตฌํํ ์ ์๋ค. ์ด๋ฌํ ์ ๊ฐ๋
๋ชจํฐ์ ์ ํ์ ์ ์์ ๊ณ ๋ คํ ๋, ํ์ค ์ ์ธต ์ด์
๋ธ๋ฆฌ๋ ์ ํ๋๋ ๊ฒฝ์ฐ๊ฐ
๋ฐ์ํ๋ค. ์ฐ์์ฑ ๋ณตํฉ์ฌ๋ฃ๋ฅผ ์ ์ฉํ์ฌ ์ฑํ์ ์์ ํ๋ ๊ฒฝ์ฐ ๋ณต์กํ 3์ฐจ์ ํ์์ ๋ชจํฐ ํ ํด๋ก์ง ๊ตฌํ์ด ๊ฐ๋ฅํ๋ค.
2.1 ๊ณต๊ทน๋ฉด์ ์ ๊ทน๋ํ ๋ฐ ์๊ธฐ๊ฒฝ๋ก ๋จ์ถ
์ถ๋ฐฉํฅ์ผ๋ก ์์์ด ํ์ฑ๋๋ AFM์ ๋์ผ ๋ถํผ ๋๋น ๋์ ๊ณต๊ทน๋ฉด์ ์ ํ์ฉํ ์ ์์ผ๋ฏ๋ก ํ ํฌ ๋ฐ๋๋ฅผ ๋์ด๊ธฐ ์ ๋ฆฌํ๋ค. ๊ทธ๋ฆผ 1๊ณผ ๊ฐ์ด YASA ํ์
์์๋ ๊ณ ์ ์์ ์ํฌ๊ฐ ์๊ธฐ ๋๋ฌธ์ ํ์ ์์ ๊ฐ๊น์ด ์์น์ ๋ถํ ์ฝ์ด๋ฅผ ๋ฐฐ์นํจ์ผ๋ก์จ, ์์ ๊ฒฝ๋ก๋ฅผ ๋์ฑ ์งง๊ฒ ๋ง๋ค ์ ์๋ค.
์ด๋ฌํ ํน์ฑ์ผ๋ก ์ธํด ์ฌ์ด์ฆ ์ธก๋ฉด์์ ์ํตํ ํ์
๋ณด๋ค ๋์คํฌ ํ์
์ ์๋ณด ๋ชจํฐ์ ์ ํฉํ๋ค.
๊ทธ๋ฆผ 1. YASA ํ์
AFPMSM์ ๊ตฌ์กฐ
Fig. 1. Structure of YASA Type AFPMSM
2.2 ๋ถํ ์ฝ์ด ๋ฐ ์น์ง์ค๊ถ ์ฝ์ผ
๊ณ ์ ์๊ฐ ์ฌ๋ฌ ๊ฐ์ ์ธ๊ทธ๋จผํธ(segment)๋ก ๊ตฌ์ฑ๋๊ธฐ ๋๋ฌธ์, ๊ฐ ์ธ๊ทธ๋จผํธ๋ง๋ค ๊ถ์ ์ ๋
๋ฆฝ์ ์ผ๋ก ๊ฐ์ ์ ์๋ค. ์ด๋ฌํ ๊ตฌ์กฐ๋ ๊ถ์ ์์
์ ์ฉ์ด์ฑ์
๋์ด๊ณ , ๋์ ์ ๋๊ธฐ ์ ์ ๋ฅ ์ ์ ์งํ๋ฉด์๋ ๋๊ฐ ํต๋ก๋ฅผ ๋ค์ํ๊ฒ ์ค๊ณํ ์ ์๋ ์ฅ์ ์ ์ ๊ณตํ๋ค. ์๋ณด๋ชจํฐ๋ ๊ณผ๋ถํ ๋ฐ ๊ธ๊ฒฉํ ๊ฐ๊ฐ์ ์กฐ๊ฑด์์๋ ์จ๋
์์น์ ํจ๊ณผ์ ์ผ๋ก ์ต์ ํด์ผ ํ๋ฏ๋ก, ์ด๋ฌํ ๋๊ฐ ์ ์ฐ์ฑ์ ์ ๋ขฐ์ฑ ํ๋ณด์ ์ค์ํ ์์๊ฐ ๋๋ค.
2.3 ์ด์ค ํ์ ์ ๊ตฌ์กฐ
์ผ๋ฐ์ ์ผ๋ก YASA ํ์
AFM์ ๊ณ ์ ์ ์์ชฝ ๋ฉด์ ํ์ ์๋ฅผ ๋ฐฐ์นํ์ฌ, ์ถ ๋ฐฉํฅ์ผ๋ก ๋ง์ฃผ๋ณด๋ ํํ์ ์์์ด ๊ณ ์ ์ ์ฒ ์ฌ์ ๊ดํตํ๋ ์์์ ํ์ฑํ๋ค.
์ด๋ ๋จ๋ฉด ํ ํฌ๊ฐ ์๋๋ผ ์๋ฉด์์ ๋์์ ํ ํฌ๋ฅผ ๋ฐ์์ํค๋ ํจ๊ณผ๋ฅผ ๊ฐ์ ธ์ค๋ฏ๋ก, ๋์ผ ์ฒด์ ๋๋น ๋ ๋์ ํ ํฌ ๋ฐ๋๋ฅผ ๋ฌ์ฑํ ์ ์๋ค. ๊ทธ๋ฆผ 1์ ๊ตฌ์กฐ๋ ๋ ์ฅ์ ์ํ ํํ ํ์ ์์, ๊ทธ ์ฌ์ด์ ์์นํ๋ YASA๋ก ๊ตฌ์ฑ๋์ด ์๋ค.
2.4 SMC ์์ฌ ์ ์ฉ์ ํ์์ฑ
์๋ณด์์คํ
์ฉ YASA ํ์
AFMPMM์ ์ ์ํ ๋, ๊ณ ์ ์ ์ฝ์ด๋ฅผ SMC๋ก ๊ตฌ์ฑํ๋ฉด ๋ณต์กํ ํ์์ ์์ ๋กญ๊ฒ ๊ตฌํํ ์ ์์ด ํ์ ์ต์ ํ์ ํญ์ด ๋ํญ
ํ๋๋๋ค. ํนํ ํด์(poleshoe) ๊ตฌ์กฐ๋ ๊ทน๋จ ๊ฐ ์์์ ๊ฒฝ๋ก๋ฅผ ํจ์จ์ ์ผ๋ก ์ ๋ํ๊ธฐ ์ํด ๋ณต์กํ ์ค๊ณฝ์ ํ์๋ก ํ๋๋ฐ, SMC๋ ์ ์ฐ๋ ์ฒ ๋ถ๋ง๋ก
3์ฐจ์ ์ฑํ์ด ๊ฐ๋ฅํ๋ฏ๋ก ์ด๋ฅผ ์์ฝ๊ฒ ๊ตฌํํ๋ค. ๋๋ถ์ด ์ฌ๋กฏ ์คํ๋ ํ์์ ์ธ๋ฐํ๊ฒ ์กฐ์ ํ ์ ์์ด, ๋ถ์์ฌ๋กฏ ๊ตฌ์กฐ์์ ์ฝ๊น
ํ ํฌ ์ ๋ฐ ์์๋ฅผ ๊ตฌ์กฐ์ ์ผ๋ก
์ต์ ํ ์ ์๋ค. ์ด๋ YASA ํ์
AFPMSM ์ค๊ณ์ ๊ฒฐํฉ๋ ๋, ๊ณ ์ ๋ฐ ์์น์ ์ด๊ฐ ์๊ตฌ๋๋ ์๋ณด์์คํ
์์ ๋งค์ฐ ์ ๋ฆฌํ ์กฐ๊ฑด์ ์ ๊ณตํ๋ค. ๋ํ
SMC ์ฝ์ด๋ฅผ ์ธ๊ทธ๋จผํธ ๋จ์๋ก ์ค๊ณยท์ ์ํจ์ผ๋ก์จ, ์ ์ฒด ๋ชจํฐ์ ๋ถํผ๋ฅผ ์ค์ด๋ฉด์๋ ์๊ตฌ๋๋ ํ ํฌ ๋ฐ ๋๊ฐ ์ฑ๋ฅ์ ์ถฉ์กฑ์ํฌ ์ ์์ด ์ํยท๊ฒฝ๋ํ์๋ ๊ธฐ์ฌํ๋ค.
์ด๋ฌํ ํน์ง๋ค์ ์๋ณด๋ชจํฐ๊ฐ ์ง๋ฉดํ ๊ณ ๋ฐ๋ยท๊ณ ์๋ต ๊ตฌ๋ ์๊ตฌ์ ๋ง๋ฌผ๋ ค, SMC ์ ์ฉ์ ํ์์ฑ์ ํ์ธต ๋ถ๊ฐ์ํค๋ ์์ธ์ผ๋ก ์์ฉํ๋ค.
3. Quasi-3D ๋ฌด๋ถํ ํด์ ๋ฐ ์ค๊ณ ๊ธฐ๋ฒ
์๋ณด์์คํ
์ ์ ์ฉ๋๋ AFPMSM์ ๊ตฌ์กฐ๋ ์ ํต์ ์ธ ๋ฐฉ์ฌ๋ฐฉํฅ ๋ชจํฐ์ ๋นํด 3์ฐจ์ ํ์์ด ํจ์ฌ ๋ณต์กํ๋ฏ๋ก, ์ด๋ฅผ ์ ๋ฐํ๊ฒ ํด์ํ๊ธฐ ์ํด์๋ ๋๊ท๋ชจ ๊ณ์ฐ
์์์ด ์์๋๋ 3D FEA๊ฐ ํ์์ ์ผ๋ก ์ ์ฉ๋๋ค. ๊ทธ๋ฌ๋ ๋ณธ ์ฐ๊ตฌ์์๋ ํด์ ์๊ฐ์ ๋ํญ ์ ๊ฐํ๋ฉด์๋ 3์ฐจ์ ํด์์ ์คํ๋ ์ ํ๋๋ฅผ ํ๋ณดํ๊ธฐ ์ํด,
๊ทธ๋ฆผ 2์ ๊ฐ์ด 3์ฐจ์ ํ์์ ์ฌ๋ฌ ๊ฐ์ 2์ฐจ์ plane์ผ๋ก ๋ถํ ํ์ฌ ๊ฐ๊ฐ์ ๋
๋ฆฝ์ ์ผ๋ก ํด์ํ๊ณ ๊ทธ ๊ฒฐ๊ณผ๋ฅผ ์ข
ํฉํ๋ Quasi-3D ํด์ ๊ธฐ๋ฒ์ ๋์
ํ๋ค.
์ด๋ plane์ ๋ ๋ง์ด ๋ถํ ํ ์๋ก, ์ค์ 3์ฐจ์ ํด์ ๊ฒฐ๊ณผ์ ์ ์ฌ์ฑ์ด ์ฆ๊ฐํ๋ค. ๋ํ, ํด์๋น์ฉ์ ๊ด์ ์์ 3D FEM์ ๋ชจ๋ธ๋ง์ด ๋ณต์กํ์ฌ ๋ถ์
๊ทธ๋ฆผ 2. Quasi-3D ๊ฐ๋
๋
Fig. 2. Quasi-3D Conceptual Diagram
๋ชจ๋ธ(์ญ๊ธฐ์ ๋ ฅ/์ฝ๊น
ํ ํฌ) ์์์ ๊ฐ์๊ฐ (60๋ง/660๋ง)์ ๊ทผ์ฌํ ์์น๋งํผ ์๊ตฌ๋๋ค. ๋ฐ๋ฉด 9๊ฐ์ plane์ ํตํฉ ์์ ๊ฐ์๋ (3.2๋ง/18๋ง)์
๊ทผ์ฌํ ์์น๋ก ๋ชจ๋ธ๋ง์ด ๊ฐ๋ฅํ๋ค. 9๊ฐ plane์ Quasi-3D ํด์ ์๊ฐ์ ๊ฒฝ์ฐ ์ญ๊ธฐ์ ๋ ฅ์ 45s(3D FEA: 53m58s, 71๋ฐฐโ), ์ฝ๊น
ํ ํฌ๋
43m39s(3D FEA: 46h51m52s, 64๋ฐฐโ)๊ฐ ์์๋๋ค.
Quasi-3D ํด์์์ ๊ฐ plane์ ๋ฐฉ์ฌ ๋ฐฉํฅ์ผ๋ก ์ผ์ ๋๊ป๋ฅผ ๊ฐ์ ํ๋ฉฐ, plane๊ฐ ๊ฐ์ญ์ด๋ ๋จ๋ถ ํจ๊ณผ์์ ๋ฐ์ํ๋ 3์ฐจ์์ ํ์์ ๋ํด์๋
๋ณด์ ๊ณ์๋ฅผ ์ ์ฉํ์ง ์๊ณ ๊ณ์ฐํ๋ค. ์ด๋ฌํ ๋จ์ํ๋ก ์ธํด 3D-FEA ๋๋น ํด์ ๋ถ๋ด์ด ํฌ๊ฒ ๊ฒฝ๊ฐ๋จ์๋, ์ฝ๊น
ํ ํฌ์ ์ญ๊ธฐ์ ๋ ฅ(Back EMF) ๋ฑ์
๋์์ผ๋ก ๋น๊ตํด๋ณด๋ฉด ์ค์ 3์ฐจ์ ํด์๊ณผ ๊ทผ์ฌํ ์์ค์ ๊ฒฐ๊ณผ๋ฅผ ์ป์ ์ ์๋ค. ๋ฐ๋ผ์ ๋ณธ ์ฅ์์๋ Quasi-3D ํด์ ๊ธฐ๋ฒ์ ํ์ฉํด YASA ํ์
AFPMSM์ ์ฝ๊น
ํ ํฌ ๋ฐ ์ ๊ธฐ์ ํน์ฑ์ ํด์ํ๊ณ , ๊ทธ ์ ํจ์ฑ์ ์ ๋์ ์ผ๋ก ๊ฒ์ฆํ๊ณ ์ ํ๋ค.
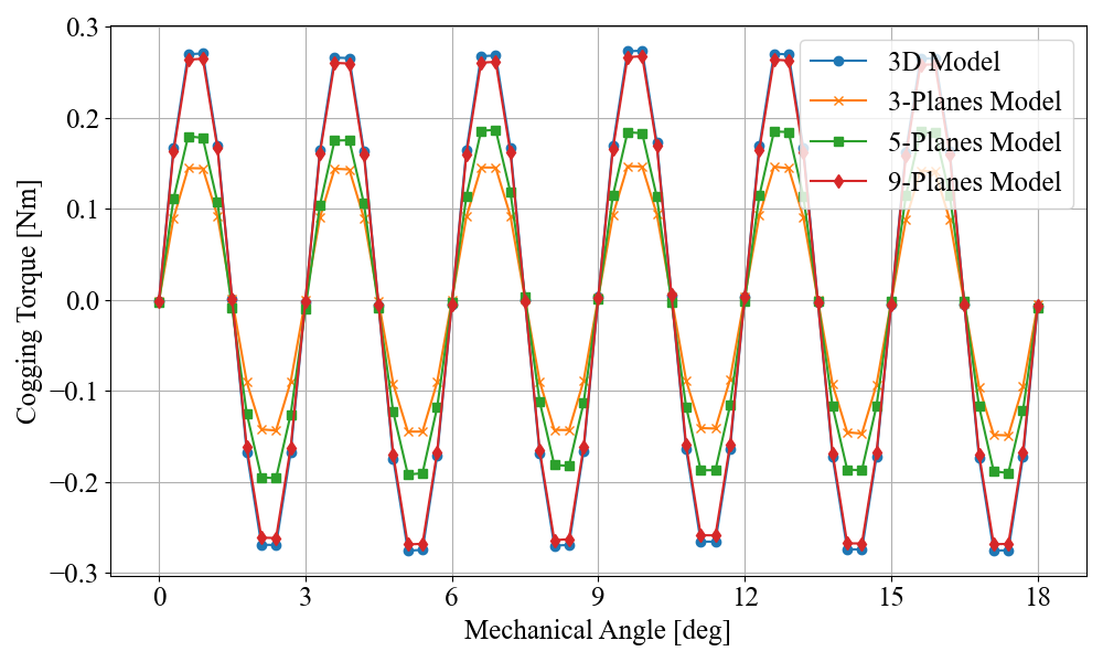
3.1 Quasi-3D Plane ๋ฌด๋ถํ ํด์ ์ ํฉ์ฑ
๊ทธ๋ฆผ 3, ๊ทธ๋ฆผ 4๋ Quasi-3D ํด์ ์ Plane ์์ ๋ฐ๋ฅธ ์ญ๊ธฐ์ ๋ ฅ ๋ฐ ์ฝ๊น
ํ ํฌ ๋น๊ต ๊ฒฐ๊ณผ๋ฅผ ๋ํ๋ธ ๊ฒ์ด๋ค. ์ญ๊ธฐ์ ๋ ฅ ๊ทธ๋ํ๋ ๊ฐ ๋ถํ ๋ชจ๋ธ์ ํด์๊ฒฐ๊ณผ๊ฐ ํํ์
ํผํฌ๊ฐ์ด 3D ๋ชจ๋ธ์ 1.5% ์ค์ฐจ ์ด๋ด๋ก ๋ฐ์ํ๋ค. 3๊ฐ plane๊ณผ 5๊ฐ plane์ผ๋ก ๋ถํ ํ์ฌ ํด์ํ ๊ฒฝ์ฐ, ์ ๋ฐ์ ์ธ ์ฝ๊น
ํ ํฌ ํํ์ 3D ํด์๊ณผ
๋์ฒด๋ก ์ ์ฌํ์ง๋ง, ํํ์ ์ ์ ๋ถ๋ถ์์ ํผํฌ๊ฐ๊ณผ ์์ ๋ฑ์ ์ฝ๊ฐ์ ์ฐจ์ด๊ฐ ๋ฐ์ํ๋ค. ์ด๋ AFPMSM์์ ๋ฐ์ํ๋ ๋จ๋ถ ํจ๊ณผ๋ ์์ ๊ฒฝ๋ก์ ๋ฏธ์ธํ
3์ฐจ์์ ๋ณํ๋ฅผ ํ๋ฉด ์๊ฐ ์ ์ ๋ ์ถฉ๋ถํ ๋ฐ์ํ๊ธฐ ์ด๋ ต๊ธฐ ๋๋ฌธ์ด๋ค.
๊ทธ๋ฆผ 3. 3D ๋ชจ๋ธ ๋ฐ Quasi-3D ๋ชจ๋ธ์ ์ญ๊ธฐ์ ๋ ฅ ๋น๊ต
Fig. 3. Comparison of Back-EMF Between 3D and Quasi-3D Models
๊ทธ๋ฆผ 4. 3D ๋ชจ๋ธ ๋ฐ Quasi-3D ๋ชจ๋ธ์ ์ฝ๊น
ํ ํฌ ๋น๊ต
Fig. 4. Comparison of Cogging Torque Between 3D and Quasi-3D Models
๋ฐ๋ฉด ํ๋ฉด ์๋ฅผ 9๊ฐ๋ก ๋๋ฆด ๊ฒฝ์ฐ, ์ฝ๊น
ํ ํฌ ํํ์ด 3D ํด์ ๊ฒฐ๊ณผ์ ๊ฑฐ์ ์ผ์นํ๋ ์์์ ๋ณด์ด๋ฉฐ, ์ด๋ ํด์์ ์์๋๋ ์๊ฐ์ 3D ํด์ ์ฝ 15์๊ฐ,
2D ํด์์ ํ plane๋น 1๋ถ ์ ๋๋ก ๋ฐ์ํ๋ฉฐ ์๋นํ ์ ๊ฐ๋๋ค. ์ฆ, plane ์๊ฐ ๋ง์์ง์๋ก 3์ฐจ์ ํด์์ ๊ทผ์ ํ ์ ํ๋๋ฅผ ํ๋ณดํ๋ฉด์๋, ์์
3D ํด์ ๋๋น ๊ณ์ฐ ๋น์ฉ์ ํจ๊ณผ์ ์ผ๋ก ์ค์ผ ์ ์๋ค. ๋ณธ ์ฐ๊ตฌ์์๋ ํด์ ์ ๋ฐ๋์ ๊ณ์ฐ ํจ์จ์ ์ข
ํฉ์ ์ผ๋ก ๊ณ ๋ คํ์ฌ, Quasi-3D ํด์ ์ 9๊ฐ
plane ๋ชจ๋ธ์ ์ ์ฉํ๊ธฐ๋ก ๊ฒฐ์ ํ์๋ค. 9๊ฐ plane ๋ชจ๋ธ์ ํผํฌ๊ฐ ๊ธฐ์ค ์ฝ 2%์ ์ค์ฐจ๊ฐ ๋ฐ์ํ๋ค. ์ด๋ฌํ ์ ๊ทผ์ ์ดํ ์ฝ๊น
ํ ํฌ ์ ๊ฐ ์ค๊ณ ๋จ๊ณ๋ฅผ
์ ์ํ๊ฒ ์ํํ๋ฉด์๋, ํด์ ๊ฒฐ๊ณผ์ ์ ๋ขฐ๋๋ฅผ ๋์ด๋ ๋ฐ ๊ธฐ์ฌํ๋ค.
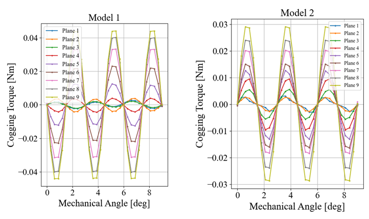
3.2 Quasi-3D ํ์ฉ Shoeless ๋ฐ Poleshoe ๊ตฌ์กฐ ๋ถ์
๊ทธ๋ฆผ 5๋ Shoeless ๊ตฌ์กฐ์ธ Model 1๊ณผ poleshoe ๊ตฌ์กฐ์ Model 2 ๋ ๋ชจ๋ธ์ 9๊ฐ์ plane์ผ๋ก ๋ถํ ํ ๋ชจ์ต์ด๋ค. 20๊ทน 24์ฌ๋กฏ
๋ถ์์ฌ๋กฏ ์กฐํฉ์ ๊ณตํต์ ์ผ๋ก ์ ์ฉํ๊ณ , model 1์ poleshoe๊ฐ ๋ฐ๋ก ์กด์ฌํ์ง ์๋ ํํ์ด๋ฉฐ model 2๋ ์์ ๋๋จ์ poleshoe๋ฅผ
ํ์ฑํด ์์ ํ๋ฆ์ ๋ณด๋ค ๊ท ์งํ๊ฒ ์ ๋ํ๋ค. ๊ทธ๋ฆผ 6(a)~(d)๋ ๋ ๋ชจ๋ธ์์ plane 1๊ณผ plane 9์ ์ฌ๋กฏยท์์ ๋ฐฐ์น๋ฅผ ๋น๊ตํ ๊ฒ์ด๋ค. Model 1์ ๋ถ์์ฌ๋กฏ ์ค๊ณ๋ก ์ธํด ํ๋ฉด๋ณ ๋ฐฐ์น๊ฐ ๋ฏธ์ธํ๊ฒ ๋ฌ๋ผ์ง๊ณ ,
์ผ์ ๋๊ป์ ์ฝ์ผ ๋ฐฐ์น์ ๋ฐ๋ผ ์น(teeth)์ ์์์ ํ์ ๋น์จ์ด ๊ฐ ํ๋ฉด๋ง๋ค ๋์ผํ๊ฒ ๊ตฌํ๋์ง ์๋๋ค. ๋ฐ๋ฉด Poleshoe ๊ตฌ์กฐ(Model 2)๋
ํด์๋ฅผ ํตํด ๊ณ ์ ์์ ์์ ์ฌ์ด์ ์์ ๊ฒฝ๋ก๊ฐ ์๋์ ์ผ๋ก ๊ท ์ผํ๊ฒ ๊ตฌ์ฑ๋์ด, ํ๋ฉด ๊ฐ ๋ถ์ผ์น ์ ๋๊ฐ ์๋ค. ๊ทธ๋ฆผ 6(e), (f)์ top view์์๋ ์ด๋ฌํ ์ฐจ์ด๋ฅผ ์ง๊ด์ ์ผ๋ก ํ์ธํ ์ ์๋ค. ๊ทธ๋ฆผ 7์ ํ๋ฉด๋ณ ์ฝ๊น
ํ ํฌ ํํ์ ๋ณด์ฌ์ฃผ๋๋ฐ, model 1์ ๋ถ์์ฌ๋กฏ ์ํฅ์ผ๋ก ์ผ๋ถ ํ๋ฉด์์ ์ฝ๊น
ํ ํฌ ์์์ด ๋ฐ์ ๋๋ ์์์ด ๋ํ๋๋ค. ์ด๋ ์๋ก ๋ค๋ฅธ
ํ๋ฉด์์ ๋ฐ์ํ๋ ์ฝ๊น
ํ ํฌ๊ฐ ์์๋์ด, ์ต์ข
ํฉ์ฑ ์ฝ๊น
ํ ํฌ๊ฐ ์ฝ 0.30 Nmpk-pk ์์ค์ ๋ํ๋ธ๋ค. ๋ฐ๋ฉด Model 2๋ ๋ชจ๋ ํ๋ฉด์์ ์ฝ๊น
ํ ํฌ
์์์ด ์ผ์นํ์ฌ ์์์ฑ๋ถ์ด ์์์๋ ์ฝ 0.24 Nmpk-pk๋ผ๋ ๋ ๋ฎ์ ๊ฐ์ ๋ณด์ธ๋ค. ๊ฒฐ๊ตญ, ๋ถ์์ฌ๋กฏ ์กฐํฉ์ ์ฑํํ Shoeless ๊ตฌ์กฐ๋ ์์
ํจ๊ณผ๋ก ์ด๋ ์ ๋์ ์ฝ๊น
ํ ํฌ ๊ฐ์๋ฅผ ์ด๋์ด๋ผ ์ ์์ผ๋, Poleshoe ๊ตฌ์กฐ๋ฅผ ์ ์ฉํ๋ฉด ๋ ๊ท ์ผํ ์๊ธฐ๊ฒฝ๋ก๋ฅผ ํ์ฑํจ์ผ๋ก์จ ์ฝ๊น
ํ ํฌ๋ฅผ ์ ๋ฐ์ ์ผ๋ก ๋ฎ์ถ๋
๋ฐ ์ ๋ฆฌํ๋ค.
๊ทธ๋ฆผ 5. Shoeless ๋ฐ Poleshoe ๊ตฌ์กฐ Quasi-3D ๋ชจ๋ธ๋ง
Fig. 5. Quasi-3D Modeling of Shoeless and Poleshoe Structures
๊ทธ๋ฆผ 6. ํํ ์ฌ๋กฏ ๊ตฌ์กฐ์ Plane๋ณ ํ์๋น๊ต
Fig. 6. Shape Comparison by Plane for Parallel Slot Struct
๊ทธ๋ฆผ 7. Plane๋ณ Cogging Torque ํํ์ ์์ ๋ณํ
Fig. 7. Phase Shift of Cogging Torque Waveform by Plane
3.3 Quasi-3D ํ์ฉ Rotor Skew ๊ตฌ์กฐ ๋ถ์
์คํ๋ ์ฝ๊น
ํ ํฌ ๋ฐ ๊ธฐ๊ณ์ ์ง๋์ ์ํํ๋ ๋ชจํฐ ์ค๊ณ๊ธฐ๋ฒ์ด๋ค. ๊ทธ๋ฌ๋ 3D-FEA ํ๊ฒฝ์์ ์คํ ๊ฐ๋, ์์ ๋ถํ ๋น์จ ๋ฑ ์คํ ๊ตฌ์กฐ๋ฅผ ๋ณ๊ฒฝํ ๋์๋
๊ฐ ์ค๊ณ์์ ๋ชจ๋ ๋ชจ๋ธ๋งํ๊ณ ํด์ํด์ผ ํ๋ฏ๋ก, ๊ฒฝ์ฐ์ ์๊ฐ ๋์ด๋ ์๋ก ํด์ ๋น์ฉ์ด ๊ธ๊ฒฉํ ์ฆ๊ฐํ๋ค. ์ด๋ฅผ ํจ์จ์ ์ผ๋ก ๊ทน๋ณตํ๊ธฐ ์ํด ๋ณธ ์ฐ๊ตฌ์์๋ Quasi-3D
ํด์์ ์ ์ฉํ๊ณ , ์คํ๊ฐ ์๋ ๋ฐ์ดํฐ๋ฅผ ๊ธฐ์ค์ผ๋ก ํ์ฒ๋ฆฌ(Post-processing) ๊ธฐ๋ฒ์ ํตํด ๋ค์ํ ์คํ ์กฐ๊ฑด์ ์์ฝ๊ฒ ๊ตฌํํ๋ ๋ฐฉ๋ฒ์ ์ ์ํ๋ค.
๊ทธ๋ฆผ 8๊ณผ ๊ฐ์ด Quasi-3D๋ก ๋ถํ ๋ ํ๋์ AFPM ๋ชจ๋ธ์ ๋ํด, ๊ฐ plane์์ ํ์ ์ ์ด๊ธฐ์์น๋ฅผ ์ํํธํ์ฌ ์ค์ ํจ์ผ๋ก 2D ํด์์ ํตํด ๋ชจ์ฌํ
์ ์๋ค. ๊ตฌ์ฒด์ ์ผ๋ก๋ ์คํ๊ฐ ์ ํ ์ ์ฉ๋์ง ์์ ํด์ ๋ฐ์ดํฐ๋ฅผ ํ์ฉํ์ฌ, ๊ฐ plane๋ณ ์์ ์์น๋ฅผ ์ผ์ ๊ฐ๋๋งํผ ์ํํธ(shift)์ํค๋ ๋ฐฉ์์ผ๋ก
ํ์ฒ๋ฆฌ๋ฅผ ์ํํ๋ค.
๊ทธ๋ฆผ 8. ํ์ ์ skew ๊ตฌ์กฐ Quasi-3D ๋ชจ๋ธ๋ง
Fig. 8. Quasi-3D Modeling of Rotor Skew Structure
์คํ ๊ฐ๋์ ์์ ๋ถํ ๋น์จ์ด ๋ฌ๋ผ์ง๋ ๋ชจ๋ ๊ฒฝ์ฐ๋ฅผ 3D-FEA๋ก ์ง์ ํด์ํ ํ์ ์์ด, ํ๋์ Quasi-3D ์ฌ๋ก๋ง ํด์ํ๋ฉด ๋๋ค. ๊ทธ๋ฆผ 9๊ณผ ๊ฐ์ด ์ดํ ๊ฐ๋ยท๋ถํ ๋น์จยทํธ์ฐจ ๋ฑ์ ๋ฌ๋ฆฌํ๋ ๋ชจ๋ case๋ ํ์ฒ๋ฆฌ ๊ณผ์ ์์ ๊ทธ๋ํ(์ฝ๊น
ํ ํฌ, ์ญ๊ธฐ์ ๋ ฅ ๋ฑ)๋ฅผ ํ๋ฉด๋ณ๋ก ์ ์ ํ ์ํํธํ์ฌ ์์ฝ๊ฒ
๊ณ์ฐ์ด ๊ฐ๋ฅํ๋ค. ๋ํ, ์คํ ๊ฐ๋ ๋ณํ์ ๋ฐ๋ฅธ ์ฝ๊น
ํ ํฌ ์ ๊ฐ ํจ๊ณผ, ์์ ๋ถํฌ ๋ณํ ์ ๋ ๋ฑ์ ์ค์๊ฐ์ผ๋ก ๋น๊ตํ ์ ์์ผ๋ฏ๋ก, ์ค๊ณ ์ด๊ธฐ ๋จ๊ณ์์
๋ง์ ๋ณ์๋ฅผ ๋น ๋ฅด๊ฒ ํ์ํ ์ ์๋ค. ์ด๋ ์๋ณด์์คํ
๋ฑ ๊ณ ์ ๋ฐ ๋ชจํฐ ๊ฐ๋ฐ ์ ์ ํ๋ ์ค๊ณ ๊ธฐ๊ฐ์ ํจ์จ์ ์ผ๋ก ํ์ฉํ๋ ๋ฐ ํฌ๊ฒ ๊ธฐ์ฌํ๋ค.
๊ทธ๋ฆผ 9. Quasi-3D Skew ๊ณ์ฐ๋ฒ
Fig. 9. Quasi-3D Skew Calculation Method
๊ทธ๋ฆผ 10์ ์คํ ๊ฐ๋๋ฅผ ๋ฌ๋ฆฌ ์ ์ฉํ Quasi-3D ํด์ ๊ฒฐ๊ณผ์ 3D ํด์ ๊ฒฐ๊ณผ๋ฅผ ์ฝ๊น
ํ ํฌ ํํ์ผ๋ก ๋น๊ตํ ๊ฒ์ด๋ค. ์ ๋ฐ์ ์ผ๋ก ๋ ํด์ ๊ฒฐ๊ณผ์ ํํ์ ํฌ๊ธฐ์
์์์ด ์ ์ฌํ๊ฒ ๋ํ๋๋ฉฐ, ์คํ ๊ฐ๋๊ฐ 3.6deg์์๋ 0.26Nmpk-pk(3D FEA) ๋๋น 0.24Nmpk-pk๋ก ์ฝ 8%์ ์ค์ฐจ๋ฅผ ๊ฐ์ง๋ฉฐ
4.5deg์์๋ ๋ ํด์๊ฒฐ๊ณผ ๋ชจ๋ 0.11Nmpk-pk๋ก ์ค์ฐจ๊ฐ 4% ์ด๋ด๋ก ์กด์ฌํ๋ค. ์ด๋ฌํ ์ค์ฐจ๋ 3์ฐจ์ ๋ฐฉํฅ์ ํฌํ ํ์, ๋์ค ์์ ๋ฐ ํ๋ฆฐ์ง
ํจ๊ณผ๋ก ์ธํด ์๊ธฐ๊ฒฝ๋ก๊ฐ ๋ณํ๋๋ ๋ฌธ์ ๋ฅผ ๊ณ ๋ คํ์ง ๋ชปํ๋ ํ๊ณ์ ๋ฐ 3D FEM ๋ฐ 2D FEM์ ์์๋ถํ ์ฐจ์ด์ ๋ฌธ์ ๋ก ํ๋จ๋๋ค.
๊ทธ๋ฆผ 10. Skew ๊ฐ๋๋ณ Quasi-3D ๋ชจ๋ธ ์ฝ๊น
ํ ํฌ ๊ทธ๋ํ ์ ํฉ์ฑ ๊ฒํ
Fig. 10. Validation of Cogging Torque Graphs for Quasi-3D Models according to Skew
Angle
4. ์๋ณด๋ชจํฐ ์ฝ๊น
ํ ํฌ ์ ๊ฐ ์ค๊ณ
CNC ๊ฐ๊ณต์ฉ ์๋ณด ๋ชจํฐ์ ์ต๋์ ๊ฒฉ ๋ฐ ์ฐ์์ ๊ฒฉ ์ด์ ์กฐ๊ฑด, ๊ทธ๋ฆฌ๊ณ ๊ตฌ์ฒด์ ์ธ ์ค๊ณ ์ฌ์์ ํ 1๊ณผ ๊ทธ๋ฆผ 11์ ์ ์๋์ด ์๋ค. ์์ ์ด์ ์ ์๊ตฌ๋๋ ์ต๋์ ๊ฒฉ ํ ํฌ๋ 50Nm์ด๋ฉฐ, ๋ชจํฐ๋ ์ต๋ 3,000rpm๊น์ง ์ด์ ์ด ๊ฐ๋ฅํด์ผ ํ๋ค. ๋ํ ์ฐ์ ๊ตฌ๋ ์
ํ์ํ ์ ๊ฒฉ ํ ํฌ์ ์ถ๋ ฅ์ ๊ฐ๊ฐ 16.7Nm, 3.5kW์ด๋ฉฐ, ์ฝ์์ ์ ์ด ์์ด๋ ๋์์ด ๊ฐ๋ฅํด์ผ ํ๋ค. ๋ณธ ์์คํ
์ ์์ฐ๋๊ฐ ๋ฐฉ์์ ์ฑํํ๊ณ ์์ผ๋ฉฐ,
์ฐ์ ์ด์ ์ ์ํด ์ ๋ฅ ๋ฐ๋๋ 5Arms/mmยฒ ์์ค์ผ๋ก ์ ํ๋๋ค. ๋ชจํฐ ์ฝ์ด์ ์ฌ๋ฃ๋ก SMC ์ฌ๋ฃ ์ค ์ ์ฒ ์ ํน์ฑ์ด ๋ถ๊ฐ๋๋ Somaloy 700HR
5P๋ฅผ ์ ์ฉํ์๋ค. ์ด ์ฌ๋ฃ๋ ์ต๋ ๋นํฌ์์จ(relative permeability) 600, ์์๋ฐ๋ 1.57T(@10,000 A/m)์ ์๊ธฐ์
ํน์ฑ๊ณผ ํจ๊ป, 92W/kg(@1T, 1000Hz)์ ๋ฎ์ ์ฝ์ด ์์ค ๊ฐ์ ๊ฐ์ง๋ฉฐ ๋ชจํฐ ํจ์จ ํฅ์์ ๊ธฐ์ฌํ ์ ์๋ค.
ํ 1 ์ค๊ณ์ฌ์
Table 1 Design Specification
|
ํญ๋ชฉ
|
๊ฐ
|
๋น๊ณ
|
|
๋จ์์ ์
|
200
|
V
|
|
์ ๊ฒฉ์ถ๋ ฅ(์ฐ์)
|
3.5
|
kW
|
|
์ ๊ฒฉํ ํฌ(์ฐ์)
|
16.7
|
Nm
|
|
์ ๋ฅ๋ฐ๋
|
5
|
Arms/mm2
|
|
๋ชจํฐ ์ธ๊ฒฝ(Active)
|
152.0
|
mm
|
|
์ฃผ์ ์จ๋
|
0~40
|
โ
|
|
์๊ตฌ์์
|
N35SH
|
-
|
|
์ฝ์ด
|
Somaloy 700HR 5P
|
-
|
๊ทธ๋ฆผ 11. CNC ๊ฐ๊ณต์ฉ ์๋ณด๋ชจํฐ ํ ํฌ-์๋ ๊ณก์
Fig. 11. Torque-Speed Curve of Servo Motor for CNC Machining
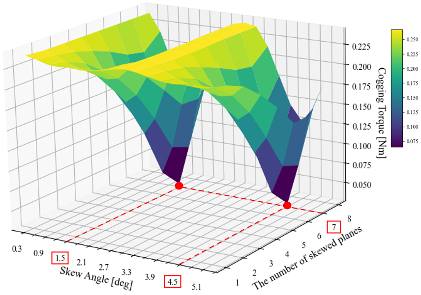
๊ทธ๋ฆผ 12. Skew ๊ฐ๋ ๋ฐ Skew Plane ์์ ๋ฐ๋ฅธ ์ฝ๊น
ํ ํฌ ๋ถ์
Fig. 12. Cogging Torque Analysis Based on Skew Angle and Number of Skew Planes
์ ์ ์์ ๋์ถํ ๋ถ์ ๊ฒฐ๊ณผ๋ฅผ ๋ฐํ์ผ๋ก, ํด์(poleshoe) ๊ตฌ์กฐ์ AFPMSM์ ์๊ตฌ์์ 2๋จ(two-step) ์คํ(skew)๋ฅผ ์ ์ฉํ์๋ค.
๋จผ์ Quasi-3D ํด์์ผ๋ก ๋ถํ ๋ 9๊ฐ ํ๋ฉด์์ ์ป์ ๋ฐ์ดํฐ๋ฅผ ํ์ฉํ์ฌ, ์คํ ๊ฐ๋์ ์คํ๊ฐ ์ ์ฉ๋๋ ํ๋ฉด ์๋ฅผ ๋ค์ํ๊ฒ ์กฐํฉํ ๊ฒฐ๊ณผ, ์ฝ๊น
ํ ํฌ๊ฐ
์ต์ํ๋๋ ์ง์ ์ ํ์ธํ์๋ค. ๋์ ๋ชจ๋ธ์ 20๊ทน 24์ฌ๋กฏ ๊ตฌ์กฐ๋ก, ๊ธฐ๊ณ์ ํ ์ฃผ๊ธฐ ๋์ ์ด 120ํ์ ์ฝ๊น
ํ ํฌ ๋งฅ๋์ด ๋ฐ์ํ๋ฉฐ, ๋ถ์ ๊ฒฐ๊ณผ 1.5deg์
4.5deg์ ์คํ ๊ฐ๋์์ ์ฝ๊น
ํ ํฌ๊ฐ ๊ฐ์ฅ ๋ฎ์์ง๋ ๊ฒ์ผ๋ก ๋ํ๋ฌ๋ค. ํนํ 9๊ฐ ํ๋ฉด ์ค 7:2๋ก ์คํ๋ฅผ ๋ถํ ์ ์ฉํ ๊ฒฝ์ฐ ์ฝ 0.03Nmpk-pk
์์ค๊น์ง ์ฝ๊น
ํ ํฌ๋ฅผ ์ ๊ฐํ ์ ์์์ด ํ์ธ๋์๋ค.
์ดํ 9๊ฐ ํ๋ฉด ์ค 7:2๋ฅผ ๋น์จ์ ํตํด 1.5deg์ 4.5deg์ ์คํ๊ฐ ์ ์ฉ๋ ๋ชจ๋ธ ๋ํด ๋ฌด๋ถํ ์ ์ญ๊ธฐ์ ๋ ฅ(Back-EMF)๊ณผ ๋ถํ ์ ์ ์๊ธฐ
ํ ํฌ๋ฅผ 3D FEA๋ฅผ ํตํด ์ต์ข
์ ์ผ๋ก ๊ฒ์ฆํ์๋ค. ๊ทธ๋ฆผ 13 ๋ฐ ํ 2์ ๋ฐ๋ฅด๋ฉด, ์คํ ๊ฐ๋๊ฐ ์ฆ๊ฐํ ์๋ก ๊ธฐ๋ณธํ ์ฑ๋ถ์ ๋ค์ ์ค์ด๋๋ ํํธ ์ํ๋ฅ ์ด ๋ฎ์์ ธ ํํ์ด ์ ํํ์ ๊ทผ์ ํ๋ค. ์ด๋ ํํ์ด ์ ํํ์ ๊ฐ๊น์์ง์๋ก
์ ์ด ์๋ต์ฑ์ด ํฅ์๋๋ ํจ๊ณผ๊ฐ ์์ผ๋ฏ๋ก, ๊ณ ์ ๋ฐ ์ ์ด๊ฐ ์๊ตฌ๋๋ ์๋ณด๋ชจํฐ ์์ฉ์์ ์ ๋ฆฌํ๋ค. ๋ํ ์ฝ๊น
ํ ํฌ๋ ์คํ ์ ์ฉ๋ง์ผ๋ก๋ ์ฝ 87%๊ฐ๋ ๊ฐ์ํ๋
๊ฒ์ผ๋ก ํ์ธ๋์๋ค.
๊ทธ๋ฆผ 13. ์คํ ๊ฐ๋์ ๋ฐ๋ฅธ ๋ฌด๋ถํ ๋ฐ ๋ถํ ์ฑ๋ฅ ๊ทธ๋ํ
Fig. 13. No-load and load performance graphs according to skew angle
ํ 2 ๋ฌด๋ถํ ๋ฐ ๋ถํ ์ฑ๋ฅ ๋น๊ต
Table 2 Comparison of No-Load and Load Performance
|
ํญ๋ชฉ
|
No skew
|
1.5deg
|
4.5deg
|
๋จ์
|
|
์ญ๊ธฐ์ ๋ ฅ
|
61.3
|
60.9
|
57.6
|
V1th-pk
|
|
์ญ๊ธฐ์ ๋ ฅ THD
|
4.2
|
3.9
|
2.1
|
%
|
|
์ฝ๊น
ํ ํฌ
|
0.24
|
0.03
|
0.03
|
Nmpk-pk
|
|
์ ์๊ธฐ ํ ํฌ
|
16.6
|
16.6
|
16.6
|
Nm
|
|
ํ ํฌ๋ฆฌํ
|
0.8
|
1.3
|
0.5
|
%
|
ํํธ ์ ์๊ธฐ ํ ํฌ์ ๊ฒฝ์ฐ, ์ฝ๊น
ํ ํฌ ์ฃผ๊ธฐ๊ฐ ๊ธฐ๊ณ์ ์ฃผ๊ธฐ์ ์ ๋ฐ ํํ๋ก ๋ฐ์ํ์ฌ 1.5๋์ 4.5๋ ์คํ์์์ ํํ์ด ๋ถ๋ช
ํ๊ฒ ๊ตฌ๋ถ๋๋ค. ์คํ ๊ฐ๋์
๋ฐ๋ฅธ ํ ํฌ ๋ฆฌํ ์ฐจ์ด๋ ๋ฐ์ํ์ฌ, 1.5๋์์๋ ํ ํฌ ๋ฆฌํ์ด ์ฝ 58% ์ฆ๊ฐํ๋ ๋ฐ๋ฉด 4.5๋ ์ ์ฉ ์ ์ฝ 38% ์ ๊ฐ๋๋ ๊ฒฐ๊ณผ๋ฅผ ๋ณด์๋ค. ์ด๋ฅผ ํตํด
์คํ ๊ฐ๋ ์ ์ ์ ์ฝ๊น
ํ ํฌ๋ฟ๋ง ์๋๋ผ ํ ํฌ ๋ฆฌํ ์ ๊ฐ ๋ฐ ์ ์ด ์๋ต์ฑ ์ธก๋ฉด๋ ํจ๊ป ๊ณ ๋ คํ ํ์๊ฐ ์์์ ์ ์ ์๋ค.
5. ๊ฒฐ ๋ก
๋ณธ ์ฐ๊ตฌ๋ CNC ๊ฐ๊ณต์ฉ AFPMSM์ ๋์์ผ๋ก Quasi-3D ํด์ ๋ฐฉ๋ฒ์ ์ด์ฉํ์ฌ ์ฝ๊น
ํ ํฌ๋ฅผ ์ ๊ฐํ๋ ์ค๊ณ ๊ธฐ๋ฒ์ ์ ์ํ์๋ค. YASA ํ์
์ผ๋ก
๊ตฌํ๋ AFPMSM์ ๋ถ์์ฌ๋กฏ๊ณผ ํด์๋ฅผ ์ ์ฉํจ์ผ๋ก์จ, ๋์ ์ถ๋ ฅ๋ฐ๋์ ํ ํฌ ๋งฅ๋ ์ ๊ฐ์ด ๋์์ ๊ฐ๋ฅํจ์ ํ์ธํ์๋ค. ํนํ ์คํ ๊ฐ๋์ ๋ถํ ๋น์จ์
์ ์ ํ ์กฐ์ ํ๋ฉด ์ฝ๊น
ํ ํฌ๋ฅผ 0.03Nmpk-pk ์์ค๊น์ง ๋ฎ์ถ๊ณ , ์ญ๊ธฐ์ ๋ ฅ์ ์ ํํ์ ๊ฐ๊น๊ฒ ์ ์งํ์ฌ ์ ์ด ์๋ต์ฑ์ ๊ฐ์ ํ ์ ์์๋ค.
3D-FEA์ ๋ฐ๋ฅธ ์ฐ์ฐ ๋ถ๋ด์ ํด์ํ๊ธฐ ์ํด ๋์
๋ Quasi-3D ํด์์, ๋ค์์ ํ๋ฉด์ ํ์ฉํด ์ค์ 3์ฐจ์ ํ์์ ๊ฐ์ ์ ์ผ๋ก ์ฌํํจ์ผ๋ก์จ ํด์
์๊ฐ์ ํฌ๊ฒ ๋จ์ถํ๋ฉด์๋ ๋์ ์ ํ๋๋ฅผ ํ๋ณดํ๋ค. ์ด๋ฅผ ํตํด ์คํ ๊ธฐ๋ฒ์ ๋น๋กฏํ ๋ณตํฉ์ ์ค๊ณ ๋ณ์๋ฅผ ํจ์จ์ ์ผ๋ก ํ์ํ ์ ์์์ผ๋ฉฐ, ์๋ณด๋ชจํฐ๊ฐ ์๊ตฌํ๋
์ ์ง๋ยท๊ณ ์ ๋ฐ ํน์ฑ์ ๋ง์กฑ์ํค๋ ํจ๊ณผ์ ์ธ ํด์ยท์ค๊ณ ํ๋ก์ธ์ค์ ๊ฐ๋ฅ์ฑ์ ํ์ธํ์๋ค.
Acknowledgements
๋ณธ ์ฐ๊ตฌ๋ ์ฐ์
ํต์์์๋ถ(MOTIE)์ ํ๊ตญ์๋์ง๊ธฐ์ ํ๊ฐ์(KETEP)์ ์ง์์ ๋ฐ์ ์ํํ ์ฐ๊ตฌ ๊ณผ์ ์
๋๋ค. (RS-2025-02314044)
References
S. H. Won, โDevelopment of Slotless Servo Motor using Block-coil Stator,โ Trans. Korean
Inst. Electr. Eng. P., vol. 72P, no. 4, pp. 320-325, 2023.

K. H. Ryu, T. H. Lee, J. W. Park, H. S. Kwon and B. S. Kang, โA study on the mass
production performance evaluation of servomotors for manufacturing robots,โ J. Drive
Control, vol. 19, no. 4, pp. 91-96, 2022.

Bu, F., Yang, Z., Gao, Y., Pan, Z., Pu, T., Degano, M. and Gerada, C., โSpeed Ripple
Reduction of Direct-Drive PMSM Servo System at Low-Speed Operation Using Virtual Cogging
Torque Control Method,โ IEEE Trans. Ind. Electron., vol. 68, no. 1, pp. 160-174, 2021.

Cheng, M., Zhou, J., Qian, W., Wang, B., Zhao, C. and Han, P., โAdvanced Electrical
Motors and Control Strategies for High-quality Servo Systems - A Comprehensive Review,โ
Chin. J. Electr. Eng., vol. 10, no. 1, pp. 63-85, 2024.

Wang, J., Xu, Z., Xing, Z. et al., โStudy on Electromagnetic Performance of Skewed
Permanent Magnet Axial Flux Permanent Magnet Synchronous Motor,โ J. Electr. Eng. Technol,
2024.

J.-M. Ahn, H.-K. Yeo, J.-Y. Kim, D.-H. Lee and D.-K. Lim, โEvolved Quasi-3D Analysis
Method for Analysis Cost Reduction of Axial Flux Permanent Magnet Motor,โ IEEE Access,
vol. 11, pp. 141241-141250, 2023.

K.-H. Kim and D.-K. Woo, โNovel Quasi-Three-Dimensional Modeling of Axial Flux In-Wheel
Motor With Permanent Magnet Skew,โ IEEE Access, vol. 10, pp. 98842-98854, 2022.

D.-K. Woo, โThe Improved Quasi-3D FE Analysis on the AFPM Motor,โ Trans. Korean Inst.
Electr. Eng., vol. 65, no. 5, pp. 773-776, 2016.

Tong W.M., et al., โA Quasi-Three-Dimensional Magnetic Equivalent Circuit Model of
a Double-Sided Axial Flux Permanent Magnet Machine Considering Local Saturation,โ
IEEE Trans. Energy Convers., vol. 33, no. 4, pp. 2163-2173, 2018.

์ ์์๊ฐ
2020๋
๋ช
์ง๋ํ๊ต ์ ๊ธฐ๊ณตํ๊ณผ ํ์ฌ์กธ์
,
2020๋
~ํ์ฌ ์ฑ๊ท ๊ด๋ ๋ํ์ ์ ์์ ๊ธฐ์ปดํจํฐ๊ณตํ๊ณผ ์๋ฐํตํฉ๊ณผ์
Tel : 031-299-4918
E-mail : kmhngw95@gmail.com
2021๋
๊ฒฝ์ฑ๋ํ๊ต ๊ธฐ๊ณ๋ฉ์นดํธ๋ก๋์ค๊ณตํ๊ณผ ํ์ฌ์กธ์
, 2021๋
~ํ์ฌ ์ฑ๊ท ๊ด๋ ๋ํ์ ์ ์์ ๊ธฐ์ปดํจํฐ๊ณตํ๊ณผ ์๋ฐํตํฉ๊ณผ์
Tel: 031-299-4918
E-mail: seah11@g.skku.edu
2023๋
๋ช
์ง๋ํ๊ต ์ ๊ธฐ๊ณตํ๊ณผ ํ์ฌ์กธ์
, 2023๋
~ํ์ฌ ์ฑ๊ท ๊ด๋ ๋ํ์ ์ ์์ ๊ธฐ์ปดํจํฐ๊ณตํ๊ณผ ์๋ฐํตํฉ๊ณผ์
Tel: 031-299-4918
E-mail: song5427@g.skku.edu
2020๋
์ฑ๊ท ๊ด๋ํ๊ต ์ ์์ ๊ธฐ๊ณตํ๋ถ ํ์ฌ์กธ ์
, 2020๋
~ํ์ฌ ์ฑ๊ท ๊ด๋ ๋ํ์ ์ ์์ ๊ธฐ์ปด ํจํฐ๊ณตํ๊ณผ ์๋ฐํตํฉ๊ณผ์
Tel : 031-299-4918
E-mail : jth7515@gmail.com
์ ์์ฉ(Sang-Yong Jung)
2003๋
์์ธ๋ํ๊ต ๋ํ์ ์ ๊ธฐ๊ณตํ๊ณผ ์กธ์
, ๊ณตํ ๋ฐ์ฌ, 2003๋
~2006๋
ํ๋์๋์ฐจ ์ฐ๊ตฌ ๊ฐ๋ฐ๋ณธ๋ถ ์ ์์ฐ๊ตฌ์, 2006๋
~2011๋
๋์๋ํ๊ต
์ ๊ธฐ๊ณตํ๊ณผ ์กฐ๊ต์, 2011๋
~ํ์ฌ ์ฑ๊ท ๊ด๋ํ๊ต ์ ์์ ๊ธฐ๊ณตํ๋ถ ๊ต์
Tel : 031-299-4952
E-mail : syjung@skku.edu