Mobile QR Code QR CODE : Korean Journal of Air-Conditioning and Refrigeration Engineering
Korean Journal of Air-Conditioning and Refrigeration Engineering

Korean Journal of Air-Conditioning and Refrigeration Engineering

ISO Journal TitleKorean J. Air-Cond. Refrig. Eng.
  • Open Access, Monthly
Open Access Monthly
  • ISSN : 1229-6422 (Print)
  • ISSN : 2465-7611 (Online)

  1. 한국교통대학교 기계공학과 교수 (Professor, Korea National University of Transportation, Chungju-si, 27469, Korea)
  2. (주)휴마스터 대표 (CEO, Humaster Ltd., Seoul, 04785, Korea)



해석모델, 대향류, 제습, 제습휠, 회전속도
Analytical model, Counter flow, Dehumidification, Desiccant wheel, Rotation speed

기호설명

$C_{p}$ :비열 [J/gK]
$C_{r}$ :열용량율비, $C_{\min}$/$C_{\max}$ [-]
$C_{r}^{*}$ :무차원 회전속도 [-]
$d_{h}$ :수력직경 [m]
$D$ :물질확산계수 [m2/s]
$h_{t}$ :대류열전달계수 [W/m2K]
$h_{m}$ :물질전달계수 [m/s]
$i_{ads}$ :흡착열 [J/g]
$k$ :열전도도 [W/mK]
$L$ :유로길이 [m]
$Ntu$ :Number of Transfer Units [-]
$T$ :온도 [K]
$t$ :시간 [s]
$t^{*}$ :무차원 시간, $t/\tau$ [-]
$u$ :평균유속 [m/s]
$w$ :함수율 [kgwat/kgdes]
$x$ :수평 거리 [m]
$y$ :수직 거리 [m]
$\alpha$ :열확산계수 [m2/s]
$\delta$ :두께 [m]
$\rho$ :밀도 [kg/m3]
$\tau$ :주기 [s]
$\xi$ :무차원 길이, $x/L$ [-]
$\eta$ :무차원 높이, $y/\delta_{s}$ [-]
$\chi$ :절대습도 [kgwat/kgair]
$\omega$ :회전속도 [1/s]

상·하첨자

a :공기
c :저온
h :고온
i :공기-제습제 경계면
s :제습제

1. 서 론

제습휠은 보통 실리카젤 등의 제습제를 코팅한 주름진 얇은 직물 등을 회전축에 감아서 만든 원통형 구조물로서 축 방향으로 많은 유로를 가지고 있어 온도가 다른 두 공기 덕트의 사이에 설치하여 회전시키면 저온 공기를 제습(흡착)하고 포화된 제습제를 고온 공기가 재생(탈착)하는 사이클을 반복하는 원리로 작동한다. 제습휠은 낮은 온도에서 작동하고 소형화에도 유리한 장점이 있어 태양열, 엔진, 냉동기 배열 등의 저온 열원을 활용한 냉방 및 제습 시스템의 주요 구성요소로 사용되고 있다. 제습휠에 대해서는 오랫동안 많은 연구가 수행되어왔지만, 그 성능을 예측하는 일은 아직도 간단치 않다. 제습휠의 성능을 예측하기 위해서는 지배방정식을 풀어 해를 구해야 하는데 비선형 지배방정식의 해를 수학적으로 구하기가 어렵기 때문에 대부분 수치모델을 사용하여 제습휠의 성능을 예측한다.(1) 유한차분 또는 유한요소법에 기반한 대부분의 수치모델은 복잡한 계산 영역에서 비선형 지배방정식의 해를 정확하게 제공할 수 있다는 장점이 있지만, 계산시간이 과도하게 길어서 시스템 최적화, 계절 성능 시뮬레이션 등 많은 계산이 필요한 경우에는 적용하기가 어렵다. 이 때문에 연구자들은 수치모델의 대안으로 몇 가지 해석모델을 제안했는데 대표적인 연구를 아래에 논의하였다.

Maclaine-cross and Banks(2)는 제습휠의 거동을 기술하는 두 개의 독립된 포텐셜($F_{i}$, $i$=1,2)을 확인하고 각 포텐셜의 방정식이 로터리 열교환기의 방정식과 유사한 점에 착안하여 두 개의 로터리 열교환기의 해를 중첩하는 방식으로 제습휠의 성능을 예측하는 상사이론(Analogy theory)을 제안한 바 있다. Van Den Bulck et al.(3,4)는 파동 해석(Wave analysis)을 수행하여 상사이론을 무한히 큰 전달계수를 갖는 이상적인 제습휠에까지 확대하여 작동선도(Operating chart)를 작성하고 수치모델과 함께 사용하여 실리카젤 제습휠을 위한 $\varepsilon$-NTU 모델을 개발하였다. Stabat and Marchio(5)는 상사이론을 사용하여 제습휠 모델을 작성하고 4종의 제습휠(3 silica gel+1 LiCl)에 대해 제조업체의 카탈로그와 실험 데이터에서 입력변수를 추출하여 시뮬레이션한 결과에서 상사 모델의 최대오차가 건구 온도 ±2 K, 절대습도 ±1 g/kg 수준임을 보고하였다. Maclaine-cross and Banks(2)의 상사이론은 제습휠의 작동원리에 대한 통찰을 제공하고 단 두 쌍의 특성치($F_{i}$, $\gamma_{i}$)로 제습휠의 성능을 예측할 수 있다는 점에서 높은 평가를 받아 마땅하지만, 공기의 $Le$수가 1인 경우에만 유효하며 제습휠에 따라 사용자가 특성치를 최적화해야 하는 불편함이 있다.

로터리 열교환기의 해를 빌려 제습휠의 성능을 예측한 위의 연구와는 달리 제습휠의 해를 직접 구해 성능을 예측한 연구는 드물다. 이는 제습휠의 해를 구하는 것이 어렵기 때문으로 애초에 Maclaine-cross and Banks(2)가 상사이론을 개발한 이유이기도 하다. 이런 이유로 몇몇 연구에서는 일련의 가정으로 문제를 단순화하여 얻은 근사해를 사용하여 제습휠의 성능을 예측하였다. 대표적으로 Lee et al.(6)은 실리카젤 제습휠에 대해 선형 평형방정식과 유로 내 온․습도의 선형 분포를 가정하고 지배방정식을 풀어 근사해를 얻고 일반적인 운전영역에서 수치해와 비교하여 출구 온도와 습도의 평균 오차가 각각 4%, 7% 미만임을 보고하였다. Kim et al.(7)은 실리카젤 제습휠에서 열과 물질 전달을 독립적으로 기술하기 위해 각각의 유용도를 도입하고 평형방정식을 선형으로 근사하여 Lee et al.(6)과 유사한 형태의 해를 얻었는데 2차원 유한차분모델과 비교한 결과 고려한 운전영역에서 출구 공기 온도와 습도의 오차가 각각 7.4%, 8.4% 미만임을 보고하였다. 이들의 연구는 제습휠 문제를 크게 단순화하여 직관적인 이해를 도왔을 뿐 아니라 제습휠 출구의 공기 상태를 단순한 함수의 형태로 제공하여 제습휠의 성능을 쉽고 빠르게 예측할 수 있게 해준 점에서 높이 평가할 만하다. 다만 유로 내부의 온․습도 프로필이 일정하다고 가정하였기 때문에 짧은 주기 즉, 큰 회전수 영역에서 오차가 크고 비대칭 제습휠(분할비≠1:1)의 경우에는 근사해의 초기조건 결정을 위해 행렬방정식을 풀어야 하는 단점이 있다.(8,9)

최근 Kim and Lee(10)는 로터리 열교환기에서 진동하는 온도의 주기함수를 삼각함수로 가정하고 유도한 근사해를 수치모델과 비교하여 NTU가 작은 경우에는 임의의 유량비($C_{r}$)와 회전속도($C_{r}^{*}$)에서 꽤 정확함을 확인하고 같은 해법을 제습휠에 적용할 수 있을 것으로 보았다. Kim and Lee(10)의 해법은 온․습도 프로필에 대한 인위적인 가정과 초기조건이 필요하지 않기 때문에 앞서 언급한 연구(6-9)의 단점을 근본적으로 회피할 수 있다. 따라서 본 연구에서는 Kim and Lee(10)의 해법을 제습휠 문제에 적용하여 제습휠의 근사해를 구하고 수치해와 비교하여 정확성을 평가하였다. 본 연구의 근사해가 가지는 단순함과 정확성은 선행연구(6-9)와 크게 차별된다. 본 연구의 근사해를 사용하면 단 몇 개의 무차원수로 제습휠의 거동을 기술할 수 있고 광범위한 운전조건에서 그 성능을 정확히 예측할 수 있다. 아래에서는 2장에 지배방정식과 근사해의 유도과정을 기술하였고 3장에서는 근사해의 정확성과 실용성에 대해 논의하였으며 4장에 결론을 정리하였다.

2. 지배방정식과 근사해

2.1 지배방정식

Fig. 1에 제습휠의 전면과 내부 유로의 종단면을 개략적으로 도시하였다. Fig. 1(b)는 회전주기가 $\tau$인 Fig. 1(a)의 대향류 제습휠에서 고온 구간($0\le t/\tau\le\beta$) 에서는 유로의 왼쪽 끝($x=0$)으로 고온 유체($T_{h,in}$, $\chi_{h,in}$)가 $u_{h}$의 속력으로 유입하고, 저온 구간($\beta\le t/\tau\le 1$)에서는 오른쪽 끝($x=L$)에서 저온 유체($T_{c,in}$, $\chi_{c,in}$)가 $u_{c}$의 속력으로 유입하는 것을 나타낸다. 본 연구에서는 문제를 단순화하기 위해 아래와 같이 가정하였다.

- 모든 물성값은 일정하다.

- 공기의 열용량은 축열체 열용량에 비해 무시할 수 있다.

- 유동 방향 열확산 효과는 무시할 수 있다.

- 대류 열전달계수는 일정하고 열-물질 상사 관계가 유효하다.

이상의 가정은 마지막의 열-물질 상사 관계를 제외하면 선행연구(10)와 동일하다. 본 연구에서는 열-물질 상사 관계($h_{t}=\rho_{a}C_{pa}h_{m}Le_{f}$; e.g. Kloppers and Kroeger(11))의 Lewis factor($Le_{f}$)를 사용하여 열전달계수 $h_{t}$와 물질전달계수 $h_{m}$의 관계를 규정하였음을 유의하기를 바란다.

Fig. 1(b)에서 유체($\delta_{a}$)와 고체($\delta_{s}$)의 공간을 포함하는 미소 체적 dx에 대한 열 및 물질 보존 방정식은 전술한 가정에 따라 다음과 같이 단순화할 수 있다.

(1)
$\dfrac{\partial T_{a}}{\partial x^{*}}=-\dfrac{1}{u^{*}}\left(T_{a}-T_{i}\right)$
(2)
$\dfrac{\partial\chi_{a}}{\partial x^{*}}=-\dfrac{1}{u^{*}Le_{f}}\left(\chi_{a}-\chi_{i}\right)$
(3)
$\dfrac{\partial T_{s}}{\partial t^{*}}=Fo\dfrac{\partial^{2}T_{s}}{\partial\eta^{2}}$
(4)
$\dfrac{\partial w_{s}}{\partial t^{*}}=Fo_{m}\dfrac{\partial^{2}w_{s}}{\partial\eta^{2}}$

(1) ~ 식(2)에서 무차원속도 $u^{*}$($=u/u_{c_{\min}}$)는 다음과 같이 정의하였다.

(5)
$u^{*}=\begin{cases} u_{h}^{*}=+u_{h}/u_{c_{\min}},\: 0\le t^{*}\le\beta \\ u_{c}^{*}=-u_{c}/u_{c_{\min}},\: \beta\le t^{*}\le 1 \end{cases}$

여기서 $u_{h}^{*}$는 (+) 방향, $u_{c}^{*}$는 (-) 방향임에 주의하기를 바란다. 한편 식(1) ~ 식(4)의 해는 다음의 경계조건을 만족해야 한다.

(6)

$T_{a}=T_{h,in},\: \chi_{a}=\chi_{h,in}$ $at \ \xi =0 \ for \ 0\le{t}^{*}\le\beta$

(7)

$T_{a}=T_{c,in},\: \chi_{a}=\chi_{c,in}$ $at \ \xi =1 \ for \ \beta\le{t}^{*}\le 1$

(8)

$f_{eq}\left(\chi_{i},\: T_{i},\: w_{i}\right)=0$ $at \ \eta =1$

(9)

$T_{a}-T_{i}=\dfrac{1}{B_{i}}\left[\dfrac{\partial T_{s}}{\partial\eta}-\left(\dfrac{i_{ads}}{C_{ps}}\right)\dfrac{1}{Le_{s}}\dfrac{\partial w_{s}}{\partial\eta}\right]$ $at \ \eta =1$

(10)

$\chi_{a}-\chi_{i}=\dfrac{Le_{f}}{BiLe_{s}}\left(\dfrac{C_{pa}}{C_{ps}}\right)\dfrac{\partial w_{s}}{\partial\eta}$ $at \ \eta =1$

(11)

$\dfrac{\partial T_{s}}{\partial\eta}=0$ $at \ \eta =0$

(12)

$\dfrac{\partial w_{s}}{\partial\eta}=0$ $at \ \eta =0$

여기서 무차원수들은 식(13)에 정의하였다.

(13)

$t^{*}=\dfrac{t}{\tau}$, $\eta =\dfrac{y}{\delta_{s}}$, $\xi =\dfrac{x}{L}$, $x^{*}=Ntu\xi$, $Ntu=\dfrac{h_{t}L}{\left(\rho C_{p}\delta\right)_{a}u_{\min}}$,

$Fo=\dfrac{\alpha_{s}\tau}{\delta_{s}^{2}}$, $Fo_{m}=\dfrac{D_{s}\tau}{\delta_{s}^{2}}$, $Bi=\dfrac{h_{t}\delta_{s}}{k_{s}}$, $Le=\dfrac{\alpha}{D}$

본 연구에서는 식(1) ~ 식(4)의 근사해를 얻기 위해 크게 다음의 두 가지 가정을 도입하였다. 첫째, 식(8)의 $f_{eq}$는 공기-흡착제 계면($\eta =1$)에서의 온도 $T_{i}$, 함수율 $w_{i}$ 및 절대습도 $\chi_{i}$의 관계를 규정하는 평형상태 방정식으로서 본 연구에서는 식(14)의 선형방정식(7)으로 근사하였다. 이로 인해 발생하는 오차는 피할 수 없지만, 관심 영역에서 그 오차가 작다면 단순한 근사해를 얻기 위한 좋은 선택이 될 수 있다.

(14)
$\chi_{i}-\chi_{o}=\left(\dfrac{\partial\chi}{\partial T}\right)_{o}\left(T_{i}-T_{o}\right)+\left(\dfrac{\partial\chi}{\partial w}\right)_{o}\left(w_{i}-w_{o}\right)$

둘째, 유로 내 임의 위치($\xi$, $\eta$)에서 흡착제의 상태량($T_{s}$, $w_{s}$)은 제습휠의 회전주기($\tau$)와 같은 주기의 삼각함수를 따라 진동한다고 가정하였다. 이 가정은 Kim and Lee(10)가 보인 바와 같이 작은 $Ntu$와 낮은 회전속도 영역에서 정확하여 제습휠에도 적용할 수 있을 것으로 생각된다. 따라서 본 연구에서는 $T_{s}$를 다음의 형태로 가정하였다.

(15)
$T_{s}-T_{o}(\xi)=g_{n}(\xi ,\: \eta)e^{i(2n\pi)t^{*}}$

여기서 $T_{o}(\xi)$는 $T_{s}$의 주기 평균, $g_{n}(\xi ,\: \eta)$은 $T_{s}$의 진폭이다. 식(15)를 식(3)과 식(11)에 대입하여 정리하면 $T_{s}$에 대해 식(16)과 같이 쓸 수 있는데

(16)
$T_{s}-T_{o}(\xi)=a_{n}(\xi)\cosh\left(\gamma_{n}\eta\right)e^{i(2n\pi)t^{*}}$

여기서 $a_{n}(\xi)$은 경계조건에 의해 결정되는 미지수이고 $\gamma_{n}$은 식(17)에 정의하였다.

(17)
$\gamma_{n}=\sqrt{\dfrac{i(2n\pi)}{Fo}}$

$w_{s}$에 대해서도 식(15)와 유사하게 가정하면 식(4)와 식(12)으로부터 식(18)과 같이 쓸 수 있는데

(18)
$w_{s}-w_{o}(\xi)=b_{n}(\xi)\cosh\left(\kappa_{n}\eta\right)e^{i(2n\pi)t^{*}}$

여기서 $w_{o}(\xi)$는 $w_{s}$의 주기 평균, $b_{n}(\xi)$은 미지수이고 $\kappa_{n}$은 식(19)에 정의하였다.

(19)
$\kappa_{n}=\sqrt{\dfrac{i(2n\pi)}{Fo_{m}}}$

한편 $T_{i}$(=$T_{s}\vert_{\eta =1}$)과 $w_{i}$(=$w_{s}\vert_{\eta =1}$)와 함께 경계조건 식(9), 식(10)과 식(14)를 만족하는 $T_{a}$와 $\chi_{a}$는 다음의 관계를 만족하는데

(20)
$\begin{pmatrix}T_{a}-T_{o}\\\chi_{a}-\chi_{o}\end{pmatrix}=\begin{bmatrix}a_{11}&a_{12}\\a_{21}&a_{22}\end{bmatrix}\begin{pmatrix}T_{i}-T_{o}\\w_{i}-w_{o}\end{pmatrix}$

여기서 $a_{ij}$는 Table 1에 정리한 상수이다. $T_{a}$와 $\chi_{a}$는 다음의 형태로도 표현할 수 있는데

(21)
$T_{a}-T_{o}(\xi)=A_{n}(\xi)e^{i(2n\pi)t^{*}}$
(22)
$\chi_{a}-\chi_{o}(\xi)=B_{n}(\xi)e^{i(2n\pi)t^{*}}$

여기서 $A_{n}(\xi)$과 $B_{n}(\xi)$은 각각 $T_{a}$와 $\chi_{a}$의 진폭이다. 식(14)와 식(20)을 고려하면 $T_{i}$와 $\chi_{i}$를 $T_{a}$와 $\chi_{a}$의 함수로 쓸 수 있고 따라서 식(1) ~ 식(2)를 다음의 연립방정식으로 다시 쓸 수 있다(Table 1의 $c_{ij}$ 참조).

(23)
$\dfrac{\partial}{\partial x^{*}}\begin{pmatrix}T_{a}\\\chi_{a}\end{pmatrix}=-\dfrac{1}{u^{*}}\begin{bmatrix}c_{11}&c_{12}\\c_{21}&c_{22}\end{bmatrix}\begin{pmatrix}T_{a}-T_{o}\\\chi_{a}-\chi_{o}\end{pmatrix}$

이제 식(23)을 만족하는 식(21)~식(22)의 미지수 즉, $A_{n}(\xi)$, $B_{n}(\xi)$, $T_{o}(\xi)$와 $\chi_{o}(\xi)$를 구하여 해를 완성하면 되지만 이는 $u^{*}$가 상수일 때만 가능하고 식(5)와 같이 $u^{*}$가 시간의 함수일 때는 불가능하다. 따라서 식(21) ~ 식(22)로 해를 가정하면 Kim and Lee(10)에서와 같이 오차가 발생하겠지만 관심 운전영역에서 그 오차가 작다면 용인할 수 있을 것이다. 이에 본 연구에서는 다음 절에서와 같이 근사해를 구하였다.

Fig. 1 Desiccant wheel and control volume.

../../Resources/sarek/KJACR.2026.38.1.26/fig1.png

Table 1 Summary of $a_{ij}$ and $c_{ij}$

$i$ $j$ $a_{ij}$ $c_{ij}$
1 1 $1+\dfrac{\gamma_{n}}{Bi}\tanh\left(\gamma_{n}\right)$ $1-a_{22}/\left | a_{ij}\right |$
1 2 $-\dfrac{i_{ads}}{C_{ps}}\dfrac{\kappa_{n}}{BiLe_{s}}\tanh\left(\kappa_{n}\right)$ $a_{12}/\left | a_{ij}\right |$
2 1 $\left(\dfrac{\partial\chi}{\partial T}\right)_{o}$ $\dfrac{1}{Le_{f}}\left[-\left(\dfrac{\partial\chi}{\partial T}\right)_{o}a_{22}+\left(\dfrac{\partial\chi}{\partial w}\right)_{o}a_{21}\right]/\left | a_{ij}\right |$
2 2 $\left(\dfrac{\partial\chi}{\partial w}\right)_{o}+Le_{f}\dfrac{C_{pa}}{C_{ps}}\dfrac{\kappa_{n}}{BiLe_{s}}\tanh\left(\kappa_{n}\right)$ $\dfrac{1}{Le_{f}}\left\{1+\left[\left(\dfrac{\partial\chi}{\partial T}\right)_{o}a_{12}-\left(\dfrac{\partial\chi}{\partial w}\right)_{o}a_{11}\right]/\left | a_{ij}\right |\right\}$
* $\left | a_{ij}\right | =a_{11}a_{22}-a_{12}a_{21}$

2.2 근사해

(23)의 연립방정식은 아래의 동등한 단일 방정식으로 대체할 수 있는데

(24)
$\dfrac{\partial Y}{\partial x^{*}}=-\dfrac{c_{11}+vc_{21}}{u^{*}}\left(Y-Y_{o}\right)$

여기서 $Y$, $Y_{0}$와 $v$는 식(25) ~ 식(28)에 정의하였다.

(25)
$Y =T_{a}+v\chi_{a}$
(26)
$Y_{o}=\int_{0}^{1}Y dt^{*}= T_{o}+v\chi_{o}$
(27)
$v_{1}=\left[-\left(c_{11}-c_{22}\right)+\sqrt{\left(c_{11}-c_{22}\right)^{2}+4c_{21}c_{12}}\right]/\left(2c_{21}\right)$
(28)
$v_{2}=\left[-\left(c_{11}-c_{22}\right)-\sqrt{\left(c_{11}-c_{22}\right)^{2}+4c_{21}c_{12}}\right]/\left(2c_{21}\right)$

(27) ~ 식(28)의 $v_{1}$과 $v_{2}$는 모두 식(24)를 만족하며 이를 구분할 필요가 없는 경우에는 단순히 $v$로 표기하였음을 기억하기를 바란다. 식(24)는 0이 아닌 임의의 정수 $n$에 대해 유효하며 아래에서 이 조건은 필요한 경우에만 하첨자 $n$으로 표시하였다. 본 연구에서는 근사해를 다음의 형태로 가정하였다.

(29)
$Y -Y_{o}(\xi)=f_{n}(\xi)e^{i(2n\pi)t^{*}}$

(23)과 관련하여 논의한 바와 같이 식(29)는 $u^{*}$가 시간의 함수일 때 식(24)를 만족하지 못한다. 이 때문에 여기서는 식(24)의 ‘시간 평균’ 방정식을 만족하는 $Y_{o}(\xi)$와 $f_{n}(\xi)$을 찾는 방법으로 근사해를 구하였다. 따라서 식(29)는 공기 상태의 ‘순간값(Instantaneous value)’이 아닌 ‘시간 평균값(Time-averaged value)’을 예측함에 주의하기를 바란다. 식(24)를 고온 구간 ($0\le t^{*}\le\beta$)과 저온 구간 ($\beta\le t^{*}\le 1$)에서 각각 평균하면 다음과 같이 쓸 수 있는데

(30)
$\dfrac{d\widetilde{Y_{h}}}{dx^{*}}=-\dfrac{c_{11}+vc_{21}}{u_{h}^{*}}\left(\widetilde{Y_{h}}-Y_{o}\right)$
(31)
$\dfrac{d\widetilde{Y_{c}}}{dx^{*}}=-\dfrac{c_{11}+vc_{21}}{u_{c}^{*}}\left(\widetilde{Y_{c}}-Y_{o}\right)$

여기서 $\widetilde{Y_{h}}$와 $\widetilde{Y_{c}}$는 각각 $Y$의 고온과 저온 구간 평균값이고 $Y_{o}$와 다음의 관계를 만족한다.

(32)
$Y_{o}=\int_{0}^{1}Y dt^{*}=\beta\widetilde{Y_{h}}+(1-\beta)\widetilde{Y_{c}}$

(30) ~ 식(32)를 만족하는 식(29)의 $Y$와 $Y_{o}$는 다음과 같이 주어짐을 보일 수 있다.

(33)
$Y -Y_{o}(\xi)=C_{n}\exp\left[-\lambda x^{*}+i(2n\pi)t^{*}\right]$
(34)
$Y_{o}(\xi)-Y_{o}(0)=C_{n}\left[\exp\left(-\lambda x^{*}\right)-1\right]U^{*}\left(\phi_{h}-\phi_{c}\right)$

여기서 $C_{n}$은 미지수이고 $\phi_{h}$와 $\phi_{c}$는 Table 2에, $\lambda$와 $U^{*}$는 식(35) ~ 식(36)에 정리하였다.

(35)
$\lambda =\left(c_{11}+vc_{21}\right)\left(\dfrac{1-\beta}{u_{h}^{*}}+\dfrac{\beta}{u_{c}^{*}}\right)$
(36)
$U^{*}=\dfrac{\left(u_{c}^{*}-u_{h}^{*}\right)\beta(1-\beta)}{(1-\beta)u_{c}^{*}+\beta u_{h}^{*}}$

(33) ~ 식(34)의 $C_{n}$은 Fig. 2에 도시한 식(6) ~ 식(7)의 입구조건에 의해 식(37)과 같이 결정됨을 보일 수 있다.

(37)
$C_{n}=\dfrac{2D_{n}\left(\phi_{h}-\phi_{c}\right)}{F_{h}(0,\: \lambda)}\left(\Delta T_{\max}+v\Delta\chi_{\max}\right)$

여기서 $F_{h}$는 Table 2에, $D_{n}$은 식(38)에 정의하였다.

(38)
$D_{n}=\dfrac{1-e^{-i(2n\pi)\beta}}{i(2n\pi)}$

(33) ~ 식(34)는 식(27) ~ 식(28)에 정의한 $v_{1}$과 $v_{2}$의 각각에 대해 쓸 수 있고 이로부터 유로 내 고온 공기의 평균 온도와 습도 분포를 다음과 같이 얻을 수 있다.

(39)
$\widetilde{T_{a, h}}(\xi)=T_{c, in}+Real\sum_{n=1, 2, 3..}^{\infty}\dfrac{2D_{n}\left(\phi_{h}-\phi_{c}\right)}{v_{2}-v_{1}}\left[v_{2}\left(\Delta T_{\max}+v_{1}\Delta\chi_{\max}\right)\dfrac{F_{h}\left(\xi ,\: \lambda_{1}\right)}{F_{h}\left(0,\: \lambda_{1}\right)}-v_{1}\left(\Delta T_{\max}+v_{2}\Delta\chi_{\max}\right)\dfrac{F_{h}\left(\xi ,\: \lambda_{2}\right)}{F_{h}\left(0,\: \lambda_{2}\right)}\right]$
(40)
$\widetilde{\chi_{a, h}}(\xi)=\chi_{c, in}+Real\sum_{n=1, 2, 3..}^{\infty}\dfrac{2D_{n}\left(\phi_{h}-\phi_{c}\right)}{v_{2}-v_{1}}\left[-\left(\Delta T_{\max}+v_{1}\Delta\chi_{\max}\right)\dfrac{F_{h}\left(\xi ,\: \lambda_{1}\right)}{F_{h}\left(0,\: \lambda_{1}\right)}+\left(\Delta T_{\max}+v_{2}\Delta\chi_{\max}\right)\dfrac{F_{h}\left(\xi ,\: \lambda_{2}\right)}{F_{h}\left(0,\: \lambda_{2}\right)}\right]$

저온 공기의 분포 즉, $\widetilde{T}_{a, c}(\xi)$와 $\widetilde{\chi}_{a, c}(\xi)$는 식(39) ~ 식(40)의 우항에서 $F_{h}(\xi ,\: \lambda)$를 $F_{c}(\xi ,\: \lambda)$로 대체(Table 2 참조)하여 얻을 수 있다. 이상의 근사해를 사용하면 제습휠 내부 유로의 임의의 위치 $\xi$에서 평균 온도와 습도를 예측할 수 있다. 다음 절에서 수치모델과 비교하여 근사해의 정확성을 평가하겠다.

Table 2. Summary of time-averaged functions

Name Definition
$\phi_{h}$ $\dfrac{1}{\beta}\dfrac{e^{i(2n\pi)\beta}-1}{i(2n\pi)}$
$\phi_{c}$ $\dfrac{1}{1-\beta}\dfrac{1-e^{i(2n\pi)\beta}}{i(2n\pi)}$
$F_{h}(\xi ,\: \lambda)$ $e^{-\lambda x^{*}}\left[\phi_{h}+U^{*}\left(\phi_{h}-\phi_{c}\right)\right]-e^{-\lambda Ntu}\left[\phi_{c}+U^{*}\left(\phi_{h}-\phi_{c}\right)\right]$
$F_{c}(\xi ,\: \lambda)$ $\left(e^{-\lambda x^{*}}-e^{-\lambda Ntu}\right)\left[\phi_{c}+U^{*}\left(\phi_{h}-\phi_{c}\right)\right]$

Fig. 2 Periodic inlet boundary conditions

../../Resources/sarek/KJACR.2026.38.1.26/fig2.png

3. 결 과

선행연구(10)는 로터리 열교환기의 유용도를 $C_{r}$, $Ntu_{0}$ 및 $C_{r}^{*}$의 함수로 표현하였다. 선행연구와의 일관성을 위해 이들 변수와 본 연구에서 사용한 변수의 관계를 규정할 필요가 있다. 고온 공기를 $C_{\min}$ 유체로 약속하면 $C_{r}$, $Ntu_{0}$ 및 $C_{r}^{*}$는 본 연구에서 식(41) ~ 식(43)과 같이 정의된다.

(41)
$C_{r}\left(=\dfrac{C_{\min}}{C_{\max}}\right)=\dfrac{-\beta u_{h}^{*}}{(1-\beta)u_{c}^{*}}$
(42)
$Ntu_{0}\left[=\dfrac{1}{C_{\min}}\left(\dfrac{1}{\left(h_{t}A\right)_{h}}+\dfrac{1}{\left(h_{t}A\right)_{c}}\right)^{-1}\right]=Ntu(1-\beta)$
(43)
$C_{r}^{*}\left(=\dfrac{M_{s}C_{ps}}{C_{\min}\tau}\right)=\dfrac{1}{\beta}\dfrac{Ntu}{Bi Fo}$

아래에서는 제습휠의 시뮬레이션에서 흔히 고려되는 다음의 조건을 고려하였다.

- 분할비는 1:1이다 ($\beta =1/2$).

- 공기의 $Le$수는 1이다 ($Le_{f}=1$).

- 제습제의 전달저항은 0이다 ($Bi \rightarrow 0$).

이 조건에서 근사해는 매우 단순해져서 제습휠을 통과한 고온 공기의 무차원 온도차($\Phi_{t}$)와 저온 공기의 무차원 습도차($\Phi_{m}$)를 다음 식들로 간단히 계산할 수 있다.

(44)
$\Phi_{t}=\dfrac{\left[\widetilde{T_{a}}(0)-\widetilde{T_{a}}(1)\right]_{h}}{\Delta T_{\max}}=Real\sum_{n=1, 3, 5..}^{\infty}\dfrac{8}{(n\pi)^{2}\left(v_{2}-v_{1}\right)}\left[v_{2}\Lambda\left(\lambda_{1}\right)\left(1+v_{1}\dfrac{\Delta\chi_{\max}}{\Delta T_{\max}}\right)-v_{1}\Lambda\left(\lambda_{2}\right)\left(1+v_{2}\dfrac{\Delta\chi_{\max}}{\Delta T_{\max}}\right)\right]$
(45)
$\Phi_{m}=\dfrac{\left[\widetilde{\chi_{a}}(1)-\widetilde{\chi_{a}}(0)\right]_{c}}{\chi_{c, in}}=Real\sum_{n=1, 3, 5..}^{\infty}\dfrac{8C_{r}\Delta T_{\max}}{(n\pi)^{2}\left(v_{2}-v_{1}\right)\chi_{c, in}}\left[\Lambda\left(\lambda_{1}\right)\left(1+v_{1}\dfrac{\Delta\chi_{\max}}{\Delta T_{\max}}\right)-\Lambda\left(\lambda_{2}\right)\left(1+v_{2}\dfrac{\Delta\chi_{\max}}{\Delta T_{\max}}\right)\right]$

여기서 $v$, $\lambda$와 관련 무차원수들은 아래에 정리하였다.

(46)
$v=\left(\dfrac{i_{ads}}{C_{ps}}\right)\dfrac{Ja_{s}+1-Ja_{a}}{-2}\left(-1\pm \sqrt{1+\dfrac{4Ja_{a}}{\left(Ja_{s}+1-Ja_{a}\right)^{2}}}\right)$
(47)
$\lambda =\dfrac{X_{n}\left[Ja_{s}+Ja_{a}X_{n}+1-v\left(C_{ps}/i_{ads}\right)\right]}{\left(1+X_{n}\right)\left(Ja_{s}+Ja_{a}X_{n}\right)+X_{n}}\dfrac{1-C_{r}}{2}$
(48)
$Ja_{a}=\dfrac{C_{pa}}{i_{ads}}\left(\dfrac{\partial T}{\partial\chi}\right)_{o}$ $Ja_{s}=\dfrac{C_{ps}}{i_{ads}}\left(\dfrac{\partial\chi}{\partial w}\right)_{0}\left(\dfrac{\partial T}{\partial\chi}\right)_{o}$, $X_{n}=\dfrac{i(2n\pi)C_{r}^{*}}{4Ntu_{0}}$, $\Lambda(\lambda)=\dfrac{1-e^{-2\lambda Ntu_{0}}}{1-C_{r}e^{-2\lambda Ntu_{0}}}$

(44)의 $\Phi_{t}$는 현열 열교환기의 유용도, 식(45)의 $\Phi_{m}$은 제습기의 제습 효율로 이해할 수 있으며 각각 제습휠의 현열 교환 및 제습 성능의 지표로 사용할 수 있다. 식(48)에 정의한 $Ja_{a}$와 $Ja_{s}$는 각각 흡착 잠열에 대한 공기의 현열비와 제습제의 현열비를 의미하는 제습제의 열역학적 특성값으로 제습휠의 성능에 큰 영향을 미친다. 예를 들어 제습제의 흡습 능력이 매우 작으면 제습휠의 성능은 로터리 열교환기와 다르지 않을 것이다. 이는 위의 결과에 $Ja_{s}\rightarrow\infty$를 고려하면 식(46)은 $v_{1}\rightarrow 0$, $v_{2}\rightarrow\left(i_{ads}/C_{ps}\right)Ja_{s}$, 식(47)은 $\lambda_{1}\rightarrow X_{n}/\left(1+X_{n}\right)$× $\left(1-C_{r}\right)/2$, $\lambda_{2}\rightarrow 0$를 예측하여 식(44)의 $\Phi_{t}$는 선행연구(10)의 로터리 열교환기의 유용도에 접근하고 식(45)의 $\Phi_{m}$은 0에 접근하는 사실로 확인할 수 있다.

제습제의 평형상태 방정식을 포함하여 $Ja$수의 계산에 필요한 기울기들은 부록 A에 정리하였다. $Ja$수는 제습제의 평균 상태를 기준점($\chi_{0}$,$w_{0}$,$T_{0}$)으로 정해 계산해야 하지만 이 기준점은 문제를 풀기 전에는 정확히 알 수 없으므로 여기서는 아래의 경험적인 기준점을 사용하였다.

(49)
$T_{0}=\dfrac{1}{2}\left(T_{\omega \rightarrow 0}+T_{\omega \rightarrow\infty}\right)$
(50)
$\chi_{0}=\dfrac{1}{2}\left(\chi_{h, in}+\chi_{c, in}\right)$

(49)에서 $T_{\omega \rightarrow 0}$와 $T_{\omega \rightarrow\infty}$는 식(51) ~ 식(52)에 정의하였다.

(51)
$T_{\omega \rightarrow 0}=\dfrac{1}{2}\left(T_{h, in}+T_{c, in}\right)$
(52)
$T_{\omega \rightarrow\infty}=T_{h, in}+\Delta T_{\max}\left(1-C_{r}\varepsilon_{\infty}\right)\left[\left(\dfrac{1}{1-C_{r}}-\dfrac{1}{2}\right)\dfrac{1-e^{-Ntu_{0}\left(1-C_{r}\right)}}{Ntu_{0}\left(1-C_{r}\right)}-\dfrac{1}{1-C_{r}}\right]$

(51)의 $T_{\omega \rightarrow 0}$는 회전속도가 0에 접근할 때 평균 제습벽 온도이고 식(52)의 $T_{\omega \rightarrow\infty}$는 회전속도가 $\infty$일 때 평균 제습벽 온도로서 유용도가 $\varepsilon_{\infty}$(=$\varepsilon$($Ntu_{0}$,$C_{r}$))인 일반 대향류 열교환기의 평균 전열벽 온도와 같다. 식(49)에서 $T_{0}$는 이들 두 극한값의 산술평균으로 가정하였다. 식(50)에서 $\chi_{0}$는 단순히 두 입구 습도의 산술평균으로 정의하였다. 아래에는 $0.5\le C_{r}\le 1$, $1\le Ntu_{0}\le 5$, $10^{-2}\le C_{r}^{*}\le 10$의 영역에서 근사해와 부록 B의 수치모델로 예측한 $\Phi_{t}$와 $\Phi_{m}$을 비교하고 오차를 분석하였다(운전조건은 Table B3를 참조).

Fig. 3에 $C_{r}$=1의 경우에 근사해와 수치모델로 예측한 $\Phi_{t}$와 $\Phi_{m}$를 제시하였다. Fig. 3(a)에서 $\Phi_{t}$는 일정 $Ntu_{0}$ 조건에서 $C_{r}^{*}$에 비례하여 증가하며 $C_{r}^{*}$→∞ 조건에서 일반적인 대향류 열교환기의 유용도($\varepsilon_{\infty}$)에 수렴한다. 한편 Fig. 3(b)에서 $\Phi_{m}$은 $C_{r}^{*}$에 비례하여 증가하다가 $0.1<C_{r}^{*}<0.3$ 영역에서 최댓값을 보인 후 감소하여 $C_{r}^{*}$→∞ 조건에서 0에 수렴하는 것을 볼 수 있다. 근사해는 전반적으로 수치해와 잘 일치한다. 근사해의 오차는 $Ntu_{0}$에 비례하여 커지는데 예를 들어 Fig. 3(b)에서는 $Ntu_{0}$=5일 때 수치모델이 $C_{r}^{*}$=0.2에서 $\Phi_{m}$을 약 0.56으로 예측하고 근사해는 약 0.59를 예측하여 최대오차는 약 0.03이다.

$C_{r}< 1$의 영역에서 0.1 단위로 $C_{r}$을 변경하며 같은 계산을 반복하였고 Fig. 4(a) ~ (b)에 대표적으로 $C_{r}$=0.5의 결과를 제시하였다. Fig. 3의 결과와 비교하면 경향은 같지만 전반적으로 $\Phi_{t}$는 크게, $\Phi_{m}$은 작게 예측되었다. $C_{r}$이 근사해의 최대오차에 미치는 영향은 크지 않은 것으로 보인다. Fig. 4(b)에서 $Ntu_{0}$=5, $C_{r}^{*}$=1에서 수치모델은 $\Phi_{m}$을 약 0.3, 근사해는 약 0.27로 예측하여 최대오차는 약 0.03이다.

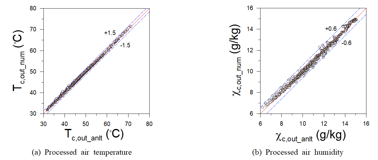
오차 수준에 대한 직관적인 이해를 위해 총 750개의 조건에서 근사해와 수치모델로 예측한 저온 공기의 출구 습도($\chi_{c, out}$)와 온도($T_{c, out}$)를 Fig. 5에서 비교하였다. Fig. 5(a)에서 근사해가 예측한 출구 온도의 최대오차는 ±1.5 K, Fig. 5(b)에서 출구 습도의 최대오차는 ±0.6 g/kg 수준임을 볼 수 있다. 수치모델의 복잡성과 긴 계산시간을 고려하면 이 수준의 오차는 많은 경우에 용인될 수 있을 것이다.

Fig. 3 Prediction of $\Phi_{t}$ and $\Phi_{m}$ ($C_{r}$=1).

../../Resources/sarek/KJACR.2026.38.1.26/fig3.png

Fig. 4 Prediction of $\Phi_{t}$ and $\Phi_{m}$ ($C_{r}$=0.5).

../../Resources/sarek/KJACR.2026.38.1.26/fig4.png

Fig. 5 Error of the analytical model.

../../Resources/sarek/KJACR.2026.38.1.26/fig5.png

4. 결 론

제습휠의 회전주기를 따라 진동하는 제습제 온도와 함수율의 주기함수를 삼각함수로 근사하여 지배방정식의 근사해를 유도하였다. 채널 내부의 임의 위치에서 온도와 수분의 시간 평균 함수를 구하고 이를 사용하여 제습휠의 성능을 예측하였다. 분할비 1:1($\beta =1/2$), 공기 $Le$수 1($Le_{f}=1$), 제습제의 전달저항을 무시한 ($Bi \rightarrow 0$) 조건에서 수치모델과 비교한 결과 $0.5\le C_{r}\le 1$, $1\le Ntu_{0}\le 5$, $10^{-2}\le C_{r}^{*}\le 10$의 범위에서 출구 공기 온도의 최대오차가 ±1.5 K, 습도의 최대오차가 ±0.6 g/kg임을 확인하였다. 본 연구의 근사해는 단순하면서도 정확성이 높아 신속하게 많은 양의 계산을 반복해야 하는 문제에 특히 유용할 것으로 생각된다.

후 기

본 연구는 2025년 한국교통대학교 지원을 받아 수행하였음.

References

1 
Ge T. S., Li Y., Wang R. Z., Dai Y. J., 2008, A review of the mathematical models for predicting rotary desiccant wheel, Renewable and Sustainable Energy Reviews, Vol. 12, pp. 1485-1528DOI
2 
Maclaine-cross I. L., Banks P. J., 1972, Coupled heat and mass transfer in regenerators-prediction using an analogy with heat transfer, International Journal of Heat and Mass Transfer, Vol. 15, pp. 1225-1242DOI
3 
Van Den Bulck E., Mitchell J. W., Klein S. A., 1985, Design theory for rotary heat and mass exchangers-I. Wave analysis of rotary heat and mass exchangers with infinite transfer coefficients, International Journal of Heat and Mass Transfer, Vol. 28, pp. 1575-1586DOI
4 
Van Den Bulck E., Mitchell J. W., Klein S. A., 1985, Design theory for rotary heat and mass exchangers-II. Effectiveness number of transfer units method for rotary heat and mass exchangers, International Journal of Heat and Mass Transfer, Vol. 28, pp. 1587-1595DOI
5 
Stabat P., Marchio D., 2009, Heat and mass transfer modeling in rotary desiccant dehumidifiers, Applied Energy, Vol. 86, pp. 762-771DOI
6 
Lee G., Lee D. Y., Kim M. S., 2004, Development of a linearized model and verification of the exact solution for the analysis of a desiccant dehumidifier, Korean Journal of Air-Conditioning and Refrigeration Engineering, Vol. 16, No. 9, pp. 811-819Google Search
7 
Kim D. S., Choi Y. D., Lee D. Y., 2011, Development of a Simple Analytical Model for Desiccant Wheels-I. Approximate Solution of the Governing Equations, Korean Journal of Air-Conditioning and Refrigeration Engineering, Vol. 23, pp. 821-827Google Search
8 
Kang H., Choi S., Lee D. Y., 2018, Analytic solution to predict the outlet air states of a desiccant wheel with an arbitrary split ratio, Energy, Vol. 153, pp. 301-310DOI
9 
Kim D. S., Lee D. Y., 2013, Development of a General Analytical Model for Desiccant Wheels, Korean Journal of Air-Conditioning and Refrigeration Engineering, Vol. 25, pp. 109-118DOI
10 
Kim D. S., Lee D. Y., 2024, Simple Analytical Model for Counter-flow Rotary Heat Exchangers, Korean Journal of Air-Conditioning and Refrigeration Engineering, Vol. 36, pp. 221-232DOI
11 
Kloppers J. C., Kroeger D. G., 2005, The Lewis factor and its influence on the performance prediction of wet-cooling towers, International Journal of Thermal Sciences, Vol. 44, pp. 879-884DOI

Appendices

부록 A. 평형 상태 방정식

본 연구에서 제습제의 수증기압 $p_{w}$(kPa)는 제습제의 함수율 $w$(gwat/gads)와 온도 $T$(K)의 함수로 식(A1)과 같이 근사하였다.

(A1)
$\left(\dfrac{p_{w}}{p_{w}^{*}}\right)^{b}=\dfrac{w}{w_{\max}}$

여기서 $b$와 $w_{\max}$는 제습제의 특성값으로 문제에 따라 달리 주어지고 포화수증기압 $p_{w}^{*}$(kPa)는 식(A2)로 계산하였다.

(A2)
$p_{w}^{*}=0.61078\times\exp\left[\dfrac{17.269(T-273.15)}{T-35.85}\right]$

식(A1)으로부터 평형 공기의 절대습도 $\chi$(gwat/gda)는 $w$와 $T$의 함수로 다음과 같이 주어지는데 여기서 $R_{m}$(=$M_{w}/M_{a}$=0.624)은 물과 공기의 몰 질량비이다.

(A3)
$\chi =R_{m}\left[\dfrac{p_{atm}}{p_{w}^{*}}\left(\dfrac{w_{\max}}{w}\right)^{1/b}-1\right]^{-1}$

식(A3)으로부터 $w$를 $\chi$와 $T$의 함수로 식(A4)와 같이 쓸 수 있어 편리하게 사용할 수 있다.

(A4)
$w=w_{\max}\left[\dfrac{p_{w}^{*}}{p_{atm}}\left(\dfrac{R_{m}}{\chi^{*}}+1\right)\right]^{-b}$

식(14)의 선형 평형방정식에서 사용한 기울기는 주어진 기준점($\chi_{0}$,$w_{0}$,$T_{0}$)에서 식(A5) ~ 식(A6)으로 계산하였다.

(A5)
$\left(\dfrac{\partial\chi}{\partial T}\right)_{o}=\dfrac{\chi_{0}\left(\chi_{0}+R_{m}\right)}{R_{m}}\left(\dfrac{1}{p_{w}^{*}}\dfrac{dp_{w}^{*}}{d T}\right)_{T_{0}}$
(A6)
$\left(\dfrac{\partial\chi}{\partial w}\right)_{o}=\dfrac{\chi_{0}\left(\chi_{0}+R_{m}\right)}{R_{m}}\dfrac{b}{w_{0}}$

부록 B. 수치모델

Fig. B1에 수치모델의 계산 영역을 도시하였다. 계산 영역은 가로축의 시간 영역을 $m$등분($m$=$m_{1}$+$m_{2}$; $0\le t^{*}\le\beta$는 $m_{1}$등분, $\beta\le t^{*}\le 1$는 $m_{2}$등분)하고 세로축의 길이 영역 ($0\le\xi\le 1$)을 $n$등분하여 만든 총 $m\times n$개의 제어 체적으로 구성된다. 계산점은 각 제어 체적의 경계에 한 개씩 배열되도록 엇갈리게 배열하였으며 북쪽과 남쪽 계산점(○)에는 공기 변수($T_{a}$,$\chi_{a}$), 동쪽과 서쪽 계산점(●)에는 제습제 변수($T_{s}$,$w_{s}$)를 지정하였다. Table B1에는 그림에 음영으로 표시한 제어 체적$(i,\: j)$를 기준으로 이산화한 지배방정식, Table B2에는 그림에 표시한 경계(BC#1~3)에 대한 경계조건, 그리고 Table B3에 운전조건을 정리하였다. 경계조건과 지배방정식을 포함한 $N\times(N+1)$의 확장행렬($N=4mn+2(m+n)$)을 풀어 해를 구하였다. 비선형 평형방정식의 경우에는 이전 단계의 계산 결과를 새 기준점($T_{0}=\overline{T}_{s, old}$, $w_{0}=\overline{w}_{s, old}$)으로 사용해 $\chi_{0}$, $(\partial\chi /\partial T)_{o}$, $(\partial\chi /\partial w)_{o}$를 업데이트하면서 반복 계산하면 수렴해를 얻을 수 있다.

Fig. B1 Computation domain for the numerical model.

../../Resources/sarek/KJACR.2026.38.1.26/figB1.png

Table B1 Discretized governing equations for control volume $(i,\: j)$

No. Equation
(B1) $\dfrac{T_{a(i,\: j+1)}-T_{a(i,\: j)}}{\xi_{j+1}-\xi_{j}}-C_{1}\left(\overline{T}_{s}-\overline{T}_{a}\right)=0$
(B2) $\dfrac{T_{s(i+1,\: j)}-T_{s(i,\: j)}}{t_{i+1}^{*}-t_{i}^{*}}+C_{2}\left\{\left[1+\dfrac{i_{ads}}{C_{pa}Le_{f}}\left(\dfrac{\partial\chi}{\partial T}\right)_{o}\right]\overline{T}_{s}-\overline{T}_{a}+\dfrac{i_{ads}}{C_{pa}Le_{f}}\left[\left(\dfrac{\partial\chi}{\partial w}\right)_{o}\overline{w}_{s}-\overline{\chi}_{a}\right]\right\}=-\dfrac{C_{2}i_{ads}}{C_{pa}Le_{f}}R_{(i,\: j)}$
(B3) $\dfrac{\chi_{a(i,\: j+1)}-\chi_{a(i,\: j)}}{\xi_{j+1}-\xi_{j}}-C_{3}\left[\left(\dfrac{\partial\chi}{\partial T}\right)_{o}\overline{T}_{s}+\left(\dfrac{\partial\chi}{\partial w}\right)_{o}\overline{w}_{s}-\overline{\chi}_{a}\right]=+C_{3}R_{(i,\: j)}$
(B4) $\dfrac{w_{s(i+1,\: j)}-w_{s(i,\: j)}}{t_{i+1}^{*}-t_{i}^{*}}+C_{4}\left[\left(\dfrac{\partial\chi}{\partial T}\right)_{o}\overline{T}_{s}+\left(\dfrac{\partial\chi}{\partial w}\right)_{o}\overline{w}_{s}-\overline{\chi}_{a}\right]=-C_{4}R_{(i,\: j)}$
$C_{1}=\dfrac{Ntu_{0}}{u^{*}(1-\beta)}$, $C_{2}=\dfrac{Ntu_{0}}{C_{r}^{*}\beta(1-\beta)}$, $C_{3}=\dfrac{Ntu_{0}}{u^{*}(1-\beta)Le_{f}}$, $C_{4}=\dfrac{Ntu_{0}\left(C_{ps}/C_{pa}\right)}{C_{r}^{*}\beta(1-\beta)Le_{f}}$
$\overline{T}_{s}=\dfrac{T_{s(i+1,\: j)}+T_{s(i,\: j)}}{2}$, $\overline{T}_{a}=\dfrac{T_{a(i,\: j+1)}+T_{a(i,\: j)}}{2}$, $\overline{w}_{s}=\dfrac{w_{s(i+1,\: j)}+w_{s(i,\: j)}}{2}$, $\overline{\chi}_{a}=\dfrac{\chi_{a(i,\: j+1)}+\chi_{a(i,\: j)}}{2}$
$R_{(i,\: j)}=\chi_{0}-\left(\dfrac{\partial\chi}{\partial T}\right)_{o}T_{0}-\left(\dfrac{\partial\chi}{\partial w}\right)_{o}w_{0}$

Table B2 Summary of the boundary conditions

Name Range of $i$ (or $j$) Boundary conditions
BC#1 $1\le i\le m_{1}$ $T_{a(i,\: 1)}=T_{h, in}$, $\chi_{a(i,\: 1)}=\chi_{h, in}$
BC#2 $m_{1}+1\le i\le m$ $T_{a(i,\: n+1)}=T_{c, in}$, $\chi_{a(i,\: n+1)}=\chi_{c, in}$
BC#3 $1\le j\le n$ $T_{s(m+1,\: j)}=T_{s(1,\: j)}$, $w_{s(m+1,\: j)}=w_{s(1,\: j)}$

Table B3. Summary of the simulation inputs

$T_{h, in}$(℃) $\chi_{h, in}$(gwat/gda) $T_{c, in}$(℃) $\chi_{c, in}$(gwat/gda)
80 0.015 30 0.015
$\rho_{a}$(kg/m3) $C_{pa}$(J/gK) $\rho_{s}$(kg/m3) $C_{ps}$(J/gK)
1 1 1,000 1
*$b$(-) *$w_{\max}$(gwat/gads) $i_{ads}$(J/g)
0.748 0.234 2,500
* Silica gel from Kim et al.(7)