์ด๋ฏผ๊ท
(Min-Gyu Lee)
1iD
๋ฌธ์ฒ ์ฐ
(Chulwoo Moon)
โ iD
์ด์์ค
(Sangyoon Lee)
โ โ iD
-
(Dept. of Electrical Engineering, Chonnam National University, Gwangju, Republic of
Korea.)
Copyright ยฉ The Korea Institute for Structural Maintenance and Inspection
Key words
Electric Vehicle Charging Station, Uncertainty, Distributionally Robust Optimization, Distributionally Robust Chance Constrained Programming
ํ 1 ๋
ผ๋ฌธ์์ ์ฐ์ธ ์ฃผ์ ๋ณ์
|
๊ธฐํธ
|
๊ธฐํธ์ ๋ํ ์ค๋ช
|
|
$P_{t}^{{buy}}$
|
$t$์๊ฐ๋์์์ ์ ๊ธฐ์ฐจ ์ถฉ์ ์์ ์ ๋ ฅ ๊ตฌ๋งค๋
|
|
$P_{t}^{{sell}}$
|
$t$์๊ฐ๋์์์ ์ ๊ธฐ์ฐจ ์ถฉ์ ์์ ์ ๋ ฅ ํ๋งค๋
|
|
$\widetilde{P_{t}^{{EV}}}$
|
$t$์๊ฐ๋์์์ ๋ถํ์คํ ์ ๊ธฐ์ฐจ ์ถฉ์ ๋
|
|
$\widetilde{P_{t}^{{PV}}}$
|
$t$์๊ฐ๋์์์ ๋ถํ์คํ ํ์๊ด ๋ฐ์ ๋
|
|
$P_{t}^{{PV},\:{EV}}$
|
$t$์๊ฐ๋์์์ ํ์๊ด ๋ฐ์ ๋์ผ๋ก๋ถํฐ ์ถฉ์ ๋๋ ์ ๊ธฐ์ฐจ ์ถฉ์ ๋
|
|
$P_{t}^{{grid},\:{EV}}$
|
$t$์๊ฐ๋์์์ ์ ๋ ฅ๋ง์ผ๋ก๋ถํฐ ์ ๊ธฐ์ฐจ ์ถฉ์ ์ ์ํด ๊ตฌ๋งคํ๋ ์
|
|
$P_{t}^{{EV},\:{r}}$
|
$t$์๊ฐ๋์์์ ์ด์๋ ์ ๊ธฐ์ฐจ ์ถฉ์ ๋
|
|
$SOC_{t}$
|
$t$์๊ฐ๋์์์ ์๋์ง ์ถฉ์ ์ฅ์น์ ์ถฉ์ ์ํ
|
|
$P_{t}^{{ch}}$
|
$t$์๊ฐ๋์์์ ์๋์ง ์ ์ฅ์ฅ์น์ ์ถฉ์ ๋
|
|
$P_{t}^{{grid},\:{ch}}$
|
$t$์๊ฐ๋์์์ ์ ๋ ฅ๋ง์ผ๋ก๋ถํฐ ์๋์ง ์ ์ฅ์ฅ์น ์ถฉ์ ์ ์ํด ๊ตฌ๋งคํ๋ ์
|
|
$P_{t}^{{PV},\:{ch}}$
|
$t$์๊ฐ๋์์์ ํ์๊ด์ผ๋ก๋ถํฐ ์๋์ง ์ ์ฅ์ฅ์น ์ถฉ์ ์ ์ํด ๊ตฌ๋งคํ๋ ์
|
|
$P_{t}^{{dch}}$
|
$t$์๊ฐ๋์์์ ์๋์ง ์ ์ฅ์ฅ์น์ ๋ฐฉ์ ๋
|
1. Introduction
์ต๊ทผ ์ ๊ธฐ์ฐจ๊ฐ ๊ธฐ์กด ๋ด์ฐ๊ธฐ๊ด ์ฐจ๋์ ๋น ๋ฅด๊ฒ ๋์ฒดํ๋ฉฐ ํจ์จ์ ์ธ ์ ๊ธฐ์ฐจ ์ถฉ์ ์ธํ๋ผ ์ด์์ ๋ํ ๊ด์ฌ์ด ์ปค์ ธ๊ฐ๊ณ ์๋ค. ํจ์จ์ ์ธ (ex. ์์ต์ฑ์ด ์ข์)
์ถฉ์ ์ธํ๋ผ ์ด์์ ๋ํ ์ฐ๊ตฌ๋ ์ถฉ์ ์ธํ๋ผ ๋ณด๊ธ ๊ฐ์ํ์ ๊ธฐ์ฌํ ๊ฒ์ด๋ฉฐ, ์ด๊ฒ์ ๊ถ๊ทน์ ์ผ๋ก ์ ๊ธฐ์ฐจ๋ก์ ์ ํ์ ํฐ ์ญํ ์ ํ ๊ฒ์ผ๋ก ์์๋๋ค.
์ต๊ทผ ๋ค์ํ ๋ถ์ฐ ์๋์ง์ (ex. ํ์๊ด ๋ฐ์ ์ฅ์น, ์๋์ง ์ ์ฅ์ฅ์น) ์ ๊ธฐ์ ์ด ๊ณ ๋ํ๋๋ฉฐ ์ ๊ธฐ์ฐจ ์ถฉ์ ์๋ฅผ ํฌํจํ ๋ค์ํ ์ฐจ์ธ๋ ์๋์ง ์ด์ ์ธํ๋ผ์
ํ์ฉ๋ ๊ฒ์ผ๋ก ์ ๋ง๋๋ฉฐ ์ด์ ๋ํ ์ฐ๊ตฌ ๋ํ ํ๋ฐํ ์งํ๋๊ณ ์๋ค[1,2,3]. ํ์ง๋ง ์ถฉ์ ์์ ์ ์ฌ์ ์๋์ง ๊ณต๊ธ์์ด ๋์ด์ค ํ์๊ด ๋ฐ์ ๋์ ๋ถํ์คํ ์๋์ง ํ๊ฒฝ ์์๋ก์, ์ ํํ์ง ๋ชปํ ํ์๊ด ๋ฐ์ ๋์ ๋ํ ๊ณ ๋ ค๋ ๋นํจ์จ์ ์ธ
์ ๊ธฐ์ฐจ ์ถฉ์ ์ ์ด์์ ์ผ๊ธฐํ ์ ์๋ค. ๋ฟ๋ง ์๋๋ผ, ์ถฉ์ ์์ ์ถฉ์ ๋์์ธ ์ ๊ธฐ์ฐจ ์ถฉ์ ๋ถํ ๋ํ ์ ํํ๊ฒ ์์ธกํ๊ธฐ ํ๋ ์๋์ง ํ๊ฒฝ ์์๋ก์, ์ด์
๋ํ ๋ถํ์ค์ฑ ๋ํ ์ถฉ์ ์์ ํจ์จ์ ์ธ ์๋์ง ์ด์์ ์ํฅ์ ๋ฏธ์น ๊ฒ์ผ๋ก ์์๋๋ค.
์ด๋ฌํ ๋ถํ์คํ ์๋์ง ํ๊ฒฝ ์์๋ฅผ ๊ณ ๋ คํ ์ต์ ์ ์ ๊ธฐ์ฐจ ์ถฉ์ ์ ๋ฐ ๋ค์ํ ํ๊ฒฝ์ ์๋์ง ๊ด๋ฆฌ ์์คํ
์ ์ค๊ณํ๊ธฐ ์ํด stochastic ์ต์ ํ ๊ธฐ๋ฒ,
robust ์ต์ ํ ๊ธฐ๋ฒ, ๊ธฐํ์ ์ฝ์กฐ๊ฑด ๋ฑ ๋ค์ํ ๊ธฐ๋ฒ๋ค์ ์ ์ฉํ ์ฐ๊ตฌ๋ค์ด ์ํ๋์๋ค[4,5]. ํ์ง๋ง ๊ธฐ์กด์ ์ฐ๊ตฌ๋ค์ ๋ถํ์ค์ฑ์ ๋ํ ํ๋ฅ ๋ถํฌ ์ ๋ณด๋ฅผ ์ ํํ ์๊ณ ์์ด์ผ ํ๋ค๊ฑฐ๋ ๋ถํ์ค์ฑ์ ๋ํด ์ง๋์น๊ฒ ๋ณด์์ ์ผ๋ก ๊ณ ๋ คํ๋ค๋ ๋จ์ ๋ค์ด ์กด์ฌํ์๋ค.
๋ฟ๋ง ์๋๋ผ, ํ๋ฅ ๋ถํฌ ๊ธฐ๋ฐ์ ๋ถํ์ค์ฑ์ ํ์ฉํ ์ต์ ํ ๋ฌธ์ ์ค๊ณ๋ ๋ฌดํ ์ฐจ์์ ๋ฌธ์ ๋ก ์ค๊ณ๋์ด ๋คํญ์ ์๊ฐ ์ด๋ด์ ๊ณ์ฐํ ์ ์๋ค๋ ๋จ์ ๋ํ ์กด์ฌํ๋ค.
์์ ์ธ๊ธ๋ ๊ธฐ์กด ์ฐ๊ตฌ๋ค์ ๋ํ ํ๊ณ์ ์ ๊ฐ์ ํ๊ธฐ ์ํด ๋ถํฌ ๊ฐ๊ฑด ์ต์ ํ (distributionally robust optimization, DRO)๋ฅผ
ํ์ฉํ ์ฐ๊ตฌ๊ฐ ์ต๊ทผ ํ๋ฐํ ์ด๋ฃจ์ด์ง๊ณ ์๋ค[6,7]. ํด๋น ์ต์ ํ ๊ธฐ๋ฒ์ ๊ตฌ๊ฐ์ด ์ ํด์ง ๋๋ค๋ณ์ ๋ฒ์ ์์์ ์ํ๋ง๋ ๋ฐ์ดํฐ๋ฅผ ๋ฐํ์ผ๋ก ํ๋ฅ ๋ถํฌ๋ฅผ ์์ฑํ์ฌ ํด๋น ํ๋ฅ ๋ถํฌ๋ฅผ ๊ธฐ๋ฐ์ผ๋ก ๋ถํ์ค์ฑ์ ๊ณ ๋ คํ๋
๋ฐ์ดํฐ ๊ธฐ๋ฐ ์ฐ์ฐ๊ธฐ๋ฒ์ด๋ค. ๋ณธ ๋
ผ๋ฌธ์์๋ ๋ถํฌ ๊ฐ๊ฑด ์ต์ ํ ๊ธฐ๋ฒ์ ํ์ฉํ์ฌ ์๊ฐ๋๋ณ ์ ๊ธฐ์๋์ง ๊ฐ๊ฒฉ, ํ์๊ด ๋ฐ์ ๋ ๊ทธ๋ฆฌ๊ณ ์ ๊ธฐ์ฐจ ์ถฉ์ ๋์ ๋ํ ๋ถํ์ค์ฑ์
๋ฐ์ดํฐ ๊ธฐ๋ฐ์ ๋ฐฉ์์ผ๋ก ๊ณ ๋ คํ ์ต์ ์ ์ค๋งํธ ์ ๊ธฐ์ฐจ ์ถฉ์ ์ (i.e., ํ์๊ด ๋ฐ์ ์์คํ
๊ณผ ์๋์ง ์ ์ฅ์ฅ์น๊ฐ ๊ฒฐํฉ๋ ์ ๊ธฐ์ฐจ ์ถฉ์ ์) ์๋์ง ๊ด๋ฆฌ
์์คํ
์ ์ ์ํ๋ค. ์ ์ํ๋ ์ฐ๊ตฌ๊ฐ ๊ฐ์ง๋ ๊ธฐ์ฌ์ ์ ๋ค์๊ณผ ๊ฐ์ด ์์ฝํ๋ค.
โข ์ค๋งํธ ์ ๊ธฐ์ฐจ ์ถฉ์ ์ ์ด์ ์ค ๋ฐ์ํ๋ ๋ํ์ ์ธ ๋ถํ์ค์ฑ ์์์ธ ์ ๊ธฐ์๋์ง ๊ฐ๊ฒฉ, ํ์๊ด ๋ฐ์ ๋๊ณผ ์ ๊ธฐ์ฐจ ์ถฉ์ ๋์ ๋ํ ๋ถํ์ค์ฑ์ ๋ชจ๋ ๊ณ ๋ คํ
์ต์ ์ ์๋์ง ๊ด๋ฆฌ ์์คํ
์ค๊ณ๋ฅผ ์ ์ํ๋ค.
โข ๋ฐ์ดํฐ ๊ธฐ๋ฐ์ ์ํ๋ง ๋ฐฉ์์ ํ์ฉํ ๋ถํฌ ๊ฐ๊ฑด ์ต์ ํ ๊ธฐ๋ฒ์ ํ์ฉํ์ฌ ๋ถํ์ค์ฑ์ ๋ํ ์ ํํ ์ ๋ณด๋ฅผ ์์ง ๋ชปํ๋ ํ๊ฒฝ์์๋ ์ ๊ธฐ์ฐจ ์ถฉ์ ์๋ด ๋ถํ์ค์ฑ
์์๋ค์ ๋ํ ์ต์ ์ ์๋์ง ์ด์ ์๋ฃจ์
์ ๋์ถํ๋ค.
โข ํ์๊ด ๋ฐ์ ๋๊ณผ ์ ๊ธฐ์ฐจ ์ถฉ์ ๋์ ๋ํ ์๋์ง ์ด์ ์กฐ๊ฑด์ ๋ํด ๋ถํฌ ๊ฐ๊ฑด ๊ธฐ๋ฐ์ ๊ธฐํ์ ์ฝ์กฐ๊ฑด์ ์ค์ ํ์ฌ ์ด๋ค์ ์๋์ง ์ด์ ์กฐ๊ฑด์ ๋ง์กฑํ๋ ๋ถํ์ค์ฑ
๋ฒ์๋ฅผ ์๋กญ๊ฒ ๋์ถํ์ฌ ๋ฌธ์ ๋ฅผ ์ค๊ณํ๋ค.
๋ณธ ๋
ผ๋ฌธ์ 2์ฅ์์๋ ์ ์ํ ์ฐ๊ตฌ์ ๋ถํฌ ๊ฐ๊ฑด ์ต์ ํ ๋ฐ ๊ธฐํ์ ์ฝ์กฐ๊ฑด์ ์ฌ์ฉ๋๋ Wasserstein metric์ ์๊ฐํ๋ฉฐ, 3์ฅ์์๋ ์ ์ํ ์ฐ๊ตฌ์
๋ชฉ์ ํจ์, ์ ์ฝ์กฐ๊ฑด ๊ทธ๋ฆฌ๊ณ ์ค๊ณ๋ ๋ฌธ์ ์ ์ฌ์ค๊ณ (reformulation) ์ ๋ํด ์๊ฐ๋๋ค. 4์ฅ์์๋ ์ ์ํ ์ฐ๊ตฌ์ ๋ํ ์๋ฎฌ๋ ์ด์
๋ถ์์ด ์๊ฐ๋๋ฉฐ,
๋ง์ง๋ง์ผ๋ก 5์ฅ์์๋ ๋ณธ ์ฐ๊ตฌ์ ๊ฒฐ๋ก ๊ณผ ํจ๊ป ๋
ผ๋ฌธ์ด ๋ง๋ฌด๋ฆฌ๋๋ค.
2. Backgrounds
2.1 Wasserstein metric
ํด๋น ๊ธฐ๋ฒ์ ๋ถํ์ค์ฑ์ ๋ํ ๋ค๋ฅธ 2๊ฐ์ ํ๋ฅ ๋ถํฌ์ ๊ฑฐ๋ฆฌ๋ฅผ ์ธก์ ํ๋ ๋ฐฉ๋ฒ์ผ๋ก์, ์ค๊ณํ ๋ฌธ์ ๋ด์์ ๊ณ ๋ คํ ๋ถํ์ค์ฑ์ ๋ฒ์๋ฅผ ํ๋ฅ ๋ถํฌ์ ์ผ๋ก ๋ํ๋ด๊ธฐ
์ํด ์ฌ์ฉ๋๋ค. ์ด๋ ๊ฐ์ ํ๋ฅ ๋ณ์ ์งํฉ ์์ ์๋ ๋ค๋ฅธ 2๊ฐ์ ํ๋ฅ ๋ถํฌ $\vec{P_{1}}$, $\vec{P_{2}}$์ Wasserstein
distance๋ ๋ค์๊ณผ ๊ฐ์ด ์ ์๋๋ค[8].
์ด๋, $\widetilde{\xi_{1}}$์ $\widetilde{\xi_{2}}$๋ $\vec{P_{1}}$์ $\vec{P_{2}}$์ ๋๋ค
๋ณ์์ด๊ณ , $\Pi$๋ 2๊ฐ์ ๋๋ค๋ณ์์ ๊ฒฐํฉ ๋ถํฌ๋ฅผ ๋ํ๋ธ๋ค. Wasserstein metric์ ํ์ฉํ ๋ถํฌ ๊ฐ๊ฑด ์ต์ ํ ๊ธฐ๋ฒ์์๋ ๊ธฐ์ค์ด ๋๋
$N$๊ฐ์ ๋ฐ์ดํฐ๋ก ์ด๋ฃจ์ด์ง ๊ฒฝํ์ ๋ถํฌ $\hat{\vec{P_{N}}}$ ๋ก๋ถํฐ $\epsilon$ ๋ด์ ($N$๊ฐ์ ๋ฐ์ดํฐ๋ก ์ด๋ฃจ์ด์ง) ํ๋ฅ ๋ถํฌ
๋ฐ์ดํฐ์
${P}_{N}$ ๋ฅผ ์ด์ฉํ์ฌ ์ค๊ณํ ๋ฌธ์ ๋ด์ ๋ถํ์ค์ฑ์ ๊ณ ๋ คํ๋ค. ${P}_{N}$์ ๋ํ ์ ์๋ ๋ค์๊ณผ ๊ฐ๋ค.
Wasserstein metric ๊ธฐ๋ฐ์ ๋ถํฌ ๊ฐ๊ฑด ์ต์ ํ ๊ธฐ๋ฒ์ ${P}_{N}$์ ๋ง์กฑํ๋ ์ํ ๋ฐ์ดํฐ๋ฅผ ๊ธฐ๋ฐ์ผ๋ก ๋ถํ์ค์ฑ ์์๋ฅผ ๊ณ ๋ คํ๋ฉฐ, ๊ทธ๊ฒ์
์ง๋์น๊ฒ ๋ณด์์ ์ธ ($\epsilon$์ด๋ด์ ๋ค์ด์ค์ง ๋ชปํ ํ๋ฅ ๋ถํฌ์ ๋ฐ์ดํฐ) ๋ถํ์ค์ฑ ๊ณ ๋ ค๋ฅผ ๋ฐฉ์งํ ์ ์๋ค๋ ์ฅ์ ์ด ์๋ค. ๋ฟ๋ง ์๋๋ผ, ํด๋น
๊ธฐ๋ฒ์ ๋ค๋ฃจ๊ณ ์ ํ๋ ๋ถํ์ค์ฑ์ ๋ํ ํ๋ฅ ๋ถํฌ ์ ๋ณด๋ฅผ ์ ํํ ์๋ ๊ฒ์ด ์๋๋ผ ${P}_{N}$๋ด ์ํ๋ง ๋ฐ์ดํฐ ๊ธฐ๋ฐ์ ํ๋ฅ ๋ถํฌ ์ ๋ณด๋ฅผ ์ฌ์ฉํ๋ค๋
์ ์์ ์ฃผ์ด์ง ๋ฐ์ดํฐ๋ฅผ ํ์ฉํ ๋ฐ์ดํฐ ๊ธฐ๋ฐ์ ๊ธฐ๋ฒ์ด๋ผ๋ ์ฅ์ ์ด ์๋ค. ์ด๋ฒ ์ฐ๊ตฌ์์๋ ์ค๋งํธ ์ ๊ธฐ์ฐจ ์ถฉ์ ์์ ์๊ฐ๋๋ณ ์ ๊ธฐ์๋์ง ๊ตฌ๋งค๊ฐ๊ฒฉ, ํ์๊ด
๋ฐ์ ๋, ์ ๊ธฐ์ฐจ ์ถฉ์ ๋์ ๋ํ ๋ถํ์ค์ฑ์ ๊ณ ๋ คํ ์ต์ ์๋์ง ๊ด๋ฆฌ ์์คํ
์ ์ค๊ณํ๊ธฐ ์ํด Wasserstein metric ๊ธฐ๋ฐ์ ๋ถํฌ ๊ฐ๊ฑด ์ต์ ํ
์๊ณ ๋ฆฌ์ฆ์ ์ ์ฉํ์๋ค. ์ 3๊ฐ์ง ๋ถํ์ค์ฑ์ ๊ณ ๋ คํ ์ต์ ์ค๋งํธ ์ ๊ธฐ์ฐจ ์ถฉ์ ์ ์ด์์ ๋ํ ์ค๊ณ๋ ๋ค์์ฅ ์๊ฐ๋๋ค.
3. Problem Formulations
์ด๋ฒ ์ฅ์์๋ ์ ์ํ ์ต์ ์ค๋งํธ ์ ๊ธฐ์ฐจ ์ถฉ์ ์ ์๋์ง ์ด์ ์๊ณ ๋ฆฌ์ฆ์ ๋ํ ์์์ ์ค๊ณ๋ฅผ ์๊ฐํ๋ค. ์ด๋ฒ ์ฐ๊ตฌ์์ ๋ค๋ฃจ๋ ์ค๋งํธ ์ ๊ธฐ์ฐจ ์ถฉ์ ์๋
๊ธฐ์กด์ ์ ๊ธฐ์ฐจ ์ถฉ์ ์์ ๋จ์ผ์ ํ์๊ด ๋ฐ์ ์ฅ์น์ ์๋์ง ์ ์ฅ์ฅ์น๊ฐ ๊ฒฐํฉ๋ ๊ตฌ์กฐ์ ์ถฉ์ ์๋ค. ์ฐ๊ฒฐ๋ ํ์๊ด ๋ฐ์ ์ฅ์น๋ก๋ถํฐ ๋ฐ์ ๋ ์๋์ง๋ ์๋์ง ์ ์ฅ์ฅ์น์
์ถฉ์ ์๋์ง๋ก ๋ณด์กฐ๋๊ฑฐ๋ ์ ๊ธฐ์ฐจ ์ถฉ์ ๋์ผ๋ก ์ฐ์ธ๋ค๊ณ ๊ฐ์ ํ๋ค. ์๋์ง ์ ์ฅ์ฅ์น๋ ์์ ์ธ๊ธ๋ ํ์๊ด ๋ฐ์ ๋์ผ๋ก๋ถํฐ ์๋์ง๋ฅผ ์ถฉ์ ํ๊ฑฐ๋ ์ฐ๊ฒฐ๋ ์ ๋ ฅ๋ง์ผ๋ก๋ถํฐ
๊ตฌ๋งคํ ์๋์ง๋ก ์ถฉ์ ํ๋ค๊ณ ๊ฐ์ ํ๋ค. ์ด๋ฒ ์ฐ๊ตฌ์์๋ ๊ฐ๋ณ ์ ๊ธฐ์ฐจ์ ๋ํ ์ถฉ์ ์ ๋ค๋ฃจ์ง ์์ผ๋ฉฐ, ํฉ์ณ์ง ์ ๊ธฐ์ฐจ ์ถฉ์ ๋์ ๊ณ ๋ คํ์ฌ ์ถฉ์ ์์ ์๋์ง ์ด์์
๊ณํํ๋ค. ์ค๋งํธ ์ ๊ธฐ์ฐจ ์ถฉ์ ์๋ ๋จ์ ์๋์ง๋น ํ๋งค๊ฐ๊ฒฉ์ ๋จ์ผ ๊ฐ์ผ๋ก ์ค์ ํ์ง๋ง, ์ ๋ ฅ๋ง๋ก๋ถํฐ ๊ตฌ๋งคํ๋ ๋จ์ ์๋์ง๋น ๊ตฌ๋งค๊ฐ๊ฒฉ์ ์๊ฐ๋๋ณ๋ก ๋ณํํ๋ฉฐ
๋ถํ์ค์ฑ์ด ์กด์ฌํ๋ ํ๊ฒฝ ์์๋ก ๊ฐ์ ํ๋ค. ์ด์ธ์๋ ์๊ฐ๋๋ณ ํ์๊ด ๋ฐ์ ๋๊ณผ ์ ๊ธฐ์ฐจ ์ถฉ์ ๋๋ ๊ฒฐ์ ๋์ด ์์ง ์์ผ๋ฉฐ ๋ถํ์ค์ฑ์ด ์กด์ฌํ๋ค๊ณ ๊ฐ์ ํ์๋ค.
์ต์ข
์ ์ผ๋ก, ์ด๋ฒ ์ฐ๊ตฌ์์์ ์ค๋งํธ ์ ๊ธฐ์ฐจ ์ถฉ์ ์์ ๋ชฉ์ ํจ์๋ ์๊ฐ๋๋ณ ์๋์ง ๊ตฌ๋งค๊ฐ๊ฒฉ, ํ์๊ด ๋ฐ์ ๋, ์ ๊ธฐ์ฐจ ์ถฉ์ ๋์ ๋ถํ์ค์ฑ์ ๊ณ ๋ คํ์ฌ (์๋์ง
ํ๋งค๋ฅผ ํตํ) ์ด์ต์ ์ต๋ํํ๋ ์ต์ ์๋์ง ๊ด๋ฆฌ ์์คํ
์ ๋์ถํ๋ ๊ฒ์ด๋ค.
3.1 Objective function
์ ์ํ ์ฐ๊ตฌ์ ๋ชฉ์ ํจ์๋ ๋ค์๊ณผ ๊ฐ์ด ์ค๊ณ๋๋ค.
๋ชฉ์ ํจ์๋ $J_{1}-J_{2}$ ๋ฅผ ์ต๋ํ ํ๋ ๊ฒ์ผ๋ก์, ํ๋ฃจ๋์์ ์๋์ง ํ๋งค๋ก ์ธํ ๋งค์ถ ($J_{1}$) ์์ ์๋์ง ๊ตฌ๋งค๋ก ์ธํ ์๋น
($J_{2}$) ์ ๋ํ ์ฐจ์ด๋ฅผ ์ต๋ํ ํ๋ ๊ฒ์ด๋ค. ์ด๋, $J_{1}$์ ์๊ฐ๋๋ณ ์ ๊ธฐ์ฐจ ์ถฉ์ ์์ ๋งค์ถ (์๋์ง ํ๋งค๋ $P_{t}^{{sell}}$๊ณผ
(๋จ์ผ์) ํ๋งค ์๋์ง ๊ฐ๊ฒฉ์ ๊ณฑ)์ ๋ํ ํฉ์ผ๋ก ์ ์๋๋ฉฐ, $J_{2}$๋ Wasserstein metric ๊ธฐ๋ฐ์ผ๋ก ๋ง๋ค์ด์ง ํ๋ฅ ๋ถํฌ ๋ฐ์ดํฐ์
$P_{N^{{buy}}}$ ์ ํ์ฉํ์ฌ ์๊ฐ๋๋ณ ์๋์ง ๊ตฌ๋งค๊ฐ๊ฒฉ์ ๋ํ ๋ถํ์ค์ฑ ($\widetilde{\pi_{t}^{{buy}}}$)์ ๊ณ ๋ คํ
์ต์ ์๋์ง ์๋น์ ํฉ์ผ๋ก ์ ์๋๋ค. $N^{{buy}}$๋ ๋ถํ์คํ ์๋์ง ๊ตฌ๋งค๊ฐ๊ฒฉ์ ๋ํ ์ํ ๋ฐ์ดํฐ์ ๊ฐ์๋ฅผ ์๋ฏธํ๋ค. ํ์ง๋ง ํ๋ฅ ๋ถํฌ ๊ธฐ๋ฐ์
๋ถํ์ค์ฑ์ ํ์ฉํ ์ต์ ํ ๋ฌธ์ ์ค๊ณ๋ ๋ถํฌ๊ฐ ๋ถ๋ช
ํํ ํ๋ฅ ๋ณ์๊ฐ ํฌํจ๋ ๋ฌดํ ์ฐจ์์ ๋ฌธ์ ๋ก ์ค๊ณ๋์ด ์์ฉ ํ๋ก๊ทธ๋จ์ผ๋ก ๊ตฌํํ๊ธฐ ํ๋ค๋ค๋ ๋จ์ ์ด ์๋ค.
์ค๊ณํ ๋ฌธ์ ์ ๋ํ ์ฐ์ฐ ํจ์จ์ฑ์ ๊ฐ์ ํ์ฌ ์์น์ ๋ถ์์ ์งํํ๊ธฐ ์ํด ๋ณธ ๋
ผ๋ฌธ์์๋ ์ค๊ณํ ํ๋ฅ ๋ถํฌ ๊ธฐ๋ฐ์ ๋ฌธ์ ์ ๋ํ ๊ฐํ ์๋์ฑ ์ด๋ก (strong
duality)์ ํ์ฉํ์ฌ ์ ํ ์ฐจ์์ ๋ณผ๋ก (convex) ํ์์ผ๋ก์ ์ฌ์ค๊ณ๋ฅผ ํ์ด์ง 4์ (23)๊ณผ (24)์ ์ ์ํ๋ค. ์ ์ํ ์ฌ์ค๊ณ์ ๋ํ ์ค๋ช
์ 3.4์ฅ์ ์์ธํ๊ฒ ์ค๋ช
๋๋ค.
3.2 Constraints
์ค๋งํธ ์ ๊ธฐ์ฐจ ์ถฉ์ ์๋ ๋ค์๊ณผ ๊ฐ์ ์ ์ฝ์กฐ๊ฑด์ ๋ฐ๋ผ ์๋์ง๋ฅผ ์ด์ํ๋ค.
(6)์ ๋งค ์๊ฐ $t$์์์ ์ ๊ธฐ์ฐจ ์ถฉ์ ์์ ์ ๋ ฅ ๊ตฌ๋งค๋$(P_{t}^{{buy}})$ ์ ์ ๊ธฐ์ฐจ ์ถฉ์ ์ ์ํด ๊ตฌ๋งคํ๋ ์ $(P_{t}^{{grid},\:{EV}})$
๊ณผ ์๋์ง ์ ์ฅ์ฅ์น ์ถฉ์ ์ ์ํด ๊ตฌ๋งคํ๋ ์ $(P_{t}^{{grid},\:{ch}})$ ์ ํฉ์ผ๋ก ์ ์ํ์๊ณ , (7)์ ๋งค ์๊ฐ $t$์์์ ์ ๊ธฐ์ฐจ ์ถฉ์ ์์ ์ ๋ ฅ ํ๋งค๋ $(P_{t}^{{sell}})$ ์ ๊ธฐ์ฐจ ์ถฉ์ ์ ์ํด i) ์ ๋ ฅ๋ง์ผ๋ก๋ถํฐ ๊ตฌ๋งคํ ์ $(P_{t}^{{grid},\:{EV}})$
, ii) ์๋์ง ์ ์ฅ์ฅ์น์ ๋ฐฉ์ ๋ $(P_{t}^{{dch}})$, iii) ํ์๊ด ๋ฐ์ ๋์ผ๋ก๋ถํฐ ๋ณด์กฐ ๋ฐ์ ์ ๋ ฅ๋ $(P_{t}^{{PV},\:{EV}})$
์ ํฉ์ผ๋ก ์ ์ํ์๋ค. (8)์์๋ ๋งค ์๊ฐ $t$์์์ ์์ฌ ์ ๊ธฐ์ฐจ ์ถฉ์ ๋ $(P_{t}^{{EV},\:{r}})$์ ์ ์ํ์์ผ๋ฉฐ, ์ถฉ์ ์๋ ํด๋น ์๊ฐ๋์ ํฉ์ณ์ง ์ ๊ธฐ์ฐจ ์ถฉ์ ๋
$\left(\widetilde{P_{t}^{{EV}}}+ P_{t-1}^{{EV},\:{r}}\right)$ ์ ๊ณต๊ธํ์ง ๋ชปํ ๊ฒฝ์ฐ ์์ฌ ์ ๊ธฐ์ฐจ
์ถฉ์ ๋์ ๋ค์ ์๊ฐ๋๋ก ์ด์์ํจ๋ค๊ณ ์ค์ ํ์๋ค. ๊ทธ๋ฆฌ๊ณ (9)์์๋ ์ ํด์ง ์ฃผ๊ธฐ $m$์๊ฐ๋๋ง๋ค ์์ฌ ์ ๊ธฐ์ฐจ ์ถฉ์ ๋ $(P_{t}^{{EV},\:{r}})$ ์ 0์ผ๋ก ๋ง๋ค์ด ์ง์์ ์ธ ์ ๊ธฐ์ฐจ ์ถฉ์ ๋ ์ด์์ ๋ฐฉ์งํ์๋ค.
(10) ์ ๋งค ์๊ฐ $t$์์์ ์ค๋งํธ ์ ๊ธฐ์ฐจ ์ถฉ์ ์ ์๋์ง ์ ์ฅ์ฅ์น ์ถฉ์ ๋ $(P_{t}^{{ch}})$ ์ ์ ๋ ฅ๋ง์ผ๋ก๋ถํฐ ๊ตฌ๋งคํ๋ ์ $(P_{t}^{{grid},\:{ch}})$
๊ณผ ํ์๊ด ๋ฐ์ ๋์ผ๋ก๋ถํฐ ๋ณด์กฐ๋ฐ๋ ์ $(P_{t}^{{PV},\:{ch}})$ ์ ํฉ์ผ๋ก ์ ์ํ์์ผ๋ฉฐ, (11)์ ๋งค ์๊ฐ $t$์์์ ๋ถํ์คํ ํ์๊ด ๋ฐ์ ๋ $(\widetilde{P_{t}^{{PV}}})$ ์ ํด๋น ์๊ฐ๋์ ์ ๊ธฐ์ฐจ ์ถฉ์ ๋์ ๋ณด์กฐํ๊ฑฐ๋ ์๋์ง
์ ์ฅ์ฅ์น ์ถฉ์ ๋์ ๋ณด์กฐํ๋ค๊ณ ์ค๊ณํ์๋ค. (12)์์๋ ์ค๋งํธ ์ ๊ธฐ์ฐจ ์ถฉ์ ์ ์๋์ง ์ ์ฅ์ฅ์น์ ๋งค ์๊ฐ $t$์์ ๋ฐฐํฐ๋ฆฌ ์ถฉ์ ์ํ (SOC) $(SOC_{t})$ ์ ๋ํ ๋์ ๋ฐฉ์ ์์ ๋ํ๋ด๋ฉฐ,
์๋์ง ์ ์ฅ์ฅ์น์ ์ฉ๋ $(E^{cap})$ ๋๋น ์ถฉ์ ๋ $(P_{t}^{{ch}})$์ ํฉ๊ณผ ๋ฐฉ์ ๋ $(P_{t}^{{dch}})$์ ์ฐจ๋ก ์ด๋ฃจ์ด์ง๋ค
($\eta^{{ch}}$์ $\eta^{{dch}}$์ ๊ฐ๊ฐ ์ถฉ์ ๋ฐ ๋ฐฉ์ ํจ์จ์ ๋ํ๋ธ๋ค). (13)์์๋ ์ค๋งํธ ์ ๊ธฐ์ฐจ ์ถฉ์ ์์ ๊ตฌ๋งค $(P_{t}^{{buy}})$, ํ๋งค ์ ๋ ฅ๋ $(P_{t}^{{sell}})$ ์ ๋ณ์๊ธฐ ์ ๋ ฅ๋ ($P^{{tr}}$)
์ดํ๋ก ์ค์ ํ๋ฉฐ, (14)์์ ํ๋งค ์ ๋ ฅ๋ $(P_{t}^{{sell}})$ ์ ํด๋น ์๊ฐ๋์ ์ ๊ธฐ์ฐจ ์ถฉ์ ๋ $(\widetilde{P_{t}^{{EV}}})$ ๊ณผ ์ด์ ์๊ฐ๋์
์ ๊ธฐ์ฐจ ์ถฉ์ ๋ ์ด์๋ $(P_{t-1}^{{EV},\:{r}})$ ์ ํฉ ์ดํ๋ก ๋ํ๋๋ค. (15)์์๋ SOC ๋ฒ์์ ๋ํ ์ ์ฝ์กฐ๊ฑด์ SOC ์ต์ $(SOC_{\min})$, ์ต๋ $(SOC_{\max})$ ๊ฐ์ผ๋ก ๋ํ๋ธ๋ค. ๊ทธ๋ฆฌ๊ณ (16)๊ณผ (17)์์๋ ์ด์ง๋ณ์ $b_{t}^{{ESS}}$๋ฅผ ํ์ฉํ ๋งค ์๊ฐ $t$์์์ ์ค๋งํธ ์ ๊ธฐ์ฐจ ์ถฉ์ ์ ์ถฉ์ ยท๋ฐฉ์ ๋์ ๋ํ ๋ฒ์๋ฅผ ์ต๋ ์ถฉ์ $(P_{\max}^{{ch}})$
๋ฐ ๋ฐฉ์ ๋ $(P_{\max}^{{dch}})$ ์ผ๋ก ๋ํ๋ธ๋ค. ์ด๋, $b_{t}^{{ESS}}$๊ฐ 1์ผ๋๋ ์ถฉ์ ์ ํ๋ฉฐ, 0์ผ๋๋ ๋ฐฉ์ ํ๋ค๊ณ ์ค์ ํ์๋ค.
์ ์ํ๋ ์๊ณ ๋ฆฌ์ฆ์์๋ ์์ ์ ์ฝ์กฐ๊ฑด๋ค ๋ง์กฑํ๋ฉด์ ์ถฉ์ ์์ ์ด์ต์ ์ต๋ํํ๋ ์ ๋ ฅ ๊ตฌ๋งคยทํ๋งค๋๊ณผ ์ฐ๊ฒฐ๋ ์๋์ง ์ ์ฅ์ฅ์น์ ์ถฉยท๋ฐฉ์ ๋์ ๋์ถํ๊ณ ์ ํ๋ค.
3.3 Chance constrained programming for PV and EV load uncertainties
๋ณธ ์ฐ๊ตฌ์์๋ ํ์๊ด ๋ฐ์ ๋๊ณผ ์ ๊ธฐ์ฐจ ์ถฉ์ ๋์ ๋ถํ์ค์ฑ์ ๊ณ ๋ คํ (8)๊ณผ (11)์ ์ ์ฝ์กฐ๊ฑด ๋ง์กฑ์ ์ํด ๋ค์๊ณผ ๊ฐ์ ๊ธฐํ์ ์ฝ์กฐ๊ฑด์ ์ค๊ณํ๋ค.
์ 2๊ฐ์ ๊ธฐํ์ ์ฝ์กฐ๊ฑด์ ๋ถํ์คํ ํ์๊ด ๋ฐ์ ๋๊ณผ ์ ๊ธฐ์ฐจ ์ถฉ์ ๋์ (8)๊ณผ (11)์ ์ ๋ ฅ ์ด์์ ๋ํ ์ ์ฝ์กฐ๊ฑด๋ค์ ($1-\alpha$) ํ๋ฅ ๋ด๋ก ๋ง์กฑ์ํค๊ธฐ ์ํด ์ค๊ณํ์๋ค.
3.4 Reformulation of objective function and chance constrained programming
์ ์ํ ์ฐ๊ตฌ์ ๋ชฉ์ ํจ์ ๋ด $J_{2}$์ ๋ํ ์์์ ํ๋ฅ ๋ถํฌ ๊ธฐ๋ฐ์ ๋ฌดํ ์ฐจ์์ ํํ๋ก ์ ์๋์ด ์๋ค. ์ด๋ฒ ์ฅ์์๋ ํด๋น ์์์ ์ ํ ์ฐจ์์
๋ณผ๋ก ๋ฌธ์ ๋ก ์ฌ์ค๊ณ ํ๋ ๋ฐฉ๋ฒ์ ์๊ฐํ๋ค. ์ ์ํ ์ฌ์ค๊ณ ๋ฐฉ๋ฒ์ [9]์ Proposition 1์ ์๋์ฑ ์ด๋ก ์ ํ์ฉํ์๋ค. [9]์ Proposition 1์ ๋ด์ฉ์ ๋ค์๊ณผ ๊ฐ๋ค.
Proposition 1: ์์์ ๋ฒกํฐ $\widetilde{\xi}\in\mathbb{R^{n}}$๊ฐ ๋ซํ ์๊ณ ๋ณผ๋กํ ์งํฉ $\Xi\subset{EQ}\mathbb{R^{n}}$
์์ ์ ์ ๋์ด ์๊ณ , Wasserstein ๋ชจํธ์ฑ ์งํฉ ${P}_{N}$ ์ด ํ๋ณธ ์งํฉ $\left\{\hat{\xi_{1}},\: \hat{\xi_{2}},\:
\ldots ,\: \hat{\xi_{{N}}}\right\}$์ผ๋ก๋ถํฐ ๊ตฌ์ฑ๋์ด ์๋ค. ๋ง์ฝ ๋ชฉ์ ํจ์ $l(\widetilde{\xi})$ ๊ฐ ์๋ฐ
์ฐ์์ด๋ผ๋ฉด ์ต์
์ ๊ฒฝ์ฐ ๊ธฐ๋๊ฐ ${sup}_{\mathbb{P}\in{P}_{N^{{buy}}}}\mathbb{E^{\mathbb{P}}}$ ์ ๋ค์๊ณผ
๋์น์ด๋ค.
๋ํ, $l(\widetilde{\xi})$ ๊ฐ ๋ณผ๋ก ํจ์๋ผ๋ฉด, ๊ณ ์ ๋ $\lambda$ ์ ๋ํด ์ (22)์ ์ํ์ ์ค์ง ๊ผญ์ง์ $\xi$, $\overline{\xi}$๋๋ $\hat{\xi_{m}}$ ์์๋ง ์ป์ด์ง๋ค. ์ฐธ๊ณ ํ ์๋์ฑ ์ด๋ก ์ ํ์ฉํ ์ฌ์ค๊ณ๋
๋ค์๊ณผ ๊ฐ์ด ์ด๋ฃจ์ด์ง๋ค. ๋งค $t$์๊ฐ ํ๊ตฌ๊ฐ $\left[ \underline{\pi_t^{\text{buy}}}, \overline{\pi_t^{\text{buy}}}
\right]$๋ด ๋๋ค ์ ๋ ฅ ๊ตฌ๋งค๊ฐ๊ฒฉ $\widetilde{\pi_{t}^{{buy}}}$์ $N^{{buy}}$๊ฐ ์ํ ๋ฐ์ดํฐ ์งํฉ $\left\{\hat{\pi_{t,\:
1}^{{buy}}},\: \hat{\pi_{t,\: 2}^{{buy}}},\: ...,\: \hat{\pi_{t,\: N^{{buy}}}^{{buy}}}\right\}$์ด
์๋ค๊ณ ๊ฐ์ ํ์์ ๋, ์ฃผ์ด์ง ๋ฐ์ดํฐ ์งํฉ์ ํ์ฉํ ์ต์
์ ๊ฒฝ์ฐ๋ฅผ ๊ณ ๋ คํ $J_{2}$์ ๋ํ Wasserstein metric ๊ธฐ๋ฐ์ ์ฌ์ค๊ณ๋ ๋ค์๊ณผ
$J_{1}^{'}$์ผ๋ก ์ค๊ณ๋๋ค.
์ด๋, $\underline{\pi_{t}^{{buy}}}$์ $\overline{\pi_{t}^{{buy}}}$๋ ํ๊ตฌ๊ฐ ๋ด $t$์๊ฐ๋์ ์ ๋ ฅ
๊ตฌ๋งค๋์ ์ต์ ๋ฐ ์ต๋๊ฐ์ ๋ํ๋ด๋ฉฐ, $\epsilon_{t}^{{buy}}$๋ $t$์๊ฐ๋ ์์์ ์ ๋ ฅ ๊ตฌ๋งค๋ ์ํ ๋ฐ์ดํฐ ๊ธฐ๋ฐ์ Wasserstein
distance๋ฅผ ๋ํ๋ด๋ฉฐ, $\Delta t$๋ ๋จ์์๊ฐ์ ๋ํ๋ธ๋ค ($s_{t,\: m}$์ $t$์๊ฐ๋์ $m$๋ฒ์งธ ์ํ ๋ฐ์ดํฐ์ ๋ํ ์ฌ์ค๊ณ
๋ณด์กฐ๋ณ์์ด๋ค.).
์ (23)๊ณผ (24)๋ก์ ์ฌ์ค๊ณ๋ ๊ธฐ์กด $J_{1}$์ ๋คํญ์์ ๋ณผ๋กํ ํํ๋ก ๋ณํ์์ผ ์ฐ์ฐ ํจ์จ์ฑ์ ์ฆ๊ฐ์ํจ๋ค. ์ ์๊ฐ๋ (23)์ (24)์ (5)๋ฅผ ๋์ฒดํ์ฌ ๋ฌธ์ ์ ์ ์ฉ๋์ด ์ฐ์ฐ๋๋ค.
์ถ๊ฐ์ ์ผ๋ก, ์ด์ ์ฅ์์ ์๊ฐํ ํ์๊ด ๋ฐ์ ๋๊ณผ ์ ๊ธฐ์ฐจ ์ถฉ์ ๋์ ๋ํ ๊ธฐํ์ ์ฝ์กฐ๊ฑด ((20), (21)) ๋ํ ๋ฌดํ ์ฐจ์์ ๋ฌธ์ ๋ก ์ค๊ณ๋์๋ค. ์ด๋ฒ ์ฐ๊ตฌ์์๋ ์ 2๊ฐ์ ๊ธฐํ์ ์ฝ์กฐ๊ฑด์ ์ต์ํ๋ฅ $1-\alpha$๋ก ๋ง์กฑ์ํฌ ์ ์๋ ๋ถํ์ค์ฑ์ ๋ํ
์ต์๋ฒ์์ ํ์๊ด ๋ฐ์ ๋ $\underline{P_{t}^{{PV}}}$๊ณผ ์ ๊ธฐ์ฐจ ์ถฉ์ ๋ $\underline{P_{t}^{{EV}}}$๋ฅผ ๋์ถํ๊ณ ์
ํ๋ค. ๊ฐ ๋ถํ์ค์ฑ์ ๋ํ ์ต์๋ฒ์๋ ๋ค์๊ณผ ๊ฐ์ ๋ชฉ์ ํจ์๋ฅผ ํตํด ๋์ถ๋๋ค[10].
(25)๋ ์ต์ํ๋ฅ $1-\alpha$์ ๋ํด ๊ธฐํ์ ์ฝ์กฐ๊ฑด์ ๋ง์กฑํ ์ ์๋ ์ต๋์ ํ์๊ด ๋ฐ์ ๋(์ ๊ธฐ์ฐจ ์ถฉ์ ๋) ์ต์๊ฐ $\underline {P_{t}^{{PV}({EV})}}$
์ ๋์ถํ๋ ๋ชฉ์ ํจ์ ์ด๋ค. ์ด๋, $\hat{P_{t,\: m}^{{PV}({EV})}}$๋ $t$์๊ฐ๋ $m$๋ฒ์งธ ํ์๊ด๋ฐ์ ๋(์ ๊ธฐ์ฐจ์ถฉ์ ๋)์
๋ถํ์ค์ฑ ์ํ ๋ฐ์ดํฐ๋ก์ $\left[P_{t}^{{PV}({EV}),\: \min} P_{t}^{{PV}({EV}),\: \max}\right]$์
๋ฒ์ ์์ ์กด์ฌํ๋ค. $w_{t,\: m}$, $r_{t,\: m}^{\max}$, $r_{t,\: m}^{\min}$, $z_{t,\: m}$์
๋ชฉ์ ํจ์ ๊ณ์ฐ์ ์ํ ๋ณด์กฐ๋ณ์์ด๋ค. (25)๋ฅผ ํตํด ๋์ถ๋ $\underline{P_{t}^{{PV}({EV})}}$๋ (20)๊ณผ (21)์ $\widetilde{P_{t}^{{PV}({EV})}}$๋ฅผ ๋์ฒดํ์ฌ ์ ์ฝ์กฐ๊ฑด์์ ์ฌ์ฉ๋๋ค.
์ข
ํฉ์ ์ผ๋ก, ๊ธฐ์กด์ ๋ฌดํ ์ฐจ์์ ๋ชฉ์ ํจ์ ๋ฐ ์ ์ฝ์กฐ๊ฑด์ธ (5), (20), (21)์ (23)~(25)์ ์ ํ ์ฐจ์์ ๋ณผ๋กํ ํ์์ผ๋ก ์ฌ์ค๊ณํ์ฌ ์ฐ์ฐํ๋ค. (23)~(25)์ ๋ฐฉ์์ ์ฌ์ฉํ์ฌ ์ฐ์ฐํ ๊ฒฐ๊ณผ๋ฅผ ๋ค์ ์ฅ์์ ๋ถ์ํ๋ค.
4. Simulation investigations
์ด๋ฒ ์ฅ์์๋ ๋จ์ผ์ ์๋์ง ์ ์ฅ์ฅ์น์ ํ์๊ด ๋ฐ์ ์ฅ์น๊ฐ ์ค์น๋์ด์๋ ์ค๋งํธ ์ ๊ธฐ์ฐจ ์ถฉ์ ์ ํ๊ฒฝ์ ๋์์ผ๋ก 15๋ถ์ ์ค์ผ์ค๋ง ๋จ์์๊ฐ์ ์ค์ ํ์ฌ ์ ์ํ
์ฐ๊ตฌ์ ๋ํ ์๋ฎฌ๋ ์ด์
๋ถ์์ ์งํํ๋ค. ์ค๋งํธ ์ ๊ธฐ์ฐจ ์ถฉ์ ์์ ์๊ฐ๋๋ณ ์ ๋ ฅ ๊ตฌ๋งค๊ฐ๊ฒฉ, ํ์๊ด ๋ฐ์ ๋, ์ ๊ธฐ์ฐจ ์ถฉ์ ๋์ ๋ํ ๋ถํ์ค์ฑ์ ๊ณ ๋ คํ๋ค.
Wasserstein metric ์ ์ฉ์ ์ํ ์๊ฐ๋๋ณ ์ ๋ ฅ ๊ตฌ๋งค๊ฐ๊ฒฉ๊ณผ ์ ๊ธฐ์ฐจ ์ถฉ์ ๋์ ๋ํ ์ํ ๋ฐ์ดํฐ๋ ํฌ์์ก ๋ถํฌ๋ฅผ ํตํด ์ํ๋ง ํ๋ฉฐ, ํ์๊ด
๋ฐ์ ๋์ ๋ํ ์ํ ๋ฐ์ดํฐ๋ ์ ๊ท๋ถํฌ๋ฅผ ํตํด ์ํ๋งํ๋ค. ๊ฐ ๋ถํ์ค์ฑ์ ๋ํ ๋ฐ์ดํฐ ์ํ์ ($N^{{buy}}$, $N^{{EV}}$, $N^{{PV}}$)๋
10์ผ๋ก ์ค์ ํ์๋ค. ์ ๋ ฅ ๊ตฌ๋งค๊ฐ๊ฒฉ, ์ ๊ธฐ์ฐจ ์ถฉ์ ๋, ํ์๊ด ๋ฐ์ ๋์ ์๋๋ฆฌ์ค๋ ๊ทธ๋ฆผ 1(a), (b), (c)์ ๊ฐ์ด ์ค์ ํ์๋ค[11,12,13]. ์ ์ํ ์๊ณ ๋ฆฌ์ฆ์ ํฉ์ณ์ง ์ ๊ธฐ์ฐจ ์ถฉ์ ๋์ ๋ํ ์ถฉ์ ์ฃผ๊ธฐ $t_{p}$๋ 8๋ก ์ค์ ํ์๋ค. ์๋์ง ์ ์ฅ์ฅ์น์ ์ฉ๋์ 0.3MWh๋ก ์ค์ ํ๋ฉฐ, ์๋์ง
์ ์ฅ์ฅ์น์ ์ต๋ ์ถฉ์ ๋์ 0.15MW๋ก ์ค์ ํ์๋ค. ๋ณธ ์ฐ๊ตฌ์ ์๋ฎฌ๋ ์ด์
๋ถ์์ Python์ ์ต์ ํ ์๊ณ ๋ฆฌ์ฆ ํจํค์ง์ธ Gurobipy๋ฅผ ์ด์ฉํ์ฌ
๋ถ์๋์๋ค.
๊ทธ๋ฆผ 1. ์๊ฐ๋๋ณ ์ ๊ธฐ์ฐจ ์ถฉ์ ์ ์ด์ ํ๊ฒฝ ๋ฐ์ดํฐ (a) ์ ๋ ฅ ๊ตฌ๋งค๊ฐ๊ฒฉ, (b) ์ ๊ธฐ์ฐจ ์ถฉ์ ๋, (c) ํ์๊ด ๋ฐ์ ๋
Fig. 1. Profiles of electricity price, aggregated electric vehicle load, photovoltaic
generation output: (a) electricity price, (b) aggregated electric vehicle load, and
(c) photovoltaic generation output
4.1 Power operation of smart EVCS
๊ทธ๋ฆผ 2๋ ์๊ฐ๋๋ณ ์ค๋งํธ ์ ๊ธฐ์ฐจ ์ถฉ์ ์ ์๋์ง ์ ์ฅ์ฅ์น์ ์ถฉยท๋ฐฉ์ ๋๋ฅผ ๋ํ๋ด๊ณ ๊ทธ๋ฆผ 3์ ๊ฐ ์๊ฐ๋์ ์์ฌ ์ ๊ธฐ์ฐจ ์ถฉ์ ๋ $P_{t}^{{EV},\:{r}}$์ ๋ํ๋ธ๋ค. ๊ทธ๋ฆผ 2์์ ์๋์ง ์ ์ฅ์ฅ์น๋ ์ ๋ ฅ ๊ตฌ๋งค๊ฐ๊ฒฉ์ด ์๋์ ์ผ๋ก ๋ฎ์ ์๊ฐ๋[8,14], [57,61]์์๋ ์ถฉ์ ์ ํ๊ณ , ๊ฐ๊ฒฉ์ด ๋์ ์๊ฐ๋[28,32], [67,73]์์๋ ๋ฐฉ์ ์ ํ๋ ๊ฒฝํฅ์ ๋ณด์ธ๋ค. ์ด๊ฒ์ ์ค๋งํธ ์ ๊ธฐ์ฐจ ์ถฉ์ ์์ ์ ๋ ฅ ๊ตฌ๋งค ๋น์ฉ์ ์ต์ํํ๊ธฐ ์ํ ์๋์ง ์ ์ฅ์ฅ์น์ ์ถฉยท๋ฐฉ์ ์ ๋ต์ผ๋ก ํด์๋๋ค.
์ด์ธ์๋, (๊ทธ๋ฆผ 3์์ ) ์์ฌ ์ ๊ธฐ์ฐจ ์ถฉ์ ๋ $P_{t}^{{EV},\:{r}}$๋ ์ ํด์ง ์ฃผ๊ธฐ ($t_{p}$=8) ์ ๋ง์ถฐ 0์ผ๋ก ์๋ ดํ๋ ํ์์ ํ์ธํ ์ ์๋ค.
์ ํด์ง ์ฃผ๊ธฐ์ ๋ง์ถฐ 0์ผ๋ก ์๋ ดํจ์ผ๋ก์จ, ์ ๋ ฅ ๊ตฌ๋งค๋น์ฉ์ ์ต์ํ ํ๊ธฐ ์ํด ์ ๊ธฐ์ฐจ ์ถฉ์ ๋์ ๋ค์ ์๊ฐ๋์ ์ง์์ ์ผ๋ก ์ด์ ์ํค์ง ์์ผ๋ฉด์ ์ ํด์ง ์ถฉ์ ๋์
๋ง์กฑํ๋ ๊ฒ์ ํ์ธํ ์ ์๋ค.
๊ทธ๋ฆผ 2. ์๊ฐ๋ ๋ณ ์ ๋ ฅ ๊ตฌ๋งค ๊ฐ๊ฒฉ์ ๋ฐ๋ฅธ ์ ๊ธฐ์ฐจ ์ถฉ์ ์ ESS ์ถฉยท๋ฐฉ์ ์ ๋ ฅ๋
Fig. 2. Charging and discharging pattern of electric vehicle charging station energy
storage system in terms of the electricity price
๊ทธ๋ฆผ 3. ์๊ฐ๋ ๋ณ ์์ฌ ์ ๊ธฐ์ฐจ ์ถฉ์ ๋
Fig. 3. Profiles of the remaining aggregated electric vehicle load
๊ทธ๋ฆผ 4๋ 4๊ฐ์ง $t_{p}$ [2,4,6,8]์ ๋ฐ๋ฅธ ์ถฉ์ ์์ ํ์๊ด ๋ฐ์ ๋ ์ด์ ๋น์จ ๋ฐ ์์ต์ฑ ๋น๊ต๋ฅผ ๋ํ๋ธ ๊ฒฐ๊ณผ์ด๋ค. ์ด๋, ํ์๊ด ๋ฐ์ ๋ ์ด์ ๋น์จ์ ๋ฐ์ ๋ ํ์๊ด ๋ฐ์ ๋ ์ค ์ ๊ธฐ์ฐจ ์ถฉ์ ์
์ฌ์ฉํ๋ ๋น์จ์ด๋ค (์ ๊ธฐ์ฐจ ์ถฉ์ ์ ์ฌ์ฉ๋์ง ์์ ๋ฐ์ ๋์ ๋ชจ๋ ์๋์ง ์ ์ฅ์ฅ์น ์ถฉ์ ์ ์ฌ์ฉ). ๊ทธ๋ฆผ 4์ ์ฃผํฉ์ ๋ง๋ ๊ทธ๋ํ๋ ์ด ํ์๊ด ๋ฐ์ ๋ ์ค ์ ๊ธฐ์ฐจ ์ถฉ์ ์ ์ฌ์ฉํ๋ ๋น์จ์ ๋ํ๋ด๋ฉฐ, $t_{p}$๊ฐ ์ ์ผ ์์ 2์ผ ๋ ๊ทธ ๋น์จ์ด ์ ์ผ ๋์ ๊ฒ์
ํ์ธํ ์ ์๋ค. ์ด๊ฒ์ $t_{p}$๊ฐ ์ ์ผ ์์ ๊ฒฝ์ฐ์์๋ ๋ณด๋ค ๋ ๋น๋ฒํ๊ฒ ์์ฌ ์ ๊ธฐ์ฐจ ์ถฉ์ ๋์ 0์ผ๋ก ์๋ ดํด์ผ ํ๊ธฐ ๋๋ฌธ์ ํ์๊ด ๋ฐ์ ๋์
์ ๊ธฐ์ฐจ ์ถฉ์ ์ ๋ ๋ง์ ๋น์จ์ ์ฌ์ฉํ๋ค๊ณ ํด์๋๋ค. ๊ทธ๋ฆฌ๊ณ ๊ทธ๋ฆผ ๋ด ํ์ ๋ง๋๊ทธ๋ํ๋ ์ ๊ธฐ์ฐจ ์ถฉ์ ์์ ์์ต์ฑ์ ๋ํ๋ด๋ฉฐ, $t_{p}$=8 ์ธ ๊ฒฝ์ฐ์์์
์์ต์ฑ์ 1๋ก ๊ธฐ์ค์ผ๋ก ์ ๊ทํ ํ์ฌ ๋ค๋ฅธ $t_{p}$์์์ ์์ต์ฑ์ ๋ํ๋ด์๋ค. $t_{p}$๊ฐ ํด์๋ก ์์ฌ ์ ๊ธฐ์ฐจ ์ถฉ์ ๋์ ๋ํ ์ถฉ์ ์์ ์ ๋ ฅ
์ด์ ์ ์ฐ์ฑ์ด ์ฆ๊ฐํ์ฌ ์์ต์ฑ ๋ํ ํจ๊ป ์ฆ๊ฐํ๋ ๊ฒฝํฅ์ ํ์ธํ ์ ์๋ค. $t_{p}$์ ๊ฐ์ ํฌ๊ฒ ์ค์ ํ๋ฉด ์ถฉ์ ์ ์
์ฅ์์ ์ถฉ์ ๋ ์ ์ฐ์ฑ์ด ์ปค์ ธ
์์ต์ฑ์ด ๋์์ง ์ ์๋ค. ๊ทธ๋ฌ๋ ์ ๊ธฐ์ฐจ ๊ณ ๊ฐ ์
์ฅ์์๋ ์ ๊ณต๋ฐ์์ผ ํ ์ถฉ์ ๋์ด ์ง๋์น๊ฒ ๋ค๋ก ์ง์ฐ๋ ์ ์์ด ๊ณ ๊ฐ ๋ง์กฑ๋ ์ ํ๋ก ์ด์ด์ง ์ ์๋ค.
๋ฐ๋ผ์, ๋ณธ ์ฐ๊ตฌ์์๋ ์ด์ ํจ์จ์ฑ๊ณผ ๊ณ ๊ฐ ํธ์์ฑ ๊ฐ์ ๊ท ํ์ ๊ณ ๋ คํ์ฌ $t_{p}$๋ฅผ ์ต๋ 8๋ก ์ค์ ํ์ฌ ์๋ฎฌ๋ ์ด์
์ ์งํํ์๋ค. ์ถ๊ฐ์ ์ผ๋ก, $t_{p}$๋ฅผ
[16,24,48,96]์์ ์๋ฎฌ๋ ์ด์
๋ถ์์ ์งํํ์์ ๋, $t_{p}$๊ฐ 8์ผ ๋์ ์์ต์ฑ๋ณด๋ค ๊ฐ๊ฐ ์ฝ 3.99%, 8.59%, 13.51%, 13.75% ์ฆ๊ฐํ๋
๊ฒ์ ํ์ธํ์๋ค. ํ์ง๋ง, $t_{p}$๊ฐ 16 ์ด์์ธ ๊ฒฝ์ฐ ์ ๊ธฐ์ฐจ ๊ณ ๊ฐ์ ์ถฉ์ ์ง์ฐ๊ธฐ ๊ณผ๋ํด ์ค์ ์๋น์ค ํ๊ฒฝ์์๋ ํ์ค์ฑ์ด ๋จ์ด์ง ๊ฒ์ผ๋ก ํ๋จํ์ฌ,
์ด์ ๋ํ ์๋ฎฌ๋ ์ด์
๊ฒฐ๊ณผ๋ ๊ทธ๋ฆผ 4์ ๋ถ์์์ ์๋ตํ์๋ค.
๊ทธ๋ฆผ 4. $t_{p}$์ ๋ฐ๋ฅธ ์ถฉ์ ์์ ์์ต์ฑ ๋ฐ ํ์๊ด ๋ฐ์ ๋ ์ด์ ๋น์จ
Fig. 4. Performance comparison of the charging station profitability and the photovoltaic
power operation in terms of $t_{p}$
4.2 Analysis of EVCS operation under uncertainty environments
๊ทธ๋ฆผ 5(a)์ (b)๋ ๊ฐ๊ฐ ๊ธฐํ์ ์ฝ์กฐ๊ฑด์ ์ต์ํ๋ฅ $1-\alpha$์ ๋ฐ๋ผ ๋ฌ๋ผ์ง๋ ํ์๊ด ๋ฐ์ ๋๊ณผ ์ ๊ธฐ์ฐจ ์ถฉ์ ๋์ ์ต์๊ฐ์ ๋ฒ์๋ฅผ ๋ํ๋ธ๋ค. 2๊ฐ์ ๊ทธ๋ฆผ์ ํตํด
$\alpha$๊ฐ ์ปค์ง์๋ก 2๊ฐ์ ๋ถํ์ค์ฑ์ ๋ํ ์ต์๊ฐ์ด ์ฆ๊ฐํ๋ ๊ฒฝํฅ์ ํ์ธํ ์ ์๋ค. ์ด๊ฒ์ ๊ธฐํ์ ์ฝ์กฐ๊ฑด์ด ์ต์ํ๋ฅ $1-\alpha$๋ฅผ ๋ง์กฑ์ํค๊ธฐ
์ํ ๊ฒฐ๊ณผ๋ก์, $\alpha$๊ฐ ์ปค์ง์๋ก ์์์ง $1-\alpha$์ ํ๋ฅ ์ ๋ํ์ฌ ๊ธฐํ์ ์ฝ์กฐ๊ฑด์ ๋ง์กฑ์ํค๊ธฐ ์ํด ์ต์๊ฐ์ ๋ฒ์๋ฅผ ๋๊ฒ ํ์ฑํ๋
๊ฒ์ด๋ผ๊ณ ํด์๋๋ค. ์ฆ, $\alpha$์ ๋ฐ๋ผ ํ๊ฒฝ์ ์ ์ฉ๋๋ ๋ค์ํ ํ์๊ด ๋ฐ์ ๋๊ณผ ์ ๊ธฐ์ฐจ ์ถฉ์ ๋ ํจํด์ ์ถฉ์ ์์ ์ด์ต์ ์ํฅ์ ๋ฏธ์น ์ ์๋ค.
๊ทธ๋ฆผ 6์ $\alpha$์ ๋ฐ๋ฅธ ์ถฉ์ ์ ์ด์ต์ ๋น๊ต๋ฅผ ๋ํ๋ธ๋ค. ์ด 4๊ฐ์ $\alpha$์ ๋ํ์ฌ ๊ฒฐ๊ณผ๋ฅผ ๋ถ์ํ์์ผ๋ฉฐ, $\alpha$=0.2์ผ ๋์
์ด์ต์ 1๋ก ๊ธฐ์ค์ผ๋ก ํ์ฌ ๊ฒฐ๊ณผ๋ฅผ ์ ๊ทํํ์๋ค. $\alpha$๊ฐ์ด ์ฆ๊ฐํ ์๋ก ๋ถํ์ค์ฑ์ ๊ณ ๋ คํ ํ์๊ด ๋ฐ์ ๋๊ณผ ์ ๊ธฐ์ฐจ ์ถฉ์ ๋์ด ์ฆ๊ฐํ๊ธฐ ๋๋ฌธ์ ๋
๋ง์ ์๋์ง๋ฅผ ๋ณด์กฐ ๋ฐ์ผ๋ฉฐ ์๋์ง ํ๋งค๋์ ์ฆ๊ฐ์ํฌ ์ ์์ด ์์ต์ฑ ๋ํ ์ฆ๊ฐํ๋ ๊ฒ์ ํ์ธํ์๋ค. ๋ฐ๋ฉด์ $\alpha$๊ฐ ์ ์ผ ์์ 0.2์ผ ๋๋
์ ์ผ ์ ์ ํ์๊ด ์๋์ง ๋ฐ์ ๋ ๋ณด์กฐ๋ฅผ ๋ฐํ์ผ๋ก ์ ์ ์๋์ง๋ฅผ ํ๋งคํ๊ฒ ๋์ด ์์ต์ฑ ๋ํ ๊ฐ์ํจ์ ํ์ธํ ์ ์๋ค. $\alpha$๊ฐ ์ปค์ง์๋ก ์์ต์ฑ์ด
ํฅ์๋๋ ๊ฒฝํฅ์ ํ์ธํ์์ง๋ง, $\alpha$๊ฐ 0.8์ ์ด๊ณผํ๋ ๊ฒฝ์ฐ์๋ ๊ธฐํ์ ์ฝ์กฐ๊ฑด์ ๋ง์กฑํ๋ฅ $(1-\alpha)$์ด ์ง๋์น๊ฒ ๋ฎ์ ์ค์ ์ด์
์ํฉ์์ ํ์ค์ฑ์ด ๋จ์ด์ง๋ ๊ทน๋จ์ ์ธ ์๋๋ฆฌ์ค๋ผ๊ณ ํ๋จ๋์ด ๊ทธ๋ฆผ 6์ ๋ถ์์ ์ถ๊ฐํ์ง ์์๋ค. ์ด์ ๋ํด ๋ณธ ๋
ผ๋ฌธ์์๋ $\alpha$๊ฐ 0.8 ์ดํ๋ก ์ ํํ์๋ค.
๊ทธ๋ฆผ 7์ 4๊ฐ์ง $t_{p}$ [2,4,6,8] ํ๊ฒฝ์์ ์ ๋ ฅ ๊ตฌ๋งค๊ฐ๊ฒฉ์ ๋ํ ๋ถํ์ค์ฑ ์์์ ๋ํ ์ถฉ์ ์์ ์์ต์ฑ์ ๊ธฐ์กด์ฐ๊ตฌ๋ค๊ณผ ๋น๊ตํ ๊ฒฐ๊ณผ์ด๋ค. ๋ณธ ์ฐ๊ตฌ์์๋ Wasserstein metric
๊ธฐ๋ฐ์ผ๋ก ์ํ๋ง ๋ฐ์ดํฐ๋ฅผ ์ด์ฉํ์ฌ ๋งค ์๊ฐ๋๋ณ ์ ๋ ฅ ๊ตฌ๋งค ๊ฐ๊ฒฉ์ ๋ถํ์ค์ฑ ๊ณ ๋ ค ์์ญ $\epsilon_{t}^{{buy}}$ ์ ์ ์ํ์๋ค. ๋ถํ์ค์ฑ์
๋ํ ์์ญ์ ์ ์ํ์ง ์์ ๊ธฐ์กด ์ฐ๊ตฌ 2๊ฐ (robust optimization (RO), stochastic optimization (SO)) ์
๋น๊ต๋ถ์์ ํ์๋ค. Robust optimization์ ์ฃผ์ด์ง ๋ถํ์ค์ฑ ํ๊ฒฝ์์ ์ต์
์ ๊ฒฝ์ฐ๋ฅผ ๊ณ ๋ คํ๋ ๋์ฑ ๋ณด์์ ์ธ ๋ฐฉ๋ฒ๋ก ์ด๋ฉฐ, Stochastic
optimization์ ์ฃผ์ด์ง ๋ถํ์ค์ฑ์ ๋ํ ํ๋ฅ ๋ถํฌ ํ๊ฒฝ์ ๋ชจ๋ ์ ํํ ์๊ณ ์๋ค๋ ์ด์์ ์ธ ๋ฐฉ๋ฒ๋ก ์ด๋ค. ์ ์ํ ์๊ณ ๋ฆฌ์ฆ์ ํตํด ๋์ถ๋ ๊ฐ $t_{p}$๋ณ
๊ฒฐ๊ณผ๋ฅผ 1๋ก ์ ๊ทํํ์ฌ 2๊ฐ์ ๊ธฐ์กด์ฐ๊ตฌ๋ค๊ณผ ๋น๊ต๋ถ์ ํ์๋ค. ๋ชจ๋ $t_{p}$ํ๊ฒฝ์์ SO์์์ ์์ต์ฑ์ด ์ ์ผ ๋๊ณ , RO์ ์์ต์ฑ์ด ๋ฎ์ ๊ฒ์
ํ์ธํ ์ ์๋ค. SO์์๋ ๋ชจ๋ ๋ถํ์ค์ฑ์ ๋ํ ํ๋ฅ ๋ถํฌ ์ ๋ณด๋ฅผ ์ ํํ ์๊ณ ์๋ค๋ ์ด์์ ์ธ ํ๊ฒฝ์ผ๋ก์, ๋ถํ์ค์ฑ์ ๋ํ ์ด์์ ์ธ ์ต์ ์ถฉ์ ์ ์ด์์
๋์ถํ ์ ์๋ค. ๋ฐ๋๋ก RO ์์๋ ์ํ๋ง๋ ๋ฐ์ดํฐ ๋ด์์ ์ต์
์ ๊ฒฝ์ฐ๋ฅผ ๊ณ ๋ คํ ๋ฐฉ๋ฒ๋ก ์ผ๋ก์ ๋ถํ์ค์ฑ์ ๋ํด ๋์ฑ ๋ณด์์ ์ธ ์ถฉ์ ์ ์ด์์ ๋์ถํ๊ฒ
๋๋ค.
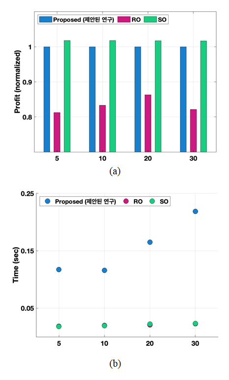
๊ทธ๋ฆผ 8(a)์ (b)๋ ๊ฐ๊ฐ ์ ๋ ฅ๊ตฌ๋งค ๊ฐ๊ฒฉ ์ํ๋ง ๊ฐ์ [5,10,20,30] ์ ๋ฐ๋ฅธ ์์ต์ฑ๊ณผ ์ฐ์ฐ์๊ฐ์ ์ 2๊ฐ์ง์ ๊ธฐ์กด ์ฐ๊ตฌ๋ค๊ณผ ๋น๊ตํ์๋ค. ๊ทธ๋ฆผ 8(a) ์์๋ ์ ์ํ ์๊ณ ๋ฆฌ์ฆ์ ํตํด ๋์จ ๊ฒฐ๊ณผ๋ฅผ 1์ ๊ธฐ์ค์ผ๋ก ์ ๊ทํํ์ฌ ๋ค๋ฅธ 2๊ฐ์ ๊ธฐ์กด์ฐ๊ตฌ์ ์์ต์ฑ์ ๋น๊ต๋ถ์ ํ์๋ค. ์ด๋, ์ํ๋ง ๊ฐ์๊ฐ ์ ์์๋ก
์ ์ํ Wasserstein metric ๊ธฐ๋ฐ์ ๋ถํฌ ๊ฐ๊ฑด ์ต์ ํ ์๊ณ ๋ฆฌ์ฆ์ ์ ์ฉํ์ ๋์ ๊ฒฐ๊ณผ์ SO๋ฅผ ์ ์ฉํ์ ๋์ ๊ฒฐ๊ณผ์ ์ฐจ์ด๊ฐ ํฌ๋ค๋ ๊ฒ์
ํ์ธ์์ผ๋ฉฐ, ์ํ๋ง ๊ฐ์๊ฐ ์ ์ผ ์ ์ 5๊ฐ์ธ ๊ฒฝ์ฐ๋ 1.79%๊ฐ ์ฐจ์ด๋๋ ๊ฒ์ ํ์ธํ ์ ์๋ค. ๋ฐ๋ฉด์ ์ํ๋ง ๊ฐ์๊ฐ ์ฆ๊ฐํ ์๋ก ์ ์ํ ์๊ณ ๋ฆฌ์ฆ์
๊ฒฐ๊ณผ์ SO์์์ ๊ฒฐ๊ณผ ์ฐจ์ด๊ฐ ์์์ง๋ ๊ฒ์ ํ์ธํ ์ ์์ผ๋ฉฐ, 30์ผ๋๋ 1.58%์ ์ฐจ์ด๊ฐ ๋๋๊ฒ์ ํ์ธํ ์ ์์๋ค. (์ํ๋ง ๊ฐ์๊ฐ 10๊ณผ
20์ผ๋๋ ๊ฐ๊ฐ 1.75% 1.71% ์ฐจ์ด๊ฐ ๋๋ค.) ์ด๊ฒ์ ์ํ๋ง ๋ฐ์ดํฐ์ ๊ฐ์๊ฐ ์ ์์๋ก Wasserstein metric์ ํตํด ๋์ถํ ์ ์๋
ํ๋ฅ ๋ถํฌ์ ์ ํ์ฑ์ด ๋ค๋จ์ด์ง๊ธฐ ๋๋ฌธ์ด๋ฉฐ, ๋ฐ๋ฉด์ ์ํ๋ง ๋ฐ์ดํฐ ๊ฐ์๊ฐ ๋ง์์๋ก Wasserstein metric์ ํตํด ๋ณด๋ค ์ ํํ ํ๋ฅ ๋ถํฌ๋ฅผ ๋์ถํ
์ ์๊ธฐ ๋๋ฌธ์ ํ๋ฅ ๋ถํฌ์ ๋ํ ์๋ฒฝํ๊ฒ ์ ํํ ๋ฐ์ดํฐ๋ฅผ ์๊ณ ์๋ SO์ ์ฑ๋ฅ ์ฐจ์ด๊ฐ ์ ์ด์ง๋ค. ๊ทธ๋ฆผ 8(b)๋ฅผ ํตํด์ ์ ์ํ ์๊ณ ๋ฆฌ์ฆ์ด ๋ค๋ฅธ 2๊ฐ์ ๋น๊ต์ฐ๊ตฌ๋ณด๋ค ๋ ๋ง์ ์ฐ์ฐ์๊ฐ์ด ํ์ํ๋ค๋ ๊ฒ์ ์ ์ ์๋ค. ์ด๊ฒ์ ์ฃผ์ด์ง ๋ฐ์ดํฐ๋ฅผ ํ์ฉํ์ฌ Wasserstein
๊ฑฐ๋ฆฌ ์ฐ์ฐ ๋ฐ ๋ชจํธ ์งํฉ ์์ฑ์ ์ถ๊ฐ์ ์ธ ์ฐ์ฐ์๊ฐ์ด ํ์ํ๊ธฐ ๋๋ฌธ์ด๋ค. ํ์ง๋ง ๋ณธ ์ฐ๊ตฌ์ 24์๊ฐ ์ถฉ์ ์ ์ค์ผ์ค๋ง ํ๊ฒฝ์ ๊ณ ๋ คํ์์ ๋, ํ์ฌ ๋์ถ๋๋
์ ์์ฐ๊ตฌ์ ์ฐ์ฐ์๊ฐ์ ํฐ ๋ฌธ์ ๊ฐ ์์ ๊ฒ์ด๋ผ๊ณ ์์๋๋ค.
๊ทธ๋ฆผ 5. $\alpha$์ ๋ฐ๋ฅธ ํ์๊ด ๋ฐ์ ๋ ๋ฐ ์ ๊ธฐ์ฐจ ์ถฉ์ ๋ ์ต์๊ฐ ๋ณํ (a) ํ์๊ด ๋ฐ์ ๋, (b) ์ ๊ธฐ์ฐจ ์ถฉ์ ๋
Fig. 5. Distributionally robust bounds of the photovoltaic generation and the electric
vehicle load in terms of $\alpha$: (a) Photovoltaic generation and (b) electric vehicle
load
๊ทธ๋ฆผ 6. $\alpha$์ ๋ฐ๋ฅธ ํ์๊ด ๋ฐ์ ๋ ๋ฐ ์ ๊ธฐ์ฐจ ์ถฉ์ ๋์ ๋ํ ์ถฉ์ ์ ์์ต์ฑ ๋ณํ
Fig. 6. Profitability comparison of the electric vehicle charging station in terms
of $\alpha$
๊ทธ๋ฆผ 7. $t_{p}$์ ๋ฐ๋ฅธ ์ ์์ฐ๊ตฌ ๋ฐ ๊ธฐ์กด์ฐ๊ตฌ 2๊ฐ์ ์์ต์ฑ ๋น๊ต
Fig. 7. Profitability comparison between the proposed study and the conventional methods
in terms of $t_{p}$
๊ทธ๋ฆผ 8. ์ ๋ ฅ ๊ตฌ๋งค ๊ฐ๊ฒฉ ์ํ๋ง ๋ฐ์ดํฐ ๊ฐ์์ ๋ฐ๋ฅธ ์ ์์ฐ๊ตฌ ๋ฐ ๊ธฐ์กด์ฐ๊ตฌ 2๊ฐ์ ์์ต์ฑ ๋ฐ ์ฐ์ฐ์๊ฐ ๋น๊ต (a) ์์ต์ฑ, (b) ์ฐ์ฐ์๊ฐ
Fig. 8. Comparison of the profitability and the computation time between the proposed
study and the conventional methods in terms of the number of price samples: (a) Profitability,
and (b) computation time
5. Conclusion
๋ณธ ๋
ผ๋ฌธ์์๋ ์ค๋งํธ ์ ๊ธฐ์ฐจ ์ถฉ์ ์ ์๋์ง ์ด์ ํ๊ฒฝ์์ ๋ฐ์ํ ์ ์๋ ๋ํ์ ์ธ ๋ถํ์ค์ฑ ์์์ธ ํ์๊ด ๋ฐ์ ๋๊ณผ ์ ๊ธฐ์ฐจ ์ถฉ์ ๋์ ๊ณ ๋ คํ ์ต์ ์ถฉ์ ์
์๋์ง ์ด์ ์๊ณ ๋ฆฌ์ฆ์ ์ค๊ณํ์๋ค. ๊ธฐ์กด์ ๋ถํ์ค์ฑ์ ๊ณ ๋ คํ ์ฐ๊ตฌ๊ธฐ๋ฒ๋ค์ ๋ํ ํ๊ณ์ ์ ํด๊ฒฐํ๊ธฐ ์ํด ์ด๋ฒ ์ฐ๊ตฌ์์๋ ๋ฐ์ดํฐ ๊ธฐ๋ฐ Wasserstein
metric์ ํ์ฉํ ๋ถํฌ ๊ฐ๊ฑด ์ต์ ํ ์๊ณ ๋ฆฌ์ฆ ๋ฐ ์ด๋ฅผ ํ์ฉํ ๊ธฐํ์ ์ฝ์กฐ๊ฑด์ ํ์ฉํ์๋ค. ๋ฟ๋ง ์๋๋ผ, ๊ธฐ์กด์ ๋ฌดํ ์ฐจ์์ ๋ชฉ์ ํจ์ ๋ฐ ์ ์ฝ์กฐ๊ฑด์
์ ํ ์ฐจ์์ ๋ณผ๋ก ํํ๋ก ์ฌ์ค๊ณํ์ฌ ์ฐ์ฐ ๋ฐ ๋ถ์ํ์๋ค. ์๋ฎฌ๋ ์ด์
๋ถ์์ ํตํด ์ ์ํ ์๊ณ ๋ฆฌ์ฆ์ ๋ค์ํ ์ ๋ ฅ ๊ตฌ๋งค ๊ฐ๊ฒฉ ์๊ฐ๋, ์ถฉ์ ์ฃผ๊ธฐ, ๋ถํ์ค์ฑ
ํ๋ฅ ํ๊ฒฝ ๋ฑ์ ๋ค์ํ ํ๊ฒฝ์ ๋ํ ์ถฉ์ ์ ์๋์ง ์ด์ํจํด ๋ฐ ๊ทธ ๊ฒฐ๊ณผ๋ฅผ ๋ถ์ํ์๋ค (์ถฉ์ ์ฃผ๊ธฐ $t_{p}$๊ฐ 8๋ณด๋ค ํฐ ๊ฒฝ์ฐ๋ ์ฝ 3.99~13.75%
์์ต์ฑ์ด ํฅ์๋์์ผ๋ฉฐ, $\alpha$๊ฐ 0.8๋ณด๋ค ํฐ ๊ฒฝ์ฐ๋ ์ฝ 18.24~21.49% ์์ต์ฑ ํฅ์ ํ์ธ). ๋ฟ๋ง ์๋๋ผ, ๊ธฐ์กด์ฐ๊ตฌ (SO, RO)๋ค๊ณผ์
๋น๊ต๋ถ์์ ํตํด ์ฃผ์ด์ง ์ํ๋ง ๋ฐ์ดํฐ๋ฅผ ๊ธฐ๋ฐ์ผ๋ก ๊ธฐ์กด์ฐ๊ตฌ๋ค์ ์ ํ์ (ex. ์ด์์ ์ธ ํ๋ฅ ๋ถํฌ ์ ๋ณด ๋ฐ ์ง๋์น๊ฒ ๋ณด์์ ์ธ ์ํฉ ๊ณ ๋ ค)์ ๊ฐ์ ํ ์ ๊ธฐ์ฐจ
์ถฉ์ ์ ํ๊ฒฝ ๋ด ๋ถํ์ค์ฑ์ ๊ณ ๋ คํ ์ต์ ์ ๋ ฅ์ด์์ ๋์ถํ๋ ๊ฒ์ ํ์ธํ์๋ค. ํด๋น ์๊ณ ๋ฆฌ์ฆ์ ์ฃผ์ด์ง ์ํ ๋ฐ์ดํฐ ๊ฐ์ [5,10,20,30] ์ ๋ฐ๋ฅธ ๊ธฐ์กด์ฐ๊ตฌ๋ค๊ณผ์ ์์น๋ถ์์ ํตํด ์ฑ๋ฅ์ ์ฐ์์ฑ (์ด์์ ์ธ ํ๊ฒฝ์์์ ๊ฒฐ๊ณผ์ ์ฝ 1.58~1.79%์ ์์ต์ฑ ์ฐจ์ด)์ ํ์ธํ์๋ค.
๋ฏธ๋ ์ฐ๊ตฌ์์๋ ์ค๋งํธ ์ ๊ธฐ์ฐจ ์ถฉ์ ์ ์๋์ง ํ๊ฒฝ์ ๋ถํ์ค์ฑ ์์๊ฐ ์ ๋ ฅ๊ณํต ์ด์์ ๋ฏธ์น๋ ์ํฅ (ex. ๋
ธ๋ ์ ์ ๋ฐ ์ฃผํ์) ์ ๋ํด ๋ถ์ํ ์์ ์ด๋ฉฐ,
์ด๋ฅผ ๋ฐํ์ผ๋ก ์ถฉ์ ์์ ๊ณํต์ด ์ฐ๊ณ๋ ์ต์ ์๋์ง์์คํ
์ด์์ ์ค๊ณํ ๊ณํ์ด๋ค.
Acknowledgements
๋ณธ ์ฐ๊ตฌ๋ ์ฐ์
ํต์์์๋ถ ์์ฌ๋ถํ๊ธฐ์ ๊ฐ๋ฐ์ฌ์
์ฐ๊ตฌ๋น (๊ณผ์ ๋ฒํธ: RS-2024-00468436) ์ง์์ผ๋ก ์ํ๋์์.
References
Y. Li, S. He, Y. Li, L. Ge, S. Lou and Z. Zeng, โProbabilistic Charging Power Forecast
of EVCS: Reinforcement Learning Assisted Deep Learning Approach,โ in IEEE Transactions
on Intelligent Vehicles, vol. 8, no. 1, pp. 344-357, Jan. 2023.DOI:10.1109/TIV.2022.3168577

H. T. Nguyen and D. -H. Choi, โDistributionally Robust Model Predictive Control for
Smart Electric Vehicle Charging Station With V2G/V2V Capability,โ in IEEE Transactions
on Smart Grid, vol. 14, no. 6, pp. 4621-4633, Nov. 2023.DOI:10.1109/TSG.2023.3263470

M. Kang, D. Kim, B. Lee and Y. Lee, โOptimization of Electric Bus Charging and Discharging
Schedules with Vehicle-to-Grid Technology,โ in The Transactions of the Korean Institute
of Electrical Engineers, vol. 74, no. 5, pp. 761-774, 2025.DOI:110.5370/KIEE.2025.74.5.761

S. S. Barhagh, B. Mohammadi-Ivatloo, M. Abapour and M. Shafie-Khah, โOptimal Sizing
and Siting of Electric Vehicle Charging Stations in Distribution Networks With Robust
Optimizing Model,โ in IEEE Transactions on Intelligent Transportation Systems, vol.
25, no. 5, pp. 4314-4325, May 2024.DOI:10.1109/TITS.2023.3334470

U. Qureshi, A. Ghosh and B. K. Panigrahi, โMultiobjective Pareto-Optimal Intelligent
Electric Vehicle Charging Schedule in a Commercial Charging Station: A Stochastic
Convex Optimization Approach,โ in IEEE Transactions on Industrial Informatics, vol.
20, no. 11, pp. 12620-12632, Nov. 2024. DOI:10.1109/TII.2024.3423373

H. T. Nguyen and D. -H. Choi, โDecentralized Distributionally Robust Coordination
Between Distribution System and Charging Station Operators in Unbalanced Distribution
Systems,โ in IEEE Transactions on Smart Grid, vol. 14, no. 3, pp. 2164-2177, May 2023.
DOI:10.1109/TSG.2022.3210232

C. Han, J. Choi and G. Jang, โDistributionally Robust Optimization-Based Stochastic
Operation Strategy of MVDC System in Distribution Networks,โ in The Transactions of
the Korean Institute of Electrical Engineers, vol. 73, no. 8, pp. 1291-1297, 2024.DOI:10.5370/KIEE.2024.73.8.1291

P. Mohajerin Esfahani and D. Kuhn, โData-Driven Distributionally Robust Optimization
using the Wasserstein Metric: Performance Guarantees and Tractable Reformulations,โ
in Mathmatical Programming, vol. 171, no. 1, pp. 115โ166, Sep. 2018.DOI:10.1007/s10107-017-1172-1

R. Gao and A. Kleywegt, โDistributionally Robust Stochastic Optimization with Wasserstein
Distance,โ in Mathematics of Operations Research, vol. 48, no. 2, pp. 603-655, May
2023.DOI:10.1109/TSG.2023.3263470

A. Arrigo, et. al., โWasserstein Distributionally Robust Chance-Constrained Optimization
for Energy and Reserve Dispatch: An Exact and Physically-Bounded Formulation,โ in
European Journal of Operational Research, vol. 296, no. 1, pp. 304-322, Jan. 2022.DOI:10.1016/j.ejor.2021.04.015

A. -H. Mohsenian-Rad and A. Leon-Garcia, โOptimal Residential Load Control With Price
Prediction in Real-Time Electricity Pricing Environments,โ in IEEE Transactions on
Smart Grid, vol. 1, no. 2, pp. 120-133, Sept. 2010.

E. W. Wood, et al., โCalifornia Plug-In Electric Vehicle Infrastructure Projections:
2017-2025-Future Infrastructure Needs for Reaching the Stateโs Zero Emission-Vehicle
Deployment Goals,โ No. NREL/TP-5400-70893. National Renewable Energy Lab.(NREL), Golden,
CO (United States), 2018.

Open Data Sets. [Online]. Available:https://site.ieee.org/pes-iss/data-sets/.

์ ์์๊ฐ
He is currently in B.S. degree from Department of Electrical Engineering, Chonnam
National University, Gwangju, Korea.
He received B.S. degree in Mechanical Engineering from Hanyang University in 2006,
and his M.S. and Ph.D. degrees from the Korea Advanced Institute of Science and Technology
(KAIST) in 2008 and 2018, respectively. From 2007 to 2024, he worked as a principal
researcher and director at the Korea Automotive Technology Institute. He is currently
an associate professor in the Department of Future Mobility at Chonnam National University,
Gwangju, Korea.
He received B.S., M.S., and Ph.D. degrees in Electronics and Electrical Engineering
from Chung-Ang University, Seoul, Korea, in 2018, 2020, and 2024, respectively. He
is currently an Assistant Professor in the Department of Electrical Engineering at
Chonnam National University, Gwangju, Korea.