임채원
(Chaewon Lim)
1
오인수
(Insoo Oh)
2
권서현
(Suh-hyun Kwon)
3
박병용
(Beungyong Park)
4†
-
국립한밭대학 공과대학 건축설비시스템공학과 학사과정
(Bachelor’s course student, Department of Building Systems Engineering, Hanbat National
University, Daejeon, 34158, Korea)
-
국립한밭대학 공과대학 건축설비시스템공학과 석사과정
(Master’s course student, Department of Building Systems Engineering, Hanbat National
University, Daejeon, 34158, Korea)
-
목원대학교 공과대학 건축학과 겸임교수
(Adjunct professor, Division of Architecture, Mokwon University, Daejeon, 35349, Korea)
-
국립한밭대학 공과대학 건축설비시스템공학과 부교수
(Associate professor, Department of Building Systems Engineering, Hanbat National University,
Daejeon, 34158, Korea)
Copyright © Society of Air-Conditioning and Refrigeration Engineers of Korea
키워드
냉방장치, 냉방 계절 성능계수, 성능 데이터, 가중 회귀분석
Key words
Cooling system, CSPF, Performance data, Weighted regression analysis
기호설명
adj $R^{2}$:조정된 결정계수
$n$:독립변수의 데이터 개수
$k$:회귀식의 독립변수 개수
$SSE$:실제값과 예측값 사이의 오차값
$SST$:실제값과 실제 평균값 차이의 총제곱합
$APE$:절대 백분율 오차값 [%]
$y_{i}$:CSPF 실제값
$\hat{y_{i}}$:CSPF 예측값
$APE_{avg}$:절대 백분율 오차의 평균값 [%]
$y_{f}^{(w)}$:가중치가 적용된 미래 CSPF 예측값
$w$:가중치
$APE_{f}$:가중치가 적용된 절대 백분율 오차의 미래 예측값 [%]
$y_{i}^{(w)}$:가중치가 적용된 CSPF 실제값
$\hat{y_{i}^{(w)}}$:가중치가 적용된 CSPF 예측값
1. 서 론
최근 지구온난화로 인한 기후변화가 가속화되면서 정부는 저탄소사회 실현을 위하여 제로에너지건축물(Zero Energy Building, ZEB) 확산
정책을 적극 추진하고 있다. 최근, 대한민국을 포함한 중위도 국가에서는 여름철 평균 기온이 상승하고, 냉방 수요가 발생하는 계절의 길이 또한 점차
연장되는 양상을 보이고 있다. 이러한 배경 속에서 건물 부문 에너지 소비의 상당 부분을 차지하는 전기 냉방기의 사용 빈도와 소비전력은 지속적으로 증가하고
있으며, 국가 단위의 에너지 수급 안정성과 탄소배출 감축에 있어 중요한 이슈로 부각되고 있다. 다음은 ZEB 활성화를 위한 정부의 제도 부분에 대한
검토 내용이다.
국토교통부는 2025년 30세대 이상 민간 공동주택도 5등급 수준(연간 단위 면적당 1차 에너지 소요량 90 미만 kWh/m2년)의 설계를 수행하도록 법령을 강화하였다.(1) ZEB 실현을 위해서는 건물의 외피, 창호, 기밀 성능 향상을 통한 에너지 요구량 절감과 냉난방 설비, 환기, 급탕, 조명 등의 고효율 기술 적용을
통한 에너지 소요량 절감이 동시에 이루어져야 한다.(2) 기존의 ZEB 성과 확산을 위해서 주요 요소 기술로 단열재 및 창호의 성능 기준을 지속적으로 강화해왔다.(3,4) 그러나 건축물의 에너지절약설계 기준(국토교통부 고시제2024-1026호)의 공동주택에 설치되는 난방기기, 냉방기기, 급탕기기는 고효율 제품 또는
이와 동등 이상의 효율을 가진 제품을 설치하도록 권장하고 있다.
즉, 냉방 설비는 단열재나 창호와 달리 의무적인 최소 성능 기준이 아닌 권고 수준으로 제시되고 있어, 실제 설치되는 제품 간 성능 편차가 발생할 수
있다. 특히, 공동주택을 포함한 ZEB에서 주요 냉방 기술로 활용되는 히트펌프형 에어컨디셔너는 에너지 절감 및 온실가스 저감에 직접적인 영향을 미치는
핵심 설비이지만, 설치 연도 및 제품 유형에 따라 에너지 효율의 변화 폭이 크다. 이에 따라 공공 에너지기자재 데이터베이스(효율 관리기자재 등)에
축적된 전기 냉방기의 성능 데이터를 기반으로, 시간 흐름(연도)과 용량 구간에 따른 성능 변화 추이를 체계적으로 분석할 필요가 있다. 본 연구와 같은
예측 모델을 통해, 향후 제로에너지건축물 설비 계획 시 고효율 냉방 설비의 보급 확대가 건물 전체 에너지 소요량에 미치는 절감 효과를 정량적으로 평가하고
예측할 수 있는 기반을 마련할 수 있다. 본 연구는 국내 보급된 전기 냉방기의 연도별 성능변화추이를 분석하고 용량 구간별 성능 변화 특성을 도출한다.
이를 통해 효율 개선 경향을 반영한 다중 회귀 모델을 통해 시간(연도) 함수에 따른 효율 변화추이를 예측모델을 제안하고자 한다.
2. 기존 연구의 고찰
본 연구와 연관이 있는 선행 연구를 조사하였다. Lork et al.(5)는 주거용 전기 냉방기의 제품마다 전력 소비량이 다르기에 적합한 회귀 모델 도출을 진행하였으며, 전기 냉방기 사용 30분 후와 하루 전 전력 소요량
예측에서 정확도가 높은 회귀 모델을 개발하였다. Zhang(6)은 냉방 에너지 효율을 향상하여 성능을 최적화하기 위해 냉방 부하를 예측하는 회귀 모델 개발을 진행하였다. 메타휴리스틱 최적화 알고리즘 기반 가우시안
프로세스 회귀(GPWD, Gaussian process regression with weevil damage optimization algorithm)
모델이 가장 적합도가 높은 성능을 나타냈다. GPWD는 가우시안 프로세스 회귀 모델(GPR, Gaussian process regression)과
메타휴리스틱 최적화 기법(WDOA, Weevil damage optimization algorithm)이 결합 된 분석 기법으로 복잡하고 불규칙적인
예측에 최적화된 기법이다. Wang(7)은 전기 냉방기의 전력 소비량과 지역별 기온과의 상관관계를 분석하여 기온에 따른 소비전력을 예측하는 모델을 분석 및 개발을 진행하였다. k-평균 클러스터링
알고리즘을 통해 다중 분류 지역별 에어컨 에너지 소비 모델을 개발하였으며, 높은 정확도를 확인하였다. k-평균 클러스터링 알고리즘은 여러 회귀 변수를
공통적인 특징을 가진 변수들을 자동으로 정리하여 더 정확한 예측을 도와주는 알고리즘이다. Guo and Zhao(8)는 주거용 건물의 에너지 절약과 비용 절감을 위해 전기 냉방기 단기 부하 예측 모델 개발을 진행하였다. 평균 절대 오차와 평균 절대 백분율 오차에서
단기 부하 예측 정확도가 높은 모델을 개발하였다. Samhitha et al.(9)은 에너지사용량 최적화를 목적으로 냉난방 시스템을 효과적으로 관리하기 위해 냉난방 부하를 예측하는 여러 회귀 모델을 적용하여 가장 적합한 모델을 분석하였다.
여러 회귀 모델의 장단점을 정리하였으나, 가장 적합한 회귀 모델은 도출에 추가적인 비교 분석이 필요한 것으로 판단하였다. Liu et al.(10)은 중국의 도시화가 진행되며 건물 에너지사용량이 지속적으로 증가하는 추세를 파악하였으며, 중국의 전력 시스템에서 특정 시간 때에 소비전력이 급증하는
피크 부하가 주요 원인으로 확인하였다. 공조 부하를 파악하기 위해 자동 회귀 이동 평균(ARMA, Auto regressive moving average)
모델을 이용하였으며, 냉방 부하와 온도의 상관관계를 분석하여 선형회귀를 사용하였다. 학습된 모델을 사용하여 부하 예측을 진행하였으며, 높은 적합도를
확인하였다. Yu et al.(11)은 상업용 냉방기의 에너지소비량이 많은 부분을 파악하였으며, 예측에 적합도가 높은 모델을 도출하여 에너지관리 개선을 위해 연구를 진행하였다. 회귀
모델은 능선 회귀 시스템 성능 계수(SCOP, Seasonal coefficient of performance)가 가장 적합한 회귀 모델로 확인하였으며,
SCOP를 사용하여 7월이 에너지관리 개선 가능성이 가장 높은 기간으로 파악하였다. 선형 연구를 조사하며 연도와 소비전력에 따른 CSPF를 예측하는
회귀 모델 개발은 진행되지 않은 것으로 파악하였다.
3. 전기냉방기의 국내외 성능 현황 분석
3.1 국내외 전기냉방기의 제도적 범위와 CSPF 최대성능 현황
각국은 에너지 절약 정책의 일환으로 전기 냉방기의 에너지 효율을 향상시키기 위해 라벨링 제도 및 규제 기준을 운영하고 있다. 이러한 제도는 표준화된
시험 조건과 방법을 통해 제품의 냉방 성능을 측정하고, 이를 기반으로 효율 등급을 분류함으로써 소비자가 고효율 제품을 선택할 수 있도록 유도하는 역할을
한다.
본 절에서는 각국의 에너지 효율 라벨링 제도에서 관리하는 냉방 용량의 범위와 고효율 제품의 성능 현황을 조사하였다.(12) Fig. 1은 국가별 전기 냉방기에 대해 에너지 효율 관리가 적용되는 최대 냉방 용량의 범위를 비교한 결과이다. 한국의 경우, 주거용 및 사무용을 포함하여 최대
23 kW급 제품까지 에너지 효율 관리 대상에 포함되는 반면, 일본은 주택용 냉방기에 한해 최소 6 kW급 제품부터 라벨링 제도 대상에 포함하고 있다.
이는 국가별로 건축물 유형과 냉방 수요 특성에 따라 냉방 설비의 에너지 효율 관리 범위가 상이함을 시사한다. 또한 본 연구와 관련된 성능 지표인 냉방
기간 에너지소비효율(CSPF, Cooling seasonal performance factor)의 국가 간 변화를 비교하기 위해, 실제 판매된 제품
중 각국 규제 기준을 만족하는 최고 효율 제품을 냉방 용량별로 정리하였다. Fig. 2는 냉동톤(RT) 단위로 정리한 각 냉방 용량 구간에서의 최고 CSPF 값을 도시한 결과이다. 분석 결과, 대한민국을 제외한 다른 국가에서는 냉방
용량이 증가함에 따라 CSPF 수치가 점진적으로 감소하는 경향을 보였다. 이는 고용량 냉방기의 효율 개선이 상대적으로 제한적임을 나타내며, 향후 고용량
구간에 대한 효율 개선 기술의 필요성을 시사한다.
Fig. 1 National regulatory frameworks for small electric air conditioners.
Fig. 2 Efficiency of top-performing small electric air conditioners sold by country.
4. 연구 방법
본 연구의 데이터 분석을 위하여 한국에너지공단 효율 관리 제도 공개데이터를 활용하였다.(13) 조사한 제품 수량에서 일반 및 네트워크 제품을 연도와 용량별로 정리하였으며, 연도는 Fig. 3, 용량은 Fig. 4에 정리하였다. 일반제품은 사용자가 직접 조작하는 방식으로 외부의 간섭이 없는 수동 제어를 의미하며, 네트워크 제품은 외부 신호를 받는 중앙 원격
제어 방식으로 자동 온습도 조절이 가능한 스마트 기능이 있는 제품을 의미한다. 또한 네트워크 제품의 스마트 자동 조절 기능으로 인해 에너지 손실이
일반제품보다 낮아 냉방 효율에 차이점이 있기에 각각 분석을 진행하였다. 정리한 데이터의 정제 및 분류 작업은 전기 냉방기의 개발 연도와 냉방 용량으로
실시하였으며, 비정형값과 결측값은 제거하였다. 다중 회귀 모델 분석 실행을 위해 필요한 변수 정보에서 종속변수는 CSPF 독립변수는 연도와 냉방 기간
소비전력으로 설정하였으며, 최빈값을 기준으로 실시하였다. 변수를 설정한 이유는 냉방 성능이 시간의 흐름에 따라 냉방 기간 소비전력의 변화를 파악하여
미래의 전기 냉방기 성능 경향 예측을 위해 진행하였다. 최빈값 기준으로 실시한 이유는 최솟값과 최댓값으로는 수요가 명확하지 않으며, 과해석으로 판단할
우려가 있기에 가장 많이 생산된 제품인 최빈값으로 비교를 진행하였다. 본 방법으로 산출된 값을 조정된 결정계수, P-값, 절대 백분율 오차 순으로
비정상 값이 산출된 구간은 제거하며 비교 분석을 진행하였다. 최종적으로 가장 적합한 다중 회귀 모델을 도출하여 실제값과 예측값을 비교하였다.
Fig. 3 Annual survey quantity of standard and network electric air conditioner products.
Fig. 4 Capacity-based survey quantity of standard and network electric air conditioner
products.
본 데이터 정리는 일반 및 네트워크 제품의 개발 경향을 파악하기 위해 연도와 용량별로 정리를 진행하였다. Fig. 3에서 2016년도에서 일반 및 네트워크 제품의 개수가 급변하였다. 이유는 2017년도 네트워크 제품 의무화 정책의 영향으로 인한 정책 시행 사전 고지를
통해 생산을 미리 변경한 것으로 판단된다. 또한, 일반제품은 2022년 이후로 생산이 저조한 것으로 확인되며, 네트워크 제품의 경우 개발된 제품 수가
줄어드는 이유로는 최적의 기술을 유지하고 있는 것으로 판단된다. 그러나 최적의 성능을 유지한 2024년 이후 2025년도의 제로에너지건축물 정책의
설비 규제가 적용되며 다시 제품의 개발이 진행되는 것으로 판단된다. Fig. 4에서 일반제품이 가장 많이 개발된 구간은 1.75<x≤2RT로 확인하였으며, 네트워크 제품은 2<x≤2.25RT로 확인되며, 네트워크 제품의 2<x≤2.25RT
구간의 수요가 가장 많은 것으로 판단된다.
4.1 국내 3RT급 이하 전기 냉방기의 성능 DB분석
국내에서 개발된 전기 냉방기의 CSPF 변화를 파악하기 위해 일반제품과 네트워크 제품으로 구분하여 각 연도에 따라 CSPF의 최빈값, 최솟값, 최댓값의
분석을 진행하였다. 일반 및 네트워크 제품을 냉방 용량에 따라 전기 냉방기의 CSPF를 Fig. 5(a) ~ Fig. 7(b)로 나타내었다.
CSPF의 변화를 분석했을 때 일반제품은 2017년도의 네트워크 제품의 의무화 정책이 시행되었으며, 사전 정책 고지로 인해 2016년도 이후로 제품
생산이 급감한 부분을 확인하였다. 일반제품의 x≤1RT 구간의 경우에는 2022년까지 개발이 진행되었으며 일반제품의 전 구간은 2022년 이후로 제품
생산이 네트워크 제품으로 전환된 것으로 파악된다. 일반제품의 냉방 성능은 1<x≤2RT 구간에서 각 냉방 용량의 최소와 최대의 범위가 넓은 것을 확인하였으며,
수요가 많은 구간으로 파악된다. 네트워크 제품은 x≤1RT을 제외한 전 구간에서 2013년도부터 개발이 진행된 것을 확인하였으며, x≤1RT 구간의
제품은 2017년도 네트워크 제품 의무화 정책으로 개발이 진행된 것으로 확인하였다. 네트워크 제품의 2<x≤3RT 구간에서 각 냉방 용량의 최소와
최대의 범위가 넓은 것을 확인하였으며, 수요가 많은 구간으로 파악된다. 또한, 수요가 가장 많은 네트워크 제품의 2<x≤3RT 구간에서 제품의 범위가
시간이 지남에 따라 좁아지는 경향을 보았을 때, 최적의 냉방 성능을 유지하는 상황으로 파악된다. 위의 고찰과 같이 Fig. 5(a) ~ Fig. 7(b)까지 각 연도별 CSPF의 범위가 크게 분포하는 건 다수의 회사의 기술력 차이에 따라 CSPF의 성능차이가 발생된 것으로 고찰되며, 네트워크 제품이
보급되는 2018년 이후 효율의 증가 또는 증가 수렴이 나타나지 않은 것은 제조사별 기술격차가 해소되어 유사한 수준의 전기냉방기를 생산할 수 있는
것으로 판단된다. 본 연구의 한계성으로 공개된 성능 DB를 활용하였기에 전기냉방기 성능에 영향을 미치는 기술적인 열교환기, 히트펌프, 냉매종류 등에
따른 제품의 요소기술단위의 성능변화 분석은 진행할 수 없었다.
Fig. 5 CSPF of electric air conditioners (x≤1RT).
Fig. 6 CSPF of electric air conditioners (1<x≤2RT).
Fig. 7 CSPF of electric air conditioners (2<x≤3RT).
4.2 조정된 결정계수
조정된 결정계수는 변수의 개수보다 데이터 개수가 더 적을 때 발생하는 과적합과 변수의 개수와 데이터 개수가 일치할 때 발생하는 잔차 자유도의 값 0의
발생 우려를 방지하기 위한 회귀 모델의 적합도를 설명하는 수치다. 식(1)은 조정된 결정계수의 산출식이며, 실제값과 예측값 사이의 오차 제곱합(SSE, Sum of squared errors)과 실제값과 실제 평균값 차이의
총제곱합(SST, Total sum of squares)을 나눈 후 회귀 모델의 데이터 수(n)와 변수의 개수($k$)의 차이를 구하는 산출식이다.
조정된 결정계수의 값이 1에 근접할수록 높은 적합도를 나타낸다. 본 연구 또한 변수의 데이터 수가 적을 때 발생하는 과적합을 방지하기 위해 조정된
결정계수를 사용하였다.
4.3 통계의 P-값
P-값은 회귀 모델의 독립변수 상관관계를 수치로 나타낸 지표이며, P-값이 0.05와 같거나 작을수록 독립변수가 해당 다중 회귀 모델의 연관성이 높은
변수인 것을 의미한다. 본 연구에서는 P-값 또한 조정된 결정계수와 같이 변수의 개수와 데이터 개수의 영향을 파악하기 위해 비교 분석을 진행하였다.
조정된 결정계수에서 정상값으로 산출된 구간만 분류하여 정상값 중에서 독립변수의 계수가 P-값에 만족하는 구간을 독립변수로 설정한 연도와 소비전력의
계수로 정리하였다.
4.4 오차율
다중 회귀 모델의 변수가 실제값이 아닌 미래 예측값을 적용하였을 때 다중 회귀 모델의 신뢰도를 파악하기 위한 분석이 필요하다고 판단하였다. 이에 본
연구에서 오차율 비교 분석을 사용하였으며, 오차가 작을수록 신뢰도가 높은 모델을 의미한다. P-값이 적합한 구간의 실제값과 미래 예측값을 다중 회귀
모델에 적용하여 오차의 비교 분석을 진행하였다.
4.4.1 절대 백분율 오차
절대 백분율 오차는 실제값과 다중 회귀 모델에 산출된 예측값의 오차를 절댓값으로 구한 후 백분율로 나타낸 산출식이다. 수치가 0에 가까울수록 적합한
다중 회귀 모델을 설명한다. 식(2)는 절대 백분율 오차 산출 식이며, 본 연구에서는 실제 데이터의 오차율을 비교하여 가장 적합한 회귀 모델을 도출하기 위해 각 용량 구간의 연도마다
절대 백분율 오차를 적용하여 분석을 진행하였다.
4.4.2 가중치 절대 백분율 오차
가중치 절대 백분율 오차는 종속변수와 독립변수에 가중치를 적용한 미래 예측값으로 설정하여 절대 백분율 오차로 분석하는 방법이다. 본 연구에서는 실제값이
아닌 미래 예측값을 적용했을 때도 적합도가 가장 높은 회귀 모델을 도출하기 위해 가중치 절대 백분율 오차 분석을 진행하였다. 가중치는 최근 실제값의
데이터에서 종속변수의 CSPF와 독립변수의 소비전력에 1년 뒤와 2년 뒤를 각각 5%와 10%로 설정하여 비교 분석을 진행하였다. 식(3)은 가중치를 적용한 미래 예측값의 절대 백분율 오차 산출 식이며 미래 예측값을 다중 회귀 모델에 분석하였을 때 모델의 신뢰도를 판단하기 위해 진행하였다.
4.4.3 실제값과 미래 예측값의 오차율 비교 분석
본 분석은 실제값의 절대 백분율 오차 평균을 산출하고 미래 예측값의 절대 백분율 오차와의 차이를 비교하여 다중 회귀 모델이 예측값을 사용하였을 때의
신뢰도를 평가하기 위해 진행하였다. 식(4)는 각 용량 구간의 연도마다 계산한 절대 백분율 오차의 전체 평균 산출식이다. 식(5)은 미래 예측값의 오차율과 실제값의 전체 평균 오차율의 차이를 구하는 산출식이다.
5. 연구 결과
5.1 조정된 결정계수 비교 분석 결과
Table 1은 회귀분석 진행을 위해 사용된 변수의 최빈값 데이터 수를 용량별로 정리한 자료이며, 데이터 수가 적은 구간은 비정상적인 수치 발생 또는 산출 불가능한
이유로 배제하였다. 여러 다중 회귀분석을 진행하여 조정된 결정계수가 정상적으로 산출된 구간의 신뢰도 수치를 파악하기 위해 일반 및 네트워크 제품으로
구분하여 Fig. 8과 Fig. 9로 나타내었다. Table 1에서 조정된 결정계수의 적합도가 데이터 수와의 연관성을 파악하기 위해 회귀 변수 최빈값의 데이터 개수 정리를 진행하였다. 일반 제품에서 데이터 개수가
가장 많은 구간은 0.5<x≤0.75로 확인되며, 네트워크 제품은 2<x≤2.25와 2.25<x≤2.5로 확인된다. 또한, 일반 제품의 데이터 개수는
냉방 용량이 1RT 이하의 구간에 밀집된 것으로 확인되며, 네트워크 제품은 1.75RT 이상의 구간에 밀집된 것으로 확인된다. 이에 대해 조정된 결정계수는
변수의 개수가 적을 때 과적합 해석 방지가 가능하나 데이터 개수가 적을 때 과적합 해석은 방지할 수 없는 단점이 있다. 일반제품과 네트워크 제품의
데이터 개수를 정리했을 때, 데이터 수가 적은 구간이 다수 확인되어 신뢰도가 낮을 우려가 있는 구간이 다수 확인되었다.
Fig. 8 Adjusted R-squared of standard products.
Fig. 9 Adjusted R-squared of network products.
Table 1 Number of data points used for regression analysis of standard and network
products
|
Category
|
x≤0.5
(RT)
|
0.5<x
≤0.75
(RT)
|
0.75<x
≤1
(RT)
|
1<x≤
1.25
(RT)
|
1.25<x
≤1.5
(RT)
|
1.5<x
≤1.75
(RT)
|
1.75<x
≤2
(RT)
|
2<x≤
2.25
(RT)
|
2.25<x
≤2.5
(RT)
|
2.5<x
≤2.75
(RT)
|
2.75<x
≤3
(RT)
|
|
Standard product
|
1
|
7
|
6
|
4
|
4
|
4
|
5
|
3
|
3
|
2
|
1
|
|
Network product
|
1
|
3
|
3
|
2
|
1
|
4
|
11
|
13
|
13
|
10
|
1
|
분석 결과, Table 1에서 데이터 개수가 4개가 이하인 구간은 조정된 결정계수의 수치가 1 또는 데이터 개수와 변수의 개수가 같을 때 발생하는 잔차 자유도의 값이 0으로
산출되어 회귀분석이 불가능하였으며, 그 외의 구간은 1 또는 1에 근접한 결과를 확인하였다. 그러나 데이터 개수가 4개 이하의 구간이 반드시 과적합으로는
판단할 수 없으며, 데이터 개수가 4개 이상인 구간의 조정된 결정계수 값 또한 1이 산출되었기에 전 구간 과적합 해석의 우려가 있는 것으로 판단하였다.
따라서 조정된 결정계수 분석만 진행하여 얻은 결과로는 다중 회귀 모델의 적합도를 신뢰할 수 없다고 판단된다.
5.2 P-값 비교 분석 결과
조정된 결정계수가 정상적으로 산출된 구간에서 독립변수 계수가 P-값 조건을 만족하는 적합한 회귀 모델을 산출하기 위해 본 분석을 진행하였다. 분석
결과, 다중 다항식 회귀 모델의 독립변수의 P-값은 정상값으로 산출되었으나 전 구간에서 독립변수 중에서 연도의 P-값은 0.05보다 낮은 조건을 만족하지
않아 배제하였다. 회귀 모델과 독립변수의 연관성을 파악하기 위해 P-값의 결과를 각 회귀 모델마다 독립변수에서 β1은 연도 β2는 계절 평균 소비전력으로
정리하였고 용량별로 구분하였으며, 일반제품과 네트워크 제품으로 각각 정리한 P-값을 Table 2와 Table 3으로 나타내었다. 일반제품과 네트워크 제품으로 구분하여 P-값을 정리한 Table 2와 Table 3의 분석 결과, 일반과 네트워크 제품 대부분이 변수를 연도로 설정하였던 $\beta_{1}$의 P-값 수치가 0.05보다 높은 결과를 확인하였으며
연도를 변수로 설정하였을 때 신뢰도 저하 발생을 확인하였다. 본 연구에서는 시간의 흐름에 따라 성능 변화 예측이 가장 적합한 회귀 모델을 도출하기
위해 진행하였으며, 연도의 변수를 배제하는 방법은 적합하지 않은 것으로 판단되었다. 이에 P-값 분석 방법을 진행하였을 때 다중 다항식 회귀 모델은
연도와 냉방 기간 소비전력 모두 P-값이 적합하지 않은 모델로 확인되었으나, 다중 다항식을 제외한 냉방 기간 소비전력의 P-값을 만족하는 회귀 모델이
많기에 차이점을 추가로 조사하여 더 적합한 회귀 모델 분석을 진행하였다.
Table 2 Regression statistical p-value analysis of standard product (P≤0.05)
|
Category
|
Variable
|
Linear regression
|
Exponential
regression
|
Logarithmic
regression
|
Power regression
|
|
0.5<x≤0.75(RT)
|
β1
|
0.954
|
0.86
|
0.832
|
0.742
|
|
β2
|
0.002
|
0.002
|
0.004
|
0.003
|
|
0.75<x≤1(RT)
|
β1
|
0.022
|
0.024
|
0.024
|
0.026
|
|
β2
|
0.002
|
0.002
|
0.002
|
0.002
|
|
1<x≤1.25(RT)
|
β1
|
0.501
|
0.505
|
0.999
|
0.504
|
|
β2
|
0.15
|
0.179
|
-4.061
|
0.182
|
|
1.25<x≤1.5(RT)
|
β1
|
0.393
|
0.394
|
0.38
|
0.371
|
|
β2
|
0.043
|
0.028
|
0.023
|
0.008
|
|
1.75<x≤2(RT)
|
β1
|
0.036
|
0.045
|
0.041
|
0.051
|
|
β2
|
0.012
|
0.017
|
0.015
|
0.021
|
Table 3 Regression statistical p-value analysis of network products (P≤0.05)
|
Category
|
Variable
|
Linear regression
|
Exponential
regression
|
Logarithmic
regression
|
Power regression
|
|
1.5<x≤1.75(RT)
|
β1
|
0.547
|
0.551
|
0.527
|
0.408
|
|
β2
|
0.073
|
0.039
|
0.035
|
3.99E-16
|
|
1.75<x≤2(RT)
|
β1
|
0.446
|
0.366
|
0.375
|
0.326
|
|
β2
|
3.70E-06
|
1.40E-06
|
3.08E-06
|
1.67E-06
|
|
2<x≤2.25(RT)
|
β1
|
0.177
|
0.865
|
0.753
|
0.323
|
|
β2
|
4.10E-09
|
2.18E-09
|
2.65E-09
|
3.07E-09
|
|
2.25<x≤2.5(RT)
|
β1
|
0.028
|
0.042
|
0.02
|
0.07
|
|
β2
|
1.00E-09
|
1.79E-11
|
6.87E-12
|
4.95E-15
|
|
2.5<x≤2.75(RT)
|
β1
|
0.001
|
0.001
|
0.001
|
0.811
|
|
β2
|
1.60E-12
|
1.18E-14
|
1.30E-14
|
3.20E-103
|
5.3 오차율 비교 분석 결과
Table 2와 Table 3에서 P-값을 만족한 구간의 회귀 모델에 미래 예측값을 적용할 때 오차율이 가장 낮은 회귀 모델은 적합도가 높은 모델로 판단되어 본 분석을 진행하였다.
이에 따른 회귀 모델을 도출하기 위해 실제값의 절대 백분율 오차 평균값과 미래 예측값의 절대 백분율 오차율의 차이를 산출하였다. 산출한 오차율을 회귀
모델마다 가중치 5%와 10%로 구분하여 Table 4에 정리 및 분석하였다. Table 4의 분석 결과, 실제값의 절대 백분율 오차와 미래 예측값의 절대 백분율 오차의 차이를 비교한 결과에서 다중 선형회귀 모델에서 가장 낮은 오차를 확인
할 수 있었다. 오차가 낮은 이유는 다중 선형회귀 모델 이 시간의 흐름에 따라 성능 변화를 분석하는 방법이기에 본 연구에 가장 적합한 다중 회귀 모델로
판단된다. 선형회귀 모델은 식(6)이며, 이에 조정된 결정계수, P-값, 절대 백분율 오차 순서로 분석을 진행하였을 때 가장 적합한 다중 회귀 모델은 다중 선형 회귀로 판단하였다.
$y$는 CSPF이며, $\alpha$는 CSPF의 절편, $\beta_{1}$은 연도의 계수, $\beta_{2}$는 냉방 기간 소비전력의 계수이다.
Table 4 Difference in error rates between actual values and weighted forecasts
|
Category
|
Linear regression
|
Exponential
regression
|
Logarithmic
regression
|
Power regression
|
5%
weighted
error rate
|
10%
weighted
error rate
|
5%
weighted
error rate
|
10%
weighted
error rate
|
5%
weighted
error rate
|
10%
weighted
error rate
|
5%
weighted
error rate
|
10%
weighted
error rate
|
0.75<x≤1
(RT)
Standard
product
|
2.318
|
4.200
|
3.427
|
6.403
|
14.808
|
30.803
|
6.053
|
13.135
|
1.75<x≤2
(RT)
Standard
product
|
-0.416
|
0.395
|
1.727
|
3.450
|
17.522
|
34.781
|
-
|
-
|
2.25<x≤2.5
(RT)
Network
product
|
1.922
|
3.628
|
2.994
|
5.726
|
20.655
|
41.524
|
-
|
-
|
2.5<x≤2.75
(RT)
Network
product
|
0.009
|
0.011
|
2.389
|
4.560
|
29.280
|
55.996
|
12.123
|
23.143
|
5.4 적합 모델 예측 결과
최종적으로 다중 선형 회귀의 적합성을 판단하기 위해 실제값과 다중 선형 회귀 모델을 적용하여 산출한 예측값을 비교 분석하였다. 일반제품과 네트워크
제품에서 오차가 가장 낮은 그래프와 오차가 높은 그래프의 형태를 비교하기 위해 분석 결과를 각각 Fig. 10(a) ~ Fig. 11(b)에 나타내었다. Table 5는 다중 선형 회귀 모델을 적용하여 산출된 구간에서 가장 오차율이 적은 구간과 다른 구간들의 회귀 모델 변수의 계수 차이를 파악하기 위해 적합 모델
회귀 변수의 계수를 정리하였다. α는 종속변수인 CSPF의 절편, β1은 연도의 계수, β2는 계절 평균 소비전력의 계수로 구분하였다.
적합도 비교 분석 결과, 오차값이 0에 근접할수록 조정된 결정계수의 값이 1에 가까운 것을 확인 할 수 있었다. 따라서 모델 검증을 통해 다중 선형회귀의
적합도 수치가 높은 것을 확인하였다. 또한, Table 5의 독립변수의 계수가 낮을수록 적합도가 높은 것으로 확인하였다. 이에 대해 적합도가 높은 회귀 모델의 구간이 다수 발생하였을 때 회귀 모델 변수의
계수를 비교하면 가장 적합한 구간을 도출이 가능한 것으로 판단된다. 또한, 연도의 회귀 계수인 β1가 음수로 산출된 값을 다수 확인하였으며, 시간이
지남에 따라 CSPF가 낮아지는 경향으로 해석된다. 음수로 산출된 이유는 하나의 회사가 아닌 여러 회사의 제품을 종합적으로 조사한 것과 냉방 용량을
구간마다 설정한 범위 내에서의 성능과 효율의 차이로 불규칙적인 경향에 의해 음수가 나타난 것으로 파악된다. 다중 선형 회귀 모델에서 실제값과 회귀분석을
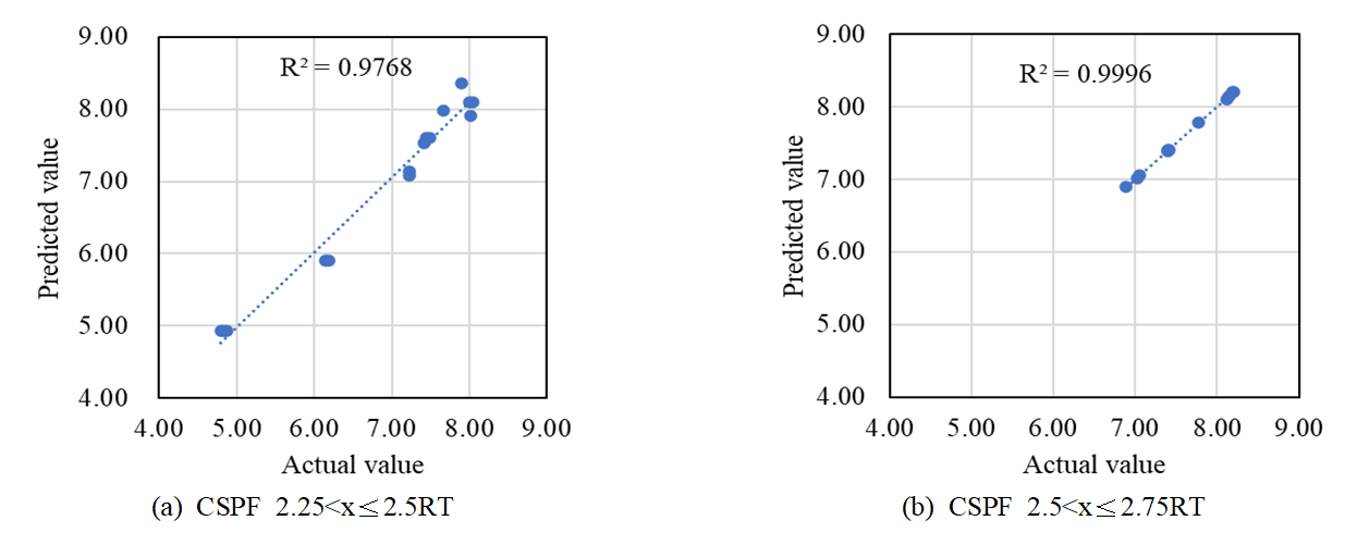
사용하여 산출된 예측값을 비교하였을 때 신뢰도가 가장 높은 구간은 네트워크 제품에서 2.5<x≤2.75RT로 확인되었다.
Fig. 10 Comparison of actual and predicted values (Standard product).
Fig. 11 Comparison of actual and predicted values (Network product).
Table 5 Variable coefficients of the linear regression model
|
Category
|
α
|
β1
|
β2
|
|
0.75<x≤1 (RT) Standard product
|
146
|
-0.068
|
-0.007
|
|
1.75<x≤2 (RT) Standard product
|
-376
|
0.193
|
-0.006
|
|
2.25<x≤2.5 (RT) Network product
|
95
|
-0.041
|
-0.005
|
|
2.5<x≤2.75 (RT) Network product
|
31
|
-0.008
|
-0.006
|
6. 결 론
본 연구에서 국내 공개데이터를 일반과 네트워크 제품으로 구분하여 용량별, 연도별로 최빈값을 산출하여 전기냉방기의 성능 변화를 예측하였다. CSPF에
따른 연도와 냉방 기간 소비전력을 다중 회귀 모델의 변수로 설정하였고, 이에 따른 가장 적합한 다중 회귀 모델을 도출하기 위해 비교 분석을 진행하였다.
분석 결과는 다음과 같다.
(1) 조정된 결정계수를 비교 분석한 결과, 데이터 수가 적을수록 비정상 값이 산출되는 것을 확인하였다. 이에 비정상 값을 배제하고 정상값이 산출된
구간만 P-값 분석을 진행하였다.
(2) P-값을 비교 분석한 결과, 다중 다항식 회귀 모델은 전 구간 P-값의 조건을 만족하지 않아 적합하지 않은 모델로 확인되었다. P-값을 만족한
다중 회귀 모델 중에서 적합도가 높은 모델을 산출하기 위해 절대 백분율 오차 분석을 진행하였다.
(3) 절대 백분율 오차 비교 분석 결과, 다중 선형 회귀 모델이 가장 적합한 모델로 판단되었다. 또한, 다중 선형 회귀 모델을 적용한 예측값과 실제값을
비교 분석한 결과, 오차율이 0에 가까울수록 조정된 결정계수가 1에 가까운 구간으로 확인되었다.
종합적으로 비교 분석한 결과, 가장 적합한 다중 회귀 모델은 다중 선형 회귀 모델로 도출하였으며, 모델 검증을 진행하기 위해 오차율에 따른 추가적인
차이점을 확인할 수 있었다. 추후 네트워크 제품의 데이터 개수가 증가함에 따라 다른 구간 회귀 모델 분석이 진행이 가능한 것으로 사료되며, 전기 냉방기의
회귀 모델의 독립변수가 시간의 흐름에 따라 연도만 진행하였을 때 기존 연구와 차이점 비교를 진행할 예정이다.
후 기
이 성과는 정부(과학기술정보통신부)의 재원으로 한국연구재단의 지원을 받아 수행된 연구임(No. RS-2024-00359420).
References
Ministry of Land, Infrastructure and Transport, & Ministry of Trade, Industry and
Energy, 2025, Regulations on the certification of zero energy buildings (Building
Energy Certification Regulations) (Amended by MOLIT Ordinance No. 1425 & MOTIE Ordinance
No. 589, December 23, 2024; effective January 1, 2025), Korea Law Information Center

Cho H. J., Choi S. G., Hwang D. K., 2023, A Study on Unit Heating and Cooling Load
Standard for Apartment Houses according to the Mandatory of Zero Energy Building Certification,
Korean Journal of Air-Conditioning and Refrigeration Engineering, Vol. 35, No. 12,
pp. 633-645

Ministry of Land, Infrastructure and Transport, 2024, Regulations on energy-saving
design standards for buildings (Administrative Rule No. 2024-27), Korea Law Information
Center

Park C. Y., 2023, Evolution of Insulation Design Standards for Multi-Family Housing:
From the Introduction of Insulation Concepts to the Era of Zero Energy, Construction
technology review ssangyong, Vol. 80, pp. 44-51

Lork C., Zhou Y., Batchu R., Yuen C., Pindoriya N. M., 2017, An Adaptive Data-Driven
Approach for Single-Unit Residential Air Conditioner Prediction and Forecasting Using
Regression Trees, pp. 67-76

Zhang Y., 2024, Harnessing Machine Learning and Meta-Heuristic Algorithms for Accurate
Cooling Load Prediction, International Journal of Advanced Computer Science and Applications,
Vol. 15, No. 6, pp. 1172-1182

Wang J., 2021, Research on Regional Air Conditioning Temperature Energy Consumption
Model Based on Regression Analysis, pp. 474-484

Guo J., Zhao Q., 2024, A data-driven short-term cooling load prediction method based
on machine learning and regression analysis, pp. 1391-1394

Samhitha D., Arjun D., Padmavathi M., Hemprasanna A., 2023, Energy consumption prediction
of buildings based on heating and cooling loads using regression models

Liu D., Huang R., Xu X., Chen H., 2024, Application of autoregressive moving average
model for air conditioning load forecasting, pp. 423-427

Yu F. W., Ho W. T., Wong C. F. J., 2023, Improving energy management of chiller systems
through ai-based regression. applied soft computing, Applied Soft Computing, Vol.
150, pp. 111091

Pack B. Y., Cho J. K., 2023, Research project on establishing energy efficiency rating
standards for air conditioners in uzbekistan

Korea Energy Agency, , Energy Efficiency Management Program
