오주홍
(Ju Hong Oh)
1
김선인
(Seon In Kim)
2
김의종
(Eui Jong Kim)
3†
-
인하대학교 산업과학기술 연구소 연구원
(Industrial Science and Technology Research Institute, Inha University, Incheon 22212,
Korea)
-
인하대학교 스마트시티공학과 박사과정
(Department of Smart City Engineering, Inha University, Incheon 22212, Korea)
-
인하대학교 건축공학과 정교수
(Department of Architectural Engineering, INHA University, Incheon, 22212, Korea)
Copyright © Korean Journal of Air-Conditioning and Refrigeration Engineering
키워드
건물 에너지 관리 시스템, 데이터 마이닝, 진단 프레임워크, 과냉방
Key words
BEMS, Data mining, Diagnostic framework, Overcooling
기호설명
$t_{\text{pma}(\text{out})}$:
지속 평균 외기온도 [℃]
$T_{\text{out}}$:
실외온도 [℃]
$T_{\text{room}}$:
실내온도 [℃]
$T_{\text{set}}$:
설정온도 [℃]
$Q_{\text{sol}}$:
일사량 [W/m2]
LAL:
실내 환경 허용온도 하한선 [℃]
OH:
운전시간 [h]
$P_{\text{OC}}$:
과냉 진단 확률 [%]
1. 연구배경 및 목적
글로벌 기후위기 확산에 따라 국제사회에서는 탄소중립 논의가 확산되고 있으며 국내에서도 2050년 탄소 중립을 목표 달성을 위한 다양한 정책이 추진되고
있다.(1) 건물 부문에서는 녹색건축물 기본계획을 수립하고 2017년부터 제로에너지건축물(ZEB, Zero energy building) 인증제도를 시행․운영하고
있다.(2) 기존에는 공공건축물에 한해 인증을 의무화하였지만 2025년부터 민간에도 확대 적용되었다.(3) ZEB은 건축물에 필요한 에너지 부하를 최소화하고 신에너지 및 재생에너지를 활용하여 에너지 소요량을 최소화하는 녹색건축물을 의미한다.(4) ZEB 인증을 위해서는 건축물 에너지효율화 기능의 지속적인 운영 및 관리 상태를 평가할 수 있는 건물 에너지 관리 시스템(BEMS, Building
Energy Management System) 설치가 필수 요건이다.(5)
BEMS는 건물의 각종 설비와 환경 데이터를 수집하여 중앙에서 종합 분석함으로써 문제점을 진단하고 운영을 개선하기 위해 도입되었다. 그러나 실제 현장에서는
주로 실시간 에너지 사용량 모니터링이나 특정 설비 상태 확인과 같은 수동적이고 제한적인 목적으로만 활용되고 있다.(6) 즉, 대부분의 경우 단순한 현황 파악이나 사후 경보 확인 수준에 머물러 있어 선제적인 제어 전략 도출 도구로는 활용되지 못하는 “데이터는 풍부하지만
정보는 빈곤한(Data-rich, information-poor)” 상황에 놓여 있다.
이러한 데이터와 정보 사이의 간극은 지속적인 운영 비효율로 이어질 수 있고 과도한 냉난방 공급은 그 대표적인 증상이다. 과냉방이나 과난방과 같은 비효율적인
온도 제어는 재실자에게 불쾌감을 유발할 뿐만 아니라 건물 탄소중립 및 운영 최적화 목표에 정면으로 위배되는 에너지 낭비 요인이다. 특히 개별 제어형
분산 시스템이 설치된 중소형 건물의 경우 공간별로 독립적인 가동․정지 및 설정온도 조정이 가능하지만, 시스템 운영자의 전문 지식 부족으로 인해 적극적인
제어가 이루어지지 않아 비효율적인 제어가 발생하기 쉽다. 이러한 공간별 개별 제어 시스템은 사용 공간의 가변적 운용에는 유리하지만, 부적절한 설정이나
과도한 가동 시 에너지 낭비가 발생하기 쉬운 구조적 특성을 갖고 있다. 따라서 BEMS 데이터를 분석하여 과도한 냉난방 공급과 같은 운영 비효율의
원인을 정확히 진단하고 실질적인 해결 방안을 모색하는 것이 매우 중요하다.
선행 연구에서는 BEMS 데이터 활용을 통한 건물 운영 효율화 방안을 다양한 측면에서 제시해 왔다. Hwang et al.(7)은 BEMS 데이터를 사용하여 쾌적지표(Predicted Mean Vote, PMV) 가상센서와 Holistic Operational Signatures(HOS)를
통해 건물의 디지털 트윈 환경을 구축하고 운영단계에서의 구체적인 절감 방안을 제시하였다. 그러나 건물별 개별 모델 개발이 필요하여 일반화가 어렵고
비효율적 운전 발생 원인에 대한 분석이 제한적이었다. Zhong et al.(8)은 캠퍼스 건물을 대상으로 PMV를 사용하여 과냉각 규모를 진단하고 에너지 영향을 정량화하였으며, 냉방 설정온도 개선에 따른 에너지 절감량을 시뮬레이션으로
추정하였다. 그러나 PMV 계산 시 실내온도 외에는 모두 가정값을 사용하여 쾌적성 추정의 불확실성이 높고, 과냉각 원인 규명을 위한 인과적 분석이
제한적이었다. Hwang et al.(9)은 연구소 건물의 BEMS 데이터를 활용하여 계절을 5구간으로 나누고 대표일 기반의 계절별․일일 요인을 정의하여 전력소비량 분석 및 진단 방안을 제시하였다.
시간대별(경․중․최대부하) 및 피크․상시부하의 소비 패턴을 분석하고 구조적 원인을 진단하여 운영개선 시나리오를 도출하였으나, 휴리스틱 기반의 계절별․일별
대표 지표 정의로 인한 민감도 표현의 한계와 설계 부하 적용으로 인한 실제 에너지 소비와의 인과적 연계를 약화시켰다.
이처럼 BEMS 데이터를 활용하여 의미 있는 정보를 도출하고 실제 운영 의사결정에 반영하려는 연구들이 수행되었으나 공통적으로 기존 연구들은 실행 가능한
제어전략 도출에 한계를 보였다. 건물별 개별 모델 개발의 필요성으로 인한 일반화의 어려움, 가정값 사용으로 인한 불확실성, 그리고 인과적 분석의 제한
등의 측면에서 한계가 있었다. 이로 인해 진단 결과를 건물 관리자가 활용하기 어렵게 만들었고 실행가능한 제어전략으로 이어지지 못했다. 특히 일반적인
업무시설에서는 공간별 상세 데이터 계측이 제한적이고 이로 인해 많은 변수를 가정값으로 사용하거나 정적인 규칙 기반 진단에 의존해야 하는 상황이 이러한
문제를 더욱 심화시켰다.
결론적으로, 실제 운영 데이터를 기반으로 비효율의 근본 원인을 체계적으로 규명하고 비전문가인 실제 운영자가 실행 가능한 개선안을 도출할 수 있는 데이터
기반의 재현 가능한 분석 프레임워크의 정립이 시급하다. 특히 과냉방과 같은 이상 상태의 단순 탐지를 넘어 해당 현상의 발생 시점(When)․공간적
범위 (Where)․기저 요인(Why)을 인과적으로 식별하고 이를 해소하기 위한 구체적 방법론은 아직 체계화되지 않았다.
따라서 본 연구의 목적은 기존 BEMS 계측 데이터를 활용하여 건물의 실제 운영 행태를 정량적으로 분석하고 문제점을 진단하며, 운영을 개선할 수 있는
방법을 도출할 수 있는 진단 프레임워크를 체계화하는 것이다. 이를 위해 통계적 분석과 데이터 마이닝을 통해 운영 데이터 속 유의미한 패턴과 규칙을
발굴하고, 분석 결과를 ‘정보’로 구조화하여 합리적 의사결정을 지원함으로써 수동적 모니터링을 넘어 운영단계에서의 실질적 에너지 절감과 제어 행태 개선을
실현하는 것을 목표로 한다.
이를 요약하여 본 연구의 기여를 정리하면 다음과 같다.
첫째, 체계적인 진단 프레임워크를 제시한다. 데이터 수집 및 전처리부터 상태 진단, 운영 가이드 제시까지를 포함하는 방법론을 제안하여 체계적인 분석
로드맵을 제공한다.
둘째, 운영자가 실행 가능한 정보를 도출한다. 복잡한 데이터 분석 결과를 “만약 특정 조건(If)이라면, 특정 조치(Then)를 수행하라” 형태의
명확한 조건부 규칙으로 변환하여, 비전문가인 건물 관리자가 즉시 실행하거나 BEMS에 프로그래밍할 수 있는 실행 가능한 지침을 제공함으로써 분석과
실제 조치 사이의 간극을 좁힌다.
2. 연구 방법
본 연구는 건물에너지관리시스템 BEMS(Building Energy Management System)로부터 수집된 시계열 데이터를 활용하여 건물의
실제 운영 상태를 진단하고, 데이터 기반의 운영 효율화 방안을 제시하는 분석 프레임워크를 제안한다. Fig. 1과 같이 제안된 프레임워크는 (1) 데이터 준비(Data preparation), (2) 상태 진단(Status diagnosis), (3) 운영
가이드(Operation guidance)의 3단계로 구성된다. 본 연구는 대상 건물의 BEMS 서버에 저장된 실시간 계측 데이터를 기반으로 수행하며,
분석 데이터에는 외기 환경 데이터(외기온도, 일사량 등), 공간별 실내 온열환경 데이터(실내온도, 설정온도, 운전 신호 등), 설비 에너지 소비량
데이터가 포함된다. 분석의 신뢰성 확보를 위해 전체 분석 기간 동안 수집된 원시 데이터에서 이상치(Outlier) 및 결측값을 전처리하여 사용하였다.
첫 번째 단계(Phase 1)에서는 분석에 필요한 데이터의 수집 및 전처리를 수행한다. 외기 환경 데이터, 실내 온열환경 데이터, 설비 운전 데이터
등을 수집하고, 기상 데이터와 실내 환경 데이터 간의 정합성을 검토한다. 이후 적응형 쾌적 모델(Adaptive comfort model)을 적용하여
각 공간별 쾌적 온도 범위를 산정하고, 이를 진단 기준(Comfort criteria)으로 정의한다. 적응형 쾌적 모델은 외기온도 변화에 따라 동적으로
변화하는 쾌적 범위를 제공하기 때문에 외부 환경의 특성을 반영한 진단이 가능하다. 두 번째 단계(Phase 2)에서는 산정된 쾌적온도 범위를 기준으로
실내온도를 비교하여 운영 상태를 분류한다. 실내온도가 적응형 쾌적 범위의 하한선보다 낮을 경우 ‘과냉(Overcooling)’ 상태로, 쾌적 범위
내에 있을 경우 ‘정상(Normal)’ 상태로 분류한다. 분류 결과를 바탕으로 과냉이 빈번하게 발생하는 문제 구역을 식별하고 공간별 과냉 발생 빈도를
분석한다. 이후 과냉이 발생하는 조건 및 패턴을 분석하여 원인을 파악하고 이를 통해 비효율적으로 운영되는 공간과 원인을 분석한다. 마지막 단계(Phase
3)에서는 진단 결과를 실질적인 개선 방안으로 전환하는 과정을 수행한다. 문제 구역에서 나타나는 과냉 패턴을 규칙(Rule) 형태로 추출하고, 이러한
패턴이 발생하는 조건을 체계화한다. 추출된 패턴을 바탕으로 건물 관리자가 실제 운영에 반영할 수 있는 조건별 맞춤형 제어 전략과 개선 가이드를 제시한다.
이는 BEMS 데이터를 단순 모니터링하는 수준을 넘어서 분석 결과를 실질적인 운영 개선 조치로 전환하는 것을 목표로 한다.
본 연구에서는 제시한 분석 프레임워크의 적용 가능성을 검증하기 위해 2024년 7월부터 9월까지 3개월간의 여름철 냉방 운전 데이터를 대상으로 분석을
수행하였다. 이를 통해 실제 건물의 냉방 운영 현황을 진단하고 효율 개선 가능성을 검증함으로써, 제안된 프레임워크의 실용성과 유효성을 검증하고자 한다.
Fig. 1 Research framework for BEMS data-based building operation diagnosis.
3. 대상 건물 및 분석 방법
3.1 대상 건물 개요 및 계측 현황
분석 대상 건물은 2022년 제로에너지빌딩 본인증을 취득한 연면적 400.73 m², 지상 2층 규모의 제1종 근린생활시설이다. 건물은 사무공간과
부대시설(주방, 샤워실, 직원 숙소)로 구성되어 있고 주 용도는 사무업무와 직원 숙박 지원이다. Fig. 2와 같이 1층은 사무실로, 2층은 직원 숙소로 운영되고 있다. 건물의 주요 냉난방 설비는 전기식 히트펌프(EHP, Electric Heat Pump)
시스템으로, 1대의 실외기와 8대의 실내기로 구성된 개별 제어형 분산 시스템이다. 각 실내기는 독립적인 가동․정지 및 설정온도 조정이 가능하여 공간별
사용 패턴과 재실 특성에 맞춘 공간 단위 냉방 제어가 가능하다. Table 1과 같이 가장 큰 규모인 Office 3은 61.2 m² 면적에 13 kW급 실내기가 설치되어 고부하 사무공간 냉방에 대응하고 부하가 작은 직원 숙소에는
3.2 kW급 실내기가 설치되어 부하에 대응하고 있다.
Fig. 2 Floor plans of the building with EHP indoor unit arrangement.
Table 1 Zone classification with corresponding area and indoor unit capacity
|
Zone name
|
Indoor unit
|
Area (m2)
|
Indoor unit capacity (kW)
|
|
Office 1
|
Unit 00
|
19.0
|
5.2
|
|
Kitchen
|
Unit 01
|
20.9
|
5.2
|
|
Office 2
|
Unit 02
|
17.0
|
3.2
|
|
Office 3
|
Unit 03
|
61.2
|
13
|
|
Office 4
|
Unit 04
|
19.4
|
5.2
|
|
Staff accommodation
|
Room 1
|
Unit 05
|
16.6
|
3.2
|
|
Room 2
|
Unit 06
|
16.6
|
3.2
|
|
Room 3
|
Unit 07
|
16.6
|
3.2
|
대상 건물에는 BEMS가 설치되어 Table 2에 제시된 관제점에서 15분 간격으로 데이터를 모니터링하고 저장한다. BEMS를 통해 실내 환경정보, 외부 환경 변수, 설비 운전 정보 등 데이터를
수집하여 건물 운영 현황의 정확한 진단과 효율화 방안 도출을 위한 기반을 제공한다.
Table 2 Monitored data points and specifications in the BEMS
|
Data category
|
Monitoring point
|
Units
|
Data type
|
|
Indoor environmental data
|
Indoor air temperature
|
°C
|
Timestamp
|
|
Outdoor environmental data
|
Outdoor temperature
|
°C
|
|
Solar radiation
|
W/m2
|
|
EHP operation data
|
Setpoint temperature
|
°C
|
|
Operation signal
|
-
|
3.2 데이터 전처리 및 과냉 진단
본 연구에서는 냉방 부하가 집중되어 과냉 현상이 빈번하게 발생할 가능성이 높아 연구 목적에 적합한 7월부터 9월까지 3개월간의 여름철 냉방 운전 데이터를
분석에 활용하였다. 데이터의 신뢰성 확보를 위해 본 연구에서는 데이터 수집 과정에서 발생한 간헐적 통신 장애 및 장기 결측 구간을 분석에서 제외하여
보수적 전처리를 수행하였다. 먼저 간헐적 통신 장애로 발생한 장기 연속 결측치는 수학적 보간 시 데이터 왜곡을 야기할 수 있어 분석 대상에서 제외하였다.
또한 150분(10회) 이상 동일 값이 지속되는 센서 동결 현상은 관리 부재로 인한 오류로 간주하여 제거하였다. 전처리 과정에서 전체 데이터의 67.5%가
제외되었으나 이는 대상 건물의 운영 특성 및 데이터의 불확실성을 반영한 조치로, 이를 통해 분석 결과의 신뢰도를 확보하였다.
본 연구에서는 기계식 냉방이 가동되는 건물의 과냉 상태를 진단하기 위한 기준으로 ANSI/ASHRAE Standard 55-2023에 제시된 적응형
쾌적 모델(Adaptive Comfort Model)을 활용하였다. 적응형 쾌적 모델은 실내 열쾌적이 단순히 물리적 환경 조건에 의해서만 결정되는
것이 아니라 거주자의 적응 과정에 영향을 받는다는 가정에 기반한다. 이 모델은 장기적 적응(Long-term adaptation)과 단기적 적응(Short-term
adaptation)을 구분하여 접근한다. 장기적 적응은 계절 변화나 기후 특성에 맞춘 생리적․행동적 적응을 의미하며, 단기적 적응은 창문 개폐,
의복 조절, 활동 수준 변화와 같이 실시간 또는 일 단위로 이루어지는 조절 행위를 포함한다.(10)
본 연구는 현장 데이터의 가용성과 에너지 효율 진단이라는 목적을 고려하여 적응형 쾌적 모델을 과냉 진단 기준으로 선정하였다. 기존 PMV 모델은 BEMS
미계측 변수(기류, MRT 등)에 대한 가정값 의존도가 높아 진단의 불확실성을 초래하는 반면 적응형 모델은 외기온도를 단일 독립변수로 활용하여 데이터의
객관성과 재현성을 확보할 수 있다. 또한 적응형 모델의 80% 수용 하한선은 재실자의 적응 한계를 반영한 보수적 임계값으로서 좁은 열적 중립을 지향하는
PMV 모델보다 과냉에 의한 에너지 낭비를 판별하고자 하는 본 연구의 취지에 더 부합한다.
ANSI/ASHRAE Standard 55-2023에 따르면, 적응형 쾌적 모델은 재실자가 창문 개폐를 통해 온열 환경을 주도적으로 제어할 수 있으며
기계식 냉방이 없는 자연환기 공간에 적용하는 것을 원칙으로 한다. 이 모델은 재실자의 만족도에 따라 쾌적 온도 범위의 하한 및 상한 한계값을 계산할
수 있으며, 식(1) ~ (4)를 통해 80% 및 90%의 재실자가 만족하는 쾌적 온도 범위를 구할 수 있다.
본 연구에서는 적응형 쾌적 모델을 기계냉방 환경의 쾌적성 평가에 직접 적용하는 것이 아니라 기존에 계측 가능한 실내 온열환경 변수들을 활용하여 동적
벤치마크(Dynamic benchmark) 및 진단 임계값(Diagnostic threshold)으로 사용하는 방법을 적용하였다.
본 연구에서는 ‘과냉(Overcooling)’을 재실자의 주관적 쾌적감과는 구별되는 에너지 효율 관점의 용어로 사용하였다. 즉, 적응형 쾌적 모델이
제시하는 쾌적 온도 하한선 이하로 실내 온도를 낮추기 위해 에너지가 투입되는 상태를 의미한다. 이러한 정의에 근거하여, 적응형 쾌적 모델의 하한선(Lower
acceptability limit)을 과냉 판단의 기준으로 설정하였다. 즉, 실내온도가 적응형 쾌적 범위의 하한선보다 낮을 경우 비효율적인 과냉
상태로 진단하는 것이다.
최근 다양한 연구에서 적응형 쾌적 모델의 원리를 기계냉방 건물의 진단 도구로 활용한 사례가 보고되고 있다. Aguilera et al.(11)은 기계식 냉방 장치가 설치된 건물에 적응형 쾌적 제어를 적용하였다. 이 연구에서는 실내온도가 적응형 쾌적 모델의 상한을 넘으면 기계식 냉방을 작동시키는
제어 전략을 적용하고, 적응형 쾌적 모델의 상한선을 설정온도로 두어 에너지 사용과 실내 온열 쾌적 분포를 평가하였다. Sánchez-García et
al.(12)도 냉난방 기기가 설치된 건물에서 적응형 쾌적 모델을 제어 시스템에 통합하였다. 이들은 매 시간 단계(Time step)마다 적응형 쾌적 범위를 설정온도로
적용하고, 이를 PMV 기반 온도 설정과 비교 분석하였다. 이러한 선행 연구들은 적응형 쾌적 모델이 원래의 적용 범위를 벗어나 기계냉방 환경에서도
유의미한 진단 임계값으로 활용 가능함을 시사한다.
본 연구에서는 7일 평균 외기온도를 사용하여 적응형 쾌적 모델을 계산하였으며, 기계식 냉방 시스템이 가동되는 건물의 과냉 상태를 진단하기 위한 기준으로
활용하였다. 이는 기존의 정적인 온도 기준 대신 외기온도 변화에 따라 동적으로 변화하는 벤치마크를 제공함으로써 계절적 변화를 반영한 보다 정확한 과냉
진단이 가능하다는 장점이 있다.
4. 분석 결과 및 진단
Fig. 3은 대상 건물의 각 공간에서 수집된 데이터를 ASHRAE Standard 55의 적응형 쾌적 모델 기준에 따라 정상과 과냉으로 분류한 결과를 나타낸다.
공간별 과냉 발생률을 비교한 결과, ‘사무실 1’에서 70.7%, ‘주방’에서 46.9%의 과냉 비율을 나타내어 다른 공간들(≤10%)에 비해 현저히
높은 것으로 나타났다.
이러한 공간별 차이는 각 공간의 사용 패턴, 재실 특성, 그리고 냉방 시스템 운영 방식의 차이에 기인하는 것으로 판단된다. 본 연구에서는 과냉 발생률이
가장 높은 ‘사무실 1’을 대상으로 과냉 발생 원인과 개선 방안을 분석했다.
Fig. 3 Cooling state distribution by zone.
4.1 과냉과 정상 그룹 특성 비교
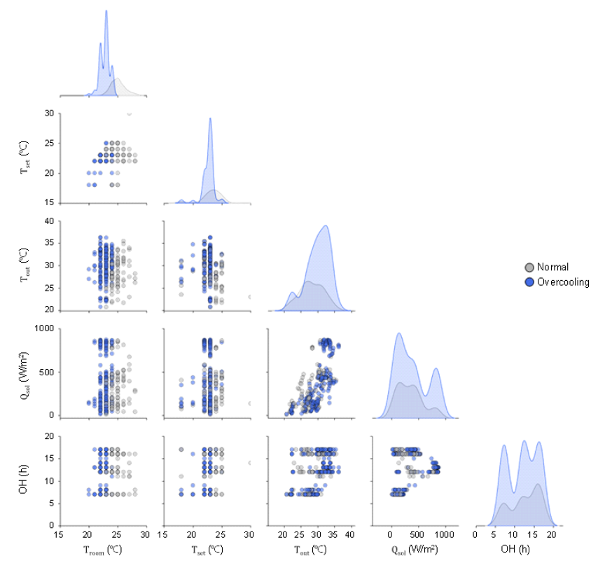
Fig. 4는 ‘사무실 1’에서 과냉 그룹과 정상 운전 그룹을 대상으로 실내온도, 설정온도, 실외온도, 일사량, 운전시간 간의 관계를 시각화한 결과이다. 분석
결과 과냉은 실내온도와 설정온도의 상관관계에 가장 민감한 것으로 나타났다. 실내온도의 커널밀도분포(Kernel density estimation)
분석에서 정상 그룹의 실내온도 분포는 과냉 그룹보다 높은 온도 영역에 집중되며 분산이 작게 나타났다. 반면, 과냉 그룹은 저온 측으로 치우치면서 분산이
큰 특성을 보였다. 설정온도와 실내온도의 산점도 분석에서 정상 그룹은 설정온도 24~25°C 구간에서 밀집하는 경향을 보인 반면, 과냉 그룹은 좌측
하방으로 확장되어 동일한 설정온도에서도 더 낮은 실내온도가 유지되는 운전 특성을 확인할 수 있었다. 또한 분석 과정에서 설정온도와 외기온도, 일사량
간에 뚜렷한 상관관계가 나타나지 않았다. 이는 현재 운영 중인 냉방 시스템이 외기 조건 및 일사 조건을 적절히 반영하지 못하고 고정적이거나 획일적인
스케줄로 운영되고 있는 것으로 해석된다.
Fig. 4 Pairwise distributions of key variables across overcooling and normal operation.
Fig. 5는 과냉 그룹과 정상 그룹의 주요 환경 변수 분포를 박스플롯으로 비교한 결과이다. 과냉 그룹의 실내온도 중앙값은 약 23°C로 정상 그룹의 중앙값인
25°C 대비 2°C 낮아 과냉 현상이 명확하게 확인된다. 반면 설정온도는 과냉 그룹이 정상 그룹보다 다소 낮게 설정되는 경향이 있으나 그 차이는
제한적이었다. 이는 과냉이 단순히 낮은 설정온도에 의해서만 발생하는 것이 아님을 의미한다. 또한 외부 부하가 적을 때 과냉이 쉽게 발생할 것이라는
일반적인 예상과는 다르게 일사량은 유사했고 과냉 상태에서의 실외온도의 중앙값이 정상 상태보다 오히려 높게 나타났다. 이는 높은 냉방 부하 조건에서
시스템이 과도하게 작동하여 과냉을 유발했다고 해석할 수 있다.
Fig. 5 Boxplot of key variables across overcooling and normal operation.
4.2 시간별 과냉 패턴 분석
Fig. 6은 ‘사무실 1’의 시간대별 운전 빈도와 과냉 비율을 나타낸 결과이다. 냉방 운전은 07:00-17:00의 고정 스케줄로 이루어졌으며 과냉은 특정
시점에 집중되는 뚜렷한 패턴을 보였다. 운전 시작 시점인 오전(07:00- 09:00)에서 07:00의 과냉 발생률은 약 75%에 달했으며, 이후
시간대에서도 운전 시 과냉 비율이 95%를 상회하는 심각한 수준을 나타냈다. 점심시간(12:00-13:00)에는 높은 운전 빈도와 함께 과냉 비율이
80%를 넘어섰으며, 오후(16:00-17:00)에도 80% 이상의 높은 과냉 발생률을 보였다. 본 결과는 과냉이 산발적으로 발생하는 우발적 현상이
아니라, 운영 조건과 스케줄에 따라 규칙적으로 반복되는 시스템적 문제임을 확인할 수 있다.
Fig. 6 Hourly profile of operation and overcooling rate.
Fig. 7은 과냉 그룹과 정상 그룹의 시간대별 주요 환경 변수(실외온도, 일사량, 실내온도, 설정온도)의 분포를 박스플롯으로 비교한 결과이다. 과냉이 발생하는
시간대의 실내온도는 정상 상태 대비 일관되게 낮게 나타났지만 과냉을 유발하는 설정온도와 외부 환경 조건의 영향은 시간대별로 상이한 패턴을 보였다.
시간대별 주요 변수들의 분석 결과 외부 환경, 시스템 제어 특성, 재실자 운전 행태가 복합적으로 상호작용하여 세 가지 주요 과냉 패턴이 확인되었다.
오전 시간대(07:00-09:00) 과냉은 높은 외부 부하 조건에서 부적절한 설정온도 운영으로 인해 발생하는 것으로 분석되었다. 오전 7시 기준,
과냉 그룹의 평균 외기온도는 27.3°C로 정상 그룹(25.3°C)보다 약 2°C 높았음에도 불구하고 실내온도는 평균 22.7°C를 기록하여 정상
그룹(25.1°C)보다 2.4°C 더 낮게 형성되었다.
과냉 그룹의 쾌적 하한온도(LAL)가 약 24.3°C임을 고려할 때, 달성된 실내온도는 재실자가 기대하는 최소 온도 기준을 평균 1.6°C 하회하는
수준이다. 이는 외부 조건 변화에 따른 재실자의 동적 쾌적 기준을 반영하지 못하는 정적 제어 전략의 한계 때문인 것으로 분석된다.
점심시간대(12:00-13:00)에는 외부 부하와 부하 간의 불일치로 인한 과냉의 주요 원인으로 분석되었다. 과냉 그룹은 정상 그룹 대비 평균 외기온도가
최대 6.4°C 높고 일사량이 크게 높은 환경에서 운전하였으나 실내온도는 정상 그룹보다 약 2°C 더 낮게 유지되었다. 이는 높은 외부 부하에 대응하기
위한 강력한 냉방이 해당 시간의 실제 부하를 초과했음을 의미하며, 점심시간 동안의 재실자 감소로 인한 내부 부하 변화를 실시간으로 반영하지 못했을
가능성을 시사한다.
오후 시간대(16:00-17:00)에는 부하 변화와 시스템 대응 간의 시간적 부조화가 과냉의 주요 원인으로 분석되었다. 16시에는 두 그룹 간 외기온도는
유사했지만 과냉 그룹의 평균 일사량은 281 W/m2로 정상 그룹(368 W/m2)보다 현저히 낮아 실제 부하가 감소하는 것으로 나타났다. 하지만 시스템은 제어 지연으로 감소된 부하에 신속히 대응하지 못하고 이전의 높은 냉방 출력을
유지하여 실내온도는 평균 23.2°C로 분석됐다. 17시에는 퇴근 시간과 맞물려 내부 부하가 감소하는 상황에서도 높은 외부 부하에 대응하던 시스템이
과잉 냉방을 지속하는 패턴이 관찰되었다. 이러한 오후 시간대의 과냉은 부하의 동적 변화를 시스템이 실시간으로 추종하지 못하는 관성 문제와 과거 온도에
따라 여전히 높은 재실자 쾌적 기준(평균 24.2°C)을 유지하는 현상 사이의 시간적 부조화에서 기인하는 것으로 판단된다.
Fig. 7 Hourly distributions of key variables across overcooling and normal operation.
Fig. 8은 과냉 발생 시점을 기준으로 45분 동안 주요 환경변수의 변화를 추적한 결과다. 오전 시간대 분석결과 과냉 발생 시점에 이미 실내온도가 쾌적 하한선을
하회하고 있었음에도 불구하고, 이후 약 30분 동안 온도가 지속적으로 하강하여 설정온도에 근접하였다. 이는 시스템이 재실자의 쾌적 기준 초과를 감지하지
못한 채 정적으로 제어함으로써 과냉 상태를 심화시켰음을 의미한다. 점심 시간대는 외기온과 일사량이 최고점에 도달하여 하루 중 외부 부하가 가장 크기
때문에 내부 부하가 일정하게 유지되면 실내온도는 정체되거나 상승하는 것이 일반적이다. 그러나 분석 결과 45분 동안 실내온도가 지속적으로 하강하는
패턴이 관찰되었다. 이를 통해 시스템이 공급하는 냉방 에너지가 부하를 크게 초과하는 점과 동시에 내부 부하 변화를 반영할 수 있는 알고리즘이 부재함을
확인할 수 있다. 오후 시간대 분석 결과 일사량 감소로 실제 냉방 부하가 줄어드는 상황에서도 실내온도는 안정화되지 않고 30분 이상 지속적으로 하강하였다.
이는 시스템이 이전의 높은 부하 상태에 맞춰 설정된 냉방 출력을 유지한 채, 실시간 부하 감소에 신속하게 대응하지 못하는 제어 지연 문제 때문인 것으로
판단된다. 결국 시스템은 현재가 아닌 과거의 부하 조건을 기준으로 운전함으로써 불필요한 과잉 냉방을 지속하고 있음을 확인할 수 있다.
Fig. 8 Overcooling-onset-aligned trajectories of key variables over 45 minutes.
4.3 과냉 체계화 및 개선 가이드
Fig. 9는 과냉 발생 경로를 ‘시간대-운전조건-유형’으로 체계화하여 유형별 발생 확률을 정량적으로 도출한 결과이다. 분석 대상 공간에서는 연구 기간 동안
총 182건의 과냉이 발생했고 시간대와 운전조건에 따른 과냉 발생 확률을 평가하였다. 분석 결과 오후 시간대에 사용자가 설정온도를 23.5°C 이하로
운전한 경우가 과냉 발생의 주된 원인으로 나타났다. 이 조건에서의 과냉 발생 조건부 확률은 74.7%에 달했으며 전체 과냉 발생 건수의 32.4%(59건)로
가장 큰 비중을 차지했다. 오전 시간대에는 실외온도가 25.8°C를 초과하는 조건에서 과냉 발생 확률이 82.5%로 나타났으며 전체 과냉의 28.6%(52건)에
해당하였다. 점심 시간대에는 실외온도가 29.6°C를 초과하는 고부하 상황에서 과냉 발생 확률이 89.5%로 가장 높게 나타났고, 이는 전체 과냉의
28.0%(51건)에 해당했다. 이런 정량적 분석 결과는 앞서 확인된 시간대별 과냉 메커니즘을 확률적으로 뒷받침한다. 시간대별 분석 결과는 각각 정적
제어 전략의 한계, 부하 불일치, 시스템 관성의 문제에 대한 정량적 근거를 제시한다.
분석 결과를 바탕으로 적용할 수 있는 유형 차별화된 제어 전략은 오전 시간대에는 실내온도가 24.5°C 이하일 경우 냉방 기동을 지연하거나 최소화하여
불필요한 조기 냉방을 억제할 수 있다. 점심 시간대에는 재실률 저하가 예상되는 시간 구간에 설정온도를 일시적으로 상향 조정하고, 재실자 복귀 시점에
맞추어 목표 온도로 복귀시키는 스케줄 기반 제어 방안을 활용할 수 있다. 오후 시간대에는 설정온도가 23.5°C 이하로 제한되지 않도록 하고, 부하
감소에 따라 점진적으로 설정온도를 상향 조정하는 방식으로 과냉을 방지할 수 있다.
Fig. 9 Overcooling classification with threshold criteria and conditional probabilities.
도출된 시간대별 제어 전략은 단순한 과냉 방지 기술을 넘어 현장의 데이터 과부하와 운영 전문성 부족 문제를 해결하는 실천적 가이드라인으로서 의의를
지닌다. 첫째, 방대한 BEMS 데이터의 해석 난이도를 낮추었다. 기존 시스템은 수많은 데이터 포인트를 나열하여 운영자에게 과도한 인지적 부하를 유발했으나,
본 프레임워크는 이를 조건부 과냉 발생 확률이라는 단일 지표로 정량화하여 정보의 효용성을 극대화했다. 둘째, 직관적인 행동 규칙을 수립하여 운영자의
전문성 격차를 해소했다. 복잡한 열역학적 분석을 배제하고 명시적인 조건-행동(If-Then) 구조를 도입했다. 이는 비전문가라 할지라도 데이터 신호에
따라 일관된 최적 제어를 수행할 수 있게 함으로써 인적 요인에 기인한 운영 비효율을 시스템적으로 차단하는 기제가 된다.
5. 결 론
본 연구에서는 BEMS로부터 수집된 실시간 냉방 운영 데이터를 기반으로 건물의 운영 현황을 진단하고, 효율화 방안을 도출하는 데이터 기반 분석 프레임워크를
제안하였다. 제안된 프레임워크는 데이터 전처리, 적응형 쾌적 모델 기반의 상태 진단, 과냉 원인 분석 및 운영 효율화 전략 제시의 3단계로 구성된다.
제안한 프레임워크를 실제 운영 중인 제로에너지빌딩에 적용하여 분석한 결과 과냉이 지속적으로 높은 비율로 발생하는 공간이 존재하는 것으로 진단되었다.
분석 결과 과냉방이 단순한 일회성 오류가 아니라 건물의 정적인 제어 스케줄과 동적 부하 변화에 적응하지 못하는 시스템의 한계에서 비롯된 체계적이고
예측 가능한 문제임을 확인할 수 있었다.
본 연구에서는 기존에 단순한 모니터링 목적으로 사용되던 BEMS를 진단과 제어 개선을 위한 도구로 전환할 수 있는, 검증되고 재현 가능한 방법론을
제시하였다. 이는 ‘데이터는 풍부하지만 정보는 빈곤한’ 상태를 극복하고, 건물 관리자가 기존 인프라를 활용하여 운영 효율을 극대화할 수 있는 방법을
제시한다는 의미가 있다.
특히 적응형 쾌적 모델을 진단을 위한 동적 임계값으로 활용한 것은 기존의 정적인 진단 방식에서 벗어나 외부 환경과 재실자 쾌적 기대치 사이에서의 동적인
진단을 할 수 있다는 데 의미가 있다. 이를 통해 기존에 ‘일률적으로 공급’하던 냉방을 ‘필요한 냉방’을 하는 방식으로 전환할 수 있다. 또한 문제
발생 이후 대응하는 수동적인 사후 관리에서 벗어나 비효율이 발생하는 공간, 환경, 원인을 정확히 분석함으로써 선제적으로 운영데이터 기반으로 제어를
개선하는 것을 가능하게 한다.
본 연구는 BEMS 데이터 기반 진단 프레임워크의 실효성을 제시했음에도 불구하고, 다음과 같은 한계를 지닌다. 첫째, 연구 범위의 한계이다. 본 연구는
특정 기간 동안 단일 건물(EHP 시스템)만을 대상으로 하였기에, 여기서 도출된 과냉 패턴과 임계값들은 대상 건물의 고유한 특성을 반영한다. 따라서
본 결과를 다른 용도, 구조, HVAC 시스템을 가진 건물에 직접 적용하여 일반화하기는 어렵다. 둘째, 진단 기준의 한계이다. 진단에 활용된 적응형
쾌적 모델은 대규모 현장 연구 기반의 통계적 표준이다. 이는 에너지 효율 진단을 위한 객관적 벤치마크로서는 유효하나, 분석 대상 건물에 상주하는 특정
재실자의 고유한 주관적 쾌적 선호도를 완벽하게 반영하지는 못할 수 있다. 셋째, 방법론 검증의 한계이다. 분석을 통해 도출된 운영 개선안을 실제 시스템에
적용하여, 에너지 절감량 및 쾌적도 개선 효과를 정량적으로 검증하는 단계까지는 이르지 못했다.
따라서 향후에는 제안된 프레임워크를 다양한 HVAC 시스템과 건물 유형에 확대 적용하여 방법론의 강건성을 확보하고, 실제 제어 로직에 개선안을 적용하여
그 효과를 실증하는 후속 연구가 필요하다.
Acknowledgements
본 연구는 2025년도 환경부 재원으로 한국환경산업기술원(KEITI)의 에너지수요관리핵심기술개발사업에 의한 결과의 일부입니다(과제번호 : RS-2025-02213313).
References
Korea Legislation Research Institute, 2021, Framework Act on Carbon Neutrality and
Green Growth for Coping with Climate Crisis

Ministry of Land, Infrastructure and Transport, 2025, The 3rd Basic Plan for Green
Buildings (2025-2029) to Achieve 2050 Carbon Neutrality

National Assembly Research Service, 2022, Current status and future challenges of
Zero-Energy Building certification

Korea Energy Agency - ZEB, , What is ZEB?

Korea Energy Agency - ZEB, , Certification system standards (requirements for installing
BEMS or remote metering devices)

Savadkoohi M., Macarulla M., Tejedor B., 2024, Analyzing the implementation of predictive
control systems and application of stored data in non-residential buildings, Energy
Efficiency, Vol. 17

Hwang J. M., Kim J. W., Yoon S. M., 2024, Building Energy Efficiency through the Application
of Digital Twin-based BEMS, Journal of the Korean Solar Energy Society, Vol. 44, No.
3, pp. 33-42

Zhong H., Guo M., Wang Y., Wang Z., 2023, Quantify the magnitude and energy impact
of overcooling in a sub-tropical campus building, Building and Environment, Vol. 231

Hwang J. H., Song D. S., Lee T. W., 2020, A Study on the Analysis and Diagnosis of
Power Consumption Characteristics of Research Institute Buildings Using BEMS Data,
Journal of the Korean Institute of Architectural Sustainable Environment and Building
Systems, Vol. 14, No. 6, pp. 613-625

Nicol J. F., Humphreys M. A., Roaf S., 2022, Adaptive thermal comfort: Principles
and practice, Routledge

Aguilera J. J., Bogatu D. I., Kazanci O. B., Angelopoulos C., Coakley D., Olesen B.
W., 2021, Comfort-based control for mixed-mode buildings, Energy and Buildings, Vol.
252

Sánchez-García D., Bienvenido-Huertas D., Pulido-Arcas J. A., Rubio-Bellido C., 2023,
Extending the use of adaptive thermal comfort to air-conditioning: The case study
of a local Japanese comfort model in present and future scenarios, Energy and Buildings,
Vol. 285
