Mobile QR Code QR CODE : Korean Journal of Air-Conditioning and Refrigeration Engineering
Korean Journal of Air-Conditioning and Refrigeration Engineering

Korean Journal of Air-Conditioning and Refrigeration Engineering

ISO Journal TitleKorean J. Air-Cond. Refrig. Eng.
  • Open Access, Monthly
Open Access Monthly
  • ISSN : 1229-6422 (Print)
  • ISSN : 2465-7611 (Online)

  1. 한국기계연구원 히트펌프연구센터 책임연구원 (Principal Researcher, Heat Pump Research Center, Korea Institute of Machinery and Materials, 156 Gajeongbuk-Ro, Yuseong-Gu, Daejeon, 34103 Korea)



대체냉매, 밀도측정, 포화상태, 진동튜브 밀도계
Alternative refrigerant, Density measurement, Saturation state, Vibrating tube density meter

기호설명

$m$: 질량 [kg]
$P$: 압력 [Pa]
$T$: 온도 [℃]
$V$: 부피 [$m^3$]

그리스 문자

$\rho$: 밀도 [$kg/m^3$]
$\tau$: 공진주기 [$\mu s$]

아래 첨자

$l$: 액체
$v$: 기체
$sat$: 포화상태

1. 서 론

지구온난화지수(GWP, Global Warming Potential)가 높은 HFC(Hydrofluorocarbon) 냉매 사용을 감축하는 것을 주요 내용으로 하는 키갈리 개정안 채택 이후 우리나라도 HFC 사용량을 2045년까지 80% 감축하는 것을 목표로 하며 친환경 냉매로의 전환을 추진하고 있다.(1) 건물용 히트펌프인 VRF(Variable Refrigerant Flow) 시스템에는 주로 R410A(GWP ~ 2088) 냉매가 사용되었고 최근에는 GWP가 낮은 R32(GWP ~ 675)로 전환되는 추세이다. 하지만, 여전히 GWP가 높은 상황이라 더 낮은 지구온난화지수를 가지는 Low-GWP 냉매에 관한 연구가 활발히 이루어지고 있다. 특히, 낮은 GWP를 가지는 HFO(Hydrofluoroolefin) 계열의 냉매와 다른 냉매를 조합하여 R410A에 뒤지지 않는 성능계수(COP) 및 체적 냉각용량을 가지는 혼합냉매를 개발하는 연구가 주목받고 있다. R1234yf와 CF3I는 GWP 지수가 낮고 가연성이 낮은 장점으로 인해 Low GWP 친환경 냉매의 구성 요소로 적합하지만, R1234yf-CF3I 혼합냉매의 상태방정식이 아직까지 확립되어 있지 않고 추정치를 사용하는 혼합 규칙(Mixing rule)을 통해 열역학적 물성값이 계산되고 있어 밀도값 등에서 큰 오차가 발생할 수 있다. 따라서, 기액상평형(VLE, Vapor-Liquid Equilibrium) 데이터와 함께 밀도값에 대한 정확한 측정 데이터를 기반으로 냉매 간의 상호작용 매개변수(Binary interaction parameter)를 최적화하여 더 정교한 상태방정식을 개발할 필요가 있다. 특히, 포화상태 부근에서 히트펌프 시스템의 설계가 주로 이루어지는 것을 고려할 때 포화상태 부근의 밀도값 측정이 중요하다고 할 수 있다.

혼합냉매의 밀도측정에는 크게 두 가지 방법이 사용되고 있다. 첫 번째는 정적법(Isochoric)으로 불리는 방법으로 부피를 정확하게 알고 있는 용기 내에 냉매를 주입한 후 질량을 측정하게 되면 초기 상태의 밀도($\rho=m/V$)를 알 수 있다. Higashi and Sakoda(2)는 정적법을 사용하여 R1234yf 냉매의 포화상태 밀도를 측정하였고, Higashi(3)는 같은 방식으로 R1234yf 50%와 R1234ze(E) 50% 혼합냉매의 포화상태 밀도를 측정하였다. Perera et al.(4)도 정적법을 사용하여 254 K 이상의 온도에서 R1132a 냉매의 밀도를 측정하였다. 정적법은 원리가 간단하고 부피와 질량만 정확히 측정하게 되면 밀도값을 정확하게 얻어낼 수 있는 장점이 있는 반면, 포화상태 밀도측정에서는 기체-액체 계면 변화를 관찰하면서 상태를 판정해야 하기에 정확성이 떨어질 수 있는 단점이 있다. 두 번째 방법은 진동튜브 밀도계(Vibrating tube density meter)를 사용하는 방법이다. 이 밀도계는 U-자형 튜브 내에 냉매를 넣고 진동을 인가하게 되면 튜브의 공진주기가 냉매의 밀도에 따라 변하는 특성을 이용한다.(5) Chang and Chen(6)은 진동튜브 밀도계를 활용하여 이산화탄소와 향료 혼합물의 밀도를 측정하였고, 같은 그룹의 Chen et al.(7)은 동일한 장치를 가지고 벤젠 등 다양한 탄화수소 이성분 혼합물의 액체와 기체 밀도를 측정하였다. Al Ghafri et al.(8)도 진동튜브 밀도계를 사용하여 8가지 HFC-HFO 이성분 혼합냉매의 액체 및 기체 상태 밀도를 측정하였다. 다만, 이 연구에서는 단상에서의 밀도측정을 수행하였고, 포화상태 부근에서 밀도값을 측정하지는 않았다. 최근에 Lee et al.(9)도 R32-R125 혼합냉매의 액체 상태와 기체 상태의 밀도를 진동튜브 밀도계를 활용하여 측정하였는데, 마찬가지로 단상 조건에서의 밀도측정이었다. 이전 연구를 살펴볼 때, 진동튜브 밀도계 방식을 활용하여 HFO 냉매와 다른 냉매를 혼합한 이성분 혼합냉매의 포화상태 부근 밀도를 측정한 결과는 아직까지 찾아보기 어렵다.

본 연구에서는 low GWP 친환경 냉매로서 R1234yf와 CF3I 혼합냉매의 포화상태 부근 밀도를 정확하게 측정할 수 있는 밀도측정 시스템을 구축하였다. 온도가 일정하게 유지되는 챔버 내에 진동튜브 밀도계와 평형셀을 함께 위치시키고 평형셀 내의 액체(또는 기체)를 튜브 내에 주입하여 포화상태 부근 밀도를 측정하였다. 이 밀도측정 시스템을 통해 7:3, 5:5, 3:7의 세 가지 공칭(Nominal) 질량비 조건에서 R1234yf-CF3I의 밀도값을 측정하였다. 여기서 제시하는 R1234yf-CF3I의 포화상태 부근 밀도값이 더 정확한 상태방정식을 도출하는 데 활용될 수 있을 것으로 기대된다.

2. 연구방법

2.1 포화상태 부근 밀도측정 실험 장치

R1234yf-CF3I 혼합냉매의 포화상태 부근 밀도측정을 위한 실험 장치의 개략도를 Fig. 1에 나타냈다. 밀도측정과 관련된 실험 장치들은 ±0.1 K 이내로 온도가 제어되는 항온 챔버 (Weisstechnik PRO C/340) 내에 위치한다. 냉매의 기체-액체 상평형 상태를 유지하는 평형셀(Vapor-Liquid Equilibrium, VLE), 밀도 측정을 위한 진동튜브 밀도계, 그리고 평형셀 내의 온도를 측정하는 표준 온도계와 밀도계 안의 냉매 압력을 측정하는 정밀 압력계가 이러한 챔버 내 실험 장치에 포함된다. 평형셀은 스테인레스 스틸로 제작되었고 내부를 관찰할 수 있도록 전면에 19 mm 두께의 강화유리를 부착하였다. 평형셀 내의 온도는 0℃에서 ±0.006℃의 정확도를 가지는 이차 표준 백금 저항 온도계(Secondary standard PRT, Fluke 5628)로 측정하였고, 압력은 최대 30 bar 범위에서 ±0.01%(Full scale) 정확도를 가지는 정밀 압력계(Keller PAA-33X)를 사용하여 측정하였다. 또한, 냉매배관 라인에는 공압 밸브가 장착되어 있어 냉매의 이송을 외부에서 제어할 수 있다. 챔버 외부에는 측정이 끝난 혼합냉매의 샘플링을 위한 샘플 실린더가 위치하며 실험 전후 냉매 배관 라인의 진공을 유지하는 진공 펌프가 연결되어 있다.

혼합냉매의 밀도를 측정하는 일련의 절차가 Fig. 2에 도시되어 있다. 먼저 공칭 질량 비율로 섞은 혼합냉매를 공급 라인을 통해 평형셀 안에 공급한다. 챔버 온도를 조절하여 평형셀 안의 냉매 온도를 원하는 온도로 설정하고, 평형상태에 이르면 평형셀과 밀도계를 연결하는 배관의 밸브를 열어 혼합냉매가 밀도계를 채우도록 한다. 기체 밀도를 측정할 때는 상단의 기체 부분과 연결된 밸브를 열어 기체 냉매로 밀도계를 채우고, 액체 밀도를 측정할 때는 하단의 액체 부분과 연결된 밸브를 열어 액체 상태의 혼합냉매가 밀도계를 채우게 된다.

Fig. 1 Test apparatus for density measurement of R1234yf-CF3I refrigerant mixture.

../../Resources/sarek/KJACR.2026.38.4.179/fig1.png

Fig. 2 Procedure for density measurement of R1234yf-CF3I refrigerant mixture.

../../Resources/sarek/KJACR.2026.38.4.179/fig2.png

기체(또는 액체) 냉매 주입 과정에서 밀도계에 주입되는 조성이 평형셀과 차이가 날 수 있는데, 이러한 차이를 최소화하기 위해 밀도계에 냉매를 주입한 다음 평형셀과 밀도계가 연결된 상태에서 충분한 시간(약 2시간가량)을 기다려 평형셀과 밀도계 내 냉매 질량 비율이 평형에 이르도록 한 후에 밀도를 측정한다. 밀도계 내부가 평형상태에 이르면 진동튜브 밀도계 내의 온도, 압력, 그리고 밀도를 측정하게 된다. 밀도 측정이 끝난 냉매는 챔버 외부의 샘플 실린더로 전달되고 이 샘플을 GC(Gas Chromatography) 분석기에 주입하여 정확한 냉매 조성을 분석한다.

2.2 진동튜브 밀도계 측정법

혼합냉매의 포화상태 부근 밀도 측정을 위해 진동튜브 밀도계(Anton Paar, DMA 4200M)를 사용하였다. 진동튜브 밀도계 안에는 U-자 형태의 튜브가 있고 이 튜브 안에 유체를 채우고 진동시켰을 때 튜브의 공진주기(Resonant period)가 유체 밀도에 따라 변하게 된다. 이 밀도계는 ±0.2 $kg/m^3$의 밀도 측정 정확도를 가지며, U-자 튜브 내 냉매 온도 측정에 대해서는 ±0.03℃의 정확도를 가진다. 진동튜브 밀도계의 공진주기 $\tau$와 유체의 밀도 $\rho$은 식(1)과 같은 상관관계를 가진다.(5)

(1)
$\rho(p, T) = X(p, T)\tau^2 - Y(p, T)$

여기서 $X$와 $Y$는 온도와 압력에 따라 변화하는 값이며 사용하는 진동튜브 밀도계에 따라 특정된다. 넓은 범위의 온도와 압력 조건에서 밀도를 알고 있는 기준 유체를 사용하여 $X$와 $Y$를 결정할 수 있으며, 본 연구에서는 온도와 압력의 2차 항까지 고려한 식(2)을 사용하여 $X$와 $Y$를 결정하였다.

(2)
$\rho(p, T) = A(1 + AT_1dT + AT_2dT^2 + AD_1dp + AD_2dp^2)\tau^2 \\ - B(1 + BT_1dT + BT_2dT^2 + BD_1dp + BD_2dp^2)$

여기서 $dT$는 측정 온도와 기준 온도의 차이를 나타내는데, 기준 온도를 273.15 K로 잡으면 $dT$는 섭씨온도로 나타낸 측정 온도와 같게 된다. 마찬가지로 기준 압력을 0 bar로 잡으면 $dp$는 bar로 나타낸 측정 압력을 나타낸다. 식(2)에서 $A$, $AT_1$, $AT_2$, $AD_1$, $AD_2$, $B$, $BT_1$, $BT_2$, $BD_1$, $BD_2$는 모두 공진주기와 밀도의 상관관계에서 온도와 압력의 영향을 나타내는 계수이다. 상관 계수를 도출하기 위해 기체 상태의 기준 유체로는 고순도의 질소(99.999%)와 이산화탄소(99.99%)를 사용하였고, 액체 상태의 기준 유체로는 에탄올(99.9%)과 에틸렌글리콜(99.9%)을 사용하였다. 먼저 기체 상태의 상관식은 –8.3℃에서 40℃의 온도 범위와 0(Vacuum)에서 26.6 bar의 압력 범위에서 측정한 기준 유체의 밀도값으로부터 아래 식(3)과 같이 도출되었다. 여기서 공진주기($\tau$)의 단위는 $\mu s$이다.

(3)
../../Resources/sarek/KJACR.2026.38.4.179/eq3.png

그리고, 액체 상태의 상관식은 0℃에서 40℃의 온도 범위와 1.03에서 26.52 bar의 압력 범위에서 측정한 기준 유체의 밀도값으로부터 아래 식(4)과 같이 도출되었다.

(4)
../../Resources/sarek/KJACR.2026.38.4.179/eq4.png

Fig. 3 Validation of fitting correlations for (a) vapor and (b) liquid states.

../../Resources/sarek/KJACR.2026.38.4.179/fig3.png

Fig. 3은 이 두 상관식으로 계산한 밀도값이 기준 유체의 밀도 측정값과 얼마나 잘 일치하는지를 검증한 결과이다. 기체 및 액체 상태 상관식은 측정값과 각각 0.086%, 8 × $10^{-4}$%의 낮은 평균 절대 백분율 오차(Mean Absolute Percentage Error, MAPE)를 나타내어 상관식이 측정값을 잘 반영하는 것을 알 수 있다. 본 연구에서 R1234yf-CF3I 혼합냉매의 밀도 측정의 온도 범위는 0 ~ 40℃이고 압력 범위는 3.04 ~ 10.27 bar로서 위에서 도출한 기체 및 액체 상관식의 온도, 압력 범위 안에 들어가는 것을 확인하였다.

실험에 사용한 진동튜브 밀도계의 온도 측정 정확도는 0.03℃이고, 밀도측정 정확도는 0.2 $kg/m^3$이다. 하나의 밀도값을 얻기 위해 동일 조건에서 3번의 반복 측정을 수행한 후 평균값을 사용하였다. 이 과정에서 반복 측정의 불확도를 산출하는 식은 아래 식(5)과 같다.

(5)
$u_r(\rho_f) = \sqrt{\frac{1}{n(n-1)}\sum_{i=1}^n(\rho_{fi} - \bar{\rho_f})^2} \quad (kg/m^3)$

여기서, $u_r(\rho_f)$는 밀도값의 반복 측정 불확도, $n$은 반복 횟수, $\rho_f$는 각 측정 밀도값, $\bar{\rho_f}$는 반복 측정 평균값을 나타낸다. 이 식을 통해 측정한 모든 밀도값의 반복 측정 불확도를 계산한 결과, 액체 상태의 경우에는 최대 0.001%로 미미하고, 기체 상태의 경우 최대 0.196%로 산출되었다. 밀도 측정 시스템의 불확도는 온도센서, 압력센서 및 밀도계의 표준불확도와 상관식의 Fitting 불확도, 그리고 반복 측정(3회) 불확도를 더하여 산출하였다. 이렇게 산출한 기체 상태 밀도 측정의 확장불확도는 최대 ±1.27%이고, 액체 상태 밀도 측정의 확장불확도는 최대 ±0.4%이다.

3. 실험결과

3.1 밀도 측정방법 검증: R32-R125 혼합냉매 밀도 측정

2장에서 기술한 밀도 측정방법이 혼합냉매에 관해 유효한지를 검증하기 위해 상태방정식이 확립되어 있는 R32-R125 혼합냉매를 가지고 밀도 측정을 수행하였다. 공칭 질량비 3:1의 비율로 R32와 R125를 혼합하였고, 이 혼합냉매의 기체 상태 및 액체 상태의 포화상태 부근 밀도를 측정하여 REFPROP10(10)의 값과 비교하였다. 평형셀 안 포화상태의 기체 또는 액체 혼합냉매를 진동튜브 밀도계의 U-자 튜브 내에 주입하는 과정에 U-자 튜브 내에서 재차 상변화가 발생할 우려가 있다. 이러한 진동튜브 내 상변화를 막기 위해 기체 상태 주입 과정에서는 U-자 튜브 내 온도를 평형셀 포화 온도보다 0.3℃ 정도 높게 유지하여(과열증기) 진동튜브 내에서 응축 발생을 막고, 반대로 액체 상태 주입 과정에서는 U-자 튜브 내 온도를 0.3℃ 정도 낮게 유지하여(과냉액) 진동튜브 내에서 증발을 막을 수 있다. 3.2절에서는 이러한 과열도 또는 과냉도를 줄여가면서 측정한 여러 개의 밀도값으로부터 포화상태 밀도값을 근사하는 방법을 제안한다.

Fig. 4 (a) Densities measured near the saturation state of R32-R125 refrigerant mixture (3:1 w/w, nominal), and (b) Comparison with densities obtained from REFPROP10.

../../Resources/sarek/KJACR.2026.38.4.179/fig4.png

Fig. 4(a)는 3:1 질량비를 가지는 R32-R125 혼합냉매의 기체와 액체 상태의 밀도 측정값을 나타낸다. 또한 혼합냉매의 조성과 온도, 압력 조건을 알기 때문에 REFPROP10으로부터 밀도값을 얻을 수 있고 이 값을 측정값과 같이 비교하여 Table 12에 나타냈다. 0℃에서 40℃까지 10℃ 간격으로 측정한 밀도 측정값이 REFPROP10으로 얻은 값과 근사하게 맞는 것을 볼 수 있다. 기체 상태에서 혼합냉매의 밀도 측정값은 REFPROP10 값과 평균 0.31% 오차를 나타냈고, 액체 상태에서는 MAPE가 더 작아져서 평균 0.08%의 오차를 나타냈다(Fig. 4(b)). R32-R125 혼합냉매의 기체 및 액체 상태 밀도 측정값의 오차가 작은 것을 통해 이 연구에서 구축한 밀도 측정 시스템이 혼합냉매 밀도 측정에 적합한 것으로 판단할 수 있다.

Table 1 Vapor densities measured near the saturation state of R32-R125 refrigerant mixture ($T_v$ = 0 ~ 40℃)

Mass fraction $T_v$ (℃) $P_v$ (bar) Density
measured
(kg/$m^3$)
Density
REFPROP10
(kg/$m^3$)
Error
(%)
R-32 R-125
0.7574 0.2426 0.00 8.099 25.78 25.66 0.062
0.7523 0.2477 10.00 10.953 34.88 35.00 0.337
0.7619 0.2381 20.00 14.630 46.91 47.25 0.707
0.7619 0.2381 30.00 19.129 63.33 63.55 0.336
0.7594 0.2406 40.00 24.625 85.61 85.70 0.108

Table 2 Liquid densities measured near the saturation state of R32-R125 refrigerant mixture ($T_l$ = 0 ~ 40℃)

Mass fraction $T_v$ (℃) $P_v$ (bar) Density
measured
(kg/$m^3$)
Density
REFPROP10
(kg/$m^3$)
Error
(%)
R-32 R-125
0.7521 0.2479 0.00 8.309 1108.8 1108.2 0.057
0.7544 0.2456 10.00 11.291 1069.9 1069.4 0.044
0.7562 0.2438 20.00 14.864 1028.5 1027.6 0.091
0.7495 0.2505 30.00 19.499 983.81 983.32 0.050
0.7414 0.2586 40.00 25.021 934.61 933.15 0.157

3.2 R1234yf-CF3I 혼합냉매 밀도 측정

3.1절에서 유효성을 검증한 혼합냉매 밀도 측정 방법을 R1234yf-CF3I 혼합냉매에 적용하여 포화상태 부근 밀도를 측정할 수 있다. Table 3은 공칭 질량비 7:3 조건으로 혼합한 R1234yf-CF3I 냉매의 $T_l$ = 0℃에서 액체 상태 밀도를 측정한 결과이다. 여기서 $T_l$은 진동튜브 밀도계 안 액체 냉매의 온도이며, 평형셀 안 냉매의 포화 온도 $T_{sat}$은 이 온도보다 0.1 ~ 0.3℃ 정도 높게 설정된다. 즉, 튜브 내 액체 냉매는 약간의 과냉도를 가지고 있어 상변화(증발)가 일어나지 않는 상태이다. 과냉도를 0.3℃에서 0.1℃로 낮춰가면서 3개 온도에서 밀도값을 측정하였다. Fig. 5(a)에서 보듯이 과냉도를 줄여가면서 포화 온도 $T_{sat}$과 진동튜브 내부 압력 $P_l$ 사이 관계를 도시할 수 있으며, 과냉도가 0이 되는 지점이 바로 포화 상태이며 튜브 내 압력 $P_l$의 추세선을 연장하여 이 지점에서의 포화 압력, $P_{sat}$을 얻을 수 있다. 예시로 든 $T_l$ = 0℃에서 포화 압력 $P_{sat}$ = 3.226 bar가 얻어진다.

Fig. 5(b)는 진동튜브 내 냉매 압력과 밀도의 상관관계를 보여준다. 과냉도가 있는 3개의 데이터로부터 추세선을 구할 수 있고 이 추세선을 연장하여 앞에서 얻어진 포화 압력($P_{sat}$ = 3.226 bar)과 만나는 지점의 밀도값을 얻을 수 있으며, 이 밀도값이 바로 혼합냉매의 포화상태 액체 밀도가 된다. 같은 방식으로 $T_{sat}$을 0℃부터 40℃까지 5℃ 간격으로 증가시키면서 포화상태 액체 밀도를 얻을 수 있었다.

같은 방식으로 혼합냉매의 포화상태 기체 밀도는 평형셀 안 냉매의 포화 온도 $T_{sat}$을 진동튜브 밀도계 안 기체 냉매 온도, $T_v$ 보다 0.1 ~ 0.3℃ 정도 낮게 설정하여 튜브 내 기체 냉매가 과열증기 상태로 응축이 일어나지 않게 조절하여 밀도값을 얻는다. 이렇게 얻은 3개의 데이터로부터 액체 밀도를 얻을 때와 마찬가지로 먼저 포화 압력을 산출하고 이 압력과 만나는 점의 포화상태 기체 밀도를 얻을 수 있다. Fig. 6(a) ~ (b)은 $T_{sat}$ = 0℃ 조건에서 포화상태 기체 밀도를 산출하는 과정을 그래프로 보여준다. 이와 같이 과열(액체의 경우 과냉) 상태 측정값으로부터 추세선을 연장하여 포화상태 밀도를 얻을 때, 추세선으로 얻은 포화상태 밀도값과 포화상태에 가장 근접한 측정값($\rho_v$ = 20.36 $kg/m^3$ at $P_v$ = 3.155 bar)과의 차이를 최대 오차로 볼 수 있다. 0 ~ 40℃ 범위의 모든 측정값에 대해 포화상태 밀도를 산출했을 때, 포화상태 액체 밀도의 오차는 최대 0.012%였고 포화상태 기체 밀도의 오차는 최대 0.91%로 계산되었다.

Table 3 Liquid densities measured near $T_{sat}$ = 0℃ of R1234yf-CF3I refrigerant mixture (nominal mass ratio, 7:3)

Mass fraction $T_{sat}$ (℃) $T_l$ (℃) $P_l$ (bar) Density
measured
(kg/$m^3$)
R1234yf CF3I
0.6942 0.3058 0.309 0.00 3.264 1359.8
0.214 0.00 3.253 1360.0
0.100 0.00 3.238 1360.2

Fig. 5 (a) $P_l$ vs. $T_{sat}$ and (b) $\rho_l$ vs. $P_l$ near $T_{sat}$ = 0℃ of R1234yf-CF3I refrigerant mixture (nominal mass ratio, 7:3).

../../Resources/sarek/KJACR.2026.38.4.179/fig5.png

Fig. 6 (a) $P_v$ vs. $T_{sat}$ and (b) $\rho_v$ vs. $P_v$ near $T_{sat}$ = 0℃ of R1234yf-CF3I refrigerant mixture (nominal mass ratio, 7:3).

../../Resources/sarek/KJACR.2026.38.4.179/fig6.png

Table 4Table 5는 공칭 질량비 7:3의 혼합비를 가지는 R1234yf-CF3I 혼합냉매의 기체 상태와 액체 상태의 밀도 측정값을 나타낸다. Table 4는 앞에 설명한 대로 포화상태 부근 0.1 ~ 0.3℃의 과열도를 가지는 기체 상태의 밀도 측정값이며, 굵은 글씨로 표시한 값은 추세선으로부터 산출한 포화상태 밀도값이다. 표에는 평형셀 내 냉매 온도가 표시되어 있지 않지만 굵은 글씨로 나타낸 포화압력보다 혼합냉매 압력이 낮은 것으로부터 혼합냉매 기체가 약간의 과열증기 상태임을 알 수 있다. 마찬가지로 Table 5는 포화상태 부근 0.1 ~ 0.3℃의 과냉도를 가지는 액체 상태 밀도 측정값을 보여준다. 추가적으로 공칭 질량비 5:5와 3:7 조건에서도 R1234yf-CF3I 혼합냉매의 밀도 측정값도 Appendix에 추가하였다. 공칭 질량비는 혼합냉매를 섞을 때 두 냉매의 질량비로서 평형셀 안에서 기체 및 액체 상태의 질량비는 온도에 따라 변화하기 때문에 최종적인 값은 GC 분석을 통해 얻을 수 있다. 각 표에 표시된 질량비는 이러한 GC 분석을 통해 얻어진 질량비를 나타낸다.

Table 4 Vapor densities measured near the saturation state of R1234yf-CF3I refrigerant mixture (nominal mass fraction, R1234yf : CF3I = 7 : 3)

Mass fraction $T_v$ (℃) $P_v$ (bar) $\rho_v$ (kg/$m^3$) Mass fraction $T_v$ (℃) $P_v$ (bar) $\rho_v$ (kg/$m^3$)
R-1234yf CF3I R-1234yf CF3I
0.7117 0.2883 0.00 3.120 20.04 0.72208 0.27792 25.00 6.744 41.97
0.00 3.136 20.26 25.00 6.765 42.22
0.00 3.155 20.36 25.00 6.784 42.55
0.00 3.165 20.47 25.00 6.785 42.54
0.7194 0.2806 5.00 3.704 23.06 0.70614 0.29386 30.00 7.731 48.30
5.00 3.714 23.17 30.00 7.760 48.55
5.00 3.726 23.40 30.00 7.784 48.86
5.00 3.729 23.43 30.00 7.792 48.93
0.7105 0.2895 10.00 4.334 26.80 0.71778 0.28222 35.00 8.832 55.48
10.00 4.349 26.94 35.00 8.853 55.70
10.00 4.367 27.14 35.00 8.877 56.08
10.00 4.382 27.28 35.00 8.882 56.14
0.7152 0.2848 15.00 5.054 31.59 0.71627 0.28373 40.00 10.105 63.66
15.00 5.071 31.80 40.00 10.128 63.92
15.00 5.086 32.17 40.00 10.155 64.39
15.00 5.090 32.20 40.00 10.172 64.61
0.7095 0.2905 20.00 5.871 36.51
20.00 5.891 36.70
20.00 5.912 37.04
20.00 5.918 37.10

Table 5 Liquid densities measured near the saturation state of R1234yf-CF3I refrigerant mixture (nominal mass fraction, R1234yf : CF3I = 7 : 3)

Mass fraction $T_l$ (℃) $P_l$ (bar) $\rho_l$ (kg/$m^3$) Mass fraction $T_l$ (℃) $P_l$ (bar) $\rho_l$ (kg/$m^3$)
R-1234yf CF3I R-1234yf CF3I
0.6942 0.3058 0.00 3.264 1359.8 0.69930 0.30070 25.00 6.974 1266.5
0.00 3.253 1360.0 25.00 6.956 1266.5
0.00 3.238 1360.2 25.00 6.941 1266.5
0.00 3.226 1360.4 25.00 6.936 1266.5
0.6902 0.3098 5.00 3.810 1343.5 0.69823 0.30177 30.00 7.993 1244.6
5.00 3.799 1343.5 30.00 7.978 1244.6
5.00 3.786 1343.5 30.00 7.960 1244.6
5.00 3.784 1343.5 30.00 7.941 1244.6
0.6982 0.3018 10.00 4.482 1323.8 0.69997 0.30003 35.00 9.079 1224.3
10.00 4.471 1323.7 35.00 9.058 1224.3
10.00 4.459 1323.7 35.00 9.037 1224.3
10.00 4.455 1323.7 35.00 9.012 1224.3
0.6983 0.3017 15.00 5.182 1306.0 0.69760 0.30240 40.00 10.234 1206.6
15.00 5.170 1305.9 40.00 10.252 1206.6
15.00 5.159 1305.9 40.00 10.271 1206.6
15.00 5.148 1305.9 40.00 10.287 1206.7
0.7003 0.2997 20.00 6.010 1285.5
20.00 5.999 1285.6
20.00 5.982 1285.7
20.00 5.982 1285.7

Fig. 7 Saturation densities of R1234yf-CF3I mixture compared with R1234yf-R32 mixture (a) Vapor density and (b) Liquid density (nominal mass ratio, 7:3).

../../Resources/sarek/KJACR.2026.38.4.179/fig7.png

Fig. 8 Saturation densities of R1234yf-CF3I mixture compared with R1234yf-R32 mixture (a) Vapor density and (b) Liquid density (nominal mass ratio, 5:5).

../../Resources/sarek/KJACR.2026.38.4.179/fig8.png

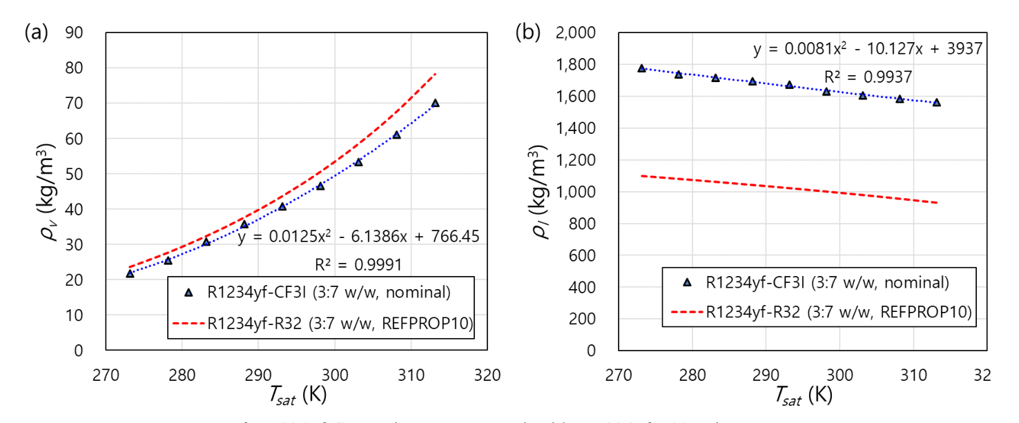
Fig. 9 Saturation densities of R1234yf-CF3I mixture compared with R1234yf-R32 mixture (a) Vapor density and (b) Liquid density (nominal mass ratio, 5:5).

../../Resources/sarek/KJACR.2026.38.4.179/fig9.png

측정한 밀도값은 R1234yf-CF3I의 상태방정식을 도출하기 위한 실험 데이터로 활용될 수 있으며, 특히 실제 VRF 공조 시스템에서 냉매의 포화상태 물성값 활용이 많음을 고려할 때 이 연구에서 측정한 포화상태 부근 밀도 데이터는 상태방정식의 포화상태 부근 정확도를 향상시킬 수 있을 것이다.

이 연구에서 측정한 R1234yf-CF3I 혼합냉매의 밀도값 변화 경향을 다른 HFO계 혼합냉매인 R1234yf-R32와 비교하였다. Fig. 7(a)~9(b)은 3가지 (공칭) 혼합비 조건에서 R1234yf-CF3I 혼합냉매와 R1234yf-R32 혼합냉매의 온도에 따른 포화상태 밀도값 변화를 보여준다. R1234yf-R32 혼합냉매의 밀도값은 REFPROP10 데이터베이스로부터 얻었다.

그래프를 살펴보면, 기체 상태에서는 R1234yf-CF3I의 밀도값이 R1234yf-R32보다 작은 것을 알 수 있고, 반대로 액체 상태에서는 R1234yf-CF3I의 밀도값이 R1234yf-R32보다 큰 것을 볼 수 있다. 이것은 CF3I와 R32 단일냉매의 밀도값 특성에 따른 영향으로 볼 수 있다. 상온 포화상태($T_{sat}$ = 25℃)에서 CF3I의 기체 밀도는 44.2 $kg/m^3$으로 R32의 밀도값(47.3 $kg/m^3$) 보다 작고, 반대로 CF3I의 액체 밀도는 2034 $kg/m^3$으로 R32 밀도값(961 $kg/m^3$) 보다 훨씬 크다. 즉, CF3I는 같은 포화온도 조건에서 R32와 비교하여 기체 밀도는 약간 작고 액체 밀도는 훨씬 큰 값을 갖는다. 이에 따라, R1234yf-CF3I 혼합냉매는 R1234yf-R32에 비해 기체 상태에서는 작은 밀도값을 가지고 액체 상태에서는 큰 밀도값을 갖게 된다.

CF3I의 비율이 증가할수록 R1234yf-R32 혼합냉매와 밀도값 차이가 커지는 것을 볼 수 있다. R1234yf의 비율이 높은 7:3 조성에서는 기체 상태에서 두 혼합냉매의 밀도 차이는 최대 3.3% 정도로 작게 나타나지만, CF3I의 비율이 70%로 증가하게 되면(R1234yf/CF3I, 3:7 w/w) 기체 상태에서 밀도값 차이가 최대 10.5%에 이를 정도로 커진다. 또한 액체 상태일 때도 조성비 7:3 조건에서는 밀도값 차이가 최대 22.2%이던 것이 3:7 혼합비에서는 최대 67.8%까지 커지게 된다. 이것은, CF3I와 R32 비율이 증가할수록 두 냉매가 가지고 있는 기체 및 액체 상태 밀도값 차이가 두드러지기 때문이다.

Fig. 7(a) ~ 9(b)에서 R1234yf-CF3I 혼합냉매의 온도에 따른 포화상태 기체 및 액체 밀도의 거동을 살펴보았다. 포화상태 기체 및 액체 밀도의 온도에 따른 변화를 이차식 형태의 회귀식으로 나타내어 측정 범위 내에서 포화 온도와 밀도의 관계를 근사적으로 파악할 수 있도록 하였다. 나아가 포화상태 부근 기체 및 액체 상태 밀도측정 데이터는 R1234yf와 CF3I 두 냉매 간의 상호작용 매개변수를 최적화하는 데 활용되어 상태방정식의 정확도를 개선할 수 있을 것이다.

4. 결 론

본 연구에서는 Low-GWP 혼합냉매로서 R1234yf-CF3I의 밀도측정 시스템을 구축하고, 세 가지 공칭 질량비(7:3, 5:5, 3:7) 조건에서 혼합냉매의 포화상태 부근 밀도를 측정하였다. 밀도측정 시스템 구축과 측정 결과로부터 다음과 같은 결론을 도출하였다.

(1) ±0.1 K 이내로 온도가 제어되는 항온 챔버 안에 평형셀과 진동튜브 밀도계를 설치하고, 기준 유체를 사용하여 기체 및 액체 상태 각각에 대한 공진주기와 밀도의 상관관계식을 도출함으로써 혼합냉매의 포화상태 부근 밀도측정 시스템을 구축하였다.

(2) 구축한 밀도측정 시스템을 가지고 R32-R125 혼합냉매의 포화상태 부근 밀도를 측정하여 REFPROP10 값과 비교할 때 기체와 액체 상태에서 각각 0.31%와 0.08%의 작은 오차(MAPE)를 보여주었다.

(3) 세 가지 공칭 질량비를 가지는 R1234yf-CF3I 혼합냉매의 포화상태 부근 3점의 밀도를 측정하였고, 3점의 밀도값 추세선을 확장하여 포화상태 밀도값을 도출하였다.

본 연구에서 제시한 포화상태 부근 밀도측정 시스템은 혼합냉매의 포화상태 밀도를 얻는 효과적인 방법이며, 측정한 R1234yf-CF3I 혼합냉매의 포화상태 부근 밀도값은 상태방정식의 정확성을 향상시키는 데 활용될 것으로 기대한다.

Acknowledgements

본 연구는 2025년도 산업통상자원부의 재원으로 한국에너지기술평가원의 지원을 받아 수행한 연구 과제입니다(과제번호: 20212020800070).

References

1 
Kim D., 2022, Strengthening of EU Refrigerant Gas Regulations and Its Implications for Carbon Neutrality, Journal of Resource and Environmental Economics, Vol. 31, No. 4, pp. 777-799Google Search
2 
Higashi Y., Sakoda N., 2018, Measurements of PvT properties, saturated densities, and critical parameters for 3, 3, 3-trifluoropropene (HFO1243zf), Journal of Chemical & Engineering Data, Vol. 63, No. 10, pp. 3818-3822DOI
3 
Higashi Y., 2016, Measurements of thermodynamic properties for the 50 mass% R1234yf+ 50 mass% R1234ze (E) blend, Science and Technology for the Built Environment, Vol. 22, No. 8, pp. 1185-1190DOI
4 
Perera U., Miyane K., Sakoda N., Thu K., Higashi Y., 2023, PvT Properties and Thermodynamic Property Correlations for the Low Global Warming Potential Hydrofluoroolefin Refrigerant R-1132a (1, 1-Difluoroethene), International Journal of Thermophysics, Vol. 44, No. 6, pp. 84DOI
5 
May E. F., Tay W. J., Nania M., Aleji A., Al-Ghafri S., Martin Trusler J. P., 2014, Physical apparatus parameters and model for vibrating tube densimeters at pressures to 140 MPa and temperatures to 473 K, Review of Scientific Instruments, Vol. 85, pp. 095111DOI
6 
Chang C. M. J., Chen C. C., 1999, High-pressure densities and P-T-x-y diagrams for carbon dioxide+ linalool and carbon dioxide+ limonene, Fluid phase equilibria, Vol. 163, No. 1, pp. 119-126DOI
7 
Chen W. K., Lee K. J., Ko J. W., Chang C. M. J., Hsiang D., Lee L. S., 2010, Vapor–liquid equilibria and density measurement for binary mixtures of toluene, benzene, o-xylene, m-xylene, sulfolane and nonane at 333.15 K and 353.15 K, Fluid phase equilibria, Vol. 287, No. 2, pp. 126-133DOI
8 
Al Ghafri S. Z., Rowland D., Akhfash M., Arami-Niya A., Khamphasith M., Xiong X., Tsuji T., Tanaka Y., Seiki Y., May E. F., Hughes T. J., 2019, Thermodynamic properties of hydrofluoroolefin (R1234yf and R1234ze (E)) refrigerant mixtures: Density, vapour-liquid equilibrium, and heat capacity data and modelling, International Journal of Refrigeration, Vol. 98, pp. 249-260DOI
9 
Lee S. H., Nam H. S., Kang W., Lee S., Kwon S., 2025, Simultaneous measurement of viscosity and density of refrigerant at a wide range of temperature and pressures, Journal of Mechanical Science and Technology, Vol. 39, No. 8, pp. 4819-4824DOI
10 
Lemmon E. W., Bell I. H., Huber M. L., McLinden M. O., 2018, NIST Standard Reference Database 23: Reference Fluid Thermodynamic and Transport Properties-REFPROP, Version 10.0, National Institute of Standards and Technology, Standard Reference Data ProgramDOI

Appendices

Table A1 Vapor densities measured near the saturation state of R1234yf-CF3I refrigerant mixture (nominal mass fraction, R1234yf : CF3I = 5 : 5)

Mass fraction $T_v$ (℃) $P_v$ (bar) $\rho_v$ (kg/$m^3$) Mass fraction $T_v$ (℃) $P_v$ (bar) $\rho_v$ (kg/$m^3$)
R-1234yf CF3I R-1234yf CF3I
0.5300 0.4700 0.00 3.047 20.67 0.53256 0.46744 25.00 6.600 44.19
0.00 3.058 20.64 25.00 6.618 44.38
0.00 3.064 20.88 25.00 6.640 44.63
0.00 3.068 20.85 25.00 6.645 44.67
0.5330 0.4670 5.00 3.616 24.09 0.52891 0.47109 30.00 7.553 50.72
5.00 3.630 24.24 30.00 7.579 50.90
5.00 3.643 24.38 30.00 7.613 51.17
5.00 3.646 24.41 30.00 7.610 51.14
0.5445 0.4555 10.00 4.268 28.69 0.53254 0.46746 35.00 8.659 58.59
10.00 4.282 28.84 35.00 8.681 58.90
10.00 4.296 29.08 35.00 8.702 59.18
10.00 4.302 29.15 35.00 8.709 59.30
0.5383 0.4617 15.00 4.953 33.14 0.52513 0.47487 40.00 9.766 67.01
15.00 4.967 33.26 40.00 9.789 67.26
15.00 4.981 33.39 40.00 9.816 67.68
15.00 4.994 33.51 40.00 9.835 67.92
0.5366 0.4634 20.00 5.728 38.34
20.00 5.740 38.44
20.00 5.759 38.68
20.00 5.770 38.81

Table A2 Liquid densities measured near the saturation state of R1234yf-CF3I refrigerant mixture (nominal mass fraction, R1234yf : CF3I = 5 : 5)

Mass fraction $T_l$ (℃) $P_l$ (bar) $\rho_l$ (kg/$m^3$) Mass fraction $T_l$ (℃) $P_l$ (bar) $\rho_l$ (kg/$m^3$)
R-1234yf CF3I R-1234yf CF3I
0.4724 0.5276 0.00 3.186 1534.1 0.49859 0.50141 25.00 6.851 1421.8
0.00 3.178 1534.1 25.00 6.838 1421.8
0.00 3.169 1534.1 25.00 6.820 1421.7
0.00 3.163 1534.1 25.00 6.804 1421.7
0.4853 0.5147 5.00 3.780 1514.9 0.49728 0.50272 30.00 7.729 1397.0
5.00 3.770 1514.9 30.00 7.718 1397.0
5.00 3.759 1514.8 30.00 7.699 1396.9
5.00 3.751 1514.8 30.00 7.698 1396.9
0.4855 0.5145 10.00 4.403 1495.0 0.50158 0.49842 35.00 8.827 1374.4
10.00 4.393 1495.0 35.00 8.807 1374.4
10.00 4.382 1495.0 35.00 8.788 1374.3
10.00 4.375 1494.9 35.00 8.767 1374.2
0.4870 0.5130 15.00 5.108 1475.5 0.50319 0.49681 40.00 10.048 1351.5
15.00 5.094 1475.5 40.00 10.030 1351.5
15.00 5.082 1475.5 40.00 10.003 1351.4
15.00 5.076 1475.5 40.00 9.991 1351.4
0.4973 0.5027 20.00 5.863 1442.5
20.00 5.850 1442.5
20.00 5.837 1442.5
20.00 5.831 1442.4

Table A3 Vapor densities measured near the saturation state of R1234yf-CF3I refrigerant mixture (nominal mass fraction, R1234yf : CF3I = 3 : 7)

Mass fraction $T_v$ (℃) $P_v$ (bar) $\rho_v$ (kg/$m^3$) Mass fraction $T_v$ (℃) $P_v$ (bar) $\rho_v$ (kg/$m^3$)
R-1234yf CF3I R-1234yf CF3I
0.3684 0.6316 0.00 3.045 21.55 0.34647 0.65353 25.00 6.259 45.92
0.00 3.054 21.59 25.00 6.276 46.18
0.00 3.064 21.64 25.00 6.294 46.49
0.00 3.071 21.68 25.00 6.299 46.56
0.3619 0.6381 5.00 3.508 25.38 0.33406 0.66594 30.00 7.184 52.65
5.00 3.518 25.42 30.00 7.198 52.91
5.00 3.529 25.48 30.00 7.217 53.34
5.00 3.539 25.53 30.00 7.221 53.41
0.3559 0.6441 10.00 4.061 29.65 0.34515 0.65485 35.00 8.076 60.14
10.00 4.071 29.84 35.00 8.095 60.44
10.00 4.087 30.57 35.00 8.118 60.91
10.00 4.095 30.81 35.00 8.125 61.02
0.3533 0.6467 15.00 4.715 34.59 0.32720 0.67280 40.00 9.136 68.79
15.00 4.729 34.91 40.00 9.160 69.24
15.00 4.742 35.39 40.00 9.183 69.79
15.00 4.755 35.71 40.00 9.200 70.12
0.3493 0.6507 20.00 5.463 40.12
20.00 5.481 40.24
20.00 5.497 40.65
20.00 5.507 40.75

Table A4 Liquid densities measured near the saturation state of R1234yf-CF3I refrigerant mixture (nominal mass fraction, R1234yf : CF3I = 3 : 7)

Mass fraction $T_l$ (℃) $P_l$ (bar) $\rho_l$ (kg/$m^3$) Mass fraction $T_l$ (℃) $P_l$ (bar) $\rho_l$ (kg/$m^3$)
R-1234yf CF3I R-1234yf CF3I
0.2425 0.7575 0.00 3.041 1778.5 0.27905 0.72095 25.00 6.396 1631.1
0.00 3.026 1778.6 25.00 6.382 1631.0
0.00 3.013 1778.7 25.00 6.370 1630.9
0.00 3.011 1778.7 25.00 6.358 1630.8
0.2722 0.7278 5.00 3.552 1739.5 0.28789 0.71211 30.00 7.331 1607.3
5.00 3.543 1739.4 30.00 7.314 1607.1
5.00 3.532 1739.4 30.00 7.297 1607.0
5.00 3.529 1739.4 30.00 7.296 1607.0
0.2723 0.7277 10.00 4.148 1715.3 0.29080 0.70920 35.00 8.405 1584.4
10.00 4.135 1715.3 35.00 8.386 1584.3
10.00 4.128 1715.3 35.00 8.368 1584.1
10.00 4.121 1715.3 35.00 8.350 1584.0
0.2793 0.7207 15.00 4.837 1694.5 0.28889 0.71111 40.00 9.471 1561.7
15.00 4.826 1694.5 40.00 9.461 1561.8
15.00 4.814 1694.4 40.00 9.444 1561.7
15.00 4.811 1694.4 40.00 9.439 1561.7
0.2783 0.7217 20.00 5.532 1675.1
20.00 5.518 1675.1
20.00 5.506 1675.1
20.00 5.497 1675.1