1. 서 론
제어시스템을 설계하기 위해서는 플랜트의 모델식을 먼저 구하여야 한다. 하지만, 모델링 과정에서는 필연적으로 오차가 발생할 수 밖에 없으며, 시간이
지남에 따라 모델 파라메터가 변동되는 현상이 나타날 수 있다. 이와 같은 모델링 오차를 효과적으로 보상할 수 있고 외란의 영향을 억제할 수 있는 강인
제어 기법에 대한 연구가 활발히 진행 중이며[1, 2], 특히 외란관측기(Disturbance Observer; DOB) 제어기는 이러한 강인 제어 기법의 대표적인 기법 중 하나이다[3-7]. 모델링오차나 외란을 보상하기 위하여 최적 제어, 적응 제어와 같은 고급 제어기법들을 적용할 수도 있지만, 이러한 기법은 구현이 복잡하다는 단점이
존재한다. 이에 반해, DOB 제어기는 설계과정이 용이하지만 강인제어 성능이 탁월한 것으로 잘 알려져 있다. DOB 제어기 설계기법에서는 주로 공칭모델의
차수를 실제 플랜트 차수와 같아지도록 선정한다[3-6]. 이에 비해 본 논문에서는 보다 새로운 Q 필터를 이용한 저차 DOB 제어기에 대한 연구를 수행하고자 한다. 저차 DOB 제어기란 공칭모델 차수를
실제 플랜트 차수보다 작도록 설계하는 것을 의미한다[7]. 저차 DOB 제어기 설계 기법에서는 공칭 모델의 고주파 이득이 매우 지대한 영향을 미치며, 이 값을 적절히 선정하지 않으면 시스템 안정성을 보장할
수 없는 문제가 발생한다[8]. 하지만, 본 논문에서는 고주파 이득을 임의의 값으로 선정하여도 안정성을 보장하는 새로운 Q 필터 설계방법을 제시하고자 한다. 이러한 설계 자율성은
강인 안정성을 유지하면서 외란 감소 성능을 향상시키는 것이 필요한 다양한 분야(예를 들어 하중 변화가 존재하는 로봇팔의 위치 제어, 타이어 마찰력
변화가 존재하는 차량의 횡방향 제어 등)에 매우 효과적으로 사용될 수 있을 것으로 기대된다.
본 논문은 다음과 같이 구성되어 있다. 2장에서는 DOB 제어기의 외란 제거 원리 및 안정성에 대한 기존 연구 결과를 소개한다. 3장에서는 저차 DOB
제어기를 설계하기 위하여 새로운 Q 필터를 제안하고, 이를 이용하면 고주파 이득을 임의의 값으로 선정해도 안정성이 보장된다는 것을 보인다. 4장에서는
응용 예로서 자기부상시스템의 저차 DOB 제어기를 설계하고, 컴퓨터 모의실험을 통해 제안된 DOB 제어기의 성능을 검증한다. 마지막으로 5장에서는
본 논문의 결론을 제시한다.
Notations: 주어진 다항식 $D(s)=d_{n}s^{n}+d_{n-1}s^{n-1}+$$\cdots +d_{1}s+d_{0}$에 대해서 $d_{n}neq
0$이면, $D(s)$ 차수는 $n$ 이라고 하고 $\deg(D)= n$으로 표시한다. 전달함수 $G(s)= N(s)/D(s)$가 주어질 때, $G(s)$의
차수와 상대차수는 $\deg(D)$와 $\deg(D)-\deg(N)$으로 정의하며, $G(s)$의 상대차수는 $r.\deg(G)$로 표시한다. 전달함수
$G(s)$에 대해서, $\mu(G):=$ ($G$ 영점의 모든 합) - ($G$ 극점의 모든 합), $\kappa(G):=$$\lim_{s\to
\infty}s^{r.\deg(G)}G(s)$으로 정의하고, $\kappa(G)$는 고주파이득이라고 부른다.
2. DOB 제어기
외란관측기(Disturbance Observer; DOB) 제어기는 이와 같은 모델 불확실성에 대한 강인 안정성을 보장하는데 활발히 사용되고 있다.
Fig. 1은 DOB 제어기 구조를 나타내는데, 신호 $r$, $u$는 시스템의 기준입력과 제어입력을 의미하며, 신호 $d$와 $y$는 외란과 출력을 나타낸다.
또한, $P$는 실제 플랜트, $P_{n}$은 공칭 모델(nominal model), $Q$는 저역통과 필터로서, (1)과 같은 형태를 주로 사용한다[6-8].
여기서, $k$, $l$은 양의 정수이며 $l-k\ge r.\deg(P_{n})$으로 가정하며, $\tau$는 $Q$ 필터의 시정수로 양의 실수이다.
또한, 계수 $a_{l-1},\: \cdots ,\: a_{1},\: a_{0}$는 다항식 $s^{l}+a_{l-1}s^{l-1}$$+\cdots$$+a_{1}s
+a_{0}$의 모든 근이 안정하도록 선정하며, $a_{0}= b_{0}$로 선정한다. Fig. 1로부터 시스템 전달함수는 (2)로 주어진다.
$Q$ 필터는 저역통과 필터로서 저주파 영역에서는 $Q(s)\approx 1$, 고주파 영역에서는 $Q(s)\approx 0$로 근사할 수 있다.
또한, 기준입력과 외란은 주로 저주파 성분이고 저주파 영역에서는 $T_{yr}(s)\approx\dfrac{P_{n}C}{1+P_{n}C}$, $T_{yd}(s)\approx
0$으로 근사가능하기 때문에, 저주파 영역에서는 출력이 다음과 같이 근사 가능하다.
즉, $Q(s)\approx 1$인 주파수 영역에서는 외란과 모델링 오차의 영향은 거의 사라지고, 실제 시스템 출력은 공칭 시스템 출력과 거의 유사한
특성을 갖게 된다.
한편, 위와 같은 동작 수행을 위해서는 DOB 시스템의 안정성이 보장되어야 한다. $Q$ 필터에 대해서 서로소 다항식(coprime polynomial)
$N_{Q},\: D_{Q}$를 $Q(s)=\dfrac{N_{Q}(s;\tau)}{D_{Q}(s;\tau)}$로 정의하자. 이때, 전체 DOB 시스템의
안정성 조건은 다음과 같다.
정리 1 [6]: Fig. 1과 같은 DOB 시스템에 대해서 다음조건을 만족한다고 하자.
(H1) $P_{n}C /(1+P_{n}C)$가 안정하다.
(H2) $P(s)$는 최소위상(minimum phase) 시스템이다.
(H3) 다항식 $p_{f}(s):=D_{Q}(s ; 1)+\left(\lim_{s\to \infty}\dfrac{P(s)}{P_{n}(s)}-1\right)N_{Q}(s
; 1)$의 모든 근이 LHP에 존재한다.
그러면, 충분히 작은 $\tau >0$에 대해서 DOB 제어 시스템은 안정하다.
Fig. 1. Disturbance observer based control system
3. 저차 DOB 제어기 설계
본 연구에서는 공칭모델의 상대차수가 플랜트보다 작은 경우로서 $r.\deg(P_{n})$$=r.\deg(P)-1$ 인 경우를 고려한다. 이와 같은
경우에는 정리 1을 이용할 수 없고, 안정성을 보장하기 위해서 보다 복잡한 조건을 필요로 한다.
먼저, 다항식 $p_{\alpha}(s)$, $p_{\beta}(s)$을
로 정의하자. 여기서, $N,\: N_{c},\: N_{n},\: $$D,\: D_{c},\: D_{n}$은 $P(s)=\dfrac{N(s)}{D(s)},\:$
$P_{n}(s)=\dfrac{N_{n}(s)}{D_{n}(s)},\: C(s)=\dfrac{N_{c}(s)}{D_{c}(s)}$를 만족하는 서로소
다항식(coprime polynomial)이며, $D(s),\: D_{c}(s),\: $$D_{n}(s)$의 최고차항 계수는 1이라고 가정한다.
또한, $m_{\alpha}=\deg(ND_{c}D_{n})$, $m_{\beta}=\deg(N_{n}D_{c}D)$를 정의한 후, 이로부터 $\alpha_{i},\:
\beta_{i}$를 (3)을 만족하는 상수라고 하고
다음을 정의하자.
여기서, $\sigma_{+}$를 계산할 때 Q 필터 분모가 1차식이면 $a_{1}= 1$을, 2차식이면 $a_{2}= 1$을 이용한다. 기존 연구결과[7, 8]에서는 안정성을 위해서 $\sigma_{+}<0$ 조건을 필요로 한다. 하지만, $\sigma_{+}$는 $P_{n}$의 고주파 이득에 지대한 영향을
받기 때문에 공칭모델 고주파 이득을 선정하는데 매우 주의하여야 한다.
다음 정리는 공칭모델의 고주파이득 값에 관계없이 안정성을 보장할 수 있는 Q 필터 설계방법을 제시한다.
정리 2 : Fig. 1과 같은 DOB 시스템에 대해서 정리 1의 (H1)과 (H2)가 만족되고 $\kappa(P)$와 $\kappa(P_{n})$의 부호가 같다고 가정하자.
만약 $\mu(P_{n})<\mu(P)$ 이면, 충분히 작은 $\tau >0$에 대해서 Q 필터 (4)를 이용한 외란관측기 제어 시스템은 안정하다.
단, Q 필터 계수 $b_{1}$은 (5)를 만족하도록 선정한다.
증명: 먼저, (3)으로부터 다음을 얻을 수 있다.
한편, $P(s)$와 $P_{n}(s)$로부터 아래와 같이 표현 가능하고,
고주파이득 비율은 다음과 같이 주어진다.
마찬가지로
로 표현하면, $p_{\alpha}(s)$의 최고차항 차수는 $k_{p}+ l_{c}+l_{n}$이고 그 계수는 $ND_{c}D_{n}$의 최고차항
계수와 같다. 또한, $p_{\beta}(s)$의 최고차항 차수는 $k_{n}+ l_{c}+l_{n}$이고 그 계수는 $N_{n}D_{c}D$의 최고차항
계수와 같다. 또한, $r.\deg(P_{n}C)$$\ge r.\deg(P_{n})$ 이므로
이고
이다. 따라서,
이고, (8)과 (10)으로부터 (11)를 얻을 수 있으며,
(9)와 (11)을 이용하면 $\sigma_{+}$는 다음을 만족한다.
한편, (5)로부터 $a_{1}b_{1}- b_{1}^{2}= a_{2}a_{0}$이고 $\dfrac{a_{2}}{a_{1}- b_{1}}=\dfrac{b_{1}}{a_{0}}$이므로
Q 필터를 (4)와 같이 선정한다면, $\sigma_{+}$는 다음과 같이 간단히 표현된다.
또한, 플랜트 영점과 플랜트 극점은 다항식 $N(s)$와 $D(s)$로부터 $\mu(P)= -b_{p,\: 1}+ a_{p,\: 1}$ 을 얻을 수
있고, 비슷한 방법으로 $\mu(P_{n})= -b_{n,\: 1}$$+ a_{n,\: 1}$ 을 알 수 있다. 따라서, $\sigma_{+}=\mu(P_{n})-\mu(P)$
$<0$ 이다. 또한, (5)로부터 $s^{l-1}+a_{l-1}s^{l-2}+\cdots$$+a_{2}s+(a_{1}-b_{1})$$=0$의 모든 근이 LHP에 존재한다는 것을
알 수 있다. 따라서, 참고문헌 [7]에 의하여, 충분히 작은 $\tau > 0$에 대해서 DOB 시스템은 안정하다.
4. 자기부상 시스템에의 적용
본 장에서는 제안된 제어기를 이용하여 무게변동이 존재하는 자기부상시스템 안정화가 가능한지 검증해 보았다. 자기부상 시스템의 쇠공 위치와 전자석에 인가하는
전압을 각각 출력과 입력 변수로 정하고 전달함수를 계산하면 다음과 같다[8, 9].
여기서, $m$은 쇠공 질량, $g$는 중력가속도, $R_{s}$는 전류측정기 저항, $R_{c}$는 전자석 코일 저항, $L_{c}$는 코일 인덕턴스를
나타내는데, 이들의 공칭값은 참고문헌 [8, 9]와 동일한 값을 사용한다. 또한, $x_{10}$, $i_{0}$는 평형상태에서 쇠공의 위치와 전자석코일에 흐르는 전류 값을 나타내는데, $x_{10}$의
값은 제어목적에 의해 결정된다. 본 장에서는 쇠공 위치를 $x_{10}= 7mm$로 제어하는 것을 제어목적으로 가정하는데, 이 경우 $i_{0}=
1A$ 로 계산된다. 이제, 쇠공의 실제 질량 $\widetilde{m}$에 대해서, (13)과 같은 무게변동을 가정하고
안정한 DOB 제어기 설계 방법을 고찰해 보자. 기존 연구에서는 (14)와 같은 표준 Q 필터를 사용하였고, 안정성 조건 $\sigma_{+}<0$ 을 만족하기 위해서는 고주파 이득이 매우 중요하였다.
하지만, 본 장에서는 제안된 정리 2를 적용하여 고주파이득을 더 이상 고려하지 않아도 된다는 것을 보이고자 한다. (13)과 같은 무게변동이 존재할 때, 실제 플랜트의 전달함수는
이며, 이로부터 $\mu(P)=(R_{c}+R_{s})/L$ 이고 고주파 이득은 $\kappa(P)= -\dfrac{2G_{i}x_{0}i_{0}}{\widetilde{m}x_{0}^{3}L}$이다.
따라서,
이므로, 공칭모델의 극점이 너무 왼쪽에 존재하면 $\sigma_{+}<0$ 를 만족하기 어려워진다. 반면에, 극점이 너무 오른쪽에 위치하면, 적절한
제어성능을 얻을 수 있는 공칭 제어기 $C(s)$ 설계가 어려워진다. 이를 고려하여 DOB 제어기의 공칭 모델은 다음과 같이 선정하였다.
또한, 공칭 제어기 $C(s)$는 $P_{n}(s)$에 의한 공칭 폐루프 시스템을 안정하게 하고, 그 시스템의 정착시간이 3초 이내, 오버슛이 5%
이내가 되도록 다음과 같이 설계하였다.
공칭모델 (16)으로부터 무게변동이 없으면(즉, $\widetilde{m}= m$인 경우), $\mu(P_{n})-\mu(P)= 15-26.67 = -11.67$이고,
$\sigma_{+}= -5.73$임을 확인할 수 있다. 한편, 무게변동이 존재하더라도, $\mu(P)=(R_{c}+R_{s})/L$$=26.67$
는 변하지 않으며 $\mu(P_{n})-\mu(P)$$=-11.67$ 도 변동이 없다. 하지만, $\widetilde{m}= m/3$인 경우에는 $\sigma_{+}=
6.33$ 이기 때문에 $\sigma_{+}<0$을 만족하지 못한다. 컴퓨터 모의실험을 위해서, Q 필터 시정수는 $\tau = 10^{-4}$로
선정하였다. (정리 1과 정리 2에 의하면, DOB 시스템의 안정성은 충분히 작은 $\tau$에 대해서 보장된다. 실제로, $\tau = 10^{-1}$
또는 $\tau = 10^{-2}$ 등을 사용하면, 안정성 조건을 만족하더라도 불안정한 실험 결과를 얻는 경우가 자주 나타난다. 이를 고려하여 본
논문에서는 항상 $\tau = 10^{-4}$로 선정하였다.) Fig. 2는 컴퓨터 모의실험 결과이며, $\widetilde{m}= m/3$인 경우 시스템이 불안정하다는 것을 쉽게 확인할 수 있다. 즉, 대부분의 DOB
연구 논문에서 사용하는 표준 Q 필터 (14)를 사용하는 경우, 시스템을 안정화시킬 수 없다는 것을 알 수 있다. 이를 해결하기 위해서는 공칭 모델의 고주파 이득 $\kappa(P_{n})$을
증가시킨 (17)과 같은 공칭 모델을 사용해야만 시스템을 안정화 시킬 수 있다.
하지만, 이와 같이 고주파 이득에 따라 강인안정성이 영향을 받는 경우, 제어기 설계에 많은 제약이 따른다.
이에 반해, 본 논문에서 제안하는 기법은 임의의 고주파 이득 $\kappa(P_{n})$을 사용하더라도 Q 필터를 적절히 설계하여 시스템을 안정화
할 수 있다. 실제로, 공칭모델 (16)과 $C(s)=-12$를 이용하더라도 정리 2를 이용하여 Q 필터를 설계하면 안정한 DOB 제어시스템을 얻을 수 있다. 즉, $a_{0}= 1,\:
a_{1}=4 ,\: a_{2}=4$로 정하면 (5)로부터 $b_{1}=2$를 얻을 수 있고, 이로부터 Q 필터 (18)을 고려할 수 있다.
이 경우, 무게 변동과 관계없이 $\mu(P_{n})-\mu(P)= -11.67$ 이므로 정리 2 조건을 만족하므로 시스템이 강인 안정할 것을 예상할
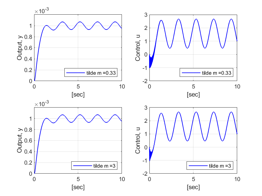
수 있다. Fig. 3은 Q 필터를 (14) 대신 (18)로 교체하고 수행한 모의실험 결과이다. 그림으로부터 무게 변동에도 불구하고 시스템이 강인 안정함을 확인할 수 있다.
이제, 제어시스템의 외란 제거성능을 확인하기 위하여 외란 $d(t)= A_{d}\sin(w_{d}t)$을 고려해 보자. $A_{d}= 1$와 $w_{d}=\pi$인
경우의 모의실험 결과를 Fig. 4에서 확인가능하다. 그림으로부터, 무게변동에도 불구하고 출력에 대한 외란 영향이 적절히 감쇠되고 있음을 알 수 있다.
한편, 제안된 DOB 제어기의 성능 우수성을 확인하기 위해서 기존 Q 필터를 사용한 DOB 제어기 (14), (17)을 고려해 보자. Fig. 4와 동일한 입력외란이 존재하는 경우의 모의실험 결과를 Fig. 5에서 볼 수 있는데, 제안된 DOB 제어기의 외란제거 성능이 더욱 우수하다는 것을 알 수 있다. 특히 제안된 Q 필터 (18)을 사용하는 경우 공칭 모델의 고주파 이득을 더욱 낮출 수 있는데, 이를 통하여 외란제거 성능을 더욱 개선시킬 수 있다는 것도 확인할 수 있었다.
마지막으로, 보다 명확한 비교를 위하여, 다음과 같은 평균 백분율 절대오차 (MAPE; Mean Absolute Percentage Error) 로
제어성능을 평가해 보았다.
여기서, $y(t)$는 출력, $y_{r}(t)$는 기준입력을 의미하며, MAPE는 $T\le t\le 10$초에서 계산하였는데, Fig. 4와 Fig. 5로부터 정상상태에 도달한 이후를 고려하여 $T=5$로 정하였다. 계산 결과, 기존 DOB 제어기(Fig. 5)의 경우 $\widetilde{m}= 3m$와 $\widetilde{m}= m/3$ 모두 $MAPE = 4.44%$이었는데, 제안된 DOB 제어기(Fig. 4)의 경우 $MAPE = 1.68%$ 임을 알 수 있었다.
Fig. 2. Simulation results of the conventional DOB controller. Upper:$\widetilde{m}=m/3$;
Lower: $\widetilde{m}= 3m$
Fig. 3. Simulation results of the proposed DOB controller
Fig. 4. Simulation results of the proposed DOB controller in the presence of input
disturbance
Fig. 5. Simulation results of the conventional DOB controller in the presence of input
disturbance
5. 결 론
본 논문에서는 모델 불확실성이 존재하는 시스템의 강인안정성을 보장하는 저차 DOB 제어기에 대한 연구를 수행하였다. 기존의 저차 DOB 제어기는 강인
안정성을 보장하기 위해서는 공칭모델의 고주파 이득 선정에 매우 주의하여야 하였다. 하지만, 제안된 방식의 Q 필터를 사용하는 경우, 고주파 이득값에
관계없이 저차 DOB 제어기를 설계할 수 있다는 것을 보였다. 모의실험 결과, 강인 안정성은 기존의 저차 DOB 제어기와 동일한 수준을 유지하면서,
외란 제거 성능은 $MAPE = 4.44%$(기존 제어기)를 $MAPE = 1.68%$(제안된 제어기)로 향상시킬 수 있다는 것을 확인할 수 있었다.
향후 연구 주제로서, 본 연구 결과를 비선형 시스템으로 확장하는 것을 고려할 수 있다.
Acknowledgement
이 성과는 정부(과학기술정보통신부)의 재원으로 한국연구재단의 지원을 받아 수행된 연구임 (No. 2022R1F1A1074838).
References
J. Choi, D. Yoo, and K. Kim, “A robust control scheme of linear induction machine
for automatic picking system using mass estimation and disturbance force observer,”
Journal of KIIEE, vol. 27, no. 4, pp. 62-72, 2013.

C. Jeon, S. Jang, and N. H. Jo, “A study on the influence of q-filter on disturbance
observer controller for electro-magnetic suspension systems,” Journal of KIIEE, vol.
29, no. 10, pp. 104-110, 2015.

S. Endo, et al., “Robust digital tracking controller design for high-speed positioning
systems,” Control Engineering Practice, vol. 4, no. 4, pp. 527-536, 1996.

E. Sariyildiz, R. Oboe, and K. Ohnishi. “Disturbance observer- based robust control
and its applications: 35th anniversary overview,” IEEE Trans. Industrial Electronics,
vol. 67, no. 3, pp. 2042-2053, 2019.

E. Sariyildiz, S. Hangai, T. Uzunovic, and T. Nozaki, “Discrete- time analysis and
synthesis of disturbance observer- based robust force control systems,” IEEE Access,
vol. 9, pp. 148911-148924, 2021.

H. Shim and Nam H. Jo, “An almost necessary and sufficient conditions for robust stability
of closed-loop systems with disturbance observer,” Automatica, vol. 45, no. 1, pp.
296-299, 2009.

N. H. Jo, Y. Joo, and H. Shim, “A study of disturbance observers with unknown relative
degree of the plant,” Automatica, vol. 50, no. 6, pp. 1730-1734, 2014.

Nam H. Jo, “Design of a reduced-order disturbance observer controller for EMS system
with mass uncertainty,” Trans. of the Korean Institute of Electrical Engineers, vol.
66, no. 5, pp. 812-818, 2017.

Quanser, “Maglev user manuals,” 2008.

Biography
He received the B.S., M.S., and Ph.D. degrees all from Electrical Engineering, Seoul
National University, Seoul, South Korea, in 1992, 1994, and 2000, respectively. Since
2002, he has been with the School of Electrical Engineering at Soongsil University,
Seoul, Korea, where he is currently a professor. His research interests include nonlinear
systems control theory, disturbance observer, and data driven control.