홍석재
(Seokjae Hong)
1iD
김민호
(Minho Kim)
1iD
임정택
(Jeongtaek Lim)
1iD
함경선
(Kyung Sun Ham)
1iD
김태형
(Taehyoung Kim)
†iD
-
한국전자기술연구원 에너지IT융합연구센터
(Energy IT Convergence Research Center of Korea Electronics Technology Institute)
Copyright © The Korean Institute of Electrical Engineers
Key Words
HELICS, Co-Simulation, Energy Storage System, Frequency Stabilization, Distribution System
1. 서 론
전 세계적으로 탄소중립 달성을 위한 재생에너지 보급이 가속화되면서, 배전계통에 연계되는 분산 에너지 자원의 비중이 급격히 증가하고 있다. 국내의 경우
2030년까지 재생에너지 발전 비중을 확대하는 정책 목표를 수립하였으며, 이에 따라 풍력 및 태양광 발전 설비의 배전계통 연계가 지속적으로 확대되고
있다. 그러나 재생에너지는 기상 조건에 따른 출력 변동성이 크고, 기존 동기발전기와 달리 계통에 관성을 제공하지 못하는 특성이 있어 계통 주파수 안정성에
새로운 과제를 제기하고 있다. 특히 풍력발전의 경우, 돌풍이나 급격한 풍속 변화 때문에 출력이 수 초 내에 급변할 수 있으며, 이러한 출력 급변은
계통의 전력 수급 불균형을 초래하여 주파수 변동을 유발한다. 주파수 변화율(Rate of Change of Frequency, RoCoF)이 급격히
증가하면 보호계전기의 오동작, 발전기 탈락, 나아가 연쇄적인 계통 불안정으로 이어질 수 있다. 이러한 문제를 해결하기 위해 에너지저장장치(Energy
Storage System, ESS)를 활용한 주파수 지지 방안이 주목받고 있다. ESS는 빠른 응답 특성을 바탕으로 재생에너지 출력변동을 실시간으로
보상하여 계통 주파수를 안정화할 수 있다[1].
ESS의 주파수 안정화 효과를 사전에 분석하기 위해서는 재생에너지, ESS 및 배전계통을 통합적으로 모의할 수 있는 시뮬레이션 환경이 필요하다. 이를
위해 HELICS와 같은 Co-Simulation 프레임워크가 활용되고 있다. HELICS는 서로 다른 시뮬레이터 간의 데이터 교환과 시간동기화를
지원하여, 전력 계통, 통신 및 시장 등 다양한 도메인의 통합 시뮬레이션을 가능하게 한다[2]. 그러나 기존 HELICS 기반 도구들은 명령줄 인터페이스(CLI)나 스크립트 기반으로 운용되어, 프로그래밍 지식이 부족한 배전계통 운영 사업자가
활용하기에는 기술적 진입장벽이 높다는 한계가 있다.
본 논문에서는 이러한 한계를 해소하기 위해 웹 기반 Co-Simulation 플랫폼을 제안한다. 제안된 플랫폼의 주요 기여는 다음과 같다. 첫째,
프로그래밍 지식 없이 웹 인터페이스를 통해 시뮬레이션 파라미터를 설정하고 ESS의 주파수 안정화 효과를 분석할 수 있다. 둘째, HELICS 기반
다중 페더레이트 구조를 채택하여 풍력터빈, ESS 및 배전계통 모델을 독립적으로 구성하고 연동하며, 스윙 방정식 기반 동적 주파수 모델을 통해 재생에너지-ESS-배전계통
간 상호작용을 모의한다. 셋째, 자동화된 민감도 분석 기능을 통해 다양한 설계 변수의 영향을 정량적으로 평가할 수 있다. 본 논문의 2장에서는 관련
연구를 검토하고, 3장에서는 제안된 플랫폼의 시스템 구조를 기술한다. 4장에서는 사례 연구를 통해 플랫폼의 주파수 안정화 분석 능력을 실증하며, 5장에서
결론을 맺는다.
2. 관련 연구 및 기술 동향
재생에너지 보급 확대에 따른 전력 계통 주파수 안정성 문제에 관한 연구가 국내외에서 활발히 이루어지고 있다. 풍력발전의 주파수 응답 기술에 대한 종합적인
검토가 이루어졌으며[3], 저관성 계통에서의 RoCoF 추정 기술과 2016년 호주 대정전, 2019년 영국 대정전 등 실제 사례가 분석되었다[4]. 또한 풍속 변동의 시공간적 특성이 계통 주파수에 미치는 영향[5]과 ESS를 활용한 주파수 조정 연구가 다양하게 진행되었다.
주파수 안정화 연구분야에서는 풍력발전과 ESS의 통합 주파수 조정 기술[6]과 마이크로그리드의 주파수 안정화를 위한 적응형 제어 기법[7], 태양광 발전으로부터 가상 관성 제공과 주파수 안정화 특성 분석에 관한 연구가 수행되었다[8]. Co-Simulation 프레임워크 분야에서는 HELICS 기반 통합 시뮬레이션 프레임워크의 설계 원칙을 제시한 연구가 보고되었으며[9], 배전계통 시뮬레이션에는 EPRI의 OpenDSS를 널리 활용한다[10]. 또한 동적 특성 분석에는 스윙 방정식 기반 모델을 기본적으로 사용한다[11].
기존 연구들은 ESS의 주파수 안정화 효과를 이론적으로 분석하거나 특정 제어 알고리즘의 성능 분석에 초점을 맞추고 있으나, 배전계통 운영 사업자가
실무에서 활용할 수 있는 통합 시뮬레이션 도구에 관한 연구는 부족하다. 본 논문에서는 웹 기반 사용자 인터페이스와 자동화된 민감도 분석 기능을 제공하는
Co-Simulation 플랫폼을 제안하여 이러한 한계를 해소하고자 한다.
3. 웹 기반 Co-Simulation 플랫폼 구조
본 장에서는 재생에너지 연계 배전계통에서 ESS의 주파수 안정화 효과를 분석하기 위해 설계된 웹 기반 Co-Simulation 플랫폼의 전체 구조를
설명한다. 제안하는 플랫폼은 HELICS 기반 Co-Simulation 프레임워크를 사용하며, 사용자 입력을 반영하는 인터페이스 계층, 시뮬레이션
실행 및 시간동기화를 담당하는 시뮬레이션 계층, 그리고 개별 물리 모델을 구현하는 페더레이트 계층으로 구성된다. 이러한 구조를 통해 시간 해상도가
다른 물리 도메인 모델을 연계하고, 다양한 시나리오에 대한 주파수 응답 특성을 효율적으로 분석할 수 있도록 설계하였다.
3.1 플랫폼 구조 개요
그림 1에서 제안하는 웹 기반 Co-Simulation 플랫폼은 사용자 인터페이스(User Interface), 시뮬레이션 워크플로우 엔진, 그리고 물리
모델 페더레이트 계층의 세 부분으로 구성된다.
그림 1. 시스템 전체 구성도
Fig. 1. Overall System Architecture
사용자 인터페이스는 페더레이트와 관련된 시뮬레이션 파라미터를 설정하고, 시뮬레이션 실행 결과를 사용자에게 다양한 시각화를 통해 제공하는 계층이다.
시뮬레이션 워크플로우 엔진은 HELICS Broker를 중심으로 페더레이트 간 발행-구독, 시간동기화, 실행 순서를 관리하여, 서로 다른 물리 도메인
모델들이 독립적인 계산을 수행하도록 한다. 물리 모델 페더레이트 계층은 풍력터빈, ESS 및 계통 모델 등으로 구성되며, 시뮬레이션 엔진을 통해 상호
연결되어 출력, 주파수 및 전압 등의 핵심 데이터를 교환한다. 이러한 구조를 통해 재생에너지 연계 배전계통에서 ESS의 주파수 안정화 효과를 위한
분석 환경을 제안한다.
3.2 웹 기반 사용자 인터페이스(UI)
본 논문에서는 Co-Simulation 설정 및 결과 분석을 위한 웹 기반 사용자 인터페이스(UI)를 구현하였다. 제안된 플랫폼은 웹 서버 기반으로
구현되어, 브라우저를 통해 원격 접속하여 별도의 소프트웨어 설치 없이 시뮬레이션을 수행할 수 있다. 사용자는 그림 2와 같이 구성된 UI를 통해 별도의 코드 수정 없이 풍력터빈 출력 특성, ESS 용량 및 최대 충·방전 전력 등을 선택하고 조정할 수 있다.
그림 2. 웹 기반 Co-Simulation 플랫폼 사용자 인터페이스
Fig. 2. Web-based Co-Simulation Platform User Interface
그림 3에서는 사용자가 파라미터 범위와 변화 간격을 설정하면 다수의 시뮬레이션 시나리오가 자동으로 생성, 실행되는 민감도 분석 기능을 지원한다. 페더레이트에서
계산된 출력값은 UI에 전달되어 이력 그래프 및 비교 차트 형태로 시각화된다. 이를 통해 사용자는 시뮬레이션에 대한 효과를 비교하고, 다양한 조건에
대한 반복 실험을 수행할 수 있다.
그림 3. 민감도 분석 플랫폼 사용자 인터페이스
Fig. 3. Sensitivity Analysis Platform User Interface
3.3 시뮬레이션 워크플로우 엔진
시뮬레이션 워크플로우 엔진은 HELICS 기반으로 구현되었으며, 다수의 페더레이트를 시간 동기화하여 통합 Co-Simulation을 수행한다. HELICS
Broker는 각 페더레이트의 실행 순서와 시간 스텝을 관리하며, 모든 페더레이트가 동일한 시뮬레이션 시간 스텝에서 계산을 수행하도록 조정한다. 페더레이트는
독립적으로 계산을 수행한 결과를 발행(Publish) – 구독(Subscribe) 구조를 통해 페더레이트 간 데이터를 교환한다. 표 1은 본 논문에서 사용된 페더레이트 간 주요 데이터 흐름이다.
표 1. 페더레이트 간 주요 데이터 교환
Table 1. Key Data Exchange between Federates
|
데이터 항목
|
페더레이트
|
단위
|
|
발행
|
구독
|
|
발전유효전력
|
WT
|
ESS, GRID
|
kW
|
|
충·방전 전력
|
ESS
|
GRID
|
kW
|
|
DER 총 출력
|
WT, ESS
|
GRID
|
kW
|
|
계통주파수
|
GRID
|
ESS
|
Hz
|
|
모선전압
|
GRID
|
ESS
|
V / p.u.
|
페더레이트 간 시간동기화는 HELICS의 Time Grant 메커니즘을 기반으로 이루어지며, 다음 동작 시점을 요청하고 HELICS Broker로부터
허용된 시간에 맞추어 계산을 진행한다. 식(1)에서 $t_{request}(i)$는 페더레이트 i가 요청한 다음 계산 시점, $t_{granted}(i)$는 브로커가 페더레이트 i에게 허용한 시간,
F는 전체 페더레이트 집합이다. 이러한 구조를 통해 서로 다른 물리 도메인을 갖는 모델들이 인과관계를 유지한 상태로 연계되며, 자동 반복 실행 및
대규모 민감도 분석이 가능하다.
3.4 물리 모델 페더레이트 구성
본 논문에서는 재생에너지 연계 배전계통의 주파수 응답을 분석하기 위해 풍력터빈, ESS 및 계통 페더레이트를 구성하였다. 각 페더레이트는 개별 고유
물리 모델을 기반으로 구현되며, HELICS 기반 환경에서 독립적으로 동작하도록 한다.
(1) 풍력터빈 페더레이트
풍력터빈 페더레이트는 IEC 표준 파워커브를 기반으로 풍속에 따른 출력 전력을 계산한다[12]. 정격 출력, 기동 풍속, 정격 풍속, 차단 풍속 등을 사용자가 목적에 맞게 설정하며, 본 논문에서는 정격 출력($P_{rated}$) =1 MW인
풍력터빈으로 구성하였다. 식(2)에서 $v$는 풍속(m/s)이며, $v_{cutin}$는 시동풍속, $v_{cutout}$는 정지 풍속, $v_{rated}$는 정격 풍속으로 11
m/s이다. $f_{p}(v)$는 풍속 구간별로 정의된 정규화 파워커브 함수로 정격 풍속 이상에서는 1의 값을 가진다.
본 논문 사용한 풍속 프로파일은 다중 주기 중첩 사인파를 활용하였다. 식(3)에서 $v_{0} = 7 \text{ m/s}$는 평균 풍속이며, 장주기($T_{1} = 30\text{초}, A_{1} = 2\text{m/s}$),
중주기($T_{2} = 12\text{초}, A_{2} = 1.5\text{m/s}$), 단주기($T_{3} = 5\text{초}, A_{3} =
1\text{m/s}$)성분을 포함하여 풍속 변동 특성을 반영하였으며, 풍속 범위는 약 3.5~10.5 m/s 영역에서 운전되도록 설정하였다.
재생에너지 출력변동에 따른 주파수 안정화 효과를 분석하기 위해 풍속 감소 기능을 구현하였다. 사용자가 지정한 풍속급변시점($t_{drop}$)에서
급변 지속 시간($T_{drop}$)동안 출력을 변경하여 급격한 풍속 감속 변화를 반영할 수 있도록 하였다. $\alpha_{drop}$는 풍속감소
계수를 의미하며, 0.5일 때 출력이 50% 급감하는 상황을 반영한다.
(2) ESS 페더레이트
ESS 페더레이트는 기본적으로 풍력 출력변동을 평탄화하기 위한 피크쉐이빙 제어를 수행한다. 목표 전력 $P_{target}$을 설정하고, 풍력 출력
$P_{wind}$가 이를 초과하면 충전, 미달하면 방전하여 계통에 공급되는 순 전력을 안정화한다. 여기서 $P_{target}$은 목표전력, $P_{max,ch}$는
최대 충전 전력, $P_{max,dch}$는 최대 방전 전력이다. ESS 출력은 음수일 때 충전, 양수일 때 방전을 의미한다.
SOC(State of Charge)는 식(6)과 같이 계산되며, $E$은 ESS 에너지 용량(kWh), $\Delta t$는 시간 간격(h)이며, 최소·최대 SOC는 0.1~0.9로 제한하였다.
(3) 계통 페더레이트
계통 페더레이트는 OpenDSS 기반 전력 조류 계산과 스윙 방정식 기반 동적 주파수 모델을 통합하여 구현하였다. 플랫폼은 사용자가 배전망 모델,
등가 관성 상수, 감쇠 계수, 기준 용량 등을 설정할 수 있으며, 본 논문에서는 배전계통 환경에서 주로 활용되는 IEEE 13-bus 배전망 모델을
사용하였다[13]. OpenDSS는 배전계통의 정상상태 전력조류계산을 수행하는 데 사용되며, 풍력 및 ESS 출력은 DER 합계로 지정된 버스에 주입된다. 시뮬레이션
스텝마다 계산결과를 기반으로 계통의 전력 불균형($\Delta P$)을 산정하고, 스윙 방정식 기반 주파수 동특성 모델과 연계하였다. 주파수 동특성은
식(7)의 스윙 방정식을 이용하여 모델링하였다[14]. $f$는 계통 주파수, $f_{0}$=60Hz는 정격 주파수, $H_{eq}$=5.0s는 등가 관성 상수, $S_{BASE}$=MVA는 계통 기준
용량, $D$=1.0로 주파수 감쇠 계수, $\Delta P$는 전력불균형(MW)이다.
배전계통은 상위 송전계통과 연계되어 운용되므로, 재생에너지 출력변동이 계통 주파수에 미치는 영향은 상위계통의 관성과 주파수 지지 능력에 따라 달라진다.
이를 반영하기 위해 계통 강도 계수 $k_{grid}$를 도입하여, 전력 불균형을 다음과 같이 반영하였다. 여기서 $P_{DER}(t) = P_{wind}(t)
+ P_{ESS}(t)$는 현재 시점의 DER 출력이며, $P_{DER}(0)$는 초기 정상상태 출력이다.
$k_{grid}$는 계통 강도 계수($0 < k_{grid} < 1$)로, 값이 작을수록 상위계통의 주파수 지지 능력이 강함을 의미한다. 본 논문에서
$k_{grid}$를 0.05로 설정하여 DER 변동의 5%가 주파수에 영향을 주는 강계통 연계 상황을 가정하였다. 주파수 변화율(RoCoF)은 식(9)과 같이 정의된다. 여기서 $t_{spin}$은 초기 과도 구간을 제외한 분석 시작 시점으로, 초기 조건 불일치 및 전력 조류 수렴 구간을 배제하기
위해 5초로 설정하였다.
4. 시뮬레이션 결과 및 분석
본 절에서는 제안된 플랫폼의 주파수 안정화 분석 능력을 실증한다. 먼저 재생에너지 출력 급변이 계통 주파수에 미치는 영향을 확인하고, ESS 적용을
통한 주파수 완화 효과를 검증한 후, 다양한 파라미터에 대한 민감도 분석을 수행한다. 시뮬레이션은 60초 동안 수행하며, 풍력터빈 1 MW, ESS
500 kWh을 대상으로 설정하였다. 본 논문의 주파수 동특성 파라미터는 마이크로그리드 주파수 응답 연구[15]와 관성 추정 연구[16]를 참고하여 설정하였다. 등가 관성 상수($H_{eq} = 5.0s$)는 저관성 마이크로그리드와 대규모 계통 사이의 대표적인 값이며, 감쇠 계수($D
= 1.0$)는 스윙 방정식 기반 주파수 응답 해석에서 일반적으로 적용되는 값이다.
4.1 풍속 급변에 대한 주파수 변동분석
먼저, 풍력터빈만 연계된 상태에서 급격한 풍속 급감에 따른 주파수 변화를 확인하기 위해 $\alpha_{drop}$=0.5, $t_{drop}$=20초,
$T_{drop}$= 20초로 설정하였다. 그림 4는 풍속 급감소에 따른 풍력 출력과 주파수의 시계열 변화를 보여준다.
그림 4. 풍속 급변에 대한 출력, 주파수 응답 비교
Fig. 4. Output and Frequency Response Comparison for Sudden Wind Speed Changes
점진적 변화 케이스(그림 4(c), 파란색)에서는 자연 풍속 변화에 따라 주파수가 완만하게 변동하여 RoCoF가 3.7 mHz/s, 표준편차가 12.42로 나타냈다. 반면 급격한
변화 케이스(그림 4(c), 빨간색)에서는 풍력 출력이 급감하면서 RoCoF가 44 mHz/s로 1,089%, 표준편차가 18.43로 48.4% 증가하였다. 표 2는 풍속 변동 특성에 따른 주파수 성능을 비교한 것이다.
표 2. 풍속 급변 변동 특성에 따른 주파수 성능 비교
Table 2. Frequency Performance Comparison by Power Variation Characteristics
|
Case
|
$f_{max}$ (Hz)
|
$RoCoF_{max}$ (mHz)
|
표준편차
|
|
1) 풍속의 점진적 변화
|
60.0495
|
3.70
|
12.42
|
|
2) 풍속의 급격한 변화
|
60.0476
|
44.00
|
18.43
|
실제 계통에서 RoCoF 기반 보호계전기는 급격한 주파수 변화를 감지하여 발전기 탈락이나 부하 차단을 개시하므로, 높은 RoCoF는 연쇄적인 계통
불안정을 유발할 수 있다. 따라서 재생에너지 출력 급변에 대한 주파수 지지 대책으로서 ESS 도입의 필요성이 제기된다.
4.2 ESS 적용을 통한 주파수 완화 효과
ESS의 주파수 안정화 효과를 검증하기 위해, 동일한 풍속 급변 조건에서 ESS 유무에 따른 주파수 응답을 비교하였다. 그림 5는 ESS 적용 전후의 주파수 응답과 ESS 출력을 보여준다.
그림 5. ESS 적용 전후 출력, 주파수 응답 비교
Fig. 5. Output and Frequency Response Comparison before/after ESS Application
ESS가 적용된 경우(그림 5(b)), 피크쉐이빙 제어에 의해 풍력 출력 부족분을 ESS가 즉시 방전하여 보상하였고, 계통 주입 전력이 목표 전력 근처로 평탄화되어 ESS를 적용하기
전보다 RoCoF가 13.98 mHz/s로 68.2%, 주파수 표준편차가 5.22로 71.7% 각각 감소함을 확인하였다. 표 3은 ESS 적용 전후의 주파수 성능을 비교한 것이다.
표 3. ESS 적용 전후 주파수 성능 비교
Table 3. Frequency Performance Comparison before/after ESS Application
|
Case
|
$f_{max}$ (Hz)
|
$RoCoF_{max}$ (mHz)
|
표준편차
|
|
1) ESS 없음
|
60.0476
|
44.00
|
18.43
|
|
2) ESS 있음
|
60.0326
|
13.98
|
5.22
|
4.3 민감도 분석
제안된 플랫폼의 자동화된 민감도 분석 기능을 검증하기 위해, 주파수 안정화 성능에 영향을 미치는 주요 설계 파라미터들에 대한 체계적인 분석을 수행하였다.
분석 대상 파라미터는 풍속감소계수($\alpha_{drop}$)는 0.3, 0.4, 0.5, 용량($E$)는 300, 400, 500 kWh, 목표전력($P_{target}$)는
300, 400, 500 kW로 설정하였다. ESS의 최대 충·방전 전력은 계통 연계형 ESS에서 일반적으로 적용되는 C-rate 범위를 참고하여
용량의 0.5C로 제한하였다.
그림 6. ESS 용량에 따른 주파수 변동: (a)평균, (b)표준편차
Fig. 6. Frequency Variation by ESS Capacity: (a) Mean, (b) Std(Standard Deviation)
그림 6(a)에서 ESS 용량이 증가할수록 주파수 평균이 정상 주파수(60Hz)에 가까워지는 경향을 보였다. 그림 6(b)에서 ESS 용량이 증가할수록 주파수 표준편차가 최대 68% 감소(10.3 → 5.6)하여, 주파수 안정화 성능에 큰 영향을 미치는 파라미터임을 확인하였다.
그림 7. 풍속감소계수에 따른 주파수 변동: (a)평균, (b)표준편차
Fig. 7. Frequency Variation by Wind Reduction: (a) Mean, (b) Std (Standard Deviation)
그림 7(a)에서 풍속감소계수이 증가할수록 주파수 평균이 낮아지는 경향을 보였으며, 그림 7(b)에서 풍속감소계수가 30%에서 50%로 증가할수록 주파수 표준편차가 약 35% 증가(6.1 → 8.2)하여 풍속감소에 의한 변동폭이 클수록 주파수
표준편차 안정성에 영향이 있음을 확인하였다.
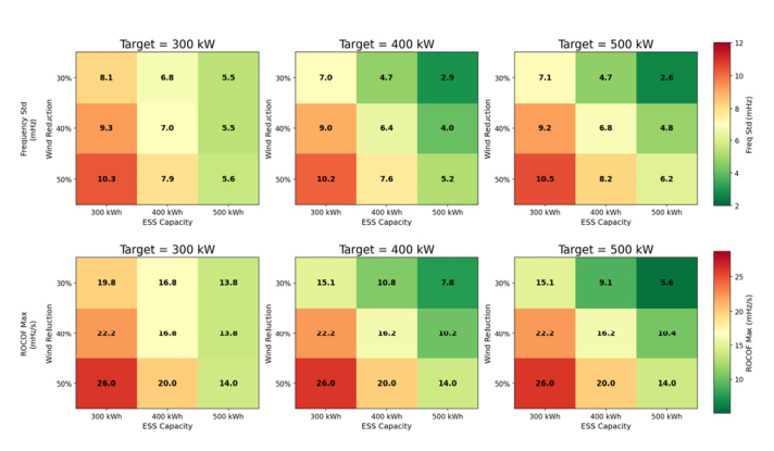
그림 8. 민감도 분석에 의한 주파수 히트맵
Fig. 8. Frequency Heatmap by Sensitivity Analysis
그림 8은 목표 전력, ESS 용량, 풍속감소계수의 조합에 따른 주파수 RoCoF 특성을 히트맵 형태로 나타낸 것이다. 분석 결과, ESS 용량이 증가할수록,
그리고 풍속감소계수가 낮을수록 RoCoF가 감소하는 경향이 관찰되었다. 또한 목표 전력이 증가할수록 전체적으로 RoCoF 수준이 낮아지는 특성을 보였으며,
이는 ESS의 가용 에너지 용량이 충분할수록 전력 불균형을 효과적으로 완화할 수 있음을 의미한다. 이러한 결과는 ESS 용량이 주파수 안정화 성능에
가장 큰 영향을 미치는 주요 설계 변수임을 시사한다.
본 연구의 시뮬레이션 결과는 IEEE 13-bus 마이크로그리드를 대상으로 한 기존 연구[17]에서 ESS 적용 시 주파수 변동이 감소한 결과와 정성적으로 일치한다. 본 연구에서 주파수 변동 폭이 상대적으로 작은 것은 계통 강도 계수(k_grid
= 0.05)를 적용하여 상위계통 연계 상황을 모사하였기 때문이다.
배전계통 운영 사업자는 자동화된 민감도 분석을 통해 수작업으로 수행하기 어려운 다수의 설계 대안을 체계적으로 비교 평가할 수 있으며, 현장 조건에
맞는 최적 ESS 설계안을 도출하는 데 활용할 수 있다.
5. 결 론
본 논문에서는 배전계통 운영 사업자가 프로그래밍 지식 없이도 ESS의 주파수 안정화 효과를 정량적으로 분석할 수 있는 웹 기반 Co-Simulation
플랫폼을 제안하였다. 제안된 플랫폼은 HELICS 기반 다중 페더레이트 구조와 스윙 방정식 기반 동적 주파수 모델을 통합하여, 재생에너지 출력 변동이
계통 주파수에 미치는 영향과 ESS의 주파수 완화 효과를 시뮬레이션할 수 있다. IEEE 13-bus 배전계통을 대상으로 한 사례 연구를 통해 다음의
결과를 도출하였다. 첫째, 풍력 출력 급감 시 ESS 적용을 통해 RoCoF가 44 mHz에서 13.98 mHz로, 주파수 표준편차가 18.43에서
5.22로 각각 감소하였다. 이는 ESS의 피크쉐이빙 제어가 계통 주입 전력을 평탄화하여 주파수 변동을 효과적으로 억제했기 때문이다. 둘째, 총 27개
케이스에 대한 민감도 분석 결과, ESS 용량이 300 kWh에서 500 kWh로 증가함에 따라 주파수 표준편차가 최대 68% 감소하는 것으로 나타났으며,
이는 ESS 용량이 주파수 안정화 성능에 중요한 설계 변수임을 시사한다. 셋째, 배전계통 운영자가 프로그래밍 지식 없이 웹 인터페이스를 통해 시뮬레이션을
구성하고 결과를 분석할 수 있어, HELICS 기반 도구의 기술적 진입장벽을 해소하였다.
본 논문의 한계점은 다음과 같다. 첫째, 실제 발전기의 거버너 응답, 터빈 동특성 등 상세한 동적 특성이 반영되지 않았다. 둘째, 도서 지역이나 마이크로그리드와
같은 약계통 조건에서의 성능은 추가 검증이 필요하다. 셋째, 풍속 변동에 의한 변동만을 고려하여 태양광과 풍력의 동시 출력변동 및 부하 급변 등 다중
DER 동시 변동 시나리오에 대한 분석이 수행되지 않았다. 향후 연구에서는 고도화된 발전기, 주파수 모델과 약계통 조건에서의 ESS 주파수 지지 효과
검증, 그리고 태양광·전기차 충전 부하 등 다양한 DER 페더레이트 확장 및 경제성을 고려한 다양한 시나리오 분석을 통해 플랫폼의 적용 범위를 확대
적용할 계획이다.
Acknowledgements
This work was supported by Korea Institute of Energy Technology Evaluation and Planning(KETEP)
grant funded by the Korea government (MOTIE) (RS-2023-00231709, Operation and demonstration
of grid-forming core technology for distributed energy grid access)
References
U. Akram, M. Nadarajah, R. Shah, F. Milano, 2020, A Review on Rapid Responsive Energy
Storage Technologies for Frequency Regulation in Modern Power Systems, Renewable and
Sustainable Energy Reviews, Vol. 120, pp. 109626

T. Hardy, B. Palmintier, P. Top, D. Krishnamurthy, J. Fuller, 2024, HELICS: A Co-Simulation
Framework for Scalable Multi-Domain Modeling and Analysis, IEEE Access, Vol. 12, pp.
24325-24347

Z. Wu, W. Gao, T. Gao, W. Yan, H. Zhang, S. Yan, X. Wang, 2018, State-of-the-Art Review
on Frequency Response of Wind Power Plants in Power Systems, Journal of Modern Power
Systems and Clean Energy, Vol. 6, No. 1, pp. 1-16

X. Deng, R. Mo, P. Wang, J. Chen, D. Nan, M. Liu, 2023, Review of RoCoF Estimation
Techniques for Low-Inertia Power Systems, Energies, Vol. 16, No. 9, pp. 3708

Y. Phulpin, M. Begovic, D. Ernst, 2021, Understanding the Impact of Network Topology
on Frequency Stability Considering Continuous Spatial-Temporal Disturbances from Wind
Generation, International Journal of Electrical Power & Energy Systems, Vol. 127,
pp. 106776

F. Ullah, X. Zhang, M. Khan, M. S. Mastoi, H. M. Munir, A. Flah, Y. Said, 2024, A
Comprehensive Review of Wind Power Integration and Energy Storage Technologies for
Modern Grid Frequency Regulation, Heliyon, Vol. 10, No. 9, pp. e30466

H. S. Salama, A. Ali, K. Mahmoud, 2025, Adaptive Control for Microgrid Frequency Stability
Integrating Battery Energy Storage and Photovoltaic, Scientific Reports, Vol. 15,
pp. 43839

H. Oliva, D. Bahamonde, 2024, Trade-off between Frequency Stability and Renewable
Generation – Studying Virtual Inertia from Solar PV and Operating Stability Constraints,
Renewable Energy, Vol. 232, pp. 120922

Bryan Palmintier, 2017, Design of the HELICS high performance transmission – distribution
- communication - market co-simulation framework

R. Dugan, 2023, OpenDSS Manual Available: https://sourceforge.net/projects/electricdss/

P. Kundur, 1994, Power System Stability and Control

2022, Wind Energy Generation Systems – Part 12-1: Power Performance Measurements of
Electricity Producing Wind Turbines

William H. Kersting, 1991, Radial distribution test feeders, IEEE Transactions on
Power Systems, Vol. 6, No. 3, pp. 975-985

P. Kundur, J. Paserba, V. Ajjarapu, G. Andersson, A. Bose, C. Canizares, 2004, Definition
and Classification of Power System Stability, IEEE Transactions on Power Systems,
Vol. 19, No. 2, pp. 1387-1401

W. Wang, X. Fang, H. Cui, F. Li, Y. Liu, T. J. Overbye, 2022, Transmission-and-Distribution
Dynamic Co-Simulation Framework for Distributed Energy Resource Frequency Response,
IEEE Trans. Smart Grid, Vol. 13, No. 1, pp. 482-495

U. Tamrakar, D. A. Copp, T. A. Nguyen, T. M. Hansen, R. Tonkoski, 2021, Real-Time
Estimation of Microgrid Inertia and Damping Constant, IEEE Access, Vol. 9, pp. 120530-120540

D. Peng, S. Lee, S. Choi, 2025, Renewable-Integrated Agent-Based Microgrid Model with
Grid-Forming Support for Improved Frequency Regulation, Mathematics, Vol. 13, No.
19, pp. 3142

저자소개
He received his BS (2013) from the Industrial Engineering, Ajou University and MS
(2024) from BigData Engineering, Sungkyunkwan University. He is presently a Researcher
of Energy IT Convergence Research Center of Korea Electronics Technology Institute.
His research interests include reusable energy, Co-Simulation, Big data analysis
He received his BS (2015) from the Mechanical Engineering, Korea University and PhD
(2021) from IT Convergence Engineering, POSTECH. He is presently a Senior Researcher
of Energy IT Convergence Research Center of Korea Electronics Technology Institute.
His research interests include Battery, Big data analysis, digital twin.
He received his BS (2019) from the Department Of Computer Science, Hanyang University.
He is presently a Senior Researcher of Energy IT Convergence Research Center of Korea
Electronics Technology Institute. His research interests include energy prediction
and control, Big data analysis
He received his MS (2000) from the Computer Science Engineering, Kwang Woon University
and PhD (2017) from Management of Technology, Yonsei University. He is presently a
Principal Researcher of Korea Electronics Technology Institute. His research interests
include energy prediction and control, Big data analysis
He received his BS (2008) from the Computer Science Engineering, Kwang Woon University
and MS (2011) from Computer Science Engineering, Soong Sil University. He is presently
a Principal Researcher of Energy IT Convergence Research Center of Korea Electronics
Technology Institute. His research interests include energy prediction and control,
Big data analysis