정훈
(Hoon Jung*)
1iD
서민석
(Min Seok Seo**)
2iD
이종찬
(Jong Chan Lee***)
3iD
안준호
(Joon Ho Ahn†)
†iD
-
(Researcher, Seoul National University Future Innovation Institute, Korea)
-
(CTO, Assembble Co., Ltd., Korea)
-
(Researcher, Seoul National University Future Innovation Institute, Korea)
Copyright © The Korean Institute of Illuminating and Electrical Engineers(KIIEE)
Key words
AR-Net, Predictive maintenance, Regression, Transformer, Vibration and temperature sensors
1. 서 론
최근 데이터센터, 냉난방부하증가 등 이상 부하가 증가함에 따라 전기설비의 고장으로 인한 정전 피해를 최소화하고, 설비의 신뢰성과 수명을 향상시키기
위한 예지보전(Predictive Maintenance) 기술이 점차 중요해지고 있다[1]. 특히, 변압기는 전력 시스템의 핵심 구성요소로, 열화나 이상 상태가 발생할 경우 시스템 전반에 중대한 영향을 미치기 때문에 사전 진단 및 예측
기술의 적용이 필수적이다. 그러나 기존의 변압기 진단 방식은 주기적인 정기 점검 또는 정전 후 점검에 의존하기 때문에, 실시간 상태 모니터링과 열화
진행에 대한 즉각적인 대응에 한계점이 있다[2].
최근 이러한 문제를 해결하기 위한 대안으로 IoT 센서 기반 모니터링과 인공지능 기술을 융합한 진단 기술이 주목받고 있다. 특히, 온도 및 진동 센서를
활용한 시계열 데이터는 변압기의 상태를 지속적으로 모니터링 할 수 있는 기능을 제공한다. 그러나, 이러한 센서 데이터에서 유의미한 상태 정보를 도출하기
위해서는 시간동기화와 비선형적인 패턴을 효과적으로 학습할 수 있는 고도화된 데이터 기반 분석 기법이 필요하다. 이에 따라, 최근 RNN(Recurrent
Neural Network) 구조 기반의 시계열 데이터에 대한 회귀분석 알고리즘에 대한 연구가 활발히 진행되고 있다[3]. 따라서, 본 논문에서는 기존의 단순 회귀나 RNN 기반 모델보다 유동적인 패턴을 정밀하게 학습 할 수 있어, 과거 일정 주기의 데이터를 바탕으로
향후 상태를 예측할 수 있는 특징을 갖는 AR-Net(Autoregressive Neural Network) 알고리즘을 활용한 변압기의 온도 및 진동
복합센서 데이터를 기반으로 회귀 분석 알고리즘을 제안하고자 한다.
2. 이론적 배경
시계열 데이터는 시간 축을 따라 순차적으로 수집되는 데이터로, 전력소비, 설비 상태, 주가 변화 등 다양한 분야에서 적용된다. 전통적인 시계열 예측
모델로는 ARIMA (AutoRegressive Integrated Moving Average), Holt-Winters, 또는 단순한 Autoregressive
(AR) 모델 등이 있다. 이 모델들은 일정 주기의 과거 데이터를 기반하여 예측하는데 유용하지만, 비선형 패턴, 노이즈, 주기성의 변화에 대한 적응력이
떨어진다는 한계가 있다. 또한, 딥러닝 기반의 LSTM, GRU, Transformer 등 복잡한 구조를 활용한 모델들이 시계열 데이터의 패턴 예측에
적합한 성능을 나타낸다. 그러나, 이들 모델은 학습 파라미터가 많고, 과적합(overfitting)의 위험이 있으며, 특히, 본 논문에서 목표로 하고
있는 설비 이상 탐지(Anomaly detection)에 특화된 구조는 아니라는 한계가 있다[4-6].
본 논문에서 적용한 AR-Net 모델은 기존의 Autore- gressive 모델의 이론을 기반으로 하되, 딥러닝의 구조를 활용하여 예측 오차 기반의
이상 탐지를 효과적으로 수행할 수 있도록 설계된 경량화된 딥러닝 알고리즘이다. AR-Net의 이상탐지 적용 시나리오에 적합한 특징은 LSTM/ Transformer
대비 추론 속도가 우수하고, 다중 시계열 데이터를 취득하는 센서 융합 모델에 유연한 구조로 확장이 가능하다. 따라서, 전기설비의 이상탐지, 재무 데이터의
이상 탐지, IoT 기반 예지보전 시스템 등으로 적용 분야가 매우 넓다.
수식(1)에 나타낸 바와 같이, AR-Net의 기본 구조는 AR-Net은 입력 시계열의 과거 n 개의 일정 주기 데이터를 기반으로 다음 주기의 값을 예측하며,
구조는 기존 AR 모델과 동일한 방식으로 동작하되, 첫 번째 계층을 신경망 파라미터로 구성함으로써 비선형 함수 근사치로 수렴하여 해석할 수 있다.
위 수식에서 $f_{\theta}$()는 신경망 층으로 구성된 예측 함수이며, 가장 기본적인 형태의 AR-Net에서는 선형층으로 구성되며, 모델을
수식(2)와 같이 단순화하여 표현할 수 있다. 여기서 $x_{t}$는 예측하려는 현재 시점의 값, $x_{t-i}$은 현재 시점으로부터 $i$만큼 이전 시점의
실제 관측 값, $b$는 보정값인 바이어스(bias)를 의미한다.
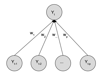
AR-Net의 기본 구조는 Fig. 1에 나타낸 바와 같이, 첫 번째 층의 가중치 $w_{i}$ 들이 AR 계수로 작용하며, 모델이 입력 시계열을 선형 조합하여 예측값을 산출한다. 기존
AR 모델과 동일한 수학적 구조를 가지면서도, 신경망 구조내에서 구현되어 학습 효율성과 확장성을 갖춘다.
Fig. 1. AR neural network architecture
나아가, Fig. 2와 같이 AR-Net 구조에 다중 은닉층(hidden layers)을 추가함으로써 비선형적 특성을 더 정교하게 반영할 수 있으며, 예측 정확도를 향상시킬
수 있다. 그러나, 이러한 확장 구조는 모델의 해석 가능성(interpretability)을 감소시킬 수 있는 단점이 있다. 본 논문에서는 AR-Net를
기반으로 복합 센서 데이터의 회귀 분석의 확장 가능성에 목적을 두고 학습을 수행하였다[7].
Fig. 2. AR inspired neural network with hidden layers
3. 실험방법
3.1 데이터 수집 및 전처리
Fig. 3에 나타낸 바와 같이, 제안하고자 하는 알고리즘을 학습하기 위한 복합센서(온도, 진동) 데이터를 수집하기 위해 서울 중구에 위치한 방산시장의 수변전실
몰드 변압기의 상부측에 센서를 설치하였다. 온도와 진동 측정에 일반적으로 사용하는 기존의 개별 측정시 발생할 수 있는 시계열성 데이터의 시각동기화
이슈를 해결할 수 있는 장점을 확보하였다. 몰드 변압기와 LOS(Line of Sight)상에 이격하여 설치된 비접촉식 적외선 온도센서는 R,S,T
상을 향하고 있으며 0.1℃의 분해능으로 1분 단위로 온도를 측정한다. 또한, 몰드 변압기의 상부에 설치된 진동센서는 3축(x,y,z)을 200ksps
주기로 진동을 측정하여 Peak to Peak 값과 FFT(Fast Fourier Transform)를 수행하여 Magnitude의 최대값의 주파수를
찾아서 전송한다.
Fig. 3. Location of temperature–vibration sensor on the upper part of the mold transformer
본 연구에서는 산업 현장의 몰드변압기 상부측에 설치된 온도센서를 통해 측정된 실시간 온도 데이터를 활용하였다. 1분 단위로 데이터를 수집하였으며,
총 6개월간(‘25.01.~06) 의 시계열 데이터 약 523,657개를 수집하였다. Fig. 4에 나타낸 바와 같이, 수집된 데이터는 비정상값(outlier) 제거, 결측값 보간(missing value imputation), 정규화(normalization)
등의 과정을 거쳐 학습 및 검증 데이터로 활용하기 적합한 형태로 전처리하였다.
Fig. 4. Preprocessing results of time-series data from the temperature– vibration
sensor
아래 수식(3)에서 확인할 수 있듯이, AR-Net 알고리즘의 입력 구조에 맞춰 일정 주기 즉, 과거 k개의 시점 데이터를 기반으로 향후 일정 시점을 예측하는 구조로
데이터를 생성하였다.
또한, 학습결과 성능 평가를 위해 전체데이터를 학습용(70%), 검증용(15%), 테스트용(15%)으로 분할하였고, 각각의 데이터는 AR-Net 알고리즘의
적정 가중치를 설정하기 위한 딥러닝, 과적합 방지를 위한 파라미터 튜닝에 사용되었고, 학습 후 MAPE(Mean Absolute Percentage
Error)를 통해 정량적으로 평가하는데 사용하였다.
3.2 회귀 분석 알고리즘
아래 Fig. 5는 AR-Net 알고리즘을 기반으로 본 논문에서 목적으로 하고 있는 몰드변압기에서 발생하는 온도 및 진동 데이터에 대한 이상 패턴을 감지하는 구조를
나타낸다. 복합센서(온도 및 진동 데이터)를 통해 실시간으로 수집된 데이터를 앞서 언급한 전처리 과정을 통해 AR-Net 알고리즘의 입력데이터로 구성되며,
과거 시점의 데이터를 바탕으로 미래의 센서 값을 예측한다.
이후 예측값과 실제 측정값 간의 오차를 분석하여, 통계적 임계치를 기준으로 이상 여부를 판단한다. 특히, 예측 오차가 미리 정의된 신뢰구간을 초과할
경우 이를 이상 패턴으로 간주하며, 온도 및 진동의 동시 이상 패턴 발생 시에는 복합 이상 패턴으로 감지한다. 본 구조는 복잡한 현장 환경에서의 시계열
패턴 변화를 효과적으로 학습하고, 실시간 이상 징후 예측에 목적을 두고 있다. 다만, 본 논문에서 취득한 데이터 즉, 설치된 수용가에서 이상패턴이
감지되지 않아, 과거 데이터를 기반으로 회귀분석에 대한 오차율(정확도)에 대해 중점적으로 다루고자 한다.
Fig. 5. Architecture of proposed Model based on AR-Net models
본 논문에서 AR-Net 구조를 기반으로 제안하고자 하는 상세 학습 매커니즘은 AR-Net 구조를 딥러닝 구조로 확장하여, 시계열 입력 데이터로부터
미래의 값을 예측하고, 예측 오차를 기반으로 이상 패턴을 감지하는 방식이다. AR-Net 알고리즘은 과거 시점의 시계열 데이터를 고정 길이 벡터로
입력받아 다음 시점을 예측하며, 본 논문에서는 온도 및 진동 복합센서 데이터를 다변화 입력 시계열로 구성하여 학습 및 검증 절차를 진행하였다. 수식(3)에서 정의한 입력데이터를 기반으로 알고리즘의 구조를 회귀분석을 위한 딥러닝 선형계층 형태로 재구성하여 예측값 $y_{t}^{p}$ 아래의 수식(4)같이 표현하였고, 여기서 $W\in R^{1\times(k*d)}$ 는 가중치 행렬 연산식이며, $X_{t}$ 는 시계열 입력데이터를 1차원으로 정규화한
vector를 의미한다.
학습 결과값인 $y_{t}^{p}$ 와 실제 측정값 $y_{t}$ 간의 평균제곱오차를 최소화하기 위해 손실함수$L(t)$을 적용하였으며 수식(5)로 표현하였다.
$N$ 은 전체 학습 횟수를 의미하고, 딥러닝 알고리즘의 구조상 입력층과 출력층 사이에 존재하는 은닉층이 깊어질수록 학습 데이터에 대한 손실이 발생하여
오차가 발생한다. 따라서, 역전파(Backpropagation) 알고리즘을 통해 학습을 안정화하고, 오차의 최저점을 추적해나가도록 하기위해 Adam
Optimizer를 적용하여 W와 b를 학습 진행에 따라 갱신함으로써 알고리즘 성능을 향상시킬 수 있도록 하였다.
4. 결과 및 고찰
4.1 회귀분석 및 예측 결과
본 연구에서 사용된 AR-Net 모델의 주요 하이퍼파라미터는 Table 1에 나타내었다. Input window size는 72시간(3days), 예측 구간은 24시간으로 설정하여 일(daily) 단위 주기를 반영하였다.
Hidden layer는 64로 고정하였으며, 활성화 함수는 ReLU, Drop out rate는 0.2로 적용하였다. 최적화 함수는 Adam(learning
rate=0.001)을 사용하였고, 학습은 Batch size 32, Epochs 200 으로 진행하였다.
Table 1. Hyperparameters of the AR-Net
|
Parameter
|
Value/Setting
|
|
Input window size
|
72 time steps
(Interval : 1hour)
|
|
Prediction horizon
|
24 time steps
(24 hours)
|
|
Hidden layers
|
64
|
|
Activation function
|
ReLU
|
|
Dropout rate
|
0.2
|
|
Optimizer
|
Adam
|
|
Batch size
|
32
|
|
Epochs
|
200
|
학습 결과는 Fig. 6에 나타낸 바와 같이, 측정된 온도 및 진동 시계열 데이터의 실제값과 AR-Net 알고리즘의 예측값을 Grafana program 을 활용하여 동일한
타임라인에 표현하였다[8, 9]. 주황색 선은 복합 센서의 실제 측정값을 나타내며, 붉은색 선은 예측 평균값, 파란색 선은 예측 최대값, 보라색 선은 예측 최소값을 의미한다. 전체
데이터 구간에서 예측 평균값은 실제 측정값의 변동 흐름을 안정적으로 따라가고 있으며, 주요 피크 시점에서도 상·하한 예측 범위 내에 포함되는 경향을
확인할 수 있었다. 또한, 결과 데이터에 표시한 빨간색 부분은 월~금 부하를 많이 사용하는 평일이며, 파란색 부분은 휴무일인 토요일과 일요일로 확인되었다.
이를 통해, 알고리즘에 학습시킨 시계열 데이터는 하루 또는 수 시간 단위의 주기적인 상승과 하강을 반복하는 계절성(Seasonality)을 지니고
있음을 나타내며, 실제 부하 가동 패턴의 주기를 반영하고 있음을 확인하였다.
Fig. 6. Prediction results of temperature (x0.1℃ scale) (a) R phase, (b) S phase,
(c) T phase
Fig. 7 또한, 위에서 언급한 온도 예측 결과와 유사하게, 실제 측정값의 전체적인 범위가 AR-Net 알고리즘의 예측값 범위 내에 대부분 포함됨을 확인할
수 있다. 실제 진동값은 짧은 시간 간격 내 급격한 변화와 고주파 노이즈를 포함하고 있으나, 예측값은 유사한 진폭과 전체적인 흐름을 안정적으로 따르고
있다. 이는 AR-Net 알고리즘이 급변 구간에서 일부 오차를 발생시킬 수는 있지만, 전체적인 시계열 추세를 효과적으로 학습하고 예측한 것을 의미한다.
Fig. 7. Prediction results of vibration (mg scale) (a) x axis, (b) y axis, (c) z axis
AR-Net 알고리즘은 복합 센서로부터 수집된 온도 및 진동 시계열 데이터를 기반으로 전반적으로 우수한 예측 성능을 나타내었다. 특히, 온도 데이터의
경우 휴일 구간에서 실제 부하 감소에 따른 하강 추세를 반영하여 예측값이 실제값과 잘 일치하는 양상을 보였다. 진동 데이터의 경우에도, 실제 측정값이
포함하고 있는 고주파 노이즈 및 짧은 시간 내 급격한 변화에도 불구하고, 예측 결과는 전체적인 진폭과 흐름을 안정적으로 추종하는 경향을 나타내어 알고리즘이
데이터를 잘 학습하고 다양한 상황에서도 안정적으로 예측할 수 있음을 확인하였다.
4.2 평균절대백분율오차 측정결과
본 논문에서는 제안한 AR-Net 알고리즘의 성능을 정량적으로 평가하기 위하여 회귀 모델의 대표적인 평가 지표인 MAPE를 활용하였다[10, 11] MAPE는 예측값과 실제값 간의 오차를 백분율로 표현함으로써 단위에 상관없이 통일된 기준(%)으로 다양한 모델 간 성능 비교가 가능하며, 직관적인
해석이 용이한 장점이 있으므로 회귀분석 예측 알고리즘의 대표적인 평가 지표로 사용된다. 수식(6)에 나타낸 바와 같이, 각 시점에서의 절대 백분율 오차를 계산하고 이를 평균한 값으로, 오차의 크기만을 측정하기 위해 절댓값을 적용하였다.
복합 센서(온도, 진동)로부터 1분 단위로 수집된 데이터를 기반으로 예측 성능을 평가한 결과, 시험 및 검증용으로 각각의 센서별 66개씩 총 132개의
데이터를 활용하여 MAPE(평균 절대 백분율 오차)를 분석하였다. 그 결과는 Fig. 8에 나타낸 바와 같이, 온도 예측의 평균 오차율은 0.93%, 진동 예측의 평균 오차율은 5.09%로 나타났다. 이는 온도 예측 모델이 실제값 대비
평균적으로 1% 미만의 오차를 보이며 높은 예측 정확도를 확보한 것으로 해석되며, 진동 예측 모델 또한 5% 내외의 오차율로 양호한 성능을 나타낸
것을 확인할 수 있다.
5. 결 론
본 논문에서는 변압기 운전 중에 수집된 시계열 데이터를 입력으로 하여, 시간에 따른 변압기 운전 패턴의 변화 양상을 예측할 수 있는 AR-Net 회귀
알고리즘을 적용하였다. 알고리즘의 예측 평균절대백분율오차(MAPE:Mean Absolute Percentage Error)를 확인한 결과 진동 5.09%,
온도 0.93%로 각각 성능을 확인하였다. 다만, 온도 데이터에 대해 상대적으로 높은 예측 정확도를 보이는 반면, 진동 데이터에서는 다소 낮은 성능을
나타냈다. 이유는 온도 데이터는 일일 주기성에 따른 안정적인 변화 패턴을 보이며, 계절적·주기적 특성이 뚜렷하지만 이에 반해 진동 데이터는 설비의
작동 조건, 주변 환경, 기계적 영향 등 복합 요인의 영향을 받아 단기적인 변동성과 노이즈가 내재한 불규칙적인 특징을 갖기 때문인 것으로 기인된다.
따라서, AR-Net과 함께 attention 기반 모듈을 결합한 하이브리드 구조를 적용하여, 노이즈 성 데이터가 많은 시계열에서의 패턴 학습력을
강화하기 위한 추가적인 실험이 필요할 것으로 판단된다.
제안하는 모델은 변압기의 이상 온도 상승이나 진동 증가와 같은 고장 징후 예측에 적합한 구조를 갖는 것을 확인하였고, 이를 통해 다양한 시계열 데이터(전압,
전류, 주파수 등)로 확장하여, 변압기 뿐만 아니라 전기설비의 안전관리 체계 구현에 기여하고, 설비의 고장률 저감 및 수명 연장 효과를 기대할 수
있다. 또한, 본 연구에서 제안한 방법론을 변압기에 한정하지 않고 차단기, 전력 케이블 등 적용 범위를 확장하여 전기설비에 적용 가능한 AI 기반
설비 진단 기술의 실용 가능성을 제시하여 향후 전기설비 관리의 지능화 기반을 마련하는 데 기여할 것으로 기대된다.
Acknowledgement
본 연구는 산업통상자원부와 한국에너지기술평가원의 지원을 받아 수행한 「전기설비 무정전 진단기술/안전기준 및 실시간 위험예측 시스템 개발 (20215910100080)」
과제의 성과로써 감사의 말씀드립니다.
References
Jose Antonino-Daviu, “Electrical monitoring under transient conditions: A new paradigm
in electric motors predictive maintenance,” Applied Sciences, vol. 10, no. 17, 6137,
2020.

M. R. Hussain, S. S. Refaat, and H. Abu-Rub, “Overview and partial discharge analysis
of power transformers: A literature review,” in IEEE Access, vol. 9, pp. 64587-64605,
2021.

Alex Sherstinsky, “Fundamentals of recurrent neural network (RNN) and long short-term
memory(LSTM) network,” Physica D: Nonlinear Phenomena, vol. 404, 2023.

Dong, Xinqi, et al., “The prediction trend of enterprise financial risk based on machine
learning ARIMA model,” Journal of Theory and Practice of Engineering Science, vol.
4, no. 1, pp. 65-71, 2024.

Al-Selwi, S.M., et al., “RNN-LSTM: From applications to modeling techniques and beyond-Systematic
review,” Journal of King Saud University - Computer and Information Sciences, vol.
36, 102068, 2024.

George V. R. Xavier, et al., “Detection, classification and location of sources of
partial disharges using the radiometric method: Trends, challenges and open issues,”
in IEEE Access, vol. 9, pp. 110787-110810, 2021.

Guoxiang Tong and Chuanye Zu, “AR-NET: Lane detection model with feature balance concerns
for autonomous driving,” Neural Computing and Applications, vol. 36, pp. 3997–4012,
2024.

Jose-Maria Sierra-Fernandez, et al., “Online system for power quality operational
data management in frequency monitoring using python and grafana,” Energies, pp. 14,
2021.

Eko Marpanaji, et al., “Experimental study of high availability cloud learning management
system and monitoring system based on grafana, prometheus and telegram,” Journal of
Advanced Research Design, vol. 136, no. 1, pp. 66-78, 2025.

Davide Chicco, Matthijs J Warrens, and Giuseppe Jurman, “The coefficient of determination
R-squared is more informative than SMAPE, MAE, MAPE, MSE and RMSE in regression analysis
evaluation,” Peer J Computer Science, p. 18, 2021.

M. Shanmugavalli and K. Majella Jenvi Ignatia, “Comparative study among MAPE, RMSE
and R square over the treatment techniques undergone for PCOS influenced women,” Recent
Patents on Engineering, vol. 19, no. 1, p. e041223224190, 2025.

Biography
He received the B.S. degree in electrical engineering from NamSeoul University,
Korea, in 2018. He received M.S degree in electrical engineering from InHa University,
Korea, in 2020. He has been a researcher in Department of Research at Seoul University
Future Innovation Institute. His research interests include analysis for Power system
and electronic materials.
He received his M.S. in Information and Communication Engineering in 2005 and his
Ph.D. in Radio Engineering in 2015, both from Hanbat National University, Korea. He
is currently serving as the Chief Technology Officer at Assembble Co., Ltd. His research
interests include AIoT sensor systems and predictive failure analysis technologies.
He received the B.S. degree in electrical engineering from Semyung University,
Korea, in 2021. He has been a researcher in Department of Research at Seoul University
Future Innovation Institute. His research interests include analysis for Power system
and electronic materials.
He received M.S and Ph.D. degree in electrical engineering from Kwangwoon University,
Korea, in 1996 and 2000. He has been a researcher in Department of Research at Seoul
University Future Innovation Institute. His research interests are Microgrid, Energy
Policy.