정진
(Jin Jeong)
*iD
송진솔
(Jin-Sol Song)
*iD
김천호
(Cheon-Ho Kim)
*iD
김철환
(Chul-Hwan Kim)
†iD
-
(Dept. of Electrical and Computer Engineering, Sungkyunkwan University, Republic of
Korea.)
Copyright © The Korean Institute of Electrical Engineers
Key words
DC fault, Fault control, Fault-handling converters, Medium voltage direct current(MVDC), Protection strategy
1. 서 론
탄소 배출에 의한 기후 변화에 대응하기 위해, 전력계통 내 재생 에너지원(Renewable Energy Resources, RES)의 비중이 증가하고
있다. 대한민국에서는 ‘제3차 에너지기본계획’에 따르면 전체 에너지 믹스에서 RES가 차지하는 비중을 2030년까지 35%까지 증가시킬 예정이다[1]. 특히 국내의 경우 태양광 발전과 같은 DC 기반의 RES가 배전계통에 연계되는 경우가 많아, 최근 22.9 kV AC 배전계통의 일부를 DC로
전환하는 MVDC(Medium Voltage Direct Current) 배전계통에 관한 연구가 관심을 받고 있다.
현재 MVDC 배전계통이 상용화되기 어려운 이유는 보호 시스템의 설계에 있다. DC 고장전류는 영점이 없고, 크기가 크고 급격한 상승률을 지닌다.
그리고 DC 전력계통 내 전압 변성에 이용되는 전력반도체 스위치 기반의 컨버터는 이러한 과전류에 매우 취약하다[2]. 그리고 하나의 네트워크에 다수의 컨버터가 연계되는 배전계통의 특성상 고장점에서의 고장전류는 중첩(Superimposed)되어 매우 빠른 고장 차단
시간과 큰 DC 차단기 용량을 요구하게 된다[3]. 만약 이러한 문제점들이 완화될 수 있다면, MVDC 배전계통의 보호 시스템 설계는 보다 단순화될 수 있다.
기존 연구에서도 MVDC 배전계통의 보호 기법이 일부 제안된 바 있다. [4]의 문헌은 다단자(Multi-Terminal) MVDC 배전계통을 대상으로 통합 제어 및 보호 전략을 제시하였으나, DC 전력기기 연계를 위한 DC/DC
컨버터의 고장특성은 충분히 반영되지 않았다. 또한, [5]와 [6]에서 제안된 보호 기법은 특정 계통 구성에 한해 적용 가능하다는 한계를 지닌다. 결과적으로 다양한 컨버터의 고장응답 특성과 계통 구조 의존성을 고려한
보호 전략이 요구된다.
본 논문에서는 위 제약사항을 해소하기 위해 고장특성을 제어하거나 견딜 수 있는 Fault-Handling 컨버터를 도입하였다. Fault-Handling
컨버터는 자기 보호에 용이하여 DC 차단기의 부담을 경감시킬 수 있다. 이러한 제한된 고장특성을 바탕으로 다단자 MVDC 배전계통에 적용할 수 있는
방향성 보호 계전 기법을 제시하였다. 그리고 방향성 고장 정보를 바탕으로 선로 고장과 모선 고장에 대응할 수 있는 전략을 제시하였다. 본 논문에서
제시된 보호 전략은 EMT 시뮬레이션 소프트웨어로 링 구조의 다단자 MVDC 배전계통을 구현하여 선로 고장과 모선 고장에 대해 검증되었다.
2. Fault-Handling 컨버터
MVDC 배전계통은 크게 22.9 kV AC 배전계통을 DC로 변환하는 AC/DC 컨버터와 DC 부하 또는 분산전원을 연계하는 DC/DC 컨버터로
구성된다. 본 연구에서의 AC/DC 컨버터는 DC 고장특성을 제어하며 DC/DC 컨버터는 고장특성을 견딜 수 있는 토폴로지를 이용하였다.
2.1 AC/DC 컨버터: Full-Bridge Modular Multilevel Converter (FBMMC)
수십 kV의 전압 레벨의 MVDC 배전계통에서의 AC/DC 컨버터로는 주로 모듈형 구조의 전압형 컨버터인 MMC를 이용한다[4]. MMC의 주요 서브모듈(Submodule) 구조로는 스위치 2개로 구성된 Half-Bridge 서브모듈(HBSM)과 스위치 4개로 구성된 Full-Bridge
서브모듈(FBSM)이 있다.
FBSM의 경우 음(Negative) 전압 출력이 가능하여 다양한 DC 전압에 대응할 수 있는 특성을 갖는다[7]. 이러한 특징은 FBSM으로 구성된 MMC가 DC 고장 상태에서도 제어성을 잃지 않고, DC 측 고장특성을 제어할 수 있게 한다.
MMC는 전압형 컨버터이기 때문에 지령 전압 신호(Reference Voltage Signal)에 의해 제어된다. FBMMC의 지령 전압 신호는 AC
부분과 DC 부분으로 구성되며[7], DC 부분이 DC 측 전압과 관련된다. 본 연구에서는 고장전류 제어를 위해 DC 출력 전류를 DC 출력 전압을 제어하기 위한 제어 변수로 설정하였다.
그림 1과 그림 2에 각각 FBMMC의 회로도와 고장전류 제어를 포함한 FBMMC의 제어 시스템을 나타내었다.
그림 1. FBMMC의 회로도
Fig. 1. Circuit Diagram of FBMMC
그림 2. 고장전류 제어를 포함한 FBMMC의 제어 시스템
Fig. 2. Control system of FBMMC including fault current control
DC 측 고장에 대응하기 위한 FBMMC의 고장전류 제어 시스템은 DC 출력 전류 지령값인 $I_{dcref}$의 스위칭으로 구현된다. 이때 MMC가
기여하는 고장전류의 상한값은 $I_{dcref}$로 제한되어 컨버터 내부 및 DC 측의 과전류가 제한되어 컨버터의 개방 동작을 방지한다. 그리고 AC
측과 DC 측의 연결성을 유지하여 MMC가 무효전력 보상장치로써 동작하도록 한다[8].
본 연구에서는 AC/DC 변환소에서의 DC 고장 감지를 과전류 감지로 설정하였고, 시간 $T_{MMC}$ 이후에 다시 복귀하도록 하여 고장 제거 이후
DC 전압이 회복될 수 있도록 설정하였다.
단순 과전류 기반 방식은 단락고장 탐지에 용이하나, 지락고장의 경우에는 접지 구성에 따른 특성을 반영한 추가 감지 기법을 적용하여 동일하게 이용할
수 있다. FBMMC의 스위칭 시퀀스를 그림 3에 나타내었다. 과전류 감지 부분에서 신뢰성을 위해 연속된 $n_{MMC}$ 샘플값이 모두 과전류 조건을 충족해야 고장으로 판단하도록 설정하였다.
본 논문에서는 명시적으로 다루지 않았으나, 데이터 샘플링 시 양자화 및 노이즈로 인한 오동작을 줄이기 위해 별도의 데이터 필터링을 적용할 수 있다.
그림 3. FBMMC의 $I_{dcref}$ 스위칭 시퀀스
Fig. 3. $I_{dcref}$ switching sequence of FBMMC
2.2 DC/DC 컨버터: Modular Multilevel Full Bridge Converter (MMFB)
일반적인 DC/DC 컨버터의 고장응답 단계는 커패시터 방전과 다이오드 환류 단계로 구성된다[9]. 커패시터 방전 단계에서 발생한 과전류가 다이오드 환류 단계에서 컨버터에 유입되어 컨버터 내 스위치의 고장을 발생시킬 수 있다.
따라서 본 연구에서는 고장응답 단계의 전환을 스위치의 개방 동작으로 수행할 수 있는 MMFB 컨버터를 MVDC 배전계통 내의 DC/DC 컨버터로 선정하였다[9].
MMFB 컨버터는 커패시터 방전 단계를 능동적으로 신속히 종료함으로써 컨버터의 고장전류 기여도를 낮추고, 자체 보호에 유리한 특성을 갖는다. 해당
컨버터의 회로도를 그림 4에 나타내었다.
그림 4. MMFB 컨버터의 회로도
Fig. 4. Circuit diagram of MMFB converter
2.3 DC/DC 컨버터: Phase Shifted Full Bridge Converter (PSFB)
만약 컨버터에서 단방향 전력 전달만이 필요하다고 할 때, 고주파 변압기가 포함된 절연형 DC/DC 컨버터의 한쪽을 다이오드 브리지 형태로 구성한 토폴로지를
이용할 수 있다. 본 연구에서는 MVDC 배전계통 내 분산전원 연계를 위해 PSFB 컨버터를 이용하였다. 분산전원 연계용 PSFB 컨버터의 경우 다이오드
환류 단계의 과전류가 컨버터 내부의 필터 인덕터에 의해 제한된다[9].
따라서 PSFB 컨버터 역시 컨버터의 고장전류 기여도를 낮추고 자체 보호에 용이한 특성을 갖는다. MV 레벨의 전압에 대응하기 위해 컨버터 여러 개를
직렬로 연결하여 구성하며, 그림 5에 MVDC 배전계통 내 태양광 발전 연계용 PSFB 컨버터의 회로도를 나타내었다.
3. 고장 위치에 따른 보호 전략
3.1 MVDC 배전계통 내 방향성 계전 기법
다단자 구조의 전력계통에서는 선택적인 고장 구간 분리를 위해 고장 방향의 탐지는 필수적이다. 직류 전력계통에서 과도현상의 방향은 전류 변화량의 극성으로
쉽게 탐지할 수 있다[10]. 전류 변화량 는 식 (1)과 같이 계산되며, 여기서 $\Delta t$는 전류값의 샘플링 주기(Sampling Period)를 뜻한다.
그림 5. PSFB 컨버터의 회로도
Fig. 5. Circuit diagram of PSFB converter
그러나 전류 변화량 단독으로는 실제 고장과 단순 전력조류의 변동을 구분하기 어렵다. 본 연구에서는 FBMMC의 고장전류 제어를 통해 부족전압 환경을
임의로 조성할 수 있어 실제 DC 고장 여부를 판별하는 조건으로 부족전압 탐지를 추가로 이용하였다. 보호 계전기에서 탐지할 수 있는 고장 방향의 예시와
탐지 조건을 각각 그림 6과 표 1에 나타내었다.
그림 6. 보호 계전기의 고장 방향 예시
Fig. 6. Examples of fault direction for a protection relay
표 1. 보호 계전기의 방향성 고장 탐지 조건
Table 1. Directional fault detection condition for a protection relay
|
고장 위치
|
탐지 조건
|
DIR
|
|
고장 없음
|
-
|
00
|
|
F1 (선로)
|
① $\Delta I_{1}\ge\Delta I_{p ickup}$ & $\Delta I_{2}<0$
|
01
|
|
② $V_{dc}<V_{p ickup}$
|
|
F2 (선로)
|
① $\Delta I_{1}<0$ & $\Delta I_{2}\ge\Delta I_{p ickup}$
|
10
|
|
② $V_{dc}<V_{p ickup}$
|
|
F3 (모선)
|
① $\Delta I_{1}\le -\Delta I_{p ickup}$ & $\Delta I_{2}\le -\Delta I_{p ickup}$
|
11
|
|
② $V_{dc}<V_{p ickup}$
|
그림 7. MVDC 배전계통의 방향성 고장 탐지 및 고장 구간 차단 알고리즘의 플로우차트
Fig. 7. Flowchart of directional fault detection and faulted section isolation algorithm
for MVDC distribution networks
표 1에서 DIR은 계전기에 저장되는 고장 방향 정보를 의미한다. 그리고 $\Delta I_{1}$과 $\Delta I_{2}$는 각각 $I_{1}$과
$I_{2}$ 방향에 해당하는 보호 계전기에서 계산되는 전류의 변화량 값이며, $V_{dc}$는 보호 계전기에서 측정되는 DC 전압의 값이다. 그리고
아래 첨자 pickup 변수들은 각각에 해당하는 pickup 값이다.
3.2 고장 위치에 따른 고장 구간 차단
다단자 MVDC 배전계통 내 고장이 발생하면 계통 내 보호 계전기들은 개별적으로 고장 방향을 탐지한다. 그러나 고장 방향 정보만으로는 고장의 위치가
내부 고장(Internal Fault)인지 외부 고장(External Fault)인지 구분할 수 없으며, 고장 구간만을 선택적으로 차단하기 어렵다.
따라서 선택적인 고장 구간 차단을 위해 인접한 계전기 간 통신 링크를 통한 POTT(Permissive Overreach Transfer Tripping)
기법을 이용한다[10].
만약 어떤 보호 계전기가 고장 방향을 판정하면, 판정된 고장 방향에 인접한 계전기로부터 고장 방향 신호를 수신한다. 두 신호가 마주 보는 방향의 신호라면
해당 고장은 내부 고장으로 판별한다. 그리고 고장 구간을 차단하기 위해 계전기는 해당 방향의 차단기를 동작시킨다.
반면 고장이 선로가 아닌 모선에 발생했다면, POTT와 같은 통신 링크를 통한 방향 비교 방식을 이용하지 않더라도 고장 구간을 차단할 수 있다. 어떤
보호 계전기가 고장을 모선 고장으로 판단한다면, 모선 내 모든 차단기를 동작시켜 고장 구간을 차단할 수 있기 때문이다.
3.1절과 3.2절에 제시한 MVDC 배전계통 내 방향성 고장 탐지와 고장 구간 차단 알고리즘의 플로우차트를 그림 7에 나타내었다. 표 1에 제시한 고장 탐지 조건 ①과 조건 ②의 탐지는 동시에 발생하지 않을 수 있다. 따라서 전류 변화량 극성 탐지에 해당하는 조건 ① 감지를 통해 과도현상의
발생 여부 및 방향을 우선적으로 탐지한다. 그리고 부족전압 탐지에 해당하는 조건 ② 탐지를 통해 실제 DC 고장 여부를 판별하는 것으로 설정하였다.
이때 두 조건 사이 시간 간격 $T_{PR}$을 설정하였다. 만약 과도현상이 발생했으나 실제 DC 고장이 아니라면 부족전압이 탐지되지 않아 고장으로
판별되지 않을 것이다. 부족전압 탐지 파트에서 신뢰성을 위해 연속된 측정값 $n_{PR}$ 샘플값이 모두 조건을 충족시켜야 하는 것으로 설정하였다.
2.1절의 AC/DC 변환소에서의 고장 감지와 마찬가지로, 별도의 데이터 필터링 과정을 추가할 수 있다. 고장을 모선 고장으로 판별한다면 모선의 차단기를
모두 트립시켜 고장 구간을 차단하고, 선로 고장이라면 고장 방향의 인접한 계전기의 고장 방향 정보와 비교하여 내부 고장과 외부 고장을 구분하고 차단기
트립 여부를 결정한다.
4. EMT 시뮬레이션 결과 및 고찰
4.1 다단자 MVDC 배전계통
MVDC 배전계통이 상용화된다면, 다단자 계통구조가 적용될 가능성이 높다. 제안된 보호 전략의 검증을 위해 3터미널의 링 구조의 Fault-Handling
컨버터로 구성된 MVDC 배전계통 모델을 이용하였다. 모의 계통의 단선도를 그림 8에 나타내었고, 해당 계통은 하나의 변환소에 컨버터 2개를 이용하는 양극성(Bipolar) 구조이며 기존의 22.9 kV AC 배전계통에서 이용하는
다중 접지 구조를 채택하였다.
그림 8의 모의 계통에서 고장 P1과 P2는 각각 선로 고장과 모선 고장으로 설정하였다. 선로 고장 P1의 경우 BUS2와 BUS3 중간 지점에 발생한 것으로,
모선 고장 P2의 경우 FBMMC #3 변환소 측인 BUS6에 발생한 것으로 모의하였다. 그리고 보호 계전기는 각 모선에 설치된 것으로 설정하였다.
고장전류를 0으로 만들 수 있는 컨버터 터미널 측에는 단로기(Disconnecting Switch, DS)를, 그 외에는 차단기(Circuit Breaker,
CB)가 설치된 것으로 설정하였다. 모든 고장은 단락 고장인 Pole-to-Pole(PTP) 고장으로, 시뮬레이션 시간 기준 1.8초에 발생한 것으로
모의하였다. 모의 계통과 보호 시스템의 파라미터 값을 표 2에 표시하였다.
FBMMC의 $I_{dcref.pre}$ 값은 정상 동작을 위해 1.0 p.u. 보다 크게 설정되어야 한다. 그리고 MMC 터미널에서의 DC 고장전류의
크기는 $I_{dcref.pre}$ 값으로 제한되기 때문에 AC/DC 변환소에서의 고장 발생 감지를 위한 과전류 pickup 값인 $I_{p ickup}$
값은 $I_{dcref.pre}$ 보다 작게 설정되어야 한다[11]. 그리고 고장 제어가 활성화되는 상태의 DC 전류 지령값 $I_{dcref.post}$ 값은 고장점에서 중첩된 고장전류의 크기를 최대한 억제하고
DC 측의 부족전압 상태를 조성하기 위해 0으로 설정되었다. 전류 변화량의 pickup 값 $\Delta I_{p ickup}$은 과도한 계전기 동작을
방지하기 위한 offset 값이며, 부족전압의 pickup 값 $V_{p ickup}$은 일반적으로 쓰이는 정상 전압의 0.8배로 선정하였다[12].
그림 8. 다단자 MVDC 모의 배전계통
Fig. 8. Multi-terminal MVDC distribution network for simulation test
표 2의 파라미터 값은 반복 시뮬레이션을 통해 오동작이 발생하지 않으면서 고장에 신속히 반응하는 값으로 선정하였다. 고장전류 제어 시스템이 포함된 계통의
고장특성은 컨버터의 제어 파라미터에 크게 의존하기 때문에, 해당 수치는 절대적인 기준이 아니며, 설계 여건에 따라 조정될 수 있다.
표 2. 모의 계통과 제안된 보호 시스템의 파라미터
Table 2. Parameters of test network and proposed protection system
|
종류
|
파라미터
|
값
|
|
MVAC/DC
|
공칭 전압
|
22.9kVrms / ±20 kV
|
|
측정 장치
|
샘플링 주파수
|
20 kHz
|
FBMMC의
고장전류 제어
|
$I_{p ickup}$
|
1.2 p.u.
|
|
$I_{dcref.pre}$ / $I_{dcref.post}$
|
1.5 p.u. / 0 p.u.
|
|
$T_{MMC}$ / $n_{MMC}$
|
5 ms / 10
|
방향성 계전
기법
|
$\Delta I_{p ickup}$
|
0.005 p.u.
|
|
$V_{p ickup}$
|
0.8 p.u.
|
|
$T_{PR}$ / $n_{PR}$
|
5 ms / 20
|
|
통신 지연
|
-
|
0.5 ms [8] |
4.2 고장 위치 P1: 선로 고장
P1 고장을 선택적으로 차단하려면 모의 계통의 CB23과 CB32가 트립해야 한다. 표 3에 각 모선의 보호 계전기에서 탐지한 고장 방향과 탐지 시간, 그리고 차단기 트립 시간을 나타내었다. 시계 방향의 고장을 DIR 값 “01”로, 반시계
방향의 고장을 DIR 값 “10”으로, 모선 고장을 DIR 값 “11”로 표기하였다. 그리고 그림 9에 각 모선의 시계 방향 전류 변화량인 $\Delta I_{1}$과 AC/DC 변환소들의 DC 측 전압을 나타내었다.
그림 9. 모선의 전류 변화량과 AC/DC 변환소의 DC 전압 (고장 위치 P1)
Fig. 9. Change of current of all buses and DC voltages of AC/DC converter stations
(Fault location P1)
표 3. 각 모선에서의 방향성 고장 탐지와 차단기 트립 결과 (고장 위치 P1)
Table 3. Results of directional fault detection and circuit breaker tripping at each
bus (Fault location P1)
|
|
BUS1
|
BUS2
|
BUS3
|
BUS4
|
|
DIR
|
01
|
01
|
10
|
10
|
감지 시간
(ms)
|
1.05
|
1.05
|
1.05
|
1.05
|
트립 시간
(ms)
|
-
|
1.55
|
1.55
|
-
|
|
|
BUS5
|
BUS6
|
BUS7
|
|
|
DIR
|
10
|
01
|
01
|
|
감지 시간
(ms)
|
1.20
|
1.20
|
1.20
|
|
트립 시간
(ms)
|
-
|
-
|
-
|
|
표 3의 결과로부터 고장 P1에 대해서 BUS2의 “01” 방향 차단기 CB23이, BUS3의 “10” 방향 차단기 CB32가 트립하여 고장 구간을 차단함을
확인할 수 있다. 다른 모선의 계전기에서는 감지된 고장 방향과 인접한 계전기의 고장 방향이 마주 보지 않기 때문에 차단기를 트립시키지 않는다. 그리고
고장 구간 차단 이후 FBMMC의 $I_{dcref}$값이 복귀하여 DC 전압이 회복됨을 그림 9(b)를 통해 확인할 수 있다.
4.3 고장 위치 P2: 모선 고장
P2 고장을 선택적으로 차단하려면 모의 계통의 CB65, CB67, DS6이 동작해야 한다. P2 고장은 모선 고장이기 때문에 BUS6의 계전기만이
모선 내 차단기와 단로기를 트립시킨다. 표 4에 방향성 고장 탐지 및 차단기 트립 시간을, 그림 10에 P2와 인접한 모선(BUS5, BUS6, BUS7)의 전류 변화량 값과 AC/DC 변환소의 DC 측 전압을 나타내었다.
그림 10. 고장과 인접한 모선의 전류 변화량과 AC/DC 변환소의 DC 전압 (고장 위치 P1)
Fig. 10. Change of current of the buses adjacent to the fault and DC voltages of AC/DC
converter stations (Fault location P2)
표 4. 각 모선에서의 방향성 고장 탐지와 차단기 트립 결과 (고장 위치 P2)
Table 4. Results of directional fault detection and circuit breaker tripping at each
bus (Fault location P2)
|
|
BUS1
|
BUS2
|
BUS3
|
BUS4
|
|
DIR
|
10
|
10
|
01
|
01
|
감지 시간
(ms)
|
1.05
|
1.25
|
1.25
|
1.05
|
트립 시간
(ms)
|
-
|
-
|
-
|
-
|
|
|
BUS5
|
BUS6
|
BUS7
|
|
|
DIR
|
01
|
11
|
10
|
|
감지 시간
(ms)
|
1.05
|
1.05
|
1.05
|
|
트립 시간
(ms)
|
-
|
1.10
|
-
|
|
그림 10(a)으로부터 BUS6에서 $\Delta I_{1}$과 $\Delta I_{2}$ 값이 모두 음수가 되어 모선 고장으로 판별됨을 확인할 수 있다. 따라서
BUS6의 계전기는 모선 내 모든 차단기와 단로기를 트립시킨다. 그리고 FBMMC3 변환소는 차단기 및 단로기 트립으로 인해 MVDC 배전계통의 DC
측에서 완전히 분리되어 영전압 상태를 유지한다. 이는 그림 10(b)에서 FBMMC #1과 FBMMC #2의 DC 측 터미널은 $I_{dcref}$의 복귀 이후 공칭전압으로 회복하지만, FBMMC #3은 그렇지 않음을
통해 확인할 수 있다.
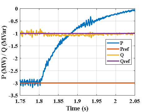
FBMMC #3은 DC 측에서는 분리되지만, AC 측과는 연결성을 유지한다. FBMMC #3은 사전에 유효전력/무효전력(P/Q) 제어 모드로 설정되었으며,
DC 고장 발생 이후 DC 측과의 분리로 인해 유효전력 전달은 끊어지지만, AC 측의 무효전력 제어 기능은 유지된다. 그림 11에 FBMMC #3의 고장 전후의 유효전력/무효전력 지령값과 측정값을 나타내었다.
그림 11. FBMMC #3의 유효전력 및 무효전력 측정값과 지령값 (고장 위치 P2)
Fig. 11. Measured and reference values of active and reactive power of FBMMC #3 (Fault
location P2)
5. 결 론
본 논문에서는 다단자 MVDC 배전계통에 적용 가능한 종합적인 보호 전략을 제안하였다. 우선 과전류에 취약한 전력반도체 스위치 기반의 컨버터 특성으로
인한 보호 시스템에 요구되는 시간적 제한사항을 완화하기 위해 DC 고장 특성을 제어하거나 견딜 수 있는 AC/DC 및 DC/DC 컨버터의 토폴로지를
MVDC 배전계통 내에 도입하였다. 그리고 제한된 고장 특성을 바탕으로 다단자 계통 구조에서 이용할 수 있는 방향성 계전 기법을 제안하였다. 보호
계전기에서 감지한 방향성 고장 정보를 바탕으로, 선로 고장의 경우 통신 링크를 이용한 POTT 기법으로, 모선 고장의 경우 모선 내 차단기를 동작시키는
알고리즘으로 고장 구간을 선택적으로 차단 가능함을 EMT 시뮬레이션 결과를 통해 확인하였다. 추가로 MMC 터미널 측 DC 고장에서는 MMC가 무효전력
보상장치로 동작 가능함을 확인하였다. 본 연구는 추후 MV 레벨의 AC/DC 하이브리드 배전계통의 보호 협조 전략 수립에 기여할 수 있을 것이다.
Acknowledgements
본 연구는 4단계 BK21 사업의 지원을 받아 수행한 연구 과제입니다.
This work was supported by the BK21 FOUR Project.
References
2019, The 3rd Basic Energy Plan

J. Yang, J. E. Fletcher, J. O’Reilly, 2012, Short-Circuit and Ground Fault Analyses
and Location in VSC-Based DC Network Cables, IEEE Transactions on Industrial Electronics,
Vol. 69, No. 2, pp. 3927-3837

R. Mohanty, A. K. Pradhan, 2018, A Superimposed Current Based Unit Protection Scheme
for DC Microgrid, IEEE Transactions on Smart Grid, Vol. 9, No. 4, pp. 3917-3919

T. Zheng, 2021, An Integrated Control and Protection Scheme Based on FBSM-MMC Active
Current Limiting Strategy for DC Distribution Network, IEEE Transactions on Emerging
and Selected Topics in Power Electronics, Vol. 9, No. 3, pp. 2632-2642

W. Lv, T. Zheng, Y. Yang, 2023, Backup Protection with Accelerating Strategy Based
on Fault Control and Modular Multilevel Converters in Medium-Voltage Direct Current
Distribution Network, IET Renewable Power Generation, Vol. 17, No. 6, pp. 1358-1369

W. Lv, T. Zheng, Y. Yang, R. Li, S. Sun, 2023, Novel Fault Isolation Scheme Under
Protection Failure in MVDC Distribution Networks Without DC Circuit Breaker, International
Journal of Electrical Power and Energy Systems, Vol. 148, pp. 108901

S. Jiang, T. Wang, G. Li, Y. Xin, L. Wang, 2024, DC Fault Current Clearance Coordinated
Control Strategy for DC Grid with Hybrid MMC, International Journal of Electrical
Power and Energy Systems, Vol. 161, pp. 110189

P. Ruffing, N. Collath, C. Brantl, A. Schnettler, 2019, DC Fault Control and High-Speed
Switch Design for an HVDC Network Protection Based on Fault-Blocking Converters, IEEE
Transactions on Power Delivery, Vol. 34, No. 1, pp. 397-406

J. Jeong, 2025, A Study on Average Models of DC/DC Converters for Fault Response Analysis
of MVDC Distribution System Using EMT Simulation, The Transactions of The Korean Electrical
Engineers, Vol. 74, No. 7

M. Li, K. Kia, T. Bi, C. Wang, R. Zhu, Q. Yang, 2019, Full-Current-Based Directional
Pilot Protection for VSC-DC Distribution Systems, IET Generation, Transmission & Distribution,
Vol. 13, No. 16, pp. 3713-3724

J. Jeong, J.-S. Song, C.-H. Kim, M.-H. Min, T.-P. An, C.-H. Kim, 2024, A Study on
the Control Scheme of Full-Bridge MMC for Fault Current Limitation in MVDC Distribution
Network, pp. 174-175

Y.-H. Park, S.-H. Kim, S.-H. Lim, J.-P. Lee, 2025, Analysis on Protection Coordination
Between Overcurrent and Undervoltage Relays According to Current-Limiting Reactor/Resistor
of SFCL in Power Distribution System, The Transactions of the Korean Institute of
Electrical Engineers, Vol. 74, No. 8, pp. 1324-1331

저자소개
He received a B.S. degree from the College of Information and Communication Engineering,
Sungkyunkwan University, Korea, in 2024. At present, he is enrolled in the master’s
program from Sungkyunkwan University, Korea. His research interests include power
system protection and AC/DC hybrid MVDC distribution networks.
He received a B.S. degree from the College of Information and Communication Engineering,
Sungkyunkwan University, Korea, in 2017. At present, he is enrolled in the combined
master’s and doctorate program. His research interests include distributed generation
and power system protection on AC/DC hybrid MVDC distribution networks.
He received a B.S. degree in the Department of Electical, Electronics, and Communication
Engineering Education from Chungnam National University, Korea, in 2024. At present,
he is enrolled in the master’s program from Sungkyunkwan University, Korea. His research
interests include power system protection and AC/DC hybrid MVDC distribution networks.
He received B.S., M.S., and Ph. D. degrees in Electrical Engineering from Sungkyunkwan
University, Korea, in 1982, 1984, and 1990, respectively. In 1990, he joined Jeju
National University, Korea, as a Full-Time Lecturer. He was a Visiting Academic with
the University of Bath, U.K. in 1996, 1998, and 1999. He has been a Professor with
the College of Information and Communication Engineering, Sungkyunkwan University,
since 1992, where he is currently the Director of the Center for Power Information
Technology. His current research interests include power system protection, artificial
intelligence applications for protection and control, modeling/protection of underground
cable, and AC/DC hybrid MVDC distribution networks.