I. INTRODUCTION
Recently, light detection and ranging (LiDAR) technology has attracted significant
interest for its ability to enable high-resolution 3D imaging and object detection,
particularly in applications such as autonomous driving and topographic mapping [1]. To realize LiDAR technology for demanding applications, both beamforming and scanning
capabilities are required. Existing commercial LiDAR systems primarily use mechanical
rotating mechanisms for beamforming, as these are relatively simple and intuitive
to implement. However, the inertia from rotation results in slow scanning speeds,
and wear on the rotating axis, as well as mechanical vibrations, causes measurement
instability [2]. In contrast, silicon (Si) photonics-based optical phased arrays (OPAs) overcome
these limitations by controlling light phases required for beam forming through optical
path length adjustments within the optical phase shifters, rather than relying on
physical movement. Moreover, Si photonics integrated circuits (PICs) leverage mature
silicon fabrication processes, offering advantages in both miniaturization and cost
efficiency. This enables a massive increase in the number of channels [3,4], enabling ultra-narrow beamwidths below $0.05^\circ$, which in turn supports high-resolution
detection over long distances.
In an OPA, beamforming at a desired angle is achieved by uniformly controlling the
phase difference between adjacent optical phase shifters. This requires each phase
shifter to receive a finely tuned analog voltage that corresponds to the target phase
value. In typical OPA systems, such analog voltages are generated by digital-to-analog
converters (DACs). Therefore, it is crucial that the DAC provides uniform and accurate
output across all channels to ensure the intended phase distribution is correctly
applied.
In this paper, we introduce an 8-bit DAC-based driver IC for a 32-channel OPA that
exhibits high linearity and mismatch-tolerant performance. While prior works, such
as [4], have demonstrated impressive scalability at the system level, they typically focus
on OPA-level metrics including beamwidth, beamforming range, and phase shifter power
consumption. In contrast, our work concentrates on the design of the analog driver
circuitry itself, with emphasis on layout-optimized mismatch reduction and DAC linearity.
Section II describes the proposed OPA driver IC. Section III explains the design approach
that enhances channel consistency and mitigates sensitivity to local variations. Section
IV covers the measurement results, while Section V presents beamforming simulation
results using measured DAC output data. Finally, the conclusion is given in Section
VI.
II. CIRCUIT IMPLEMENTATION
Fig. 1 shows the block diagram of the driver IC for optical phase shift in a 32-channel
OPA. For our application, a 32-channel, 8-bit DAC providing 256 discrete voltage levels
for the phase shifters is required. In order to minimize the number of I/O connections
needed for control signals from the controller to 32 DACs, the Inter-Integrated Circuit
(I$^2$C) serial interface is employed in our implementation. I$^2$C is a simple communication
bus commonly used in embedded systems to connect microcontrollers and peripherals.
It operates with two lines: serial clock (SCL) line, which provides the clock signal
for synchronization, and serial data (SDA) line, which transmits data between devices.
This protocol is well-suited for low-speed, short-distance communication due to its
minimal pin usage and straightforward implementation.
Fig. 1. Block diagram of optical phased array driver IC.
Since implementing an OPA with more than 32 channels requires multiple driver ICs,
a 2-bit chip address is assigned using chip-select logic, enabling simultaneous control
of up to four chips and supporting OPAs with up to 128 channels. When a particular
chip among several is selected, the SDA signal is routed to the INSDA node, updating
the DAC input. On unselected chips, INSDA remains tied to a logical high, which disables
the I$^2$C protocol and prevents unintended updates.
Fig. 2 illustrates the structure of the DAC used in our design. The 8-bit, 1.8 V digital
inputs are forwarded to a level shifter, which raises the operating voltage range
to 3.3 V before feeding the R-2R ladder network. Although the level shifter output
does not swing fully to 0 V due to the finite on-resistance of the NMOS pull-down
device, the resulting low level ($\mathrm{\sim}$170 mV) remains within the acceptable
range for the subsequent inverter stage and does not affect DAC functionality. Furthermore,
to preserve linearity, the unit resistance of the R-2R ladder was designed to be more
than 100 times greater than the on-resistance of the driving inverter, effectively
minimizing the impact of active resistance. An R-2R ladder configuration was adopted
due to its design simplicity and excellent linearity.
As the large number of DAC channels significantly increases the chip area, supplying
a uniform reference voltage to all 32 channels of the DAC is critically important.
To address this, a reference voltage is provided by a regulator that achieves a simulated
PSRR of 32.78 dB at 1 MHz. Both the regulator and the DAC buffer employ amplifiers
with negative feedback to ensure stable voltage levels.
III. DAC DESIGN FOR CHANNEL UNIFORMITY
Random dopant fluctuation (RDF) and line edge roughness are well-known sources of
process variation [5,6]. However, increasing the layout area enables a stronger averaging effect on these
random factors, thereby reducing mismatch and process variation. This section explores
how expanding the layout area improves DAC linearity and channel uniformity by mitigating
such mismatch effects.
In the DAC architecture shown in Fig. 2, variations in resistor values of the R-2R ladder and the gain of the feedback amplifier
have the greatest influence on the linearity of the DAC output. The R-2R ladder consists
of only two types of resistors, R and 2R, and ideally exhibits excellent linearity.
However, mismatches due to process variation can lead to significant differential
nonlinearity (DNL) at the most significant bit (MSB) transitions, which in turn degrades
the integral nonlinearity (INL).
Fig. 3 illustrates how resistor values and sizes impact the spread of INL. Cases 1-A, 1-B,
and 1-C use the same layout area but different resistor widths and lengths, resulting
in different resistance values. Each resistor represents the unit resistance R of
the R-2R ladder. The resistance ratios for cases 1-A, 1-B, and 1-C are given by
where $X_{1}$ and $Y_{1}$ represent the layout dimensions. Monte Carlo simulation
results indicate that the mean ($\mu$) and standard deviation ($\sigma$) of INL${}_{\rm
MAX}$ remain nearly unchanged across these cases.
Fig. 3. Monte-Carlo simulation results for INLMAX according to resistance value and
area.
In contrast, Cases 2-A, 2-B, and 2-C use resistors with the same resistance value
but with layout areas in a ratio of $1:4:9$. In this case, the simulation results
show that both the mean and standard deviation of INL${}_{\rm MAX}$ follow a ratio
of approximately $1:1/2:1/3$, indicating that they are inversely proportional to the
square root of the layout area. This relationship is expressed as
From Eq. (2), the physical area of the resistors must be increased to reduce resistance mismatch.
Therefore, resistors should be laid out as large as possible, within the constraints
of the DAC channel pitch.
Fig. 4. Schematic of rail-to-rail amplifier.
Fig. 4 shows the self-biased, rail-to-rail amplifier [7] we used as the feedback amp. To maintain high DAC linearity, the amplifier must provide
high gain. In the feedback amp, when the common-mode voltage is close to the supply
(VDD) or ground (VSS), only one half of the transistor pairs (either Mn1 & Mn2 or
Mp1 & Mp2) is active, resulting in lower gain compared to the midpoint. Therefore,
increasing the gain under these extreme common-mode voltage conditions is crucial.
When INP and INN approach VDD, the small-signal gain is given by
From Eq. (3), increasing $g_{Mn2}${} and $r_{o.Mn6}$ are crucial. The transconductance $g_{Mn2}${}
can be raised by enlarging Mn2's gate width, which increases its layout area and thereby
reduces process variation. To increase $r_{o.Mn6}$, one could either reduce the gate
width or increase the channel length. Since reducing the gate width decreases the
layout area and makes the device more susceptible to process variations, increasing
the channel length is the preferred approach in our design.
This sizing approach to reduce mismatch is optimized for the 32-channel implementation,
where the channel pitch and chip die area provide sufficient space for mismatch-optimized
layout. However, when scaling to 1024 or more channels, significant challenges can
arise in terms of layout and integration, including routing congestion and tighter
yield constraints. Future implementations will need to adopt more advanced techniques
to address these issues effectively.
IV. MEASUREMENT RESULTS
Fig. 5 presents the die micrograph and top-level layout of the fabricated OPA driver IC.
Since many PICs require high voltage levels for phase shift, the driver IC was fabricated
using a 180 nm CMOS process whose nominal supply voltage is 3.3 V. Each DAC channel
consumes approximately 11.56 mW, while each phase shifter requires over 90 mW to achieve
full phase tuning (P$_2 \pi = 90$ mW). Consequently, the total power can reach 3.64
W per chip in the worst case, and up to $\sim14.6$ W for a 128-channel system using
four chips. Although the average power consumption is expected to be much lower due
to dynamic voltage variation across channels during beam steering, the overall consumption
remains significant. This highlights the need for more efficient phase shifters and
lower-voltage CMOS nodes to reduce power and improve scalability for future implementation.
Fig. 5. Chip micrograph and layout.
Fig. 6. Measurement setup for fabricated IC.
Fig. 6 illustrates the measurement setup for the fabricated chip. A commercial I$^2$C master
module was used to sweep the code for the 32-channel DAC, with each DAC output connected
to a resistor load that emulates the phase shifter resistance on the PIC. A precision
data acquisition (DAQ) device from NI, featuring a 16-bit ADC, was used to measure
the output voltages of the DAC, which is adequate for an 8-bit system.
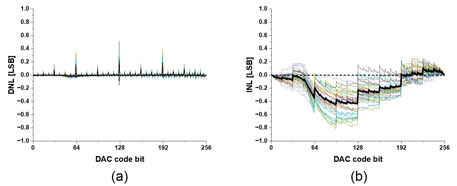
Fig. 7 presents the measured DNL and INL of the 32-channel DACs on the same die. DNL is
an indicator of whether the output voltage increments uniformly when the code steps
up by one bit. Usually, we check for monotonicity, which requires DNL to be greater
than $-1$ DAC least significant bit (LSB). From Fig. 7(a), the worst-case DNL${}_{\rm MAX}$ is 0.52 LSB for the worst channel, confirming that
all channels remain monotonic.
Fig. 7. Measured DNL and INL.
INL quantifies the deviation of the actual output from the ideal output. Typically,
if the worst-case INL${}_{\rm MAX}$ is within 0.5 LSB, the DAC is considered high-performance.
According to Fig. 7(b), the worst-case INL${}_{\rm MAX}$ among the channels is approximately 0.81 LSB. This
relatively higher INL is likely due to large variations in the resistor values of
the R-2R ladder. The DNL plot also reveals a notable error at the most significant
bit (MSB), a well-known issue resulting from resistor mismatches in R-2R ladder networks.
Fig. 8 shows the distributions of DNL${}_{\rm MAX}$ and INL${}_{\rm MAX}$ obtained from
both Monte Carlo simulations (accounting for process variations) and measurements.
From these results, it is evident that the measured DNL${}_{\rm MAX}$ and INL${}_{\rm
MAX}$ exhibit mean value approximately three to four times worse than the simulated
value. Nevertheless, our DAC performance is still sufficient for OPA beamforming applications,
as further demonstrated in the next section.
Fig. 8. Impact of process variation on simulated and measured DNL$_{\rm MAX}$ & INL$_{\rm
MAX}$.
V. BEAMFORMING SIMULATION RESULT
Fig. 9 presents the results of beamforming simulations implemented in MATLAB. The effectiveness
of beamforming is evaluated using the array factor (AF), which quantifies the far-field
radiation pattern. The array factor for an N-element phased array is given by
where $N$ is the number of channels, $n$ is the channel index, $k$ is the wave number
related to the signal wavelength, $d$ is the antenna pitch, and $\theta_o$ is the
desired beamforming angle. As can be seen from the equation, the maximum intensity
occurs when the signal phase is aligned across all channels, which is achieved when
$\varnothing = kd\cos\theta_o$.
Fig. 9. Beamforming simulation result at desired angle $-15^\circ$, $0^\circ$, and
$15^\circ$ in MATLAB for 32-ch OPA using (a) ideal 8-bit DAC output voltage and (b)
measured 8-b DAC output voltage.
The simulation testbench is configured to match the specifications of the PIC currently
under development, using a signal wavelength of 1.55 mm and an antenna pitch of 2.7
mm. Due to the short wavelength used in the OPA and the relatively large size of optical
antennas, it is not feasible to achieve a pitch smaller than $\lambda/2$, which limits
the beam steering range to $\pm15^\circ$.
Fig. 9(a) shows the simulation results for three desired angles: $-15^\circ$, $0^\circ$, and
$15^\circ$, using an ideal 8-bit DAC. In each case, the required phase shifts were
quantized to the nearest phase value supported by an ideal 8-bit DAC, where code 0
(00000000) corresponds to $0^\circ$ and code 255 (11111111) corresponds to $360^\circ$.
Fig. 9(b) presents the simulation results when the actual measured outputs of the fabricated
DAC are applied to the OPA model, using the same code values as in the ideal case.
In phased array systems, key performance metrics are main lobe intensity and side
lobe suppression ratio (SLSR). Compared to the ideal case in Fig. 9(a), the main lobe intensity in Fig. 9(b) shows only a minor degradation of 0.008 dB (0.2%), and the SLSR slightly decreases
from 13.16 dB to 13.12 dB. These results indicate that the performance degradation
due to DAC non-idealities is negligible. Although the maximum INL of 0.81 LSB reported
in this work leads to only minor beam degradation in our simulation, it is important
to note that excessive INL can increase phase errors in the optical phase shifters,
which may degrade beam quality during the calibration process. Therefore, in future
designs, further reduction of INL should be pursued through techniques such as resistor
trimming or digital calibration to ensure even more precise phase control in demanding
applications.
VI. CONCLUSION
This paper presented a 32-channel DAC-based driver IC for optical phased arrays, aiming
to achieve high linearity and robustness against process variations. The careful layout
optimization for an R-2R ladder DAC and a feedback amplifier, enabled the design to
maintain monotonicity and reasonable INL/DNL performance despite inherent CMOS process
variations. Measurement results from a fabricated chip in 180 nm CMOS process demonstrated
that all DAC channels operated with acceptable nonlinearity levels, making the solution
suitable for precision optical phase modulation. Beamforming simulations based on
actual DAC outputs confirmed the effectiveness of the design, showing only minor degradation
compared to ideal conditions. These results validate the proposed IC as a scalable
and effective solution for high-resolution, solid-state beam steering applications
in integrated LiDAR systems.
ACKNOWLEDGMENTS
This research was supported by the Challengeable Future Defense Technology Research
and Development Program through the ADD funded by DAPA in 2024 (UI220080TD). The EDA
Tool was supported by the IC Design Education Center (IDEC).
References
B. Schwarz, ``LIDAR: mapping the world in 3D,'' Nature Photonics, vol. 4, no. 7, 429,
2010.

C.-P. Hsu, C.-H. Lin, Y.-C. Chi, and G.-R. Lin, ``A review and perspective on optical
phased array for automotive LiDAR,'' IEEE Journal of Selected Topics in Quantum Electronics,
vol. 27, no. 1, Art. no. 8300416, Jan./Feb. 2020.

S. W. Chung, H. Abediasl, and H. Hashemi, ``A monolithically integrated large-scale
optical phased array in silicon-on-insulator CMOS,'' IEEE Journal of Solid-State Circuits,
vol. 53, no. 1, pp. 275-296, Jan. 2018.

B. R. Moss, C. V. Poulton, M. J. Byrd, and P. Russo, ``A 2048-channel, 125 µW/ch DAC
controlling a 9,216-element optical phased array coherent solid-state LiDAR,'' in
Proceedings of the IEEE Symposium on VLSI Technology and Circuits, pp. 1-2, 2023.

J. Li, C. H. Hwang, and H. W. Cheng, ``Process-variation- and random-dopants-induced
threshold voltage fluctuations in nanoscale planar MOSFET and bulk FinFET devices,''
Microelectronic Engineering, vol. 86, no. 3, pp. 277-282, Mar. 2009.

A. A. Mutlu and M. Rahman, ``Statistical methods for the estimation of process variation
effects on circuit operation,'' IEEE Transactions on Electronics Packaging Manufacturing,
vol. 28, no. 4, pp. 364-375, Oct. 2005.

M. Bazes, ``Two novel fully complementary self-biased CMOS differential amplifiers,''
IEEE Journal of Solid-State Circuits, vol. 26, no. 2, pp. 165-168, Feb. 1991.

Kihun Kim received his B.S. degree in electrical and electronic engineering from
Yonsei University, Seoul, South Korea, in 2019, where he is currently pursuing a Ph.D.
degree. His current research interests include photonic IC calibration system and
high-speed optical transmitter.
Woo-Young Choi received his B.S., M.S., and Ph.D. degrees in electrical engineering
and computer science from Massachusetts Institute of Technology, Cambridge, MA, USA,
in 1986, 1988, and 1994, respectively. After working with NTT Opto-Electronics Laboratories,
Kanagawa, Japan, as a Postdoctoral Research Fellow, he joined the Department of Electrical
and Electronic Engineering, Yonsei University, Seoul, South Korea, where he is currently
a Professor. At Yonsei University, he directs High-Speed Circuits and Systems Laboratory,
where he and his research assistants pursue next generation interconnect solutions
based on high-speed CMOS integrated circuits and Si photonics.